National Standard of Canada - Life jackets
From: Employment and Social Development Canada
Archived information
Archived information is provided for reference, research or recordkeeping purposes. It is not subject to the Government of Canada Web Standards and has not been altered or updated since it was archived. Please contact us to request a format other than those available.
On this page
- Withdrawl
- Life jackets
- Preface
- Scope
- Referenced publications
- Definitions
- Classification
- General requirements
- Detailed requirements
- Design testing
- Marking
- Notes
Withdrawl
November 2016
Alternate format
Standards in series - Life jackets and immersion suits
These National Standards of Canada are hereby withdrawn due to limited support for their revision. The Standards Council of Canada requires that accredited Standards Development Organizations, such as the CGSB, regularly review a consensus Standard to determine whether to re-approve, revise or withdraw. The review cycle is normally five years from the publication date of the latest edition of the Standard.
The information contained in these Standards was originally developed pursuant to a voluntary standards development initiative of the CGSB. The information contained therein may no longer represent the most current, reliable, and/or available information on these subjects. CGSB hereby disclaims any and all claims, representation or warranty of scientific validity, or technical accuracy implied or expressed respecting the information therein contained. The CGSB shall not take responsibility nor be held liable for any errors, omissions, inaccuracies or any other liabilities that may arise from the provision or subsequent use of such information.
Copies of withdrawn standards are available from the CGSB Sales Centre by telephone at 819-956-0425 or 1-800-665- 2472, by fax at 819-956-5740, by Internet at www.tpsgc-pwgsc.gc.ca/ongc- cgsb/index-eng.html, by e-mail at ncr.CGSB-ONGC@tpsgc-pwgsc.gc.ca or by mail at Sales Centre, Canadian General Standards Board, 11 Laurier Street, Gatineau, Canada K1A 1G6.
CAN/CGSB-65.7-2007 - Life jackets (ICS 59.080.30)
CAN/CGSB-65.16-2005 - Immersion suit systems (ICS 13.340.10)
CAN/CGSB-65.19-2004 - Textile components of life jackets and personal flotation devices (ICS 59.080.30)
The Canadian General Standards Board (CGSB), under whose auspices this National Standard of Canada has been developed is a government agency within Public Works and Government Services Canada. CGSB is engaged in the production of voluntary standards in a wide range of subject areas through the media of standards committees and the consensus process. The standards committees are composed of representatives of relevant interests including producers, consumers and other users, retailers, governments, educational institutions, technical, professional and trade societies, and research and testing organizations. Any given standard is developed on the consensus of views expressed by such representatives.
CGSB has been accredited by the Standards Council of Canada as a national standards-development organization. The standards that it develops and offers as National Standards of Canada conform to the criteria and procedures established for this purpose by the Standards Council of Canada. In addition to standards it publishes as national standards, CGSB produces standards to meet particular needs, in response to requests from a variety of sources in both the public and private sectors. Both CGSB standards and CGSB national standards are developed in conformance with the policies described in the CGSB Policy Manual for the Development and Review of Standards.
CGSB standards are subject to review and revision to ensure that they keep abreast of technological progress. Suggestions for their improvement, which are always welcome, should be brought to the notice of the standards committees concerned. Changes to standards are issued either as separate amendment sheets or in new editions of standards.
An up-to-date listing of CGSB standards, including details on latest issues and amendments, and ordering instructions, is found in the CGSB Catalogue, which is published annually and is available without charge upon request. An electronic version, CAT, is also available. More information is available about CGSB products and services at our Web site — www.ongc-cgsb.gc.ca.
Although the intended primary application of this standard is stated in its Scope, it is important to note that it remains the responsibility of the users of the standard to judge its suitability for their particular purpose.
The testing and evaluation of a product against this standard may require the use of materials and/or equipment that could be hazardous. This document does not purport to address all the safety aspects associated with its use. Anyone using this standard has the responsibility to consult the appropriate authorities and to establish appropriate health and safety practices in conjunction with any applicable regulatory requirements prior to its use. CGSB neither assumes nor accepts any responsibility for any injury or damage that may occur during or as the result of tests, wherever performed.
Attention is drawn to the possibility that some of the elements of this Canadian standard may be the subject of patent rights. CGSB shall not be held responsible for identifying any or all such patent rights. Users of this standard are expressly advised that determination of the validity of any such patent rights are entirely their own responsibility.
