Screening assessment - p-toluenesulfonic acid
Official title: Screening assessment - benzenesulfonic acid, 4-methyl- (p-Toluenesulfonic acid)
Chemical Abstracts Service Registry Number
104-15-4
Environment and Climate Change Canada
Health Canada
June 2022
Cat. No.: En84-297/2022E-PDF
ISBN 978-0-660-43596-1
Synopsis
Pursuant to section 74 of the Canadian Environmental Protection Act, 1999 (CEPA), the Minister of the Environment and the Minister of Health have conducted a screening assessment of benzenesulfonic acid, 4-methyl-, hereinafter referred to as p-toluenesulfonic acid (PTSA). The Chemical Abstracts Service Registry Number (CAS RNFootnote 1 ) for PTSA is 104-15-4. This substance was identified as a priority for assessment as it met categorization criteria under subsection 73(1) of CEPA.
PTSA does not naturally occur in the environment. According to information submitted in response to a CEPA section 71 survey, 141 600 kg of PTSA was imported into Canada in 2011 and no manufacturing was reported.
The ecological risk of PTSA was characterized using the ecological risk classification of organic substances (ERC), which is a risk-based approach that employs multiple metrics for both hazard and exposure, with weighted consideration of multiple lines of evidence for determining risk classification. Hazard profiles are based principally on metrics regarding mode of toxic action, chemical reactivity, food web-derived internal toxicity thresholds, bioavailability, and chemical and biological activity. Metrics considered in the exposure profiles include potential emission rate, overall persistence, and long-range transport potential. A risk matrix is used to assign a low, moderate or high level of potential concern for substances on the basis of their hazard and exposure profiles. Based on the outcome of the ERC analysis, the substance is considered unlikely to be causing ecological harm.
Considering all available lines of evidence presented in this screening assessment, there is low risk of harm to the environment from PTSA. It is concluded that PTSA does not meet the criteria under paragraphs 64(a) or (b) of CEPA as it is not entering the environment in a quantity or concentration or under conditions that have or may have an immediate or long-term harmful effect on the environment or its biological diversity or that constitute or may constitute a danger to the environment on which life depends.
In Canada, PTSA is primarily used in the manufacture of paints and coatings, and of plastic and rubber materials. Exposure of the general population to PTSA is primarily from use of cosmetics (face lotion, permanent hair dye, and hair conditioner), an adhesive for crack repair, and conversion varnish sprays (catalyst-activated coating for interior wood furnishings).
The salts of PTSA and other hydrotropes have been reviewed through the Cooperative Chemicals Assessment Programme of the Organisation for Economic Cooperation and Development (OECD). These OECD assessments were used to inform the health effects characterization of PTSA in this screening assessment. On the basis of available health effects information for PTSA and analogues in laboratory studies, the substance was not found to have genotoxic, carcinogenic, reproductive or developmental effects, and no systemic adverse effects were observed in repeated dose studies with PTSA or its analogues up to the limit dose of 1000 mg/kg bw/day. Given the low hazard potential of PTSA, estimates of exposure to the general population were not derived as the risk to human health is considered to be low.
Considering all the information presented in this screening assessment, it is concluded that PTSA does not meet criteria under paragraph 64(c) of CEPA as it is not entering the environment in a quantity or concentration under conditions that constitute or may constitute a danger in Canada to human life or health.
It is therefore concluded that PTSA does not meet any of the criteria set out in section 64 of CEPA.
1. Introduction
Pursuant to section 74 of the Canadian Environmental Protection Act, 1999 (CEPA) (Canada 1999), the Minister of the Environment and the Minister of Health have conducted a screening assessment of benzenesulfonic acid, 4-methyl-, hereinafter referred to as p-toluenesulfonic acid (PTSA), to determine whether this substance presents or may present a risk to the environment or to human health. This substance was identified as a priority for assessment as it met categorization criteria under subsection 73(1) of CEPA (ECCC, HC [modified 2017]).
The ecological risk of PTSA was characterized using the ecological risk classification of organic substances (ERC) approach (ECCC 2016a). The ERC describes the hazard of a substance using key metrics, including mode of toxic action, chemical reactivity, food web-derived internal toxicity thresholds, bioavailability, and chemical and biological activity and considers the possible exposure of organisms in the aquatic and terrestrial environments on the basis of such factors as potential emission rates, overall persistence and long-range transport potential in air. The various lines of evidence are combined to identify substances as warranting further evaluation of their potential to cause harm to the environment or as having a low likelihood of causing harm to the environment.
