Radiation Protection in Dentistry - Recommended Safety Procedures for the Use of Dental X-Ray Equipment - Safety Code 30
Notice to reader
We have archived Safety Code 30, published in 1999. For updated guidance, published in 2022, please consult Radiation Protection in Dentistry - Recommended Safety Procedures for the Use of Dental X-Ray Equipment (2022).
Environmental Health Directorate
Health Canada
1999
ISBN: 0-660-15420-X
Cat. No.: H46-2/94-177E
Table of Contents
- Explanatory Notes
- 1. Introduction
- 2. Principal Objectives of the Safety Code
- 3. Responsibility and Personnel
- 4. Facility Requirements
- 5. Equipment Specifications
- 6. Film Processing and Handling
- 7. Quality Assurance Program
- 8. Procedures to Reduce Radiation Exposure to Personnel
- 9. Procedures for Minimizing Radiation Exposure to Patients
Appendices
- Appendix I Recommended Dose Limits of X-Radiation to Operators and Other Occupationally Exposed Personnel
- Appendix II Shielding Guides for Dental Facilities
- Appendix III Shielding Guides for Storage of Dental Radiographic Film
- Appendix IV Provincial / Territorial Radiation Safety Agencies of Dental Facilities
- Appendix V Radiation Measurement Units - International (SI) System
- Appendix VI Glossary of terminology
- Appendix VII Radiation Emitting Devices Regulations for Dental X-Ray Equipment with an Extra-oral Source
- Bibliography
Explanatory Notes
This document is one of a series of safety codes prepared by the Radiation Protection Bureau to set out requirements for the safe use of radiation-emitting equipment.
This Safety Code has been prepared to provide specific guidance to the dentist, dental hygienist, dental assistant and other support personnel concerned with safety procedures and equipment performance.
This Code supersedes Safety Code 22, entitled "Radiation Protection in Dental Practice", and is intended to complement the regulations pertaining to X-ray equipment design, construction and performance standards promulgated under the Radiation Emitting Devices Act.
The safety procedures, and equipment and installation guidelines detailed in this Safety Code are primarily for the instruction and guidance of persons employed in Federal Public Service departments and agencies, as well as those under the jurisdiction of the Canada Labour Code. Facilities under provincial/territorial jurisdiction may be subject to requirements specified under their statutes. The authorities listed in Appendix IV should be contacted for details of the regulatory requirements of individual provinces.
The words must and should in this code have been chosen with purpose. The word must indicates a requirement that is essential to meet the currently accepted standards of protection, while should indicates an advisory recommendation that is highly desirable and is to be implemented where applicable.
In a field in which technology is advancing rapidly and where unexpected and unique problems continually occur, this code cannot cover all possible situations. Blind adherence to rules cannot substitute for the exercise of sound judgement. Recommendations may be modified in unusual circumstances, but only upon the advice of experts in radiation protection. This code will be reviewed and revised from time to time, and a particular requirement may be reconsidered at any time, if it becomes necessary to cover an unforeseen situation. Interpretation or elaboration on any point can be obtained by contacting the Radiation Protection Bureau, Health Canada, Ottawa, Ontario, K1A 1C1.
1. Introduction
Dental radiography is one of the most valuable tools used in modern dental health care. It makes possible the diagnosis of physical conditions that would otherwise be difficult to identify and its judicious use is of considerable benefit to the patient. However, the use of dental radiological procedures must be carefully managed, because X-radiation has the potential for damaging healthy cells and tissues. Although no known occurrence of cancer or genetic damage has been observed from radiation doses delivered in modern dentistry, and until more evidence is available, one should practice radiation hygiene with the same care aswould be dictated if a hazard were known to exist. The aim of radiation protection in dentistry is to obtain the desired clinical information with minimum radiation exposure to patients, dental personnel, and the public.
During an average radiological examination, the radiation dose received by an individual is generally low and relatively few cells are damaged. Though cellular repair is expected, it is not necessarily perfect. Thus, the effect of even low levels of exposure to ionizing radiation over periods of time may accumulate and could represent a potential hazard to health. Radiation effects are generally categorized as somatic and genetic. Somatic effects appear within a time frame of a fewhours to years. Depending on the dose received and its duration, the consequence is greater for high doses incurred in short time periods. Genetic effects are also a cause for concern at the lower doses used in dental radiology. The radiation doses may be small and appear to cause no observable damage, but the probability of chromosomal damage, with the consequence of mutations giving rise to genetic defects, can make such doses significant, when considered for a very large population.
It should be emphasized that it is not currently possible to determine somatic and genetic effects of low doses and that estimates of the incidence of such effects are based on extrapolation from relatively high doses. It is generally accepted that there is no safe level of radiation dose and that no matter how low a dose is used, there is a mathematical probability of an effect. Since the projected effect of a low dose would increases the incidence of a deleterious effect only minimally above the naturally occurring level, it is impossible toprove by observation either the validity or falsity of this hypothesis. The linear extrapolation hypothesis has been widely adopted in radiological protection and has led to the formulation of the ALARA (As Low As Reasonably Achievable) principle. This states that exposure to radiation which can be decreased without loss of critical diagnostic information and without too much expense or inconvenience should be reduced. Furthermore, any exposure, no matter how low, which can be avoided altogether without unfavourable consequences, should be avoided.
There are four main concerns when dealing with radiation hazards. First, patients should not be subjected to unnecessary dental radiography. Second, patients need to be protected from unnecessary exposures. Third, it is essential that personnel in dental facilities be protected from unnecessary exposure to radiation in the course of their work. Finally, the public requires adequate protection.
While effective dose limits have been defined for radiationworkers and the general public, there are no specific radiation limits recommended for patients undergoing diagnostic X-ray procedures. There are, however, recommended limits on the surface dose for each dental X-ray examination. For patients, the risk involved with exposure to radiation must always be weighed against the clinical benefit of an accurate diagnosis, and there must always be a conscious effort to reduce patient doses to the lowest practical levels and to eliminate unnecessary dental X-ray procedures.
2. Principal Objectives
This Safety Code is concerned with the protection of all individuals who may be exposed to ionizing radiation from dental X-ray equipment. The principal objectives of this Safety Code are:
- to minimize radiation risk to the patient in dental radiology, commensurate with the required diagnostic information;
- to ensure adequate protection of personnel operating dental X-ray equipment; and
- to ensure adequate protection of the public near areas where dental X-ray equipment is operated.
To assist in achieving these objectives, this Safety Code:
- sets out the relative responsibilities of the owner, dentist, and operator;
- presents recommended practices for minimizing radiation exposure to patients and operators and for ensuring that dental X-ray equipment is used safely;
- specifies minimum standards of design, construction and performance for dental X-ray equipment;
- provides guidance on implementing and operating a Quality Assurance program; and
- provides information for determining adequacy of shielding in absorbing primary and stray radiation.
3. Responsibility and Personnel
3.1 Responsibility
The owner is ultimately responsible for the radiation safety of a dental facility. It is the responsibility of the owner to ensure that the equipment used or provided to operators, and the facilities in which the equipment is installed, meet all applicable radiation safety standards.
The owner may delegate this responsibility to staff. How this responsibility is delegated will depend on the size of the staff, the nature of the operation, and on the number of dental X-ray units owned. In some jurisdictions, the responsibility may be delegated to a Radiation Safety Officer. In any event, one or more persons must undertake responsibility for:
- ensuring that the installation complies with all applicable regulatory requirements, including equipment registration with the appropriate regulatory agency;
- establishing safe working conditions in accordance with the recommendations of this Safety Code and the statutory requirements of federal, provincial or territorial legislation, where applicable;
- contacting the appropriate government agency when a newfacility is being constructed, modification of an existing one is planned, or when dental X-ray equipment is purchased, to ensure that radiation barriers are adequate to meet the recommended effective dose limits given in Appendix I;
- contacting the appropriate government agency to set periodic scheduled inspections for the facility. In some jurisdictions, the responsible agency has the mandate for setting inspection schedules;
- ensuring that the equipment functions properly, is operated correctly, and is maintained by competent personnel only;
- ensuring that operators are properly trained in the operation of the equipment being used;
- ensuring that operators-in-training and inexperienced personnel operate dental X-ray equipment only under the direct supervision of an experienced operator;
- implementing and maintaining a Quality Assurance program for the facility;
- maintaining and keeping all records of the Quality Assurance program and records pertaining to the performance of dental X-ray equipment for the facility
- promulgating rules of radiation safety and ensuring that staff are made aware of them; and
- 11. ensuring that operators understand the recommendations of this Safety Code.
3.2 X-ray Equipment Operators
All X-ray equipment operators should be certified according to a recognized standard and must possess qualifications required by any applicable federal, provincial or territorial regulations or statutes. All operators must:
- understand the recommendations of this Safety Code;
- recognize the radiation hazards associated with their work and take measures to minimize them;
- have a thorough understanding of safe working methods and appropriate techniques and procedures;
- strive to eliminate unnecessary radiographic procedures and reduce to the lowest practical values all patient exposures to radiation; and
- participate fully in the established Quality Assurance program for the facility.
A female operator should immediately notify her employer upon knowledge that she is pregnant, in order that appropriate steps may be taken to ensure that her work duties during the remainder of the pregnancy are compatible with the recommended dose limits as stated in Appendix I. In general, there is no reason to remove pregnant operators, or other pregnant staff members, from their duties of operating dental X-ray equipment.
4. Facility Requirements
In dental facilities where the radiological workload is low, the conventional building materials used in ceilings, floors andwalls will normally provide adequate shielding against both the primary radiation beam and stray radiation. When existing structures do not provide adequate protection, additional shielding will be required. This can be accomplished by using additional thicknesses of building materials or by adding lead to thewalls, floors and ceiling of the existing facility.
4.1 Design Criteria for Dental Facilities
In the planning of any dental facility, consideration must be given to the operating X-ray tube voltage, expected maximum workload of the equipment, orientation factors of the radiation barriers and occupancy factors for areas adjacent to the facility. Allowance should be made for possible future increases in these parameters.
Certain basic principles must be observed when determining the shielding requirements for a room used routinely for dental radiography. These are:
- the radiation levels in controlled areas that are occupied routinely by radiation workers must be such that no radiation worker can receive more than 20 mSv per year; and
- the radiation levels in uncontrolled areas must be such that no person can receive more than 1 mSv per year.
In general, radiation levels near dental X-ray equipment are such that the above limits can be exceeded. Reduction in radiation intensity can be accomplished by the use of a suitable combination of distance from the source of radiation and physical radiation shielding barriers. It must also be noted that the above recommended dose limits for radiationworkers apply only to radiation exposure resulting directly from their occupation and do not include exposure from other sources, such as medical diagnosis and background radiation.
The radiation shielding required to reduce radiation levels to within the acceptable limits may be determined on the basis of distance, maximum expected X-ray tube voltage (kilovolt), workload (milliampere-second per week), orientation factor, and occupancy factor, as described in Appendix II. To ensure that the radiation levels are always below acceptable limits the maximum expected workload and tube voltage should be used.
Complex shielding calculations should be performed only by individuals with in-depth knowledge of radiation protection requirements and radiation shielding barriers. When such calculations are required, contact the appropriate government agency for guidance. For installations under federal jurisdiction the responsible agency is the Radiation Protection Bureau, Health Canada, Ottawa, Ontario, K1A 1C1. Dental facilities that fall under provincial/territorial jurisdiction must meet the requirements of the responsible agency in their respective jurisdiction. These requirements can be obtained by contacting the appropriate agency listed in Appendix IV.
4.2 General Recommendations
Protection of the operator and others near dental X-ray equipment should be achieved by:
- ensuring that the room containing the dental X-ray equipment is designed so that during the examination the operator is not exposed to the primary radiation beam and can keep a distance of at least 3 metres from the X-ray tube and from the patient. If it is not possible for an operator to keep at a distance of at least 3 metres from the X-ray tube, an adequately shielded barrier, which allows observation of the patient, must be provided for the operator to stand behind during radiography;
- shielding, where necessary, floor, walls, ceiling and doors, taking into account distance, maximum expected X-ray tube voltage, and workload. The orientation factors for the equipment along with the occupancy factors for the adjacent areas should be considered when more detailed shielding calculations are made;
- constructing shielding to form an unbroken barrier. Care should be taken in the use of shielding materials, especially lead, which must be adequately supported to prevent sagging;
- absorbing the primary radiation beam and stray radiation as close as possible to the source;
- ensuring that the primary radiation beam is always directed towards a shielded or unoccupied area;
- locating the irradiation switch for the dental X-ray equipment outside the room, at a sufficient distance from the X-ray tube, or behind an adequately shielded barrier;
- arranging for the final plans of the installation to be reviewed by the appropriate government agency when a new facility is constructed or modification to an existing one is made. The plans and accompanying documents must show:
- dimensions and shape of the room where the dental X-ray equipment is operated;
- materials used to construct the walls, floor and ceiling, and their thicknesses;
- materials used in radiation shielding barriers, shielding dimensions, locations and thicknesses;
- positions of all windows, doors, louvres, etc., that may affect radiation protection requirements;
- location and orientation of the dental X-ray equipment and dental chair, or other patient and film (cassette) supports;
- location, use and accessibility of adjacent rooms, as well as the room above and below the facility;
- expected maximum workload;
- brief description of the X-ray unit(s), containing at least the name of the manufacturer, model designation, operating X-ray tube voltages and X-ray tube current.