Further information on CGSB and its services and standards may be obtained from:
- The Manager
Strategic Standardization Division Canadian General Standards Board Gatineau, Canada K1A 1G6
The STANDARDS COUNCIL OF CANADA is the coordinating body of the National Standards System, a coalition of independent, autonomous organizations working towards the further development and improvement of voluntary standardization in the national interest.
The principal objects of the SCC are to foster and promote voluntary standardization as a means of advancing the national economy, benefiting the health, safety and welfare of the public, assisting and protecting the consumer, facilitating domestic and international trade, and furthering international cooperation in the field of standards.
A National Standard of Canada (NSC) is a standard prepared or reviewed by an accredited Standards Development Organization (SDO) and approved by the SCC according to the requirements of CAN-P-2. Approval does not refer to the technical content of the standard; this remains the continuing responsibility of the SDO. A NSC reflects a consensus of a number of capable individuals whose collective interests provide, to the greatest practicable extent, a balance of representation of general interests, producers, regulators, users (including consumers), and others with relevant interests, as may be appropriate to the subject in hand. It normally is a standard, which is capable of making a significant and timely contribution to the national interest.
Those who have a need to apply standards are encouraged to use NSCs. These standards are subject to periodic review. Users of NSCs are cautioned to obtain the latest edition from the SDO, which publishes the standard.
The responsibility for approving standards as National Standards of Canada rests with the:
- Standards Council of Canada 200-270 Albert Street Ottawa, Ontario K1P 6N7
How to order CGSB Publications
By telephone: 819-956-04245 or 1-800-665-2472
By fax: 819-956-5740
By mail: CGSB Sales Centre Gatineau, Canada, K1A 1G6
In person: Place du Portage Phase III, 6B1, 11 Laurier Street Gatineau Quebec
By email: ncr.cgsb-ongc@pwgsc.gc.ca
On the Web: www.cgsb-ongc.gc.ca
Life jackets
Committee on life jackets
(Voting membership at date of approval)
Chair
Vacant
General Interest Category
Boone, J.: Marine Institute of Memorial University
Burton, A.: Government of Newfoundland and Labrador
Gibbs, P.: Survival Training Systems Ltd.
Mercier, M.: The Canadian Red Cross Society
Potter, P.: The Cord Group Ltd.
Toshack, D: Underwriters’ Laboratories of Canada
Producer Category
Deslauries, J.P.: Life Jacket-Adapted PFD-A/Lj-A Inc.
Lee, M.: Mustang Survival Corp.
Renaud, J.: Consoltex Inc.
Spears, L.: Helly Hansen (Canada) Ltd.
Thomas, D.: DSS Marine Inc.
Vandeweerd, H.: Tulmar Safety Systems
Wagner, S.: Salus Marine Wear Inc.
Regulator Category
Belzile, F.: Transport Canada
User Category
Desormeaux, M: Fisheries and Oceans Canada
Frenette, S.: Marine Aero Safety (Atlantic) — IMP Group Ltd.
Menzies, E.: Consumers Association of Canada
Noble, D.: Ottawa YMCA-YWCA
Ranger, R: The Lifesaving Society
Spanglett, J.: National Defence
Vollmer, M.: Canadian Yachting Association
Secretary (Non‑member)
Craig, W.: Canadian General Standards Board
Acknowledgment is made for the translation of this National Standard of Canada by the Translation Bureau of Public Works and Government Services Canada.
Preface
This standard has been incorporated by reference in the Life Saving Equipment Regulations made pursuant to the Canada Shipping Act. Where there are differences between the requirements of the Life Saving Equipment Regulations and this standard, the Life Saving Regulations shall prevail.
Two of the stated objectives of the Canada Shipping Act are to protect the health and well-being of individuals, including the crews of ships, who participate in marine transportation and commerce, and to establish an effective inspection and enforcement program. The Act grants authority to Transport Canada to establish regulations to meet those objectives. Various regulations including the Life Saving Equipment Regulations, Small Vessel Regulations and Small Fishing Vessel Inspection Regulations establish requirements for the carriage of life jackets on Canadian vessels. The regulations also specify that Transport Canada is responsible for approving life jackets. The approval of a life jacket is a manufacturer-initiated process that includes testing by a designated laboratory to ensure that the device meets the appropriate requirements described herein.
