Draft screening assessment - Benzotriazoles and Benzothiazoles Group
Official title: Draft screening assessment - Benzotriazoles and Benzothiazoles Group
Environment and Climate Change Canada
Health Canada
March 2021
Synopsis
Pursuant to section 68 or 74 of the Canadian Environmental Protection Act, 1999 (CEPA), the Minister of the Environment and the Minister of Health have conducted a screening assessment on fifteen of seventeen substances referred to collectively under the Chemicals Management Plan as the Benzotriazoles and Benzothiazoles Group. Ten of these fifteen substances were identified as priorities for assessment as they met categorization criteria under subsection 73(1) of CEPA and one substance was considered a priority on the basis of other human health concerns. Although the remaining four substances did not meet categorization criteria (TBBS, CBS, benzotriazole, and UV-320), they were included in this assessment because they were identified as priorities for assessment in the Identification of Risk Assessment Priorities review. Two of the seventeen substances were determined to be of low concern through other approaches, and decisions for these substances are provided in separate reports.Footnote 1, Footnote 2 Accordingly, this screening assessment addresses the fifteen substances listed in the table below. The fifteen substances addressed in this screening assessment will hereinafter be referred to as the Benzotriazoles and Benzothiazoles Group. The Chemical Abstracts Service Registry Numbers (CAS RNFootnote 3 ), their Domestic Substances List (DSL) names and their common names or acronyms, as well as their subgroup as either benzotriazoles or benzothiazoles, are listed in the table below.
| CAS RN | DSL name | Common name and/or acronym | Subgroup |
|---|---|---|---|
| 95-14-7a | 1H-Benzotriazole | Benzotriazole | Benzotriazoles |
| 3147-75-9 | Phenol, 2-(2H-benzotriazol-2-yl)-4-(1,1,3,3-tetramethylbutyl)- | UV-329 | Benzotriazoles |
| 3846-71-7a | Phenol, 2-(2H-benzotriazol-2-yl)-4,6-bis(1,1-dimethylethyl)- | UV-320 | Benzotriazoles |
| 3896-11-5 | Phenol, 2-(5-chloro-2H-benzotriazol-2-yl)-6-(1,1-dimethylethyl)-4-methyl- | UV-326 | Benzotriazoles |
| 29385-43-1b | 1H-Benzotriazole, 4(or 5)-methyl- | Tolyltriazole | Benzotriazoles |
| 36437-37-3 | Phenol, 2-(2H-benzotriazol-2-yl)-4-(1,1-dimethylethyl)-6-(1-methylpropyl)- | UV-350 | Benzotriazoles |
| 70321-86-7 | Phenol, 2-(2H-benzotriazol-2-yl)-4,6-bis(1-methyl-1-phenylethyl)- | UV-234 | Benzotriazoles |
| 80595-74-0 | 1H-Benzotriazole-1-methanamine, N,N-bis(2-ethylhexyl)-5-methyl- | NA | Benzotriazoles |
| 94270-86-7b | 1H-Benzotriazole-1-methanamine, N,N-bis(2-ethylhexyl)-ar-methyl- | NA | Benzotriazoles |
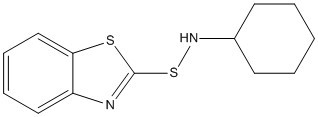
| 95-31-8a | 2-Benzothiazolesulfenamide, N-(1,1-dimethylethyl) | TBBS | Benzothiazoles |
| 95-33-0a | 2-Benzothiazolesulfenamide, N-cyclohexyl- | CBS | Benzothiazoles |
| 120-78-5c | Benzothiazole, 2,2’-dithiobis- | MBTS | Benzothiazoles |
| 149-30-4 | 2(3H)-Benzothiazolethione | MBT | Benzothiazoles |
| 2492-26-4 | 2(3H)-Benzothiazolethione, sodium salt | SMBT | Benzothiazoles |
| 4979-32-2 | 2-Benzothiazolesulfenamide, N,N-dicyclohexyl- | DCBS | Benzothiazoles |
Abbreviations: NA, Not Available
a Substance was prioritized under IRAP.
b This CAS RN is a UVCB (unknown or variable composition, complex reaction products, or biological materials).
c This substance was not identified under subsection 73(1) of CEPA but was included in this assessment as it was considered a priority on the basis of other human health concerns.
The substances in the benzotriazoles subgroup are not expected to occur naturally, while the natural occurrence of substances in the benzothiazoles subgroup is expected to be rare. The substances in both groups are used in various applications. According to information submitted in response to a CEPA section 71 survey, tolyltriazole was the only substance manufactured in Canada at a quantity between 1000 and 10 000 kg in either 2014 or 2015. Two substances, UV-320 and CAS RN 80595-74-0, were not reported to be imported above 100 kg, while the remaining substances in the Benzotriazoles and Benzothiazoles Group were imported into Canada in total quantities for each substance ranging from 100 to 1 000 000 kg, for the same years. Substances in the benzotriazoles subgroup are used in various products including cosmetics, food packaging, and lubricants and greases. Some of these substances are used as UV light stabilizers and corrosion inhibitors. Substances in the benzothiazoles subgroup have uses in automotive products, rubber products, lubricants and greases, and mining. TBBS, CBS, MBTS, MBT, and DCBS are often used as accelerators for the vulcanization of rubber, and SMBT is used as a corrosion inhibitor.
The ecological risks of the substances in the benzotriazoles subgroup were characterized using the ecological risk classification of organic substances (ERC), which is a risk-based approach that employs multiple metrics for both hazard and exposure, with weighted consideration of multiple lines of evidence for determining risk classification. Hazard profiles are based principally on metrics regarding mode of toxic action, chemical reactivity, food web-derived internal toxicity thresholds, bioavailability, and chemical and biological activity. Metrics considered in the exposure profiles include potential emission rate, overall persistence, and long-range transport potential. A risk matrix is used to assign a low, moderate or high level of potential concern for substances on the basis of their hazard and exposure profiles. Based on the outcome of ERC analysis, substances in the benzotriazoles subgroup are considered unlikely to be causing ecological harm.
The substances in the benzothiazoles subgroup all contain the 2‑mercaptobenzothiazole (MBT) moiety. This moiety was identified as the key part of the molecule which may be released to the Canadian environment based either on direct use and release of MBT or through indirect release due to degradation of the parent compounds. Precursors to MBT are considered substances that contain an MBT moiety and that can degrade to MBT through any transformation pathway (e.g., hydrolytic, redox, digestive or metabolic) at environmentally, industrially or physiologically relevant conditions. Therefore, the assessment of the benzothiazoles subgroup considers MBT and all substances that are precursors to MBT (herein referred to as MBT and its precursors). Upon exposure to water the parent compounds are expected to degrade to MBT which will largely remain in the water given its solubility; however, sorption to particulate matter is possible. In such cases it would be expected that sorbed substances could settle to the sediment.
Predominant sectors for which release to water may occur include tire and other rubber products manufacturing, use in metalworking fluids and use in some subsectors of the mining industry. Release to terrestrial environments is possible as a result of biosolids application.
Experimental toxicity data indicate that MBT has the potential to cause harm to aquatic organisms at low concentrations. MBT is expected to persist but has low potential to bioaccumulate. Risk quotient analyses were conducted to compare estimated aquatic concentrations to adverse effect concentrations in aquatic organisms for different exposure scenarios. Exposure scenarios for tire and other rubber products manufacturing, use in lubricants, and use in some mining subsectors indicate that MBT poses a risk to aquatic organisms. Scenarios involving releases to soil do not indicate a risk.
Considering all available lines of evidence presented in this draft screening assessment, there is low risk of harm to the environment from the benzotriazoles subgroup. It is proposed to conclude that the substances in the benzotriazoles subgroup do not meet the criteria under paragraphs 64(a) or (b) of CEPA as they are not entering the environment in a quantity or concentration or under conditions that have or may have an immediate or long-term harmful effect on the environment or its biological diversity or that constitute or may constitute a danger to the environment on which life depends.
Considering all available lines of evidence presented in this draft screening assessment, there is risk of harm to the environment from 2-mercaptobenzothiazole (MBT) and its precursors. It is proposed to conclude that MBT and its precursors, including the substances in the benzothiazoles subgroup, meet the criteria under paragraph 64(a) of CEPA as they are entering or may enter the environment in a quantity or concentration or under conditions that have or may have an immediate or long-term harmful effect on the environment or its biological diversity. However, it is proposed to conclude that the substances in the benzothiazoles subgroup do not meet the criteria under paragraph 64(b) of CEPA as they are not entering the environment in a quantity or concentration or under conditions that constitute or may constitute a danger to the environment on which life depends.
With respect to human health, UV-350 was evaluated by the Threshold of Toxicological Concern (TTC)-based Approach for Certain Substances, which is based on the potential hazard of similar chemical structures, as well as chemical-specific genotoxicity data, when available. The estimate of exposure generated for UV-350 was lower than the TTC value, indicating a low probability of risk to human health. Therefore, UV-350 is considered to be a low concern for human health at current levels of exposure.
For the benzotriazoles subgroup, health effects of concern for benzotriazole and tolyltriazole, based largely on health effects associated with benzotriazole, include kidney, liver, uterine, prostate, lymph node, and bone marrow effects and carcinogenicity. For tolyltriazole, additional effects of concern include changes to blood parameters. As the health effects database for UV-329 was limited, the critical health effects for this substance were identified based on health effects associated with the structurally-related substance UV-320, which are predominantly liver effects. For UV-326, the health effects of concern are systemic effects. The principal health effects of concern for UV-234 are liver effects. In the absence of substance-specific health effects data for CAS RN 80595-74-0, the health effects of concern for this substance are considered to be the same as those identified for the structurally-related substance CAS RN 94270-86-7, which include developmental effects, systemic effects, and effects in the thymus, lymphoid, and spleen.
The general population of Canada may be exposed to certain substances in the benzotriazoles subgroup from environmental media, such as drinking water and indoor air, dietary intake of certain fish and seafood, breast milk, and from the use of products available to consumers, such as cosmetics (e.g., nail products, lip and cheek tint, and soap), ink pens, and automotive products (e.g., lubricant, cooling system repair, and protective removable auto paint). Exposures of the Canadian general population to CAS RN 94270-86-7 are expected to be similar to those of CAS RN 80595-74-0 based on their chemical structures and identified uses. Comparisons of the levels at which critical health effects occur (or in their absence the highest tested dose in key studies) and the levels to which the general population may be exposed resulted in margins which are considered adequate to address uncertainties in the health effects and exposure databases for benzotriazole, UV-329, UV-326, tolyltriazole, UV-234, CAS RN 80595-74-0, and CAS RN 94270-86-7.
For the benzothiazoles subgroup, the health effect of concern for MBT is bladder cancer based upon the International Agency for Research on Cancer (IARC) classification for MBT as a group 2A carcinogen (“probably carcinogenic to humans”). In the absence of substance-specific carcinogenicity data for TBBS, CBS, MBTS, SMBT, and DCBS, effects for the structurally-related substance MBT was used to inform cancer risk assessments. For non-cancer effects, the health effect of concern for CBS is kidney effects, and for MBT and SMBT changes in body and liver weights have been observed, respectively. Due to limited substance-specific data for MBTS, the identification of critical health effects was informed by the structurally-similar substances MBT and SMBT.
Potential exposures of the Canadian general population to the benzothiazoles subgroup were estimated based on potential levels in drinking water, dietary intake of certain fish and seafood and on the use of products available to consumers, such as rubber granulates used on synthetic turf, and an automotive lubricant. Comparisons of the critical effect levels to the estimated levels of exposure to TBBS, CBS, MBTS, MBT, SMBT, and DCBS result in margins that are considered adaquate to account for uncertainties in the health effects and exposure databases.
On the basis of the information presented in this draft screening assessment, it is proposed to conclude that benzotriazole, UV-329, UV-320, UV-326, tolyltriazole, UV-350, UV-234, CAS RN 80595-74-0, CAS RN 94270-86-7, TBBS, CBS, MBTS, MBT, SMBT, and DCBS do not meet the criteria under paragraph 64(c) of CEPA as they are not entering the environment in a quantity or concentration or under conditions that constitute or may constitute a danger in Canada to human life or health.
It is therefore proposed to conclude that the nine substances in the benzotriazoles subgroup do not meet any of the criteria set out in section 64 of CEPA and that MBT and its precursors, including the six substances in the benzothiazoles subgroup, meet one or more of the criteria set out in section 64 of CEPA. It is also proposed that MBT meets the persistence criteria but not the bioaccumulation criteria as set out in the Persistence and Bioaccumulation Regulations of CEPA. The remainder of the substances in the benzothiazoles subgroup do not meet the persistence and bioaccumulation criteria as set out in the Persistence and Bioaccumulation Regulations of CEPA.
1. Introduction
Pursuant to section 68 or 74 of the Canadian Environmental Protection Act, 1999 (CEPA) (Canada 1999), the Minister of the Environment and the Minister of Health have conducted a screening assessment on fifteen of seventeen substances, referred to collectively under the Chemicals Management Plan as the Benzotriazoles and Benzothiazoles Group, to determine whether these fifteen substances present or may present a risk to the environment or to human health. Ten of these fifteen substances were identified as priorities for assessment as they met categorization criteria under subsection 73(1) of CEPA and one substance was considered a priority on the basis of other human health concerns (ECCC, HC [modified 2017]). Although the remaining four substances did not meet categorization criteria (TBBS, CBS, benzotriazole, and UV-320), they were included in this assessment because they were identified as priorities for assessment in the Identification of Risk Assessment Priorities review (ECCC, HC 2016a; Environment Canada, Health Canada 2014).
The other two substances (CAS RNsFootnote 4 21564-17-0, Thiocyanic acid, (2-benzothiazolylthio) methyl ester; 80584-90-3, 1H-Benzotriazole-1-methanamine, N,N-bis(2-ethylhexyl)-4-methyl-) were considered in the Ecological Risk Classification of Organic Substances (ERC) Science Approach Document (ECCC 2016a), and in either the Threshold of Toxicological Concern (TTC)-based Approach for Certain Substances Science Approach Document (Health Canada 2016), or via the approach applied in the Rapid Screening of Substances with Limited General Population Exposure (ECCC, HC 2018a), and were identified as being of low concern to both human health and the environment. Conclusions for these two substances are provided in the Substances Identified as Being of Low Concern using the Ecological Risk Classification of Organic Substances and the Threshold of Toxicological Concern (TTC)-based Approach for Certain Substances Screening Assessment (ECCC, HC 2018b) and the Rapid Screening of Substances with Limited General Population Exposure Screening Assessment (ECCC, HC 2018a). As such, these two substances are not further addressed in this report, although CAS RN 21564-17-0 is considered in the ecological assessment as a potential precursor of 2-mercaptobenzothiazole. The fifteen substances addressed in this screening assessment will hereinafter be referred to as the Benzotriazoles and Benzothiazoles Group. For the purpose of this screening assessment, the Benzotriazoles and Benzothiazoles Group is composed of two chemically distinct groups, the benzotriazoles subgroup and the benzothiazoles subgroup. As a result, this assessment report is divided into two chapters.
The ecological risks of the nine benzotriazole substances were characterized using the process described in the ecological risk classification of organic substances (ECCC 2016a).
UV-350, which is part of the benzotriazoles subgroup, was included in the Threshold of Toxicological Concern (TTC)-based Approach for Certain Substances science approach document (Health Canada 2016). In that approach, Health Canada used a structure-based decision tree and chemical-specific data on genotoxicity (e.g., Ames test), when available, to assign a human exposure threshold value for a chemical, below which there is a low probability of risk to human health (i.e., TTC value). For each substance in the TTC-based approach, potential exposure of the Canadian general population was characterized and compared to the TTC value assigned to the substance. UV-350 was associated with exposure lower than its assigned TTC value. Therefore, this substance is considered to be a low concern for human health at current levels of exposure.
Some of the substances in the Benzotriazoles and Benzothiazoles Group were reviewed internationally through the Organisation for Economic Co-operation and Development (OECD) Cooperative Chemicals Assessment Programme, the International Agency for Research on Cancer (IARC), the European Chemicals Agency (ECHA), the Danish Environmental Protection Agency (Danish EPA), and the United States Environmental Protection Agency (US EPA). These assessments undergo rigorous review and these assessments are considered to be reliable. One substance in the benzotriazoles subgroup was reviewed in part by Environment and Climate Change Canada and Health Canada to inform the health effects of a structurally-related substance, BDTPFootnote 5 in a Screening Assessment Report (ECCC, HC 2016b). These assessments were used to inform the health effects characterization for certain substances in this screening assessment.
This draft screening assessment includes consideration of information on chemical properties, environmental fate, hazards, uses and exposures, including additional information submitted by stakeholders. Relevant data were identified up to August 2018, with targeted literature searches up to June 2019. Empirical data from key studies as well as results from models were used to reach proposed conclusions. When available and relevant, information presented in assessments from other jurisdictions was considered.
This draft screening assessment was prepared by staff in the CEPA Risk Assessment Program at Health Canada and Environment and Climate Change Canada and incorporates input from other programs within these departments. The ecological and human health portions of this assessment have undergone external review and/or consultation. Comments on the technical portions relevant to the environment were received from the Germany Environment Agency (Umweltbundesamt), Dr. James Armitage (AES Armitage Environmental Sciences, Inc.), and Dr. Connie Gaudet. Comments on the technical portions relevant to human health were received from Dr. M. Silvia Díaz-Cruz, Dr Y.S. Liu, and Dr. K. Kannan (Risk Sciences International). The ecological portion of the benzotriazoles subgroup assessment is based on the ERC document (published July 30, 2016), which was subject to an external review as well as a 60-day public comment period.
This draft screening assessment focuses on information critical to determining whether substances meet the criteria as set out in section 64 of CEPA by examining scientific information and incorporating a weight of evidence approach and precaution.Footnote 6 This draft screening assessment presents the critical information and considerations on which the proposed conclusions are based.
2. Benzotriazoles
2.1 Identity of substances
The CAS RN, Domestic Substances List (DSL) names and common names (or acronyms) for the individual benzotriazoles in the benzotriazoles subgroup are presented in Table 2‑1.
| CAS RN | DSL name (common name or acronym) | Chemical structure and molecular formula | Molecular weight (g/mol) |
|---|---|---|---|
| 95-14-7 | 1H-Benzotriazole (Benzotriazole) | C6H5N3 | 119.13 |
| 3147-75-9 | Phenol, 2-(2H-benzotriazol-2-yl)-4-(1,1,3,3-tetramethylbutyl)- (UV-329) | C20H25N3O | 323.43 |
| 3846-71-7 | Phenol, 2-(2H-benzotriazol-2-yl)-4,6-bis(1,1-dimethylethyl)- (UV-320) | C20H25N3O | 323.43 |
| 3896-11-5 | Phenol, 2-(5-chloro-2H-benzotriazol-2-yl)-6-(1,1-dimethylethyl)-4-methyl- (UV-326) | C17H18ClN3O | 315.80 |
| 29385-43-1a | 1H-Benzotriazole, 4(or 5)-methyl- (Tolyltriazole) | C7H7N3 | 133.15 |
| 36437-37-3 | Phenol, 2-(2H-benzotriazol-2-yl)-4-(1,1-dimethylethyl)-6-(1-methylpropyl)- (UV-350) | C20H25N3O | 323.44 |
| 70321-86-7 | Phenol, 2-(2H-benzotriazol-2-yl)-4,6-bis(1-methyl-1-phenylethyl)- (UV-234) | C30H29N3O | 447.58 |
| 80595-74-0 | 1H-Benzotriazole-1-methanamine, N,N-bis(2-ethylhexyl)-5-methyl- | C24H42N4 | 386.63 |
| 94270-86-7b | 1H-Benzotriazole-1-methanamine, N,N-bis(2-ethylhexyl)-ar-methyl- | C24H42N4 | 386.63 |
a Commercial mixture of 4- and 5-methylbenzotriazole.
b Mixture of N,N-bis(2-ethylhexyl)-4-methyl-1Hbenzotriazole-1-methylamine, N,N-bis(2-ethylhexyl)-5-methyl-1H-benzotriazole-1-methylamine, N,N-bis(2-ethylhexyl)-6-methyl-1H-benzotriazole-1-methylamine, and N,N-bis(2-ethylhexyl)-7-methyl-1H-benzotriazole-1-methylamine.
2.1.1 Selection of analogues and use of (Q)SAR models
A read-across approach using data from analogues and the results of (quantitative) structure-activity relationship ((Q)SAR) models, where appropriate, has been used to inform the ecological and human health assessments. Analogues were selected that were structurally similar and/or functionally similar to substances within this subgroup (similar physical chemical properties, toxicokinetics), and that had relevant empirical data that could be used to read-across to substances with limited empirical data. The applicability of (Q)SAR models was determined on a case-by-case basis. Details of the read-across data and (Q)SAR models chosen to inform the ecological and human health assessments of the benzotriazoles subgroup are further discussed in the relevant sections of this report and in Appendix A.
The majority of the analogues used to inform the assessment of the benzotriazoles subgroup are substances already included within the subgroup (i.e., benzotriazole, UV-320, UV-326, UV-350, UV-234, CAS RN 94270-86-7). Information on the identity and chemical structure of the analogue used to inform this assessment, that is not included in the benzotriazoles subgroup, is presented in Table 2‑2.
| CAS RN | DSL name (common name) | Chemical structure and molecular formula | Molecular weight (g/mol) |
|---|---|---|---|
| 2440-22-4 | Phenol, 2-(2H-benzotriazol-2-yl)-4-methyl- (Drometrizole) | C13H11N3O | 225 |
2.2 Physical and chemical properties
A summary of physical and chemical property data of the substances in the benzotriazoles subgroup are presented in Table 2‑3 and Table 2‑4. When experimental information was limited or not available for a property, data from analogues were used for read-across and/or (Q)SAR models were used to generate predicted values for the substance. Additional physical and chemical properties are reported in ECCC (2016). For the purpose of describing the physical-chemical properties, benzotriazoles were further subgrouped into phenolic and non-phenolic benzotriazoles. UV-329, UV-320, UV-326, UV-350, and UV-234 are all phenolic benzotriazoles (i.e., -OH bonded to C6H5 ring) and have similar chemical structures and physical-chemical properties, which are reported in Table 2‑3. Table 2‑4 presents physical-chemical properties data for the non-phenolic benzotriazoles.
| Property | Range | Key reference(s) |
|---|---|---|
| Melting point (°C) | 39.7 – 80 | ECHA c2007-2019; GSBL 2018 |
| Vapour pressure (Pa) | 4.14×10-9 – 1.14×10-6 | Median of models: MPBPWIN 2010; TEST 2016 |
| Henry’s law constant (Pa·m3/mol) | 1.37×10-15 – 1.17×10-13 | HENRYWIN 2008 |
| Water solubility (mg/L) | 4.55×10-4 – 7×10-3 | ECHA c2007-2019; WATERNT 2010 |
| Log Kow (dimensionless) | 6.85 – 8.98 | KOWWIN 2010 |
| Log Koc (dimensionless) | 4.95 – 6.39 | Median of models: KOCWIN 2010; ACD/Percepta c1997-2012 |
| Log Koa (dimensionless) | 18.17 – 22.22 | KOAWIN 2010 |
| pKa (dimensionless) | 10.2 – 10.3 | ACD/Percepta c1997-2012 |
Abbreviations: Kow, octanol-water partition coefficient; Koc, organic carbon-water partition coefficient; Koa, octanol-air partition coefficient; pKa, acid dissociation constant
| Property | Range | Key reference(s) |
|---|---|---|
| Melting point (°C) | 76 – 196.31 | Danish EPA 2013; MPBPWIN 2010 |
| Vapour pressure (Pa) | 4.34x10-7 – 14 | ECHA c2007-2018; MPBPWIN 2010 |
| Henry’s law constant (Pa·m3/mol) | 9.04×10-8 – 1.62×10-7 | HENRYWIN 2008 |
| Water solubility (mg/L) | 0.01175 – 19 800 | WSKOWWIN 2010 |
| Log Kow (dimensionless) | 1.44 – 7.62 | KOWWIN 2010 |
| Log Koc (dimensionless) | 1.724 – 5.849 | KOCWIN 2010 |
| Log Koa (dimensionless) | 6.661 – 13.052 | KOAWIN 2010 |
| pKa (dimensionless) | 6.7 – 8.7 | ACD/Percepta c1997-2012; ECHA c2007-2019 |
Abbreviations: Kow, octanol-water partition coefficient; Koc, organic carbon-water partition coefficient; Koa, octanol-air partition coefficient; pKa, acid dissociation constant
2.3 Sources and uses
The substances in the benzotriazoles subgroup are not expected to occur naturally. All of the substances in the benzotriazoles subgroup have been included in surveys issued pursuant to section 71 of CEPA (Canada 2017). Table 2‑5 presents a summary of information reported on the total manufacture and total import quantities for the benzotriazoles subgroup. No manufacturing or importing activities were reported for UV-320 or CAS RN 80595-74-0 above the reporting threshold of 100 kg.
| Substance | Total manufacture (kg) | Total imports (kg) | Reporting year |
|---|---|---|---|
| Benzotriazole | NRb | 10 000 – 100 000 | 2014 or 2015 |
| UV-329 | NRb | 1000 – 10 000 | 2015 |
| UV-326 | NRb | 100 – 1000 | 2015 |
| Tolyltriazole | 1000 – 10 000 | 10 000 – 100 000 | 2014 or 2015 |
| UV-350 | NRb | 100 – 1000 | 2015 |
| UV-234 | NRb | 1000 – 10 000 | 2015 |
| CAS RN 94270-86-7 | NRb | 10 000 – 100 000 | 2015 |
a Values reflect quantities reported in response to CEPA section 71 surveys (Canada 2017). See survey for specific inclusions and exclusions (schedules 2 and 3).
b NR = no manufacturing quantities were reported for the substance above the reporting threshold of 100 kg for either 2014 or 2015.
Table 2‑6 presents a summary of the major Canadian commercial and consumer uses of the benzotriazoles subgroup, according to information submitted in response to a CEPA section 71 survey (Canada 2017). Other uses were also reported but were identified as being confidential business information. These other uses, although not presented in this draft screening assessment report, were taken into consideration in the risk assessment.
| Major usesa,b | Benzotriazole | UV-329 | UV-326 | Tolyltriazole | UV-350 | UV-234 | CAS RN 94270-86-7 |
|---|---|---|---|---|---|---|---|
| Anti-freeze and de-icing | N | N | N | Y | N | N | N |
| Automotive, aircraft and transportation | Y | Y | N | Y | Y | Y | N |
| Building or construction materials | N | Y | N | N | Y | N | N |
| Electrical and electronics | N | N | N | N | N | Y | N |
| Laundry and dishwashing | N | N | N | Y | N | N | N |
| Lawn and garden care | N | N | N | N | N | Y | N |
| Lubricants and greases | Y | N | N | Y | N | N | Y |
| Paints and coatings | Y | N | N | N | N | Y | N |
| Pest control | Y | N | N | N | N | N | N |
| Plastic materials | N | N | Y | N | Y | N | N |
| Water treatment | Y | N | N | Y | N | N | N |
| Other | Yc,d | N | N | Yc | N | N | N |
Abbreviations: Y = yes, use was reported for this substance, N = no, use was not reported for this substance or its use is considered confidential information
a Non-confidential uses reported in response to CEPA section 71 surveys (Canada 2017). See surveys for specific inclusions and exclusions (schedules 2 and 3).
b No uses for UV-320 and 80595-74-0 were reported above threshold.
c Used as a corrosion inhibitor in closed system cooling water systems with no consumer activities.
d Used in cleaners with no consumer activities.
On the basis of notifications submitted under the Cosmetic Regulations to Health Canada, certain substances in the benzotriazoles subgroup have been notified to be present in cosmetics, including temporary tattoo kits and nail products containing benzotriazole, blocks of soap containing UV-329, and lip glosses, lip and cheek tints, and nail products containing UV-326 (personal communication, emails from the Consumer and Hazardous Products Safety Directorate, Health Canada, to the Existing Substances Risk Assessment Bureau (ESRAB), Health Canada, 2017, 2018; unreferenced).
Several substances in the benzotriazoles subgroup are listed on the Pest Management Regulatory Agency (PMRA) Pesticide Formulants List and are present in currently registered pest control products in Canada. Benzotriazole is used in slimicides, UV-329 is used in insect repellents and pheromones, UV-326 is used in insecticides, and tolyltriazole is used in a slimicide (personal communication, emails from PMRA, Health Canada, to ESRAB, Health Canada, 2017, 2018; unreferenced).
Some substances in the benzotriazoles subgroup may be used as components in food packaging materials or incidental additives with various potential for direct contact with food (personal communication, emails from the Food Directorate, Health Canada, to ESRAB, Health Canada, 2017, 2018; unreferenced). Benzotriazole may be used as a component in adhesives with no direct food contact. In addition, benzotriazole may be used as a component in additives for boiler, cooling, and retort water, lubricants, cleaners, and descalers, either with no direct food contact, or where food contact surfaces are thoroughly rinsed with potable water after treatment. UV-329 may be used as a UV stabilizer in some resins. UV-326 may be used in polyolefins for food packaging applications intended for all types of food, except fatty foods and foods containing more than 8% alcohol. Tolyltriazole may be used as a component in some lubricants used in the manufacture of food cans where any potential residual level of the lubricant is removed by a wash process. In addition, tolyltriazole may be used as a component in some products used in water systems, cleaners, and lubricants to be used on equipment or machine parts with no direct contact with food. UV-234 may be used as a UV stabilizer in some resins and as a stabilizer in rubber conveyor belts used to transport food. CAS RNs 80595-74-0 and 94270-86-7 may be used as components in lubricants with incidental food contact.
Benzotriazole is listed on the Natural Health Products Ingredients Database (NHPID) with a non-medicinal role for use as a preservative antimicrobial for topical use only, but it is not currently used in any licensed natural health products (NHPs) (LNHPD [modified 2018]; NHPID [modified 2019]; personal communication, email from the Natural and Non-prescription Health Products Directorate (NNHPD), Health Canada, to ESRAB, Health Canada, 2018; unreferenced). Benzotriazole is used as a non-medicinal ingredient in various disinfectants for medical instruments, hospitals, food premises, and institutional and industrial use (personal communication, email from the Therapeutic Products Directorate, Health Canada, to ESRAB, Health Canada, 2018; unreferenced). No uses as either medicinal or non-medicinal ingredients in drugs or natural health products were identified for the remaining substances in the benzotriazoles subgroup in Canada (LNHPD [modified 2018]; NHPID [modified 2019]; personal communication, emails from NNHPD, Health Canada, to ESRAB, Health Canada, 2017, 2018; unreferenced; personal communication, emails from the Therapeutic Products Directorate, Health Canada, to ESRAB, Health Canada, 2017, 2018; unreferenced).
Internationally, the substances in the benzotriazoles subgroup may be used as UV light stabilizers and corrosion inhibitors, may be present in do-it-yourself products, paints and coatings, markers and inks, textiles, plastic products, dishwashing and cleaning products, automotive products, and other products for industrial use (e.g., Danish EPA 2013; Rovira and Domingo 2019; Janna et al. 2011; Liu et al. 2017; Luongo et al. 2016; OECD 2009a; US EPA 2009; US NTP 2011; Vetter and Lorenz 2013; SDS 2013, 2016a, 2016b, 2017, 2018). For UV-320, the Rotterdam Convention indicated that the substance, under the category of industrial use, is banned from manufacture, import, and use in Japan (Rotterdam Convention 2008). Although not directly applicable to the Canadian market, this international action is consistent with the lack of uses identified in Canada.
2.4 Potential to cause ecological harm
2.4.1 Characterization of ecological risk
The ecological risks of the nine benzotriazoles were characterized using the process described in the ecological risk classification of organic substances (ECCC 2016a), which is summarized in Appendix B. The ERC describes the hazard of a substance using key metrics, including mode of toxic action, chemical reactivity, food web-derived internal toxicity thresholds, bioavailability, and chemical and biological activity, and considers the possible exposure of organisms in the aquatic and terrestrial environments on the basis of such factors as potential emission rates, overall persistence, and long-range transport potential in air. The various lines of evidence are combined to identify substances as warranting further evaluation of their potential to cause harm to the environment or as having a low likelihood of causing harm to the environment.
Critical data and considerations used to develop the substance-specific profiles for the substances in the benzotriazoles subgroup, and the hazard, exposure and risk classification results are presented in ECCC (2016b).
| Domestic Substances List name (Abbreviation) | ERC hazard classification | ERC exposure classification | ERC risk classification |
|---|---|---|---|
| 1H-Benzotriazoleb (Benzotriazole) | Low | Low | Low |
| Phenol, 2-(2H-benzotriazol-2-yl)-4-(1,1,3,3-tetramethylbutyl)- (UV-329) | High | Low | Moderate |
| Phenol, 2-(2H-benzotriazol-2-yl)-4,6-bis(1,1-dimethylethyl)- (UV-320) | High | Lowa | Moderate |
| Phenol, 2-(5-chloro-2H-benzotriazol-2-yl)-6-(1,1-dimethylethyl)-4-methyl- (UV 326) | High | Low | Moderate |
| 1H-Benzotriazole, 4(or 5)-methyl- (Tolyltriazole) | Low | Low | Low |
| Phenol, 2-(2H-benzotriazol-2-yl)-4-(1,1-dimethylethyl)-6-(1-methylpropyl)- (UV-350) | High | Low | Moderate |
| Phenol, 2-(2H-benzotriazol-2-yl)-4,6-bis(1-methyl-1-phenylethyl)- (UV-234) | High | Low | Moderate |
| 1H-Benzotriazole-1-methanamine, N,N-bis(2-ethylhexyl)-5-methyl- | High | Low | Low |
| 1H-Benzotriazole-1-methanamine, N,N-bis(2-ethylhexyl)-ar-methyl-b | Low | Low | Low |
Abbreviations: ERC, Ecological Risk Classification
a In ERC (ECCC 2016a) this substance was evaluated as having moderate exposure. This report provides updates to the ERC evaluation.
b Classified as ERC low by analogy to 1H-benzotriazole, 4(or 5)-methyl-.
According to information considered under ERC, six substances in the benzotriazoles subgroup were classified as having a high hazard potential on the basis of the agreement between reactive mode of action and elevated toxicity ratio, both of which suggest that these chemicals are likely of high potency. These substances were profiled to have a high potential to cause adverse effects in aquatic food webs given their bioaccumulation potential. These substances were classified as having low or moderate potential for ecological risk; however, the risk classification was decreased to low potential for ecological risk following the adjustment of risk classification based on current use quantities (see section 7.1.1 of the ERC approach document [ECCC 2016a]). The potential effects and how they may manifest in the environment were not further investigated due to the low exposure of these substances. On the basis of current use patterns, these substances are unlikely to be resulting in concerns for the environment in Canada.
On the basis of low hazard and low exposure classifications according to information considered under ERC, the remaining three substances were classified as having a low potential for ecological risk. It is therefore unlikely that these substances are resulting in concerns for the environment in Canada.
2.5 Potential to cause harm to human health
UV-350 was included in the Threshold of Toxicological Concern (TTC)-based Approach for Certain Substances science approach document (Health Canada 2016). In the approach, a decision tree that considers chemical structural features and chemical-specific data on genotoxicity (e.g., Ames test), when available, was used to assign a human exposure threshold value for a chemical, below which there is a low probability of risk to human health (i.e., TTC value). Structural representations of substances were retrieved and used to derive TTC values. Substances were examined against exclusion criteria. Then, for each substance in the TTC-based approach, conservative estimates of exposure were generated. Environmental exposures were estimated as a result of potential releases into the environment from commercial activities. Exposure was estimated for substances that may be used in products available to consumers, such as fragrance ingredients in cosmetics, in food (e.g., substances used in the manufacture of food packaging materials or incidental additives), and in products available to consumers such as lubricants and adhesives. For each substance, exposure estimates were compared to their assigned TTC value, and substances that had exposure estimates below TTC values were considered to be of low concern to human health, as based on current levels of exposure. Results of the TTC-based approach specific to UV-350 are presented in Table 2‑8. Additional details with regards to data and considerations used in the TTC-based approach are presented in the science approach document (Health Canada 2016).
| Substance | TTC value (µg/kg bw/day) | Environmental intake estimate (µg/kg bw/day) | Exposure estimate from use of products available to consumers (µg/kg bw/day) |
|---|---|---|---|
| UV-350 | 1.5 | 1.21×10-3 | Not expected |
On the basis of these results, UV-350 was considered not to be a concern for human health at current levels of exposure.