PTSA has not been reviewed internationally. However, the salts of the aromatic sulfonic acids or hydrotropes (including salts of PTSA) have been reviewed through the Cooperative Chemicals Assessment Programme of the Organisation for Economic Cooperation and Development (OECD) and two Screening Information Data Set (SIDS) Initial Assessment Reports (SIAR) are available: one for several hydrotropes (OECD 2006) and one with additional data for sodium p-toluene sulfonate, the sodium salt of PTSA (OECD 2009). These assessments undergo rigorous review (including peer-review) and endorsement by international governmental authorities. Health Canada and Environment and Climate Change Canada are active participants in this process and consider these assessments to be reliable. These OECD assessments were used to inform the health effects characterization of PTSA in this screening assessment.
This screening assessment includes consideration of information on chemical properties, environmental fate, hazards, uses and exposures, including additional information submitted by stakeholders. Relevant data for PTSA were identified up to May 2019. Empirical data from key studies as well as results from models were used to reach conclusions.
This screening assessment was prepared by staff in the CEPA Risk Assessment Program at Health Canada and Environment and Climate Change Canada and incorporates input from other programs within these departments. The ecological portion of this assessment is based on the ERC document (published July 30, 2016), which was subject to an external review as well as a 60-day public comment period. Additionally, the draft of this screening assessment (published October 17, 2020) was subject to a 60-day public comment period. While external comments were taken into consideration, the final content and outcome of this screening assessment remain the responsibility of Health Canada and Environment and Climate Change Canada.
This screening assessment focuses on information critical to determining whether substances meet the criteria as set out in section 64 of CEPA by examining scientific information and incorporating a weight of evidence approach and precautionFootnote 2 . This screening assessment presents the critical information and considerations on which the conclusions are based.
2. Substance identity
The Chemical Abstracts Service Registry Number (CAS RNFootnote 3 ), Domestic Substances List (DSL) name, common name, and chemical structure for PTSA are presented in Table 2‑1.
| CAS RN (abbreviation) | DSL name (common name) | Chemical structure and molecular formula | Molecular weight (g/mol) |
|---|---|---|---|
| 104-15-4 (PTSA) | Benzenesulfonic acid, 4-methyl- (p-toluenesulfonic acid) | C7H8O3S |
172.2 |
2.1 Selection of analogues and use of (Q)SAR models
A read-across approach using data from analogues and the results of (quantitative) structure-activity relationship ([Q]SAR) models, where appropriate, have been used to inform the human health assessment where data on PTSA were not available. Analogues were selected that were structurally similar to PTSA (similar physical and chemical properties and toxicokinetics) and that had relevant empirical data that could be used to inform the PTSA health effects assessment. The applicability of (Q)SAR models was determined on a case-by-case basis. Details of the read-across data used to inform the human health assessments of PTSA are further discussed in the relevant sections of this report. Information on the identities and chemical structures of the analogues used to inform the human health assessment is presented in Table 2-2. Physical and chemical properties and toxicological data for these analogues can be found in Appendix A.
| CAS RN | DSL name (common name) | Representative structurea and molecular formula | Molecular weight (g/mol) |
|---|---|---|---|
| 657-84-1 | Benzenesulfonic acid, 4-methyl-, sodium salt (sodium p-toluene sulfonate) | C7H7SO3Na |
194.2 |
| 1300-72-7 | Benzenesulfonic acid, dimethyl-, sodium salt (sodium xylene sulfonate) | C8H9SO3Na |
208.2 |
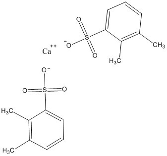
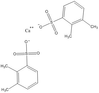
| 28088-63-3 | Not applicable (calcium xylene sulfonate) | C16H18S2O6Ca2 |
410.5 |
| 28348-53-0 | Benzenesulfonic acid, (1-methylethyl)-, sodium salt (sodium cumene sulfonate) | C9H10SO3Na |
222.2 |
a Commercial forms of the aromatic sulfonates include a mixture of ortho-, meta,- and/or para- isoforms (OECD 2006) unless the name specifies an isoform. The representative structures shown here for CAS RNs 1300-72-7, 28088-63-3, and 28348-53-0 are for the following isoforms: CAS RN 1300-72-7, para, meta; CAS RN 28088-63-3, ortho, meta; CAS RN 28348-53-0, para.
The OECD QSAR toolbox (2018) identified the hydrotrope sodium p-toluene sulfonate as a potential analogue of PTSA, along with three aromatic sulfonic acids and another hydrotrope. Of these, sodium p-toluene sulfonate was selected as an analogue since it had relevant toxicological data (OECD 2009). Three other hydrotropes were also selected as analogues for PTSA, based on structural and functional similarity to PTSA and sodium p-toluene sulfonate, and they also had relevant toxicological data (OECD 2006). Hydrotropes are also identified as analogues for the aromatic sulfonic acids including PTSA in a European Chemicals Agency (ECHA) registration dossier (ECHA c2007-2019). Given that sodium p-toluene sulfonate is the sodium salt of PTSA, it is considered to be the most suitable analogue for this assessment.
