COVID-19 and the socioeconomic disadvantage

Download this article as a PDF Published by: The Public Health Agency of Canada
Issue: Volume 48-1, January 2022: COVID-19 Mortality and Social Inequalities
Date published: January 2022
ISSN: 1481-8531
Submit a manuscript
About CCDR
Browse
Volume 48-1, January 2022: COVID-19 Mortality and Social Inequalities
Overview
Social inequalities in COVID-19 mortality by area and individual-level characteristics in Canada, January to July/August 2020: Results from two national data integrations
Alexandra Blair1, Sai Yi Pan2, Rajendra Subedi3, Fei-Ju Yang3, Nicole Aitken3, Colin Steensma1
Affiliations
1 Social Determinants of Health Division, Public Health Agency of Canada, Montréal, QC
2 Social Determinants of Health Division, Public Health Agency of Canada, Ottawa, ON
3 Statistics Canada, Ottawa, ON
Correspondence
Suggested citation
Blair A, Pan SY, Subedi R, Yang F-J, Aitken N, Steensma C. Social inequalities in COVID-19 mortality by area and individual-level characteristics in Canada, January to July/August 2020: Results from two national data integrations. Can Commun Dis Rep 2022;48(1):27–38. https://doi.org/10.14745/ccdr.v48i01a05
Keywords: SARS-CoV-2, COVID-19, mortality, social determinants of health, health equity, Canada
Abstract
Background: Despite early reports of social determinants of severe acute respiratory syndrome coronavirus 2 (SARS-CoV-2) infection and coronavirus disease 2019 (COVID-19) burden, national Canadian reporting on COVID-19 inequalities has been limited. The objective of this study is to describe inequalities in COVID-19 mortality in Canada using preliminary data, as part of the Pan-Canadian Health Inequalities Reporting Initiative.
Methods: Two provisional Canadian Vital Statistics Death Database integrations were used. Data concerning deaths between January 1 and July 4, 2020, among private-dwelling residents were linked to individual-level data from the 2016 short-form Census, and disaggregated by sex and low-income status, dwelling type, household type and size. Data concerning deaths between January 1 and August 31, 2020 linked to 2016 Census area data were disaggregated by sex and neighbourhood ethno-cultural composition quintiles (based on the proportion of residents who are recent immigrants, visible minorities, born outside of Canada, with no knowledge of English or French), income quintiles and urban residence. The COVID-19 age-standardized mortality rate (per 100,000 population) differences and ratios between groups were estimated.
Results: As of July/August 2020, apartment dwellers, residents of urban centres, neighbourhoods with the highest ethno-cultural composition or lowest income experienced 14 to 30 more COVID-19-related deaths/100,000 compared with reference groups (residents of single-detached homes, outside of urban centres, with lowest ethno-cultural concentration or highest income, respectively). Per 100,000 population, sex/gender inequalities were also larger in these four groups (11 to 18 more male than female deaths) than in the reference groups (two to four more male than female deaths).
Conclusion: These findings highlight how populations facing socioeconomic disadvantage have experienced a higher overall burden of deaths. Areas for future research are discussed to guide health equity-informed pandemic response.
Introduction
Early regionalFootnote 1Footnote 2Footnote 3, provincialFootnote 4Footnote 5 and nationalFootnote 6Footnote 7 reporting in Canada has indicated that the burden of coronavirus disease 2019 (COVID-19) has not been experienced equally across all populations. Bivariate analyses suggest that racialized and lower-income populations have experienced higher rates of COVID-19 infection and mortality than white or higher-income groups, across several Canadian jurisdictionsFootnote 1Footnote 2Footnote 7. These studies highlight the importance of social and economic conditions known collectively as social determinants of healthFootnote 8 in shaping the distribution of severe acute respiratory syndrome coronavirus 2 (SARS-CoV-2) infections and COVID-19 morbidity and mortalityFootnote 9Footnote 10.
Several hypotheses have been proposed to explain inequalities in COVID-19 mortality, each tied to underlying social determinants of healthFootnote 9. First, they may be due to inequalities in SARS-CoV-2 infections due to systemic social and economic inequalities in living or working conditionsFootnote 9Footnote 11Footnote 12 in which prevention strategies, such as physical distancing or improved ventilation, are more difficult to apply or have not been implemented Footnote 13Footnote 14Footnote 15. Second, they may be attributable to long-standingFootnote 11 socioeconomic inequalities in the prevalence of underlying conditions and behaviours, such as smoking, obesity or diabetes, that place socioeconomically disadvantaged populations at higher risk of COVID-19 morbidityFootnote 16. Third, they may be attributable to underlying socioeconomic inequalities in healthcare access, use and qualityFootnote 9Footnote 11Footnote 17.