4.3 Radiation Protection Inspection
Radiation protection inspections must be performed on a regular basis to verify that:
- the dental X-ray equipment functions properly and according to applicable standards and legislative requirements;
- the dental X-ray equipment is installed in a safe environment and is used in a way which provides maximum radiation safety for patients and operators; and
- the Quality Assurance program is properly implemented and maintained and that the maximum benefits are obtained from the program.
For facilities under federal jurisdiction the responsible agency is the Radiation Protection Bureau, Health Canada, Ottawa, Ontario, K1A 1C1. Dental facilities that fall under provincial/territorial jurisdiction must meet the requirements of the responsible agency in their respective provinces. These requirements can be obtained by contacting the appropriate agency listed in Appendix IV.
5. Equipment Specifications
5.1 Newly Acquired Dental X-ray Equipment
All dental X-ray equipment, and its accessories, sold, imported or distributed in Canada, must conform to the requirements of the Radiation Emitting Devices Act and the Food and Drugs Act. The requirements, promulgated under these two Acts, are specified in the Radiation Emitting Devices Regulations and the Medical Devices Regulations. The former regulation specifies standards of design, construction and performance, with respect to radiation safety. The latter regulations encompass all other safety considerations and the question of efficacy for all dental X-ray equipment. It is the responsibility of the manufacturer or distributor to ensure that the equipment conforms to the requirements of the regulations.
It must also be noted that all used dental X-ray equipment, and accessories for such equipment, must conform to the requirements of the Radiation Emitting Devices Act and Regulations for dental X-ray equipment, when such equipment is being sold, imported or distributed.
The current Radiation Emitting Devices Regulations in effect for dental X-ray equipment, at the time of printing of this safety code, are reproduced in Appendix VII of this Safety Code. These regulations may be amended, from time-to-time, to keep abreast of changing technology. Information on the applicability and currency of the Radiation Emitting Devices Regulations or the Medical Devices Regulations may be obtained by contacting the Radiation Protection Bureau, Health Canada, Ottawa, Ontario, K1A 1C1.
5.2 Existing Dental X-ray Equipment
Whenever possible and where practical, existing dental X-ray equipment should be upgraded to incorporate the safety and performance features required of new dental X-ray equipment. It should be noted that it is a requirement of the Radiation Emitting Devices Regulations that replacements for any component or subassembly of an X-ray machine, for which a design, construction or performance standard has been specified in the Regulations applicable to the class of X-ray equipment, must comply with the standards in effect at the time of replacement.
Dental X-ray equipment, and accessories for such equipment, owned by facilities under provincial/territorial jurisdiction may be required to meet applicable provincial/territorial standards, guidelines or regulations.
To ensure a reasonable level of protection for patients and staff, all existing dental X-ray equipment must meet certain basic requirements. These are itemized in the remainder of this section.
5.2.1 General Requirements
- Warning Signs - The X-ray control panel must bear a permanent and conspicuous sign prohibiting unauthorized use and warning that hazardous X-radiation is emitted when the equipment is in operation.
- Status indicators - There must be readily discernible indicators on the control panel that indicate:
- when the control panel is energized and the machine is ready to produce X-rays, and
- when X-rays are produced.
When more than one X-ray tube is controlled by one control panel, there must be readily discernible indicators, at or near each X-ray tube housing and on the control panel, showing which tube is connected and ready to be energized. There should be an interlock preventing the energizing of more than one X-ray tube at the same time. These indicators can be in the form of lights, light emitting diodes (LEDs), liquid crystal displays (LCDs) or other.
- Indication of loading factors - For dental X-ray equipment having adjustable loading factors, the control panel must incorporate electrical meters or other indicators that enable determination of the X-ray tube voltage, X-ray tube current and time, or combinations of these. For equipment having non-adjustable loading factors, permanent marks or labels may be used to indicate these parameters.
- Irradiation switch - There must be an irradiation switch to start and terminate X-ray production. This switch must be of a type that requires continuous pressure by the operator to produceX-rays. Where the irradiation switch is a footswitch it must be so constructed that operation of the X-ray tube cannot occur inadvertently should the footswitch be overturned. Where the irradiation switch is mounted at the end of a cable, the cable must be of sufficient length to enable the operator to stand at least 3 metres from the tube housing and the patient. If the switch is in a fixed location, it must be at least 3 metres from the tube housing.
- Controlling timer. An electronic timing device must be provided to automatically terminate the irradiation. Mechanical timers must not be used. The timer must be designed and constructed in such a way that
- it is not possible to energize the X-ray tube without automatic or manual resetting of the timer after each loading;
- irradiation cannot be started with the timer set at its zero or OFF position; and
- the production of X-rays is automatically terminated after a preset time, preset milliampere-second value, a preset exposure or air kerma value.
- Filtration. There must be radiation-absorbing filters that provide a degree of attenuation such that the first half-value layer of aluminum is not less than the value shown in Table 1 for a selected X-ray tube voltage. For other X-ray tube voltages, the half-value layer of the radiation beam must not be less than the value obtained by linear interpolation from that table.
Table 1 Half-Value Layer X-Ray Tube Voltage
(kilovolt)First Half-Value Layer
(millimetre of Al)50 1.5 60 1.5 70 1.5 71 2.1 80 2.3 90 2.5 100 2.7 - Mechanical stability. The X-ray tube must be securely fixed and correctly aligned within the tube housing. The X-ray tube housing must maintain its required position or movement without excessive drift or vibration during operation and must be supported by mechanical means.
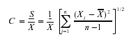
- Irradiation reproducibility. For a series of 10 consecutive radiation measurements taken at the same distance from the target, in the X-ray beam, within a time period of one hour, and where all variable controls for loading factors are adjusted to alternate settings and reset to the test setting before each measurement, the coefficient of variation of measurements is not greater than 0.05. The coefficient of variation is defined as the ratio of the standard deviation to the mean value of a series of irradiation measurements and is calculated using the following equation:
where
- C = coefficient of variation
- X = mean value of the measurements
- n = number of measurements
- Xi= ith irradiation measurement
- X-ray tube voltage. The actual peak X-ray tube voltage should not deviate from the indicated or selected value by more than 7%, or by the value specified by the manufacturer. It must not be possible to set or operate the X-ray tube with the tube voltage below 50 kilovolts (peak).
- X-ray tube current. The actual X-ray tube current should not deviate from the indicated or selected value by more than 5%, or by the value specified by the manufacturer, and be temperature compensated for normal operating conditions.
- Linearity. For any selected X-ray tube voltage within the range of values specified for the equipment, and for any irradiation time greater than 1/20 second, the following relation must hold:
X1 - X2< 0.1 (X1 + X2)
where X1 and X2 are the average values of exposure (kerma) per second, per pulse or per milliampere-second obtained- where the X-ray tube current is fixed, at each two settings of irradiation timer not differing by more than a factor of two, or
- where the irradiation time is fixed, at each two X-ray tube current settings not differing by more than a factor of two.
- X-ray tube shielding - The X-ray tube must be enclosed within a shielded housing. The housing must be constructed so that the leakage radiation, measured at a distance of one metre in any direction from the focal spot of the X-ray tube, does not exceed 0.87 mGy (100 mR) in one hour for any specified rating of the tube.
5.2.2 Conventional Dental X-ray Equipment
- Applicator - A position-indicating device must be provided to limit the minimum focal spot to skin distance to not less than 18 centimetres. The applicator must be an open-ended type. Pointed cone or close-ended applicators must not be used.
- Beam limiting device - The primary radiation beam must be collimated in size at the end of the applicator to a circle not more than 7 centimetres in diameter, or a rectangle of area not more than 38.5 cm2.
- Controlling timer - The maximum presettable irradiation time must not exceed 5 seconds, or the time required to deliver 50 milliampere- seconds, whichever is shorter.
5.2.3 Panoramic X-ray Equipment
- Applicator - A position-indicating device must be provided to limit the minimum focal spot to skin distance to not less than 15 centimetres.
- Beam limiting device - The primary radiation beam must be collimated such that the size of the radiation beam at the image receptor does not exceed any dimension of the scanning slit by more than one-half of that dimension or by more than 2% of the focal spot to image receptor distance, whichever is less.
- Cassette carrier - The cassette carrier should be interlocked such that irradiation is not possible, unless a film cassette is in the cassette carrier.
- Controlling timer - The maximum presettable irradiation time must not exceed 25 seconds, or the time required to deliver 250 milliampere-seconds, whichever is shorter.
5.2.4 Cephalometric X-ray Equipment
- Beam limiting device - The size of the primary radiation beam must not be more than 30 cm in diameter, or 800 cm2 in area for a rectangle, at a distance of 1.5 metre, or at the maximum focal spot to image receptor distance, whichever is less. Furthermore, the collimation must be such that the primary radiation beam is fully intercepted by the film cassette at the focal spot to film distance.
6. Film Processing and Handling
The irradiation necessary to produce a radiogram of satisfactory diagnostic quality, commensurate with minimum dose to the patient, depends not only on the loading factors and the film employed, but also on the handling and processing of the film. Good image quality requires a properly designed and equipped darkroom, appropriate developing techniques, and careful adherence to manufacturers' recommendations and instructions in both manual and automatic film processing.
6.1 Film processing
Improper processing techniques of exposed radiographic films can result in films of poor diagnostic quality and consequently increase the possibility of wrong diagnosis or the need for repeat radiographic examinations. Regardless of whether the processing is manual or automated, the film must be processed in chemically fresh developer, at proper temperature and for sufficient time to ensure that the silver in exposed silver halide crystals in the film emulsion is completely reduced, to achieve full development of the film. If oxidized or depleted developer is used, the blackening of the film will not be optimum and the tendency will be to increase radiation dose to achieve proper image density. Other factors, such as cleanliness of the processing system, film immersion time, agitation, the efficiency of the rinsing, and temperature control can also affect the quality of the processed film.
Automatic film processors used for conventional dental X-ray film will produce films of more uniform density with, on average, lower patient dose than using manual processing. Manual film processing of conventional dental X-ray films is not recommended, especially for highworkload facilities. Manual processing is acceptable for facilities where theworkload is very low, only a fewfilms per day.
To ensure proper processing of films, it is necessary to observe the following recommendations:
- Manufacturers' recommendations concerning the strength of solution, temperature and time must be strictly followed to ensure optimum development. An accurate thermometer is essential for adequate processing and, for manual processing, an accurate timer must be used
- .Developing solutions must be replenished as necessary and must be changed regularly, as required.
- Developing solutions must be monitored regularly. Even unused developer deteriorates with time. Developer must not be used when processing times become significantly longer than what is recommended by the manufacturers or the radiation dose necessary to obtain an acceptable film density has increased also significantly.
- Cleanliness is extremely important for reducing film artifacts in both manual and automatic film processing. Proper stainless steel processing tanks complete with water bath and lids must be used when manual processing is used. With automatic processors, the film transport mechanisms must be cleaned frequently.
- Automatic film processors must be maintained regularly, in accordance with the manufacturers' instructions, and the temperature and composition of the processing chemicals must be kept within the specified tolerances.
6.2 Darkroom
Manual processing of films requires the use of a proper, well-equipped darkroom. While specific details may vary from installation to installation, the following applies to all darkrooms:
- The room must be light-tight.
- The darkroom must be designed to incorporate a lockable door, double doors or a blackened maze entrance to ensure light-tightness when undeveloped films are being handled.
- A warning light should be located outside the darkroom, at the entrance, to indicate when the room is in use.