Unlike the analogues (OECD 2006, 2009), PTSA is corrosive to the skin at concentrations of 20% or above and can cause irritation to the skin below this concentration (ECHA c2007-2019). Therefore, there is the potential that human health data for the analogues could underestimate site of contact effects following dermal exposure to PTSA or inhalation of aerosol particles containing PTSA. However, since PTSA is a strong acid that is expected to completely dissociate in water (HSDB 1983-) and hydrotropes also dissociate in water, it is expected that systemic toxicity of these substances is similar by the oral route.
3. Physical and chemical properties
A summary of physical and chemical properties of PTSA are presented in Table 3‑1. Additional physical and chemical properties are reported in ECCC (2016b) and property information for the analogues is included in Appendix A.
| Property | Valuea | Key reference |
|---|---|---|
| Molecular weight (g/mol) | 172.2 | (ChemID Plus 1993-) |
| Vapour pressure (mm Hg) | 2.7E-06b | (ChemID Plus 1993-) |
| Water solubility (mg/L) | 6.2E+05 | (ChemID Plus 1993-) |
| log Kow (dimensionless) | -0.62b | (ChemID Plus 1993-) |
| pKa (dimensionless) | -1.34 | (HSDB 1983-) |
Abbreviations: Kow, octanol-water partition coefficient; pKa, acid dissociation constant.
aAll values are measured unless otherwise indicated.
b Modelled.
4. Sources and uses
PTSA is not known to naturally occur in the environment. PTSA has been included in a survey issued pursuant to section 71 of CEPA (Canada 2012). According to the information submitted in response to the CEPA section 71 survey, the total import quantity reported in Canada in 2011 was 141 600 kg. No manufacture of PTSA was reported above the reporting threshold of 100 kg (Environment Canada 2013).Footnote 4 In Canada, PTSA is primarily used as a process regulator and additive in the manufacture of paints and coatings, and as a processing aid, process regulator, oxidizing and reducing agent, and intermediate in the manufacture of plastic and rubber materials (Environment Canada 2013). While use of PTSA in fabric, textile and leather articles was initially identified in the survey response, it is no longer used in these articles based on industry follow-up (personal communication from industry to the Existing Substances Risk Assessment Bureau [ESRAB], Health Canada [HC], dated July 2019, unreferenced).
Table 4-1 presents a summary of additional uses of PTSA in Canada.
| Use | PTSA |
|---|---|
| Food packaging materialsa | Y |
| Present in cosmetics, based on notifications submitted under the Cosmetic Regulationsb, c | Y |
| Formulant in pest control productsd | Y |
Abbreviation: Y, use was reported for this substance.
a Personal communication from the Food Directorate (FD), (HC) to ESRAB, HC, dated February 2019; unreferenced.
b Personal communication from the Consumer and Hazardous Products Safety Directorate (CHPSD), HC to ESRAB, HC, dated February 2019; unreferenced.
c PTSA is present in cosmetics such as face lotion, permanent hair dye, and hair conditioner (Personal communication from the Consumer and Hazardous Products Safety Directorate (CHPSD), HC to ESRAB, HC, dated February 2019; unreferenced).
d Personal communication from the Pest Management Regulatory Agency (PMRA), HC to ESRAB, HC, dated February 2019; unreferenced.
According to publicly available information, product safety data sheets (SDSs) and technical data sheets (TDSs), PTSA has been identified in an adhesive for crack repair (SDS 2017) as well as in conversion varnishes (catalyst-activated coating for interior wood furnishings) (TDS 2010).
5. Potential to cause ecological harm
5.1 Characterization of ecological risk
The ecological risk of PTSA was characterized using the ecological risk classification of organic substances (ERC) approach (ECCC 2016a). The ERC is a risk-based approach that considers multiple metrics for both hazard and exposure, with weighted consideration of multiple lines of evidence for determining risk classification. The various lines of evidence are combined to discriminate between substances of lower or higher potency and lower or higher potential for exposure in various media. This approach reduces the overall uncertainty with risk characterization compared to an approach that relies on a single metric in a single medium (e.g., median lethal concentration) for characterization.
Data on physical-chemical properties, fate (chemical half-lives in various media and biota, partition coefficients, and fish bioconcentration), acute fish ecotoxicity, and chemical import or manufacture volume in Canada were collected from the scientific literature, from available empirical databases (e.g., OECD QSAR Toolbox 2014), from responses to a survey issued pursuant to section 71 of CEPA or they were generated using selected (Q)SAR or mass-balance fate and bioaccumulation models. These data were used as inputs to other mass-balance models or to complete the substance hazard and exposure profiles.
Hazard profiles were based principally on metrics regarding mode of toxic action, chemical reactivity, food web-derived internal toxicity thresholds, bioavailability, and chemical and biological activity. Exposure profiles were also based on multiple metrics, including potential emission rate, overall persistence, and long-range transport potential. Hazard and exposure profiles were compared to decision criteria in order to classify the hazard and exposure potentials for each organic substance as low, moderate, or high. Additional rules were applied (e.g., classification consistency, margin of exposure) to refine the preliminary classifications of hazard or exposure.