2.5.1 Exposure assessment
Potential exposures to substances in the benzotriazoles subgroup from environmental media, food, and products available to consumers are presented in this section. For each substance, exposure scenarios resulting in the highest exposures were selected to characterize risk. Additional details regarding the exposure scenarios are summarized in Appendices C, D, and F.
Environmental media and food
Exposures of the Canadian general population to CAS RN 80595-74-0 and UV-320 from environmental media are not expected as no manufacturing or import activities for these substances were reported above the reporting threshold according to information submitted in response to a CEPA section 71 survey (Canada 2017), and no measured concentrations of these substances in environmental media in Canada or elsewhere were found.
Air
With the exception of benzotriazole and tolyltriazole, the substances in the benzotriazoles subgroup have low vapour pressure, and no measured air concentration data for any of these substances were found. Therefore, exposure to the remaining substances in the benzotriazoles subgroup (i.e., UV-329, UV-326, UV-234, and CAS RN 94270-86-7) from air (outdoor or indoor) are not expected. Benzotriazole and tolyltriazole, however, have been measured in indoor air in the United States.
| Substance | Mean concentration (ng/m3) | Maximum concentration (ng/m3) | Location | Reference |
|---|---|---|---|---|
| Benzotriazole | 3.19 | 14.5 | Homes in the United States | Xue et al. 2017 |
| Benzotriazole | 6.13 | 10.92 | Public places in the United States | Xue et al. 2017 |
| Tolyltriazole | 2.06 | 8.35 | Homes in the United States | Xue et al. 2017 |
| Tolyltriazole | 4.47 | 10.0 | Public places in the United States | Xue et al. 2017 |
Estimated intakes for benzotriazole and tolyltriazole in air were derived using the highest reported concentrations from Table 2‑9. This corresponded to estimated daily exposures of 8.7×10-6 mg/kg bw/day for benzotriazole and 6.0×10-6 mg/kg bw/day for tolyltriazole, with the highest exposure relative to body weight identified for toddlers (0.5 to 4 years). Any potential exposures of the Canadian general population to benzotriazole or tolyltriazole from outdoor/ambient air are expected to be less than those from indoor air based on their sources and uses.
Water
With the exception of CAS RN 94270-86-7, the remaining substances in the benzotriazoles subgroup have been measured in various types of water in Canada and in other countries, such as surface water, groundwater, and drinking water, as well as in wastewater. The data from these studies and their references are summarized in Appendix E. Measured concentrations in surface water in Canada were used as surrogates for drinking water concentrations to derive estimates of intake of each of these substances, when available. As a conservative approach, the maximum reported value for each substance was used to estimate intakes from drinking water.
UV-326, UV-329, and UV-234 were measured in Canadian surface water at 0.0843 µg/L, below 0.58 ng/L, and between 0.00005 and 0.00032 µg/L, respectively (Lu et al. 2016a). The estimated daily exposure to UV-326 from drinking water for the age group with the highest exposure relative to body weight (formula-fed infants aged 0 to 6 months) was 9.0×10-6 mg/kg bw/day. The drinking water intakes of UV-329 and UV-234 were considered to be negligible.
Given the absence of surface monitoring or drinking water data for benzotriazole, tolyltriazole, and CAS RN 94270-86-7, modelled water concentrations using the upper-end of the total import quantity reported in Table 2‑5 was derived using the level III fugacity model ChemCAN v6.00 (ChemCAN 2003). The resulting predicted intakes of benzotriazole, tolyltriazole, and CAS RN 94270-86-7 from drinking water were considered to be negligible.
Dust
Measured dust concentrations of some substances in the benzotriazoles subgroup were identified. Benzotriazole and tolyltriazole were detected in road dust (as suspended particulate matter in an aqueous phase) in Norway at values up to 135 ng/L and 1260 ng/L, respectively (Asheim et al. 2019), and were measured in indoor dust in the United States and certain East Asian countries at concentrations up to 125 ng/g and 159 ng/g, respectively (Wang et al. 2013). In consideration of these values, potential exposures from dust are expected to be negligible for substances in the benzotriazoles subgroup.
Food
The probable daily intake (PDI) of UV-329 from use as a UV stabilizer in certain food packaging resins is 0.003 µg/kg bw/day (personal communication, emails from the Food Directorate, Health Canada, to ESRAB, Health Canada, 2017, 2018; unreferenced). Exposure to the remaining substances in this subgroup that may be used in food packaging materials with the potential for direct food exposure (i.e., UV-326 and UV-234) is negligible (personal communication, emails from the Food Directorate, Health Canada, to ESRAB, Health Canada, 2017, 2018; unreferenced). Further, potential exposures to the substances in the benzotriazoles subgroup that may be used in incidental additives were considered to be either negligible or not expected (personal communication, emails from the Food Directorate, Health Canada, to ESRAB, Health Canada, 2017, 2018; unreferenced).
As a result of their various other industrial uses, certain benzotriazoles can enter the environment and have been detected in some fish and other aquatic organisms. Limited data were available on the concentrations of benzotriazoles in foods; occurrence data for some of these substances were found for some fish and seafood only. Two Canadian studies reporting concentrations of a limited number of benzotriazoles in fish from Ontario have been identified (Lu et al. 2016a, b) and international papers (Brorström-Lundén et al. 2011; Jakimska et al. 2013; Li et al. 2018; Vimalkumar et al. 2018) reported concentrations of six benzotriazoles in fish and seafood in Sweden, Spain, China, and India, respectively. Dietary exposure to individual benzotriazoles was conservatively estimated for consumers who reported consuming fish and/or seafood (‘eaters only’ basis) by multiplying the maximum concentration of each substance (Appendix F) by the total quantity of fish and seafood consumed by each respondent in the Canadian Community Health Survey (Statistics Canada 2015). This approach yielded a range of benzotriazole exposure estimates for various age groups (Table 2‑10). Dietary exposure was not estimated for infants less than 1 year of age as only 2% of those survey respondents reported consuming fish or seafood (personal communication, emails from the Food Directorate, Health Canada, to ESRAB, Health Canada, 2019; unreferenced).
| Substance | Mean exposure | 90th percentile exposure |
|---|---|---|
| Benzotriazole | 4.3 – 13.5 | 8.6 – 28.1 |
| UV-329 | 38.7 – 120.4 | 77.1 – 250.3 |
| UV-326 | 9.5 – 29.7 | 19.0 – 61.7 |
| Tolyltriazole | 4.6 – 14.4 | 9.2 – 29.9 |
| UV-234 | 75.0 – 233.4 | 149.4 – 485.0 |
a No occurrence data were identified for CAS RN 80595-74-0 and 94270-86-7.
b Dietary exposure estimates were considered for people of 1 year of age and older where the estimates for all the substances were highest on a body weight basis for children 1 year of age.
c Dietary exposure to UV-320 was not estimated because this substance was not identified in any Canadian products available to consumers and there were no companies that reported uses in the CEPA section 71 survey (Canada 2017). As well, the limited international food occurrence data identified were not considered to be relevant to the food available to the Canadian population.
Breast milk
No Canadian data reporting the presence of substances in the benzotriazoles subgroup in breast milk have been identified. Internationally, certain benzotriazoles have been measured in human breast milk in studies by Kim et al. (2019), Lee et al. (2015), and Molins-Delgado et al. (2018). Mean concentrations from some of these international studies were used to calculate the potential exposures to infants from breast milk. Concentrations and estimated exposures from the consumption of breast milk are presented in Table 2‑11.
| Substance | Mean concentration (ng/g lw) | Country (reference) | Estimated exposurea (mg/kg bw/day) |
|---|---|---|---|
| UV-329 | 4.5 | Korea (Lee et al. 2015) | 1.8×10-5 |
| UV-326 | 23 | Japan, Philippines, Vietnam (Kim et al. 2019) | 9.4×10-5 |
| UV-234 | 0.12 | Japan, Philippines, Vietnam (Kim et al. 2019) | Negligible |
a Additional information on exposure estimate calculations can be found in Appendix D.
The report by Molins-Delgado et al. (2018) was considered to include a number of anomalies (e.g., the separation method appears to be inadequate for the analysis of the benzotriazoles of interest, low measured density for breast milk, inconsistencies between the benzotriazole concentrations reported on a ng/g milk and ng/g lipid weight basis) and the sample size was not considered large enough to result in statistically meaningful reports of central tendency (i.e., mean), given the low detection rates of UV-320 and UV-329. Therefore, this study was not used in estimating exposure to benzotriazoles in breast milk in Canada.
Biomonitoring
Internationally, some biomonitoring data were identified for certain benzotriazoles, for example, maximum urinary concentrations of 11.0 ng/mL benzotriazole and 4.8 ng/mL tolyltriazole in seven countries (the United States, Greece, Vietnam, Korea, Japan, China, and India) (Asimakopoulos et al. 2013b), and maximum urinary concentrations of 42 ng/mL benzotriazole and 7.1 ng/mL tolyltriazole in China (Zhou et al. 2018). The source of the measured benzotriazoles in urine is unclear; given the uncertainty in the applicability of the data to Canadians, the biomonitoring data were not used to generate exposure estimates.
Products available to consumers
Potential exposures of the Canadian general population to the substances in the benzotriazoles subgroup from products available to consumers were evaluated, and sentinel exposure scenarios (i.e., scenarios that resulted in the highest exposure estimates) are presented in this section. Concentrations presented here represent maximum values reported.
No products available to consumers containing UV-320 were identified. Therefore, exposure of the Canadian general population to UV-320 from the use of such products is not expected.
Estimated oral exposures to the substances in the benzotriazoles subgroup include consideration of lip gloss containing UV-326 at a concentration up to 0.3% (personal communication, email from the Consumer and Hazardous Products Safety Directorate, Health Canada, to ESRAB, Health Canada, 2017; unreferenced) where a daily exposure of 0.0019 mg/kg bw/day for a toddler was estimated. A liquid impression pen containing benzotriazole at 1% may result in oral exposures which are estimated to be 0.032 mg/kg bw per event and 0.0016 mg/kg bw/day daily for a toddler (SDS 2017). The per event exposure is representative of potential exposure scenarios that could occur on the day of use (e.g., a toddler drawing on their skin or putting a pen in their mouth), which would not be expected to occur on a daily basis.
On the basis of their reported uses, oral exposure to the remaining substances in the benzotriazoles subgroup from the use of products available to consumers is not expected.
Estimated dermal exposures to the substances in the benzotriazoles subgroup resulting from the use of products available to consumers are presented in Table 2‑12. It is expected that the exposure to CAS RN 80595-74-0 from power steering/hydraulic oil would be similar to the exposure from CAS RN 94270-86-7 given their functional similarity, the use of these two CAS RNs interchangeably in some Safety Data Sheets (e.g., SDS 2008, 2016c), and the use information submitted pursuant to a CEPA section 71 survey (Canada 2017). Thus, it is expected that the exposure estimate for CAS RN 80595-74-0 would be similar to any potential exposures to CAS RN 94270-86-7.
| Substance | Product scenario | Concentration (reference) | Per event exposure (mg/kg bw) (age groupb) | Daily exposure (mg/kg bw/day) (age groupb) |
|---|---|---|---|---|
| Benzotriazole | Liquid impression pen | 1% (SDS 2017) | 0.032 (toddler) | 0.0016 (toddler) |
| Benzotriazole | Nail enhancement product (for fake nail plate) | 1%a | 0.027 (teenager) | N/A |
| UV-329 | Block of soap | 0.1%a | 0.00025 (infant) | Up to 0.00028 (infant) |
| UV-326 | Nail gel polish and nail glue | 10%a | 0.39 (toddler) | N/A |
| UV-326 | Lip and cheek tint | 0.1%a | 0.0093 (teenager) | 0.012 (teenager) |
| Tolyltriazole | Cooling system repair | 1% (SDS 2013, 2018) | 0.027 (adult) | N/A |
| UV-234 | Aerosol protective removable paint for cars | 0.1% (SDS 2016a) | 0.021d (adult) | N/A |
| CAS RN 80595-74-0c | Power steering/Hydraulic oil | 10% (SDS 2016b) | 0.27 (adult) | N/A |
Abbreviation: N/A, Not Applicable
a Concentrations are on the basis of notifications submitted under the Cosmetic Regulations to Health Canada (personal communication, emails from the Consumer and Hazardous Products Safety Directorate, Health Canada, to ESRAB, Health Canada, 2017, 2018; unreferenced).
b Representing sentinel scenario.
c It is anticipated that the source of exposure from CAS RN 94270-86-7 would be similar to that of CAS RN 80595-74-0 given their structural similarity, their presence in mixtures as indicated in some available SDSs, and use information submitted pursuant to a CEPA section 71 survey (Canada 2017).
d 100% of exposure to the substance in the product via the dermal route is conservatively assumed to be absorbed, although some partitioning to air resulting in exposure via the inhalation route would also be expected.
Exposure estimates via the inhalation route were also calculated for certain substances in the benzotriazoles subgroup. The per event exposure from an aerosol paint for cars containing 0.1% of UV-234 is estimated to be 0.0046 mg/kg bw for an adult based on ConsExpo Web (ConsExpo Web 2016; SDS 2016a). Potential inhalation exposures from the nail enhancement product containing 1% benzotriazole and the cooling system repair containing 1% tolyltriazole are found to be negligible (ConsExpo Web 2016; personal communication, emails from the Consumer and Hazardous Products Safety Directorate, Health Canada, to ESRAB, Health Canada, 2018; unreferenced). The remaining substances of the benzotriazole subgroup are only present in non-spray products available to consumers in Canada; due to their very low vapour pressures (10‑6 Pa or lower), potential exposures via the inhalation route were considered to be minimal.
2.5.2 Health effects assessment
Benzotriazole and tolyltriazole were included in an evaluation of health hazards and proposal of health based quality criteria for soil and drinking water by the Danish EPA (Danish EPA 2013). UV-326 was assessed by the OECD’s Cooperative Chemicals Assessment Programme in a Screening Information Data Set (SIDS) Initial Assessment Report (SIAR) (OECD 2009a). In Canada, UV-234 and drometrizole were included as analogues in the assessment of BDTP by Environment and Climate Change Canada and Health Canada under the Chemicals Management Plan (CMP) (ECCC, HC 2016b). Drometrizole is used as an analogue in this assessment. Therefore, these assessments are used to inform the health effects characterization of UV-326 and UV-234, including selection of critical effects and relevant points of departure.
Updated literature searches were conducted up to February 2019 for these substances. A repeated dose toxicity study combined with a reproduction/developmental screening test for drometrizole was identified during the literature search, however this study is not considered significant new information (ECHA c2007-2019).
2.5.2.1 Substance-specific health effects studies
Limited chemical-specific health effects data were available for some substances in the benzotriazoles subgroup. Analogues were considered by Health Canada based on similarities in their chemical structure, physical and chemical properties, and/or metabolism with respect to the target chemicals (see Appendix A for details on the read-across approach for substances in the benzotriazoles subgroup). The chemical-specific data are presented first, followed by analogue data used to inform the health effects characterization of the substances in the benzotriazoles subgroup. Even though it is part of the benzotriazoles subgroup, the health effects data for UV-350 are presented in the analogue data section as its potential to cause harm to human health was characterized using the TTC-based approach (Health Canada 2016); these data are therefore only relevant within the context of its use as an analogue in this assessment.
Benzotriazole
The genotoxicity of benzotriazole was considered to be equivocal based on various in vitro assays including the Ames test and chromosomal aberration test (Danish EPA 2013).
In an oral chronic/carcinogenicity study with rats (50/sex/dose), doses of 0, 6700, or 12 100 ppm (approximately 0, 335, or 605 mg/kg bw/day) of benzotriazole were administered via feed for 78 weeks (Danish EPA 2013). Non-cancer effects included prostate inflammation, kidney nephrosis, and liver eosinophilic cytological changes in male rats; liver basophilic cytological changes, kidney epithelial hyperplasia and nephrosis, and uterine inflammation in female rats. In male rats, neoplastic nodules of the liver occurred in the high-dose group. Oligodendrogliomas and gliomas were observed in the brain of some rats at the low dose, but not at the high dose. This tumour was also present in 2% of high dose females. In female rats, the incidence of endometrial stromal polyps in the low-dose group was significantly higher than that in the controls. However, the incidence in the high dose group was not significant, and when the incidences of endometrial stromal polyps and endometrial stromal sarcomas were combined, they were not significant in either the low or high dose groups. There was an incidence of thyroid C-cell adenomas and carcinomas; benign thyroid tumours were seen in low dose female rats while malignant thyroid tumours occurred in low dose and high dose female rats. The Danish EPA considered the lowest dose level of 6700 ppm (335 mg/kg bw/day) to be the LOAEL for effects of cancer and non-cancer origin observed in various organs and tissues (Danish EPA 2013).
Reproductive and development toxicity were not addressed in the Danish EPA assessment (2013), but two reproduction/developmental studies were identified in a subsequent literature search. In a reproduction/developmental toxicity study with Wistar rats (12/sex/dose), benzotriazole was given via oral gavage at doses of 0, 12.5, 50, or 200 mg/kg bw/day. Animals were dosed from 14 days pre-mating to between day 8 and 14 of lactation for female rats and between 39 and 50 days for male rats. Reproductive performance and general toxicity examinations were conducted however sperm measure and estrous cycles were not tested. There were no treatment related effects observed up to the highest tested dose (ECHA c2007-2019). In another reproduction/developmental toxicity study, benzotriazole was given via oral gavage to CD (SD) rats (12/sex/dose, 5 males in recovery, and 5 females in satellite group) at doses of 0, 30, 100 or 300 mg/kg bw/day (Japan Bioassay Research Center 2007). No effect of the compound was observed on the reproductive performances. No effect was observed on the implantation, the number of pups, sex ratio of pups, and viability of the pups during 4 days of lactation. In the dams, regeneration of proximal tubules in the kidneys was observed at 100 mg/kg bw/day. At the highest tested dose, various reversible and irreversible changes in haematology and clinical chemistry were observed in the adult males and females. The repeated dose NOAEL selected by the authors was 30 mg/kg bw/day based on the kidney effects in adult females, while the reproductive and developmental NOAEL was 300 mg/kg bw/day due to the absence of effects at the highest tested dose (Japan Bioassay Research Center 2007).
Tolyltriazole
Equivocal results for tolyltrazole with respect to genotoxicity in vitro have been reported (Danish EPA 2013).
In a 28-day study where Wistar rats (6/sex/dose) were given tolyltriazole via oral gavage at doses of 0, 50, 150, or 450 mg/kg bw/day, there were signs of potential liver toxicity. In the highest tested group, there were reduced levels of erythrocytes, haemoglobin and hematocrit in males, a decrease in plasma proteins and an increase in the activities of aspartate aminotransferase (AST) and alanine aminotransferase (ALT) in males and females. The NOAEL was identified as 150 mg/kg bw/day based on haematology and clinical biochemistry (ECHA c2007-2019).
No developmental toxicity, reproductive toxicity, or carcinogenicity studies for tolyltriazole were identified. As such, benzotriazole, which is structurally related, was used to inform the health effects assessment of tolyltriazole for these endpoints. Critical endpoints and corresponding effect levels for benzotriazole that are used for risk characterization of tolyltriazole are described in the relevant section of this report and summaries are included for comparison in Appendix A.
UV-329
Based on numerous in vitro studies, UV-329 is not considered genotoxic (ECHA c2007-2019; NTP 2011).
There were no studies available to evaluate subchronic or chronic toxicity, reproductive and developmental toxicity, or the carcinogenic potential of UV-329. Therefore, as described below, a grouping of suitable analogues with available health effects data for read-across was established on the basis of similarities in chemical structure (OECD QSAR Toolbox 2016) and physical chemical properties. Substances in the grouping were used to read-across for reproductive, developmental, and carcinogenic endpoints where data were available. Overall, the reproductive and developmental toxicity was not of concern based on data from drometrizole, UV-326, UV-350, and UV-234. The carcinogenic potential was not of concern based on data from drometrizole and UV-326. Short-term and chronic toxicity data from UV-320 were selected for read-across to characterize the risk from per event and daily exposures to UV-326. Based on the available analogues, this approach was considered to be conservative and appropriate. Critical endpoints and corresponding effect levels for UV-320 that are used for risk characterization of UV-329 and summaries of the relevant health effects data are included for comparison purposes in Appendix A.
UV-320
Based on numerous in vitro studies, UV-320 was not considered genotoxic (NTP 2011).
There were no carcinogenicity or reproduction/developmental studies available for UV-320. The same read-across strategy used for UV-329 was employed for this substance; refer to the health effects section for UV-326 below. Similarly, critical endpoints and corresponding effect levels that are used for risk characterization of UV-320 and summaries of the relevant health effects data are included for comparison purposes in Appendix A.
In a 4-week oral gavage study, male and female CD(SD)IGS rats (10/sex in highest dose and control, 5/sex in other doses) were given 0, 0.5, 2.5, 12.5, or 62.5 mg/kg bw/day for 28 days with a 14 day recovery period. Effects observed include an increase in food consumption in both sexes at the high dose. Haematological and clinical chemistry changes were observed starting at 0.5 mg/kg bw/day in males and in the high dose group for females. In males, there was a significant increase in the relative liver weight, a macroscopic enlargement of the liver, hypertrophy of hepatocytes, bile duct proliferation and decreased incidence of hepatocellular fatty change at 0.5 mg/kg bw/day. At 2.5 mg/kg bw/day and higher in males, there was significant increase in absolute liver weight, white or red patches in the liver, vacuolar degeneration of hepatocytes, focal necrosis, cell infiltration of the heart and extramedullary hematopoiesis in the spleen observed. At 12.5 mg/kg bw/day and higher in females, absolute and relative liver weights were significantly increased, and an enlargement of the liver, hypertrophy of hepatocytes, and increased mitosis of hepatocytes was observed. At the same dose, hypertrophy of the tubular epithelium was observed in the kidneys in males. There was degeneration and/ or hypertrophy of the myocardium in males and females at 12.5 and 62.5 mg/kg bw/day, respectively. In the highest dose groups for males and/or females, there were also significant increases in absolute and relative organs weights, increased mitosis of hepatocytes, hepatocellular pigmentation and/or cytoplasmic inclusion bodies, increased severity of basophilic tubules, white or red patches in the liver, bile duct proliferation, decreased incidence of hepatocellular fatty change, vacuolar degeneration of hepatocytes, and hypertrophy of the tubular epithelium in the kidneys,and diffuse follicular cell hyperplasia in the thyroid. Many effects (liver and heart histopathological effects, changes in hematology and blood biochemistry and organ weights (heart, liver, and kidney)) persisted after the recovery period. The LOAEL was considered to be 0.5 mg/kg bw/day for male rats (Hirata-Koizumi et al. 2007).
A chronic repeated-dose study was conducted in rats via oral gavage. Similar to the short-term study described above, the authors found effects principally in the liver. After 13 and 52 weeks of dosing (0, 0.1, 0.5, 2.5 mg/kg bw/day in males and 0, 0.5, 2.5, 12.5 mg/kg bw/day in females), half of the animals were euthanized and subject to urinalysis, haematology, blood biochemistry, necropsy, and histopathology. At the end of the 13 weeks of dosing, there was a significant increase in osmotic pressure and specific gravity, and an increase in the relative weights of the brain, heart, kidneys, and testes in males. In males and females there were changes in blood parameters, enlargement of the liver, increased absolute and relative liver weight, and centrilobular hypertrophy of hepatocytes, accompanied with eosinophilic granular cytoplasm. Changes were noted during urinalysis, haematology, and blood biochemistry at 0.5 mg/kg bw/day in males and 12.5 mg/kg bw/day in females. At necropsy, enlarged livers were observed and light gray macules were grossly detected in the liver of 2/10 male rats at 2.5 mg/kg bw/day and 1/9 female rats at 12.5 mg/kg bw/day. Absolute and relative liver weights were significantly increased in males and females at 0.5 and 12.5 mg/kg bw/day, respectively. Additionally, a significant increase in the relative weight of the brain, pituitary gland, thyroid gland, lungs, heart, kidneys, testes, and epididymis in males was also found at 2.5 mg/kg bw/day. The incidence of centrilobular hypertrophy of hepatocytes with eosinophilic granular cytoplasm was significant at 0.5 mg/kg bw/day in males and 12.5 mg/kg bw/day in females. Furthermore, significant increases in the incidence of cystic degeneration and lipofuscin deposition in hepatocytes at 2.5 mg/kg bw/day, and of altered hepatocellular foci (clear cell foci) at 0.5 mg/kg bw/day were found in the liver of males (Hirata-Koizumi et al. 2008a). The NOAEL for chronic toxicity was considered to be 0.1 mg/kg bw/day for male rats and 2.5 mg/kg bw/day for female rats.
Additional studies were conducted in rats from 17 to 90 days via oral gavage and feed. Effects in these studies include hepatic and renal toxicity. The LOAEL was found to be 0.5 mg/kg bw/day, which was the lowest tested dose, in a 28-day study with castrated rats (Ciba-Geigy Corp. 1968; Hirata-Koizumi et al. 2008a, c).
UV-326
Internationally, UV-326 was reviewed by the OECD in a SIDS SIAR (OECD 2009a).
UV-326 was considered negative for genotoxicity based on the available in vitro and in vivo studies (OECD 2009a).
There was no evidence of carcinogenic activity of the substance at doses of 382.6 mg/kg bw/day in male rats and 501.9 mg/kg bw/day in female rats and 62 mg/kg bw/day in male mice and 59 mg/kg bw/day in female mice via feed over a two year period. Based on these results the substance was considered to have no carcinogenic potential (OECD 2009a).
The OECD stated that the overall NOAEL for repeated dose oral toxicity was based on a subchronic study using Beagle dogs (4/sex/dose and 5/sex/dose in control and high dose groups). Test animals were administered UV-326 via feed for 13 weeks at doses of 0, 200, 1000 or 5000 ppm (equivalent to approximately 0, 6.2, 29.6 or 168 mg/kg bw/day for males and 0, 6.5, 32.2 or 153 mg/kg bw/day for females). The critical effect level and corresponding endpoint was a NOAEL of 29.6 mg/kg bw/day for males, based on changes in liver weights at the high dose, and 32.2 mg/kg bw/day for females, based on significant weight loss in females (OECD 2009a).
In a combined repeated dose toxicity guideline study with reproduction/developmental toxicity screening test, rats (12/sex/dose and 5 females/ group for recovery) were administered UV-326 by gavage at doses of 0, 62.5, 250 or 1000 mg/kg bw/day for 42 days (males) or 44-56 days (day 14 before mating to lactation day 6; females). No reproductive or developmental effects were observed up to the highest dose tested of 1000 mg/kg bw/day. The NOAEL for parental toxicity in rats was 1000 mg/kg bw/day, which was the highest dose tested (OECD 2009a).
In addition, two developmental toxicity studies were completed with Sprague-Dawley rats and NMRI mice (25-30 sex/group). Test animals were administered the substance by gavage at 0, 300, 1000 or 3000 mg/kg bw/day during gestational days (GD) 6-15. No developmental effects were observed in rats up to the highest dose tested of 3000 mg/kg bw/day. The NOAEL for developmental toxicity in mice was 1000 mg/kg bw/day based on a statistically significant increase in the proportion of foetuses with incomplete ossification of sternebrae at 3000 mg/kg bw/day (OECD 2009a).
UV-234
UV-234 was used as an analogue for BDTP and its health effects are presented in the screening assessment for this substance (ECCC, HC 2016b).
UV-234 was found to be negative in the available in vitro and in vivo genotoxicity assays (ECCC, HC 2016b).
There were no carcinogenicity or reproductive studies available for UV-234.Therefore sustances in the phenolic benzotriazoles subgroup were used for read-across to this substance on the basis of similarities in chemical structure (OECD QSAR Toolbox 2016) and physical chemical properties, as mentioned above. Substances in the grouping were used to read-across for reproductive, and carcinogenic endpoints where data were available. Overall, the reproductive toxicity was not of concern based on data from drometrizole, UV-326, and UV-350. The carcinogenic potential was not of concern based on data from drometrizole and UV-326. Critical endpoints and corresponding effect levels that are used for risk characterization of UV-234 and summaries of the relevant health effects data are included for comparison purposes in Appendix A.
Within a short-term oral study, Tif: RAIf (SPF) rats (10/sex/dose) were given 0, 300, 2000, or 10 000 ppm in the diet (equivalent to 26.0, 170.9 or 922.8 mg/kg bw/day in males and 25.9, 177.2 and 944.7 mg/kg bw/day females) for 28 days. There was a significant increase in mean liver weights, and liver-to-body and liver-to-brain weight ratios in female rats at 300 ppm and above. Other treatment-related effects in the liver were observed at higher doses (ECHA c2007-2019). The LOAEL is considered to be 300 ppm (26 mg/kg bw/day).
A subchronic study was conducted by administering UV-234 in food at levels of 0, 50, 300, 2000, or 10 000 ppm (equivalent to 0, 2.5, 15, 100 or 500 mg/kg bw/day in males and 3.7, 22.5, 155.1 and 802.2 mg/kg bw/day in females) in albino rats (10/sex/dose) for 92 to 94 days The NOAEL was previously determined to be 2.5 mg/kg bw/day based on liver effects (ECCC, HC 2016b; NTP 2011).
A developmental toxicity study was conducted in Tif: RAIF (SPF) albino rats (number not specified). Doses of 0, 300, 1000, or 3000 mg/kg bw/day were given via gavage to pregnant rats from GD 6 to 15. A NOAEL of 300 mg/kg bw/day was established based on developmental effects at the LOAEL of 1000 mg/kg bw/day, while the parental NOAEL was 3000 mg/kg bw/day based on the absence of effects in the maternal generation (ECCC, HC 2016b).
CAS RN 80595-74-0
There were no health effects data available for CAS RN 80595-74. CAS RN 94270-86-7 was selected as a suitable analogue on the basis of similarities in chemical structure (OECD QSAR Toolbox 2016) and physical chemical properties with available short-term hazard data for read-across. Critical endpoints and corresponding effect levels for CAS RN 94270-86-7 that are used for risk characterization of CAS RN 80595-74-0 are described in the relevant sections of this report and summaries are included for comparison in Appendix A.
CAS RN 94270-86-7
In a combined repeated dose toxicity study with reproduction/developmental toxicity screening tests, Wistar rats (10/sex/dose in parent generation) were dosed with 0, 15, 45, or 150 mg/kg bw/day via gavage for 29 days and 42-45 days (2 weeks prior to mating to day 4 of lactation), respectively. At 150 mg/kg bw/day, females exhibited a hunched posture, piloerection and pale faeces mainly during the last two weeks of treatment, as well as decreases in body weight (8.7%), body weight gain (10%), and food consumption. Slightly lower thymus weights were observed, which were in line with the observation of lymphoid atrophy (involution) present in 4 out of the 7 examined females in the high dose group (2 minimal, 1 slight, 1 moderate). Further microscopic findings consisted of lower mean grade of haematopoietic foci in the spleen of this group. Smaller mean litter size at first litter check was noted at the high dose (9.1 compared to 11.6 in the control group). The lower pup body weights (2.5% and 1.7% on days 1 and 4 of lactation, respectively) at 150 mg/kg bw/day were considered by the authors to be secondary to the reduced bodyweights of their dams. There were fewer litters in the high dose group (n=8 measured on day 1 lactation and n=7 measured on day 4 lactation) compared to the control (n=10). No toxicologically significant changes were noted in any of the remaining developmental parameters investigated in this study (i.e. duration of gestation, parturition and macroscopy). Pup development was unaffected by treatment at 15 or 45 mg/kg bw/day. The parental NOAEL of 45 mg/kg bw/day was based on changes in the lymphatic system. The reproductive NOAEL of 45 mg/kg bw/day was established on the basis of reduced litter size at the LOAEL of 150 mg/kg bw/day. No developmental effects were observed up to the highest tested dose (Peter 2013).
2.5.3 Analogue health effects studies
Drometrizole
Drometrizole was used as an analogue for BDTP by Environment and Climate Change Canada and Health Canada and its health effects are presented in the screening assessment for this substance (ECCC, HC 2016b).
Drometrizole was considered to be equivocal for genotoxicity based on various in vitro and in vivo assays (ECCC, HC 2016b).
Drometrizole was not found to be carcinogenic in two 2-year oral chronic/carcinogenicity feeding studies in mice and rats. No treatment-related carcinogenic effects were observed when MAGf (SPF) mice (50/sex/dose) were given 0, 5, 50, or 500 ppm drometrizole (equivalent to 0, 0.8, 6.5 or 64 and 0, 0.8, 6.7 or 62 mg/kg bw/day for males and females, respectively). Similarily, no treatment-related carcinogenic effects were observed when CFY strain rats (50/sex/dose) were given 0, 100, 300, 1000 or 3000 ppm (equivalent to 0, 4, 14, 47 or 142 and 0, 6, 17, 58, or 169 mg/kg bw/day for males and females, respectively) (ECCC, HC 2016b).
In an oral reproduction/developmental toxicity study, SD rats and NMRI mice were administered 0, 150, 500, or 1000 mg/kg bw/day drometrizole via gavage on GD 6-15. No maternal toxicity and no teratogenic effects were noted. The NOAEL for both maternal and developmental toxicity was identified as 1000 mg/kg bw/day (ECCC, HC 2016b).
UV-350
UV-350 was included in the Threshold of Toxicological Concern (TTC)-based Approach for Certain Substances science approach document (Health Canada 2016). The data presented in this section are used for the purpose of read-across.
In two combined repeated dose toxicity studies with reproduction/developmental toxicity screening tests, Sprague Dawley [Crl: CD(SD)] rats (12/sex/dose and 5/sex in the satellite group), were given doses of 0, 0.5, 2.5, or 12.5 mg/kg bw/day and 0, 0.8, 4, 20, or 100 mg/kg bw/day UV-350 via gavage for 42 days and from 14 days pre-mating to day 4 of lactation for males and females, respectively. No reproductive or developmental effects were observed in either study up to the highest tested doses (Foundation Animal Bio Science Safety Research Institute 2011; Japan Bioassay Research Center 2006).
2.5.4 Characterization of risk to human health
Oral studies were used to characterize risk from dermal or inhalation exposures, in the absence of route-specific health effects data for all substances in the benzotriazole subgroup. Table 2‑13, Table 2‑14 and Table 2‑15 provide all the relevant exposure estimates and hazard points of departure (PODs) for the substances in the benzotriazoles subgroup, as well as the resultant margins of exposure (MOE).
The LOAEL of 335 mg/kg bw/day identified in a 78-week chronic/carcinogenicity study by the Danish EPA (2013) was considered the most relevant endpoint for characterization of cancer risk from daily exposures to benzotriazole and tolyltriazole, based on neoplastic effects observed in various organs and tissues in rats. The LOAEL of 335 mg/kg bw/day from the same study was also considered the most relevant endpoint for characterization of risk of non-cancer effects from daily exposures to these substances. In addition, the approach is considered conservative since exposure values used were not amortized over a lifetime (i.e., lifetime average daily doses (LADD) were not estimated) and the highest-exposed age group was used to characterize risk. The repeated dose parental NOAEL of 30 mg/kg bw/day based on kidney effects observed at 100 mg/kg bw/day in the 42-day reproduction/developmental rat study was used to characterize risk from per event exposures to benzotriazole, and the NOAEL of 150 mg/kg bw/day from a 28-day repeated dose study was used to characterize risk from per event exposures to tolyltriazole. Although the NOAELs of 30 mg/kg bw/day and 150 mg/kg bw/day used to characterize risk from per event exposures to benzotriazole and tolyltriazole, respectively, are lower critical effect levels compared to the LOAEL of 335 mg/kg bw/day being used to characterize cancer and non-cancer risks from daily exposures, the calculated MOEs (as discussed below) from the 78-week chronic/carcinogenicity study are considered to be protective of these and other non-cancer effects identified in section 2.5.2.