Users of this standard should be aware that Transport Canada, Marine Safety, the approval authority for life jackets in Canada, requires additional markings to be on the life jacket as a result of any approval granted. These include, for example, the approval number, approval information, the administration that approved it and any operational restrictions. Complete information on the approval of life jackets, including testing by a designated laboratory, should be directed to the approval authority, Transport Canada, Marine Safety.Footnote 1
Users of this standard should be aware that no single design could provide protection for all individuals under all circumstances. Life jackets are intended to increase the chances of survival but do not guarantee it. It is strongly recommended that individuals secure a life jacket that meets this standard, has been approved by Transport Canada, is properly labelled, and is suitable for their particular kind of activity. Warning: A life jacket will no longer meet the requirements for which it has been approved if it has been altered or has not been maintained in a serviceable condition.
1. Scope
1.1 This standard applies to life jackets intended to be worn on the body to provide flotation in situations where a drowning hazard exists.
1.2 This standard does not apply to individuals weighing less than 9 kg.
1.3 This standard specifies the requirements for safety, construction, reliability, performance, sizing, marking, components and test methods.
1.4 The testing and evaluation of a product against this standard may require the use of materials and/or equipment that may be hazardous. This document does not purport to address all the safety aspects associated with its use. Anyone using this standard has the responsibility to consult the appropriate authorities and to establish appropriate health and safety practices in conjunction with any applicable regulatory requirements prior to its use.
2. Referenced publications
2.1 The following publications are referenced in this standard:
2.1.1 Canadian General Standards Board (CGSB)
- 3-GP-11d (2002) — Naval Distillate Fuel
- 3-GP-691c (1995) — General Purpose Grease
- CAN/CGSB-4.2 — Textile Test Methods:
- No. 9.2-M90 — Breaking Strength of Fabrics — Grab Method — Constant-time-to-break Principle
- No. 32.2-M89 — Breaking Strength of Seams in Woven Fabrics
- CAN/CGSB-65.18-M86 — Closed-Cell Foamed Polymeric Materials
- CAN/CGSB-65.19-2004 — Textile Components of Life Jackets and Personal Flotation Devices.
2.1.2 ASTM International
- ASTM B 21/B 21M-01e1 — Standard Specification for Naval Brass Rod, Bar, and Shapes
- ASTM B 117 — Standard Practice for Operating Salt Spray (Fog) Apparatus
- ASTM D 413 (2002)e1 — Standard Test Methods for Rubber Property — Adhesion to Flexible Substrate
- ASTM D 882 — Standard Test Method for Tensile Properties of Thin Plastic Sheeting
- ASTM D 1004 — Standard Test Method for Initial Tear Resistance of Plastic Film and Sheeting.
2.1.3 International Maritime Organization (IMO)
- Life-Saving Appliances 2003 Edition
- Resolution A.658(16) — Use and Fitting of Retro-Reflective Materials on Life-Saving Appliances
- Resolution A.760(18) — Symbols Related to Life-Saving Appliances and Arrangements.
2.1.4 International Organization for Standardization (ISO)
- ISO 12402-8:2006 Personal flotation devices — Part 8: Accessories — Safety requirements and test methods.
2.1.5 Underwriters Laboratories Inc. (UL)
- UL 1180 (April 12, 2004) — Fully Inflatable Recreational Personal Flotation Devices
- UL 1191 — Components for Personal Flotation Devices.
2.2 A dated reference in this standard is to the issue specified. An undated reference in this standard is to the latest issue, unless otherwise specified by the authority applying this standard. The sources are given in the Notes section.
3. Definitions
The following definitions apply in this standard:
- Auxiliary Buoyancy (Flottabilité auxiliaire)
- Buoyancy not relied upon to meet the buoyancy requirements of this standard.
- Buddy Line (Corde d’assurance)
- A length of cord which can be tied or otherwise fixed to another person’s suit, or life jacket, or to a life raft or other objects, so as to keep the wearer in the vicinity of that person or object with a view of making location and thus rescue easier.
- Head Support (Appui pour la tête)
- A device that provides support to the sides and back of the head.
- Hybrid Life Jacket (Gilet de sauvetage hybride)
- A device provided with inherent and inflatable buoyancy elements.
- Inflatable Life Jacket (Gilet de sauvetage gonflable)
- A device that derives its buoyancy from inflating chambers with a gas.
- Inherently Buoyant Life Jacket (Gilet de sauvetage à flottabilité intrinsèque)
- A device that derives its buoyancy from material that is permanently less dense than water.
- Manual–Automatic Inflation System (Système de gonflage manuel-automatique)
- A system that activates to inflate one or more compartments upon immersion in water without any action by the user (a passive system) but that also has provision for being activated by a single deliberate user action, such as by pulling of a lanyard.
