Directive concerning testing for formaldehyde emissions
On this page
- 1. Overview
- 2. Equivalence of the large chamber and the small chamber test methods
- 2.1 Establishing equivalence
- 2.2 Calculations for establishing equivalence
- 2.3 Primary testing using the small chamber test method
- 3. Correlation of quality control test results
- 3.1 Establishing correlation by linear regression
- 3.2 Establishing correlation by alternative methods
- 4. Tables
1. Overview
There are a number of different test methods referred to in the Formaldehyde Emissions from Composite Wood Products Regulations (the Regulations) that can be used to measure formaldehyde emissions. Throughout this document, the ASTM E1333 test method is referred to as the large chamber test method, and the ASTM D6007 test method is referred to as the small chamber test method. While the complete details of how to perform the tests are contained within each of the test method standards, the key parameters for specimen conditioning and the testing procedures are summarized in table 1 of this Directive.
2. Equivalence of the large chamber and the small chamber test methods
The small chamber test method may be used for the primary testing described in paragraph 7(1)(b) of the Regulations when equivalence with the large chamber test method has been established by an accredited laboratory.
2.1 Establishing equivalence
To establish equivalence of test methods under subsection 7(3) of the Regulations, manufacturers of composite wood panels or laminated products must ensure that equivalence between the results from a large chamber test and a small chamber test is demonstrated within at least 2 of the 3 following ranges of formaldehyde emissions from their panels or products:
- Lower range from 0 to 0.05 ppm
- Intermediate range from greater than 0.05 to 0.15 ppm
- Upper range greater than 0.15 ppm
A minimum of 5 matched-specimen sets (representing at least 10 specimens in total) in each of the relevant formaldehyde emission ranges must be tested for comparison between the large chamber and small chamber test methods. If the manufacturer only manufactures hardwood plywood or laminated products in the lower emission range, equivalence may be established in that 1 emission range. However, the manufacturer is then restricted to only manufacturing hardwood plywood or laminated products within that emission range.
For the large chamber test method, each comparison specimen of composite wood panel or laminated product must be tested using the applicable loading ratio specified in table 1. For the small chamber test method, each comparison specimen of composite wood panel or laminated product must be tested using the Q/A ratio specified in table 1.
2.2 Calculations for establishing equivalence
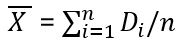
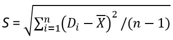
The arithmetic mean, "X", and the standard deviation, "S", of the difference of all results of tests performed in the large and small chambers for each matched specimen set must be calculated as follows:
Equation 1 - Text description
X equals the summation of Di (where i ranges from 1 to n) divided by n (the number of data sets).
Equation 2 - Text description
S equals the square root of the summation of the square of the difference between Di (where i ranges from 1 to n) and X, divided by n minus 1.
where:
- "n" is the number of paired results, and
- "Di" is the difference between the results from the large chamber and small chamber tests, for each matched specimen set, " i".
The small chamber test method is considered equivalent to the large chamber test method if the following condition applies:
Equation 3 - Text description
X plus the product of 0.88 and S is less than or equal to C.
Where C is equal to:
- 0.026 for the lower range
- 0.038 for the intermediate range; and
- 0.052 for the upper range
2.3 Primary testing using the small chamber test method
For the primary testing requirements described in paragraph 7(1)(b) of the Regulations, a single value from a large chamber test is sufficient. If using the small chamber test method for which equivalence has been established, the test results must be averaged. In order to perform this averaging, a composite wood panel or laminated product is divided into 9 separate specimens representing evenly distributed portions of the entire panel or product. The 9 specimens are tested in 3 groups of 3 specimens each. The 3 test results are averaged into 1 data point for the entire composite wood panel or laminated product that those specimens represent.
3. Correlation of quality control test results
For each test method used to perform the quality control testing referred to in paragraph 8(1)(b) of the Regulations, a manufacturer of composite wood panels or laminated products must, by means of testing and calculation described in this section, establish the correlation between the results obtained with the test method to be used and those of the large chamber test method. If, for quality control testing, a manufacturer is using a small chamber test method for which equivalence with the large chamber test method has been established in accordance with section 2, no further correlation is required.