National-level reporting of COVID-19 mortality across socioeconomic groups in Canada remains limitedFootnote 18 despite an expressed need from researchers and communitiesFootnote 19Footnote 20Footnote 21 to inform equitable pandemic preparedness and response. To fill this gap in national COVID-19 data reporting, this analysis sought to summarize individual and area-level absolute and relative inequalities in COVID-19 mortality that occurred between January and August 2020. This analysis is part of an ongoing effort of the Pan-Canadian Health Inequalities Reporting (HIR) InitiativeFootnote 11.
Methods
Data sources
Data for this report come from two data integrations performed by Statistics Canada (for which the data integration team included co-authors RS, FJY, NA). Statistics Canada's data integration process refers to the combining two or more datasets. The data integrations described here were performed in the context of the COVID-19 pandemic to inform several studies, including the present one. One of the integrations performed was between the provisional Canadian Vital Statistics Death Database (CVSD) and the 2016 short-form Canadian Census of populationFootnote 22. This individual-level record linkage was probabilistically linked to the Derived Record Depository in the Social Data Linkage Environment at Statistics CanadaFootnote 23. The Social Data Linkage Environment is described as a "highly secure environment that facilitates the creation of linked population data files for social analysis. It is not a large integrated data base"Footnote 23. Among the provisional death records reported between January 1 and July 4, 2020, 96.4% were probabilistically linked in the Derived Record Depository of the Social Data Linkage Environment. The linkage rate for the short-form census respondents to the Derived Record Depository was 96.8%. This CSVD-Census linked data source includes COVID-19 deaths) that occurred between January 1 and July 4, 2020, for residents of private dwellings which represents 98% of the Canadian population (N=4,430 deaths; 1,990 females, 2,440 males; all counts are rounded in accordance with Statistics Canada's disclosure rules Footnote 6Footnote 22Footnote 24. Deaths that occurred in collective dwellings, including long-term care, were excluded.
The other data integration was between the provisional Canadian Vital Statistics Death Database and the area-level measures via the supplementary geographic information provided on the 2016 Census Postal Code Conversion File plus (PCCF+)Footnote 25. This CVSD-PCCF+ linked data source includes COVID-19 deaths that occurred between January 1 and August 31, 2020, regardless of dwelling status (rounded total of 9,265 COVID-19 deaths; 4,990 females, 4,275 males). Among the COVID-19 death records reported between January 1 and August 31, 2020, 99.7% had postal codes found in the PCCF+.
The Canadian Vital Statistics Death Database data are provisional and incomplete for several reasons. Namely, the dataset is sensitive to provincial and territorial reporting delays and it excludes deaths that occurred in the Yukon. However, COVID-19 mortality rates estimated using provisional Vital Statistics data are relatively similar (within 5%) to those obtained using COVID-19 surveillance dataFootnote 22. In addition, individuals' characteristics recorded in the 2016 Census may have changed by the time deaths were recorded in 2020. Nonetheless, these integrations are the best available sources of national Canadian data regarding the socioeconomic characteristics of COVID-19 deaths. They can provide early evidence about emerging public health issues to guide future research. They also provide baseline information upon which to base future monitoring.
Measures
The outcome studied was COVID-19 mortality, operationalized as cumulative age-standardized mortality rates per 100,000 population (hereafter referred to as "mortality rates per 100,000"; details on standardization are provided below). The Canadian Vital Statistics Death Database identifies COVID-19 deaths based on death certificates where COVID-19 is listed as the underlying cause of death. The ICD-10 codes U071 and U072 were used to identify, respectively, deaths among individuals who had received a positive SARS-CoV-2 test result (regardless of laboratory test used) and individuals identified as "possible" or "probable" cases, or who were "pending a (positive) test result."
Seven stratification measures were used to capture known social determinants of health, as identified in the Social Determinants of Health frameworkFootnote 8. From the integration of provisional Vital Statistics and short form 2016 Census data, four individual-level measures were used (i.e. based on the deceased's personal characteristics, recorded in the Census) to estimate disaggregated rates and inequalities. These measures were as follows: Statistics Canada's household after-tax low-income measureFootnote 26 (low-income versus not low-income [reference group]); dwelling type (i.e. apartment building fewer than five storeys, apartment building with five or more storeys, apartment in a duplex, row house, semi-detached house, versus single-detached house [reference group]) Footnote 6; household type (i.e. one-person, couple with children, couple without children, multigenerational household, two-or-more person non-census family household excluding multigenerational households, "other" census family household, versus lone-parent household [reference group]) Footnote 6; and household size (i.e. two, three, four, five-or-more person, versus one-person household [reference group])Footnote 6.