- Manual Inflation System (Système de gonflage manuel)
- A system that activates to inflate one or more compartments upon immersion in water by a single deliberate user action, such as by pulling of a lanyard.
- Oral Inflation System (Système de gonflage à bouche)
- A system whereby a user can inflate one or more compartments by mouth.
- Test Clothing (Vêtements d’essai)
- Coveralls worn by human subjects during donning testing procedures, and swimwear worn during water testing- procedures. A long-sleeved cotton shirt, trousers (not woollen), underwear (briefs), medium-weight dress socks, knee-high rubber boots and rubber work gloves shall be worn by human subjects and thermal manikins during thermal testing. Testing procedures involving manikins follow the same test clothing requirements as for human subjects.
- Thermal Protection Life Jacket (Gilet de sauvetage de protection thermique)
- A device that provides thermal protection during cold water immersion in addition to buoyancy. This device may, but is not required to, self-right the wearer.
- Total Buoyancy (Flottabilité totale)
- The total buoyancy available to the wearer from all elements of the life jacket, excluding trapped air. Total buoyancy includes the minimum inherent buoyancy and the optional supplemental buoyancy.
- Turbulent Water (Eaux turbulentes)
- Turbulent conditions shall reach a significant wave height of approximately 30 cm, with a peak wave height of 45 cm and a wave period of 2 to 3 s.
4. Classification
4.1 Life jackets shall be supplied in the following classes, categories and sizes, as specified (par. 9.1):
4.1.1 Classes
- Class 1:
- 150 N, Life jacket adult
- 60 N, Life jacket youth
- 30 N, Life jacket child
- Class 2:
- 100 N, Life jacket adult
4.1.2 Categories
- Category 1: Inherently buoyant
- Category 2: Inflatable
- Category 3: Inherent/Inflatable
- Category 4: Life jackets with thermal protection that may be inherently buoyant, inflatable or inherent/inflatable.
- Note 1: A Category 1, 2, or 3 life jacket may also meet the requirements of Category 4.
- Note 2: Category 1, 2 and 3 life jackets shall self-right most wearers. It is recognized that the thermal protection afforded by a Category 4 life jacket may compromise self-righting performance.
- Note 3: A subcategory (A) designates Manual-automatic inflation only as the inflatable component.
- Note 4: A subcategory (I) designates Inherent buoyancy only for Category 4.
- Note 5: A device shall not be classified in more than two categories.
4.1.3 Sizes
- Adult size: For a body mass greater than 40 kg
- Youth size: For a body mass greater than 18 kg and up to 40 kg and for chest sizes no greater than 737 mm
- Child size: For a body mass greater than 9 kg and up to 18 kg and for chest sizes no greater than 625 mm
5. General requirements
5.1 Workmanship — The life jacket shall be free from defects in workmanship and materials that might affect its strength, serviceability or appearance.
5.2 Drainage — The life jacket shall provide for drainage of entrapped water, including water entrapped between the life jacket and the wearer.
5.3 Channelling — The life jacket shall be designed so that it minimizes the formation of channels of water having a tendency to direct water into the face or to the head of the wearer.
5.4 Donning and Size Adjustment — The method of donning and of size adjustment shall be obvious to an untrained person. The life jacket shall incorporate strapping or other means of attachment to ensure proper adjustment both in and out of the water.
5.5 Ergonomic Requirements — The life jacket shall provide reasonable comfort and ease of motion both in and out of the water. The life jacket shall not hinder the wearer’s breathing, dexterity or vision.
5.6 Chest Sizing — The manufacturer may designate chest sizing in accordance with par. 4.1.3.
5.7 Head Support — Youth- and child-size life jackets shall be fitted with a head support
- to provide occipital (posterior) support;
- to provide lateral support of the head;
- to conform as closely as possible to the general shape of the neck and head.
5.8 Operational Temperature — The life jacket shall operate throughout a seawater temperature range of 1 to +30°C. The life jacket shall withstand stowage and shall be capable of being donned (and activated in the case of an inflatable or hybrid) without sustaining damage throughout an air temperature range of 30 to +65°C ± 2°C.
5.9 Materials — The life jacket shall be rot-proof and corrosion-resistant and shall not be unduly affected by seawater, oil or fungal attack. The exterior fabric shall be resistant to puncture, tearing and abrasion. Fabrics relied upon for structural integrity shall comply with CAN/CGSB-65.19-2004. Exterior fabrics shall be Type I or Type IV, and interior fabrics shall be Type I to Type VI.