- Safelights equipped with bulbs of correct intensity must be provided above the work area within the darkroom. Safelights must have filters appropriate to meet the specifications of the film used and must be positioned at the proper distances from work areas. Safelight filters should be checked regularly since they may deteriorate with time or may crack.
- The darkroom must be equipped with proper stainless steel processing tanks with water bath and lids, including an accurate thermometer and timing device.
6.3 Film Storage
Film storage container must be adequately shielded to ensure that excessive irradiation of film by X-rays does not occur. Storage should be provided so that no film receives more than 1.75 µGy (0.2 mR) of radiation before use. The amount of shielding required will depend on the storage time and on the workload of the facility. For the majority of facilities, 1.5 mm of lead shielding will be more than adequate. For information on barrier thicknesses for film storage, consult Appendix III. Films should be stored in a cool, dry area.
6.4 Viewbox
The condition of viewboxes should be checked regularly. The conditions under which dentists and other health care professionals examine radiograms may influence diagnostic accuracy. Problems with improper illumination caused by the non-uniformity of light produced by fluorescent tube and the discoloration of the viewing surface should be corrected. It is best to use only one type of fluorescent tube within a facility. These tubes should be changed when signs of aging develop. Care should be taken to clean the viewing surface of the viewbox such that no dirt could influence diagnostic accuracy.
6.5 Cassette and Screen
Facilities operating panoramic or cephalometric X-ray equipment use film cassettes with screens as part of the image receptor. Cassettes or screens in poor condition could reduce diagnostic quality of the image. Typical problems are caused by dirty or damaged screens, warped cassettes, fatigue of foam compression material or closure mechanism, light leaks, and poor screen-film contact. Cassettes should therefore be checked regularly for wear and cleanliness. Screen cleaners recommended by manufacturers should be used. Films should never be left inside cassettes with screens for any extended period of time. Films left in cassettes with screens fog much more rapidly than films left in the package because they would be exposed by the light produced by the screens.
7. Quality Assurance Program
Quality Assurance is defined as the planned and organised actions necessary to provide adequate confidence that dental X-ray equipment will produce quality radiograms reliably with minimal doses to patients and staff. A Quality Assurance program includes quality control procedures for the monitoring and testing of dental X-ray equipment and related components, and administrative methodology to ensure that monitoring, evaluation and corrective actions are properly performed. A Quality Assurance program will include all practices established by the owner or dentist to ensure that:
- every radiographic examination is necessary and appropriate, based on prior clinical evaluation;
- the radiograms produced contain sufficient information to aid proper clinical assessment;
- the radiograms produced are correctly interpreted; and
- the radiographic examination is performed with the lowest possible radiation dose to the patient, consistent with clinical diagnostic requirements.
7.1 Goals of Quality Assurance Program
The principal goal of a Quality Assurance program is to provide accurate and timely diagnosis. The secondary goal is to minimize radiation exposure to the patient while the principal goal is achieved. Two aspects will affect the operation of a Quality Assurance program; one dealing with the equipment and the other with its operation. It is essential that the equipment be in proper working condition if any Quality Assurance program is to achieve its goals. It is necessary that all staff members participate fully in the implementation and operation of the Quality Assurance program. All staff members must understand the goals of the program and must be committed to the concept. When equipment functions properly, the majority of problems can be traced to human errors such as improper selection of loading factors and poor patient positioning.
Any program initiated only to comply with regulatory requirements is not likely to provide maximum possible benefit to the patient. It is, therefore, essential that all dental staff understand, support and participate in the operation of the Quality Assurance program. Some provincial/territorial jurisdictions require facilities to implement and participate in a Quality Assurance program.
To provide accurate and timely diagnosis while minimizing radiation exposure to the patient, the radiogram must contain all critical information necessary for accurate interpretation. If critical elements are missing on the radiogram, the film is considered of poor quality. The results of poor quality radiograms are the potential for incorrect interpretation, and the possibility of a repeat radiographic procedure resulting in unnecessary radiation exposure to the patient, and increased cost for films, chemicals and time.
7.2 Cost-benefit Considerations of Quality Assurance Program
The initial implementation of Quality Assurance will involve some costs, both in terms of time from dental staff and money. However, savings from the operation of the program will offset implementation costs and ultimately reduce operating costs for the dental facility. Some of the costs associated with the Quality Assurance program are as follows.
- Dental staff - Dental staff will be required to perform new duties to run an efficient program. These duties include generating test films for their dental X-ray equipment and some record keeping. It is expected that beyond the initial implementation of the program, the cost for the ongoing program will be minimal.
- Test equipment - Some test equipment, such as a thermometer and a step wedge, will be required. However, such equipment is fairly inexpensive and one set can be used for several dental X-ray units.
In addition to improved diagnostic quality of radiograms, some of the savings associated to the Quality Assurance program are as follows.
- Film and processing chemicals - The reduction in the number of radiographic examinations resulting from a decrease in repeated films. More appropriate radiographic examination prescriptions will save both films and film processing chemicals.
- Equipment - The reduction in the number of radiographic examinations will lead to a reduction in workload, which in turn will put less stress on dental X-ray equipment and film processors. This will make critical components such as the X-ray tube last longer and require less frequent servicing. Furthermore, any problems with equipment will be diagnosed earlier before more serious and costly problems occur.
- Patient flow - The reduction in the number of repeated films, and better diagnostic quality of the radiograms will allow better and more efficient use of time for the dental team. This will result in better predictability of scheduling and possibly greater patient flow.
- Stress - The reduction in the number of repeated films will reduced stress levels for staff by knowing that film quality will be consistent, and that they are less likely to fall behind schedule.
7.3 Implementation of a Quality Assurance Program
The implementation of a Quality Assurance program for dental X-ray equipment in a dental facility need not be complicated. The implementation consists of establishing quality control procedures for the equipment along with an administrative methodology to ensure that monitoring, evaluation and corrective actions are properly performed.
7.3.1 Establishment of Quality Control Procedures
The three following steps are needed for establishing quality control procedures.
- Equipment operation - Ensure that the dental X-ray equipment and film processing equipment function properly. This means the replacement, repair, upgrading or calibration of the equipment, if necessary.
- Baseline performance - Establish baseline performance values such as tube voltage, and timer accuracy, for each X-ray unit. This baseline performance will be used to detect any changes in equipment performance.
- Reference test image - Obtain a reference test image using the dental X-ray equipment and an attenuation step wedge. This image will be used for comparison of daily test films. A reference film using an anthropomorphic phantom is also recommended.
It is important to keep records of equipment operation data and baseline performance measurement. These records will be needed to diagnose any changes in film quality.
Many dental X-ray equipment supply companies distribute Quality Assurance kits which include an attenuation step wedge, a thermometer, record keeping forms, etc. Such kits may be useful in setting up Quality Assurance programs.
7.3.2 Establishment of Administrative Procedures
The following administrative procedures are needed for an effective Quality Assurance program:
- Responsibility assignments - The owner of the facility is ultimately responsible for the implementation and operation of the Quality Assurance program. However, staff members may be assigned duties about equipment monitoring, record keeping and Quality Assurance operation. It is essent ial that the level of responsibilities and involvement of the owner and staff be defined and understood.
- Record keeping - It is essential that measurements and information gathered for the Quality Assurance program be clearly documented and readily available for evaluation. Recorded data should be indicated as data points on a control chart when the measurement is made. An example is the charting of temperature for the film processor. In this form, trends can be easily detected. A log book or other easily identifiable method of recording should be used.
- Evaluation of data - Recorded data should be evaluated immediately upon recording and appropriate corrective actions taken if needed.
- Limits of acceptability of data - Upper and lower limits of acceptability of recorded data must be defined. If any of these limits are reached, corrective actions should be taken. For example, they can be the range of acceptable temperature for the film processor. These limits should be set such that they are just within the range allowable before diagnostically significant changes are evident. They should not be so restrictive that they would exceed the capability of the equipment, and that frequent corrective actions would be needed without any evidence of problems. These limits should be reviewed from time to time.
- Testing Frequency - Testing frequency should be such that the maintenance of quality is achieved. Tection 7.5.3 indicates recommended testing frequency.
- Corrective actions - There should be established corrective actions to deal with problems, such as equipment failure, repair and calibration.
7.4 Radiographic Imaging Quality Control
Radiograms are the final products of dental radiographic procedures. Proper processing of radiographic films is essential to achieve the goals of the Quality Assurance program. The following are general guidelines on the conditions of storage areas, darkroom, and film processing.
- Film and chemical storage - Since radiographic films are sensitive to light, heat, humidity, chemical contamination, mechanical stress and X-radiation, they should be stored at temperatures in the range of 10°C to 21°C with humidity between30%to 60%. It is best to follow the film manufacturer's instruction. Film storage areas should be free of chemical fumes and X-radiation. Shielding of storage areas should follow guidelines set in section 6.3. Processing chemicals should be protected from freezing. Manufacturer's recommendations should be followed in storing chemicals to avoid oxidization and any chemicals showing sign of oxidization or sedimentation must not be used.
- Darkroom conditions - The darkroom must be clean of dirt, dust, and spilled chemical residues. The darkroom must be light-tight and that proper darkroom lighting used. Guidelines set in section 6.2 should be followed.
- Manual processing - Film manufacturers' recommendations regarding film chemicals, processing temperature and processing time must be adhered to during manual processing.Athermometer and timer must always be used. Guidelines set in section 6.1 should be followed. A schedule for periodic replenishment of film chemicals based on the workload and on the type of film used should be prepared.
- Automated processing - One of the best methods to monitor the operation of an automated dental film processor is to process a film exposed with an attenuation step wedge and compare the processed film with a reference test image. Temperature and levels of chemicals should be monitored regularly. A schedule for periodic replenishment of film chemicals based on the workload and on the type of film used should be prepared.
7.5 Quality Control Procedures in Dental Radiography
Quality control procedures in dental radiography are executed in two phases. Initially, there are procedures done at the implementation of the Quality Assurance program. Subsequently, there are procedures performed during the operation of the program.
7.5.1 Procedures during implementation
During the implementation phase of the Quality Assurance program, the establishment of baseline information and equipment evaluation is necessary. The more technical evaluation should be performed by an organization or individual specializing in this type of evaluation.
- Performance of X-ray equipment
- Calibration of equipment
- Stability of equipment
- Proper radiation beam alignment
- Mechanical and electrical performance
- Inspection and replacement of worn or broken components
- Manufacturer's preventive maintenance schedule
- Handling of image receptor
- Proper handling of films, cassettes, screens, and chemicals
- Establishment of charts
- Loading factors charts
- X-ray exposure values charts
- Time-temperature development charts
- Optimization of processing equipment
- Conditions of tanks
- Condition of processing equipment
- Posting of maintenance schedule
- Darkroom
- Light tightness
- Adequate safelighting
- Cleanliness
- Adequate temperature control of water supply
- Condition of protective devices
- Protective clothing
- Protective thyroid shield
- Protective barriers
- Film holders
7.5.2 Procedures During Operation
The following list presents the tests to be done during the operation of a Quality Assurance program.
- Test films and film processing - Test films are needed to monitor the performance of the dental X-ray system and film processing. Generally, different types of test films are needed, such as ones using a step wedge, sensitometric film strips and an anthropomorphic phantom. For conventional dental X-ray equipment, a step wedge is irradiated using loading factors comparable to a radiographic dental procedure (i.e., bitewing exam). The produced film is processed and compared with the reference film. For panoramic and cephalometric equipment, sensitometric strips should be used to test film processing. The film is then evaluated visually or with a densitometer. A test radiogram using an anthropomorphic phantom should be taken and compared to the reference film to evaluate any changes in film density, contrast, resolution, or other features in image quality.
- Retake record - Arecord of every retake should be made, including the reason for the retake along with and any corrective actions. Any trends or repeated errors should be identified and corrected.
- Darkroom operation - Light tightness and correct safelighting should be assessed on a regular basis. Accuracy of the timing device and thermometer should also be checked.Adaily inspection of film processing solutions levels, and cleanliness of the darkroom should be made.
- Cassette and screen - Screens should be checked for cleanliness and damage. Cassettes should be checked for cleanliness, wear, warping, fatigue of foam compression material and closure mechanism, light leaks, and poor screen-film contact.
- Viewboxes - Viewboxes should be checked for cleanliness, viewing area discoloration and improper illumination.