The resulting MOEs based on the LOAEL of 335 mg/kg bw/day range from 210 000 to 9 300 000. These MOEs are considered adequate to address uncertainties in the exposure and health effect databases, including the use of a LOAEL as the point of departure. The calculated MOEs that would have resulted from the use of the NOAELs of 30 mg/kg bw/day or 150 mg/kg bw/day for daily exposures to benzotriazole and tolyltriazole, respectively, would also be considered adequate. The MOEs from the use of these points of departure for per event exposures for these two substances range from 940 to 5600, and are considered adequate.
| Exposure scenario | Estimated exposure (mg/kg bw/(day)) | Critical effect level (mg/kg bw/day) | Critical health effect endpoint | MOE |
|---|---|---|---|---|
| Environmental media (air) and food, daily, toddler, benzotriazole | 3.7×10-5 | LOAEL = 335 | Cancer and non-cancer effectsa | 9 100 000b |
| Liquid impression pen, dermal, daily, toddler, benzotriazole | 1.6×10-3 | LOAEL = 335 | Cancer and non-cancer effectsa | 210 000b |
| Liquid impression pen, oral, per event, toddler, benzotriazole | 0.032 | NOAEL = 30 | Histopathological effects in the kidneys of female rats | 940 |
| Liquid impression pen, dermal, daily, toddler, benzotriazole | 1.6×10-3 | LOAEL = 335 | Decreased body weight, cellular effects in liver, prostate, and uterus | 130 000 |
| Nail product, dermal, per event, teenager, benzotriazole | 0.027 | NOAEL = 30 | Histopathological effects in the kidneys of female rats | 1100 |
| Environmental media (air) and food, daily, toddler, tolyltriazole | 3.6×10-5 | LOAEL = 335 | Cancer and non-cancer effectsa | 9 300 000b |
| Cooling system repair, dermal, per event, adult, tolyltriazole | 0.027 | NOAEL= 150 | Reduced levels of erythrocytes, haemoglobin and hematocrit in males, decrease in plasma proteins and an increase in the activities of ALT and AST in males and females | 5600 |
Abbreviations: ALT, alanine aminotransferase; AST, aspartate aminotransferase; LOAEL, Lowest Observed Adverse Effect Level; MOE, Margin of Exposure; NOAEL, No Observed Adverse Effect Level; POD, Point of Departure
a Cancer effectsinclude liver neoplasms, brain oligodendrogliomas and gliomas in male rats; endometrial polyps, and thyroid c-cell adenomas and carcinomas in female rats. Non-cancer effects include decreased body weight and cellular effects in the liver, prostate, and uterus.
b As the MOEs for each individual age group are considered adequate, the exposures have not been adjusted to lifetime average daily doses (LADDs). Such adjustments would result in higher MOEs.
To characterize risk from oral daily exposures to UV-329, a NOAEL of 0.1 mg/kg bw/day was identified based on critical health effects including a range of urinary chemical, haematological, and clinical chemistry effects, enlarged liver, increased absolute and relative liver weights, centrilobular hypertrophy of hepatocytes with eosinophilic granular cytoplasm, and altered hepatocellular foci in male rats in a chronic oral study with UV-320 using a read-across approach. This NOAEL is also used to characterize risk from dermal daily exposures to UV-329. For dermal per event exposures, a LOAEL of 0.5 mg/kg bw/day was identified based on changes in clinical chemistry, relative liver weight, a macroscopic enlargement of the liver, hypertrophy of hepatocytes, bile duct proliferation and decreased incidence of hepatocellular fatty change in male rats in an oral 28-day study with UV-320 using a read-across approach. The resulting MOEs in the range of 360 and 2000 were considered to be adequate to address uncertainties in the health effects and exposure databases for UV-329.
For the daily oral and dermal exposures of UV-326, a NOAEL of 29.6 mg/kg bw/day was identified based on effects including weight loss with no decrease in food consumption in a 13-week oral dog study. For dermal per event exposures to UV-326, a NOAEL of 1000 mg/kg bw/day is used based on an in utero developmental effect in an oral developmental study with mice. A subchronic study was used to characterize risk from daily exposures as the critical effects level in the subchronic study was lower than the one observed in the chronic study, which is considered to be a conservative approach. The resulting MOEs in the range of 2500 and 16 000 were considered to be adequate to address uncertainties in the health effects and exposure databases for UV-326.
For oral daily exposures to UV-234, a NOAEL of 2.5 mg/kg bw/day was identified based on increased absolute and relative liver weights with accompanying histopathological changes in the liver of female rats at the LOAEL of 15 mg/kg bw/day in an oral 92 to 94-day rat study. This NOAEL is also used to characterize risk from dermal and inhalation per event exposures to UV-234. The resulting MOEs in the range of 120 and 5100 were considered to be adequate to address uncertainties in the health effects and exposure databases for UV-234.
Carcinogenicity was not of concern for the substances in the phenolic benzotriazoles subgroup based on data from analogues.
| Exposure scenario | Estimated exposure (mg/kg bw/(day)) | Critical effect level (mg/kg bw/day) | Critical health effect endpoint | MOE |
|---|---|---|---|---|
| Food, toddler, UV-329 | 2.5 ×10-4 | NOAEL = 0.1 | A range of urinary chemical, haematological, and blood biochemical effects, enlarged liver, increased absolute and relative liver weights, centrilobular hypertrophy of hepatocytes witheosinophilic granular cytoplasm, altered hepatocellular fociin males at 0.5 mg/kg bw/day | 400 |
| Block of soap, dermal, daily, infant, UV-329 | 2.8×10-4 | NOAEL = 0.1 | A range of urinary chemical, haematological, and blood biochemical effects, enlarged liver, increased absolute and relative liver weights, centrilobular hypertrophy of hepatocytes witheosinophilic granular cytoplasm, altered hepatocellular fociin males at 0.5 mg/kg bw/day | 360 |
| Block of soap, dermal, per event, infant, UV-329 | 2.5×10-4 | LOAEL = 0.5 | Changes in clinical chemistry, relative liver weight, a macroscopic enlargement of the liver,hypertrophy of hepatocytes,bile duct proliferation and decreased incidence of hepatocellular fatty change in males | 2000 |
| Lip gloss, oral, daily, toddler, UV-326 | 1.9×10-3 | NOAEL = 29.6 | Weight loss with no decrease in food consumption | 16 000 |
| Lip and cheek tint, dermal, daily, teenager, UV-326 | 0.012 | NOAEL = 29.6 | Weight loss with no decrease in food consumption | 2500 |
| Nail product, dermal, per event, teenager, UV-326 | 0.39 | NOAEL = 1000 | No effects obvserved up to the highest dose in dams and no developmental effects in foetuses | 2600 |
| Food, oral, daily, toddler, UV-234 | 4.9 ×10-4 | NOAEL = 2.5 | Increased absolute and relative liver weights with accompanying histopathological changes in the liver of female rats at 15 mg/kg bw/day | 5100 |
| Aerosol protective removable paint for cars, dermal, per event, adult, UV-234a | 0.021 | NOAEL = 2.5 | Increased absolute and relative liver weights with accompanying histopathological changes in the liver of female rats at 15 mg/kg bw/day | 120 |
| Aerosol protective removable paint for cars, inhalation, per event, adult, UV-234a | 4.6×10-3 | NOAEL = 2.5 | Increased absolute and relative liver weights with accompanying histopathological changes in the liver of female rats at 15 mg/kg bw/day | 540 |
Abbreviations: LOAEL, Lowest Observed Adverse Effect Level; MOE, Margin of Exposure; NOAEL, No Observed Adverse Effect Level; POD, Point of Departure
a The MOE is considered to be very conservative as the exposures are expected to be single events which may occur very infrequently in an individual’s lifetime, but the risk has been characterized using a subchronic study where exposure occurs daily.
To characterize risk from dermal per event exposures to CAS RN 80595-74-0, a NOAEL of 45 mg/kg bw/day was identified based on critical health effects including decreased body weight gain, reduced thymus organ weight, lymphoid atrophy, and lower mean grade of hematopoietic foci in the spleen of female rats in a subchronic oral study with CAS RN 94270-86-7 using a read-across approach. The MOE is considered to be conservative as the exposures are expected to be single events which may occur very infrequently in an individual’s lifetime, but the risk has been characterized using a subchronic study where exposure occurs daily (Table 2‑16). The resulting MOE of 170 is therefore considered to be adequate to address uncertainties in the health effects and exposure databases for this substance.
| Exposure scenario | Estimated exposure (mg/kg bw/(day)) | Critical effect level (mg/kg bw/day) | Critical health effect endpoint | MOE |
|---|---|---|---|---|
| Power steering/hydraulic oil, dermal, per event, adult, CAS RN 80595-74-0 | 0.27 | NOAEL= 45 | Decreased body weight gain. Reduced thymus organ weight, lymphoid atrophy, and lower mean grade of hematopoietic foci in the spleen of female rats | 170 |
Abbreviations: MOE, Margin of Exposure; NOAEL, No Observed Adverse Effect Level; POD, Point of Departure
2.5.5 Uncertainties in evaluation of risk to human health
The key sources of uncertainty are presented in Table 2‑16 below.
| Key source of uncertainty | Impact |
|---|---|
| There is a lack of Canadian monitoring data for substances in the benzotriazoles subgroup in ambient environmental media (e.g., surface water, air), drinking water and/or breast milk. | +/- |
| As the Canadian occurrence data were limited, the benzotriazole concentrations used in the dietary exposure assessment were from international studies. | +/- |
| There are no available subchronic or chronic animal studies via the dermal or inhalation routes, and limited chronic animal studies via the oral route, for substances in the benzotriazoles subgroup resulting in the need to carry out route-to-route extrapolation. | +/- |
| There are no or limited substance-specific empirical hazard data available for CAS RN 80595-74-0 and CAS RN 94270-86-7. | +/- |
+ = uncertainty with potential to cause over-estimation of exposure/risk; - = uncertainty with potential to cause under-estimation of exposure risk; +/- = unknown potential to cause over or under estimation of risk.
3. Benzothiazoles
3.1 Identity of substances
The CAS RN, DSL names and common names and/or acronyms for the substances in the benzothiazoles subgroup are presented in Table 3‑1.
| CAS RN | DSL name (common name and/or acronym) | Chemical structure and molecular formula | Molecular weight (g/mol) |
|---|---|---|---|
| 95-31-8 | 2-Benzothiazolesulfenamide, N-(1,1-dimethylethyl)- (TBBS) | C11H14N2S2 | 238.37 |
| 95-33-0 | 2-Benzothiazolesulfenamide, N-cyclohexyl- (CBS) | C13H16N2S2 | 264.41 |
| 120-78-5 | Benzothiazole, 2,2'-dithiobis- (MBTS) | C14H8N2S4 | 332.47 |
| 149-30-4 | 2(3H)-Benzothiazolethione (2-mercaptobenzothiazole; MBT) | C7H5NS2 | 167.24 |
| 2492-26-4 | 2(3H)-Benzothiazolethione, sodium salt (SMBT) | C7H4NNaS2 | 189.23 |
| 4979-32-2 | 2-Benzothiazolesulfenamide, N,N-dicyclohexyl- (DCBS) | C19H26N2S2 | 346.59 |
3.1.1 Selection of analogues and use of (Q)SAR models
A read-across approach using data from analogues and the results of (quantitative) structure-activity relationship ((Q)SAR) models, where appropriate, was used to inform the ecological and human health assessments. Analogues were selected that were structurally similar and/or functionally similar to substances within this subgroup (similar physical-chemical properties, toxicokinetics) and that had relevant empirical data that could be used to read across to substances with limited empirical data. The applicability of (Q)SAR models was determined on a case-by-case basis. Details of the read-across data and (Q)SAR models chosen to inform the ecological and human health assessments of the benzothiazoles subgroup are further discussed in the relevant sections of this report. A read-across approach was used to inform the assessment of the benzothiazoles subgroup as appropriate, using substances already included within the subgroup.
3.2 Physical and chemical properties
A summary of physical and chemical property data of the substances in the benzothiazoles subgroup is presented in Table 3‑2.
When experimental information was limited or not available for a property, data from analogues were used for read-across and/or (Q)SAR models were used to generate predicted values for the substance. Experimental data for MBT were available and thus the log Kow and water solubility for SMBT were read across from MBT. An experimental value for log Kow for MBTS was retrieved using the SMILES from the EPI Suite database (c2000-2012). Vapour pressure was selected by taking the median result of predictions from several models. Henry’s law constants were modelled using the bond estimation method from EPI Suite (c2000-2012) with experimental inputs (i.e., water solubility and log Kow). Log Koc values were modelled using KOCWIN (2010) and ACD/Percepta (c1997-2012) with the median value selected as the log Koc.
| Property | TBBS | CBS | MBTS | MBT | SMBTa | DCBS | Reference(s) |
|---|---|---|---|---|---|---|---|
| Melting point (°C) | 108 | 93-100 | 180 | 180 | 180 | 99 | HSDB 1983-2017 |
| Vapour pressure (Pa) | 6.12x 10-5 | <4.53x10-5 | 8.28× 10-8 | 2.60×10-8 | 2.60×10-8 | <1x10-5 | MPBPWIN 2010;EC 2008; ECHA c2007-2019; CompTox 2018 |
| Henry’s law constant (atm·m3/mol) | 8.47× 10-10 | 6.58×10-10 | 2.34× 10-13 | 3.63×10-8 | 3.63×10-8 | 2.63×10-9 | HENRYWIN 2008 |
| Water solubility (mg/L) | 1.23 | 0.32 | <0.05 | 118 | 118 | 1.9x10-3 | ECHA c2007-2019; HPVIS c1998-2017 |
| Log Kow (dimensionless) | 4.67 | 5.0 | 4.66 | 2.41 | 2.41 | 5.5 | KOWWIN 2010; HSDB 1983-2017; EPI Suite c2000-2012b; CompTox 2018; ECHA c2007-2019 |
| Log Koc (dimensionless)a | 4.06 | 4.13 | 5.21 | 2.51-3.13 | 2.51-3.13 | 4.82 | Median of models KOCWIN 2010; ACD/Percepta c1997-2012; ECHA c2007-2019 |
| Log Koa (dimensionless) | 12.13 | 11.04 | 13.43 | 8.24 | 8.24 | 11.77 | KOAWIN 2010 |
| pKa (dimensionless) | 1.3 | 0.6 | 2.7 | 6.9 | 6.9 | 0.4 | ACD/Percepta c1997-2012 |
Abbreviations: Kow, octanol-water partition coefficient; Koc, organic carbon-water partition coefficient; Koa, octanol-air partition coefficient; pKa, acid dissociation constant
a MBT was used to read across to SMBT.
b Performed Experimental Value Adjustment Approach using emprirical log Kow for CBS (EPI Suite c2000-2012).
MBT and SMBT are polar and are therefore soluble substances, which are expected to be approximately 50% ionized at pH 6.9 based on pKa (ACD/Percepta c1997-2018). In contrast, MBTS is poorly soluble due to the disulfide linkage which effectively results in no net dipole moment. The modelled pKa value of 2.4 indicates that under highly acidic conditions this substance will become positively charged via protonation of the nitrogen in the thiazole ring (ACD/Percepta c1997-2012). At environmentally-relevant pH, MBTS will primarily be present in its neutral form. TBBS, DCBS and CBS have very low water solubility due to the presence of non-polar molecular structural features (dimethylethyl, dicyclohexyl, and cyclohexyl groups, respectively), and will be neutral at environmental pH.
3.3 Sources and uses
The natural occurrence of substances in the benzothiazoles subgroup (e.g., MBT from a marine bacterium) is expected to be rare (EC 2008). Therefore, it is expected that the detection of these substances in environmental media would be primarily due to commercial or industrial activities. All of the substances in the benzothiazoles subgroup have been included in surveys issued pursuant to CEPA section 71 (Canada 2017). Table 3‑3 presents a summary of information reported on the total manufacture and total import quantities for the benzothiazoles subgroup.
| Substance | Total manufacture (kg) | Total imports (kg) | Reporting year |
|---|---|---|---|
| TBBS | NRb | 100 000 – 1 000 000 | 2015 |
| CBS | NRb | 100 000 – 1 000 000 | 2015 |
| MBTS | NRb | 100 000 – 1 000 000 | 2015 |
| MBT | NRb | 10 000 – 100 000 | 2015 |
| SMBT | NRb | 10 000 – 100 000 | 2014 or 2015 |
| DCBS | NRb | 100 000 – 1 000 000 | 2014 or 2015 |
a Values reflect quantities reported in response to CEPA section 71 surveys (Canada 2017). See survey for specific inclusions and exclusions (schedules 2 and 3).
b NR = no manufacturing quantities were reported for the substance above the reporting threshold of 100 kg for either 2014 or 2015.
Table 3‑4 presents a summary of the major Canadian commercial and consumer uses of the benzothiazoles subgroup, according to information submitted pursuant to a CEPA section 71 survey (Canada 2017). Other uses were also reported but were identified as being confidential. These other uses, although not presented in this draft screening assessment report, were taken into consideration in the risk assessment.
| Major usesa | TBBS | CBS | MBTS | MBT | SMBT | DCBS |
|---|---|---|---|---|---|---|
| Automotive, aircraft and transportation | N | N | Y | Y | N | N |
| Cleaning and furnishing care | N | N | N | Y | N | N |
| Lubricants and greases | N | N | N | N | Y | N |
| Metal materials | N | N | Y | N | N | N |
| Rubber materials | Y | Y | Y | Y | N | Y |
| Other | N | N | N | Y | Yb | N |
Abbreviations: Y = yes, use was reported for this substance, N = no, use was not reported for this substance or its use is considered confidential information
a Non-confidential uses reported in response to CEPA section 71 surveys (Canada 2017). See surveys for specific inclusions and exclusions (schedules 2 and 3).
b Used as a flotation/frother reagent for mining industry.
MBT, MBTS, CBS, TBBS and DCBS are used as vulcanization agents in tire and other rubber products manufacturing, which accounted for 95% of their total imported quantity in 2014 or 2015 (Canada 2017). SMBT is used as a corrosion inhibitor in lubricants and as a flotation agent in some subsectors of the mining industry, where the combined quantity for these uses was equal to 3% of the total imported quantity in 2014 or 2015 (Canada 2017). In 2014 or 2015, the substances in the benzothiazoles subgroup had additional applications in motor vehicles/ automotive parts manufacturing (1%), cleaning and furnishing care products (<0.2%), water treatment (<0.2%), and other applications with smaller quantities (<0.2%; Canada 2017).On the basis of notifications submitted under the Cosmetic Regulations to Health Canada, the substances in the benzothiazoles subgroup have not been notified to be present in cosmetics (personal communication, emails from the Consumer and Hazardous Products Safety Directorate, Health Canada, to ESRAB, Health Canada, 2017, 2018; unreferenced).
Some substances in the benzothiazoles subgroup are listed, or were historically listed, on the Pest Management Regulatory Agency (PMRA) List of Active Pesticide Ingredients or on PMRA’s Pesticide Formulants List; however, none of the substances were reported to be in currently registered pest control products in Canada (personal communication, emails from the Pest Management Regulatory Agency, Health Canada, to ESRAB, Health Canada, 2017, 2018; unreferenced).
Some substances in the benzothiazoles subgroup may be used as components in food packaging materials and/or may occur as incidental additives with various potential for direct contact with food (personal communication, emails from the Food Directorate, Health Canada, to ESRAB, Health Canada, 2017, 2018; unreferenced). TBBS may be used as a raw material in the manufacture of some gaskets for drums or exterior layers for pipes for food contact applications. MBTS may be used as a component in rubber bands that may contact foods, external rubber covers for flexible pipes to transfer food, and rubber gaskets for polyethylene drum lids with the potential for direct, albeit minimal food contact. MBT may be used as a raw material in the manufacture of gloves intended for use in contact with food as well as in a coating used to prime the interior of metal closures for food packaging applications. In addition, MBT may be used in various cleaning products for use on food contact and non-food contact surfaces, and maintenance aids for non-food contact surfaces, cleaners and cooling and retort water treatment products with no food contact, and in dishwasher machine detergent which is followed by a thorough potable water rinse. SMBT may be used as a component in a processing aid used to manufacture paper and paperboard. In addition, SMBT is used as a component in a cleaner followed by a thorough potable water rinse, in open and closed recirculating water systems where the water does not come into contact with food, and in water boiler systems where the substance does not come into contact with the food.
CBS, MBTS, and MBT are listed on the NHPID with non-natural health product (non-NHP) roles, and are not currently used in any licensed NHPs, whereas TBBS, SMBT, and DCBS were neither listed on the NHPID nor on the LNHPD (LNHPD [modified 2018]; NHPID [modified 2019]; personal communication, email from the Natural and Non-prescription Health Products Directorate, Health Canada, to ESRAB, Health Canada, 2017, 2018; unreferenced). None of the substances in the subgroup were found in currently registered drug products (personal communication, email from the Therapeutic Products Directorate, Health Canada, to ESRAB, Health Canada, 2017, 2018; unreferenced).
Other use information from publicly available data has been identified for the substances in the benzothiazoles subgroup. Given that the function of benzothiazoles is often as an accelerator for the vulcanization of rubber, it is expected that these substances could be used in various rubber products, including products that may be used by consumers (e.g., Danish EPA 2003; EC 2008; ECHA 2013; OECD 2003, 2004a, 2008). The presence of MBT in soothers has been the subject of review in peer-reviewed literature internationally and was detected in a few samples. MBT was detected in one natural rubber sample out of 19 in teats purchased in the Netherlands (Bouma et al. 2003) and two soothers showed migration to water and acidic food simulants after 24 hours (Danish Institute for Food Inspection and Nutrition, Danish Department for Food, 1999, as cited in EC 2005). A 2018 study performed by Health Canada on rubber soothers available on the Canadian market (n = 20) did not find any MBT above the limit of quantification (LOQ) of 10 mg/kg (personal communication, emails from the Consumer and Hazardous Products Safety Directorate, Health Canada, to ESRAB, Health Canada, 2017, 2018; unreferenced). MBT, MBTS, CBS and other benzothiazoles were detected in synthetic turf pitches with rubber granulate (RIVM 2017). There have also been studies reporting the presence of certain benzothiazoles in textiles (Liu et al. 2017; Rovira and Domingo 2019). SMBT may be used as a corrosion inhibitor and is reported to be used in automotive products (Ash 2001; SDS 2011).
3.4 Releases to the environment
Releases of 2-mercaptobenzothiazole (MBT) were reported to the National Pollutant Release Inventory (NPRI) by six companies over the time period of 2003 to 2016. Reported annual release quantities ranged among facilities from 0.007 tonnes to 6.69 tonnes and releases were primarily as particulate release to air. Rubber product manufacturing for the automotive industry was the primary source of release reported to the NPRI. Substances in the benzothiazoles subgroup have potential releases to water from facilities using these substances in product formulation or manufacturing (e.g., tires and rubber products). As discussed in Appendix G, it is expected that CBS, TBBS, and DCBS will hydrolyze to MBT in aqueous environments or be released as MBT as a result of their use pattern. In addition, information located in a technical note (NOCIL, [Date Unknown]) indicates that industrial use of MBTS will result in the reduction of the disulfide to MBT. Accordingly, these substances will be considered as contributors or precursors to MBT. These substances may be released to the environment directly from tire wear (from in-use and end-of-life tires), as well as from some activities of the mining industry. Indirect releases may result from the application of biosolids to land from wastewater treatment systemsFootnote 7 (WWTS) that receive wastewater containing substances in the benzothiazoles subgroup. The characteristics of the WWTS will ultimately determine the behaviour of the benzothiazole substances in terms of degradation and partitioning between effluents and biosolids. However, the physical-chemical properties of MBTS (estimated log Koc = 5.21) indicate that it will partition to biosolids, and depending on the water conditions, a fraction of MBT and SMBT will likely partition to biosolids as well. As such, indirect releases to soil from the land application of biosolids from WWTS are a possibility. Finally, the use of substances in the benzothiazoles subgroup in lubricants may also result in releases to the environment via wastewater.
3.5 Environmental fate and behaviour
3.5.1 Environmental distribution
Should substances in the benzothiazoles subgroup be released to air, it is expected that they would associate with the particulate-phase and be deposited via wet or dry deposition processes. The subgroup is characterized with negligible vapour pressure and low Henry’s law constants. These properties indicate that volatilization would be negligible from soil surfaces and surface waters and as such, long-range atmospheric transport is not expected to occur. The substances in the benzothiazoles subgroup are expected to contribute to environmental exposure of the MBT moiety; therefore, data from MBT will be considered for the fate of all of the benzothiazoles, unless otherwise specified.
If released to water, it is expected that MBTS will partition to sediment given its low water solubility, and high log Koc. MBT and SMBT, given their moderate water solubility and moderate-high log Koc, are expected to remain primarily in the water compartment. However, as MBT and SMBT are ionizable, the less soluble nonionized form of MBT and SMBT may also sorb on suspended particulates and bed sediments. Ni et al. (2008) found that MBT partitions between the aqueous phase and suspended particulate matter; thus, it is possible that MBT will settle to sediment when sorbed onto suspended particulate matter.
Given that MBT is highly stable in water, its long-range transport potential (LRTP) in water was assessed using the Transport and Persistence Level III Model (TaPL3 2003) with its neutral form as the model substance. Zarfl et al. (2011) have proposed a threshold of 5200 km for classifying organic substances as having long-range transport potential in water. The predicted transport distance for MBT was much greater than 5200 km, assuming a river with a current of 3.6 km/h and a depth of 20 m or 5 m (where the two scenarios modelled yielded similar conclusions). Therefore, releases of MBT to a river would likely result in transport along the full length of the river, and dilution rather than degradation would be the main factor affecting exposure concentrations (Mackay et al. 2014). Long-term continuous exposures are therefore expected near local release points, ranging up to the far-field.
If released to soil, substances in the benzothiazoles subgroup are expected to be relatively immobile and to remain in soil. In the case of MBTS, this is largely due to its low water solubility and high log Koc. EQC modelling indicates that MBT and SMBT would remain in soil (see Table 3‑5), arising from their moderate log Koc values. In addition, the study by Ni et al. (2008) indicates that neutral MBT will sorb to particulate matter.
| Substances released to: | Air (%) | Water (%) | Soil (%) | Sediment (%) |
|---|---|---|---|---|
| Air (100%) | 9.1x10-4% | 9.2% | 91% | 0.06% |
| Water (100%) | 0.015% | 99% | 0.13% | 0.77% |
| Soil (100%) | 0.010% | 7.8% | 92% | 0.06% |
3.5.2 Environmental persistence
Analysis of the biotic and abiotic degradation of benzothiazoles was informed by literature studies and environmental modelling software. In a review article, De Wever and Verachtert (1997) discuss that MBT could be methylated to form 2-methylthiobenzothiazole (MTBT) or photolysed to form benzothiazole or 2‑hydroxybenzothiazole. The rate of this degradation in natural systems is unknown. Brownlee et al. (1992) observed methylation of MBT; however, it was found that after analysis the yield of MTBT was 2%. Further analysis of photolysis products indicated that, as discussed in the De Wever and Verachtert review (1997), benzothiazole and 2-hydroxybenzothiazole were products. The yields reported for each of these were low, with the highest range reported being 28-47% for benzothiazole. Environmental degradation and transformation pathways have been reported (Liao et al. 2018); however, the rate and the extent to which MBT undergoes biotic and abiotic degradation cannot be determined at this time and remains an uncertainty.
BIOWIN (2010) predicts that MBT is not readily biodegradable, but also not resistant to biodegradation, which is aligned with EC (2008). In addition, EC (2008) indicates that MBT will be persistent. The degradation of MBT will depend on the environment it is exposed to (i.e., photolysis can only occur in the presence of light). OASIS Catalogic modelling predicts the biodegradation half-lives of MBT to be in the order of years (CATALOGIC 2014). As such, MBT and SMBT are considered to be persistent and there exists the potential for chronic exposures.
It is expected that several of the other benzothiazoles in this assessment will undergo abiotic degradation to MBT either fully or in part (see Appendix G for further information) through reactions such as hydrolysis or reduction. Information found in the ECHA dossiers for TBBS, DCBS and MBTS (EC 2008; ECHA c2007-2019) indicates that these substances will degrade to form MBT in the environment. Specifically, EC (2008) concluded that MBTS hydrolyzes to MBT within a few days, although some reports are under conditions where hydrolysis will either not occur, or occurs at a slower rate. CBS hydrolyzes into both benzothiazole and MBT (ECHA c2007-2019; ChemRisk LLC 2010).
Table 3‑6 summarizes the OASIS Catalogic results regarding the biodegradation of substances for the benzothiazoles subgroup.
| Substance | Biodegradation half-life in water (days) | Biodegradation half-life in soil (days)a | Biodegradation half-life in sediment (days)a |
|---|---|---|---|
| MBTS | 2415b | 2415 | 9663 |
| MBT | 1930 | 1930 | 7222 |
| SMBT | 1930 | 1930 | 7222 |
a Biodegradation in soil and sediment determined using the Boethling approach; t1/2(water)= t1/2(soil)= 4 t1/2(sediment) (Boethling et al. 1995).
b Empirical data from the OASIS Catalogic training set (CATALOGIC 2014).
3.5.3 Potential for bioaccumulation
The available data indicate that substances within the benzothiazoles subgroup are unlikely to bioaccumulate. MBT and SMBT have moderate water solubility and log Kow values of 2.41, which indicate a low potential for bioaccumulation. MBTS has a log Kow value of 4.21 and low water solubility; however, it is assumed that MBTS will degrade to MBT so it is unlikely that MBTS will bioaccumulate. Empirical data presented in the European risk assessment for CBS (EC 2008) indicate that MBTS has a very low potential for bioaccumulation with reported bioconcentration factors (BCFs) in the range of 1.0-51 L/kg. Modelled bioaccumulation factors (BAFs) based on the worst-case BCFs for MBT and MBTS also indicate that the substances in the benzothiazoles subgroup have low potential for bioaccumulation. This is likely due to the low log Kow of MBT, which shows that it is not expected to be taken up in fatty tissues, in addition to its fast biotransformation rate (BCFBAF 2010). The affinity of MBT for phospholipids (i.e., membrane-water partitioning) is also expected to be low given its relatively low log Kow. Since MBTS is expected to degrade to MBT, it will share similar bioaccumulation characteristics. Table 3‑7 summarizes the key data regarding the bioconcentration of the benzothiazoles subgroup in aquatic organisms.
| Substance | Test organism | Kma (10 gram fish) | Experimental concentration (mg/L) | BCF (L/kg) | BAFb (L/kg) | Reference (BCF) |
|---|---|---|---|---|---|---|
| MBTS | QSAR (Pimephales promelas) | NA | NA | 1330 | NA | EC 2008 |
| MBTS | Cyprinus carpio | 5.07 | 0.2 | 1.0-7.2 | NA | EC 2008, OECD 2003 |
| MBTS | C. carpio | 5.07 | 0.02 | <1.4-51 | 52c | EC 2008, OECD 2003 |
| MBT | C. carpio | 10.38 | 0.1 | <0.8 | NA | EC 2008 |
| MBT | C. carpio | 10.38 | 0.01 | <8.0 | 8.3c | EC 2008 |
Abbreviations: BAF, Bioaccumulation Factor (L/kg); BCF, Bioconcentration Factor (L/kg); Km, Biotransformation rate constant; NA, Not Available
a From BCFBAF 2010.
b Calculated using the model as referenced in Arnot et al. 2008a, 2008b.
c Calcuated for mid trophic level fish using the mass balance determination of the metabolism rate from the empirical BCF study (Arnot et al. 2008a, 2008b).
3.6 Potential to cause ecological harm
3.6.1 Ecological effects assessment
3.6.1.1 Mode/mechanism of action
As discussed in the Ecological Risk Classification of Organic Substances (ECCC 2016a), the mode of action (MoA) was profiled using multiple QSAR approaches. Specifically, the Verhaar profiler, OASIS MoA profiler, and ASTER were used to characterize the MoA of the substances in the benzothiazoles subgroup.
The Verhaar and ASTER profilers indicate that MBTS has a specific MoA (sulfhydryl based reactivity in the case of ASTER), whereas the OASIS profiler indicates that all of the substances in the benzothiazoles subgroup have non-narcotic MoAs.
While there are some discrepancies in MoA modelling for MBT and SMBT, research indicates that these substances have specific MoAs through interactions with nucleic acids and proteins. In addition, it has been reported that benzothiazoles have broad spectrum biological activity (Liao et al. 2018). For example, MBT has been shown to inhibit or affect a variety of enzymes including tyrosinase, lactate dehydrogenase, and glutathione enzymes (Choi et al. 2007; De Wever et al. 1994; Stephensen et al. 2005). MBT was also found to have a deleterious effect on the respiratory chain through its interaction with flavoproteins (De Wever et al. 1994).
Research shows that MBT inhibits thyroid peroxidase (TPO) in fish and frogs, effects were also observed in rat thyroid microsomes in a tiered high-throughput screening assay (Friedman et al. 2016; Nelson et al. 2016; Stinckens et al. 2016; Tietge et al. 2013). According to Friedman (2016), TPO inhibition may result in decreased thyroid hormone synthesis and ultimately in adverse outcomes including neurological dysfunction. Nelson et al. (2016) and Stinckens et al. (2016) verified this adverse outcome pathway as they found that MBT inhibited TPO in both Pimephales promelas and Danio rerio, leading to reduced thyroid hormone levels, which manifested as delayed anterior swim bladder inflation for both species. Endpoints were associated with DNA/protein binding, notably EC50 values for reduced pigment in the eye and body, and for malformation of the mouth (Stinckens et al. 2016). Miyata and Ose (2012) also demonstrated that amphibian development can be sensitive to changes in thyroid homeostasis as did Tietge et al. (2013), who showed that MBT inhibits the thyroid hormone pathway in Xenopus laevis. These authors used 7- and 21-day test protocols to evaluate metamorphic and thyroid effects, ultimately demonstrating that MBT disrupts thyroid function in amphibians.
Finally, the work of Zeng et al. (2016) on the effects of 12 benzothiazoles (including MBT and MBTS) on Oncorhynchus mykiss cell lines reported that MBT induces DNA damage, but only at concentrations that cause more than a 30% loss of cell viability. The same study by Zeng and colleagues found no effects from exposure to MBTS with regard to cytotoxicity or genotoxicity; however, exposure to MBTS was found to induce genetic damage to mammalian cells (BUA 1993).
In summary, the in vitro and in vivo literature, as well as the QSAR-derived MoA consistently indicate that MBT binds protein and DNA thus affecting the endocrine system in aquatic organisms. Given that all members of the benzothiazoles subgroup are likely precursors to MBT, the effects reported above are applicable to the whole subgroup for the purpose of the ecological assessment.
3.6.1.2 Effects on aquatic organisms
Ecological effects studies available for benzothiazoles include data for fish, invertebrates, and algae. Significant results include those presented in the European risk assessment (EC 2008), Nawrocki et al. (2005), and Stinckens et al. (2016). Reports from the American Chemistry Council (ACC 2001), the OECD screening information data set on N-tert-butylbenzothiazole-2-sulphenamide (OECD 2003), and the US EPA hazard characterization document on benzothiazole and morpholine-based thiazoles (US EPA 2010) were also consulted. See Appendix H for additional effects data.
The effects of MBT on early life stage O. mykiss were characterized by OECD Test Guideline (TG) 203 and TSCA Test Standard No. 797.1600 (EC 2008; ECHA c2007-2019), where the results from these studies are presented in Table 3‑8. In the OECD TG 203 test, juvenile O. mykiss were exposed to MBT in a flow-through system with the LC50 endpoints being based on measured concentrations. In the other flow-through test, O. mykiss (60 days post-hatch) were exposed to MBT for 89 days, where larval length was the most sensitive indicator from which the LOEC and NOEC were determined (0.078 mg/L and 0.041 mg/L respectively). Stinckens et al. (2016) describe an OECD Fish Embryo Acute Toxicity test which was conducted on D. rerio to characterize the thyroid hormone disruption resulting from MBT exposure (see Table H-1).
Tietge et al. (2013) studied the effects of MBT on X. laevis using 7d and 21d protocols to evaluate endpoints relating to thyroid histology and function. Thyroid effects were found at even the lowest concentrations tested, including decreases in the thyroid hormones T3 and T4 at 18 µg/L. Retardation of metamorphic development was reported at higher concentrations (0.11 mg/L and above; see Table H-1). Data on MBT’s effects on aquatic invertebrates were found in the EU risk assessment report on CBS (EC 2008), Nawrocki et al. (2005), and Europe’s registered substances database (ECHA c2007-2019). The endpoints from these studies are aligned, with acute median effect data in the range of 1-16 mg/L, and with acute and chronic NOECs of 0.84 mg/L and 0.24 mg/L, respectively (Table 3‑8).