From the integration of provisional Vital Statistics and PCCF+ data, three area levelFootnote 27 measures were used (i.e. measures of the deceased's neighbourhood characteristics at the time of death, based on residential postal code information) to estimate disaggregated rates and inequalities. These measures were as follows: residence inside versus outside (reference group) of a Census Metropolitan Area (CMA) (i.e. large urban centre of 100,000 or more residentsFootnote 28; after-tax national income per-person-equivalent quintiles (reference group: quintile 5, highest income); and quintiles of the national ethno-cultural composition dimension of the Canadian Index of Multiple Deprivation (reference group: quintile 1, lowest concentration). The latter is a composite indicator that captures the concentration of individuals who are recent immigrants (in the previous five years), designated as a visible minority, born outside of Canada or have no knowledge of either English or French. This type of measure can help capture populations that may be more vulnerable to systemic discrimination and disadvantage. For example, those who immigrate to Canada, particularly individuals identified as visible minorities, can experience structural or institutional forms of discrimination, particularly racial discrimination (i.e. "systemic" racismFootnote 29), in areas such as labour and housingFootnote 11Footnote 12.
Data were also disaggregated by sex. Though only data on sex (presumed at birth; "female" or "male") was available, this study hereafter refers to "sex/gender inequalities". As done in previous reportingFootnote 11, this usage is based on the assumption that the inequalities in COVID-19 mortality between males and females, like with other health conditions, are driven by determinants tied to both constructs of biological sex and genderFootnote 11.
Analyses
Rates overall and by sex were age-standardized using the direct method, based on the 2011 standard Canadian population, using age intervals of five yearsFootnote 30. Details on age groups, formulas and weights have been described previouslyFootnote 30. Rates were age-standardized to allow for comparison between groups that may have differences in age structureFootnote 30Footnote 31). Confidence intervals for these rates were set at 95% and were calculated using the standard error of the standardized rate (details and formulas are provided in Supplemental Table S1)Footnote 32. Age-standardized rates and confidence interval estimations were conducted using SAS 9.4 Footnote 33 and SAS Enterprise Guide 7.1Footnote 34 software.
To assess relative and absolute inequalities in COVID-19 mortality, rate differences and ratios were estimated between subgroups, overall and by sex (according to principles of Sex and Gender Based Analysis Plus; SGBA+) by subtracting and dividing rates between subgroups, with 95% confidence intervals estimated using the standard error of the rates for each group in the comparison (formulas are provided in Supplement Table S1)Footnote 35Footnote 36. Figures were created using R software (version 4.0.2)Footnote 37. Since the inequality estimates were based on bivariate analyses, e-valuesFootnote 38 were estimated to assess the potential sensitivity of findings to unmeasured confounding. E-values capture the minimum size of an association between an unmeasured confounder and both the social stratification measures and the outcome of COVID-19 mortality risk to explain away an observed risk ratio. The e-value was estimated as follows: RRobserved + √{RRobserved * (RRobserved – 1)}Footnote 38. Higher e-values indicate that relatively strong confounding associations would be needed to completely explain away the observed exposure–outcome associationFootnote 38.
Results
Distribution of COVID-19 mortality across sub-populations
At the start of the pandemic, between January 1 and July 4, 2020, COVID-19 mortality rates varied across the individual-level subgroups (Table 1). The lowest and the highest rates observed across the subgroups measured were among those living in two types of dwellings, respectively: rates ranged from nine deaths (for residents of single-detached homes) to 23 and 26 deaths (for residents of apartments) per 100,000. Rates were higher among males than females.
| Stratifiers | Age-standardized mortality rate per 100,000 population | |||||
|---|---|---|---|---|---|---|
| Overall | Females | Males | ||||
| Rate per 100,000 | 95% CI | Rate per 100,000 | 95% CI | Rate per 100,000 | 95% CI | |
| Low-income measure status (after tax) | ||||||
| Not low-income | 14 | 13, 14 | 11 | 10, 11 | 18 | 17, 19 |
| Low-income | 19 | 18, 20 | 15 | 14, 17 | 27 | 25, 30 |
| Private dwelling type | ||||||
| Single-detached house | 9 | 9, 10 | 7 | 7, 8 | 11 | 11, 12 |
| Row house | 13 | 11, 15 | 9 | 7, 11 | 19 | 15, 22 |
| Semi-detached house | 16 | 13, 18 | 12 | 9, 15 | 20 | 16, 24 |
| Apartment in a building with five or more storeys | 23 | 21, 24 | 18 | 16, 19 | 33 | 30, 35 |
| Apartment in a building with fewer than five storeys | 24 | 23, 26 | 18 | 16, 20 | 36 | 33, 39 |
| Flat or apartment in a duplex | 26 | 23, 29 | 19 | 16, 21 | 37 | 32, 42 |
| Household type | ||||||
| Lone-parent family | 13 | 12, 15 | 12 | 10, 13 | 19 | 14, 23 |
| Multigenerational household | 14 | 13, 16 | 13 | 11, 15 | 17 | 14, 20 |
| One person household | 15 | 14, 15 | 11 | 11, 12 | 22 | 21, 24 |
| Other census family householdTable 1 footnote a | 15 | 13, 17 | 13 | 11, 16 | 16 | 13, 20 |
| Couple without children | 16 | 16, 17 | 14 | 12, 15 | 18 | 17, 19 |
| Couple with children | 19 | 17, 22 | 10 | 7, 14 | 24 | 20, 27 |
| Two or more person non-census family (excluding multigenerational) | 23 | 20, 27 | 19 | 15, 23 | 32 | 25, 39 |
| Household size | ||||||
| 1 person | 15 | 14, 15 | 11 | 11, 12 | 22 | 21, 24 |
| 2 persons | 15 | 15, 16 | 12 | 11, 13 | 18 | 17, 19 |
| 3 persons | 15 | 14, 17 | 11 | 9, 12 | 21 | 18, 24 |
| 4 persons | 14 | 11, 16 | 11 | 9, 14 | 16 | 12, 19 |
| 5 persons or more | 17 | 15, 19 | 15 | 12, 17 | 20 | 16, 23 |
Between January 1 and August 31, 2020, COVID-19 mortality rates also varied according to area-level subgroups (Table 2). Per 100,000, rates ranged from four deaths (for residents outside of large urban centres) to 33 to 37 deaths (for residents of large urban centres, areas with lowest income and highest ethno-cultural concentration). Rates in these populations were again higher among males than females.