- Dental X-ray equipment - Dental X-ray equipment should be checked on a regular basis and after servicing. The testing of dental X-ray equipment should be done by qualified individuals. The features presented in Table 2 should be checked.
| Item | Requirement |
|---|---|
| Filtration | Filtration should meet requirements set in section 5.2 |
| Controlling timer | Timer performance should meet requirements set in section 5.2 |
| X-ray tube shielding | X-ray tube shielding should meet requirements set in section 5.2 |
| X-ray tube voltage | X-ray tube voltage should meet requirements set in section 5.2 |
| Irradiation switch operation | Irradiation switch should meet requirements set in operation section 5.2 |
| Focal spot to skin distance | Focal spot to skin distance should meet distance requirements set in section 5.2 |
| Beam alignment and collimation | Beam alignment and collimation should meet collimation requirements set in section 5.2 |
| Patient radiation dose | Patient radiation dose should meet requirements set by the Dental Exposure Normalization Technique (D.E.N.T.) program and presented in section 9.2 and Table 4 |
7.5.3 Procedures Frequency
Table 3 presents suggested performance criteria and recommended frequency of testing for dental radiography quality control. It must be noted that some facilities may require different frequency of testing than suggested.
| Test | Performance Criteria | Minimum Frequency |
|---|---|---|
| Test film and film processing | ± 1 step (stepwedge) < ± 0.1 optical density | Daily |
| Test radiogram | Visual | Daily |
| Retake record | Visual | Daily |
| Operation of darkroom | Visual | Quarterly |
| Cassettes and screens | Visual | Annually |
| Filtration | See section 5.2. | Annually and after equipment service |
| Controlling timer | See section 5.2. | Annually and after equipment service |
| X-ray tube shielding | See section 5.2. | Annually and after X-ray tube housing service |
| X-ray tube voltage | See section 5.2. | Annually and after equipment service |
| Irradiation switch | See section 5.2. | Annually and after equipment service |
| Focal spot to skin distance | See section 5.2. | Annually and after equipment service |
| Beam alignment and collimation | See section 5.2. | Annually and after equipment service |
| Patient radiation dose | See section 9.2. | Annually and after equipment service |
8. Procedures to Reduce Radiation Exposure to Personnel
The procedures outlined in this section are intended to decrease or eliminate radiation exposures to staff and others. To achieve optimum safety, operators of dental X-ray equipment must make every reasonable effort to keep radiation exposure to themselves and to others below the limits specified in Appendix I.
8.1 General Recommendations
- A room must not be used at the same time for more than one radiological investigation.
- All persons, other than the patient and those whose presence is essential, must leave the room when a radiographic examination is carried out.
- Personnel must always keep as far away from the primary radiation beam as practical. Direct radiation exposure to personnel must not occur. Deliberate irradiation of an individual for training purposes must never be allowed. Anatomical phantoms of the human head and jaw regions should be provided for student to practice radiography during training courses.
- All personnel must use the protective devices available.
- The operation of a X-ray tube should be controlled from the control panel located outside the radiography room or behind a protective barrier. In special circumstances, where the operator is required to control the loading while at the side of the patient, protective clothing must be worn.
- The dental film should be fixed in position with a holding device, whenever possible, otherwise it should be held by the patient. The dental practitioner or other personnel must not hold the film in place for the patient during the procedure.
- When there is a need to support children or weak patients, holding devices should be used. If parents, escorts or other personnel and be positioned to avoid the primary radiation beam. No one must regularly perform these duties.
- An X-ray tube housing must not be held by hand during operation.
- All operators of X-ray equipment, together with personnel who routinely participate in radiological procedures must wear personnel dosimeters.
- The personnel dosimeter must be worn under the protective clothing.
- Energized dental X-ray equipment must not be left unattended.
- Where a radiation dose in excess of 5% of the recommended dose limits for radiationworkers specified in Appendix I is being received by any one person, an investigation about the causes and appropriate remedial steps must be taken to improve techniques and protective measures.
- Dental X-ray equipment must only be operated by individuals who have been trained in the safe use of the equipment and the procedures being performed.
9. Procedures for Minimizing Radiation Exposure to Patients
The largest single contributor of man-made radiation exposure to the population is medical and dental diagnostic radiology. In total, such radiations account for more than 90% of the total man-made radiation dose to the general population. It is generally agreed by experts in the scientific community that radiation exposure to patients from medical and dental radiographic sources can be reduced substantially with no decrease in the value of diagnostic information derived.
The risk to the individual patient from a single dental radiographic examination is very low. However, the risk to a population is increased by increasing the frequency of radiographic examinations and by increasing the number of persons undergoing such examinations. For this reason, every effort should be made to reduce the number of radiograms and the number of persons examined radio-graphically, as well as to reduce the dose involved in a particular examination.
To accomplish this reduction, it is essential that patients not be subjected to unnecessary radiological examinations and, when a radiological examination is required, it is essential that patients be protected from excessive radiation exposure during the examination.
The recommendations outlined below are directed toward the dentist and the operator of dental X-ray equipment. These recommendations are intended to provide guidelines for the elimination of unnecessary radiological examinations and for reducing doses to patients. Also, included are recommended upper limits on patient doses for certain common dental radiographic examinations.
9.1 Guidelines for the Prescription of Dental Radiographic Examinations
The dental practitioner is in the unique position to reduce unnecessary radiation exposure to the patient by eliminating examinations which are not clinically justified. The dental practitioner can achieve this by adhering to following basic recommendations.
- A radiographic examination should be for the purpose of obtaining diagnostic information about the patient to aid in a clinical evaluation of the patient and treatment when warranted.
- Routine or screening examinations, in which there is no prior clinical evaluation of the patient, should not be prescribed. It is considered a bad practice to radiograph patients unnecessarily, as in a standard survey, and this is especially deplored when done on children. It is also considered bad practice to take radiograms before a clinical examination by the dentist. These two practices constitute the largest potential abuse of radiology in dentistry.
- It should be determined whether there have been any previous radiographic examinations which would make further examination unnecessary or allow for an abbreviated radiographic examination.
- When a patient is transferred from one practitioner to another, any relevant radiograms should accompany the patient or should be requested from the previous dentist.
- The number of radiographic views required in an examination should be kept to the minimum practical, consistent with the clinical objectives of the examination.
- In prescribing radiographic examinations of pregnant or possibly pregnant women, full consideration should be taken of the consequences of foetal irradiation. The developing foetus is sensitive to radiation damage that can result in congenital defects. In dental radiology, good radiation protection practice reduces the foetal dose to an acceptable minimum and dose levels which do not constitute a significant hazard. It should be emphasized that precautions to reduce radiation exposure to the patient should be taken all the time because a woman of child bearing capacity may be unaware of her pregnancy.
- Repeat radiographic examinations should not be prescribed simply because a radiogram may not be of the "best" diagnostic quality, but does provide the desired information.
- A patient's clinical records should include details of all radiographic examinations carried out.
9.2 Guidelines for Protecting the Patient During Radiographic Examinations
It is possible to obtain a series of diagnostically acceptable radiograms and have the patient dose vary widely because of differences in the choice of loading factors and film speeds. It is the responsibility of the operator and dental practitioner to be aware of this and to know how to carry out a prescribed examination with the lowest practical dose to the patient. The recommendations that follow are intended to provide guidance to the operator and dental practitioner in exercising responsibility towards reduction of radiation exposure to the patient.
- The operator must not perform any radiographic examinations not prescribed by the dental practitioner responsible for the patient.
- The dose to the patient must be kept to the lowest practical value, consistent with clinical objectives. To achieve this, techniques appropriate to the equipment available should be used. It is recommended the X-ray loading factors charts be established when using X-ray units which do not have preprogrammed anatomical feature settings. The loading factors chart must be established after optimizing the film processing procedure.
- Fluoroscopy must not be used in dental examinations.
- Dental radiography must not be carried out at X-ray tube voltages below 50 kilovolts (peak) and should not be carried out at X-ray tube voltages below 60 kilovolts (peak).
- Dental X-ray equipment should be well maintained and its performance checked routinely. Accurate calibration of the equipment should also be carried out on a regular basis.
- The quality of radiograms should be monitored routinely, through a Quality Assurance program, to ensure that they satisfy diagnostic requirements with minimal radiation exposure to the patient.
- The patient must be provided with a shielded apron, for gonad protection, and a thyroid shield, especially during occlusal radiographic examinations of the maxilla. The use of a thyroid shield is especially important in children. The shielded apron and thyroid shield should have a lead equivalence of at least 0.25mmof lead. In panoramic radiography, since the radiation is also not adequate and dual (front and back) lead aprons should be worn.
- The primary X-ray beam must be collimated to irradiate the minimum area necessary for the examination.
- The primary X-ray beam should be aligned and the patient's head positioned in such a way that the beam is not directed at the patient's gonads and is not unnecessarily irradiating the patient's body.
- The fastest film or film-screen combination consistent with the requirements of the examination should be used. The film processing technique should ensure optimum development and should be in accordance with the recommendations given in section 6.1. Sight developing must not be done.
- Dental X-ray films must be examined with a viewbox specifically designed for this purpose.
- While recommended dose limits have been defined for radiation workers and the general population, no specific permissible levels have been recommended, to date, for patients undergoing diagnostic radiographic procedures. For patients, the risk involved in the radiographic examination must always be weighed against the requirement for accura te diagnosis. Information from the Dental Exposure Normalization Technique (D.E.N.T.) program is used to provide realistic sets of limits. These recommended upper and lower limits are presented in Table 4. Any patient skin dose greater than the upper limit presented is an indication of poor film processing techniques or sub-standard equipment performance. The lower limits indicate the point where any gain in dose reduction may be reflected by a loss of diagnostic quality of the film.
| Skin Dose Range per Irradiation for "D" Speed Film | ||
|---|---|---|
| X-ray Tube Voltage (kilovolt) |
Lower Limit (mGy) (mR) |
Upper Limit (mGy) (mR) |
| 50 | 3.49 (400) | 4.80 (550) |
| 55 | 3.23 (370) | 4.54 (520) |
| 60 | 2.79 (320) | 4.15 (475) |
| 65 | 2.36 (270) | 3.62 (415) |
| 70 | 2.01 (230) | 3.14 (360) |
| 75 | 1.57 (180) | 2.66 (305) |
| 80 | 1.40 (160) | 2.27 (260) |
| 85 | 1.22 (140) | 2.01 (230) |
| 90 | 1.05 (120) | 1.83 (210) |
| 95 | 0.87 (100) | 1.70 (195) |
| 100 | 0.79 ( 90) | 1.57 (180) |
| Skin Dose Range per Irradiation for "E" Speed Film | ||
| X-ray Tube Voltage (kilovolt) |
Lower Limit (mGy) (mR) |
Upper Limit (mGy) (mR) |
| 50 | 1.92 (220) | 2.44 (280) |
| 55 | 1.66 (190) | 2.18 (250) |
| 60 | 1.48 (170) | 1.92 (220) |
| 65 | 1.27 (145) | 1.66 (190) |
| 70 | 1.09 (125) | 1.44 (165) |
| 75 | 0.87 (100) | 1.18 (135) |
| 80 | 0.74 ( 85) | 1.00 (115) |
| 85 | 1.00 (115) | 0.92 (105) |
| 90 | 0.61 ( 70) | 0.83 ( 95) |
| 95 | 0.52 ( 60) | 0.74 ( 85) |
| 100 | 0.44 ( 50) | 0.61 ( 70) |
Appendix I - Recommended Dose Limits of X-Radiation to Operators and Other Occupationally Exposed Personnel
For the purpose of radiation protection, individuals may be classified in one of two categories: those exposed to radiation from man-made sources during their work (radiation workers), and others. The recommended dose limits are given for both categories in the following table. These dose limits are based on the recommendations of the International Commission on Radiological Protection (ICRP) as specified in ICRP Publication 60.
It must be noted that the recommended dose limits for radiation workers apply only to radiation exposure resulting directly from their occupation and do not include exposure from other sources, such as medical diagnosis and background radiation.
| Applicable Body Organ or Tissue |
Radiation Workers | Members of the Public |
|---|---|---|
| Whole body | 20 mSv | 1 mSv |
| Lens of the eye | 150 mSv | 15 mSv |
| Skin | 500 mSv | 5o mSv |
| Hands | 500 mSv |
Notes:
- It is emphasized that any irradiation does involve some degree of risk and although the levels recommended in this Appendix are maximum permitted values, all doses should be kept as low as reasonably achievable and any unnecessary irradiations must be avoided.
- ICRP does not recommend discrimination in the dose limits between men and women of reproductive capacity, except when a woman is pregnant.
- For occupationally exposed women, once pregnancy has been declared, the conceptus should be protected from external exposure to radiation by applying an equivalent dose limit of 2 mSv to the surface of the woman's abdomen for the remainder of the pregnancy.