Several studies on algae were found in published reports (EC 2008; ACC 2001; OECD 2003; US EPA 2010). The data show effects in the 0.1-1 mg/L range; however, the studies were not available for review and thus none of these endpoints are considered for predicted no-effect concentration (PNEC) derivation. The study in Table H-1 on Selenastrum capricornutum was considered for assessment factor determination to inform species variation as sufficient detail was presented in the EU risk assessment (EU RAR 2008) to infer that this study is acceptable; however, not enough detail was available for an independent review.
Empirical tests for MBTS in the ECHA database (data not shown) indicate no effects at concentrations well above the water solubility limit. The very low solubility of MBTS as well as the high log Koc suggests that MBTS would not be present in the aquatic compartment at high concentrations (the reported water solubility is < 50 µg/L).
To characterize the effects of the benzothiazoles subgroup, the 89-day chronic NOEC of 0.041 mg/L for O. mykiss larval growth was used as the critical toxicity value (CTV) as it was the most sensitive endpoint. This value was divided by an assessment factor of 20. This is based on a factor of 2 to account for species variation since a moderately sized dataset was available. Specifically, the dataset includes 5 species across 3 species categories (i.e., vertebrates, invertebrates and primary producers), as seen in Table 3‑8 and Table H-1. A factor of 10 is used as a precaution to account for uncertainty with the broad spectrum biological activity of MBT in aquatic receptors, particularly toward amphibians. No acute to chronic extrapolation was needed, as the CTV is a long-term, sub-lethal, no effect endpoint. The resulting aquatic PNEC is 0.00205 mg/L or 2.05 µg/L. Table 3-8 summarizes the key aquatic toxicity studies for the benzothiazoles subgroup.
| Common name | Test organism | Endpoint | Value (mg/L) | Reference |
|---|---|---|---|---|
| MBT | Rainbow Trout (Oncorhynchus mykiss) | 96h LC50 | 0.73 | EC 2008 |
| MBT | Rainbow Trout (O. mykiss) | 192h LC50 | 0.67 | EC 2008 |
| MBT | Rainbow Trout (O. mykiss) | 89-day NOEC (Larval length) | 0.041 | EC 2008 |
| MBT | Rainbow Trout (O. mykiss) | 89-day LOEC (Larval length) | 0.078 | EC 2008 |
| MBT | Water Flea (Daphnia magna) | 21-day NOEC (Survival) | 0.24 | EC 2008 |
| MBT | Water Flea (D. magna) | 48h EC50 (Mobilization) | 8.5 | ECHA c2007-2019 |
| MBT | Water Flea (D. magna) | 48h EC100 (Mobilization) | 16.04 | ECHA c2007-2019 |
| MBT | Water Flea (Ceriodaphina dubia) | 48h EC50 (Mortality) | 4.19 | Nawrocki et al. 2005 |
| MBT | Water Flea (C. dubia) | 7-day EC50 (Mortality) | 1.25 | Nawrocki et al. 2005 |
| MBT | Water Flea (C. dubia) | 7-day NOEC (Mortality) | 0.84 | Nawrocki et al. 2005 |
Abbreviations: NOEC, No observed effect concentration; LOEC, Lowest observed effect concentration; LCx, Lethal concentration for x% of the population; ECx, Effect concentration for x% of the population
3.6.1.3 Effects on sediment organisms
There are minimal sediment toxicity data for substances in the benzothiazoles subgroup. Information is limited to internal Environment and Climate Change Canada research on MBTS (personal communication, unpublished research data on benzothiazoles from Aquatic Contaminants Research Division, ECCC, to the Ecological Assessment Division, ECCC, dated 2018; unreferenced). The communicated research on Hyalella azteca, and Hexagenia spp. indicate no effects on growth and survival at nominal MBTS concentrations up to 100 mg/kg dry weight. On Tubifex tubifex, there were no effects on survival, cocoon production and cocoon hatching at MBTS concentrations up to 100 mg/kg dry weight. A statistically significant difference was observed at the highest concentration of MBTS tested, i.e., a reduction in production of young at 100 mg/kg dry weight. It is not expected that MBT or SMBT will reside in sediment based on their physical-chemical properties and EQC modelling. As such, a sediment PNEC was not derived for MBT or SMBT. A sediment PNEC was not derived for any of the other substances in the benzothiazoles subgroup either, since it is assumed in this report that these substances will eventually be degraded to MBT when released. Table 3-9 summarizes the key sediment toxicity studies for the benzothiazoles subgroup, while Table H-2 lists additional studies that were assessed.
| Common name | Test organism | Endpoint | Value (mg/kg) | Reference |
|---|---|---|---|---|
| MBTS | Sludge worm (Tubifex tubifex) | 4 week LOEC | 100 | Unreferenced internal communication |
| MBTS | Sludge worm (Tubifex tubifex) | 4 week NOEC | 10 | Unreferenced internal communication |
Abbreviations: NOEC, No observed effect concentration; LOEC, Lowest observed effect concentration.
3.6.1.4 Effects on soil-dwelling organisms
Minimal data on the effects of substances in the benzothiazoles subgroup to soil- dwelling organisms are available, and none were found for MBT itself. Data were retrieved from ECHA’s registered substances database (ECHA c2007-2019) regarding the effects of MBTS on earthworms and plants. Specifically, studies using OECD guideline 222 on earthworms and OECD guideline 208 on terrestrial plants were retrieved. Both studies show no effects for the highest concentrations tested (1000 mg/kg). The earthworm studies considered endpoints including mortality (28 days), biomass (28 days) and reproduction (56 days), while the plant studies examined seedling emergence, shoot length, and shoot fresh weight (all 14 days).
An earthworm study following OECD guideline 222 for TBBS (ECHA c2007-2019) will be used to characterize the effects of the benzothiazoles subgroup in soil. Over the course of the 28-day earthworm biomass study and 56-day earthworm reproduction study, it is probable that a significant portion of the TBBS was degraded into MBT. No mortality or difference in biomass was observed over the 28 days but there was a statistically significant difference between the number of juveniles in the control and in various test concentrations. Accordingly, the LOEC was determined to be 237.2 mg/kg dw soil and the NOEC was determined to be 133.3 mg/kg dw soil which gives a maximum acceptable toxicant concentration (MATC; the geometric mean between the NOEC and the LOEC) of 178 mg/kg dw soil. This value of 178 mg/kg dw soil will be used as the CTV for PNEC derivation. An assessment factor of 100 was applied to the CTV. This includes a factor of 10 for inter-species variation in sensitivity to account for limited data on the effects of this subgroup to soil-dwelling organisms (2 species across the 2 species categories of invertebrates and primary producers), and a factor of 10 to account for MoA as the dataset did not reflect the potential effects that could arise due to the specific MoA of this subgroup. No acute to chronic extrapolation was needed as the CTV is a long-term, sub-lethal, low effect endpoint.
Application of this assessment factor results in a PNEC of 1.78 mg/kg dw soil. It is assumed in this report that any releases of TBBS will result in degradation to MBT; therefore, this PNEC will be used to characterize the entire benzothiazoles subgroup.
3.6.2 Ecological exposure assessment
Exposure characterization focused on the most relevant exposure scenarios for the benzothiazoles subgroup. MBT and MBTS are used primarily as vulcanization agents in the tire and other rubber products manufacturing sector and thus scenarios were considered for tire and other rubber products manufacturing, in-service tires and end-of-life tires. SMBT is used as a corrosion inhibitor in lubricants, so scenarios were considered for releases from the use in lubricants and from lubricant formulation facilities. SMBT is also used as a flotation agent in some subsectors of the mining industry and thus a scenario for this use pattern was considered. For the tire related scenarios, CBS, TBBS, and DCBS were considered as precursors to MBT. No relevant environmental monitoring data were available for any of these substances.
Many end-of-life tires are recycled and re-used in different applications such as tire-derived products, tire-derived aggregate in civil engineering applications, tire-derived fuel, and landfill disposal. For these applications, there are large variabilities and a lack of data; therefore, a predicted environmental concentration (PEC) was not developed (ECCC 2020).
For the release of SMBT from lubricant formulation facilities, the quantity of SMBT used at these facilities represents a very small percentage of the total use quantity of the benzothiazoles subgroup; thus, release is considered insignificant compared to other exposure scenarios. Therefore, a PEC was not developed for this scenario (ECCC 2020).
A total quantity of 1 000 000 to 10 000 000 kg/yr of benzothiazoles was imported in 2014 or 2015 (ECCC 2018). Proportionally, the vast majority of this quantity was used in tire manufacturing (~88%) with the remainder being used in other rubber products (~7%), lubricants (~1%), mining (~2%), and with the final 2% used in other applications (see section 3.3).
| Scenario # | Description of Scenario | Substances Included |
|---|---|---|
| 1 | Tire and other rubber products manufacturing | Any of MBT, MBTS, TBBS, CBS, or DCBS |
| 2 | Tire wear from in-service tires | Any of MBT, MBTS, TBBS, CBS, or DCBS |
| 3 | Use in mining | SMBT |
| 4 | Use in lubricants | SMBT |
3.6.2.1 Calculation of PECs and general assumptions
Substances in the benzothiazoles subgroup are not expected to biodegrade to any appreciable extent in the short to medium term; however, it is expected that CBS, DCBS, MBTS, and TBBS will react during the manufacturing processes or will degrade in wastewater to MBT. Considering the persistence and solubility of MBT, it is expected that MBT will be discharged to surface water from WWTS.
The industrial release scenarios were based on the total volume of benzothiazole used in a given process as each substance would contribute to MBT in the waste stream.
In general, the following equations were used to calculate predicted environmental concentrations (PECs) for water and soil respectively:
Where Q represents the quantity of substance (kg), EF represents the emission factor for release to water, Mr represents the mass ratio (when applicable), RRon and RRoff represent on- and off- site wastewater removal rates, N represents the number of days of operation, F represents the flow of the industrial facility or the WWTS, and DF represents the dilution factor of the receiving water body. The combination of the terms F x DF represent the daily dilution water volume.
Where Cs is the concentration of the substance in biosolids (mg/kg dry weight), A is the annual biosolids land application rate (kg/m2-y), N is the number of years for biosolids land application, d is the mixing depth and ρ is the dry soil density (kg/m3) (ECCC 2020).
3.6.2.2 Exposure scenario 1: tire and other rubber products manufacturing
The use of benzothiazoles in tire manufacturing has been assessed to represent facilities engaged in processes that are representative of tire and other rubber products manufacturing. Specifically, benzothiazoles are used as accelerators in the vulcanization process in tire manufacturing. When used, these substances are reacted and are therefore chemically bound in the products. However, it is possible that a small percentage of the unreacted starting materials remain after the vulcanization processes. During tire manufacturing, benzothiazole substances may be released to wastewater from compounding, vulcanization and other processes. The wastewater may go through on-site treatment systems including an oil/water separator followed by discharge to surface water or a WWTS. Information regarding the Canadian tire manufacturing facilities was compiled. Information was retrieved on the use quantity or production capacity (2000 to 19 000 tires per day depending on the facility) (MTD 2018). Different sources of information were available to estimate emission factors (EFs). Low-end and high-end EFs for releases to wastewater from all processes were used in the development of PECs. The low-end EF considered was 0.0003 (ChemRisk LLC 2010). The high-end EF for tire facilities that do not handle chemical powders was 0.0005 (ECB 2003) and the high-end EF for facilities that handle chemical powders was 0.0015Footnote 8 (ECB 2003; OECD 2009b). Removal rates for an oil/water separator (assumed to be 10% given the solubility and density of MBT) and for an applicable biological treatment system (62% based on SimpleTreat model estimates), and daily dilution water volume (either effluent from a facility or from a WWTS with dilution from a receiving water body) were also used. See ECCC (2020) for further information. Applying facility-specific information in conjunction with the above information, the PEC values for the different tire manufacturing sites derived using the low-end EFs range from 0.18 to 8.23 µg/L, and using the high-end EFs range from 0.90 to 13.71 µg/L.
An approach described by ECHA (2016b) was used to estimate MBT concentrations in soil resulting from the land application of biosolids generated from a secondary wastewater treatment system (WWTS). The approach assumes that the MBT-containing wastewater from a facility is discharged to a secondary WWTS and MBT may be present in sludge by sorption and carried into biosolids. It also assumes that the application of biosolids on soil occurs once a year, and that MBT accumulates within the top 20 cm layer of soil over 10 years with no loss of MBT through mechanisms such as degradation, volatilization, leaching, etc. Default values were used for the biosolid land application rate and dry soil density.
The PEC developed from this approach represents a conservative estimate, as degradation and other loss mechanisms were not considered. Following this procedure the maximum soil PEC was calculated to be 0.16 mg/kg dw when the low-end EF is used and 0.26 mg/kg dw when the high-end EF is used.
3.6.2.3 Exposure scenario 2: tire wear from in-service tires
Tires are used in different vehicles running on-road and off-road. It is estimated that approximately 33 million new tires are put into service in Canada every year and that the service life of a tire is approximately 6 years (Badila 2013). While in service, approximately 40% of tire tread is lost over the lifetime of a tire (Badila 2013). In order to determine a surface water PEC, the quantity of tire wear particles, substance concentration in tire wear particles, fate of tire wear particles, substance leaching rate from tire wear particles, runoff water volume, removal rate in runoff water, and dilution factor from a receiving water body are needed.
Tire wear particles come from the abrasion of tire tread. The substance concentration is approximately 1% by weight in tire wear particles (OECD 2004b). The substance is chemically bound in the vulcanization processes during tire manufacturing. It is assumed that all tire wear particles on the road side will be flushed away by runoff storm water and eventually reach a receiving water body. Though the substance is chemically bound in tire wear particles, it is assumed that a small percentage of the substance might still be unreacted and thus might have the potential to leach from tire wear particles. Based on limited literature values, a conservative leaching rate of 1% from the unreacted substance is used in the calculation.
It is assumed that benzothiazole substances will be predominantly present as MBT in runoff water because many leached substances of interest degrade to MBT. Some runoff water may be managed at various stormwater management systems that may provide some removal of MBT. However to be conservative, the MBT removal rate in runoff storm water is assumed to be zero. The leached substance is diluted by runoff storm water and further diluted in a receiving water body. The runoff storm water volume is calculated from annual precipitation volumes, land areas, and runoff coefficients for each municipality. A wet season flow in a receiving water body is used. The dilution factor is calculated by comparing the total flow from the receiving water body and the runoff water volume. The lesser between an actual dilution factor and a maximum value of 10 is used.
Given the above parameters, the highest PEC in surface water is 0.023 µg/L.
3.6.2.4 Exposure scenario 3: use in mining
SMBT is used as a flotation reagent in mining applications (ECCC 2018). This scenario applies to some mining subsectors with Canadian facilities using SMBT in their flotation processes. When used in water, SMBT dissociates to MBT. After consumption, MBT may be discharged to a tailing pond located at a mine site and then discharged to the environment.
In order to develop a PEC in surface water, the necessary paramaters include the substance use quantity, the emission factor for substance released to a tailing pond, the substance removal rates by treatment systems on-site, the flow discharged to the environment and the dilution factor from a receiving water body.
At a mining facility, SMBT is dosed appropriately into flotation tanks together with other chemicals. In water, SMBT will dissociate to MBT; therefore, it was assumed that some MBT may be unreacted in a flotation tank where it may be dissolved into process water from the flotation process and MBT may also be released to water from post-flotation processes. Thus, it is assumed that 25% of the SMBT used in flotation processes may be discharged to a tailing pond where it will be present as MBT.
A mining facility may have a treatment system to treat process water before being discharged to a tailing pond where a removal rate for the applicable on-site treatment system is used. At a tailing pond, the removal mechanism for MBT is by settling, so the removal rate for a primary treatment system is used.
A mining facility may re-use the tailing pond supernatant as much as possible. This is to say that not all water volumes discharged to a tailing pond will be discharged to the environment. The percentage of flow that is discharged to a receiving water body is regulated by the province where the mining facility is located.
When MBT is discharged to the environment, it is diluted by the receiving water body. The dilution factor is obtained by comparing the total flow from the receiving water body and the tailing pond effluent flow, where the lesser between an actual dilution factor and a maximum value of 10 is used. This dilution factor is reflective of conditions near the discharge point.
For the applicable facilities that discharge MBT-containing tailing pond effluent to a receiving water body, the maximum PEC in surface water is estimated at 4.85 µg/L.
3.6.2.5 Exposure scenario 4: use in lubricants
SMBT may be used as a corrosion inhibitor in various types of lubricants that include metalworking fluids, automotive lubricants, industrial oils, as well as others. The application of SMBT in metalworking fluids may result in releases to the environment when metalworking fluids are rinsed off from the metal surface during cleaning and finishing processes. The use of SMBT in other types of lubricants are less likely to result in releases to the environment as most spent lubricant products will be recycled and disposed of according to provincial requirements.Therefore, this scenario estimates a PEC from the use of SMBT in metalworking fluids.
This scenario considers a situation whereby an industrial facility handles SMBT in metalworking fluids. Assumptions on volume handled, operational days, and emission factor for release to wastewater were taken from the OECD Emission Scenario Document on metalworking fluids (OECD 2011). In wastewater, SMBT will dissociate to MBT. The removal rate of MBT from a treatment system was estimated using the SimpleTreat model, and the daily dilution water volume was obtained from effluent flow rate and the dilution from the applicable receiving water body. In addition, the substance concentration in metalworking fluids was taken from Brinksmeier et al. (2015). It is assumed that the wastewater will be treated by an on-site oil/water separator before being released to a WWTS. Following this approach, a PEC in surface water of 6.75 µg/L was derived.
An approach described by ECHA (2016b) was used to estimate MBT concentrations in soil resulting from the land application of biosolids generated from a secondary WWTS. This approach assumes that the MBT-containing wastewater from a facility is discharged to a secondary WWTS and MBT may be present in sludge by sorption and carried into biosolids. The approach also assumes that the application of biosolids on soil occurs once a year, and that the substance accumulates within the top 20 cm layer of soil over 10 years. No loss of substance was considered (i.e., via different mechanisms including degradation, volatilization, leaching, etc). Default values are used for biosolids land application rate and dry soil density.
The PEC developed from this approach represents a conservative estimate, as degradation and other loss mechanisms were not considered. Following this procedure the soil PEC was calculated to be 0.18 mg/kg dw.
3.6.3 Characterization of ecological risk
The approach taken in this ecological screening assessment was to examine assessment information and develop proposed conclusions using a weight-of-evidence approach and precaution. Evidence was gathered to determine the potential for the benzothiazoles subgroup to cause harm in the Canadian environment. Lines of evidence considered include those evaluated in this assessment that support the characterization of ecological risk in the Canadian environment. Secondary or indirect lines of evidence are considered when available, including regulatory decisions and classification of hazard or fate characteristics made by other regulatory agencies.
3.6.3.1 Risk quotient analysis
Risk quotient analyses were performed by comparing the various realistic worst-case estimates of exposure (PECs; see the Ecological Exposure Assessment section) with ecotoxicity information (PNECs; see the Ecological Effects Assessment section) to determine whether there is potential for ecological harm in Canada. Risk quotients (RQs) were calculated by dividing the PEC by the PNEC for relevant environmental compartments and associated exposure scenarios. Tables 3-11 and 3-12 present RQs for the benzothiazoles subgroup.
| Exposure scenario (Substances) | PEC (µg/L) | Aquatic PNEC (µg/L) | RQ |
|---|---|---|---|
| Tire and other rubber products manufacturing (MBT) with low-end emission factor | 0.18 to 8.23a | 2.05 | 0.088 to 4.01 (RQ>1 for 3 out of 6 data points)a |
| Tire and other rubber products manufacturing (MBT) with high-end emission factor | 0.90 to 13.7a | 2.05 | 0.44 to 6.69 (RQ>1 for 5 out of 6 data points)a |
| Tire wear from in-service tires (MBT) | 0.023 | 2.05 | 0.01 |
| Use in mining (SMBT) | 4.85 | 2.05 | 2.36 |
| Use in lubricants (SMBT) | 6.75 | 2.05 | 3.29 |
a Values provided as a range
| Exposure scenario | PEC (mg/kg) | Soil PNEC (mg/kg) | RQ |
|---|---|---|---|
| Land application of biosolids from tire and other rubber products manufacturing (MBT) with low-end emission factor | 0.16 | 1.78 | 0.090 |
| Land application of biosolids from tire and other rubber products manufacturing (MBT) with high-end emission factor | 0.26 | 1.78 | 0.15 |
| Land application of biosolids from use in lubricants (SMBT) | 0.18 | 1.78 | 0.10 |
3.6.3.2 Consideration of the lines of evidence
To characterize the ecological risk of the benzothiazoles subgroup, technical information for various lines of evidence was considered and qualitatively weighted. The key lines of evidence supporting the assessment conclusion are presented in Table 3-13, with an overall discussion of the weight of evidence provided in section 3.6.3.4. The level of confidence refers to the combined influence of data quality and variability, data gaps, causality, plausibility and any extrapolation required within the line of evidence. The relevance refers to the impact the line of evidence has when determining the potential to cause harm in the Canadian environment. Qualifiers used in the analysis ranged from low to high, with the assigned weight having five possible outcomes.
| Line of evidence | Level of confidencea | Relevance in assessmentb | Weight assignedc |
|---|---|---|---|
| Similarity in chemical structure for read-across purposes | High | High | High |
| Environmental distribution | High | High | High |
| Persistence in the environment | Moderate | High | Moderate-High |
| Long-range transport | Low | Moderate | Low-Moderate |
| Bioaccumulation in aquatic organisms | High | Moderate | Moderate-High |
| Mode of action and/or other non-apicald data | High | High | High |
| PNEC for aquatic organisms | High | High | High |
| PNEC for soil-dwelling organisms | Low | Moderate | Low-Moderate |
| PECs in water | High | High | High |
| PECs in soil | Moderate | Moderate | Moderate |
| RQs for water | High | High | High |
| RQs for soil | Moderate | Moderate | Moderate |
a Level of confidence is determined according to data quality, data variability, data gaps (i.e., are the data fit for purpose).
b Relevance refers to the impact of the evidence in the assessment.
c Weight is assigned to each line of evidence according to the overall combined weights for level of confidence and relevance in the assessment.
d Non-apical endpoints refer to endpoints other than mortality, growth, reproduction (i.e., those endpoints identified with population-level effects).
3.6.3.3 Weight of evidence for determining potential to cause harm to the Canadian environment
The substances in the benzothiazoles subgroup are either MBT or degrade to MBT through any of various transformation pathways (e.g., hydrolytic, redox, digestive or metabolic) at environmentally, industrially or physiologically relevant conditions. Therefore, it is assumed that in terms of read across the behaviour of MBT will be representative of all these substances (see Appendix G).
There are additional substances, which are potential precursors to MBT, that were not included in the benzothiazoles subgroup but that may contibute to the overall presence of MBT in the environment. A non-exhaustive list of these potential MBT precursors is provided in Appendix I.
Environmental distribution is well characterized for MBT through metrics including physical-chemical properties, EQC modelling, and literature information. These sources conclude that the majority of MBT will be freely dissolved when in water, and that MBT will primarily be bound to particles when in air or soil. Persistence was evaluated based on models and empirical data. There is evidence that the parent substances degrade to MBT; however, it is unclear if MBT will degrade further. Empirical data in the literature indicates that degradation occurs under specific conditions, which may not be representative of all environments. There is also a lack of information on the rate and extent of transformation, even under the specific conditions that have been studied. While biotic degradation was not key to the assessment conclusion, abiotic degradation processes such as hydrolysis indicate that all of substances in the benzothiazoles subgroup may degrade to MBT. There were sufficient bioaccumulation data which ultimately showed that benzothiazoles are not expected to bioaccumulate.
With respect to long-range transport (LRTP) in water, there is minimal information on the benzothiazoles subgroup. The TaPL3 model was used to characterize LRTP; however, it only considers the substance’s neutral form even though MBT will be partially ionized at environmental pH. This therefore impacts the reliability of the model.
Information pertaining to MoA was available through models and published literature. Empirical test data on the MoA were also available for fish and amphibians. Specifically, it was found that MBT affects the endocrine system by inhibiting TPO resulting in reduced pigment and malformations in exposed organisms. In addition, different types of data consistently support this adverse outcome. This information was both reliable and highly relevant to the conclusion, as information on the specific MoA resulted in an additional uncertainty factor for the PNEC derivation.
The PNEC determination for aquatic organisms was based on a large dataset which included chronic studies for fish, invertebrates and algae as well as the MoA of benzothiazoles. This resulted in high confidence in the aquatic PNEC, which is highly relevant as a driver in the ecological assessment.
The PNEC for soil-dwelling organisms was based on analogue data for the benzothiazoles subgroup. MBTS was characterized using two studies, one on earthworms and one on plants. The limited data surrounding the toxicity of MBTS in soil results in low confidence. The soil toxicity data are moderately relevant, as they are not a driver in this assessment. For the other substances in the benzothiazoles subgroup, effects on soil organisms were characterized using read-across data from TBBS.
PECs were derived for both aquatic and soil compartments on the basis that MBT may be released into either compartment. The exposure scenarios were developed using modelled removal rates and exposure information provided by stakeholders. As a result, the final values were assigned high and moderate confidence respectively. The RQs were weighted based on the confidence in the PECs and PNECs.
This information indicates that MBT and its precursors, including the substances in the benzothiazoles subgroup, have the potential to cause ecological harm in Canada. It has also been determined that MBT meets the persistence criteria but not the bioaccumulation criteria as set out in the Persistence and Bioaccumulation Regulations of CEPA.
3.6.3.4 Sensitivity of conclusion to key uncertainties
There is uncertainty regarding the extent to which MBT precursors degrade to MBT. This uncertainty was addressed by assuming a complete transformation to MBT as a worst-case scenario, unless conclusive information was found to support an alternative assumption (i.e., information on CBS; see Appendix G). Complete transformation to MBT was considered as the worst-case scenario since MBT poses a greater hazard to organisms, and is more water soluble and thus more mobile in the environment than its precursors. As a result, additional information pertaining to environmental transformation could alter the exposure scenarios which in turn could impact the conclusion.
In addition, it is known that MBT can affect the endocrine system in ecological organisms although there is uncertainty with respect to the nature and extent of these effects. Current research indicates there is variability between species. For example, thyroid histology and hormone effects have been reported for amphibians (Tietge et al. 2013); however, the results were not sufficient to support their use as CTVs for PNEC development. As such, uncertainty exists regarding the lowest effect level of MBT. PNECs could be altered following additional data on the endocrine effects of MBT, but it is unlikely that the conclusion would change as a result of these data.
The exposure scenarios identified for the benzothiazoles subgroup are developed on the basis of information obtained through CEPA section 71 surveys and follow-up with stakeholders. In the absence of specific data, realistic assumptions are made in order to estimate PECs. Two key assumptions which could have impact on the conclusion relate to removal rates and emission rates. The removal rate for the on-site oil/water separator at tire/rubber products manufacturing facilities and facilities using metalworking fluids was assumed to be 10%, and the removal rate at the off-site wastewater treatment facility, as modelled by SimpleTreat, was estimated to be 62%. The accuracy of the calculated PECs depend on the assumptions used in each scenario and the PECs could change (up or down) if any of these assumptions were to change.
3.7 Potential to cause harm to human health
3.7.1 Exposure assessment
Potential exposures to substances in the benzothiazoles subgroup from environmental media, food, and products available to consumers are presented in this section. For each substance, exposure scenarios resulting in the highest exposures were selected to characterize risk. Additional details regarding the exposure scenarios are summarized in Appendix C.
Environmental media and food
The substances in the benzothiazoles subgroup have very low or low vapour pressure, and their concentrations in air in the vapour phase are therefore expected to be negligible. Measured concentrations of some of these substances in air and dust were identified in the literature (e.g., MBT was detected in road dust at a maximum concentration of 19.4 ng/L as suspended particulate matter in an aqueous phase (Asheim et al. 2019) and was measured in the PM10 fraction of airborne particulate matter on a busy street at an average concentration of 64 pg/m3 (Avagyan et al. 2014)). In consideration of these values, potential exposures to the Canadian general population from air and dust are expected to be negligible for substances in the benzothiazoles subgroup.
The maximum aquatic PEC derived for substances in the benzothiazoles subgroup in the ecological exposure assessment section is 3.7 µg/L (see section 3.6.2), and is based on tire/rubber products manufacturing activities that discharge wastewater. The highest intake estimate for the substances in the benzothiazoles subgroup from drinking water was calculated to be 0.0015 mg/kg bw/day based on this maximum PEC for formula-fed infants aged 0 to 6 months.
Internationally, substances in the benzothiazoles subgroup were detected in water. For example, MBT was reported in surface water in various European countries at a maximum concentration of 0.019 µg/L (EMPODAT 2013), MBT was measured in wastewater in the United States at concentrations up to 4.2 mg/L (average concentration) in the effluent of a MBTS producer (CMA 1985 as cited in EC 2008) (Carpinteiro et al. 2012; EC 2008; EMPODAT 2013; Klopfer et al. 2005; Liao et al. 2018; Reemtsma et al. 2006), and DCBS was measured in Swedish coastal waters at concentrations between 0.20 and 0.43 ng/L (Gustavsson et al. 2017).
Potential exposures, if any, to substances in the benzothiazoles subgroup from their use in food packaging materials and as incidental additives were considered to be negligible (personal communication, emails from the Food Directorate, Health Canada, to ESRAB, Health Canada, 2017, 2018; unreferenced). However, as a result of their various other industrial uses, certain benzothiazoles can enter the environment and have been detected in some fish and other aquatic organisms. Limited data were available on the concentrations of benzothiazoles in foods. Occurrence data for some of these substances were found for some fish and seafood only. Internationally, concentrations of two benzothiazoles in fish and seafood in Sweden were reported (Brorström-Lundén et al. 2011). Dietary exposure to individual benzothiazoles was conservatively estimated for consumers who reported consuming fish and/or seafood ('eaters only' basis) by multiplying the maximum concentration of each substance (Appendix F) by the total quantity of fish and seafood consumed by each respondent in the Canadian Community Health Survey (Statistics Canada 2015). This approach yielded a range of benzothiazole exposure estimates for various age groups (Table 3‑14). Dietary exposure was not estimated for infants less than 1 year of age as only 2% of those survey respondents reported consuming fish or seafood (personal communication, emails from the Food Directorate, Health Canada, to ESRAB, Health Canada, 2019; unreferenced).
| Substance | Mean exposure | 90th Percentile exposure |
|---|---|---|
| CBS | 174.5 – 542.9 | 347.5 – 1128.3 |
| MBT | 6.2 – 19.2 | 12.3 – 39.9 |
a Dietary exposure estimates were considered for people of 1 year of age and older where the estimates for all the substances were highest on a body weight basis for children 1 year of age.
Biomonitoring
Internationally, some biomonitoring data were identified for MBT (e.g., maximum concentration of 10.8 µg/L MBT in urine of humans not exposed to MBT in Germany (Gries et al. 2015)). Given that the origins of the compound in urine are unclear, the biomonitoring data were not used to generate exposure estimates.
Products available to consumers
TBBS, CBS, MBTS, MBT, and DCBS were all reported to be present in rubber materials in Canada on the basis of information submitted in response to a CEPA section 71 survey (Canada 2017), and are known to be used as accelerating agents during the vulcanization step in rubber production (Danish EPA 2003; EC 2008; ECHA 2013; OECD 2003, 2004a, 2008). However, the OECD (2003) indicated that finished rubber products are expected to have only small amounts of TBBS given the chemical transformation during vulcanization, and any use of DCBS as a vulcanization accelerator is expected to result in its complete reaction during the vulcanizing process (OECD 2004a). Given these considerations, potential exposures from TBBS and DCBS to the Canadian general population from rubber products available to consumers are expected to be minimal.
Recycled tires may be used as infill or top dressing in sports fields as well as in sport centre and playground surfaces in Canada (AR 2017, 2018; Cantin 2009). Given their use in rubber products (including tires) in Canada and their identification in rubber granulates in European synthetic turf pitches (RIVM 2017), potential exposures to MBT, MBTS, and CBS from Canadian synthetic turf pitches (e.g., artificial grass) which contain rubber made from recycled tires were evaluated. As there were no reported data on the concentration of MBT, MBTS, and CBS in synthetic turf in Canada, it is considered appropriate to use the study conducted by RIVM (2017) as a surrogate. Mouthing of rubber granulates from a synthetic turf by a toddler and dermal exposure from playing on a synthetic turf by a child were selected as the oral and dermal sentinel scenarios, respectively. The potential oral exposure to MBT from rubber granulates made from recycled tires is estimated to be 9.8 × 10-5 mg/kg bw/(day) and the dermal exposure is estimated to be 2.5 × 10-3 mg/kg bw/(day) based on the maximum reported concentration of 7.6 mg/kg MBT in a synthetic turf pitch found in the Netherlands (ECHA 2017; RIVM 2017). The oral exposure from incidental ingestion of rubber granulates made from recycled tires containing MBTS is estimated to be 3.9 × 10-6 mg/kg bw/(day), and the dermal exposure is estimated to be 9.7 × 10-5 mg/kg bw/(day) based on the maximum concentration of 0.3 mg/kg MBTS (ECHA 2017; RIVM 2017). EC (2008) indicated that the residual presence of CBS in products available to consumers based on its use as a vulcanization accelerator in the manufacturing of rubber products was not identified, but acknowledged that there is a challenge in knowing the identity of the accelerant(s) in a given rubber product. Given that RIVM (2017) has detected a maximum concentration of 0.04 mg/kg CBS (where the median concentration is <0.02 mg/kg), this potential source of exposure was also considered using the maximum concentration. The oral exposure from incidental ingestion of rubber granulates made from recycled tires containing CBS is negligible, and the dermal exposure is estimated to be 1.3 × 10-5 mg/kg bw/(day) (ECHA 2017; RIVM 2017).
The potential for MBT to be present in soothers available in Canada was examined where all 20 samples tested were below the LOQ of 10 mg/kg (personal communication, emails from the Consumer and Hazardous Products Safety Directorate, Health Canada, to ESRAB, Health Canada, 2017-2018; unreferenced). Although MBT was not detected in Canadian soothers, its presence in soothers at concentrations up to the LOQ of 10 mg/kg rubber would result in an estimated lifetime average daily dose (LADD) of 1.7 × 10-3 mg/kg bw/day.
SMBT was found in a lubricant for an automotive radiator water pump at a concentration of 5% (SDS 2011). Dermal exposure for an adult using the product was estimated at 0.13 mg/kg bw per event. Given the low to very low vapour pressures of substances in the benzothiazoles subgroup and their use patterns, exposure from the inhalation route is not expected.
In order to estimate the potential cancer risk from exposure of Canadians to substances in the benzothiazoles subgroup, lifetime average daily doses (LADDs) were calculated to estimate daily exposure from drinking water (6.7 × 10-4 mg/kg bw/day for TBBS, MBTS, SMBT or DCBS), drinking water plus food (2.3 × 10-3 mg/kg bw/day for CBS and 1.2 × 10-3 mg/kg bw/day for MBT), oral and/or dermal exposure to rubber granulates (up to 3.2 × 10-3 mg/kg bw/day for MBT, MBTS and CBS), and soothers (1.7 × 10-3 mg/kg bw/day for MBT) (see Appendix C). In consideration that co-occurrence of MBT, MBTS, and CBS in rubber granulates has been demonstrated (RIVM 2017), it is reasonable that co-exposures may also occur. As such, aggregated lifetime exposures (oral and/or dermal) to MBT, MBTS and CBS in rubber granulates were estimated to be up to 7.4 × 10-3 mg/kg bw/day.
3.7.2 Health effects assessment
TBBS
TBBS was assessed by the OECD’s Cooperative Chemicals Assessment Programme in a SIDS SIAR (OECD 2003). This assessment is used to inform the health effects characterization of TBBS in this screening assessment. Literature searches were conducted up to August 2018. No health effect studies that would impact the risk characterization (i.e., result in different critical endpoints or lower points of departure than those stated in OECD 2003) were identified.