5.10 Colour — To assist detection, the life jacket’s exterior fabric shall be red, orange or yellow, or combinations of these colours, in accordance with CAN/CGSB-65.19-2004, Type I fabric. When inflatable devices are deployed, the colour of the outermost visible surface shall be red, orange or yellow, or combinations of these colours, in accordance with CAN/CGSB-65.19-2004, Type I fabric.
5.11 Personal Locator Light Holder — Each life jacket shall be fitted with a personal locator light holder that accepts compatible locator lights meeting the minimum standard of IMO Life-Saving Appliances 2003 Edition. This light location must be above the water level when the user is in the upright position.
5.12 Personal Whistle — Each life jacket shall be fitted with a whistle firmly secured by a tether. The whistle shall be located so that it is visually and physically accessible and operational by the wearer when in the water. The whistle shall conform to ISO 12402-8: 2006, par. 5.2.
5.13 Adhesives — Adhesives shall be waterproof and acceptable for use with the materials being bonded.
5.14 Finishing — Where there is a risk of unravelling, the cut ends of woven or braided components and construction features shall be turned under and stitched, or the equivalent, so as not to unravel. With the exception of fabric, synthetic materials such as webbing and lacing may be heat sealed in lieu of being turned under.
5.15 Optional Features — Items such as face and oronasal protection, crotch straps and pockets are optional features that may be included on the life jacket. If pockets are included, the life jacket must comply with the requirements of par. 7.16. Pockets on child-size devices must be limited to one flat pocket with a perimeter less than 30 cm.
5.16 Repairs
5.16.1 In case of damage that might affect the buoyancy or thermal properties of the life jacket, repairs
- shall be performed by the manufacturer of the life jacket or by any agent appointed by the manufacturer;
- shall meet the construction and performance requirements of this standard.
5.16.2 Materials and workmanship used in repair work shall be of the same quality and standard as that used in the production of the life jacket.
5.17 Novel Devices — Nothing in this standard shall preclude consideration of new features that can be demonstrated to provide an equal or a higher standard of safety.
6. Detailed requirements
6.1 Construction Details
6.1.1 Body Strength — The strength of the life jacket shall be sufficient to allow the wearer to be assisted from the water. The body strength of non-keyhole-style life jackets shall be tested and meet the requirements in accordance with par. 7.5.1.
6.1.2 Seam Slippage — All sewn structural seams shall be stitched with lock stitches. Seams shall be located to assist in developing the full strength of the exterior. Seams shall be of a type that does not expose any raw edges.
6.1.3 Strength of Seams — When tested in accordance with par. 7.5.4, the mean strength of all seams shall not be less than those in Table 1.
| Fabric Being Joined | Mean Strength of Seams N |
|---|---|
| Shell/Shell Lining/Lining | 360 |
| Shell/Lining |
285 285 |
a The breaking strength of any individual sample shall not be less than 85% of the mean value.
6.1.4 Tie-Tape Attachment Strength — When tested in accordance with par. 7.5.5, the attachment strength of webbing and tapes sewn to the fabric of the life jacket shall comply with the requirements of Table 1.
6.1.5 Friction Closure Slippage — When tested in accordance with par. 7.5.6, the primary means of closure that depends on friction for the necessary force shall not slip in excess of 25 mm.
6.1.6 Body Strap Hardware Secureness — When tested in accordance with par. 7.5.7, the body strap shall remain firmly engaged in the hardware.
6.1.7 Channelling — The life jacket shall not form channels having a tendency to direct water into the face or to the head of the user. This characteristic shall be demonstrated during testing performed in accordance with par. 7.12, 7.13, 7.14, 7.15 and 7.16.
6.1.8 Water Retention — The life jacket shall comply with the requirements of par. 7.21.
6.2 Temperature Cycling — The life jacket shall not show signs of damage, such as shrinking, cracking, swelling, dissolution or change of mechanical qualities, when donned and secured subsequent to the temperature cycling test in accordance with par. 7.6.