| Stratifiers | Age-standardized mortality rate per 100,000 population | |||||
|---|---|---|---|---|---|---|
| Overall | Females | Males | ||||
| Rate per 100,000 | 95% CI | Rate per 100,000 | 95% CI | Rate per 100,000 | 95% CI | |
| Census metropolitan area (CMA) | ||||||
| Living in large urban centers (Census Metropolitan Area, CMA) | 33 | 32, 34 | 29 | 28, 29 | 39 | 38, 41 |
| Living outside large urban centers (non-CMA) | 4 | 3, 4 | 3 | 2, 3 | 5 | 4, 5 |
| Ethno-cultural composition | ||||||
| Quintile 1 (lowest concentration) | 16 | 15, 17 | 14 | 13, 15 | 18 | 17, 20 |
| Quintile 2 | 13 | 12, 14 | 12 | 11, 13 | 14 | 13, 16 |
| Quintile 3 | 19 | 18, 20 | 16 | 15, 17 | 22 | 20, 24 |
| Quintile 4 | 30 | 29, 31 | 25 | 24, 27 | 37 | 35, 39 |
| Quintile 5 | 37 | 35, 38 | 31 | 30, 33 | 44 | 42, 47 |
| After-tax neighbourhood income | ||||||
| Quintile 1 (lowest income) | 37 | 36, 39 | 30 | 29, 32 | 48 | 46, 50 |
| Quintile 2 | 20 | 19, 20 | 16 | 15, 17 | 24 | 22, 25 |
| Quintile 3 | 20 | 19, 21 | 18 | 17, 20 | 22 | 20, 24 |
| Quintile 4 | 18 | 17, 19 | 16 | 15, 17 | 21 | 20, 23 |
| Quintile 5 | 17 | 16, 18 | 16 | 15, 18 | 18 | 17, 20 |
Absolute and relative inequalities in COVID-19 mortality across subgroups
Between January 1 and July 4, 2020, among the subgroups measured, the largest absolute inequalities in COVID-19 mortality among residents of private dwellings were observed between residents of apartments (in duplexes or multi-story buildings) and those of detached homes. There were 14 to 17 more deaths per 100,000 (between 2.5 and 2.8 times higher rates) among apartment residents compared with single-detached home residents (Figure 1) (data presented in Figures 1 to 4 are available in Supplemental Tables S2to S5, respectively). Smaller inequalities were observed between those living in other dwelling types (row and semi-detached houses) and those living in single-detached homes (observed rate ratios ranged from 1.4 to 1.7, rate differences of 4 to 6 more deaths per 100,000). Similarly, smaller inequalities were also observed across household type and low-income status subgroups; observed rate ratios ranged from 1.1 to 1.8, and rate differences of one to 10 more deaths per 100,000 in these subgroups (Figure 1). There were small to no differences in rates across household sizes (as indicated by 95% confidence intervals that crossed the null) (Figure 1). Sensitivity e-value analyses were conducted to assess the potential risk of confounding bias on these bivariate inequality estimates. Findings suggest that the observed inequalities in COVID-19 mortality risk according to low-income status, household type and dwelling type could be fully explained away by an unmeasured confounder with an association of RR=2.1 to 5.0 (depending on the social strata), with both the latter exposure measures and the outcome of COVID-19 mortality, respectively (Supplemental Table S6). That is, the unmeasured confounder would have to have a stronger association than those observed for the factors measured in this study (Figure 1).