The OECD identified a combined repeated dose toxicity study with reproduction/developmental toxicity screening test [OECD TG 422] as a key study to characterize repeated dose effects. In this study, Sprague Dawley rats were administered TBBS via gavage at doses of 0, 40, 200 or 1000 mg/kg bw/day for 42 or 38 days for males or females, respectively. Various pathological changes in kidneys were observed in exposed animals that include increases in eosinophilic bodies and vacuolar degeneration in proximal tubules, and increases in relative kidney weight in both sexes in the 200 and 1000 mg/kg bw/day groups. The increases of eosinophilic bodies were also observed in males at 40 mg/kg bw/day. Liver effects such as hypertrophy of hepatocytes and increased liver weights were observed both in male and female rats in the 200 and 1000 mg/kg bw/day groups. In male rats, haemolytic anaemia, increased haemosiderin deposits in spleen were observed in the 200 and 1000 mg/kg bw/day groups. The number of male rats with eosinophilic bodies in the kidney was increased in all dosed groups. In addition, body weight gain was decreased at 1000 mg/kg bw/day in males and slightly in females. A LOAEL of 40 mg/kg bw/day can be determined based on increases in eosinophilic bodies observed in male rats (OECD 2003).
In a 90-day repeated dose study, Sprague Dawley rats were administered TBBS via gavage at doses of 0, 100, 300 or 1000 mg/kg bw/day. A NOAEL of 100 mg/kg bw/day was identified based on decreased body weight of male rats. Females in the highest dose group (1000 mg/kg bw/day) showed increases in liver and kidney weights, increased cholesterol in serum, and increased specific gravity of urine (OECD 2003). However, in the OECD (2003) report, it was indicated that this study could not be validated.
In the above OECD [TG 422] study, no reproductive or developmental effects were observed in the exposed rats. TBBS had no effect on mating ability, duration of oestrus, or duration of pregnancy and parturition in exposed rats. Changes in fertility index were observed at 40 and 1000 mg/kg bw/day, but not at 200 mg/kg bw/day. Body weight of offspring was not affected by TBBS and no abnormalities were seen on external examination at birth. Both male and female reproductive tissues were well examined and no abnormalities were observed (OECD 2003).
A developmental toxicity study was also identified. An unspecified number of female rats were administered TBBS via gavage at doses of 0, 50, 150 or 500 mg/kg bw/day on days 6 to 15 of gestation. No effects were observed in females or offspring at any dose level. In OECD 2003, a NOAEL of 500 mg/kg bw/day, the highest dose tested, was determined for both maternal and developmental effects.
TBBS was not mutagenic in bacteria mutation assays or in several in vitro mammalian gene mutation assays. It did, however, induce chromosomal aberrations in mammalian cells in vitro with metabolic activation. Positive responses were seen in mouse lymphoma cells with metabolic activation; based on the results of the previous in vitro studies, it was assumed that these responses were chromosomal aberrations. TBBS was not genotoxic in an in vivo mouse micronucleus assay (OECD 2003).
No chronic or carcinogenicity studies were identified. In the absence of these studies and in consideration of its structural similarity to MBT, MBT is selected as an analogue to inform the chronic toxicity and carcinogenicity endpoints for TBBS.
CBS
CBS was assessed by the European Union in 2008 (EU RAR 2008). This assessment is used to inform the health effects characterization of CBS in this report. In addition, since CBS can undergo hydrolysis to MBT and cyclohexylamine (CHA) (EU RAR 2008), the health effects data for MBT and CHA were also used to inform the health effects characterization of this substance in the absence of substance-specific data for certain endpoints. Critical endpoints and corresponding effect levels for MBT and CHA that are used for risk characterization of CBS and summaries of the relevant health effects data are included for comparison purposes in Appendix A.
Substance-specific health effects data for CBS were generally limited. Two repeated dose oral studies were identified. In a short-term gavage study, rats (6/sex/group) were administered CBS at doses of 0, 25, 80, 250 or 800 mg/kg bw/day for a period of 28 consecutive days. An additional six animals per sex in the control and high dose groups were treated for 28 days and then allowed a 14 day recovery period before sacrifice. Signs of a coagulopathy of the blood in males and females and effects in the kidney of male rats were observed at 250 mg/kg bw/day and higher dose. No relevant exposure-related adverse effects were observed in animals of either sex at 80 mg/kg bw/day. Therefore, a NOAEL of 80 mg/kg bw/day was identified for systemic effects in rats (EU RAR 2008).
In a 28-day feeding study in rats, a NOAEL of 250 mg/kg bw/day was identified by the study author based on reduced food consumption and body weight at the higher doses. However, in the the EU RAR (2008) report, it was stated that the lack of blood biochemistry, hematology and histopathology data diminished the validity of this NOAEL though food consumption and body weight data were generally recognized as sensitive indicators of systemic toxicity (EU RAR 2008).
No adequate chronic repeated dose or carcinogenicity studies were identified for CBS. However, relevant health effects data for its hydrolysis products, MBT and CHA, are available and were used to read-across to CBS. As MBT is one of the benzothiazoles in this subgroup, the information on chronic repeated dose/carcinogenicity is available under the MBT heading of section 3.7.2.
CHA has been assessed by Environment and Climate Change Canada and Health Canada under the CMP (ECCC, HC 2019), and was used as an analogue in the EU RAR assessment of CBS (2008). Oral administration of CHA at different doses and durations of exposures in several strains of rats and mice revealed that the testes are the most sensitive organ to the toxicological effects of CHA. In a two-year combined chronic repeated dose and carcinogenicity study, a NOAEL of 60 mg/kg bw/day was identified based on significantly increased testicular changes (atrophy, tubules with few spermatids, calcium deposits in tubules) observed at 219 mg/kg bw/day (ECCC, HC 2019; EU RAR 2008).
CBS tested negative in gene mutation assays with different strains of Salmonella and one of Saccharomyces. It also tested negative in a mouse lymphoma assay. In an in vitro chromosomal aberration assay, it showed weak clastogenic potential. The only in vivo test available (on embryonic mortality) cannot be adequately assessed due to insufficient data reporting. Therefore, there is insufficient evidence to suggest that CBS is mutagenic. This finding is supported by the genotoxicity data available for the hydrolysis products MBT and CHA (EU RAR 2008).
No reproductive studies were identified for CBS. However, reproductive toxicity studies were available for the hydrolysis products MBT and CHA. For MBT, no reproductive effects were observed in a study in rats up to the highest dose tested (15 000 ppm in diet, approximately equivalent to 745 to 1328 mg/kg bw/day). More detailed information on this study is provided in the MBT section of this report.
CHA has been classified as a reproductive toxicant (Repr 2) by the European Commission (EU 2008). Several reproductive studies on CHA were identified. Results from multiple studies in rats with repeated administration showed that testicular effects in terms of weight and morphological changes were found. The same key studies were identified in the ECCC, HC (2019) and EU RAR (2008) assessments. In a 13-week dietary study that specifically examined testicular effects, male rats were administered 0, 68.5, 137, 274 or 411 mg/kg bw/day CHA HCl in the diet, equivalent to 0, 50, 100, 200 or 300 mg/kg bw/day CHA. Histopathological findings were observed in the testes (degenerative changes in the tubules, giant cell formation, testicular atrophy in some animals), of which the tubular changes were statistically significant at 200 and 300 mg/kg bw/day compared to both the free-fed and pair-fed control groups. Testicular weights were also significantly lower in the 200 and 300 mg/kg bw/day groups when compared to the free-fed control group. However, a significant effect was only seen at the highest dose when compared to the pair-fed control group. The NOAEL was identified as 100 mg/kg bw/day CHA on the basis of testicular effects observed at the higher doses (ECCC, HC 2019).
Several studies on the developmental effects of CBS in rats were identified. The studies consistently demonstrated that CBS induces maternal toxicity in terms of impairment of maternal weight gain during gestation and signs of fetal growth retardation in terms of reduced mean fetal body weight. Fetal body weight impairment, however, was exclusively observed at oral dosages associated with significantly reduced maternal weight gain of 15-30%. Therefore, a substance-related specific embryotoxic and/or teratogenic potential could not be ascertained from the available studies (EU RAR 2008).
MBTS
MBTS was assessed by the Advisory Body for Environmentally Relevant Raw Materials, Germany (Beratergremium für umweltrelevante altstoffe (BUA)) in 1993. It was indicated in the report that MBTS was in redox equilibrium with MBT, and therefore the toxic effects of MBTS correspond to those of MBT (BUA 1993).
The European Chemicals Agency published a Decision on a Compliance Check document on MBTS (ECHA 2016a) and agreed that MBT is an appropriate analogue for MBTS for read-across based on the rationale that MBTS consists of two MBT moieties and is readily converted to MBT, the metabolites of MBTS and MBT are the same, and the toxicity profiles, such as developmental effects and genotoxic effects of the two substances, are similar. ECHA (2016a) also referred to the BUA (1993) assessment with regards to the redox equilibrium of MBTS with MBT. Therefore, MBT was used as an analogue to characterize the health effects of MBTS in the absence of substance-specific data. Critical endpoints and corresponding effect levels for MBT that are used for risk characterization of MBTS and summaries of the relevant health effects data are included for comparison purposes in Appendix A (no additional studies are described therein).
The available repeated dose studies with MBTS on rats and guinea pigs showed effects on the liver and kidney. However, these studies were insufficient to derive a critical effect level (BUA 1993).
The single long term study available on MBTS did not indicate carcinogenic potential, however, this study did not sufficiently meet current study guidelines, as it had an insufficient number of animals, and inappropriate doses and duration of exposures. Therefore, MBT is used as an analogue to inform the chronic toxicity and carcinogenicity endpoints for this substance. The relevant health effects information is provided in the MBT section of this report.
No adequate reproductive studies were identified.
In a developmental toxicity study, Wistar rats were administered MBTS at doses of 0, 0.04, 0.2 or 1% in diet (approximately equivalent to 0, 26, 127 or 596 mg/kg bw/day) from day 0 to day 20 of gestation. Maternal body weight gain during day 0 to day 14 of pregnancy in the 1% group was significantly lowered, but no significant changes induced by MBTS were observed in any other maternal parameters, such as food consumption and clinical signs of toxicity. A NOEL of 127 mg/kg bw/day was identified (BUA 1993).There were no significant exposure-related effects on the incidences of pre- and post- implantation losses and the number, sex ratio or body weight of live fetuses. Morphological examinations of the fetuses revealed no evidence of teratogenesis. In the postnatal development of the offspring from the dams given MBTS, a high survival rate and good growth of the offspring were seen. The study author concluded that MBTS possesses no adverse effects on the pre- and postnatal development of the offspring in rats at the doses employed (EMA et al. 1989).
In the absence of an adequate repeated dose study to characterize per event exposures to MBTS, MBT was used as an analogue to inform short-term/subchronic, and reproductive toxicity endpoints. By extension, SMBT was also used as an analogue to characterize risk from potential dermal exposures to MBTS using a read-across approach.
MBTS tested negative in most of the Ames tests identified. In mammalian cells, MBTS did not induce gene mutation without metabolic activation, but an increased mutation rate was found in the mouse-lymphoma test with metabolic activation. It did not induce chromosome damage in CHO cells with or without metabolic activation (BUA 1993). No in vivo getotoxicity studies were identified.
MBT
The International Agency for Research on Cancer (IARC) has classified MBT as a group 2A carcinogen (probably carcinogenic to humans), and published the monograph of this substance in 2018 (IARC 2018). The substance was also reviewed by ECHA in 2014, the Danish EPA in 2014, and by the US EPA in 2010. The IARC (2018) monograph and the ECHA (2014) assessment for MBT are used to inform the health effects characterization of this substance. Literature searches were conducted up to August 2018. No health effect studies that would impact the risk characterization (i.e., result in different critical endpoints or lower points of departure than those stated in IARC 2018 or ECHA 2014) were identified.
The toxicokinetics of MBT were evaluated in several studies in rats and guinea pigs. Orally administered MBT was readily absorbed and excreted; excretion was primarily in the urine, and small amounts in faeces. Recovery data, after oral or intravenous administration of MBT, did not indicate that appreciable amounts of radioactivity from 14C-labeled MBT were retained in tissues other than blood. Metabolism studies revealed a glucuronide, a glutathione conjugate, the mercapturic acid as well as a sulphate and dibenzothiazyl disulfide as metabolites of MBT in urine (ECHA 2014). In a 2-year oral carcinogenicity study, groups of 50 male and 50 female F344/N rats and of 50 male and 50 female B6C3F1 mice were exposed to MBT in corn oil, via gavage, 5 days per week for 103 weeks. The female rats were administered at doses of 0, 188 or 375 mg/kg bw/day, while the male rats and the male and female mice were administered at doses of 0, 375 or 750 mg/kg bw/day. In rats, increased incidences of mononuclear cell leukemia, pancreatic acinar cell adenomas, adrenal gland pheochromocytomas or malignant pheochromocytomas (combined), and preputial gland adenomas or carcinomas (combined) were observed in the exposed males, and increased incidences of adrenal gland pheochromocytomas and pituitary gland adenomas or carcinomas (combined) in exposed females. Low incidences of transitional cell papillomas of the renal pelvis and a transitional cell carcinoma of the renal pelvis were also reported in exposed male rats. There was no evidence of carcinogenic effects of MBT in male mice dosed with 375 or 750 mg/kg bw/day. There was equivocal evidence of carcinogenic effects in female mice, indicated by increased incidences of hepatocellular adenomas or carcinomas (combined) (NTP 1988).
Human studies on the carcinogenicity of MBT were also available. One study was conducted within a cohort of 2160 male workers at a chemical production plant in North Wales, United Kingdom. Comparison of the exposed workers with the national populations of England and Wales showed a significant excess of incidence of cancer of the urinary bladder. Following internal comparisons that controlled for other occupational exposures, a non-significant trend in increasing incidence of cancer of the urinary bladder with increasing cumulative exposure to MBT was shown. A non-significant twofold excess risk was observed in the group with highest exposure. In another study, a cohort of 1059 male workers at a chemical production plant in Nitro, West Virginia, USA was exposed to MBT and 4-aminobiphenyl (classified in IARC Group 1 as a cause of cancer of the urinary bladder). Among the 511 MBT exposed workers with no documented exposure to 4-aminobiphenyl, a statistically significant fourfold excess of mortality from cancer of the urinary bladder was reported. A statistically significant trend in mortality from cancer of the urinary bladder with increasing cumulative exposure to MBT was also observed. The lack of available data on tobacco smoking was a limitation of both studies; however, confounding by smoking is unlikely to explain the exposure–response patterns observed in these studies (IARC 2018).
MBT was tested in various genotoxicity assays. MBT induced chromosomal aberrations and sister chromatid exchange in Chinese hamster ovary cells in the presence of metabolic activation, and caused mutations at the Tk locus in mouse L5178Y lymphoma cells. However, it was not mutagenic in bacteria test systems or in human gastric and lung carcinoma cell lines. It did not bind to rat DNA in vivo. Therefore, IARC (2018) concluded that there is weak evidence that MBT is genotoxic.
Whittaker et al. (2004) reviewed the epidemiological and toxicological dataset for MBT, and concluded that the induction of renal pelvis transitional cell tumours is the most sensitive and relevant health effects endpoint to use for the purposes of quantitative risk assessment. Although the transitional cell tumours were not statistically significant in male rats, they are considered particularly relevant for a health effects assessment of MBT due to the apparent increased risk of death from bladder cancer among occupationally exposed humans. Using the results of the NTP (1988) 2-year cancer study and the results of genotoxicity assays, the authors used a multistage model to extrapolate to low dose exposures to MBT. Using the multistage model, a LED10, which is defined as the lower 95% confidence limit on a dose associated with 10% extra risk, was calculated from the renal pelvis transitional cell tumours from male rats in the NTP study. A slope factor of 6.34 x 10-4 (mg/kg-day)-1 was subsequently calculated from the LED10 (Whittaker et. al 2004). This slope factor is used for characterization of cancer risk from exposure to MBT by the Canadian general population.
From the above NTP 2-year gavage study in rats and mice, a LOAEL of 188 mg/kg bw/day for female rats and a LOAEL of 375 mg/kg bw/day for male rats and for male and females mice were identified by ECHA based on reduced survival rate and lethargy, or reduced body weight observed in exposed rats or mice, respectively. The NTP also conducted a 13-week gavage study in rats and mice. A LOAEL of 188 mg/kg bw/day for male and females rats based on reduced body weight and a NOAEL of 188 mg/kg bw/day for male and female mice were identified by ECHA (ECHA 2014). As a conservative approach, a derived no effect level (DNEL) of 62.7 mg/kg bw/day (equivalent to NOAEL) was calculated by applying an assessment factor (equivalent to the uncertainty factor) of 3 to the LOAEL of 188 mg/kg bw/day (ECHA 2014).
No repeated dose dermal study with MBT was available. However, a 91-day repeated dose dermal study with SMBT, the sodium salt of MBT, was identified. A NOAEL of 200 mg/kg bw/day based on a statistically significant increase in liver weight observed in exposed female rats was identified (US EPA 2010). This NOAEL is used for risk characterization of potential dermal exposures to MBT, rather than using route-to-route extrapolation from an oral study conducted with MBT, due to the expectation that SMBT would be readily hydrolyzed to MBT upon contact with skin.
From a two-generation reproduction toxicity study in Sprague-Dawley rats, there was no evidence of any reproductive effects up to the highest dose tested. A NOAEL of 15 000 ppm in diet (approximately equivalent to 745 to 1328 mg/kg bw/day) was identified by the author (ECHA 2014).
Two prenatal developmental toxicity studies with Sprague-Dawley rats and New Zealand rabbits were identified. There was no evidence for any prenatal developmental toxicity in either species up to the highest doses tested of 300 mg/kg bw/day (ECHA 2014).
Information pertaining to effects mediated by reduced thyroid hormone levels in aquatic organisms was identitifed for MBT in the ecological assessment (section 3.6), and MBT was shown to inhibit rat and porcine TPO in vitro (IARC 2018; Friedman et al. 2016).
SMBT
SMBT is the sodium salt of MBT. The US EPA assessed MBT and SMBT in 2010 and used MBT as an analogue to address health effects data gaps for SMBT using a read-across approach (US EPA 2010). Therefore, in the absence of substance-specific data, the relevant health effects and effect levels for MBT are used to inform the health effects characterization of SMBT. Critical endpoints and corresponding effect levels for MBT that are used for risk characterization of SMBT and summaries of the relevant health effects data are included for comparison purposes in Appendix A (no additional studies are described therein).
The only health effects study conducted with SMBT that was identified was a subchronic repeated dose dermal study in rats described in the US EPA’s 2010 report. Sprague-Dawley rats (number and sex not specified) were administered SMBT via the dermal route at 0, 200, 1000 or 2000 mg/kg bw/day for 91 days. Statistically significant increases in liver weights were observed in female rats at 1000 and 2000 mg/kg bw/day. No other remarkable treatment-related effects were observed. A LOAEL of 1000 mg/kg bw/day based on increases in liver weights in female rats and a NOAEL of 200 mg/kg bw/day were identified in the report (US EPA 2010).
DCBS
DCBS was assessed by the OECD in 2004 (OECD 2004a). This assessment is used to inform the health effects characterization of DCBS in this report.
In a combined repeated dose toxicity study and reproduction/developmental toxicity screening test [OECD TG 422], rats were administered DCBS by gavage at doses of 0, 6, 25, 100 or 400 mg/kg bw/day for 44 days or 40-51 days for males or females, respectively. The critical effects were found upon clinical observation and histopathological examination of the kidneys. Salivation in males at 400 mg/kg bw/day and decreased locomotor activity in females at 100 and 400 mg/kg bw/day were observed. Histopathological examination revealed hyaline droplets in the renal tubular epithelia in males and fatty degeneration of the renal tubular epithelia in females at 100 and 400 mg/kg bw/day. In addition, adrenal enlargement with vacuolation of the adrenocortical cells and atrophy of spleen in females at 100 and 400 mg/kg bw/day were observed. A NOAEL for repeated dose toxicity was identified by the author at 25 mg/kg bw/day for both sexes (OECD 2004a).
In the above OECD TG 422 study, the toxic effects were observed in females and pups at the dose of 400 mg/kg bw/day. There was a decreased number of corpus lutea accompanied with decreases in the number of implantation sites and litter size. Three dams died on the expected delivery day or on the following day. All dams at 400 mg/kg bw/day lost their litters at delivery or by day 4 of lactation. There were no effects on the mating and fertility, and morphogenesis in pups at and below 100 mg/kg bw/day. A NOAEL for reproductive/developmental toxicity was identified by the study author at 100 mg/kg bw/day (OECD 2004a).
DCBS tested negative in bacteria mutation assays with and without metabolic activation. It also tested negative in mammalian cells except the cytogenetic effects observed in one micronucleus test in CHL cells without metabolic activation. However, no cytogenetic effect was observed in an in vivo bone marrow chromosome test. The OECD suggested this substance not be genotoxic based on weight of evidence.
No chronic or carcinogenicity studies for DCBS were identified. However, the OECD (2004a) identified CBS as structurally-related to DCBS as both substances can hydrolyze to MBT. Although no empirical toxicokinetics data are available for DCBS and the substance appears not to be genotoxic, MBT was selected as an analogue to characterize carcinogenic potential for DCBS in this assessment as a conservative approach.
3.7.3 Characterization of risk to human health
Oral studies were used as surrogates to characterize risk from dermal exposures in the absence of route-specific health effects data. Table 3‑15 and Table 3‑16 provide all the relevant exposure estimates and hazard points of departure (PODs) for the substances in the benzothiazoles subgroup, as well as the resultant margins of exposure (MOE).
MBT has been classified by IARC (2018) as a group 2A carcinogen (probably carcinogenic to humans). Therefore, a cancer slope factor (SF = 6.34 x 10-4 (mg/kg-day)-1) derived by Whittacker et al. (2004), which used the same 2-year NTP cancer study in rats identified by IARC (2018), was used to estimate the cancer risk from daily exposures to MBT. In the absence of substance-specific chronic/carcinogenicity data for TBBS, SMBT, CBS, MBTS and DCBS and on the basis of structural similarities and/or metabolic considerations, MBT was selected as an analogue for read across to characterize the carcinogenic potential of these substances.
Although no evidence indicating the presence of TBBS and DCBS in rubber granulates was identified, it is expected that potential exposure to these substances from rubber granules would be similar or lower compared with exposure to MBT, MBTS and CBS.
Applying the cancer slope factor (6.34 × 10-4 (mg/kg-day)-1) to the estimated lifetime exposures to TBBS, MBTS, SMBT, or DCBS from drinking water (6.7 × 10-4 mg/kg bw/day) results in a cancer risk of approximately 4.3 × 10-7 for each substance. Additionally, applying the cancer slope factor to the estimated lifetime exposure to CBS and MBT from drinking water plus food (2.3 × 10-3 and 1.2 × 10-3 mg/kg bw/day, respectively) results in a cancer risk of approximately 1.4 × 10-6 and 7.3 × 10-7, respectively. Similarly, applying the cancer slope factor to the estimated lifetime exposure to MBT, MBTS and CBS (from oral and/or dermal exposures) to rubber granules (up to 3.2 × 10-3 mg/kg bw/day) results in a cancer risk ranging from 8.0 × 10-8 to 2.0 × 10-6. Co-occurrence of MBT, MBTS, and CBS has been demonstrated in the measurement of benzothiazoles in samples of rubber granulates made from recycled rubber (RIVM 2017). Considering that co-exposures to MBT, MBTS, and CBS from rubber granulates via the oral and dermal routes may reasonably occur, aggregated lifetime exposure to these substances was estimated to be 7.4 × 10-3 mg/kg bw/day, resulting in an approximate cancer risk of 4.7 × 10-6.
MBT was not detected in rubber soothers in Canada (see Exposure assessment section 3.7.1). However, the potential cancer risk from from daily mouthing of a rubber soother if it contained MBT at the LOQ of 10 mg/kg rubber in the Health Canada study would result in a cancer risk of 1.1 × 10-6.
The lifetime average daily dose of MBT resulting from exposure to rubber soothers containing MBT at concentration equivalent to the LOQ of 10 mg/kg rubber coupled with the exposure to MBT in rubber granulates was estimated to be 4.9 × 10-3, resulting in a cancer risk of 3.1 × 10-6.
With respect to presence in the environment, the PECs are considered to be sufficiently conservative to account for the uncertainty associated with potential co-exposure to several substances from the benzothiazole subgroup. Similarly, the assumptions used to derive the exposure estimates for these substances in food are sufficiently conservative to account for this uncertainty.
| Exposure scenario | LADD (mg/kg bw/day) | Critical effect level | Critical health effect | Cancer risk |
|---|---|---|---|---|
| Environmental media, oral, daily, MBTS, SMBT, TBBS, and DCBS | 6.7 ×10-4 | SF = 6.34 × 10-4 (mg/kg-day)-1 | Increase in renal pelvis transitional cell tumours | 4.3 × 10-7 |
| Environmental media and food, oral, daily, MBT | 1.2 ×10-3 | SF = 6.34 × 10-4 (mg/kg-day)-1 | Increase in renal pelvis transitional cell tumours | 7.3 × 10-7 |
| Environmental media and food, oral, daily, CBS | 2.3 ×10-3 | SF = 6.34 × 10-4 (mg/kg-day)-1 | Increase in renal pelvis transitional cell tumours | 1.4 × 10-6 |
| Rubber granulates, dermal, daily, CBSa | 1.6 × 10-5 | SF = 6.34 × 10-4 (mg/kg-day)-1 | Increase in renal pelvis transitional cell tumours | 1.0 × 10-8 |
| Rubber granulates, oral and dermal, daily, MBTS | 1.3× 10-4 | SF = 6.34 × 10-4 (mg/kg-day)-1 | Increase in renal pelvis transitional cell tumours | 8.0 × 10-8 |
| Rubber granulates, oral and dermal, daily, MBT | 3.2 × 10-3 | SF = 6.34 × 10-4 (mg/kg-day)-1 | Increase in renal pelvis transitional cell tumours | 2.0 × 10-6 |
| Rubber soothersb, oral daily, MBT | 1.7 × 10-3 | SF = 6.34 × 10-4 (mg/kg-day)-1 | Increase in renal pelvis transitional cell tumours | 1.1 × 10-6 |
Abbreviations: LADD, Lifetime average daily dose; SF, Cancer slope factor
a Aggregation of exposures from the oral and dermal routes is not warranted due to the negligible oral exposures.
b Assuming hypothetical presence of MBT in rubber soothers at study LOQ of 10 mg/kg rubber (personal communication, emails from the Consumer and Hazardous Products Safety Directorate, Health Canada, to ESRAB, Health Canada, 2017, 2018; unreferenced).
In consideration of the above information, and in consideration of the uncertainies associated with potential co-occurrence and co-exposure, the cancer risk resulting from oral and dermal exposures to substances in the benzothiazoles subgroup is considered to be low at current levels of exposure.
With respect to systemic non-cancer effects, critical health effect levels derived from chronic or subchronic studies were used to characterize risk from per event exposures for most substances in the benzothiazoles subgroup. The use of subchronic or chronic studies for risk characterization of per event or intermittent exposures was considered to be a conservative approach.
For dermal per event exposures to CBS, a NOAEL of 80 mg/kg bw/day was identified from an oral 28-day repeated dose study. Comparison of this NOAEL to the estimated per event dermal exposure to CBS from rubber granulates (1.3 x 10-5 mg/kg bw/day) results in a margin of exposure of approximately 6 000 000. This margin is considered adequate to address uncertainties in the exposure and health effects databases, and is considered to be protective of potential reproductive or developmental effects occuring at a higher dose.
For the non-cancer systemic effects of MBT, a DNEL of 62.7 mg/kg bw/day was derived based on reduced body weight, increased relative liver weight and lethargy observed in rats from oral repeated dose studies. This DNEL is used to characterize risk from per event exposures to MBT, as well as to per event exposures to MBTS using a read-across approach. Comparisons of the DNEL to the estimated per event oral exposure from rubber granulates containing MBT (9.8 x 10-5 mg/kg bw/day) or MBTS (3.9 x 10-6 mg/kg bw/day) result in margins of exposure of approximately 640 000 or 16 100 000, respectively. These margins are considered adequate to address uncertainties in the exposure and health effects databases.
For dermal per event exposures, a NOAEL of 200 mg/kg bw/day was identified based on increased liver weight observed in rats exposed to SMBT in a subchronic dermal study. This NOAEL is also used to characterize risk from dermal exposure to MBT and MBTS using a read-across approach. Comparisons of the NOAEL to the estimated exposure from lubricant for an automotive radiator water pump containing SMBT (0.13 mg/kg bw/day) or to rubber granulates containing MBT (2.5 ×10-3 mg/kg bw/day) or MBTS (2.1 x 10-5 mg/kg bw/day) result in margins of exposure of approximately 1500, 80 000 or 9 500 000, respectively. These margins are considered adequate to address uncertainties in the exposure and health effects databases.
For non-cancer effects resulting from oral and dermal exposures, the margins are considered adequate even in consideration of the uncertainty associated with potential co-occurrence of these substances in rubber granulates.
| Exposure scenario | Estimated exposure (mg/kg bw/day) | Critical effect level (mg/kg bw/day) | Critical health effect | MOE |
|---|---|---|---|---|
| Rubber granulates, dermal, per event, child, CBSa | 1.3 × 10-5 | NOAEL = 80 | Kidney effects | 6 000 000 |
| Rubber granulates, oral, per event, toddler, MBTSa | 3.9 × 10-6 | DNEL = 62.7 | Reduced body weight | 16 100 000 |
| Rubber granulates, dermal, per event, child, MBTSa | 9.7 × 10-5 | NOAEL = 200 | Increased liver weight | 2 100 000 |
| Rubber granulates, oral, per event, toddler, MBTa | 9.8 × 10-5 | DNEL = 62.7 | Reduced body weight | 640 000 |
| Rubber granulates, dermal, per event, child, MBTa | 2.5 ×10-3 | NOAEL = 200 | Increased liver weight | 80 000 |
| Lubricant for an automotive radiator water pump, dermal, per event, adult, SMBT | 0.13 | NOAEL = 200 | Increased liver weight | 1500 |
Abbreviations: LOAEL, Lowest Observed Adverse Effect Level; MOE, Margin of Exposure; NOAEL, No Observed Adverse Effect Level; POD, Point of Departure
a Although there is no direct evidence (e.g., concentration information) available indicating the presence of TBBS and DCBS in rubber granulates, it is expected that potential exposures to these substances would result in similar or lower exposures compared to MBT, MBTS and CBS and therefore the potential MOE would be similar or higher than what is presented here.
While exposure of the general population to TBBS, CBS, MBTS, MBT, SMBT, and DCBS are not of concern at current levels, these substances are considered to have a health effect of concern on the basis of their potential carcinogenic effects. Also, CBS is considered to have an additional health effect of concern on the basis of its potential reproductive effect. Therefore, there may be a concern for human health if exposures were to increase.
3.7.4 Uncertainties in evaluation of risk to human health
The key sources of uncertainty are presented in Table 3‑17.
| Key source of uncertainty | Impact |
|---|---|
| There is a lack of Canadian monitoring data for substances in the benzothiazoles subgroup in ambient environmental media (e.g., surface water) and/or drinking water. | +/- |
| As the Canadian occurrence data were limited, the benzothiazole concentrations used in the dietary exposure assessment were from international studies. | +/- |
| There are no available subchronic or chronic animal studies via the dermal route, and limited chronic animal studies via the oral route, for most substances in the benzothiazoles subgroup. | +/- |
| There are limited reproduction/developmental toxicity and carcinogencity studies for some substances in the benzothiazoles subgroup. | +/- |
| There are no or limited substance-specific empirical hazard data available for some substances in the benzothiazoles subgroup. | +/- |
+ = uncertainty with potential to cause over-estimation of exposure/risk; - = uncertainty with potential to cause under-estimation of exposure risk; +/- = unknown potential to cause over- or under-estimation of risk.
4. Conclusion
Considering all available lines of evidence presented in this draft screening assessment, there is low risk of harm to the environment from the benzotriazoles subgroup. It is proposed to conclude that the substances in the benzotriazoles subgroup do not meet the criteria under paragraphs 64(a) or (b) of CEPA as they are not entering the environment in a quantity or concentration or under conditions that have or may have an immediate or long-term harmful effect on the environment or its biological diversity or that constitute or may constitute a danger to the environment on which life depends.
Considering all available lines of evidence presented in this draft screening assessment, there is risk of harm to the environment from MBT and its precursors. It is proposed to conclude that MBT and its precursors, including the substances in the benzothiazoles subgroup, meet the criteria under paragraph 64(a) of CEPA as they are entering or may enter the environment in a quantity or concentration or under conditions that have or may have an immediate or long-term harmful effect on the environment or its biological diversity. However, it is proposed to conclude that the substances in the benzothiazoles subgroup do not meet the criteria under paragraph 64(b) of CEPA as they are not entering the environment in a quantity or concentration or under conditions that constitute or may constitute a danger to the environment on which life depends.
On the basis of the information presented in this draft screening assessment, it is proposed to conclude that the substances in the Benzotriazoles and Benzothiazoles Group do not meet the criteria under paragraph 64(c) of CEPA as they are not entering the environment in a quantity or concentration or under conditions that constitute or may constitute a danger in Canada to human life or health.
It is therefore proposed to conclude that the nine substances in the benzotriazoles subgroup do not meet any of the criteria set out in section 64 of CEPA, and it is proposed to conclude that MBT and its precursors, including the six substances in the benzothiazoles subgroup, meet one or more of the criteria set out in section 64 of CEPA. It is also proposed that MBT meets the persistence criteria but not the bioaccumulation criteria as set out in the Persistence and Bioaccumulation Regulations of CEPA. The remainder of the substances in the benzothiazoles subgroup do not meet the persistence and bioaccumulation criteria as set out in the Persistence and Bioaccumulation Regulations of CEPA.
References
[ACC] American Chemistry Council. 2001. Benzothiazole-based thiazoles category justification and testing rationale. 12 pages. Test plan for benzothiazoles submitted to the US EPA’s HPV Chemical Challenge Program.
ACD/Percepta [prediction module]. c1997-2012. Toronto (ON): Advanced Chemistry Development, Inc.
[AR] Alberta Recycling. 2017. Annual report 2016/17 [PDF]. Annual report. Edmonton (AB): AR. [accessed 2018 August 14].
[AR] Alberta Recycling. 2018. Progress report 2018. Progress summary 2018. Edmonton (AB): AR.
Arnot JA, Mackay D, Bonnell M. 2008a. Estimating metabolic biotransformation rates in fish from laboratory data. Environ Toxicol Chem. 27(2):341–351.
Arnot JA, Mackay D, Parkerton TF, Bonnell, M. 2008b. A database of fish biotransformation rates for organic chemicals. Environ Toxicol Chem. 27(11):2263-2270.
Ash M. 2001. Handbook of textile processing chemicals. Synapse Information Resources, Inc.
Asheim J, Vike-Jonas K, Gonzalez SV, Lierhagen S, Venkatraman V, Veivåg IL, Snilsberg B, Flaten TP, Asimakopoulos AG. 2019. Benzotriazoles, benzothiazoles and trace elements in an urban road setting in Trondheim, Norway: Re-visiting the chemical markers of traffic pollution. Sci Total Environ. 649:703-11.
Asimakopoulos AG, Ajibola A, Kannan K, Thomaidis NS. 2013a. Occurrence and removal efficiencies of benzotriazoles and benzothiazoles in a wastewater treatment plant in Greece. Sci Total Environ. 452:163-171.
Asimakopoulos AG, Wang L, Thomaidis NS, Kannan K. 2013b. Benzotriazoles and benzothiazoles in human urine from several countries: a perspective on occurrence, biotransformation, and human exposure. Environ Int. 59:274-281.
Avagyan R, Sadiktsis I, Bergvall C, Westerholm R. 2014. Tire tread wear particles in ambient air—a previously unknown source of human exposure to the biocide 2-mercaptobenzothiazole. Environ Sci Pollut Res. 21(19):11580-6.
Badila AB. 2013. Scrap tire weight and characteristics study passenger light truck (PLT). Final Report. Winnipeg (MB): TSM. [accessed 2018 August 23].
[BCFBAF] Bioaccumulation Program for Microsoft Windows [estimation model]. 2010. Ver. 3.01. Washington (DC): US Environmental Protection Agency, Office of Pollution Prevention and Toxics; Syracuse (NY): Syracuse Research Corporation.
[BIOWIN] Biodegradation Probability Program for Microsoft Windows [estimation model]. 2010. Ver. 4.10. Washington (DC): US Environmental Protection Agency, Office of Pollution Prevention and Toxics; Syracuse (NY): Syracuse Research Corporation.