A risk matrix was used to assign a low, moderate or high classification of potential risk for each substance on the basis of its hazard and exposure classifications. ERC classifications of potential risk were verified using a two-step approach. The first step adjusted the risk classification outcomes from moderate or high to low for substances that had a low estimated rate of emission to water after wastewater treatment, representing a low potential for exposure. The second step reviewed low risk potential classification outcomes using relatively conservative, local-scale (i.e., in the area immediately surrounding a point source of discharge) risk scenarios, designed to be protective of the environment, to determine whether the classification of potential risk should be increased.
ERC uses a weighted approach to minimize the potential for both over- and under- classification of hazard and exposure and of subsequent risk. The balanced approaches for dealing with uncertainties are described in greater detail in ECCC (2016a). The following describes two of the more substantial areas of uncertainty. Error with empirical or modelled acute toxicity values could result in changes in classification of hazard, particularly metrics relying on tissue residue values (i.e., mode of toxic action), many of which are predicted values from (Q)SAR models (OECD QSAR Toolbox 2014). However, the impact of this error is mitigated by the fact that overestimation of median lethality will result in a conservative (protective) tissue residue value used for critical body residue analysis. Error with underestimation of acute toxicity will be mitigated through the use of other hazard metrics such as structural profiling of mode of action, reactivity and/or estrogen binding affinity. Changes or errors in chemical quantity could result in differences in classification of exposure as the exposure and risk classifications are highly sensitive to emission rate and use quantity. The ERC classifications thus reflect exposure and risk in Canada on the basis of what is estimated to be the current use quantity, and may not reflect future trends.
Critical data and considerations used to develop the substance-specific profiles for PTSA, and the hazard, exposure and risk classification results are presented in ECCC (2016b).
On the basis of low hazard and low exposure classifications according to information considered under ERC, PTSA was classified as having a low potential for ecological risk. It is unlikely that this substance is resulting in concerns for the environment in Canada.
6. Potential to cause harm to human health
6.1 Exposure assessment
As PTSA is considered to be of low hazard potential (see health effects assessment below), quantitative estimates of exposure to the general population were not derived. This section provides general information on exposure to PTSA.
6.1.1 Environmental media and food
No exposure data have been identified for PTSA in relevant environmental media or food in Canada or elsewhere. PTSA has a very high water solubility and, if released to water, is expected to remain in the water column. It is not expected to distribute into soil and sediments or to volatilize to the atmosphere (HSDB 1983-; ECCC 2016b). Releases of PTSA to wastewater may result from industrial formulation activities of the substance into products available to consumers or down-the-drain releases from the use of these products. There is potential for oral exposure of the general population to PTSA via drinking water; however, it is not expected to be a significant source of exposure to PTSA for the general population.
PTSA may also be used as a component in the manufacture of food packaging materials such as printing ink, lacquer, can coatings, paper coatings, and adhesives. For most of these uses, there is no potential for direct food contact therefore exposure is not expected. For uses with potential for direct food contact, exposure to PTSA is considered negligible (personal communication from Health Canada’s Food Directorate to ESRAB, HC, dated February 2019; unreferenced).
6.1.2 Products available to consumers
Products available to consumers all contained less than 20% PTSA. The general population may be exposed to PTSA via the dermal route from the use of cosmetics. PTSA is present at concentrations up to 0.1% in face lotion and up to 0.3% in permanent hair dye and hair conditioner (personal communication from CHPSD, HC to ESRAB, HC, dated February 2019; unreferenced). The general population may also be exposed via the dermal route to PTSA through the use of an adhesive for crack repair in structural concrete, masonry, wood and other materials containing up to 2% PTSA (SDS 2017). Inhalation exposure is expected to be minimal from the use of these products.
PTSA is also present in catalyst products added to conversion varnishes. Conversion varnishes are a type of coating used on interior wood furnishings to provide a clear, protective finish. They require a catalyst to be activated prior to application and can be applied by atomizing spray gun equipment (TDS 2010). PTSA is present at 15.6% in a catalyst product added to conversion varnish sprays (SDS 2016). The catalyst is mixed into the conversion varnish at a dilution of up to 10% by volume (TDS 2010), resulting in a final concentration of up to 1.6% PTSA.
Due to the low volatility of PTSA, inhalation exposure is expected to be minimal during the mixing and loading of the conversion varnish sprays. Inhalation exposure to low concentrations of PTSA in the final mixture of conversion varnish spray and catalyst may occur during spray application due to formation of aerosol particles. Inhalation exposure is expected to be infrequent as this type of product is intended to last several years as a durable protective coating on interior wood furnishings.