- For operators-in-training and students, the recommended dose limits for the public apply.
- ICRP does not recommend different limits for individual organs. For occupationally exposed workers, ICRP believes that deterministic effects will be prevented by applying an equivalent dose limit of 500 mSv in a year to all tissues except the lens of the eye, for which it recommends a limit of 150 mSv in a year.
- For the skin, the equivalent dose is averaged over its whole area. In situations where localised exposures are possible, the recommended equivalent dose limit for the skin is 500 mSv and is averaged over an area of 1 cm2. This limit applies to the skin of the face and the hands.
- In special circumstances, ICRP recommendations allow a dose of 50 mSv for occupationally exposed personnel, as long as the dose averaged over a five year period is not greater than the 20 mSv. However, in dentistry, there is no circumstance where such provision should apply.
Appendix II - Shielding Guides for Dental Facilities
To determine the shielding necessary for a dental facility, certain preliminary information is essential. It is recommended to contact the appropriate agency to enquire about shielding requirements and calculations. In many instances the thickness of lead, concrete or gypsum wallboard required to reduce radiation levels to the recommended dose limits can be determined directly from the tables of this Appendix. To determine shielding requirements, the following information is necessary:
- What is the distance between the nearest point of the area to be shielded and the usual operational position of the X-ray tube?
- Is the area to be designated as a controlled or uncontrolled area? (The area occupied by radiation workers is subject to the limit of 20 mSv per year, whereas area occupied by non-radiation workers is subject to the limit of 1 mSv per year.)
- Will the intervening shield between the X-ray tube and the occupied area act as a primary or as a secondary protective barrier, i.e., will the barrier be required to attenuate the direct radiation beam or stray radiation?
- What will be the anticipated maximum workload of the dental X-ray unit? (The workload indicates the operational time of a dental X-ray unit expressed in milliampere-seconds per week.)
- What will be the maximum operational X-ray tube voltage?
- What are the Occupancy and Orientation Factors? (Table 6 and 7)
Table 6 Occupancy Factors
The occupancy factors are for use as a guide in the planning of shielding.
T=1 (Full occupancy)
- Darkrooms and film processing areas, operatories, laboratories, and examining rooms, corridors, rest rooms, lounges and other areas used routinely by occupationally exposed persons, patient waiting rooms, occupied space located outside the dental suite, such as living quarters, offices, play areas.
T=1/4 (Partial occupancy)
- Public corridors, utility rooms, rest rooms, areas not used routinely by occupationally exposed persons, elevators with operators, unattended parking areas.
T=1/16 (Occasional occupancy)
- Washrooms not used routinely by occupationally exposed personnel, stairways, elevators, sidewalks, streets.
Table 7 Orientation Factors
The orientation factors in this table are for use as a guide in the planning of shielding for primary barrier. For secondary barriers U is always equal to 1.
U=1
- Cephalometric X-ray equipment - wall towards which the primary X-ray beam is oriented.
U=1/16
- Conventional X-ray equipment - walls on the sides and behind the dental chair, floors.
- Panoramic X-ray equipment - any wall towards which the primary X-ray beam may be oriented during the rotational motion of the tube head.
U=0
- Conventional X-ray equipment - wall facing the dental chair, ceiling.
- Panoramic X-ray equipment - floor, ceiling, wall that cannot be struck by the primary X-ray beam.
General Information on Shielding Tables
The following information applies to shielding tables in this Appendix.
- The tabulated values give the minimum amount of lead, gypsum and concrete shielding required to reduce the skin dose in uncontrolled areas to 1 mSv in one year and in controlled areas to 20 mSv in one year.
- The shielding thicknesses are for a single radiation source. If more than one source irradiates the location of interest, the contribution from each source must be taken into account in determining the amount of shielding required.
- Planned and existing structural materials should be fully considered when calculating a barrier requirement.
- The thicknesses of lead required have been rounded off to the next highest 0.05 mm and for concrete and gypsum to the highest 0.5 cm.
- Acoustical type lead material is not suitable for lead shielding.
- Gypsum wallboard is not recommended for primary protective barrier construction for cephalometric X-ray equipment and for other equipment when the workload is greater than 500 mAs/week.
- All shielding tables are calculated using an occupancy factor of 1 (T=1).
- All shielding tables are calculated using orientation factors stated in Table 6.
- Where the cassette carrier for panoramic and cephalometric X-ray equipment provides sufficient X-ray beam attenuation, the shielding requirements will be only for secondary protective barriers.
1. Shielding for Conventional X-ray Equipment
| A. Lead | ||||||
|---|---|---|---|---|---|---|
| X-Ray Tube Voltage (kVp) | Effective Workload (mA-sec/week) | Shielding in millimetres of lead required at a source distance of | ||||
| 1 m | 1.5 m | 2 m | 3 m | 4 m | ||
| 60 | 1000 | 0.50 | 0.35 | 0.30 | 0.20 | 0.15 |
| 500 | 0.40 | 0.25 | 0.20 | 0.15 | 0.10 | |
| 250 | 0.30 | 0.20 | 0.15 | 0.10 | 0.05 | |
| 100 | 0.20 | 0.10 | 0.10 | 0.05 | ||
| 50 | 0.15 | 0.10 | 0.05 | |||
| 25 | 0.10 | 0.05 | ||||
| 70 | 1000 | 0.70 | 0.55 | 0.40 | 0.25 | 0.20 |
| 500 | 0.55 | 0.35 | 0.25 | 0.15 | 0.10 | |
| 250 | 0.40 | 0.25 | 0.20 | 0.10 | 0.10 | |
| 100 | 0.25 | 0.15 | 0.10 | 0.05 | ||
| 50 | 0.15 | 0.10 | 0.05 | |||
| 25 | 0.10 | 0.05 | ||||
| 90 | 1000 | 1.15 | 0.85 | 0.70 | 0.45 | 0.30 |
| 500 | 0.90 | 0.65 | 0.50 | 0.30 | 0.20 | |
| 250 | 0.70 | 0.45 | 0.30 | 0.20 | 0.15 | |
| 100 | 0.45 | 0.25 | 0.20 | 0.10 | 0.05 | |
| 50 | 0.30 | 0.15 | 0.10 | 0.05 | ||
| 25 | 0.20 | 0.10 | 0.05 | |||
| B. Concrete | ||||||
| X-Ray Tube Voltage (kVp) | Effective Workload (mA-sec/week) | Shielding in centimetres of concrete required at a source distance of | ||||
| 1 m | 1.5 m | 2 m | 3 m | 4 m | ||
| 60 | 1000 | 4.0 | 3.0 | 2.5 | 2.0 | 1.5 |
| 500 | 3.0 | 2.5 | 2.0 | 1.5 | 1.0 | |
| 250 | 2.5 | 2.0 | 1.5 | 1.0 | 0.5 | |
| 100 | 2.0 | 1.0 | 1.0 | 0.5 | ||
| 50 | 1.0 | 1.0 | 0.5 | |||
| 25 | 1.0 | 0.5 | ||||
| 70 | 1000 | 5.5 | 4.5 | 3.5 | 2.5 | 2.0 |
| 500 | 4.5 | 3.5 | 3.0 | 2.0 | 1.0 | |
| 250 | 3.5 | 2.5 | 1.0 | 1.0 | ||
| 100 | 2.5 | 1.5 | 1.0 | 0.5 | ||
| 50 | 1.5 | 1.0 | 0.5 | |||
| 25 | 1.0 | 0.5 | ||||
| 90 | 1000 | 9.0 | 7.5 | 6.0 | 4.5 | 3.5 |
| 500 | 7.5 | 6.0 | 5.0 | 3.5 | 2.5 | |
| 250 | 6.0 | 4.5 | 3.5 | 2.0 | 1.5 | |
| 100 | 4.5 | 3.0 | 2.0 | 1.0 | 0.5 | |
| 50 | 3.0 | 2.0 | 1.0 | 0.5 | ||
| 25 | 2.0 | 1.0 | 0.5 | |||
| C. Gypsum | ||||||
| X-Ray Tube Voltage (kVp) | Effective Workload (mA-sec/week) | Shielding in centimetres of gypsum required at a source distance of | ||||
| 1 m | 1.5 m | 2 m | 3 m | 4 m | ||
| 60 | 1000 | 9.5 | 7.5 | 6.0 | 4.0 | 2.5 |
| 500 | 7.5 | 5.5 | 4.0 | 2.5 | 1.5 | |
| 250 | 6.0 | 4.0 | 2.5 | 1.5 | 1.0 | |
| 100 | 3.5 | 2.0 | 1.0 | 0.5 | ||
| 50 | 2.0 | 1.0 | 1.0 | |||
| 25 | 1.0 | 0.5 | ||||
| 70 | 1000 | 13.0 | 10.0 | 8.0 | 5.5 | 4.0 |
| 500 | 10.5 | 7.5 | 6.0 | 3.5 | 2.0 | |
| 250 | 8.0 | 5.5 | 4.0 | 2.0 | 1.0 | |
| 100 | 5.0 | 3.0 | 2.0 | 0.5 | ||
| 50 | 3.0 | 1.5 | 1.0 | |||
| 25 | 2.0 | 0.5 | ||||
| 90 | 1000 | 20.0 | 16.0 | 13.5 | 10.0 | 7.5 |
| 500 | 16.5 | 13.0 | 10.5 | 7.0 | 5.0 | |
| 250 | 13.5 | 10.0 | 7.5 | 4.5 | 2.5 | |
| 100 | 9.5 | 6.0 | 4.0 | 2.0 | 1.0 | |
| 50 | 6.5 | 3.0 | 2.0 | 0.5 | ||
| 25 | 4.0 | 2.0 | 1.0 | |||
| A. Lead | ||||||
|---|---|---|---|---|---|---|
| X-Ray Tube Voltage (kVp) | Effective Workload (mA-sec/week | Shielding in millimetres of lead required at a source distance of | ||||
| 1 m | 1.5 m | 2 m | 3 m | 4 m | ||
| 60 | 1000 | 0.15 | 0.10 | 0.05 | ||
| 500 | 0.10 | 0.05 | ||||
| 250 | 0.05 | |||||
| 100 | ||||||
| 50 | ||||||
| 25 | ||||||
| 70 | 1000 | 0.15 | 0.10 | 0.05 | 0.05 | |
| 500 | 0.10 | 0.05 | 0.05 | |||
| 250 | 0.05 | |||||