6.3 Materials
6.3.1 Structural Components — The various components of a life jacket shall comply with the standards specified in Table 2.
| Structural Component | Standard |
|---|---|
| Shell fabric | CAN/CGSB-65.19-2004 |
| Lining fabric | CAN/CGSB-65.19-2004 |
| Thread (par. 7.9.4) | CAN/CGSB-65.19-2004 |
| Webbing | CAN/CGSB-65.19-2004 |
| Tie tape | CAN/CGSB-65.19-2004 |
| Lacing | CAN/CGSB-65.19-2004 |
| Cord | CAN/CGSB-65.19-2004 |
| Zippers | UL 1191, Section 16 & 17 — Weathering as per CAN/CGSB-65.19-2004 |
| Retro-reflective material | IMO Resolution A.658(16), Annex 2 |
| Hardware (closures and adjusters) | UL 1191, Use Codes 2, 3, 4H and 5R as per UL 1191, Section 19a and CAN/CGSB-65.19-2004 |
| Foam flotation materials | CAN/CGSB-65.18-M86 |
| Radio-frequency (RF)-welded, urethane- coated nylon compartment materials | Any bladder material meeting UL 1191 ‘Use Code’ 1F, 2F and 3F requirements |
| Inflation systems | UL 1191, Use Codes 1F, 2F, 3F or 6F |
a Tests and requirements are to be performed in accordance with UL 1191, Section 19 (Webbing Closures and Adjusters), with the exception of the changes specified in par. 6.3.5
6.3.2 Oil Resistance (Category 4 only) — When tested in accordance with par. 7.7, samples shall not exhibit any damage such as cracking, swelling, dissolution or change in mechanical properties.
6.3.3 Corrosion Resistance of Metal Parts — Each metal part of the life jacket system shall meet the requirements of either par. 6.3.3 a. or b.:
- Made from
- naval brass in accordance with ASTM B 21/B 21M-01e1 or
- metal for which there is available published evidence of salt spray corrosion resistance characteristics equal to or greater than naval brass when tested in accordance with par. 7.8;
- Compatible galvanically with any other metals with which it may be in contact, as determined by meeting the requirements of par. 7.8.
6.3.4 Polymeric-coated Material — Polymeric-coated life jackets shall be coated with a fully cured compound of polyvinyl chloride or polyvinyl chloride acetate. The foam shall be firmly bonded to the polymeric-coating material and shall have the breaking strength, elongation, tear resistance and adhesion-to-foam requirements specified in Table 3.
| Property | Minimum Requirement | Test Method | |
|---|---|---|---|
| As receiveda | After agingb, c | ||
| Breaking strength, N per 25 mm of width | 44 | 42 | Par. 7.9.1 |
| Elongation, % | 220 | 200 | Par. 7.9.1 |
| Tear resistance of polymeric- coating material, N | 7.1 | 5.8 | Par. 7.9.2 |
| Adhesion to foam, N per 25 mm of width: Average of 5 specimens Any single specimen |
6.7 4.9 |
6.1 4.9 |
Par. 7.9.3 |
a For any specimen whose coating does not separate cleanly from the foam but shows adhesion to the foam, the minimum requirement shall be 8.9 N per 25 mm width.
b Artificial aging shall be conducted in accordance with par. 7.9.4.
c The breaking strength of any individual sample shall not be less than 85% of the mean value.
6.3.5 Hardware (closures and adjusters) — When tested in accordance with par. 7.22, samples shall meet the requirements in Table 2 with the following changes:
-
- Each sample for exposure 1 shall have a minimum breaking strength of 666 N.
- Exposure 2 does not apply.
- Each sample for exposures 3 to 10 shall have a minimum breaking strength of 666 N and retain at least 60% of that determined in exposure 1. For inflatable devices, the minimum breaking strength shall be 666 N and retain at least 60% of that determined from exposure 1.
- Each sample for exposure 11 shall retain at least 40% of that determined from exposure 1.
6.4 Retro‑reflective Material
6.4.1 Life jackets shall be fitted with retro-reflective materials with a total area of at least 400 cm2 distributed so as to be useful for search from air and surface craft from all directions. In the case of a reversible life jacket, the arrangement should be complied with, irrespective of the way the life jacket is put on. The retro-reflective material shall be arranged to uniformly return light in all directions, around and above the life jacket, and these areas shall be located as high up on the life jacket as possible and above water level when the life jacket is in use.
6.4.1.1 The forearm, cuff and hood shall be considered to be above water level.
6.4.1.2 If the life jacket is sized for a child or youth, and cannot provide sufficient surface area above water, then it shall be permitted to affix retro-reflective materials not less than 300 cm2 (for youth size) and not less than 200 cm2 (for child size), provided that the highest possible value is used for the available surface area. If a life jacket is reversible, it shall also comply with these requirements while in reverse.