6.2 Health effects assessment
The general principles outlined in the science approach document for substances with low human health hazard potential (Health Canada 2017) were taken into consideration for this health effects assessment. PTSA is considered to have low hazard potential due to the lack of carcinogenic, genotoxic, reproductive or developmental effects and other adverse effects relevant to human health up to 1000 mg/kg bw/day on the basis of studies conducted on PTSA and its hydrotrope analogues further described below (ECHA c2007-2019; OECD 2006, 2009).
The critical toxicological information on PTSA is limited to toxicokinetic studies, a 28-day oral toxicity study, and in vitro genotoxicity studies. As such, the health effects of PTSA were further informed by hydrotrope analogues reviewed in OECD SIARs and concluded to have low hazard profiles by the OECD: sodium p-toluene sulfonate (OECD 2009), as well as sodium xylene sulfonate, calcium xylene sulfonate, and sodium cumene sulfonate (OECD 2006). A registration dossier submitted to ECHA under REACH is available for PTSA (ECHA c2007-2019). A literature search was conducted from the year prior to the OECD SIDS Initial Assessment Meeting (October 2005) to February 2019 for the hydrotropes reviewed by the OECD.
After oral administration in rats and dogs, PTSA is rapidly absorbed and excreted, mainly via urine and also in feces, with a plasma half-life of 75 minutes (Dreyfuss et al. 1985, Ho et al. , Kano et al. 1985, in ECHA c2007-2019). PTSA is corrosive to the skin at concentrations greater than 20% and irritating to the skin below that concentration (ECHA c2007-2019). There were no available laboratory studies with PTSA by the inhalation route.
In a 28-day oral repeated dose study, no adverse effects were observed in rats (10 or more/sex/dose) administered 0, 4, 20, 100 or 500 mg/kg bw/day of PTSA (mode of oral administration not stated) (ECHA c2007-2019). The no observed adverse effect level (NOAEL) was considered to be 500 mg/kg bw/day, the highest dose tested.
In a 28-day oral repeated dose study with sodium p-toluene sulfonate, considered to be an analogue of PTSA, there were no treatment-related adverse effects observed in rats (5 or 10/sex/dose) administered 0, 100, 300 or 1000 mg/kg bw/day by gavage. The NOAEL was considered to be the highest dose tested of 1000 mg/kg bw/day (OECD 2009).
A 90-day oral repeated dose study conducted with sodium xylene sulfonate was considered by the OECD to be the key study for systemic toxicity for the hydrotropes grouping (OECD 2006). This substance is considered to be an analogue to PTSA. Rats (15/sex/dose) were treated daily through their diet for 90 days (with doses equivalent to 0, 130, 660, or 3534 mg/kg bw/day in males and 0, 149, 763, or 4092 mg/kg bw/day in females). There were no effects observed in males. OECD considered the NOAEL for females to be 763 mg/kg bw/day based on decreased relative spleen weight and unspecified clinical chemistry and hematological changes at 4092 mg/kg bw/day.
In several other 90-day dietary studies conducted with sodium xylene sulfonate (in mice and rats) and sodium cumene sulfonate (in rats), no adverse effects were observed in the treated animals (the highest doses tested were 2439 and 2467, 1429 and 1561, 114 and 159 mg/kg bw/day, for males and females, respectively) (OECD 2006).
In dermal toxicity studies in rodents, there were no adverse systemic effects observed in animals exposed to any of the doses of the analogue sodium xylene sulfonate. These studies included a 17-day repeated dose study (5/sex/dose, diluted in water), a 90-day repeated dose study (10/sex/dose, diluted in ethanol) and a 2-year combined chronic/carcinogenicity study (50/sex/dose, diluted in ethanol). In the 17-day study, the OECD concluded there were no adverse effects (systemic or local) at the highest doses of 1600/2000 mg/kg bw/day in male/female mice and 800/1030 mg/kg bw/day in male/female rats (OECD 2006). In the 90-day dermal repeated dose study, OECD reported no systemic effects but considered the NOAELs for local effects to be 440/540 mg/kg bw/day (males/females) in mice, based on epidermal hyperplasia at the site of application at the next and highest doses of 1300/1620 mg/kg bw/day in males/females (NIH 1998; OECD 2006). There were no adverse effects observed in rats exposed to doses up to 500/800 mg/kg bw/day in males/females. No adverse systemic effects (carcinogenic or non-carcinogenic) were observed in mice or rats dermally treated with doses up to 727 or 240 mg/kg bw/day, respectively, for 2 years. Epidermal hyperplasia was observed at the site of application in male mice at 364 mg/kg bw/day and above and in female mice (not dose-related) and female rats at 120 mg/kg bw/day and above (NIH 1998; OECD 2006).
PTSA was not genotoxic in vitro in a bacterial mutation study (Hoechst 1988a in ECHA c2007-2019) and a chromosome aberration assay in Chinese hamster lung cells (Hoechst 1988b in ECHA c2007-2019).