Boethling RS, Howard PH, Beauman JA, Larosche ME. 1995. Factors for intermedia extrapolations in biodegradability assessment. Chemosphere. 30(4):741-752.
Bouma K, Nab FM, Schothorst RC. 2003. Migration of N -nitrosamines, N –nitrosatable substances and 2-mercaptobenzthiazol from baby bottle teats and soothers: A Dutch retail survey. Food Addit Contam. 20(9):853-858.
Breedveld GD, Roseth R, Sparrevik M, Hartnik T, Hem LJ. 2003. Persistence of the de-icing additive benzotriazole at an abandoned airport. Water Air Soil Pollut. Focus 3(3):91-101.
Brinksmeier ED, Meyer D, Huesmann-Cordes AG, Herrmann C. 2015. Metalworking fluids – mechanisms and performance. CIRP Ann Manuf Technol. 64(2):605-628.
Brorström-Lundén E, Hansson K, Remberger M, Kaj L, Magner J, Andersson H, Haglund P, Andersson R, Liljelind P, Grabic R. 2011. Screening of benzothiazoles, benzenediamines, dicyclohexylamine and benzotriazoles. IVL Swedish Environmental Research Institute Ltd. IVL Report B2023.
Brownlee BG, Carey JH, MacInnis GA, Pelizzari IT. 1992. Aquatic environmental chemistry of 2-(thiocyanomethylthio)benzothiazole and related benzothiazoles. Environ Toxicol Chem. 11:1153-1168.
[BUA] Beratergremium fur Umweltrelevant Altstoffe. 1993. 2,2’-Dithio-bis-benzothiazole BUA report 126.
Canada. 1978. Food and Drug Regulations. C.R.C., c.870.
Canada. 1999. Canadian Environmental Protection Act, 1999. S.C. 1999, c.33. Canada Gazette Part III, vol. 22, no. 3.
Canada, Dept. of the Environment. 2017. Canada Environmental Protection Act, 1999: Notice with respect to substances included as part of the 2017 Inventory Update. Canada Gazette, Part I, vol. 151, no. 2, p 89-161.
Cancilla, DA, Martinez, J, Van Aggelen, GC. 1998. Detection of aircraft deicing/antiicing fluid additives in a perched water monitoring well at an international airport. Environ Sci Technol. 32(23):3834-3835.
Cancilla DA, Baird JC, Geis SW, Corsi SR. 2003. Studies of the environmental fate and effect of aircraft deicing fluids: Detection of 5‐methyl‐1H‐benzotriazole in the fathead minnow (Pimephales promelas). Environ Toxicol Chem. 22(1):134-140.
Cantin S. 2009. Les pneus hors d’usage [PDF]. Information Sheet. Recyc-Quebec. [accessed 2018 August 13].
Carpinteiro I, Abuin B, Ramil M, Rodríguez I, Cela R. 2012. Simultaneous determination of benzotriazole and benzothiazole derivatives in aqueous matrices by mixed-mode solid-phase extraction followed by liquid chromatography–tandem mass spectrometry. Anal Bioanal Chem. 402(7):2471-8.
CATALOGIC [environmental fate and ecotoxicity model]. 2014. Ver. 5.12.1. Bourgas (BG): University “Prof. Dr. Assen Zlatarov”, Laboratory of Mathematical Chemistry.
ChemCAN [level III fugacity model of 24 regions of Canada]. 2003. Version 6.00. Peterborough (ON): Trent University, Canadian Centre for Environmental Modelling and Chemistry.
ChemRisk LLC. 2010. Tyre and general rubber good generic exposure scenario: Emission factor guidance for formulation and industrial use. Final report prepared for ETRMA. Pittsburgh (PA): ChemRisk LLC. 33 pages.
Choi T, Kim J, Ko DH, Kim C, Hwang J, Ahn S, Kim SY, Kim C, Lee J, Yoon T. 2007. Zebrafish as a new model for phenotype‐based screening of melanogenic regulatory compounds. Pigment Cell Res. 20(2):120-127.
Ciba-Geigy Corp. 1968. Short-term (49-day) and sub-chronic (90-day) toxicity studies with “tinuvin 320” in rats with cover letter date 083088. U.S. NTIS Microfiche No. OTS051661O. Cover letter plus 24 pp. study dated January 1968.
[CNF] Candian Nutrient File. 2015. Health Canada.
[CompTox] US EPA Chemistry Dashboard. 2018. Search results for CAS RN 120-78-5; 149-30-4; 2492-26-4; 4979-32-2; 95-31-8; 95-33-0. [accessed July 2018].
[ConsExpo Web] Consumer Exposure Web Model. 2016. Bilthoven (NL): Rijksinstituut voor Volksgezondheid en Milieu [National Institute for Public Health and the Environment].
Craine L, Raban M. 1989. The chemistry of sulfenamides. Chem Rev. 89(4):689-712.
[Danish EPA] Danish Environmental Protection Agency. 2003. Liberation of MBT in natural rubber. Survey of Chemical Substances in Consumer Products, Survey No. 22. Danish Technological Institute.
[Danish EPA] Danish Environmental Protection Agency. 2013. Benzotriazole and Tolyltriazole. Evaluation of health hazards and proposal of health based quality criteria for soil and drinking water. Environmental Project No. 1526, 2013.
[Danish EPA] Danish Environmental Protection Agency. 2014. 2-Mercaptobenzothiazole (MBT). Evaluation of health hazards and proposal of health-based quality criterion for ambient air. Environmental Project No. 1530, 2014.
De Wever H, De Moor K, Verachtert H. 1994. Toxicity of 2-mercaptobenzothiazole towards bacterial growth and respiration. Appl. Microbiol. Biotechnol. 42(4):631-635.
De Wever H, Verachtert H. 1997. Biodegradation and toxicity of benzothiazoles. Water Res. 31(11): 2673-2684.
Diaz-Cruz MS, Molins-Delgado D, Serra-Roig M, Kalogianni E, Skoulikidis NT, Barcelo D. 2019. Personal care products reconnaissance in EVROTAS river (Greece): Water-sediment partition and bioaccumulation in fish. Sci Total Environ. 651:3079-3089.
[EC] European Commission. 2005. Scientific committee on consumer products sccp opinion on 2-mercaptobenzothiazole (MBT) (sensitisation only). [accessed 2018 Dec 17].
[EC] European Commission. 2008. European Union risk assessment report: N-cyclohexylbenzothiazol-2-sulphenamide [PDF]. Germany: Bundesanstalt für Arbeitsschutz und Arbeitsmedizin. [accessed 2018 Dec 17].
[EC] European Commission. 2018. European Union substance evaluation report: N,N-dicyclohexylbenzothiazole-2-sulphenamide. CAS No. 4979-32-2, EC No. 225-625-8 [PDF]. Germany: Federal Institute for Occupational Health and Safety. [accessed 2019 February].
[ECB] European Chemicals Bureau, Institute for Health and Consumer Protection. 2003. technical guidance document on risk assessment, part II. Luxembourg City (LU): European Chemicals Bureau. 337 pages.
[ECCC] Environment and Climate Change Canada. 2016a. Science approach document: ecological risk classification of organic substances. Ottawa (ON): Government of Canada. [ECCC] Environment and Climate Change Canada. 2016b. Supporting documentation: data used to create substance-specific hazard and exposure profiles and assign risk classifications. Gatineau (QC): ECCC. Information in support of the science approach document: ecological risk classification of organic substances. Available from: substances@ec.gc.ca
[ECCC] Environment and Climate Change Canada. 2018. DSL Inventory Update data collected under the Canadian Environmental Protection Act, 1999, section 71: Notice with respect to certain substances on the Domestic Substances List. Data prepared by: Environment Canada, Health Canada; Existing Substances Program.
[ECCC] Environment and Climate Change Canada. 2020. Supporting documentation: Ecological Exposure Assessment of the Benzothiazoles Subgroup. Gatineau (QC): ECCC. Information in support of the draft screening assessment for Benzotriazoles and Benzothiazoles. Available from: substances@ec.gc.ca
[ECCC, HC] Environment and Climate Change Canada, Health Canada. 2015. Identification of risk assessment priorities: results of the 2015 review. Ottawa (ON): Government of Canada.
[ECCC, HC] Environment and Climate Change Canada. Health Canada. 2016a. Rapid screening assessment of polymers identified from phase two of the Domestic Substances List inventory update. Ottawa (ON): Government of Canada.
[ECCC, HC] Environment and Climate Change Canada, Health Canada. 2016b. Screening assessment report on Phenol, 2-(2H-benzotriazol-2-yl)-4,6-bis(1,1-dimethylpropyl)- (BDTP). Ottawa (ON): Government of Canada. [accessed: 2017/09/21].
[ECCC, HC] Environment and Climate Change Canada, Health Canada. [modified 2017 Apr 20]. Categorization. Ottawa (ON): Government of Canada. [accessed 2016 Nov 25].
[ECCC, HC] Environment and Climate Change Canada, Health Canada. 2018a. Rapid screening of substances with limited general population exposure. Ottawa (ON): Government of Canada.
[ECCC, HC] Environment and Climate Change Canada, Health Canada. 2018b. Screening assessment substances identified as being of low concern using the ecological risk classification of organic substances and the threshold of toxicological concern (TTC)-based approach for certain substances. Ottawa (ON): Government of Canada.
[ECCC, HC] Environment and Climate Change Canada, Health Canada. 2019. Draft Screening Assessment Sulfamic acid, cyclohexyl-, monosodium salt (sodium cyclamate) and Cyclohexanamine (cyclohexylamine). Ottawa (ON): Government of Canada.
[ECHA] European Chemicals Agency. c2007-2019 Registered substances database; search results for CAS RN 120-78-5; 149-30-4; 2492-26-4; 4979-32-2; 95-31-8; 95-33-0; 3147-75-9; 29385-43-1; 70321-86-7. Helsinki (FI): ECHA. [accessed July 2019].
[ECHA] European Chemicals Agency. 2013. Substance Evaluation Report: Benzothiazole-2-thiol (2-MBT) [PDF]. [accessed 2018 Dec 17].
[ECHA] European Chemicals Agency. 2014. Annex XV report: Proposal for the identification of a substance of very high concern on the basis of the criteria set out in REACH article 57 [PDF]. CAS RN 3846-71-7. 153 p.
[ECHA] European Chemicals Agency. 2016a. Decision on a compliance check [PDF]. Helsinki (FI): ECHA. 11 pages.
[ECHA] European Chemicals Agency. 2016b. Guidance on information requirements and chemical safety assessment, chapter R.16: Environmental exposure assessment [PDF]. Version 3.0. Helsinki (FI): ECHA. 178 pages.
[ECHA] European Chemicals Agency. 2017. An evaluation of the possible health risks of recycled rubber granules used as infill in synthetic turf sports fields. [accessed 2019 Jan 7].
[EFSA] European Food Safety Authority. 2015. Scientific Opinion on the risks to public health related to the presence of bisphenol A (BPA) in foodstuffs: Executive summary. EFSA Journal 2015. 13(1):3978.
Ema M, Sakamoto J, Murai T, Kawasaki H. 1989. Evaluation of the teratogenic potential of the rubber accelerator dibenzthiazyl disulphide in rats. J App Toxicol. 9(6):413-417.
EMPODAT. 2013. EMPODAT Database. [accessed 2018 Dec 17].
Environment Canada, Health Canada. 2014. Approach for identification of chemicals and polymers as risk assessment priorities under Part 5 of the Canadian Environmental Protection Act, 1999 (CEPA 1999). Ottawa (ON):
[EPI Suite] Estimation Program Interface Suite for Microsoft Windows [estimation model]. c2000-2012. Ver. 4.11. Washington (DC): US Environmental Protection Agency, Office of Pollution Prevention and Toxics; Syracuse (NY): Syracuse Research Corporation.
Esteban S, Gorga M, Petrovic M, González-Alonso S, Barceló D, Valcárcel Y. 2014a. Analysis and occurrence of endocrine-disrupting compounds and estrogenic activity in the surface waters of Central Spain. Sci Total Environ. 466:939-951.
Esteban S, Gorga M, González-Alonso S, Petrovic M, Barceló D, Valcárcel Y. 2014b. Monitoring endocrine disrupting compounds and estrogenic activity in tap water from Central Spain. Environ Sci Pollut Res. 21(15): 9297-9310.
Esteban S. Moreno-Merino L, Matellanes R, Catalá M, Gorga M, Petrovic M,López-Martínez J, et al. 2016. Presence of endocrine disruptors in freshwater in the northern Antarctic Peninsula region. Environ Res. 147:179-192.
[EU] European Union. 2008. Regulation (EC) No 1272/2008 of the European Parliament and of the Council of 16 December 2008 on classification, labelling and packaging of substances and mixtures, amending and repealing Directives 67/548/EEC and 1999/45/EC, and amending Regulation (EC) No 1907/2006. Off J Eur Union L 353:1-1355.
[EU RAR] European Union Risk Assessment Report. 2008. N-Cyclohexylbenzothiazol-2-sulphenamide. CAS No: 95-33-0. EINECS No:202-411-2.
Ficheux AS, Wesolek N, Chevillotte G, Roudot AC. 2015. Consumption of cosmetic products by the French population. First part: Frequency data. Food Chem Toxicol. 78:159-169.
Ficheux AS, Chevillotte G, Wesolek N, Morisset T, Dornic N, Bernard A, Bertho A, Romanet A, Leroy L, Mercat AC, Creusot T, Simon E, Roudot AC. 2016. Consumption of cosmetic products by the French population second part: Amount data. Food Chem Toxicol. 90:130-141.
Focazio MJ, Kolpin DW, Barnes KK, Furlong ET, Meyer MT, Zaugg SD, Thurman ME, et al. 2008. A national reconnaissance for pharmaceuticals and other organic wastewater contaminants in the United States—II) Untreated drinking water sources. Sci Total Environ. 402(2-3):201-216.
Foundation Animal Bio Science Safety Research Institute. 2011. 2-(2H-benzotriazol-2-yl)-4- (tert-butyl)-6- (sec-pentyl) phenol Repeated oral administration toxicity using rats Reproductive and developmental toxicity combined test. Trial #: 07 – 112. Ministry of Health, Labor and Welfare, Pharmaceutical Foods Division, Review & Administration Division, Tokyo. Chemical Safety Division [in Japanese].
Friedman PK, Watt ED, Hornung MW, Hedge JM, Judson RS, Crofton KM, Simmons SO. 2016. Tiered high-throughput screening approach to identify thyroperoxidase inhibitors within the ToxCast Phase I and II chemical libraries. Toxicol Sci. 151(1):160-180.
Giger W, Schaffner C, Kohler HPE. 2006. Benzotriazole and tolyltriazole as aquatic contaminants. 1. Input and occurrence in rivers and lakes. Environ Sci Technol. 40(23):7186-7192.
Glassmeyer ST, Furlon ET, Kolpin DW, Cahill DJ, etc. 2005. Transport of chemical and microbial compounds from known wastewater discharges: potential for use as indicators of human fecal contamination. Environ Sci Technol. 39:5157-5169.
Glassmeyer ST, Furlong ET, Kolpin DW, Batt AL, Benson R, Boone JS, Conerly O, Donohue MJ, King DN, Kostich MS, et al. 2017. Nationwide reconnaissance of contaminants of emerging concern in source and treated drinking waters of the United States. Sci Total Environ. 581:909-922.
Gorga M, Insa S, Petrovic M, Barceló D. 2015. Occurrence and spatial distribution of EDCs and related compounds in waters and sediments of Iberian rivers. Sci Total Environ. 503:69-86.
Gries W, Kupper K, Long G. 2015. Rapid and sensitive LC–MS–MS determination of 2-mercaptobenzothiazole, a rubber additive, in human urine. Anal Bioanal Chem. 407:3417–3423.
[GSBL] GSBL Webapplikation 3.0. Federal information system on chemical substances; search results for CAS RN 36437-37-3. Germany. [accessed 2018/05/30].
Gustavsson BM, Magnér J, Almroth BC, Eriksson MK, Sturve J, Backhaus T. 2017. Chemical monitoring of Swedish coastal waters indicates common exceedances of environmental thresholds, both for individual substances as well as their mixtures. Mar Pollut Bull. 122(1-2):409-19.
Hansen P, Tønning K, Malmgren-Hansen B. 2008. Survey and health assessment of chemical substances in hobby products for children. Danish Ministry of the Environment, Environmental Protection Agency (Danish EPA). Survey of Chemical Substances in Consumer Products, No. 93.
Hansson C, Agrup G. 1993. Stability of the mercaptobenzothiazole compounds. Contact Dermatitis 28:29-34.
Health Canada. 1998. Exposure factors for assessing total daily intake of priority substances by the general population of Canada. Unpublished report. Ottawa (ON): Health Canada, Environmental Health Directorate.
Health Canada. 2016. Science approach document: threshold of toxicological concern (TTC)-based approach for certain substances. Ottawa (ON): Government of Canada.
[HENRYWIN] Henry’s Law Constant Program for Microsoft Windows [estimation model]. 2008. Ver. 3.20. Washington (DC): US Environmental Protection Agency, Office of Pollution Prevention and Toxics; Syracuse (NY): Syracuse Research Corporation.
Herzog B, Lemmer H, Horn H, Müller E. 2015. A note on benzotriazole concentrations in the receiving waters of different sewage treatment plants. Asian Pacific J Microbiol Res. 3(1):1-3.
Hirata Koizumi M, Watari N, Mukai D, Imai T, Hirose A, Kamata E, Ema M. 2007. A 28-day repeated dose toxicity study of ultraviolet absorber 2-(2′-hydroxy-3′,5′-di-tert-butylphenyl) benzotriazole in rats. Drug Chem Toxicol. 30(4):327-341.
Hirata Koizumi M, Ogata H, Imai T, Hirose A, Kamata E, Ema M. 2008a. A 52-week repeated dose toxicity study of ultraviolet absorber 2-(2′-hydroxy-3′,5′-di-tert-butylphenyl)benzotriazole in rats. Drug Chem Toxicol. 31(1):81-96.
Hirata Koizumi M, Matsuyama T, Imai T, Hirose A, Kamata E, Ema M. 2008b. Lack of gender-related difference in the toxicity of 2-(2′- hydroxy-3′,5′-di-tert-butylphenyl)benzotriazole in preweaning rats. Drug Chem Toxicol. 31(2):275-287.
Hirata Koizumi M, Matsuyama T, Imai T, Hirose A, Kamata E, Ema M. 2008c. Gonadal Influence on the Toxicity of 2-(2′-Hydroxy-3′,5′- di-tert-butylphenyl) benzotriazole in Rats. Drug Chem Toxicol. 31(1): 115-126.
[HPVIS] High Production Volume Information System. c1998-2017. OPPT: US EPA. Search Results for 149-30-04. [accessed December 2017].
[HSDB] Hazardous Substances Data Bank [database]. 1983-2017 . Bethesda (MD): National Library of Medicine (US). [accessed 2017 Dec 12].
[IARC] International Agency for Research on Cancer. 2018. IARC Monographs, volume 115, 2-Mercaptobenzothiazole.
Jakimska A, Huerta B, Bargańska Ż, Kot-Wasik A, Rodríguez-Mozaz S, Barceló D. 2013. Development of a liquid chromatography–tandem mass spectrometry procedure for determination of endocrine disrupting compounds in fish from Mediterranean rivers. J Chromatogr A. 1306:44-58.
Janna H, Scrimshaw MD, Williams RJ, Churchley J, Sumpter JP. 2011. From dishwasher to tap? Xenobiotic substances benzotriazole and tolyltriazole in the environment. Environ Sci Technol. 45(9):3858-3864.
Japan Bioassay Research Center. 2006. 2- (2 1 "-pentotriazole-2-yl) -4- (candy" -butyl) -6- (sec-butyl) phenol repeated oral administration using rats toxicity reproductive and developmental toxicity combination test. Test number 0632. Central Labor Accident Prevention Association [in Japanese].
Japan Bioassay Research Center. 2007. 1,2,3-Benzotriazole [CAS No. 95-14-7]. National Institute of Technology and Evaluation, Japan [in Japanese].
Jover E, Matamoros V, Bayona JM. 2009. Characterization of benzothiazoles, benzotriazoles and benzosulfonamides in aqueous matrixes by solid-phase extraction followed by comprehensive two-dimensional gas chromatography coupled to time-of-flight mass spectrometry. J Chromatogr A. 1216(18):4013-4019.
Kase R, Eggen RIL, Junghans M, Gotz C, Hollender J. 2011. Assessment of micropollutants from municipal wastewater-Combination of exposure and ecotoxicological effect data for Switzerland. In Waste Water-Eval Manage. IntechOpen.
Kazner C. 2011. Advanced wastewater treatment by nanofiltration and activated carbon for high quality water reuse (Doctoral dissertation, Hochschulbibliothek der Rheinisch-Westfälischen Technischen Hochschule Aachen).
Kim J-W, Chang K-H, Prudente M, Viet PH, Takahashi S, Tanabe S, Kunisue T, Isobe T. 2019. Occurrence of benzotriazole ultraviolet stabilizers (BUVSs) in human breast milk from three Asian countries. Sci Total Env. 655: 1081-1088.
Kiss, A, Fries, E. 2009. Occurrence of benzotriazoles in the rivers Main, Hengstbach, and Hegbach (Germany). Environ Sci Pollut Res Int. 16(6):702-710.
[KOAWIN] Octanol-Air Partition Coefficient Program for Microsoft Windows [estimation model]. 2010. Ver. 1.10. Washington (DC): US Environmental Protection Agency, Office of Pollution Prevention and Toxics; Syracuse (NY): Syracuse Research Corporation.
[KOCWIN] Organic Carbon Partition Coefficient Program for Microsoft Windows [estimation model]. 2010. Ver. 2.00. Washington (DC): US Environmental Protection Agency, Office of Pollution Prevention and Toxics; Syracuse (NY): Syracuse Research Corporation.
Kolpin DW, Furlong ET, Meyer MT, Thurman EM, Zaugg SD, Barber LB, Buxton HT. 2002. Pharmaceuticals, hormones, and other organic wastewater contaminants in US streams, 1999− 2000: A national reconnaissance. Environ Sci Technol. 36(6):1202-1211.
Koval IV. 1996. Synthesis and application of sulfenamides. Russian Chem. Rev. 65(5): 421-440.
[KOWWIN] Octanol-Water Partition Coefficient Program for Microsoft Windows [estimation model]. 2010. Ver. 1.68. Washington (DC): US Environmental Protection Agency, Office of Pollution Prevention and Toxics; Syracuse (NY): Syracuse Research Corporation.
Lai W, Lin YC, Wang YH, Guo YL, Lin A. 2018. Occurrence of emerging contaminants in aquaculture waters: cross-contamination between aquaculture systems and surrounding waters. Water, Air, Soil Pollut. 229(8):249.
Lee S, Kim S, Park J, Kim H-J, Lee JJ, Choi G, Choi S, Kim S, Kim SY, Choi K, Kim S, Moon H-B. 2015. Synthetic musk compounds and benzotriazole ultraviolet stabilizers in breast milk: Occurrence, time-course variation and infant health risk. Environ Res. 140: 466-473.
Li Y, Zhai JL, Liu YS, Zhang QQ, Jiang YX, Liu Shan, Liu, WR, Yang YY, Ying GG. 2018. Personal care products in wild fish in two main Chinese rivers: Bioaccumulation potential and human health risks. Sci Total Environ. 621:1093-1102.
Liao C, Kim UJ, Kannan K. 2018. A review of environmental occurrence, fate, exposure, and toxicity of benzothiazoles. Environ Sci Technol. 52:5007-5026.
Liu W, Xue J, Kannan K. 2017. Occurrence of and exposure to benzotriazoles and benzothiazoles from textiles and infant clothing. Sci Total Environ. 592:91–96.
[LNHPD] Licensed Natural Health Products Database [database]. [modified 2018 Feb 06]. Ottawa (ON): Health Canada. [accessed 2016 Nov 25].
Loos R, Gawlik BM, Locoro G, Rimaviciute E, Contini S, Bidoglio G. 2009. EU-wide survey of polar organic persistent pollutants in European river waters. Environ Pollut. 157(2):561-568.
Loos R, Locoro G, Comero S, Contini S, Schwesig D, Werres F, Bolchi M, et al. 2010. Pan-European survey on the occurrence of selected polar organic persistent pollutants in ground water. Water Res. 44(14):4115-4126.
Loos R, Tavazzi S, Paracchini B, Canuti E, Weissteiner C. 2013. Analysis of polar organic contaminants in surface water of the northern Adriatic Sea by solid-phase extraction followed by ultrahigh-pressure liquid chromatography–QTRAP® MS using a hybrid triple-quadrupole linear ion trap instrument. Anal bioanal chem. 405(18):5875-5885.
Loretz LG, Api AM, Barraj LM, Burdick J, Dressler WE, Gettings SD, Han Hsu H, Pan YHL, Re TA, Renskers KJ, Rothenstein A, Scrafford CG, Sewall C. 2005. Exposure data for cosmetic products: lipstick, body lotion, and face cream. Food Chem Toxicol. 43:279-291.
Löwenberg, J, Zenker, A, Baggenstos, M, Koch, G, Kazner, C, & Wintgens, T. 2014. Comparison of two PAC/UF processes for the removal of micropollutants from wastewater treatment plant effluent: process performance and removal efficiency. Water Res. 56:26-36.
Lu Z, De Silva AO, Peart TE, Cook CJ, Tetreault GR, Servos MR, Muir DCG. 2016a. Distribution, partitioning and bioaccumulation of substituted diphenylamine antioxidants and benzotriazole UV stabilizers in an urban creek in Canada. Environ Sci Technol. 50:9089−9097.
Lu Z, Peart TE, Cook CJ, De Silva AO. 2016b. Simultaneous determination of substituted diphenylamine antioxidants and benzotriazole ultra violet stabilizers in blood plasma and fish homogenates by ultra-high performance liquid chromatography-electrospray tandem mass spectrometry. J Chromatogr A. 1461:51-58.
Lu Z, Smyth SA, Peart TE, De Silva AO. 2017. Occurrence and fate of substituted diphenyl amine antioxidants and benzotriazole UV stabilizers in various Canadian wastewater treatment processes. Water Res. 123:158-166.
Luecken JJ, Sullivan AB. 1981. Stability of benzothiazole sulfonamide accelerators. Elastomerics. 113(8):34-38,44.
Luongo G, Avagyan R, Hongyu R, Ostman C. 2016. The washout effect during laundry on benzothiazole, benzotriazole, quinolone, and their derivatives in clothing textiles. Environ Sci Pollut Res. 23:2537-2548.
Mackay D, Hughes DM, Romano ML, Bonnell M. 2014. The role of persistence in chemical evaluations. Integr Environ Assess. 10(4):588-594.
Mandaric L, Diamantini E, Stella E, Cano-Paoli K, Valle-Sistac J, et al. 2017. Contamination sources and distribution patterns of pharmaceuticals and personal care products in Alpine rivers strongly affected by tourism. Sci Total Environ. 590-591:484-494.
Miyata K, Ose K. 2012. Thyroid hormone-disrupting effects and the amphibian metamorphosis assay. J Toxicol Pathol. 25(1):1-9.
Molins-Delgado D, Diaz-Cruz MS, Barcelo D. 2015. Removal of polar UV stabilizers in biological wastewater treatments and ecotoxicological implications. Chemosphere. 119:S51-S57.
Molins-Delgado D, Tavora J, Diaz-Cruz MS, Barcelo D. 2017. UV filters and benzotriazoles in urban aquatic ecosystems: The footprint of daily use products. Sci Total Environ. 601-602:975-986.
Molins-Delgado D, Olmo-Campos MdM, Valeta-Juan G, Pleguezuelos-Hernandez V, Barcelo D, Diaz-Cruz MS. 2018. Determination of UV filters in human breast milk using turbulent flow chromatography and babies’ daily intake estimation. Environ Res. 161: 532-539.
[MPBPWIN] Melting Point Boiling Point Program for Microsoft Windows [estimation model]. 2010. Ver. 1.43. Washington (DC): US Environmental Protection Agency, Office of Pollution Prevention and Toxics; Syracuse (NY): Syracuse Research Corporation.
[MTD] Modern Tire Dealer. 2018. 2018 Facts Section: Tire Plant capacities [PDF]. Uniontown (OH): MTD. [accessed December 2018]
Nawrocki ST, Drake KD, Watson CF, Foster GD, Maier KJ. 2005. Comparative aquatic toxicity evaluation of 2-(Thiocyanomethylthio)benzothiazole and selected degradation products using Ceriodaphnia dubia. Arch Environ Contam Toxicol. 48:344-350.
[NCI] National Cancer Institute. 1978. Bioassay Of 1h-Benzotriazole For Possible Carcinogenicity CAS No. 95-14-7. Washington (DC): US Department of Health, Education and Welfare, National Institutes of Health. Technical Report Series No. 88; DHEW Publication No. (NIH) 78-1338.
Nelson KR, Schroeder AL, Ankley GT, Blackwell BR, Blanksma C, Degitz SJ, Flynn KM, Jensen KM, Johnson RD, Kahl MD, Knapen D, Kosian PA, Milsk RY, Randolph EC, Saari T, Stinckens E, Vergauwen L, Villeneuve DL. 2016, Impaired anterior swim bladder inflation following exposure to the thyroid peroxidase inhibitor 2-mercaptobenzothiazole part I: Fathead minnow. Aquat Toxicol. 173:192-203.
[New EQC] New Equilibrium Criterion Model. 2011. Ver. 1.00 (Beta). Peterborough (ON): Trent University, Canadian Centre for Environmental Modelling and Chemistry.
[NHPID] Natural Health Products Ingredients Database [database]. [modified 2019 Feb 22]. Ottawa (ON): Health Canada. [accessed 2016 Nov 25].
Ni HG, Lu FH, Luo XL, Trian HY, Zeng Y. 2008. Occurrence, phase distribution, and mass loadings of benzothiazoles in riverine runoff of the Pearl River Delta, China. Environ Sci Technol. 42(6):1892-1897.
[NOCIL] Nocil Limited. [Date unknown]. Technical note on vulcanization [PDF]. Mumbai (IN): NOCIL. [accessed 28 Jan 2019].
Nödler K, Voutsa D, Licha T. 2014. Polar organic micropollutants in the coastal environment of different marine systems. Mar Pollut Bull. 85(1):50-59.
[NPRI] National Pollutant Release Inventory. NPRI Datasets: 1) Release, 2) Disposal, and 3) Recycling. Ottawa (ON): Government of Canada. Search results for CAS RN 149-30-4. [accessed 2018-05-30].
[NTP] National Toxicology Program (US). 1988. Toxicology and carcinogenesis studies of 2-mercaptobenzothiazole (CAS No. 149-30-4) in F344/Nrats and B6C3F1 mice (gavage studies). Research Triangle Park (NC): US Department of Health and Human Services, National Toxicology Program.
[NTP] National Toxicology Program (US). 2011. Chemical information review document for phenolic benzotriazoles. Research Triangle Park (NC): US Department of Health and Human Services, National Toxicology Program.
[OECD] Organisation of Economic Co-operation and Development. 2003. SIDS initial assessment report: N-tert-butylbenzothiazole-2-sulphenamide: CAS No. 95-31-8 [PDF]. SIAM [SIDS Initial Assessment Meeting]: 18: 2004 April: Paris, France. [accessed 2017/08/31].
[OECD] Organisation for Economic Co-operation and Development. 2004a. SIDS initial assessment report: N,N-dicyclohexyl-2-benzothiazolessulfenamide: CAS No. 4979-32-2 [PDF]. SIAM [SIDS Initial Assessment Meeting]: 16: 2003 May: Paris, France. [accessed 2018/05/31].
[OECD] Organisation for Economic Co-operation and Development. 2004b. Emissions scenario document on additives in the rubber industry [PDF]. Paris (FR): OECD, Environment Directorate. (Series on Emission Scenario Documents No. 6; Report No. ENV/JM/MONO(2004)11, JT00166668). [accessed 2018 November].
[OECD] Organisation for Economic Co-operation and Development. 2008. SIDS initial assessment report (SIAR): N-cyclohexylbenzothiazole-2-sulphenamide [PDF]. SIAM 27, 14-16 October 2008 [accessed 2018 December 17].
[OECD] Organisation for Economic Co-operation and Development. 2009a. SIDS initial assessment report (SIAR): 2-tert-Butyl-6-(5-chloro-2H-benzotriazol-2-yl)-4-methylphenol. SIAM 28, 14-17 April 2009 [accessed 2018 December 15].
[OECD] Organization for Economic Co-operation and Development. 2009b. OECD ESD #3 Emission Scenario Document on Plastic Additives.
[OECD] Organisation for Economic Co-operation and Development. 2009c. SIDS initial assessment report (SIAR): N,N-Dicyclohexyl-2-benzothiazolesulfenamide [PDF]. SIAM 18, 20-23 April 2004 [accessed 2018 December 17].
[OECD] Organisation for Economic Co-operation and Development. 2011. Emission scenario document on the use of metalworking fluids [PDF]. Paris (FR): OECD, Environment Directorate. (Series on Emission Scenario Documents No. 28; Report No. ENV/JM/MONO(2011)18, JT03304938). [accessed 2018 November].
OECD QSAR Toolbox. [read across tool]. 2016. Ver. 4.2 Paris (FR): Organisation for Economic Co-operation and Development, Laboratory of Mathematical Chemistry.
Orwig BA. 1971. The chemistry of sulfenimides. Thesis submitted to McGill University Department of Chemistry. 97 pages.
Östman M, Lindber, RH, Fick J, Björn E, Tysklind M. 2017. Screening of biocides, metals and antibiotics in Swedish sewage sludge and wastewater. Water Res. 115:318-328.
Peng Y, Fang W, Krauss M, Brack W, Wang Z, Li F, Zhang X. 2018. Screening hundreds of emerging organic pollutants (EOPs) in surface water from the Yangtze River Delta (YRD): Occurrence, distribution, ecological risk. Environ Pollut. 241:484-493.
Peter B. 2013. Combined 28-day repeated dose toxicity study with the reproduction/developmental toxicity screening test of irgamet 39 in rats by oral gavage. [Submission to Health Canada].
Reemtsma T, Weiss S, Mueller J, Petrovic M, González S, Barcelo D, Ventura F, Knepper TP. 2006. Polar pollutants entry into the water cycle by municipal wastewater: A European perspective. Enviro Sci Technol. 40(17):5451-8.
Reemtsma T, Miehe U, Duennbier U, Jekel M. 2010. Polar pollutants in municipal wastewater and the water cycle: occurrence and removal of benzotriazoles. Water Res. 44(2):596-604.
[RIVM] Rijksinstituut voor Volksgezondheid en Milieu [National Institute for Public Health and the Environment (NL)]. 2007. Do-it-yourself products fact sheet: To assess the risks for the consumer: updated version for ConsExpo 4 [PDF]. Bilthoven (NL): DOI: 10.21945/RIVM-2017-0016.
[RIVM] Rijksinstituut voor Volksgezondheid en Milieu [National Institute for Public Health and the Environment (NL)]. 2017. Evaluation of health risks of playing sports on synthetic turf pitches with rubber granulate [PDF]. Bilthoven (NL): RIVM. Report No.: 612810012/2002.
Rodriguez DM, Wrobel K, Jimenez MGG. 2004. Determination of 2-mercaptobenzothiazole (MBT) in tannery wastewater by high performance liquid chromatography with amperometric detection. Bull Environ Contam Toxicol. 73:818-824.
Rotterdam Convention. 2008. Japan - Final Regulatory Action. [accessed 2019 Jan 02].
Rotterdam Convention. c2010. Database of notifications of final regulatory action: for non-annex III chemicals. [accessed 2019 May 10].
Rovira J, Domingo JL. 2019. Human health risks due to exposure to inorganic and organic chemicals from textiles: A review. Environ Res. 168:62-69.
Ryu J, Oh J, Snyder SA, Yoon Y. 2014. Determination of micropollutants in combined sewer overflows and their removal in a wastewater treatment plant (Seoul, South Korea). Environ Monit Assess. 186(5): 3239-3251.
Schriks M, Heringa MB, van der Kooi MM, de Voogt P, van Wezel AP. 2010. Toxicological relevance of emerging contaminants for drinking water quality. Water Res. 44(2):461-476.