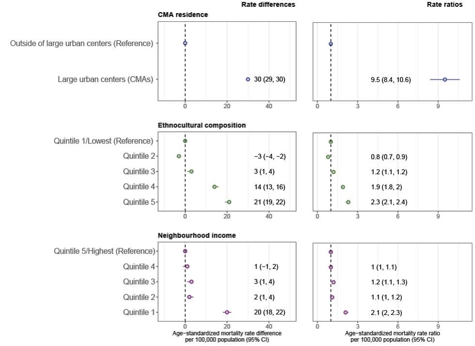
Figure 1: Rate differences and ratios in age-standardized mortality rates (per 100,000) by individual-level characteristics, January 1 to July 4, 2020

Text description: Figure 1
Figure 1 is made up of eight panels, arranged into four rows and two columns. Each panel presents a forest plot of inequality estimates. Each panel row presents the inequality estimates for a distinct variable. The four variables presented in Figure 1 are low-income status, dwelling type, household type, and household size. Two inequality metrics were estimated: rate differences and rate ratios. The left column panels present forest plots of rate difference estimates for each variable. The right column panels present forest plots of rate ratio estimates for each variable.
| Stratifier | Age-standardized mortality rate difference (RD) | 95% CI | Age-standardized mortality rate ratio (RR) | 95% CI |
|---|---|---|---|---|
| Low-income status | ||||
| Not low-income (Reference) | 0 | 0 | 1 | 0 |
| In low-income | 5 | 4, 6 | 5 | 4, 6 |
| Dwelling type | ||||
| Single-detached house (Reference) | 0 | 0 | 1 | 0 |
| Row house | 4 | 2, 6 | 1.4 | 1.2, 1.6 |
| Semi-detached house | 6 | 4, 9 | 1.7 | 1.5, 2 |
| Flat or apartment in a duplex | 17 | 14, 19 | 2.8 | 2.5, 3.2 |
| Apartment in building with five or more storeys | 14 | 12, 15 | 2.5 | 2.3, 2.7 |
| Apartment in building with fewer than five storeys | 15 | 14, 17 | 2.7 | 2.5, 2.9 |
| Household type | ||||
| Lone-parent family (Reference) | 0 | 0 | 1 | 0 |
| Multigenerational household | 1 | -1, 4 | 1.1 | 0.9, 1.3 |
| One person household | 1 | 0, 3 | 1.1 | 1, 1.3 |
| Other census family household | 1 | -1, 4 | 1.1 | 0.9, 1.3 |
| Couple without children | 3 | 1, 5 | 1.2 | 1.1, 1.4 |
| Couple with children | 6 | 3, 9 | 1.5 | 1.2, 1.8 |
| Two or more person non-census family (excluding multigenerational) | 10 | 6, 14 | 1.8 | 1.5, 2.2 |
| Household size | ||||
| 1 person (Reference) | 0 | 0 | 1 | 0 |
| 2 persons | 1 | 0, 2 | 1 | 1, 1.1 |
| 3 persons | 1 | -1, 2 | 1 | 0.9, 1.1 |
| 4 persons | -1 | -3, 1 | 0.9 | 0.8, 1.1 |
| 5 persons or more | 2 | 0, 5 | 1.3 | 1.1, 1.4 |
Between January 1 and August 31, 2020, among the subgroups measured, the largest absolute inequalities in COVID-19 mortality overall were observed between residents living within versus outside large urban centres. There were 30 more deaths per 100,000 (9.5 times higher rates) within urban centres (Figure 2). Large inequalities were also observed across ethno-cultural and income quintiles. Per 100,000, there were 14 to 21 more deaths (1.9 to 2.3 times higher rates) in the highest ethno-cultural composition concentration areas (quintiles 4 and 5 versus quintile 1) and 20 more deaths (2.1 times higher rates) in lowest income areas (quintile 1 versus quintile 5) (Figure 2). Sensitivity analyses suggested that the latter observed associations could only be fully explained away by an unmeasured confounder with an association of RR=3.2 to 18.5, depending on the social strata, with both the latter exposures and the outcome, respectively (Supplemental Table S7). Rate differences for the other neighbourhood income quintile groups (quintiles 2 to 4) and ethno-cultural quintile groups (quintiles 2 to 3), ranged from one to three deaths per 100,000 (ratios of 0.8 to 1.2), with many of the 95% confidence intervals crossing the null (Figure 2).
Figure 2: Rate differences and ratios in age-standardized mortality rates (per 100,000) by area-level characteristics, January 1 to August 31, 2020

Text description: Figure 2
Figure 2 is made up of six panels, arranged into three rows and two columns. Each panel presents a forest plot of inequality estimates. Each panel row presents the inequality estimates for a distinct variable. The three variables presented in Figure 2 are residence in a large urban centre, area-level ethno-cultural composition quintiles and area-level income quintiles. Two inequality metrics were estimated: rate differences and rate ratios. The left column panels present forest plots of rate difference estimates for each variable. The right column panels present forest plots of rate ratio estimates for each variable.