| 100 | 0.05 | |||||
| 50 | ||||||
| 25 | ||||||
| 90 | 1000 | 0.30 | 0.15 | 0.10 | 0.05 | |
| 500 | 0.20 | 0.10 | 0.05 | |||
| 250 | 0.10 | 0.05 | ||||
| 100 | 0.05 | |||||
| 50 | ||||||
| 25 | ||||||
| B. Concrete | ||||||
| X-Ray Tube Voltage (kVp) | Effective Workload (mA-sec/week | Shielding in centimetres of concrete required at a source distance of | ||||
| 1 m | 1.5 m | 2 m | 3 m | 4 m | ||
| 60 | 1000 | 1.5 | 1.0 | 0.5 | ||
| 500 | 1.0 | 0.5 | ||||
| 250 | 0.5 | |||||
| 100 | ||||||
| 50 | ||||||
| 25 | ||||||
| 70 | 1000 | 1.5 | 1.0 | 0.5 | 0.5 | |
| 500 | 1.0 | 0.5 | 0.5 | |||
| 250 | 0.5 | |||||
| 100 | 0.5 | |||||
| 50 | ||||||
| 25 | ||||||
| 90 | 1000 | 3.0 | 2.0 | 1.0 | 0.5 | |
| 500 | 2.0 | 1.0 | 0.5 | |||
| 250 | 1.0 | 0.5 | ||||
| 100 | 0.5 | |||||
| 50 | ||||||
| 25 | ||||||
| C. Gypsum | ||||||
| X-Ray Tube Voltage (kVp) | Effective Workload (mA-sec/week) | Shielding in centimetres of gypsum required at a source distance of | ||||
| 1 m | 1.5 m | 2 m | 3 m | 4 m | ||
| 60 | 1000 | 2.5 | 1.0 | 0.5 | ||
| 500 | 1.5 | 0.5 | ||||
| 250 | 0.5 | |||||
| 100 | ||||||
| 50 | ||||||
| 25 | ||||||
| 70 | 1000 | 3.0 | 1.5 | 1.0 | 0.3 | |
| 500 | 2.0 | 0.5 | 0.5 | |||
| 250 | 1.0 | |||||
| 100 | 0.5 | |||||
| 50 | ||||||
| 25 | ||||||
| 90 | 1000 | 6.5 | 3.5 | 2.0 | 0.5 | |
| 500 | 4.0 | 2.0 | 1.0 | |||
| 250 | 2.0 | 0.5 | ||||
| 100 | 0.5 | |||||
| 50 | ||||||
| 25 | ||||||
| A. Lead | ||||||
|---|---|---|---|---|---|---|
| X-Ray Tube Voltage (kVp) | Effective Workload (mA-sec/week) | Shielding in millimetres of lead required at a source distance of | ||||
| 1 m | 1.5 m | 2 m | 3 m | 4 m | ||
| 60 | 1000 | 0.45 | 0.35 | 0.25 | 0.10 | |
| 500 | 0.35 | 0.20 | 0.10 | |||
| 250 | 0.25 | 0.10 | ||||
| 100 | 0.10 | |||||
| 50 | ||||||
| 25 | ||||||
| 70 | 1000 | 0.65 | 0.45 | 0.35 | 0.15 | 0.05 |
| 500 | 0.50 | 0.30 | 0.15 | 0.05 | ||
| 250 | 0.35 | 0.15 | 0.05 | |||
| 100 | 0.10 | 0.05 | ||||
| 50 | 0.05 | |||||
| 25 | ||||||
| 90 | 1000 | 0.95 | 0.65 | 0.45 | 0.20 | 0.10 |
| 500 | 0.70 | 0.45 | 0.25 | 0.05 | ||
| 250 | 0.45 | 0.20 | 0.10 | |||
| 100 | 0.20 | 0.05 | ||||
| 50 | 0.05 | |||||
| 25 | ||||||
| B. Concrete | ||||||
| X-Ray Tube Voltage (kVp) | Effective Workload (mA-sec/week) | Shielding in centimetres of concrete required at a source distance of | ||||
| 1 m | 1.5 m | 2 m | 3 m | 4 m | ||
| 60 | 1000 | 2.5 | 2.0 | 1.5 | 0.5 | |
| 500 | 2.0 | 1.5 | 1.0 | |||
| 250 | 1.5 | 0.5 | ||||
| 100 | 0.5 | |||||
| 50 | ||||||
| 25 | ||||||
| 70 | 1000 | 3.5 | 2.5 | 2.0 | 1.0 | 0.5 |
| 500 | 2.5 | 1.5 | 1.0 | 0.5 | ||
| 250 | 2.0 | 1.0 | 0.5 | |||
| 100 | 1.0 | 0.5 | ||||
| 50 | 0.5 | |||||
| 25 | ||||||
| 90 | 1000 | 5.5 | 4.0 | 3.0 | 1.5 | 0.5 |
| 500 | 4.5 | 2.5 | 2.0 | 0.5 | ||
| 250 | 3.0 | 1.5 | 0.5 | |||
| 100 | 1.5 | 0.5 | ||||
| 50 | 0.5 | |||||
| 25 | ||||||
| C. Gypsum | ||||||
| X-Ray Tube Voltage (kVp) | Effective Workload (mA-sec/week) | Shielding in centimetres of gypsum required at a source distance of | ||||
| 1 m | 1.5 m | 2 m | 3 m | 4 m | ||
| 60 | 1000 | 7.0 | 5.0 | 3.5 | 1.5 | |
| 500 | 5.5 | 3.5 | 2.0 | |||
| 250 | 3.5 | 1.5 | ||||
| 100 | 1.0 | |||||
| 50 | ||||||
| 25 | ||||||
| 70 | 1000 | 9.0 | 6.5 | 4.5 | 2.0 | 0.5 |
| 500 | 7.0 | 4.0 | 2.5 | 0.5 | ||
| 250 | 4.5 | 2.0 | 0.5 | |||
| 100 | 1.5 | 0.5 | ||||
| 50 | 0.5 | |||||
| 25 | ||||||
| 90 | 1000 | 13.5 | 9.5 | 7.0 | 3.0 | 1.0 |
| 500 | 10.0 | 6.5 | 3.5 | 1.0 | ||
| 250 | 7.0 | 3.0 | 1.0 | |||
| 100 | 3.0 | 0.5 | ||||
| 50 | 1530.5 | |||||
| 25 | ||||||
2. Shielding for Panoramic X-ray Equipment
| A. Lead | ||||||
|---|---|---|---|---|---|---|
| X-Ray Tube Voltage (kVp) |
Effective Workload (mA-sec/week) |
Shielding in millimetres of lead required at a source distance of |
||||
| 1 m | 1.5 m | 2 m | 3 m | 4 m | ||
| 70 | 5000 | 1.05 | 0.85 | 0.70 | 0.55 | 0.40 |
| 2500 | 0.90 | 0.70 | 0.55 | 0.35 | 0.20 | |
| 1000 | 0.65 | 0.45 | 0.35 | 0.15 | ||
| 500 | 0.50 | 0.30 | 0.15 | |||
| 250 | 0.35 | 0.15 | ||||
| 100 | 0.10 | |||||
| 90 | 5000 | 1.50 | 1.20 | 1.00 | 0.75 | 0.55 |
| 2500 | 1.25 | 0.95 | 0.75 | 0.50 | 0.30 | |
| 1000 | 0.95 | 0.65 | 0.45 | 0.20 | ||
| 500 | 0.70 | 0.40 | 0.20 | |||
| 250 | 0.45 | 0.20 | ||||
| 100 | 0.15 | |||||
| B. Concrete | ||||||
| X-Ray Tube Voltage (kVp) | Effective Workload (mA-sec/week) | Shielding in centimetres of concrete required at a source distance of | ||||
| 1 m | 1.5 m | 2 m | 3 m | 4 m | ||
| 70 | 5000 | 5.5 | 4.5 | 3.5 | 2.5 | 2.0 |
| 2500 | 4.5 | 3.5 | 3.0 | 2.0 | 1.0 | |
| 1000 | 3.5 | 2.5 | 2.0 | 1.0 | ||
| 500 | 2.5 | 1.5 | 1.0 | |||
| 250 | 2.0 | 1.0 | ||||
| 100 | 0.5 | |||||
| 90 | 5000 | 8.5 | 7.0 | 6.0 | 4.5 | 3.0 |
| 2500 | 7.0 | 5.5 | 4.5 | 3.0 | 2.0 | |
| 1000 | 5.5 | 4.0 | 3.0 | 1.0 | ||
| 500 | 4.0 | 2.5 | 1.5 | |||
| 250 | 3.0 | 1.0 | ||||
| 100 | 1.0 | |||||
| C. Gypsum | ||||||
| X-Ray Tube Voltage (kVp) |
Effective Workload (mA-sec/week) |
Shielding in centimetres of gypsum required at a source distance of | ||||
| 1 m | 1.5 m | 2 m | 3 m | 4 m | ||
| 70 | 5000 | 14.5 | 11.5 | 10.0 | 7.0 | 5.0 |
| 2500 | 12.0 | 9.5 | 7.5 | 5.0 | 3.0 | |
| 1000 | 9.0 | 6.5 | 4.5 | 1.5 | ||
| 500 | 6.5 | 4.0 | 2.0 | |||
| 250 | 4.5 | 1.5 | ||||
| 100 | 1.5 | |||||
| 90 | 5000 | 20.0 | 16.5 | 14.0 | 10.0 | 7.5 |
| 2500 | 17.0 | 13.0 | 10.5 | 7.0 | 4.0 | |
| 1000 | 12.5 | 9.0 | 6.5 | 2.5 | ||
| 500 | 9.5 | 5.5 | 3.0 | |||
| 250 | 6.5 | 2.5 | ||||
| 100 | 2.5 | |||||
| A. Lead | ||||||
|---|---|---|---|---|---|---|
| X-Ray Tube Voltage (kVp) | Effective Workload (mA-sec/week) | Shielding in millimetres of lead required at a source distance of | ||||
| 1 m | 1.5 m | 2 m | 3 m | 4 m | ||
| 70 | 5000 | 0.35 | 0.15 | |||
| 2500 | 0.15 | |||||
| 1000 | ||||||
| 500 | ||||||
| 250 | ||||||
| 100 | ||||||
| 90 | 5000 | 0.45 | 0.20 | 0.05 | ||
| 2500 | 0.20 | |||||
| 1000 | ||||||
| 500 | ||||||
| 250 | ||||||
| 100 | ||||||
| B. Concrete | ||||||
| X-Ray Tube Voltage (kVp) | Effective Workload (mA-sec/week) | Shielding in centimetres of concrete required at a source distance of | ||||
| 1 m | 1.5 m | 2 m | 3 m | 4 m | ||
| 70 | 5000 | 2.0 | 1.0 | |||
| 2500 | 1.0 | |||||
| 1000 | ||||||
| 500 | ||||||
| 250 | ||||||
| 100 | ||||||
| 90 | 5000 | 3.0 | 1.0 | 0.5 | ||
| 2500 | 1.5 | |||||
| 1000 | ||||||
| 500 | ||||||
| 250 | ||||||
| 100 | ||||||
| C. Gypsum | ||||||
| X-Ray Tube Voltage (kVp) | Effective Workload (mA-sec/week) | Shielding in centimetres of gypsum required at a source distance of | ||||
| 1 m | 1.5 m | 2 m | 3 m | 4 m | ||
| 70 | 5000 | 4.5 | 1.5 | |||
| 2500 | 2.0 | |||||
| 1000 | ||||||
| 500 | ||||||
| 250 | ||||||
| 100 | ||||||
| 90 | 5000 | 6.5 | 2.5 | 0.5 | ||
| 2500 | 3.0 | |||||
| 1000 | ||||||
| 500 | ||||||
| 250 | ||||||
| 100 | ||||||
3. Shielding for Cephalometric X-ray Equipment
| A. Lead | ||||||
|---|---|---|---|---|---|---|
| X-Ray Tube Voltage (kVp) | Effective Workload (mA-sec/week) | Shielding in millimetres of lead required at a source distance of | ||||
| 1 m | 1.5 m | 2 m | 3 m | 4 m | ||
| 70 | 1000 | 0.95 | 0.80 | 0.70 | 0.55 | 0.40 |
| 500 | 0.80 | 0.65 | 0.55 | 0.40 | 0.35 | |
| 250 | 0.70 | 0.55 | 0.40 | 0.30 | 0.25 | |
| 100 | 0.50 | 0.40 | 0.30 | 0.20 | 0.15 | |
| 50 | 0.40 | 0.30 | 0.25 | 0.15 | 0.10 | |
| 25 | 0.30 | 0.20 | 0.15 | 0.10 | 0.10 | |
| 10 | 0.20 | 0.15 | 0.10 | 0.10 | 0.05 | |
| 90 | 1000 | 1.75 | 1.50 | 1.30 | 1.05 | 0.90 |
| 500 | 1.55 | 1.30 | 1.10 | 0.85 | 0.70 | |
| 250 | 1.30 | 1.05 | 0.90 | 0.65 | 0.55 | |
| 100 | 1.05 | 0.80 | 0.65 | 0.45 | 0.35 | |
| 50 | 0.85 | 0.60 | 0.50 | 0.30 | 0.25 | |
| 25 | 0.65 | 0.45 | 0.35 | 0.20 | 0.15 | |
| 10 | 0.45 | 0.25 | 0.20 | 0.10 | 0.10 | |
| B. Concrete | ||||||
| X-Ray Tube Voltage (kVp) | Effective Workload (mA-sec/week) | Shielding in centimetres of concrete required at a source distance of | ||||
| 1 m | 1.5 m | 2 m | 3 m | 4 m | ||
| 70 | 1000 | 9.5 | 8.0 | 7.5 | 6.0 | 5.5 |
| 500 | 8.5 | 7.0 | 6.5 | 5.0 | 4.5 | |
| 250 | 7.5 | 6.0 | 5.5 | 4.0 | 3.5 | |
| 100 | 6.0 | 5.0 | 4.0 | 3.0 | 2.0 | |
| 50 | 5.0 | 4.0 | 3.0 | 2.0 | 1.5 | |
| 25 | 4.0 | 3.0 | 2.0 | 1.5 | 1.0 | |
| 10 | 3.0 | 2.0 | 1.0 | 0.5 | 0.5 | |
| 90 | 1000 | 14.0 | 12.5 | 11.0 | 9.5 | 8.5 |
| 500 | 12.5 | 11.0 | 10.0 | 8.0 | 7.0 | |
| 250 | 11.0 | 9.5 | 8.5 | 7.0 | 5.5 | |
| 100 | 9.5 | 8.0 | 6.5 | 5.0 | 4.0 | |
| 50 | 8.0 | 6.5 | 5.5 | 4.0 | 3.0 | |
| 25 | 6.5 | 5.0 | 4.0 | 2.5 | 2.0 | |
| 10 | 5.0 | 3.5 | 2.5 | 1.5 | 1.0 | |
| A. Lead | ||||||
|---|---|---|---|---|---|---|