3.1 Establishing correlation by linear regression
The correlation of the test results referred to in subsection 8(4) of the Regulations must be established at the outset of testing with a minimum of 5 paired specimen sets (representing at least 10 specimens in total). The manufacturer must work with an accredited laboratory to establish a quality control graph. The quality control test results are plotted on the Y-axis, and the test results from the large chamber test method, or from the small chamber test method if equivalence has been established, are plotted on the X-axis. A linear regression using this quality control graph is established. In order for the correlation to be established for a particular quality control test method, the minimum acceptable correlation coefficient set out in table 2 of this Directive must be met.
This linear regression is used to predict the value of the correlated limit, where the test method used for quality control testing generates results that are representative of the applicable limits set out in subsection 6(1) of the Regulations when using the large chamber test method. As discussed under subsection 6(2) of the Regulations, the emissions value obtained during quality control testing must not exceed the correlated limit for the applicable composite wood panel or laminated product.
3.2 Establishing correlation by alternative methods
In addition to the linear regression approach, other methods, such as the cluster or the threshold approaches, may be used to establish correlation.
3.2.1 Cluster approach
In the event of clustered test results, a manufacturer of composite wood panels or laminated products may fit a line through a point near the origin (the intersection of the X- and Y-axes) and a point that is the average value of the clustered data pairs to develop a 2-point correlation.
The point near the origin is a data pair representing the results from a large chamber test or an equivalent small chamber test performed by an accredited laboratory and the quality control test, each performed with no product inside or when a very low-emitting specimen is tested. The second data point is the average of the results from the large chamber test, or the small-chamber test, if equivalence has been established, performed by an accredited laboratory, and the quality control test. The average is based on a minimum of 5 paired data points.
The line between the point near the origin and the average value of the clustered data pairs provides the linear regression. The slope of the line is used to determine the emissions value from the quality control test that represents the applicable emissions limit set out in subsection 6(1) of the Regulations measured using the large chamber test method or the small chamber test method, if equivalence has been established.
3.2.2 Threshold approach
Alternatively, a manufacturer may calculate the correlated limit without establishing a linear regression by using the threshold approach. Under the threshold approach, a minimum of 5 paired specimen sets as referred to in section 3.1 is required. The average value of the clustered data pairs from the tests using the large chamber test method or small chamber test method, if equivalence with the large chamber test method has been established, and the tests using the quality control test method may be used as the correlated limit, which must not exceed the applicable limit that is set out in subsection 6(1) of the Regulations.
4. Tables
| Test method | Chamber type/size (m³) | Specimen conditioning length of time | Specimen conditioning temperature (°C) | Specimen conditioning relative humidity (%) | Testing procedure loading ratio (m²/m³) | Testing procedure temperature (°C) | Testing procedure relative humidity (%) | Testing procedure air change rate* (air changes per hour) | Testing procedure Q/A ratio** (m³/h air per m² test area) |
|---|---|---|---|---|---|---|---|---|---|
| Large chamber | ≥ 22 | 7 days ± 3 h | 24 ± 3 | 50 ± 5 | 0.43 for hardwood plywood, laminated products & particleboard; 0.26 for medium-density fibreboard & thin medium-density fibreboard |
25 ± 1 | 50 ± 4 | 0.5 ± 0.05 | Not applicable |
| Small chamber | 0.02 to 1.0 | 7 days ± 3 h for primary testing (as per paragraph 7 (1)(b) of the Regulations); 2 hours ± 15 minutes (or up to 7 days ± 3 h) for quality control testing (as per paragraph 8 (1)(b) of the Regulations) |
24 ± 3 | 50 ± 5 | See Q/A ratio | 25 ± 1 | 50 ± 4 | Varies. Allow for 3 full air changes or 15 minutes (whichever is greater). | 1.172 for hardwood plywood, laminated products & particleboard; 1.905 for medium-density fibreboard & thin medium-density fibreboard |
* The air change rate is the ratio of the volume of outside air introduced into the chamber relative to the volume of the chamber itself (expressed in identical volume units) over time (expressed as per hour). ** The Q/A ratio is the ratio of air flow through the chamber (Q, expressed in m³/h) to the specimen surface area (A, expressed in m²). The Q/A ratio for the small chamber test method achieves the same loading ratio and air change rate as the large chamber test method. |
|||||||||
| Degrees of freedom (n-2) | "r" value |
|---|---|
| 3 | 0.878 |
| 4 | 0.811 |
| 5 | 0.754 |
| 6 | 0.707 |
| 7 | 0.666 |
| 8 | 0.632 |
| 9 | 0.602 |
| 10 or more | 0.576 |
"r" values based on the number of paired data sets from the quality control test method and the large chamber test method ("n") |
|