| Stratifier | Age-standardized mortality rate difference (RD) | 95% CI | Age-standardized mortality rate ratio (RR) | 95% CI |
|---|---|---|---|---|
| CMA residence | ||||
| Outside of large urban centers (Reference) | 0 | 0 | 1 | 0 |
| Large urban center (CMAs) | 30 | 29, 30 | 9.5 | 8.4, 10.6 |
| Ethno-cultural composition | ||||
| Quintile 1/lowest concentration) (Reference) | 0 | 0 | 1 | 0 |
| Quintile 2 | -3 | -4, -2 | 0.8 | 0.7, 0.9 |
| Quintile 3 | 3 | 1, 4 | 1.2 | 1.1, 1.2 |
| Quintile 4 | 14 | 13, 16 | 1.9 | 1.8, 2 |
| Quintile 5 | 21 | 19, 22 | 2.3 | 2.1, 2.4 |
| Neighbourhood income | ||||
| Quintile 5/highest (Reference) | 0 | 0 | 1 | 0 |
| Quintile 4 | 1 | -1, 2 | 1 | 1, 1.1 |
| Quintile 3 | 3 | 1, 4 | 1.2 | 1.1, 1.3 |
| Quintile 2 | 2 | 1, 4 | 1.1 | 1, 1.2 |
| Quintile 1 | 20 | 18, 22 | 2.1 | 2, 2.3 |
Sex/gender inequalities in COVID-19 mortality across sub-populations
Between January 1 and July 4, 2020, among residents of private dwellings, the largest inequalities in mortality between males and females were among apartment dwellers (difference of 15 to 18 more deaths per 100,000, male-to-female ratios of 1.8 to 2) (Figure 3). Within other dwelling type subgroups, rate differences ranged from four to 10 deaths per 100,000 (male-to-female ratios of 1.6 to 2.1) (Figure 3).
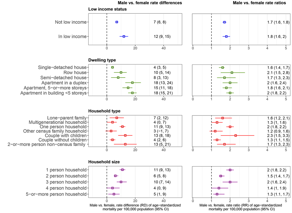
Figure 3: Age-standardized mortality rate differences and ratios between males and females (reference group) by individual-level subgroups, January 1 to July 4, 2020

Text description: Figure 3
Figure 3 is made up of eight panels, arranged into four rows and two columns. Each panel presents a forest plot of male-to-female inequality estimates. Each panel row presents the inequality estimates for a distinct variable. The four variables presented in Figure 3 are low-income status, dwelling type, household type, and household size. Two male vs. female inequality metrics were estimated: male vs. female mortality rate differences and rate ratios. The left column panels present forest plots of male vs. female mortality rate difference estimates for each variable. The right column panels present forest plots of the male vs. female mortality rate ratio estimates for each variable.
| Stratifier | Male vs. female rate difference (RD) of age-standardized mortality per 100,000 population | 95% CI | Male vs. female rate ratio (RR) of age-standardized mortality per 100,000 population | 95% CI |
|---|---|---|---|---|
| Low-income status | ||||
| Not low-income | 7 | 6, 8 | 1.7 | 1.6, 1.8 |
| In low-income | 12 | 9, 15 | 1.8 | 1.6, 2 |
| Dwelling type | ||||
| Single-detached house | 18 | 15, 21 | 2 | 1.8, 2.2 |
| Row house | 8 | 3, 13 | 1.7 | 1.3, 2.3 |
| Semi-detached house | 4 | 3, 5 | 1.6 | 1.4, 1.7 |
| Flat or apartment in a duplex | 10 | 5, 14 | 2.1 | 1.5, 2.8 |
| Apartment in building with five or more storeys | 18 | 13, 24 | 2 | 1.6, 2.4 |
| Apartment in building with fewer than five storeys | 15 | 11, 18 | 1.8 | 1.6, 2.1 |
| Household type | ||||
| Lone-parent family | 13 | 5, 21 | 1.7 | 1.3, 2.3 |
| Multigenerational household | 4 | 0, 7 | 1.3 | 1, 1.6 |
| One person household | 11 | 9, 13 | 2 | 1.8, 2.2 |
| Other census family household | 3 | -1, 7 | 1.2 | 0.9, 1.6 |
| Couple without children | 7 | 2, 12 | 1.6 | 1.2, 2.1 |
| Couple with children | 4 | 2, 6 | 1.3 | 1.1, 1.5 |
| Two or more person non-census family (excluding multigenerational) | 13 | 8, 18 | 2.3 | 1.5, 3.3 |
| Household size | ||||
| 1 person | 11 | 9, 13 | 2 | 1.8, 2.2 |
| 2 persons | 6 | 5, 8 | 1.5 | 1.4, 1.7 |
| 3 persons | 10 | 7, 14 | 2 | 1.6, 2.4 |
| 4 persons | 4 | 0, 9 | 1.4 | 1, 1.9 |
| 5 persons or more | 5 | 1, 9 | 1.3 | 1.1, 1.7 |
Among household types, the largest sex/gender inequalities were within one-person households, two-or-more non-census family households and couples with children (rate differences of 11 to 13 per 100,000, male-to-female ratios of 1.7 to 2.3) (Figure 3). In the other household types, differences ranged from three to seven per 100,000 (male-to-female ratios of 1.2 to 1.6), with several 95% confidence intervals crossing the null (Figure 3). Males experienced 12 more deaths per 100,000 (male-to-female ratio of 1.8) in low-income groups, compared with seven more deaths per 100,000 (male-to-female ratio of 1.7) in groups not in low-income (Figure 3). Lastly, compared with females, males experienced between six and 11 more deaths in one to three-person households (1.5 to 2 times higher rates) (Figure 3). In the other household size subgroups, the 95% confidence intervals for the rate differences and ratios were close to the null (Figure 3).