In vivo genotoxicity studies with analogues were negative. Calcium xylene sulfonate was negative in a mouse micronucleus cytogenetic assay via intraperitoneal injection, and sodium cumene sulfonate was negative in two mouse micronucleus cytogenetic assays via gavage (OECD 2006).
No reproductive or developmental studies were available for PTSA, but studies were available for two analogues. In an OECD test guideline (TG) 421 Reproduction/ Developmental Toxicity Screening Test, sodium p-toluene sulfonate was administered daily by gavage to male and female rats (12/sex/group) at 0, 300 or 1000 mg/kg bw/day (ECHA c2007-2019). Males were treated for 46 days from 14 days before mating to the day before sacrifice (necropsy on day 47). Females were treated from 14 days before mating, throughout mating and gestation, and dams and offspring were sacrificed on postnatal day 4 (OECD 2009). There were no reproductive or developmental effects observed at 300 or 1000 mg/kg bw/day. The OECD considered the NOAEL for general toxicity to be 300 mg/kg bw/day for males and females, based on diarrhea or soft feces in both sexes at 1000 mg/kg bw/day, and mild inflammatory cell infiltration of the lamina propria and squamous cell hyperplasia in the limiting ridge of the stomach in males only at 1000 mg/kg bw/day. OECD (2009) considered that diarrhea or soft feces observed in both sexes and stomach effects in male rats at the highest dose of 1000 mg/kg bw/day is likely a response to repeated irritation of the bolus dose administered by gavage, since these effects were not observed in rats in a 28-day study at 1000 mg/kg bw/day by gavage with the same analogue.
In a developmental study in rats, dams (30/dose) were dosed with calcium xylene sulfonate diluted in water by gavage on gestation days 6 to 15 at doses equivalent to 0, 47, 468 or 936 mg/kg bw/day. One animal died during the study at the mid-dose, which the OECD associated with gavage injury. There were no adverse maternal or developmental effects at any dose level. OECD (2006) identified the NOAEL for maternal and fetal toxicity as 936 mg/kg bw/day, the highest dose tested (OECD 2006).
6.3 Characterization of risk to human health
The considerations set out in the Science approach document for substances with low human health hazard potential (Health Canada 2017) informed the health effects assessment for PTSA. On the basis of the available health effects data, PTSA is not expected to be carcinogenic, genotoxic, or result in reproductive and developmental toxicity. No systemic effects were observed in animals after repeated dose exposure to PTSA or its analogues up to the limit dose of 1000 mg/kg bw/day (ECHA c2007-2019; OECD 2006, 2009). Effects observed were local dermal irritation (epidermal hyperplasia) which are site-of-contact effects.
Given the low hazard potential of this substance, quantitative exposure estimates were not derived and the risk to human health is considered to be low.
6.4 Uncertainties in evaluation of risk to human health
There are some uncertainties in the health effects database (e.g., PTSA may be more toxic than hydrotrope analogues by dermal and inhalation exposures due to its higher irritation potential). Given the low human health hazard potential of PTSA, a qualitative approach to risk characterization is considered appropriate.
7. Conclusion
Considering all available lines of evidence presented in this screening assessment, there is low risk of harm to the environment from PTSA. It is concluded that PTSA does not meet the criteria under paragraphs 64(a) or (b) of CEPA as it is not entering the environment in a quantity or concentration or under conditions that have or may have an immediate or long-term harmful effect on the environment or its biological diversity or that constitute or may constitute a danger to the environment on which life depends.
Considering all the information presented in this screening assessment, it is concluded that PTSA does not meet the criteria under paragraph 64(c) of CEPA as it is not entering the environment in a quantity or concentration or under conditions that constitute or may constitute a danger in Canada to human life or health.
It is therefore concluded that PTSA does not meet any of the criteria set out in section 64 of CEPA.
References
Canada. 1999. Canadian Environmental Protection Act, 1999. S.C. 1999, c.33. Canada Gazette Part III, vol. 22, no. 3.
Canada, Dept. of the Environment. 2012. Canadian Environmental Protection Act, 1999: Notice with respect to certain substances on the Domestic Substances List [PDF]. Canada Gazette, Part I, vol. 146, no. 48, Supplement.
ChemIDplus [database]. 1993- . Bethesda (MD): US National Library of Medicine. [accessed 2019 July 10].
[ECCC] Environment and Climate Change Canada. 2016a. Science approach document: ecological risk classification of organic substances. Ottawa (ON): Government of Canada.
[ECCC] Environment and Climate Change Canada. 2016b. Supporting documentation: data used to create substance-specific hazard and exposure profiles and assign risk classifications. Gatineau (QC): ECCC. Information in support of the science approach document: ecological risk classification of organic substances. Available from: substances@ec.gc.ca.