| X-Ray Tube Voltage (kVp) | Effective Workload (mA-sec/week) | Shielding in millimetres of lead required at a source distance of | ||||
| 1 m | 1.5 m | 2 m | 3 m | 4 m | ||
| 70 | 1000 | 0.40 | 0.30 | 0.25 | 0.15 | 0.10 |
| 500 | 0.30 | 0.20 | 0.15 | 0.10 | 0.10 | |
| 250 | 0.25 | 0.15 | 0.10 | 0.10 | 0.05 | |
| 100 | 0.15 | 0.10 | 0.10 | 0.05 | ||
| 50 | 0.10 | 0.10 | 0.05 | |||
| 25 | 0.10 | 0.05 | ||||
| 10 | 0.05 | |||||
| 90 | 1000 | 0.85 | 0.60 | 0.50 | 0.30 | 0.25 |
| 500 | 0.65 | 0.45 | 0.35 | 0.20 | 0.15 | |
| 250 | 0.50 | 0.30 | 0.25 | 0.15 | 0.10 | |
| 100 | 0.30 | 0.20 | 0.15 | 0.10 | 0.05 | |
| 50 | 0.20 | 0.10 | 0.10 | 0.05 | ||
| 25 | 0.15 | 0.10 | 0.05 | |||
| 10 | 0.05 | |||||
| B. Concrete | ||||||
| X-Ray Tube Voltage (kVp) | Effective Workload (mA-sec/week) | Shielding in centimetres of concrete required at a source distance of | ||||
| 1 m | 1.5 m | 2 m | 3 m | 4 m | ||
| 70 | 1000 | 5.0 | 4.0 | 3.0 | 2.0 | 1.5 |
| 500 | 4.0 | 3.0 | 2.0 | 1.5 | 1.0 | |
| 250 | 3.0 | 2.0 | 1.5 | 1.0 | 0.5 | |
| 100 | 2.0 | 1.0 | 1.0 | 0.5 | ||
| 50 | 1.0 | 0.5 | 0.5 | |||
| 25 | 1.0 | 0.5 | ||||
| 10 | 0.5 | |||||
| 90 | 1000 | 8.0 | 6.5 | 5.5 | 4.0 | 3.0 |
| 500 | 6.5 | 5.0 | 4.0 | 2.5 | 2.0 | |
| 250 | 5.5 | 4.0 | 3.0 | 1.5 | 1.0 | |
| 100 | 3.5 | 2.5 | 1.5 | 0.5 | 0.5 | |
| 50 | 2.5 | 1.5 | 1.0 | 0.5 | ||
| 25 | 1.5 | 0.5 | 0.5 | |||
| 10 | 0.5 | |||||
| A. Lead | ||||||
|---|---|---|---|---|---|---|
| X-Ray Tube Voltage (kVp) | Effective Workload (mA-sec/week) | Shielding in millimetres of lead required at a source distance of | ||||
| 1 m | 1.5 m | 2 m | 3 m | 4 m | ||
| 70 | 1000 | 0.65 | 0.45 | 0.35 | 0.15 | |
| 500 | 0.50 | 0.30 | 0.15 | |||
| 250 | 0.35 | 0.15 | ||||
| 100 | 0.10 | |||||
| 50 | ||||||
| 25 | ||||||
| 10 | ||||||
| 90 | 1000 | 0.95 | 0.65 | 0.45 | 0.20 | 0.05 |
| 500 | 0.70 | 0.40 | 0.25 | 0.05 | ||
| 250 | 0.45 | 0.20 | 0.05 | |||
| 100 | 0.15 | |||||
| 50 | ||||||
| 25 | ||||||
| 10 | ||||||
| B. Concrete | ||||||
| X-Ray Tube Voltage (kVp) | Effective Workload (mA-sec/week) | Shielding in centimetres of concrete required at a source distance of | ||||
| 1 m | 1.5 m | 2 m | 3 m | 4 m | ||
| 70 | 1000 | 3.5 | 2.5 | 2.0 | 1.0 | |
| 500 | 2.5 | 1.5 | 1.0 | |||
| 250 | 2.0 | 1.0 | ||||
| 100 | 0.5 | |||||
| 50 | ||||||
| 25 | ||||||
| 10 | ||||||
| 90 | 1000 | 5.5 | 4.0 | 3.0 | 1.5 | 0.5 |
| 500 | 4.0 | 2.5 | 1.5 | 0.5 | ||
| 250 | 3.0 | 1.5 | 0.5 | |||
| 100 | 1.0 | |||||
| 50 | ||||||
| 25 | ||||||
| 10 | ||||||
| C. Gypsum | ||||||
| X-Ray Tube Voltage (kVp) | Effective Workload (mA-sec/week) | Shielding in centimetres of gypsum required at a source distance of | ||||
| 1 m | 1.5 m | 2 m | 3 m | 4 m | ||
| 70 | 1000 | 9.0 | 6.5 | 4.5 | 2.0 | |
| 500 | 7.0 | 4.0 | 2.0 | |||
| 250 | 4.5 | 2.0 | ||||
| 100 | 1.5 | |||||
| 50 | ||||||
| 25 | ||||||
| 10 | ||||||
| 90 | 1000 | 13.0 | 9.0 | 6.5 | 2.5 | 0.5 |
| 500 | 9.5 | 6.0 | 3.0 | 0.5 | ||
| 250 | 6.5 | 2.5 | 0.5 | |||
| 100 | 2.5 | |||||
| 50 | ||||||
| 25 | ||||||
| 10 | ||||||
Appendix III - Shielding Guides for Storage of Dental Radiographic Film
The following table provides the thicknesses of lead required to reduce the radiation level to the film to 1.75 µGy (0.2 mR) based on a weekly workload of 1000 mA-sec at 70 kilovolts (peak).
| Distance from X-ray tube to stored films | |||||
|---|---|---|---|---|---|
| 1m | 2m | 3m | 4m | 5m | |
| 1 day | 1.1mm | 0.8mm | 0.6mm | 0.5mm | 0.4mm |
| 1 week | 1.4mm | 1.1mm | 0.9mm | 0.8mm | 0.7mm |
| 1 month | 1.8mm | 1.4mm | 1.2mm | 1.1mm | 1.0mm |
| 1 year | 2.3mm | 2.0mm | 1.8mm | 1.7mm | 1.6mm |
| Distance from X-ray tube to stored films | |||||
|---|---|---|---|---|---|
| 1m | 2m | 3m | 4m | 5m | |
| 1 day | 0.4mm | 0.1mm | 0.1mm | ||
| 1 week | 0.8mm | 0.4mm | 0.3mm | 0.1mm | 0.1mm |
| 1 month | 1.1mm | 0.8mm | 0.6mm | 0.4mm | 0.3mm |
| 1 year | 1.7mm | 1.4mm | 1.2mm | 1.1mm | 1.0mm |
Appendix IV - Provincial/Territorial Radiation Safety Agencies of Dental Facilities
Alberta
Radiation Health Section
Occupational Health Branch
Division of Policy and Professional Services
Government of Alberta
10709 Jasper Avenue
Edmonton, Alberta
T5J 3N3
British Columbia
Radiation Protection Service
Ministry of Health
Government of British Colombia
4940 Canada Way, Suite 210
Burnaby, British Columbia.
V5G 4K6
Manitoba
Radiation Protection Section
Manitoba Cancer Treatment and Research Foundation
100 Olivia Street
Winnipeg, Manitoba
R3E 0V9
New Brunswick
Radiation Protection Services
Department of Health and Community Services
Government of New Brunswick
P.O. Box 5100
Fredericton, New Brunswick
E3B 5G8
Newfoundland
Medical and Hygiene Services
Employment and Labour Relations
Government of Newfoundland
Fall River Plaza, P.O. Box 8700
270 Torbay Road
St. John's, Newfoundland
A1C 4J6
Northwest Territories
Occupational Health and Safety Division
Safety and Public Services
Government of the Northwest Territories
Box 1320
Yellowknife, Northwest Territories
X1A 2L9
Nova Scotia
Department of Health and Fitness
Government of Nova Scotia
7th Floor, Joseph Howe Building
P.O. Box 488
Halifax, Nova Scotia
B3J 2R8
Ontario
X-ray Inspection Service
Ontario Ministry of Health
7 Overlea Boulevard, 6th Floor
Toronto, Ontario
M4H 1A8
Prince Edward Island
Division of Environmental Health
Department of Health and Social Services
Government of Prince Edward Island
P.O. Box 2000
Charlottetown, Prince Edward Island
C1A 7N8
Québec
Laboratoire de Santé Publique du Québec
20045, chemin Sainte-Marie,
Sainte-Anne-de-Bellevue (Québec)
H9X 3R5
Saskatchewan
Radiation Safety Unit
Department of Human Resources,
Labour and Employment
Government of Saskatchewan
1870 Albert Place
Regina, Saskatchewan
S4P 3V7
Yukon Territory
Occupational Health and Safety
Government of the Yukon Territory
P.O. Box 2703
Whitehorse, Yukon Territory
Y1A 2C6
Appendix V - Radiation Measurement Units - International (SI) System
Exposure
The unit of COULOMB/KILOGRAM (C/kg) has not found complete acceptance as the replacement of the ROENTGEN (R) as a unit of irradiation. Following the lead of the International Electrotechnical Commission, the AIRKERMA (in GRAYS) replaces the EXPOSURE (in ROENTGENS) as the measure of irradiation. The relationship between the two units is as follows:
- 1 Gy ≈ 114.55 R
- 1 R ≈ 8.73 mGy
- 1 mGy ≈ 114.55 mR
- 1 mR ≈ 8.73 µGy
Absorbed Dose The GRAY(Gy) replaces the RAD (rad) as the unit of absorbed dose. The relationship between the two units is as follows:
- 1 Gy = 100 rad
- 1 rad = 10 mGy
- 1 mGy = 100 mrad
- 1 mrad = 10µGy
Equivalent Dose The SIEVERT (Sv) replaces the REM (rem) as the unit of EQUIVALENT DOSE.The relationship between the two units is as follows:
- 1 Sv = 100 rem
- 1 rem = 10 mSv
- 1 mSv = 100 mrem
- 1 mrem = 10 µSv
Note: m = milli = 10-3; = µ = 10-6
Appendix VI - Glossary of Terminology
The terminology used in this document is based on the Interna- tional Electrotechnical Commission (IEC), Publication 788 titled: "Medical Radiology, Terminology" and published in 1984. The use of this terminology will allow a greater standardisation between present and future Safety Codes, national and international publications, and the Radiation Emitting Devices Act and Regulations. However, some of the new terms may not be familiar to the reader and are introduced in the present appendix.
| Terms in this code | Terms replaced |
|---|---|
| Beam limiting devices | Collimator |
| Dental applicator | Dental cone |
| Irradiation switch | Exposure switch |
| Irradiation time | Exposure time (to radiation) |
| Irradiation | Exposure (of an object) |
| Loading factors | Technique factor |
| Loading time | Exposure time (to electrical supply) |
| Loading | Exposure (of an X-ray tube) |
| Orientation factor | Use factor |
| Radiogram | Radiograph |
| Surface dose | Entrance dose |
Appendix VII - Radiation Emitting Devices Regulations for Dental X-ray Equipment with an Extra-oral Source
Item 2 of Schedule I to the Radiation Emitting Devices Regulations establishes standards of design, construction and functioning for dental X-ray equipment with an extra-oral source such as
"2. Dental X-ray equipment with an extra-oral source, being X-ray generating equipment that is designed primarily for the examination of dental structures in humans and that has an X-ray generating tube designed to be used outside the mouth."
The specific requirements of the Regulations, at the time of printing of the Safety Code, are reproduced below.