SDA [Soap and Detergent Association]. 2010. Appendix II-A-1 & Appendix II-B-1: Dermal exposure parameters to estimate screening exposures to consumer products – North America. IN: Consumer product ingredient safety: Exposure and Risk Screening Methods for Consumer Product Ingredients, 2nd edition. Section on dermal parameters. Washington (DC): The Soap and Detergent Association.
[SDS] Safety Data Sheet. 2008. Hyspin Spindle Oil HS. Castrol. [accessed 2018 Dec 17].
[SDS] Safety Data Sheet. 2011. Revive Radiator Water Pump Lube. Shrader Canada. [accessed 2018 Dec 17]. [restricted access].
[SDS] Safety Data Sheet. 2013. Cooling System Repair Right Side. Rislone. [accessed 2018 Dec 17].
[SDS] Safety Data Sheet. 2016a. Protect_DIP Aerosol. Protect_DIP. [accessed 2018 Dec 17].
[SDS] Safety Data Sheet. 2016b. SWEPCO 715 Power Steering/Hydraulic Oil. Southwestern Petroleum Corporation. [accessed 2018 Dec 17].
[SDS] Safety Data Sheet. 2016c. Brayco 885. Castrol. [accessed 2018 Dec 17].
[SDS] Safety Data Sheet. 2017. Liquid Impression Pen. Skilcraft. [accessed 2018 Dec 17].
[SDS] Safety Data Sheet. 2018. Cooling System Repair Left Side. Rislone. [accessed 2018 Dec 17].
SimpleTreat [sewage treatment plant removal model]. 2003. Ver. 3.1. Bilthoven (NL): Rijksinstituut voor Volksgezondheid en Milieu (RIVM) [National Institute for Public Health and the Environment]. RIVM, Laboratory for Ecological Risk Assessment, PO Box 1, 3720 BA Bilthoven, The Netherlands.
Søndergaard M. 2009. Organic compounds: redox potential. In: Likens GE, editor. Encyclopedia of inland waters. Vol. 1. Millbrook (NY): Elsevier. p. 852-859.
Stackelberg PE, Furlong ET, Meyer MT, Zaugg SD, Henderson AK, Reissman DB. 2004. Persistence of pharmaceutical compounds and other organic wastewater contaminants in a conventional drinking-water-treatment plant. Sci Total Environ. 329(1-3):99-113.
Statistics Canada 2015. Canadian Community Health Survey (CCHS) 2015 Share File. Ottawa (ON): Government of Canada. Estimates generated using SAS 9.3 [GRID] through SAS EG 5.1.
Stephensen E, Adolfsson-Erici M, Hulander M, Parkkonen J, Förlin L. 2005. Rubber additives induce oxidative stress in rainbow trout. Aquat Toxicol. 75(2):126-143.
Stinckens E, Vergauwen L, Schroeder AL, Maho W, Blackwell BR, Witters H, Blust R, Ankley GT, Covaci A, Villeneuve DL, Knapen D. 2016. Impaired anterior swim bladder inflation following exposure to the thyroid peroxidase inhibitor 2-mercaptobenzothiazole part II: Zebrafish. Aquat Toxicol. 173:204-217.
[TaPL3] Long Range Transport and Persistence Level III Model. 2003. Ver. 3.00. Peterborough (ON): Trent University, Canadian Centre for Environmental Modelling and Chemistry.
[TEST] Toxicity Estimation Software Tool. 2016. Ver. 4.21. Washington (DC): US Environmental Protection Agency.
Tietge JE, Degitz SJ, Haselman JT, Butterworth BC, Korte JJ, Kosian PA, Lindberg-Livingston AJ, Burgess EM, Blackshear PE, Hornung MW. 2013. Inhibition of the thyroid hormone pathway in Xenopus laevis by 2-mercaptobenzothiazole. Aquat Toxicol. 126:128-136.
Unice KM, Bare JL, Kreider ML, Panko JM. 2015. Experimental methodology for assessing the environmental fate of organic chemicals in polymer matrices using column leaching studies and OECD 308 water/sediment systems: Application to tire and road wear particles. Sci Total Environ. 533:476-487.
[US EPA] US Environmental Protection Agency. 2009. Screening-Level Hazard, sponsored chemicals: phenolic benzotriazoles category. Washington (DC): US EPA. 20pp.
[US EPA] US Environmental Protection Agency. 2010. Screening-level hazard characterization of high production volume chemicals: Benzothiazole and morpholine-based thiazoles category. Hazard Characterization Document. Washington (DC): US EPA. 45 pp.
[US NTP] U.S. National Toxicology Program, U.S. Department of Health and Human Services. 2011. Chemical information review document for phenolic benzotriazoles. Supporting Nomination for Toxicological Evaluation by the National Toxicology Program.
Valcárcel Y, Valdehíta A, Becerra E, de Alda ML, Gil A, Gorga M, Navas J M. 2018. Determining the presence of chemicals with suspected endocrine activity in drinking water from the Madrid region (Spain) and assessment of their estrogenic, androgenic and thyroidal activities. Chemosphere. 201:388-398.
Valls-Cantenys C, Scheurer M, Iglesias M, Sacher F, Brauch HJ, Salvadó V. 2016. A sensitive multi-residue method for the determination of 35 micropollutants including pharmaceuticals, iodinated contrast media and pesticides in water. Anal Bioanal Chem. 408(22):6189-6200.
Van Leerdam JA, Hogenboom AC, van der Kooi MM, de Voogt P. 2009. Determination of polar 1H-benzotriazoles and benzothiazoles in water by solid-phase extraction and liquid chromatography LTQ FT Orbitrap mass spectrometry. Int J Mass Spectrom. 282(3):99-107.
Versar. 1986. Standard scenarios for estimating exposure to chemical substances during use of consumer products. Prepared for U.S.EPA Office of Toxic Substances Exposure Evaluation Division.
Vetter W, Lorenz J. 2013. Determination of benzotriazoles in dishwasher tabs from Germany and estimation of the discharge into German waters. Environ Sci Pollut Res. 20(7):4435-40.
Vimalkumar K, Arun E, Krishna-Kuma S, Poopal RK, Nikhil NP, Subramanian A, Babu-Rajendran R. 2018. Occurrence of triclocarban and benzotriazole ultraviolet stabilizers in water, sediment, and fish from Indian rivers. Sci Total Environ. 625:1351-1360.
Voutsa D, Hartmann P, Schaffner C, Giger W. 2006. Benzotriazoles, alkylphenols and bisphenol A in municipal wastewaters and in the Glatt River, Switzerland. Environ Sci Pollut Res. 13(5):333-341.
Wang L, Asimakopoulos AG, Moon HB, Nakata H, Kannan K. 2013. Benzotriazole, benzothiazole, and benzophenone compounds in indoor dust from the United States and East Asian countries. Environ Sci Technol. 47(9):4752-4759.
Wang L, Zhang J, Sun H, Zhou Q. 2016. Widespread occurrence of benzotriazoles and benzothiazoles in tap water: influencing factors and contribution to human exposure. Environ Sci Technol. 50(5):2709-2717.
[WATERNT] Water Solubility Program [estimation model]. 2010. Ver. 1.01. Washington (DC): US Environmental Protection Agency, Office of Pollution Prevention and Toxics; Syracuse (NY): Syracuse Research Corporation.
Weiss S, Reemtsma T. 2005. Determination of benzotriazole corrosion inhibitors from aqueous environmental samples by liquid chromatography-electrospray ionization-tandem mass spectrometry. Anal Chem. 77(22):7415-7420.
Whittaker MH, Gebhart AM, Miller TC,Hammer F. 2004. Human health risk assessment of 2-mercaptobenzothiazole in drinking water. Toxicol Ind Health. 20:149-163.
Wolschke H, Xie, Z, Möller A, Sturm R,Ebinghaus R. (2011). Occurrence, distribution and fluxes of benzotriazoles along the German large river basins into the North Sea. Water Res. 45(18):6259-6266.
[WSKOWWIN] Water Solubility Program [estimation model]. 2010. Ver. 1.42. Washington (DC): US Environmental Protection Agency, Office of Pollution Prevention and Toxics; Syracuse (NY): Syracuse Research Corporation.
Xue J, Wan Y, Kannan K. 2017. Occurrence of benzotriazoles (BTRs) in indoor air from Albany, New York, USA, and its implications for inhalation exposure. Toxicol Environ Chem. 99(3):402-14.
Yoo J, Graf TA, Kuruvilla DJ, D’Mello SR, Salem AK, Bowden NB. 2013. New biodegradable polymers based on previously unknown functional groups for drug and gene delivery. In: TechConnect Briefs. Technical proceedings from nanotech conference and expo 2013, Volume 1: Advanced materials, CNTs, particles, films and composites. p. 577-580.
Zarfl C, Scheringer M, Matthies M. 2011. Screening criteria for long-range transport potential of organic substances in water. Environ Sci Technol. 45(23):10075-10081.
Zeng F, Sherry JP, Bols NC. 2016. Evaluating the toxic potential of benzothiazoles with the rainbow trout cell lines RTgill-W1 and RTL-W1. Chemosphere 155:308-318.
Zhang Z, Ren N, Li YF, Kunisue T, Gao D, Kannan K. 2011. Determination of benzotriazole and benzophenone UV filters in sediment and sewage sludge. Environ Sci Technol. 45(9):3909-3916.
Zhou Y, Liu H, Li J, Xu S, Li Y, Zhao H, Jin H, Liu W, Chung AC, Hong Y, Sun X. 2018. Profiles, variability, and predictors of urinary benzotriazoles and benzothiazoles in pregnant women from Wuhan, China. Environ Int. 1279-1288.
Appendix A. Read-across approach for the human health assessment of benzotriazoles and benzothiazoles
| Consideration | Rationale |
|---|---|
1. Chemical structure. Emphasis was placed on analogues that contained a benzotriazole core. | Analogues that have similar chemical structure and/or are metabolized through similar pathways to similar degradation products are expected to have similar toxicity profiles. Analogues found that have known toxic metabolites which are not expected to result from the metabolism of the target were not considered. |
2. Similar metabolites (predicted or observed) | Analogues that have similar chemical structure and/or are metabolized through similar pathways to similar degradation products are expected to have similar toxicity profiles. Analogues found that have known toxic metabolites which are not expected to result from the metabolism of the target were not considered. |
3. Common structural alerts | Analogues with similar structural alerts are expected to share greater similarity in terms of toxicity. |
4. Similar physical-chemical properties. Emphasis was placed on chemical structures with similar molecular weight, water solubility, vapour pressure, and log Kow. | Analogues with similar physical chemical properties may potentially share similar toxicological profiles and bioavailability. |
5. Availability of health effects data | Only analogues with hazard data of sufficient quality and coverage of routes and durations of exposure relevant to exposure scenarios were considered applicable for read-across purposes. |
6. Selection and use of an analogue in a reliable international review | The Danish EPA selected benzotriazole to read-across data to tolyltriazole in their assessment (Danish EPA 2013). |
| Common name and/or CAS RN | Drometrizole 2440-22-4 | UV-329 3147-75-9 | UV-320 3846-71-7 | UV-326 3896-11-5 | UV-350 36437-37-3 | UV-234 70321-86-7 |
|---|---|---|---|---|---|---|
| Structure | ![]() | ![]() | ![]() | ![]() | ![]() | ![]() |
| MW (g/mol) | 225c | 323.43 | 323.43 | 315.80 | 323.44 | 447.58 |
| Vapour pressure (Pa) | 1.46 x 10-6 | 4.1 x 10-6 | 1.47 x 10-7 | 7.5 x 10-7 | 1.04 x 10-7 | <1.0 x 10-4 |
| Water solubility (mg/L) | 0.173c | 0.002 | 0.150 | 0.004 | 3.106 | <0.005 |
| Log Kow | 4.2-4.3c | >6.5 | 6.3 | >6.5 | 6.3 | >6.5 |
| Short-term/ subchronic (mg/kg bw/day) | N/A | NOAEL= 5685 mg/kg bw/day based on no effects at the highest dose in rats RA from UV-320 | LOAEL= 0.5, 2.5 mg/kg bw/day based on blood and liver effects in male rats | NOAEL= 29.6, 32.2 mg/kg bw/day (male, female) based on weight loss in female dogs | N/A | NOAEL= 3000 mg/kg bw/day based on no effects up to the highest dose in rats No NOAEL was identified based on liver weight changes and hiostopathologcal lesions at 26 or 25.9 mg/kg bw/day in rats NOAEL= 2.5 mg/kg bw/day based on liver weight changes and hiostopathologcal lesions at 15 mg/kg bw/day liver in rats |
| Chronic (mg/kg bw/day) | See carcinogenicity | N/A RA from UV-320 | NOAEL = 0.1, 2.5 (male, female) based on blood and liver effects in male rats | See carcinogenicity | N/A | N/A |
| Carcinogenicity | NOAEL= 62-64 mg/kg bw/day (females, males) based on no effects at the highest dose in mice LOAEL=142-169 mg/kg bw/day (males, females) based on decreased bw gain (in males) and food consumption (in females) in rats | N/A RA from drometrizole and UV-326 | N/A RA from drometrizole and UV-326 | NOAEL= 59, 62 mg/kg bw/day (females, males) based on no effects up to the highest dose in mice | N/A | N/A RA from drometrizole and UV-326 |
| Genotoxicity | Ames, micronucleated erythrocytes, chromosomal aberrations: (-) | Ames, CA, e.coli, mammalian cell gene mutation: (-) | Ames (bacterial and ecoli), CA: (-) | Ames, CA, comet, Micronucleus, Nucleus anomaly: (-) RNA synthesis inhibition: (+) | N/A | Ames, Autoradiographic DNA repair, Nucleus anomaly, sister chromatid exchange, CA: (-) |
| Reproductive/ Developmental Toxicity (mg/kg bw/day) | Developmental NOAEL = 1000 based on no effects at the highest dose in rats and mice Reproductive/ developmental NOAEL= 300 mg/kg bw/day based on no effects at the highest dose in rats | N/A RA from drometrizole, UV-326, UV-350, and UV-234 | N/A RA from drometrizole, UV-326, UV-350, and UV-234 | Developmental NOAEL= 3000 mg/kg bw/day based on no effects at the highest dose in rats Developmental NOAEL= 1000 mg/kg bw/day based on incomplete ossification in mice Reproductive NOAEL=1000 mg/kg bw/day based on no effects at the highest dose in rats | Reproductive/ developmental NOAEL= 12.5 mg/kg bw/day based on no effects up to the highest dose in rats NOAEL= 100 mg/kg bw/day based on no effects up to the highest dose in rats | Developmental NOAEL= 300 mg/kg bw/day based on reduction of body weight and an increase in delayed skeletal maturation in the foetuses in the absence of maternal toxicity in rats RA from drometrizole, UV-326, and UV-350 |
Abbreviations: RA, read-across
aUnless otherwise specified, data were retrieved from ECHA (2017), EPI Suite (c2000-2012), or previous sections of this report.
b Data presented in this table is used to fill in data gaps for substances where there was a paucity of data. This table is for comparison of the data available for each substance by endpoint.
c As cited in screening assessment of BDTP (ECCC, HC 2016b).
| Common name and/or CAS RN | Benzotriazole 95-14-7 | Tolyltriazole 29385-43-1 | 80595-74-0 | 94270-86-7 |
|---|---|---|---|---|
| Structure | ![]() | ![]() | ![]() | ![]() |
| MW (g/mol) | 119.13 | 133.15 | 386.63 | 386.63 |
| Vapour pressure (Pa) | 0.00328 | 14 | 4.34 x 10-7 | 4.34 x 10-7 |
| Water solubility (mg/L) | 19800 | 4049 | 0.01175 | 0.01175 |
| Log Kow | 1.44 | 1.71 | 7.62 | 7.62 |
| Short-term/ subchronic (mg/kg bw/day) | NOAEL= 30 mg/kg bw/day based on kidney effects in adult females in rats | NOAEL= 150 mg/kg bw/day based on reduced levels of erythrocytes, haemoglobin and hematocrit in males, a decrease in plasma proteins and an increase in the activities of ALT and AST in males and females in rats | N/A RA from 94270-86-7 | NOAEL= 45 mg/kg bw/day was based on changes in organs of the lymphatic system in rats |
| Chronic (mg/kg bw/day) | LOAEL= 335 mg/kg bw/day based on non-cancer effects observed in various organs and tissues in rats | N/A RA from benzotriazole | N/A | N/A |
| Carcinogenicity | LOAEL= 335 mg/kg bw/day based on neoplasms observed in various organs and tissues in rats | N/A RA from benzotriazole | N/A | N/A |
| Genotoxicity | Ames, Microsome, CA, Sister chrom: (+) DNA damage/ SS chrometest, micronucleus: (-) | Ames: (-, +) Micronucleus: (-) mouse lymphoma: (+) | N/A | N/A |
| Reproductive/ Developmental Toxicity (mg/kg bw/day) | NOAEL= 300 mg/kg bw/day due to no effects at the highest dose in rats | N/A RA from benzotriazole | N/A RA from 94270-86-7 | Developmental NOAEL= 45 mg/kg bw/day based on reduced litter size in rats Reproductive NOAEL= 150 mg/kg bw/day based on no effects at the highest dose in rats |
Abbreviations: RA, read-across
a Unless otherwise specified, data were retrieved from ECHA (2017), EPI Suite (c2000-2012), or previous sections of this report.
b Data presented in this table is used to fill in data gaps for substances where there was a paucity of data. This table is for comparison of the data available for each substance by endpoint.
| Common name and CAS RN | TBBS 95-31-8 | CBS 95-33-0 | MBTS 120-78-5 | MBT 149-30-4 | SMBT 2492-26-4 | DCBS 4979-32-2 |
|---|---|---|---|---|---|---|
| Structure | ![]() | ![]() | ![]() | ![]() | ![]() | ![]() |
| MW (g/mol) | 238.37 | 264.41 | 332.47 | 167.24 | 189.23 | 346.59 |
| Vapour pressure (Pa) | 6.12 x 10-5 | <4.53 x 10-5 | 8.28 × 10-8 | 2.60 × 10-8 | 2.60 × 10-8 | <1 x 10-5 |
| Water solubility (mg/L) | 1.23 | 0.32 | <0.05 | 118 | 118 | 0.0019 |
| LogKow | 4.67 | 5.0 | 4.21 | 2.41 | -0.48 | 5.5 |
| Short-term/ subchronic (mg/kg bw/day) | LOAEL = 40 mg/kg bw/day based on increases in eosinophilic bodies in male rats | NOAEL = 80 mg/kg bw/day based on kidney effects in rats at higher dose (250 mg/kg bw/day) | N/A RA from MBT (chronic/ subchronic) for oral DNEL (NOAEL) = 62.7 mg/kg bw/day based on reduced body weight and increased liver weight RA from SMBT for dermal NOAEL (dermal) = 200 mg/kg bw/day based on increased liver weight at the higher dose in rats | LOAEL = 188 mg/kg bw/day based on reduced body weight and increased liver weight DNEL = 62.7 mg/kg bw/day based on reduced body weight and increased liver weight RA from SMBT for dermal NOAEL (dermal) = 200 mg/kg bw/day based on increased liver weight at the higher dose in rats | NOAEL (dermal) = 200 mg/kg bw/day based on increased liver weight at the higher dose in rats | NOAEL= 25 mg/kg bw/day based on decreased locomotor activity in females, hyaline droplets in the renal tubular epithelia in male rats and fatty degeneration of the renal renal tubular epithelia in female rats at the higher dose |
| Chronic (mg/kg bw/day) | N/A | N/A | N/A | DNEL = 62.7 mg/kg bw/day based on reduced body weight and increased liver weight | N/A | N/A |
| Carcinogenicity | RA from MBT IARC 2A carcinogen; carcinogenic effects found in rats, not in male mice, but equivocal in female mice; bladder cancer in exposed male workers. Cancer slope factor: 6.34 x 10-4 (mg/kg-day)-1 | RA from MBT IARC 2A carcinogen; carcinogenic effects found in rats, not in male mice, but equivocal in female mice; bladder cancer in exposed male workers. Cancer slope factor: 6.34 x 10-4 (mg/kg-day)-1 | RA from MBT IARC 2A carcinogen; carcinogenic effects found in rats, not in male mice, but equivocal in female mice; bladder cancer in exposed male workers. Cancer slope factor: 6.34 x 10-4 (mg/kg-day)-1 | IARC 2A carcinogen; carcinogenic effects found in rats, not in male mice, but equivocal in female mice; bladder cancer in exposed male workers. Cancer slope factor: 6.34 x 10-4 (mg/kg-day)-1 | RA from MBT IARC 2A carcinogen; carcinogenic effects found in rats, not in male mice, but equivocal in female mice; bladder cancer in exposed male workers. Cancer slope factor: 6.34 x 10-4 (mg/kg-day)-1 | RA from MBT IARC 2A carcinogen; carcinogenic effects found in rats, not in male mice, but equivocal in female mice; bladder cancer in exposed male workers. Cancer slope factor: 6.34 x 10-4 (mg/kg-day)-1 |
| Genotoxicity | In vitro: Ames, genmutation in mammalian cells (-) chromosomal aberrations in mammalian cells with metabolic activation (+) mouse lymphoma test with metabolic activation (+) | In vitro: Ames, mouselymphoma: (-) Chromosome aberration: (+) In vivo: no data | In vitro: Ames, chromosome aberration, gene mutation in mammalian cells: (-); mouse lymphoma test with metabolic activation: (+) In vivo: no data | In vitro: Chromosome aberrations, sister chromatic exchanges, mouse lymphoma: (+) Ames, human gastric and lung carcinoma cell lines, In vivo: DNA binding in rats : (-) | N/A | In vitro: Ames: (-) Cytogenetic effects in CHL (+) In vivo: Cytogenetic effects in bone marrow in rats: (-) |
| Reproductive/ Developmental Toxicity (mg/kg bw/day) | No reproductive and developmental effects were found for TBBS | Reproductive NOAEL = 218 mg/kg bw/day based on testicular effects in rats exposed to CHA, the hydrolysis product of CBS No developmental effects were found for CBS. | Maternal NOEL = 127 mg/kg bw/day based on decreased maternal body weight gain in rats No developmental toxicity was found RA from MBT for reproductive toxicity Reproductive NOEL= 15 000 ppm (745-1328 mg/kg bw/day), the highest dose tested | Reproductive NOEL = 15000 ppm (745-1328 mg/kg bw/day), the highest dose tested Developmental NOEL = 300 mg/kg bw/day, the highest dose tested | N/A | Reproductive/ Developmental NOAEL = 100 mg/kg bw/day based on decreased number of corpus lutea accompanied with decreases in the number of implantation sites and litter size at the higher dose |
Abbreviations: RA, read-across
a Unless otherwise specified, data were retrieved from ECHA (2017), EPI Suite (c2000-2012), or previous sections of this report.
b Data presented in this table is used to fill in data gaps for substances where there was a paucity of data. This table is for comparison of the data available for each substance by endpoint.
Appendix B. The Ecological Risk Classification of organic substances (ERC) approach
The ecological risk classification of organic substances (ERC) is a risk-based approach that considers multiple metrics for both hazard and exposure, on the basis of weighted consideration of multiple lines of evidence for determining risk classification. The various lines of evidence are combined to discriminate between substances of lower or higher potency and lower or higher potential for exposure in various media. This approach reduces the overall uncertainty with risk characterization compared to an approach that relies on a single metric in a single medium (e.g., median lethal concentration [LC50]) for characterization. The following summarizes the approach, which is described in detail in ECCC (2016).
Data on physical-chemical properties, fate (chemical half-lives in various media and biota, partition coefficients, and fish bioconcentration), acute fish ecotoxicity, and chemical import or manufacture volume in Canada were collected from the scientific literature, available empirical databases (e.g., OECD QSAR Toolbox 2016), and from responses to surveys conducted under section 71 of CEPA, or they were generated using selected (quantitative) structure-activity relationship ([Q]SAR) or mass-balance fate and bioaccumulation models. These data were used as inputs to other mass-balance models or to complete the substance hazard and exposure profiles.
Hazard profiles were based principally on metrics regarding mode of toxic action, chemical reactivity, food web-derived internal toxicity thresholds, bioavailability, and chemical and biological activity. Exposure profiles were also based on multiple metrics, including potential emission rate, overall persistence, and long-range transport potential. Hazard and exposure profiles were compared to decision criteria to classify the hazard and exposure potentials for each organic substance as low, moderate, or high. Additional rules were applied (e.g., classification consistency, margin of exposure) to refine the preliminary classifications of hazard or exposure.
A risk matrix was used to assign a low, moderate, or high classification of potential risk for each substance on the basis of its hazard and exposure classifications. ERC classifications of potential risk were verified using a two-step approach. The first step adjusted the risk classification outcomes from moderate or high, to low for substances that had a low estimated rate of emission to water after wastewater treatment, representing a low potential for exposure. The second step reviewed low risk potential classification outcomes using relatively conservative, local-scale (i.e., in the area immediately surrounding a point-source of discharge) risk scenarios, designed to be protective of the environment, to determine whether the classification of potential risk should be increased.
ERC uses a weighted approach to minimize the potential for both over and under classification of hazard and exposure and subsequent risk. The balanced approaches for dealing with uncertainties are described in greater detail in ECCC (2016). The following describes two of the more substantial areas of uncertainty. Error with empirical or modelled acute toxicity values could result in changes in classification of hazard, particularly metrics relying on tissue residue values (i.e., mode of toxic action), many of which are predicted values from QSAR models. However, the impact of this error is mitigated by the fact that overestimation of median lethality will result in a conservative (protective) tissue residue value used for critical body residue (CBR) analysis. Error with underestimation of acute toxicity will be mitigated through the use of other hazard metrics such as structural profiling of mode of action, reactivity and/or estrogen binding affinity. Changes or errors in chemical quantity could result in differences in classification of exposure as the exposure and risk classifications are highly sensitive to emission rate and use quantity. The ERC classifications thus reflect exposure and risk in Canada based on what is believed to be the current use quantity and may not reflect future trends.
Appendix C. Estimated human exposures to substances in the Benzotriazoles and Benzothiazoles Group
Exposure estimates for products available to consumers were estimated on the basis of the default body weights, i.e., 7.5 kg of an infant, 15.5 kg of a toddler, 31.0 kg of a child, 59.4 kg of a teenager, 70.9 kg of an adult, and 72.0 kg of a senior (Health Canada 1998), and anticipated use patterns. Molecular weight and vapour pressure values were used to generate inhalation estimates. Dermal absorption is conservatively assumed to be 100%.
Lifetime average daily dose (LADD) and age dependent adjustment factors (ADAFs):
The LADD was calculated to estimate the potential cancer risk from daily exposure to MBT, MBTS, SMBT, DCBS, & CBS from environmental media, food, rubber granulates, and soothers. The assumptions and equation are provided below (Health Canada 2013):
DSE: daily systemic exposure
Average lifetime (AL): 80 years
Age group durations (AD): 0.5 years for infants (0 to 6 months), 4.5 years for toddlers (0.5 to 4 years), 7 years for children (5 to 11 years), 8 years for teens (12 to 19 years) and 60 years for adults (20+ years) (Health Canada 1998)
LADD = [[(DSEinfant x ADinfant) + (DSEtoddler x ADtoddler) + (DSEchild x ADchild) + (DSEteen x ADteen) + (DSEadult x ADadult)] / [AL]
The following age dependent adjustment factors were applied to the exposure estimates for the determination of cancer risk for each age group:
10 for infants (0 to 6 months), 5 for toddlers (0.5 to 4 years), 3 for children (5 to 11 years), 2 for teens (12 to 19 years) and 1 for adults (20+ years) (Health Canada 2013).
| Product scenario | Assumptions |
|---|---|
Aerosol protective removable paint for cars | For dermal exposure estimate: Contact rate: 100 mg/min (RIVM 2007) Release duration: 15 minutes (RIVM 2007) Concentration × Contact rate × Release duration / Body weight × Unit conversion For inhalation exposure estimate, default parameters for spray model, spray painting product, spray can (ConsExpo Web 2016) were used unless noted otherwise: Spray duration: 15 minutes (RIVM 2007) Exposure duration: 20 minutes (RIVM 2007) Room volume: 34 m3 (RIVM 2007) Room height: 2.25 m (RIVM 2007) Ventilation rate: 1.5 per hour (RIVM 2007) Inhalation rate: 16.2 m3/day (Health Canada 1998) Mass generation rate: 0.45 g/s (RIVM 2007) Airborne fraction: 0.7 (RIVM 2007) Density non-volatile: 1.5 g/cm3 (RIVM 2007) Inhalation cut off diameter: 15 µm (RIVM 2007) |
Automotive radiator water pump, Cooling system repair, and Power steering/Hydraulic oil | For dermal exposure estimate: Film thickness retained on skin: 0.01588 cm (Versar 1986) Surface area: 12 cm2 (This represents the surface area of 2 fingers and 2 thumbs for adult.) Uptake fraction: 1 (This assumes that there is complete uptake of the product) Concentration × Film thickness retained on skin × Surface area × Density / Body weight × Unit conversion |
Block of soap | For dermal exposure estimate: Product amount: 1.1 g (for adult), 0.92 g (for teenager), 0.53 g (for child), 0.31 g (for toddler), 0.19 g (for infant) (Ficheux et al. 2016) Retention factor: 0.01 (SDA 2010) Frequency: 1.2/day (for adult, teenager, child, and toddler), 1.1/day (for infant) (Ficheux et al. 2015) Concentration × Product amount × Retention factor × (Frequency)* / Body weight × Unit conversion *Frequency is included in the daily exposure estimate and not included in the per event exposure estimate |
Lip and cheek tint | Contact with lip: Product amount: 0.01 g for teenager and adult (Loretz et al. 2005) Frequency: 2.35/day for teenager and adult (Loretz et al. 2005) Concentration × Product amount × (Frequency)* / Body weight × Unit conversion Contact with cheek: Product amount: 0.54 g for teenager and adult (based on face make-up defaults) (Loretz et al. 2005) Frequency: 1.24/day for teenager and adult (based on face make-up defaults) (Loretz 2006) Concentration × Product amount × (Frequency)* / Body weight × Unit conversion Total exposure estimate = Exposure estimate from contact with lip + Exposure estimate from contact with cheek *Frequency is included in the daily exposure estimate and not included in the per event exposure estimate |
Lip gloss | For oral exposure estimate: Product amount: 0.01 g for toddler, child, teenager, and adult (Loretz et al. 2005) Frequency: 2.35/day for teenager and adult, 0.89/day for child, and 0.58/day for toddler (Loretz et al. 2005) Concentration × Product amount × (Frequency)* / Body weight × Unit conversion *Frequency is included in the daily exposure estimate when frequency is greater than 1 and frequency is not included in the per event exposure estimate |
Liquid impression pena | For oral or dermal exposure estimate: For the per event exposure calculations,b the estimated amount of ink per exposure is 50 mg (Hansen et al. 2008). The fraction absorbed is conservatively assumed to be 1. Concentration × Amount of ink per exposure × Fraction absorbed / Body weight For the daily exposure calculations,c the ink laydown rate of 100 µg/cm and 25 cm of ink line per day is assumed (personal communication from the Art & Creative Materials Institute (ACMI), Duke University, to Health Canada, 2009; unreferenced). Both hand-to-mouth and object-to-mouth exposures are accounted for in the estimate of daily exposure. Concentration × Ink laydown rate × Ink line per day / Body weight × Unit conversion |
Nail products (nail enhancement product and nail gel polish and nail glue) | For dermal exposure estimate: Product amount: 0.16 g for teenager and adult, 0.06 g for toddler and child Concentration × Product amount / Body weight × Unit conversion |
Rubber granulates | For oral exposure estimate: Amount ingested per event: 0.2 g for toddler and child (RIVM 2017) Concentration × Amount ingested* per event / Body weight × Unit conversion For dermal exposure estimate: Skin contact per event: 1 g for toddler; 10 g for child (ECHA 2017; RIVM 2017) Concentration × Skin contact* per event / Body weight × Unit conversion *Assumed total amount of substance comes in contact with skin or enters gastro-intestinal juices (RIVM 2017) For the daily exposure calculations, it is conservatively assumed that the per event exposure occurs on a daily basis. |
Rubber soother | For oral exposure estimate: Product weight: 0.045 kgd Fraction of product surface that is mouthed: 0.5 (Lassen et al. 2011 as cited in EFSA 2015) Fraction of day that product is mouthed: 0.2 for infant; 0.32 for toddler (Juberg et al. 2001 as cited in EFSA 2015) Concentration × Amount ingested per day × Fraction of product surface that is mouthed × Fraction of the day that product is mouthed / Body weight × Unit conversion |
a The particular product (SDS 2017) does not appear to be marketed towards children. However, to be protective, the potential for non-target use by toddlers could not be precluded.
b Per event exposure is representative of potential scenarios that could occur in one day (e.g., toddlers drawing on their skin or putting a pen in their mouth), but would not necessarily be expected to occur on a daily basis. Due to this difference, the per event exposure estimates are higher than daily exposure estimates.
c ACMI reported that an individual may be exposed to an estimated 25 cm of ink line per day, through skin contact or incidental mouthing.
d Weight of soother from examining product weights based on product labels
Appendix D. Estimates of daily intake by various age groups within the general population of Canada
Assumptions for various age groups within the general population of Canada:
- 0–6 months: Infant assumed to weigh 7.5 kg, to breathe 2.1 m3 of air per day, to drink 0.8 L of water per day (formula fed) or 0.3 L/day (not formula fed), respectively (Health Canada 1998).
- For breast milk-fed infants:
Consumption: 0.742 L of breast milk per day (Health Canada 1998) where breast milk is assumed to be the only dietary source
Lipid adjustment: 4% lipid (average lipid concentration in breast milk)
Density: 1.03 g/ml (density of breast milk)
Oral exposure from breast milk = Concentration (in ng/g lw) × Consumption × Lipid adjustment × Density / Body weight × Unit conversion
- For breast milk-fed infants:
- 0.5–4 year: Toddler assumed to weigh 15.5 kg, to breathe 9.3 m3 of air per day, to drink 0.7 L of water per day (Health Canada 1998).
- 5–11 year: Child assumed to weigh 31.0 kg, to breathe 14.5 m3 of air per day, to drink 1.1 L of water per day (Health Canada 1998).
- 12–19 year: Teenager assumed to weigh 59.4 kg, to breathe 15.8 m3 of air per day, to drink 1.2 L of water per day (Health Canada 1998).
- 20–59 year: Adult assumed to weigh 70.9 kg, to breathe 16.2 m3 of air per day, to drink 1.5 L of water per day (Health Canada 1998).