[ECCC, HC] Environment and Climate Change Canada, Health Canada. [modified 2017 March 12]. Categorization of Chemical Substances. Ottawa (ON): Government of Canada.
[ECHA] European Chemicals Agency. c2007-2019. Registered substances database; search results for CAS RN 104-15-4. Helsinki (FI): ECHA. [updated 2019 July 16; accessed 2019 August 12].
Environment Canada. 2013. DSL Inventory Update data collected under the Canadian Environmental Protection Act, 1999, section 71: Notice with respect to certain substances on the Domestic Substances List. Data prepared by: Environment Canada, Health Canada; Existing Substances Program.
Health Canada. 2017. Science approach document for substances with low human health hazard potential. Ottawa (ON): Government of Canada.
[HSDB] Hazardous Substances Data Bank [database]. 1983-. Search results for CAS RN 104-15-4. Bethesda (MD): National Library of Medicine (US). [updated 2003 February 14; accessed September 2020].
[NIH] National Institutes of Health. 1998. U.S. Department of Health and Human Services, Public Health Service, National Institutes of Health, Research Triangle Park, North Carolina, USA. Toxicology and carcinogenesis studies of technical grade sodium xylenesulfonate (CAS No. 1300-72-7) in F344/N Rats and B6C3F1 mice (dermal studies) / NIH No. 98-3380.
[OECD] Organisation for Economic Co-operation and Development. 2006. SIDS initial assessment report: Hydrotropes [PDF]. SIAM [SIDS Initial Assessment Meeting] 21; 2005 October; Washington DC, USA [accessed 2019 July].
[OECD] Organisation for Economic Co-operation and Development. 2009. SIDS initial assessment report: Sodium p-toluenesulfonate CAS RN 657-84-1 [PDF]. SIAM [SIDS Initial Assessment Meeting] 27; 2008 October; Ottawa, Canada [accessed July 2019].
OECD QSAR Toolbox [read-across tool]. 2014 Version 3.3. Paris (FR): Organisation for Economic Co-operation and Development, Laboratory of Mathematical Chemistry.
OECD QSAR Toolbox [read-across tool]. 2018. Ver. 4.2. Paris (FR): Organisation for Economic Co-operation and Development, Laboratory of Mathematical Chemistry.
[SDS] Safety Data Sheet. 2016. Care Catalyst C1491 [PDF]. Cleveland (OH); M.L. Campbell [accessed October 2019]
[SDS] Safety Data Sheet. 2017. Sikadur CrackFix Part B [PDF]. Lyndhurst (NJ): Sika Corporation [accessed March 2019].
[TDS] Technical Data Sheet. 2010. Stealth Clear Base – Conversion Varnish [PDF]. Fort Erie (ON); M.L. Campbell [accessed October 2019].
Appendix A. Read-across for p-toluenesulfonic acid (PTSA)
| Chemical name | Sodium p-toluene sulfonate | Sodium xylene sulfonate | Calcium xylene sulfonate | Sodium cumene sulfonate | p-toluenesulfonic acid (PTSA) |
|---|---|---|---|---|---|
| CAS RN | 657-84-1 | 1300-72-7 | 28088-63-3 | 28348-53-0 | 104-15-4 |
| Role | Analogue | Analogue | Analogue | Analogue | Target |
| Reference | OECD 2009 | OECD 2006 | OECD 2006 | OECD 2006 | ECHA c2007-2019 (hazard studies) and ChemIDplus 1993- (Phys-chem properties) |
| Representative structurea | ![]() |
![]() |
![]() |
![]() |
![]() |
| Water solubility (mg/L)b,d | >2.5E+05 | 4E+05; | 5.5 E+05 | 3.3 E+05; 4E+05; | 6.2E+05 |
| Log Kowb | -2.4c | -1.9c | -2.7 | -1.5c | -0.62c |
| Vapour pressure (mm Hg)b,e | 2.6E-11c | <1.5E-07 | 1.2E-11c | 8.2E-12c | 2.7E-06c |
| Toxicokinetics and ADME | In rats and dogs, rapid absorption and excretion (mainly via urine, also in feces) following oral administration. | NA (qualitative assessment indicates rapid absorption via oral route and limited absorption via dermal route) | NA (qualitative assessment indicates rapid absorption via oral route and limited absorption via dermal route) | NA (qualitative assessment indicates rapid absorption via oral route and limited absorption via dermal route) | In rats and dogs, rapid absorption and excretion (mainly via urine, also in feces) following oral administration, 75 minute half-life in plasma. |