"PART II Dental X-Ray Equipment with an Extra-Oral Source
Interpretation
1. (1) In this Part, "coefficient of variation "means the ratio of the standard deviation to the mean value of a series of measurements, calculated by using the following equation:

Where
- C is the coefficient of variation,
- Xiis the value of the ith measurement,
- X is the mean value of the measurements, and
- n is the number of measurements; (coefficient de variation)
"radiation exposure to the X-ray image receptor" means the amount of radiation registered by one or more detectors located in proximity to the X-ray image receptor. (dose d'irradiation au récepteur d'image radiologique)
(2) Unless otherwise provided, the other words and expressions used in this Part have the same meaning as in the International Electrotechnical Commission Standard entitled Medical radiology - Terminology, Publication 788, First edition, 1984.
Design Standards
2. (1) Dental X-ray equipment with an extra-oral source shall be designed to include the following safety features:
- electrical meters or other indicators that
- are clearly visible to the operator,
- are securely affixed to the X-ray equipment control panel,
- show a set of loading factors, by control of which the operator is able to obtain radiograms of diagnostic quality, and
- if the X-ray equipment operates by automatic exposure control when the X-ray tube is energized, provide a readily discernible visual or auralwarning signal whenever the equipment cannot provide a radiogram of diagnostic quality;
- separate warning indicators that
- where aural, are clearly audible to the operator,
- where visual, are
- clearly visible to the operator, and
- affixed to the X-ray equipment control panel, and
- are readily discernible and clearly marked to indicate
- visually when
- the filament of the X-ray tube is carrying current,
- the control panel is energized,
- the automatic exposure control has been selected, and
- the loading factors controlled by the automatic exposure control have reached the limits specified in subparagraph 4(1)(e)(ii), and
- visually and aurally when X-rays are being produced;
- visually when
- an irradiation switch that
- requires continuous pressure by the operator until the completion of an irradiation, and
- is installed so as to allow the operator to stand at least 3mfrom the X-ray source when the X-ray tube is energized;
- a controlling timer that
- when the equipment is not operating in panoramic mode, utomatically resets itself to its original setting or to zero on the termination of an irradiation,
- prevents an irradiation from being initiated when it is set at zero or in the off position,
- causes the production of X-rays to be automatically terminated on the attainment of a preset
- irradiation time,
- current time product, or
- radiation exposure to the X-ray image receptor, and
- when the equipment is operating in automatic exposure mode, ensures that the maximum irradiation time or the maximum current time product does not exceed the limits specified in clause 4(1)(e)(ii)(C) or subparagraph 4(1)(e)(iv), whichever is applicable;
- a localizing cone or other device that limits the focal spot to skin distance to not less than
- 15 cm, for equipment designed for panoramic examinations, and
- 18 cm, for all other equipment;
- beam limiting devices that
- provide a degree of radiation protection from stray radiation such that stray radiation does not exceed the limit for leakage radiation from the X-ray tube housing set out in paragraph 4(1)(g), and
- limit the size of the X-ray beam
- at the X-ray image receptor of equipment designed for panoramic examinations, to a size that does not exceed any dimension of the scanning slit by more than one-half of that dimension or more than 2 per cent of the focal spot to image receptor distance, whichever is the lesser,
- where the equipment is designed for and operated in cephalometric mode, to a circle not more than 30 cm in diameter or a rectangle not more than 800 cm2 in area, fully intercepted by the X-ray image receptor, at a distance of 1.5 m or at the maximum focal spot to image receptor distance, whichever is the lesser, and
- where the equipment is operated with an intra-oral X-ray image receptor, to a circle not more than 7 cm in diameter or a rectangle not more than 38.5 cm2 in area;
- radiation-absorbing filters that
- are securely installed in the path of the X-ray beam, and
- provide a degree of attenuation of the X-ray beam such that the first half-value layer of aluminum is not less than the value shown in column II of the table to this subparagraph that corresponds to the X-ray tube voltage shown in column I of the table, or is not less than the value obtained by linear interpolation from that table;
Item Column I- X-ray Tube Voltage (Kilovolts (Peak Value)) Column II- First Half-value Layer of Aluminum (mm) 1. 50 1.5 2. 60 1.5 3. 70 1.5 4. 71 2.1 5. 80 2.3 6. 90 2.5 7. 100 2.7
- on the external surface of the X-ray tube housing or on a suitable structure rigidly and permanently affixed to the X-ray tube housing, a clearly visible mark or marks indicating, to within 4 mm, the location along the X-ray beam axis of the focal spot on the target; and
- where the equipment is equipped with an automatic exposure control, an interlock that, when an automatically-timed irradiation has terminated because the limits specified in subparagraph 4(1)(e)(ii) have been reached, requires the operator to manually reset the equipment to its original setting before another irradiation can be made.
(2) Dental X-ray equipment with an extra-oral source shall, where more than one X-ray tube is controlled by one control panel, be designed to include, in addition to the safety features required by subsection (1),
- an interlock that prevents the energizing of more than one X-ray tube at the same time;
- on or near each X-ray tube housing, so as to be clearly visible to the operator, a visual indicator that indicates when the X-ray tube is connected and ready to be energized; and
- on the control panel, so as to be clearly visible to the operator, a visual indicator that indicates which X-ray tubes are connected and ready to be energized.
Construction Standards
3. Dental X-ray equipment with an extra-oral source shall be constructed of such materials and in such a way that
- the X-ray tube is securely fixed and correctly aligned within the X-ray tube housing;
- the X-ray source assembly maintains its position or its intended motion without tipping, excessive drift or vibration during irradiation;
- where the equipment has its original components or replacement components recommended by the manufacturer, the equipment functions, under normal conditions of use, in accordance with the functioning standards set out in subsection 4(1); and
- the exposure of ionizing radiation or kerma emitted by the X-ray source assembly when the irradiation control circuit has not been activated, or by any other component at any time, does not exceed 645 nanocoulombs per kilogram (2.5 milliroentgens) or 22 micrograys, in any one-hour period, when averaged over a detection area of 10 cm2 and measured at a distance of 5 cm from any accessible surface of the equipment.
Functioning Standards
4. (1) Dental X-ray equipment with an extra-oral source shall, when fully assembled for use and tested under the test conditions referred to in subsection (2), function in such a way that
- the preset X-ray tube voltage cannot be below 50 kilovolts (peak value);
- where a series of 10 consecutive radiation measurements is taken at the same distance from the target in the X-ray beam within a period of one hour, and where all variable controls for loading factors are adjusted to other settings and reset to the test setting before each measurement, the coefficient of variation of the measurements is not greater than 0.05;
- the actual operating X-ray tube voltage
- is not less than 50 kilovolts (peak value), and
- does not deviate from the indicated value by more than the maximum allowable deviation specified by the manufacturer in accordance with paragraph 5(2)(b);
- where the design of the equipment allows the X-ray tube voltage to fall below 50 kilovolts (peak value) during an irradiation, awarning indicator gives a clearly visible or audible signal when conditions that result in an X-ray tube voltage lower than 50 kilovolts (peak value) occur;
- the controlling timer referred to in paragraph 2(1)(d)
- at each setting meets the accuracy limits specified by the manufacturer in accordance with subparagraph 5(2)(b)(ii),
- where the equipment is designed for conventional dental examinations,
- is such that the minimum value at which it can be set is equal to or less than the longest of the minimumirradiation times set out in columns II to IV of the table to this clause for the minimum X-ray tube voltage shown in column I of the table below,
- in the case of a timer that has a scale of irradiation times or milliampere-second values, is such that the ratio of no two consecutive settings exceeds 1.25:1, except for times not greater than 1/20 second, 3 cycles or the equivalent milliampere-second values, and
- has a maximum irradiation time of no longer than 5 seconds or the time required to deliver 50 milliampere- seconds, whichever is the shorter,
- where the equipment is designed for operation in cephalometric mode, but not for conventional dental examinations, is such that the minimum value at which it can be set is equal to or less than the longest of
- 1/10 second,
- 6 cycles, and
- the time required to deliver 3 milliampereseconds, and
- where the equipment is designed for operation in panoramic mode, has a maximum irradiation time of not longer than 25 seconds or the time required to deliver 250 milliampere-seconds, whichever is the shorter;
- for any selected X-ray tube voltage within the range of values of operating X-ray tube voltages specified for the equipment and for any irradiation time equal to or greater than the longest of the minimum irradiation times set out in columns II to IV of the table to clause 4(1) (e)(ii)(A) for the minimum X-ray tube voltage shown in column I of the table, the following relation shall hold:
Xl - X2 < 0.1 (X1 + X2)
where Xl and X2 are the average exposure values (kerma) per second, per pulse or per milliampere-second obtained- where the X-ray tube current is fixed, at each two settings of the controlling timer that do not differ by more than a factor of two, and
- where the irradiation time is fixed, at each two X-ray tube current settings that do not differ by more than a factor of two; and
- the leakage radiation from the X-ray tube housing, when measured at a distance of 1 m from the target and averaged over an area of 100 cm2 having no linear dimension greater than 20 cm, does not exceed 25.8 microcoulombs per kilogram (100 milliroentgens) or 0.87 milligrays in any one-hour period under any combination of loading factors within the rated limits of use of the equipment.
| Item | Column I | Column II | Column III | Column IV |
|---|---|---|---|---|
| Minimum X-ray Tube Voltage (Kilovolts (Peak Value)) | Minimum Irradiation Time | |||
| (Seconds) | (Cycles) | (Milliampere-seconds) | ||
| 1. | Up to 70 | 1/20 | 3 | 10.75 |
| 2. | 71 to 80 | 1/30 | 2 | 0.5 |
| 3. | 81 or more | 1/60 | 1 | 0.25 |
(2) Any testing of dental X-ray equipment with an extra-oral source that is carried out to verify its compliance with the functioning standards set out in subsection (1) shall be conducted under the following conditions:
- the unloaded line voltage must remain within 1 per cent of its nominal value; and
- the line voltage must be regulated in such a manner that it does not vary by more than 6 per cent when the line is fully loaded at the maximum rated line current of the equipment.
Labelling and Information
5. (1) Dental X-ray equipment with an extra-oral source shall bear
- an X-radiation warning symbol that
- is securely affixed to the equipment control panel,
- is displayed in two contrasting colours,
- is clearly visible and readily discernable from a distance of 1 m,
- has no outer dimension that is less than 2 cm,
- bears the words "CAUTION: X-RAYS - ATTENTION : RAYONS X", and
- conforms to the following diagram:

- a warning sign that
- is clearly visible and legible to the operator,
- indicates the possibility of hazardous radiation emission when the equipment is in operation, and
- states that any unauthorized use is prohibited;
- on the external surface of the equipment control panel, a clearly visible and readily discernable permanent mark or label that indicates, with respect to the equipment,
- the name of the manufacturer,
- the model designation,
- the serial number,
- the date of manufacture, and
- the country of manufacture; and
- on the external surface of the X-ray tube assembly, a clearly visible and readily discernable permanent mark or label that indicates, with respect to the X-ray tube assembly,
- the name of the manufacturer,
- the model designation,
- the serial number,
- the date of installation of the X-ray tube in the X-ray tube housing, and
- the country of manufacture.
(2) Dental X-ray equipment with an extra-oral source shall be accompanied by the following materials, which shall be furnished by the manufacturer:
- operating instructions that provide the information necessary for the safe and proper operation of the equipment; and
- the following information respecting the functioning of the equipment:
- the maximum allowable deviation from the specified X-ray tube current and voltage,
- the accuracy of the controlling timer, and
- the specific conditions on which the information referred to in subparagraphs (i) and (ii) is based."
Bibliography
Further details on the topics covered in this safety code may be obtained from the references listed below:
- "1990 Recommendations of the International Commission on Radiological Protection." ICRP Publication 60, Annals of the ICRP, volume 21, no. 1-3 (1991).
- "Dental X-Ray Protection." National Council on Radiation Protection and Measurements, NCRP Report No. 35 (1970).
- "Structural Shielding Design and Evaluation For Medical Use of X-Rays and Gamma Rays of Energies up to 10 MeV." National Council on Radiation Protection and Measurements, NCRP Report No. 49 (1976).
- "The Effects on Populations of Exposure to Low Levels of Ionizing Radiation." National Academy of Sciences, National Research Council, Washington, D.C. (1972).
- "Radiation Quantities and Units." International Commission on Radiation Units and Measurements, ICRU Publication 33 (1980).
- "Radiation Emitting Devices Act." Revised Statutes of Canada, Chapter R-1, Ottawa, 1985.
- "Radiation Emitting Devices Regulations." Canada Gazette Part II, Vol.127, No. 9. Ottawa, 1993.
- "Medical Radiology, Terminology". International Electrotechnical Commission, Publication 788, First edition 1984.