6.4.2 The average of the measurements for the number of subjects as specified in Table 5 shall meet this requirement. Depending on the chest size adjustment range of the device, measurements on at least 80% of the subjects shall meet the requirement, and no measurement shall be below 75% of the requirement.
6.5 Buoyancy
6.5.1 The buoyancy medium shall not be allowed to move in such a way to compromise performance.
6.5.2 The minimum total buoyancy for each size and class of life jacket is shown in Table 4 and shall be tested in accordance with par. 7.10.
6.5.3 Inflatable buoyancy chambers shall not be provided on youth- and child-size life jackets.
6.5.4 The minimum total buoyancy for each size and class of life jacket shall be determined before and after temperature cycling (par. 7.6) and heat conditioning (par. 7.9.6). The minimum total buoyancy for all life jackets after temperature cycling and heat conditioning shall be not less than described (par. 6.5.2). In addition, the change in minimum total buoyancy before and after cycling shall not exceed 6%.
6.6 Buoyancy Elements
6.6.1 The V-factor of the buoyant foam material forward of the body axis (mid-shoulder line) (Figure 1) shall be equal to or greater than that of the foam material aft of the body axis.
6.6.1.1 Foam used as a buoyant material shall have a V-factor of 85 or more, as determined in accordance with CAN/CGSB-65.18-M86, except as follows:
- Exception 1: Foam used in a life jacket may have a V-factor of not less than 80 provided that at least 85% of the minimum total buoyancy specified in par. 6.5 is supplied by foam with a V-factor of 85 or more.
- Exception 2: Par. 6.5 does not apply to foam or other buoyant materials that are not relied upon for compliance with the requirements of par. 6.5 provided the life jacket, with and without such buoyant materials in place, complies with par. 6.11.
| Class 1 | Class 2 | ||||
|---|---|---|---|---|---|
| Minimum Total Buoyancy | 150 N | 60 N | 30 N | 100 N | |
| Size | Adult 40 kg+ | Youth 18 to 40 kga | Child 9 to 18 kgb | Adult 40 kg+ | |
| Minimum Freeboard | 100 mm | 100 mm | 100 mm | 80 mm | |
| Self-rightingc | 5 s | 5 s | 5 s | 10 s | |
| Category | |||||
| 1 | Inherently buoyant | Inherently buoyant | Inherently buoyant | Inherently buoyant | |
| 2 | Inflatable | Not applicable | Not applicable | Inflatable | |
| 3 | Inherent/ Inflatable | Not applicable | Not applicable | Inherent/ Inflatable | |
| 4 | Thermal | Thermal | Thermal | Thermal | |
a Maximum chest size of 737 mm
b Maximum chest size of 625 mm
c See exception (par. 6.11.1.1)
6.6.2 Each buoyant foam insert may be altered by reducing its thickness in the plane of greatest area in accordance with formula 1.
Where
Ba = buoyancy of the altered insert (0 to 15%), in newtons
Bo = buoyancy of the insert in the unaltered as-received condition, in newtons
V = V-factor of the buoyancy foam material determined in accordance with CAN/CGSB-65.18-M86
The life jacket may then be re-assembled in a manner to account for buoyancy loss during manufacturing, such as sewing.
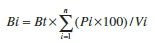
6.6.3 If the device employs any foam relied upon for compliance with the requirements of par. 6.5 (minimum total buoyancy) with a V-factor less than 95, the minimum design buoyancy of the device shall be calculated in accordance with formula 2 so that the predicted minimum buoyancy is not less than the minimum total buoyancy requirement (par. 6.5.2).
where:
Bi = minimum production buoyancy for the device, in newtons
Bt = minimum total buoyancy required for the device, in newtons
Pi = percentage of buoyancy provided by the i th material to the total buoyancy of the device
n = number of materials used in the device
Vi = V-factor of the i th buoyant material
6.7 Inflation Systems — All inflatable life jackets shall be provided with an oral inflator and either a manual or manual–automatic inflator for each compartment whose inflation is required for the life jacket to meet the in-water performance requirements. Minimum total buoyancy requirements as detailed in Table 4 must be achieved within 15 s of activation. In addition the device, while worn in the uninflated condition with the manual or manual– automatic inflation systems disabled, shall permit a user treading water to orally inflate the device to provide the test subject with a positive freeboard within 45 s.