| Acute toxicity (oral) | Rat: LD50 > 2000 mg/kg bw/day | Rat: LD50 = 6480 mg/kg bw/day | Rat: LD50 = 1044 mg/kg bw/day | Rat: LD50 > 7000 mg/kg bw/day | Rat: LD50 = 1410 mg/kg bw/day |
| Acute toxicity (dermal) | NR | NA | Rabbit: LD50 >624 mg/kg bw /day | Rabbit: LD50 >624 mg/kg bw /day | NA |
| Acute toxicity (inhalation) | NR | NA | NA | Rat: LD50 > 770000 mg/m3 | NR |
| Irritation (dermal) | NR | Non-irritating | Non-irritating | Non-irritating | Corrosive to skin |
| Repeat dose toxicity (Oral) |
28-day, rat, gavage: NOAEL = 1000 mg/kg bw/day (HDT; no treatment-related adverse effects in males and females) 90 day: NA |
90-day, rat, dietary: 90-day, rodents, dietary: no adverse effects up to HDTs of 2467/2439 mg/kg bw/day in male/female mice and 1429/1561 mg/kg bw/day in male/female rats |
NA | 90-day, rat, dietary: No adverse effects up to 114/159 mg/kg bw/day in males/females (HDT) |
28-day, rats, oral: 90-day: Read-across from CAS RN 1300-72-7 |
| Repeat dose toxicity (Dermal) | NA |
17-day, rodents: no adverse effects up to 1600/2000 in male/female mice and 800/1030 in male/female rats (HDT) 90-day, mice: NOAEL (local irritation) = 440/ 540 mg/kg bw/day in males/females (local effect of epidermal hyperplasia at site of application at HDT (1300/1620 mg/kg bw/day in males/females) 90-day, rats: No adverse effects up to 500/800 mg/kg bw/day (HDT) in males/females |
NA | NA | Read-across from CAS RN 1300-72-7 |
| Repeat dose toxicity (Inhalation) | NA | NA | NA | NA | NA |
| Reproductive and/or develop-mental toxicity (oral) |
Reproduction/ Developmental Toxicity Screening Test, rat, gavage: Reproductive NOAEL = 1000 mg/kg bw/day Offspring NOAEL for development and growth = 1000 (mg/kg bw/day) NOAEL for general toxicity = 300 mg/kg bw/day (for effects at 1000 mg/kg bw/day (diarrhea or soft feces in males and females, stomach effects in males only) |
NA | Developmental, rat, gavage: NOAEL (maternal and developmental) = 936 mg/kg bw/day (HDT) | NA | Read-across from CAS RNs 657-84-1 and 28088-63-3 |
| Genetic toxicity |
In vitro: negative (Ames Test and chromosome aberration) In vivo: NA |
In vitro: negative In vivo: NA |
In vitro: negative In vivo: negative (mouse micronucleus cytogenetic assay, intraperitoneal injection) |
In vitro: negative In vivo: negative (two mouse micronucleus cytogenetic assay, oral gavage) |
In vitro: negative (Ames and chromosome aberration tests) In vivo: read-across from CAS RNs 28088-63-3 and 28348-53-0 |
| Carcinogenicity | NA | No systemic effects observed in rats receiving up to 240 mg/kg bw/day and mice receiving up to 727 mg/kg bw/day dermally (local effect of epidermal hyperplasia at site of application in male mice at 364 mg/kg bw/day and above and in female mice (not dose-related) and female rats at 120 mg/kg bw/day and above) | NA | NA | Read-across from CAS RN 1300-72-7 |
Abbreviations: ADME, absorption, distribution, metabolism, and excretion; HDT, highest dose tested; Kow, octanol-water partition coefficient; LD50, median lethal dose; NA, Not Available; NOAEL, no observed adverse effect level; NR, available studies are not reliable.
a Commercial forms of the aromatic sulfonates include a mixture of ortho-, meta-, and/or para- isoforms (OECD 2006) unless the name specifies an isoform. The representative structures shown here for CAS RNs 1300-72-7, 28088-63-3, and 28348-53-0 are for the following isoforms: CAS RN 1300-72-7, para, meta; CAS RN 28088-63-3, ortho, meta; CAS RN 28348-53-0, para.
b Water solubility, log Kow, and vapour pressure are measured data unless otherwise specified.
c Modelled data.
d Value at 20.
e Value at 25 unless otherwise specified.

C7H8O3S
C7H7SO3Na
C8H9SO3Na
C16H18S2O6Ca2
C9H10SO3Na![[Na]OS(=O)(=O)c1ccc(cc1)C](/content/dam/eccc/images/pded/ptsa/20220512-a1a.jpg)
![[Na]OS(=O)(=O)c1ccc(cc1C)C](/content/dam/eccc/images/pded/ptsa/20220512-a1b.jpg)
![[Ca]OS(=O)(=O)c1ccc(cc1C)C](/content/dam/eccc/images/pded/ptsa/20220512-a1c.jpg)
![[Na]OS(=O)(=O)c1ccc(cc1)C(C)C](/content/dam/eccc/images/pded/ptsa/20220512-a1d.jpg)