Similarly, between January 1 and August 31, 2020, sex/gender inequalities varied across area-level disaggregates. There were 11 more male than female deaths per 100,000 in CMAs compared with two more male deaths per 100,000 outside of urban centres (Figure 4). The difference in mortality rates between males and females was highest in areas with lowest income or highest ethno-cultural composition concentration: per 100,000, there were 18 more male deaths in income quintile 1 (1.6 times higher rates) and 13 more male deaths in ethno-cultural composition quintile 5 (1.4 times higher rates) (Figure 4).
Figure 4: Age-standardized mortality rate differences and ratios between males and females (reference group) by area-level subgroups, January 1 to August 31, 2020

Text description: Figure 4
Figure 4 is made up of six panels, arranged into three rows and two columns. Each panel presents a forest plot of male-to-female inequality estimates. Each panel row presents the inequality estimates for a distinct variable. The three variables presented in Figure 4 are residence in a large urban centre, area-level ethno-cultural composition quintiles and area-level income quintiles. Two male vs. female inequality metrics were estimated: male vs. female mortality rate differences and rate ratios. The left column panels present forest plots of male vs. female mortality rate difference estimates for each variable. The right column panels present forest plots of the male vs. female mortality rate ratio estimates for each variable.
| Stratifier | Male vs. female rate difference (RD) of age-standardized mortality per 100,000 population | 95% CI | Male vs. female rate ratio (RR) of age-standardized mortality per 100,000 population | 95% CI |
|---|---|---|---|---|
| CMA residence | ||||
| Outside of large urban centers | 2 | 1, 3 | 1.7 | 1.4, 2.1 |
| Large urban center (CMAs) | 11 | 9, 12 | 1.4 | 1.3, 1.4 |
| Ethno-cultural composition | ||||
| Quintile 1/lowest concentration) | 1.3 | 1.1, 1.4 | 4 | 2, 6 |
| Quintile 2 | 1.2 | 1, 1.3 | 2 | 0, 4 |
| Quintile 3 | 1.4 | 1.2, 1.5 | 6 | 4, 8 |
| Quintile 4 | 1.5 | 1.4, 1.6 | 12 | 9, 15 |
| Quintile 5 | 1.4 | 1.3, 1.5 | 13 | 10, 16 |
| Neighbourhood income | ||||
| Quintile 5/highest | 2 | 0, 5 | 1.1 | 1, 1.3 |
| Quintile 4 | 5 | 3, 8 | 1.3 | 1.2, 1.5 |
| Quintile 3 | 4 | 2, 6 | 1.2 | 1.1, 1.3 |
| Quintile 2 | 7 | 6, 9 | 1.5 | 1.3, 1.6 |
| Quintile 1/lowest | 18 | 15, 20 | 1.6 | 1.5, 1.7 |
Discussion
This study aimed to provide a snapshot of the individual and area-level inequalities in COVID-19 mortality in Canada at the start of the pandemic. At an individual-level, the largest inequalities in mortality were observed between apartment residents and single-detached house residents. At an area-level, large inequalities were observed between those living in large urban centres, in lowest income and highest ethno-cultural composition concentration areas, compared with respective reference groups. Inequalities in male versus female mortality rates were also higher in each of the above subgroups. These findings highlight how populations facing socioeconomic disadvantage have experienced a higher overall burden of deaths.
The observed inequalities, particularly in relation to income and ethno-cultural composition, are consistent with previous Canadian findings at regionalFootnote 1Footnote 2Footnote 3, provincialFootnote 4Footnote 5 and nationalFootnote 6Footnote 7Footnote 39 levels. Further, inequalities by sex/gender and area-level income are also aligned with what has been observed for other infectious and chronic disease outcomes and overall mortality in CanadaFootnote 11Footnote 40Footnote 41.
Previous reporting has highlighted that inequalities in COVID-19 mortality are likely attributable to social and economic differences in SARS-CoV-2 infectionFootnote 13Footnote 14Footnote 15, and distributions of underlying mortality risk factors, including chronic condition prevalence and access to and use of health servicesFootnote 9. For example, systemic inequities in working and living conditions can shape inequitable distributions of infections and morbidity riskFootnote 8. The larger sex/gender inequalities in COVID-19 mortality observed in some subgroups are likely an indication of the interplay between sex-based immunological factorsFootnote 42 and gendered domestic and occupational experiences that shape infection and morbidity risk, including risk behaviours (e.g. smoking, lower use of health care servicesFootnote 11) and chronic disease prevalenceFootnote 42.