- 60+ year: Senior assumed to weigh 72.0 kg, to breathe 14.3 m3 of air per day, to drink 1.6 L of water per day (Health Canada 1998).
| Route of exposure | 0–6 months (breast milk fed) | 0–6 months (formula fed) | 0–6 months (not formula fed) | 0.5–4 year | 5–11 year | 12–19 year | 20–59 year | 60+ year |
|---|---|---|---|---|---|---|---|---|
| Air | 4.1×10-6 | 4.1×10-6 | 4.1×10-6 | 8.7×10-6 | 6.8×10-6 | 3.9×10-6 | 3.3×10-6 | 2.9×10-6 |
| Food | N/A | N/A | N/A | 2.8×10-5 | 2.6×10-5 | 1.1×10-5 | 8.6×10-6 | 8.6×10-6 |
| Total intake | 4.1×10-6 | 4.1×10-6 | 4.1×10-6 | 3.7×10-5 | 3.3×10-5 | 1.5×10-5 | 1.2×10-5 | 1.2×10-5 |
Abbreviations: N/A, Not Applicable
| Route of exposure | 0–6 months (breast milk fed) | 0–6 months (formula fed) | 0–6 months (not formula fed) | 0.5–4 year | 5–11 year | 12–19 year | 20–59 year | 60+ year |
|---|---|---|---|---|---|---|---|---|
| Food | 1.8 ×10-5 | N/A | N/A | 2.50 ×10-4 | 2.32 ×10-4 | 9.65 ×10-5 | 7.71 ×10-5 | 7.71 ×10-5 |
| Total intake | 1.8 ×10-5 | N/A | N/A | 2.50 ×10-4 | 2.32 ×10-4 | 9.65 ×10-5 | 7.71 ×10-5 | 7.71 ×10-5 |
Abbreviations: N/A, Not Applicable
| Route of exposure | 0–6 months (breast milk fed) | 0–6 months (formula fed) | 0–6 months (not formula fed) | 0.5–4 year | 5–11 year | 12–19 year | 20–59 year | 60+ year |
|---|---|---|---|---|---|---|---|---|
| Drinking water | N/A | 9.0×10-6 | 9.0×10-6 | 3.8×10-6 | 3.0×10-6 | 1.7×10-6 | 1.8×10-6 | 1.9×10-6 |
| Food | 9.4 ×10-5 | N/A | N/A | 6.17 ×10-5 | 5.72 ×10-5 | 2.38 ×10-5 | 1.90 ×10-5 | 1.90 ×10-5 |
| Total intake | 9.4 ×10-5 | 9.0×10-6 | 9.0×10-6 | 6.6 ×10-5 | 6.0 ×10-5 | 2.6 ×10-5 | 2.1 ×10-5 | 2.1 ×10-5 |
Abbreviations: N/A, Not Applicable
| Route of exposure | 0–6 months (breast milk fed) | 0–6 months (formula fed) | 0–6 months (not formula fed) | 0.5–4 year | 5–11 year | 12–19 year | 20–59 year | 60+ year |
|---|---|---|---|---|---|---|---|---|
| Air | 2.8×10-6 | 2.8×10-6 | 2.8×10-6 | 6.0×10-6 | 4.7×10-6 | 2.7×10-6 | 2.3×10-6 | Negligible |
| Food | N/A | N/A | N/A | 3.0 ×10-5 | 2.8 ×10-5 | 1.1 ×10-5 | 9.2 ×10-6 | 9.2 ×10-6 |
| Total intake | 2.8×10-6 | 2.8 ×10-6 | 2.8 ×10-6 | 3.6×10-5 | 3.3×10-5 | 1.4×10-5 | 1.2×10-5 | 9.2×10-6 |
Abbreviations: N/A, Not Applicable
| Route of exposure | 0–6 months (breast milk fed) | 0–6 months (formula fed) | 0–6 months (not formula fed) | 0.5–4 year | 5–11 year | 12–19 year | 20–59 year | 60+ year |
|---|---|---|---|---|---|---|---|---|
| Food | Negligible | N/A | N/A | 4.9 ×10-4 | 4.5 ×10-4 | 1.9 ×10-4 | 1.5 ×10-4 | 1.5 ×10-4 |
| Total intake | Negligible | N/A | N/A | 4.9 ×10-4 | 4.5 ×10-4 | 1.9 ×10-4 | 1.5 ×10-4 | 1.5 ×10-4 |
Abbreviations: N/A, Not Applicable
| Route of exposure | 0–6 months (breast milk fed) | 0–6 months (formula fed) | 0–6 months (not formula fed) | 0.5–4 year | 5–11 year | 12–19 year | 20–59 year | 60+ year |
|---|---|---|---|---|---|---|---|---|
| Drinking water | N/A | 1.5 ×10-3 | 1.5 ×10-3 | 6.2 ×10-4 | 4.9 ×10-4 | 2.8 ×10-4 | 2.9 ×10-4 | 3.0 ×10-4 |
| Total intake | N/A | 1.5 ×10-3 | 1.5 ×10-3 | 6.2 ×10-4 | 4.9 ×10-4 | 2.8 ×10-4 | 2.9 ×10-4 | 3.0 ×10-4 |
Abbreviations: N/A, Not Applicable
| Route of exposure | 0–6 months (breast milk fed) | 0–6 months (formula fed) | 0–6 months (not formula fed) | 0.5–4 year | 5–11 year | 12–19 year | 20–59 year | 60+ year |
|---|---|---|---|---|---|---|---|---|
| Drinking water | N/A | 1.5 ×10-3 | 1.5 ×10-3 | 6.2 ×10-4 | 4.9 ×10-4 | 2.8 ×10-4 | 2.9 ×10-4 | 3.0 ×10-4 |
| Food | N/A | N/A | N/A | 1.1 ×10-3 | 1.0 ×10-3 | 4.4 ×10-4 | 3.5 ×10-4 | 3.5 ×10-4 |
| Total intake | N/A | 1.5 ×10-3 | 1.5 ×10-3 | 1.7 ×10-3 | 1.5 ×10-3 | 7.2 ×10-4 | 6.4 ×10-4 | 6.5 ×10-4 |
Abbreviations: N/A, Not Applicable
| Route of exposure | 0–6 months (breast milk fed) | 0–6 months (formula fed) | 0–6 months (not formula fed) | 0.5–4 year | 5–11 year | 12–19 year | 20–59 year | 60+ year |
|---|---|---|---|---|---|---|---|---|
| Drinking water | N/A | 1.5 ×10-3 | 1.5 ×10-3 | 6.2 ×10-4 | 4.9 ×10-4 | 2.8 ×10-4 | 2.9 ×10-4 | 3.0 ×10-4 |
| Food | N/A | N/A | N/A | 4.0 ×10-5 | 3.7 ×10-5 | 1.5 ×10-5 | 1.2 ×10-5 | 1.2 ×10-5 |
| Total intake | N/A | 1.5 ×10-3 | 1.5 ×10-3 | 6.6 ×10-4 | 5.2 ×10-4 | 2.9 ×10-4 | 3.0 ×10-4 | 3.2 ×10-4 |
Abbreviations: N/A, Not Applicable
Appendix E. Measured water concentrations for substances in the Benzotriazoles subgroup
| Reference (location) | Minimum concentration | Maximum concentration | Average or median concentration | Water type |
|---|---|---|---|---|
| Breedveld et al. 2003 (Norway) | 1.2 | 1100 | NR | Groundwater |
| Cancilla et al. 1998 (United States) | NR | 126000 | NR | Groundwater |
| Carpinteiro et al. 2012 (Spain) | NR | 0.74 | 1.02 | Wastewater |
| Diaz-Cruz et al. 2019 (Greece) | Approximately 0.025 | Approximately 0.7 | NR | Surface |
| EMPODAT 2013 (Netherlands) | 0.03 | 5.3 | NR | Surface |
| Esteban et al. 2014a (Spain) | 0.097 | 1.184 | NR | Surface |
| Esteban et al. 2014b (Spain) | 0.0004 | 0.02 | NR | Drinking water |
| Esteban et al. 2016 (Antarctica) | <0.00007 | 0.01171 | NR | Surface |
| Esteban et al. 2016 (Antarctica) | 0 | 0.172 | NR | Wastewater |
| EU Waterbase- rivers (Switzerland) | 0.005 | 0.405 | NR | Surface |
| Giger et al. 2006 (Switzerland) | 0.16 | 5.44 | NR | Surface |
| Giger et al. 2006 (Switzerland) | 0.22 | 0.4 | NR | Surface |
| Giger et al. 2006 (Switzerland) | 0.21 | 0.45 | 0.37 | Surface |
| Giger et al. 2006 (Switzerland) | 0.73 | 1.47 | 1.12 | Surface |
| Giger et al. 2006 (Switzerland) | 0.32 | 2.86 | 1.36 | Surface |
| Giger et al. 2006 (Switzerland) | 0.06 | 1.38 | 0.23 | Surface |
| Giger et al. 2006 (Switzerland) | 0.12 | 0.51 | NR | Surface |
| Herzog et al. 2015 (Germany) | 0.64 | 3.57 | NR | Wastewater |
| Janna et al. 2011 (United Kingdom) | NR | NR | 0.224 | Surface |
| Janna et al. 2011 (United Kingdom) | 0.0006 | 0.0794 | 0.0309 | Drinking water |
| Janna et al. 2011 (United Kingdom) | 0.84 | 3.605 | NR | Wastewater |
| Jover et al. 2009 (Spain) | NR | 0.131 | NR | Wastewater |
| Jover et al. 2009 (Spain) | NR | 0.24 | NR | Surface |
| Kazner 2011 (Germany) | NR | 9.03 | NR | Wastewater |
| Kiss and Fries 2009 (Germany) | 0.038 | 1.474 | NR | Surface |
| Loos et al. 2009 (Italy) | NR | 7.997 | 0.493 | Surface |
| Loos et al. 2013 (Italy) | 0.002927 | 0.009203 | NR | Surface |
| Loos et al. 2013 (Italy) | NR | 0.00375 | NR | Surface |
| Lowenberg et al. 2014 (Switzerland) | 2700 | 6000 | NR | Wastewater |
| Mandaric et al. 2017 (Italy) | 0.02205 | 0.0847 | NR | Surface |
| Molins-Delgado et al. 2015 (Spain) | 0.0267 | 4.38 | NR | Wastewater effluent |
| Molins-Delgado et al. 2017 (Spain) | 0.025 | 8.5298 | NR | Surface |
| Molins-Delgado et al. 2017 (Spain) | 1.0841 | 16.9331 | NR | Wastewater |
| Ostman et al. 2017 (Sweden) | 0.19 | 24.61 | 2.28 | Wastewater |
| Ostman et al. 2017 (Sweden) | 0.037 | 13 | 0.29 | Wastewater |
| Peng et al. 2018 (China) | 0.0738 | 18.3026 | 2.4747 | Surface |
| Reemtsma et al. 2006 (Europe) | NR | NR | 7.3 | Wastewater |
| Reemtsma et al. 2010 (Germany) | < 0.05 | 1.57 | NR | Surface |
| Reemtsma et al. 2010 (Germany) | 17 | 44 | NR | Wastewater |
| RIVM report appendix 3 (Europe) | NR | 1.4 | 0.49 | Surface |
| RIVM report appendix 3 (Netherlands) | 0.097 | 0.54 | NR | Surface |
| RIVM report appendix 3 (Netherlands) | 0.041 | 1.1 | NR | Surface |
| RIVM report appendix 3 (Netherlands) | 0.15 | 0.97 | NR | Surface |
| RIVM report appendix 3 (Netherlands) | 0.29 | 0.81 | NR | Surface |
| Kase et al. 2011 (Switzerland) | NR | 2.99 | 1.23 | Surface |
| Kase et al. 2011 (Switzerland) | NR | 17.3 | 12.881 | Wastewater |
| Ryu et al. 2014 (South Korea) | NR | 0.088 | NR | Wastewater |
| Schriks et al. 2010 (Netherlands) | NR | 0.54 | NR | Surface |
| Schriks et al. 2010 (Netherlands) | NR | 0.2 | NR | Drinking water |
| Valcarcel et al. 2018 (Spain) | ≤0.00247 | 0.01503 | NR | Drinking water |
| Valls-Cantenys et al. 2016 (Germany) | 0.045 | 25.3 | 1.715 | Surface water |
| Valls-Cantenys et al. 2016 (Germany) | 0.506 | 57.9 | 16.8 | Wastewater |
| Valls-Cantenys et al. 2016 (Germany) | 1.338 | 21.5 | 8.7 | Wastewater |
| van Leerdam et al. 2009 (Netherlands) | NR | 0.2 | NR | Drinking water |
| van Leerdam et al. 2009 (Netherlands) | NR | 8 | NR | Wastewater |
| Voutsa et al. 2006 (Switzerland) | 11 | 100 | NR | Wastewater |
| Voutsa et al. 2006 (Switzerland) | 0.636 | 3.69 | NR | Surface |
| Wang et al. 2016 (China) | NR | 0.227 | NR | Drinking water |
| Wang et al. 2016 (China) | NR | 0.227 | NR | Surface |
| Wang et al. 2016 (China) | NR | 0.0138 | NR | Groundwater |
| Weiss and Reemtsma 2005 (Germany) | NR | NR | 11.9 | Wastewater |
| Weiss and Reemtsma 2005 (Germany) | NR | NR | 9.6 | Wastewater |
| Weiss and Reemtsma 2005 (Germany) | NR | NR | 0.9 | Surface |
| Weiss and Reemtsma 2005 (Germany) | NR | NR | 3.4 | Surface |
| Weiss and Reemtsma 2005 (Germany) | NR | NR | 0.2 | Groundwater |
| Weiss and Reemtsma 2005 (Germany) | NR | NR | < 0.01 | Groundwater |
| Weiss et al. 2006 (Germany) | 4 | 22 | 12 | Wastewater |
| Wolschke et al. 2011 (Germany) | 0.024 | 0.39 | NR | Surface |
Abbreviation: NR, not reported
| Reference (location) | Minimum concentration | Maximum concentration | Average or median concentration | Substance description | Water type |
|---|---|---|---|---|---|
| Asimakopoulos et al. 2013a (Greece) | 0.106 | 15.841 | NR | Tolyltriazole | Wastewater |
| Breedveld et al. 2003 (Norway) | NR | NR | < 1 excluding one sample from wet-land area | Tolyltriazole | Groundwater |
| Cancilla et al. 1998 (United States) | NR | NR | 17000 | 5- Tolyltriazole | Subsurface water |
| Cancilla et al. 2003 (United States) | NR | 2160 | NR | 5-Tolyltriazole | Airport runoff |
| Cancilla et al. 2003 (United States) | NR | 1670 | NR | 4-Tolyltriazole | Airport runoff |
| Cancilla et al. 2003 (United States) | NR | < 80 | NR | 4-Tolyltriazole | Upstream site and receiving streams |
| Cancilla et al. 2003 (United States) | NR | < 80 | NR | 5-Tolyltriazole | Upstream site and receiving streams |
| Carpinteiro et al. 2012 (Spain) | NR | 0.21 | NR | Tolyltriazole | River water |
| Danish EPA 2013 (Netherlands) | 160 | 180 | NR | Tolyltriazole | Ground water |
| Diaz-Cruz et al. 2019 (Greece) | Approximately 0.025 | Approximately 0.8 | NR | 5-Tolyltriazole | Surface |
| EMPODAT 2013 (Netherlands) | 0.01 | 0.5 | NR | Tolyltriazole | Surface water |
| EMPODAT 2013 (Netherlands) | 0.01 | 0.66 | NR | Tolyltriazole | Ground water |
| EMPODAT 2013 (Netherlands) | 0.006 | 2.59 | NR | Tolyltriazole | Waste water |
| EMPODAT 2013 (Netherlands) | < LOQ | 0.37 | NR | 5-Tolyltriazole | Surface water |
| EMPODAT 2013 (Netherlands) | 1.06 | 4.9 | NR | 5-Tolyltriazole | Waste water |
| EMPODAT 2013 (Netherlands) | 0.08 | 0.66 | NR | 4-Tolyltriazole | Surface water |
| Esteban et al 2014a (Spain) | 0.272 | 1.052 | NR | Tolyltriazole | River water |
| Esteban et al. 2014b (Spain) | 0.0037 | 0.0125 | NR | Tolyltriazole | Tap water |
| Esteban et al. 2016 (Antarctica) | < 0.00001 | 0.01468 | 0.01003 | Tolyltriazole | Streams |
| Esteban et al. 2016 (Antarctica) | < 0.00001 | 0.00745 | NR | Tolyltriazole | Ponds |
| Esteban et al. 2016 (Antarctica) | 4.64761 | NR | NR | Tolyltriazole | Wastewater |
| Focazio et al. 2008 (United States) | NR | < reporting level | NR | 5-Tolyltriazole | Untreated drinking water |
| Giger et al. 2006 (Switzerland) | 0.01 | 0.91 | NR | Tolyltriazole | River water |
| Glassmeyer et al. 2017 (United States) | NR | 1.2 | 0.27 | 5-Tolyltriazole | Source water |
| Glassmeyer et al. 2005 (United States) | NR | 1.7 | NR | 5-Tolytriazole | Wastewater |
| Glassmeyer et al. 2017 (United States) | NR | 0.247 | 0.134 | 5-Tolyltriazole | Drinking water |
| Gorga et al. 2015 (Spain) | ND | 7.018 | NR | Tolyltriazole | River water |
| Janna et al. 2011 (United Kingdom) | < 0.0005 | 0.0698 | 0.0151 | Tolyltriazole | Tap water |
| Jover et al. 2009 (Spain) | NR | NR | 0.925 | 5-Tolyltriazole | River water |
| Jover et al. 2009 (Spain) | NR | NR | 1.561 | 5-Tolyltriazole | River water |
| Jover et al. 2009 (Spain) | NR | NR | ND | 5-Tolyltriazole and 4-Tolyltriazole | Wastewater |
| Kiss and Fries 2009 (Germany) | 0.025 | 0.281 | 0.063 (Main) and 0.095 (Hengstbach) | 5-Tolyltriazole | River water |
| Kiss and Fries 2009 (Germany) | 0.025 | 0.952 | 0.099 (Main) and 0.476 (Hengstbach) | 4-Tolyltriazole | River water |
| Kolpin et al. 2002 (United States) | NR | 2.4 | 0.39 | 5-Tolyltriazole | Streams |
| Lai et al. 2018 (Taiwan) | 0.0004 | 0.0119 | NR | Tolyltriazole | Aquaculture |
| Loos et al. 2010 (Italy) | NR | 0.516 | 0.02 | Tolyltriazole | Ground water |
| Loos et al. 2013a (Italy) | NR | 24.3 | 2.9 | Tolyltriazole | Wastewater |
| Loos et al. 2013b (Italy) | 0.003112 | 0.0185 | NR | Tolyltriazole | Sea water |
| Molins-Delgado et al. 2015 (Spain) | 0.7787 | 47.1429 | 3.1764 | 5-Tolyltriazole | Wastewater influent |
| Molins-Delgado et al. 2015 (Spain) | 0.5871 | 10.5412 | 1.7941 | 5-Tolyltriazole | Wastewater effluent |
| Molins-Delgado et al. 2017 (Spain) | 0.0669 | 7.1814 | NR | 5-Tolyltriazole | Surface |
| Molins-Delgado et al. 2017 (Spain) | 3.7285 | 6.3662 | NR | 5-Tolyltriazole | Wastewater |
| Noedler et al. 2014 (Europe and United States) | 0.01 | 0.177 | NR | Tolyltriazole | Sea water |
| Ostman et al. 2017 (Sweden) | 0.941 | 6.106 | 3.202 | 5-Tolyltriazole and 4-Tolyltriazole | Sewage water |
| Ostman et al. 2017 (Sweden) | 0.095 | 2.3 | 0.921 | 5-Tolyltriazole and 4-Tolyltriazole | Treated effluent |
| Peng et al. 2018 (China) | 0.033843 | 1.465068 | 0.33308 | 5-Tolyltriazole | Surface water |
| Reemtsma et al. 2006 (Europe) | NR | NR | 2.2 | Tolyltriazole | Wastewater |
| Reemtsma et al. 2010 (Germany) | < 0.05 | 2.14 | NR | 4-Tolyltriazole | Surface water |
| Reemtsma et al. 2010 (Germany) | < 0.05 | 0.34 | NR | 5-Tolyltriazole | Surface water |
| Kase et al. 2011 (Switzerland) | NR | 0.516 | 0.249 | 5-Tolyltriazole | Surface water |
| Kase et al. 2011 (Switzerland) | NR | 1.95 | 1.14 | 5-Tolyltriazole | Wastewater |
| Schriks et al. 2010 (Netherlands) | NR | 0.29 | NR | Tolyltriazole | Surface water |
| Stackelberg et al. 2004 (United States) | NR | ND | NR | 5-Tolyltriazole | Stream, raw, and finished water |
| Valcarcel et al. 2018 (Spain) | 0.00136 | 0.05458 | NR | Tolyltriazole | Drinking water |
| Valls-Cantenys et al 2016 (Germany) | < LOD | 12.5 | 0.437 | 5-Tolyltriazole and 4-Tolyltriazole | River water |
| Valls-Cantenys et al 2016 (Germany) | 0.566 | 11.8 | 2.98 | 5-Tolyltriazole and 4-Tolyltriazole | Wastewater |
| Valls-Cantenys et al 2016 (Germany) | 0.89 | 6.15 | 1.615 | 5-Tolyltriazole and 4-Tolyltriazole | Wastewater |
| Voutsa et al. 2006 (Switzerland) | 0.122 | 0.628 | NR | Tolyltriazole | River water |
| Voutsa et al. 2006 (Switzerland) | 0.1 | 5.6 | NR | Tolyltriazole | Wastewater |
| Wang et al. 2016 (China) | < LOQ | 0.0702 | 0.0016 | Tolyltriazole | Tap water |
| Wang et al. 2016 (China) | < 0.0004 | 0.0214 | < 0.0004 | Tolyltriazole | Tap water |
| Weiss and Reemtsma 2005 (Germany) | NR | NR | 0.2 | 4-Tolyltriazole | Canal water |
| Weiss and Reemtsma 2005 (Germany) | NR | NR | 0.05 | 4-Tolyltriazole | Bank filtrate |
| Weiss and Reemtsma 2005 (Germany) | NR | NR | < 0.01 | 4-Tolyltriazole | Groundwater |
| Weiss and Reemtsma 2005 (Germany) | NR | NR | 2.2 | 4-Tolyltriazole | Waste water |
| Weiss and Reemtsma 2005 (Germany) | NR | NR | 2.1 | 4-Tolyltriazole | Waste water |
| Weiss and Reemtsma 2005 (Germany) | NR | NR | 0.2 | Tolyltriazole | Lake water |
| Weiss and Reemtsma 2005 (Germany) | NR | NR | 0.1 | 5-Tolyltriazole | Canal water |
| Weiss and Reemtsma 2005 (Germany) | NR | NR | < 0.01 | 5-Tolyltriazole | Bank filtrate |
| Weiss and Reemtsma 2005 (Germany) | NR | NR | < 0.01 | 5-Tolyltriazole | Groundwater |
| Weiss and Reemtsma 2005 (Germany) | NR | NR | 2.5 | 5-Tolyltriazole | Waste water |
| Weiss and Reemtsma 2005 (Germany) | NR | NR | 2 | 5-Tolyltriazole | Waste water |
| Weiss et al. 2006 (Germany) | NR | NR | 2.1 | 5-Tolyltriazole | Wastewater |
| Weiss et al. 2006 (Germany) | NR | NR | 1.3 | 5-Tolyltriazole | Wastewater |
| Wolschke et al. 2011 (Germany) | 0.021 | 0.454 | NR | Tolyltriazole | Surface water |
Abbreviations: NR, not reported; LOD, limit of detection; LOQ, limit of quantification; ND, not detected
| Reference (location) | Minimum concentration | Maximum concentration | Average concentration | Substance description | Water type |
|---|---|---|---|---|---|
| Lu et al. 2016a (Canada) | NR | <0.00058 | NR | UV-329 | Surface water |
| Lu et al. 2017 (Canada) | NR | 0.00854 | NR | UV-329 | Wastewater effluent |
| ECHA 2014 (Europe) | 0.00055 | 0.00094 | NR | UV-320 | Surface water |
| ECHA 2014 (Europe) | NR | 0.024 | NR | UV-320 | Wastewater |
| ECHA 2014 (Europe) | NR | 0.004 | NR | UV-320 | Waste water treatment plant effluent |
| ECHA 2014 (Europe) | NR | 0.001 | NR | UV-320 | Storm water |
| ECHA 2014 (Europe) | NR | 0.023 | NR | UV-320 | Landfill effluents |
| Lu et al. 2016a (Canada) | <0.0015 | 0.0843 | NR | UV-326 | Surface water |
| Lu et al. 2017 (Canada) | NR | 0.034 | NR | UV-326 | Wastewater effluent |
| Lu et al. 2016a (Canada) | <0.00005 | 0.00032 | NR | UV-234 | Surface water |
| Lu et al. 2017 (Canada) | NR | 0.0409 | 0.00225 | UV-234 | Wastewater effluent |
Abbreviations: NR, not reported
Appendix F. Dietary exposures to substances in the Benzotriazoles and Benzothiazoles Group
All available data on the concentrations of benzothiazoles and benzotriazoles reported in fish and seafood were considered for use in the dietary exposure assessment. Samples that were unlikely to be representative of background concentrations due to their collection downstream of expected sources of pollution (e.g., urban areas, industrial sites), and that would therefore not likely be representative of the Canadian context, were excluded. Concentrations reported on lipid or dry weight basis were converted to a wet weight basis using the lipid or moisture content as reported in the studies or, if lacking, from comparable fish and seafood species included in the Canadian Nutrient File (CNF 2015). Of the remaining available occurrence data, the maximum concentration identified for each benzothiazole and benzotriazole compound in the edible tissue of fish or seafood was conservatively assumed to represent the concentration in all fish and seafood consumed by Canadians. The concentrations of each benzotriazole and benzothiazole for which dietary exposure from fish and seafood was estimated are summarized in Table F-1.
| Substance | Concentration range (ng/g) | Maximum concentration used in the assessment (ng/g) | Food with the maximum concentration | Reference (country) |
|---|---|---|---|---|
| Benzotriazole | < 0.40 - 3.14 | 3.14 | Fisha | Li et al. 2018 (China) |
| UV-329 | 0.009 - 521.75 | 28 | Fisha | Vimalkumar et al. 2018 (India) |
| UV-326 | 0.04 - 10.6 | 6.9 | Fisha | Vimalkumar et al. 2018 (India) |
| Tolyltriazole | 0.23 - 3.35 | 3.35 | Carp | Jakimska et al. 2013 (Spain) |
| UV-234 | 0.01 - 54.26 | 54.26 | ‘Mainly perch’ | Brorström-Lundén et al. 2011 (Sweden) |
| CBS | 1.0-202.0 | 126.2 | Blue mussels | Brorström-Lundén et al. 2011 (Sweden) |
| MBT | 0.8-11.5 | 4.5 | Blue mussels | Brorström-Lundén et al. 2011 (Sweden) |
a Fish species not specified.
Appendix G. Additional hydrolysis information for substances in the benzothiazoles subgroup
Sulfenamides have a highly labile S-N bond that can be homolysed and cleaved, relatively easily (Koval 1996). Due to the polarization of the bond as well as the ability of both S and N to be active centres (for electrophilic and nucleophilic attack respectively), sulfenamides can be oxidized at either centre and the bond can also be reductively cleaved (Craine and Raban 1989). Pure sulfenamides derived from primary amines (CBS, TBBS) are more susceptible to hydrolysis than sulfenamides that are derived from secondary amines (DCBS) (Luecken and Sullivan 1980).
According to Orwig (1971), hydrolysis of sulfenamides occurs readily in aqueous or ethereal solutions in the presence of acids, but in alkaline solutions the S-N bond is more stable to hydrolysis. This is further supported by data from Yoo et al. (2013) which indicates that hydrolysis will occur within minutes in acidic conditions and within hours in neutral conditions.
The approach taken for this ecological assessment aligns with the data mentioned below. The OECD Initial Assessment Report for TBBS cites a study by METI (2000) in which TBBS undergoes rapid abiotic degradation by hydrolysis at a pH less than or equal to 7 (OECD 2003). Additional information indicates that TBBS will hydrolyze to MBT rapidly with a half-life of 7.76-9.53 hours in water at pH 7 and 25°C (ECHA c2007-2019). The OECD Initial Assessment Report for DCBS cites a study by CERI (2001) in which the chemical was hydrolyzed in water at 25°C with half-lives of 4.92 days at pH 4.0, 18.6 days at pH 7.0 and 112 days at pH 9.0 (OECD 2009c). This supports the statements by Orwig (1971) and Yoo et al. (2013) on the pH dependence of sulfenamide hydrolysis. An updated substance evaluation report on DCBS published by the European Union recalculated half-lives from an industry-submitted study and presented average half-lives of 77 hours at pH 4, 81.5 hours at pH 7, and 58 hours at pH 9 (EC 2018). In this report it is acknowledged that while hydrolysis will occur, rates are not rapid enough to prevent adsorption of DCBS to suspended material. As a worst case scenario it is assumed, for the purposes of the ecological exposure scenarios in this assessment, that hydrolysis to MBT will occur before the parent compounds sorb to suspended material.
A study from Unice et al. (2015) confirms that MBT is a transformation product of CBS. In a study by Hansson and Agrup (1993) cited in EU RAR (2008), CBS showed instability in buffer solution at pH 6.5; however, hydrolysis to MBTS and MBT was slow until the addition of a reducing agent such as glutathione or cysteine. After addition of glutathione, all CBS had disappeared within 1 hour and only MBT was present, which confirms the reductive cleavage indicated by Craine and Raban (1989). A Monsanto study described by ECHA (c2007-2019) and data presented in ChemRisk LLC (2010) also show complete hydrolysis of CBS after 24.9 hours; however, benzothiazole and 2-benzothiazolone were found as the most abundant hydrolysis products instead of MBT. The uncertainty in the hydrolysis rates of CBS and its resulting products was addressed for the purposes of the ecological exposure scenarios by assuming that only 50% of CBS hydrolyzes to MBT.
Unlike the other parent compounds, MBTS contains a disulfide bond, which will require a reductive environment to cleave. Environmental conditions vary between oxic and anoxic, where anoxic conditions (such as those found in deep sediment) create a strongly reductive environment (Søndergaard 2009). Therefore, cleavage of disulfide bonds might occur under these conditions. Additionally, study results from Monsanto (1980) cited in EU RAR (2008) indicate that under environmental conditions MBTS in aqueous solutions is hydrolyzed within a few days. Based on this information it is assumed for the purposes of this assessment that MBTS will be reduced to MBT.
In addition to the substances in the benzothiazoles subgroup, a list of other potential MBT precursors on the Domestic Substances List has been compiled (see Appendix I), and includes fourteen substances that may contribute to the release of MBT. Three substances include the MBT moiety bound through a sulfenamide bond and may release MBT due to the lability of the bond (Koval 1996); these substances include CAS RNs 95-29-4, 102-77-2 and 3741-80-8. The following five substances are salts that MBT forms with amines (CAS RNs 38456-45-0, 65605-47-2, 65605-48-3, 68911-68-2, 117920-00-0); therefore, it is expected that MBT would be bioavailable when these substances dissociate in water. Three additional MBT precursors include the salts that MBT forms with zinc, potassium and copper (CAS RNs 155-04-4, 7778-70-3, 32510-27-3) which are expected to dissociate to release MBT. There are also two substances containing the MBT moiety (CAS RNs 95-32-9, 22405-83-0) that may release MBT through the hydrolysis of a disulfide bond, which can occur under reductive environmental conditions (Søndergaard 2009). An additional MBT precursor is CAS 21564-17-0, which has MBT as its primary hydrolysis product (Brownlee et al. 1992; Reemsta et al. 1995; Rodriguez et al. 2004).
Appendix H. Additional ecological effects data
| Common name | Test organism | Endpoint (effect) | Value (mg/L) | Reference |
|---|---|---|---|---|
MBT | Zebrafish (D. rerio) | EC50 (delayed hatching) | 0.6 | Stinckens et al. 2016 |
MBT | Zebrafish (D. rerio) | 120 HPF LC50 | 6.9 | Stinckens et al. 2016 |
MBT | Zebrafish (D. rerio) | 168 HPF EC50 (inflation posterior chambers) | 3.2 | Stinckens et al. 2016 |
MBT | Zebrafish (D. rerio) | 120 HPF LC50 | 4.2 | Stinckens et al. 2016 |
MBT | Zebrafish (D. rerio) | 120 HPF EC50 (reduced eye pigment) | 0.66 | Stinckens et al. 2016 |
MBT | Zebrafish (D. rerio) | 120 HPF EC50 (reduced body pigment) | 0.56 | Stinckens et al. 2016 |
MBT | Zebrafish (D. rerio) | 120 HPF EC50 (malformed mouth) | 0.61 | Stinckens et al. 2016 |
MBT | Zebrafish (D. rerio) | 120 HPF NOEC (impaired hatching) | 0.35 | Stinckens et al. 2016 |
MBT | Algae (S. capricornutum) | 96h EC50 (chlorophyll) | 0.23 | EC 2008 |
MBT | Algae (S. capricornutum) | 96h EC50 (growth) | 0.25 | EC 2008 |
MBT | Amphibian (X. laevis) | 21-day LOEC (metamorphic development) | 0.11 | Tietge et al. 2013 |
MBT | Amphibian (X. laevis) | 21-day NOEC (metamorphic development) | 0.047 | Tietge et al. 2013 |
Abbreviations: NOEC, No observed effect concentration; LCx, Lethal concentration for x% of the population; ECx, Effect concentration for x% of the population; HPF, Hours Post Fertilization
| Common name | Test organism | Endpoint | Value (mg/kg) |
|---|---|---|---|
MBTS | Hexagenia spp. | 3 week NOEC (Survival) | >100 |
MBTS | Hexagenia spp. | 3 week NOEC (Growth) | >100 |
MBTS | Hyalella azteca | 3 week NOEC (Survival) | >100 |
MBTS | Hyalella azteca | 3 week NOEC (Growth) | >100 |
MBTS | Sludge worm (Tubifex tubifex) | 4 week NOEC (Survival) | >100 |
MBTS | Sludge worm (Tubifex tubifex) | 4 week NOEC (Cocoon production) | >100 |
MBTS | Sludge worm (Tubifex tubifex) | 4 week NOEC (Cocoon hatched) | >100 |
Abbreviations: NOEC, No observed effect concentration
a Personal communication; unpublished research data on benzothiazoles provided from the Aquatic Contaminants Research Division, ECCC to the Ecological Assessment Division, ECCC, dated April, 2018; unreferenced.
Appendix I. Non-exhaustive list of substances that are precursors to 2-mercaptobenzothiazole (MBT)
Six substances in the benzothiazoles subgroup were identified as priorities for further action during categorization. Given that the screening assessment focuses on a common moiety of concern (MBT), all of the substances on the Domestic Substances List (DSL) that include the MBT moiety were subsequently evaluated for their potential to be precursors to MBT. Fourteen substances determined to be potential precursors, in addition to those in the Benzothiazoles Subgroup, are listed in Table I-1. This conclusion is based on the MBT moiety where the other components of these substances may or may not be of concern.
| CAS RN | DSL Name |
|---|---|
| 95-29-4 | 2-Benzothiazolesulfenamide, N,N-bis(1-methylethyl)- |
| 95-32-9 | Benzothiazole, 2-(4-morpholinyldithio)- |
| 102-77-2 | Morpholine, 4-(2-benzothiazolylthio)- |
| 155-04-4 | 2(3H)-Benzothiazolethione, zinc salt |
| 3741-80-8 | 2-Benzothiazolesulfenamide, N-(2-benzothiazolylthio)-N-(1,1-dimethylethyl)- |
| 7778-70-3 | 2(3H)-Benzothiazolethione, potassium salt |
| 21564-17-0 | Thiocyanic acid, (2-benzothiazolylthio)methyl ester |
| 22405-83-0 | Zinc, dichloro[2,2’-dithiobis[benzothiazole]]-, (T-4)- |
| 32510-27-3 | 2(3H)-Benzothiazolethione, copper salt |
| 38456-45-0 | 2(3H)-Benzothiazolethione, compd. with N-ethylethanamine (1:1) |
| 65605-47-2 | 2(3H)-Benzothiazolethione, compd. with N-butyl-1-butanamine (1:1) |
| 65605-48-3 | 2(3H)-Benzothiazolethione, compd. with N,N-diethylethanamine (1:1) |
| 68911-68-2 | Amines, C12-14-tert-alkyl, compds. with 2(3H)-benzothiazolethione |
| 117920-00-0 | Amines, C16-22-tert-alkyl, compds. with 2(3H)-benzothiazolethione (1:1) |
Therefore, MBT and its precursors (i.e., the six substances in the benzothiazoles subgroup and the fourteen potential precursors listed in Table I-1) include MBT, its salts, and compounds containing MBT bonded to any chemical moiety through disulfide or sulfenamide bonds or bonded with methyl ester thiocyanic acid.

C6H5N3
C20H25N3O
C20H25N3O
C17H18ClN3O
C7H7N3
C20H25N3O
C30H29N3O
C24H42N4
C24H42N4
C13H11N3O
C11H14N2S2
C13H16N2S2
C14H8N2S4
C7H5NS2
C7H4NNaS2
C19H26N2S2



C](/content/dam/eccc/images/pded/benzotriazoles-benzothiazoles/20210126-ta2e.jpg)

![c12c(nn[nH]1)cccc2](/content/dam/eccc/images/pded/benzotriazoles-benzothiazoles/20210126-ta3a.jpg)
![c1cc2c(cc1)[nH]nn2.[*]C](/content/dam/eccc/images/pded/benzotriazoles-benzothiazoles/20210126-ta3b.jpg)






![[S-]C1=NC2=CC=CC=C2S1.[Na+]](/content/dam/eccc/images/pded/benzotriazoles-benzothiazoles/20210126-ta4e.jpg)