Further, included in hypothesized social determinants of COVID-19 outcomes are public health measures, which can have differential impacts across populations, especially with regards to SARS-CoV-2 transmission. For example, a Toronto Foundation report indicated how closures of nonessential workplaces were associated with lower SARS-CoV-2 transmission rates in higher-income neighbourhoods, where more residents could work from home Footnote 43. This policy appeared to be less effective in areas with lower income and higher concentration of visible minority populationsFootnote 43. It is common for universal public health strategies to have differential impacts if certain socioeconomic groups face structural barriers in experiencing the benefits of interventionsFootnote 44Footnote 45, such as inability to work from homeFootnote 46, absence of discretionary time or linguistic differencesFootnote 11. Strategies that combine universal and targeted approaches, based on the proportionate needs of populations, are believed to be able to overcome these limitationsFootnote 47.
Perhaps most importantly, the burden of COVID-19 observed in some groups but not others highlights how inequalities in COVID-19 mortality could plausibly be avoided and therefore considered inequitableFootnote 48. In light of these findings, it is evident that work needs to be done in Canada to advance health equity during this pandemic and into the future so that these inequities can be prevented, as proposed in the Key Health Inequalities in Canada reportFootnote 11.
Limitations
This study has several limitations. First, this analysis is intended to better understand differences in mortality between populations, using the best available sources of data. However, as noted, the provisional data used herein likely underestimated COVID-19 mortality rates. The rates reported do not capture all COVID-19 deaths that occurred in Canada in the study period. It is unclear how under-reporting may have influenced the magnitude of inequalities observed. It is also not yet known how differences in under-reporting across groups, or spatial-temporal changes in under-reporting or transmission rates, may have influenced the size of inequalities across time. Second, due to limitations in data access, this study did not explore interactions between measures, nor was a multivariate analysis performed to identify the precise pathways through which these inequalities manifest. Although sensitivity analyses performed suggested moderate to minimal vulnerability to confounding bias for observed associations, future multivariate analyses are needed to address these data gaps. Third, individuals' personal or area-level characteristics may have changed between the time of the 2016 Census collection and when the deaths occurred. It is unclear how this may have influenced inequality estimates. It was not possible in this study to distinguish which of the deaths integrated with area-level data, or inequalities therein, occurred among residents of long-term care institutions and which occurred in private dwellings. These remain important areas of future study. Lastly, this study did not explore several other social determinants, including gender, Indigeneity or race/ethnicity, as these data were not available. An exploration of these social determinants, and of inequalities by province and territory, at later time points during the pandemic, including following the advent of variants of concernFootnote 49 and immunization campaigns, remain other important areas of future investigation.
Conclusion
The burden of COVID-19 mortality between January and July/August 2020 was not experienced equally across all populations and communities in Canada. This study highlights the role of social determinants of health and socioeconomic inequalities in shaping inequitable distributions of COVID-19 burden, and the need to consider these factors in future analyses, to prepare a health equity-informed pandemic response.
Authors' statement
- AB — Conceptualized the study, performed analyses of absolute and relative inequalities, interpreted the data, drafted the manuscript, and revised the manuscript
- SYP — Conceptualized the study, performed analyses of absolute and relative inequalities, drafted and provided feedback on the manuscript
- NA — Estimated disaggregated rates and provided feedback on the manuscript
- FJY — Estimated disaggregated rates and provided feedback on the manuscript
- RS — Estimated disaggregated rates and provided feedback on the manuscript
- CS — Conceptualized the study and provided feedback on the manuscript
Competing interests
None.
Acknowledgements
This analysis is a product of the Pan-Canadian Health Inequalities Reporting (HIR) Initiative. Established in 2012 and led by the Public Health Agency of Canada (PHAC), the HIR Initiative involves a collaboration between PHAC, Statistics Canada, the Pan-Canadian Public Health Network, the Canadian Institute for Health Information and the First Nations Information Governance Centre. Past HIR Initiative reporting has included an online health inequality data visualization tool (the Health Inequalities Data Tool) and the 2018 Key Health Inequalities in Canada: A National Portrait. We would like to acknowledge the contributions of Scott Van Millingen and Hongbo Liang on the development of the HIR Initiative COVID-19 Data Tool and the Health Inequalities Data Tool.
Funding
This work was supported by the Public Health Agency of Canada.
Supplemental material
These documents can be accessed on the Supplemental tables file.
- Supplemental Table S1
- Supplemental Table S2
- Supplemental Table S3
- Supplemental Table S4
- Supplemental Table S5
- Supplemental Table S6
- Supplemental Table S7