6.7.1 Inflation Chambers — Inflatable compartments required to meet the minimum total buoyancy shall meet the following requirements of UL 1180 (April 12, 2004):
- 7.9 — Strength of Attachment Tests
- 7.10 — Temperature Resistance/Stability Tests (par. 6.7.1.1)
- 7.11 — Solvent Resistance Test
- 7.12 — Flame Resistance Test
- 7.14 — Puncture Resistance Test
- 7.15 — Over-Pressure Tests
- 7.16 — Air Retention Test
6.7.1.1 Perform the temperature resistance/stability test in accordance with UL 1180 (April 12, 2004) with the following exception. Use the operational temperatures for air and water that are identified in par. 5.8.
6.7.2 Where a life jacket has one or more compartments that are in excess of those required, the redundant compartment(s) shall be fitted with an oral inflation system only.
6.7.3 Inflators shall be easily accessible for viewing prior to donning the life jacket.
6.7.4 Inflation systems shall be located where they can be easily operated and serviced and where they can be protected from inadvertent actuation by spray.
6.7.5 Rearming Kits — Manufacturers of devices with inflation systems shall have rearming kits available. A rearming kit shall include all of the components required to rearm the device. Rearming kit components shall comply with the requirements of UL 1191 when used in conjunction with the inflation system for which they are being provided.
6.7.6 Rearming and Repacking — When tested, the life jacket shall meet the requirements in 6.10A.1 to 6.10A.6 of UL 1180 (April 12, 2004).
6.7.7 Gas-inflated Life Jackets — The life jacket, when uninflated, shall have a minimum buoyancy in its packed condition, to ensure it floats.
6.8 Flame Exposure — The life jacket shall remain serviceable and retain not less than 75% of the strength requirements specified in Table 1 after exposure to an open flame for not less than 2 s in accordance with par. 7.11.
6.9 Donning
6.9.1 General Donning — At least 80% of adult test subjects who are completely unfamiliar with the life jacket must correctly don it (and fully deploy the life jacket if a category 2 or 3) within a period of 1 min (2 min for Category 4 life jackets), without assistance or prior demonstration. If the subject, because of lack of familiarity with the life jacket, cannot correctly don it within the specified time limit, the donning procedure may be demonstrated and the test repeated, after which 100% of subjects shall be able to don correctly within the specified time limit, without assistance.
6.9.1.1 Donning Training — The life jacket shall be given to the subject at the poolside, with the instruction “Please don as quickly as possible and adjust to fit snugly.’’ The donning attempt shall then be timed. Note the ease and extent of adjustments for fit and, if applicable, the reversibility of the life jacket.
6.9.2 Reversibility — When a life jacket is reversible, it shall be clearly capable of being worn either way.
6.9.3 Donning Assistance — For a child or youth life jacket, the donning and adjustment attempts may be performed with the assistance of an adult, if necessary.
6.10 Freeboard
Class 1 — Adult, youth, and child Class 1 life jackets shall have sufficient buoyancy and stability in calm fresh water to lift the mouth of a wearer clear of the water, with the body inclined backwards to prevent the inhalation of water. The freeboard for all subjects when tested in accordance with par. 7.13 shall be not less than 100 mm, without deploying any auxiliary buoyancy when that subject is at static balance and is breathing normally. (See Figures 2 and 3.) Life jackets with pockets shall require a further freeboard test after pocket loading (par. 7.16) and shall provide positive freeboard with the mouth clear of water.
Class 2 — Adult Class 2 life jackets shall have sufficient buoyancy and stability in calm fresh water to lift the mouth of a wearer clear of the water, with the body inclined backwards to prevent the inhalation of water. The freeboard for all subjects, when tested in accordance with par. 7.13, shall be not less than 80 mm without deploying any auxiliary buoyancy when that subject is at static balance and is breathing normally. (See Figures 2 and 3.) Devices with pockets shall require a further freeboard test after pocket loading (par. 7.16) and shall provide positive freeboard with the mouth clear of water.
6.11 Self‑righting — There shall be no tendency for the life jacket to turn a body from any other position to a face- down position. A fully deployed life jacket (excluding additional or secondary inflation) shall have sufficient buoyancy and stability in calm fresh water to turn at least 90% of unconscious persons in the water from any position to one where the mouth is clear of the water in accordance with par. 7.14. Devices with pockets shall require a further self-righting test after testing for pocket loading in accordance with par. 7.16.
6.11.1 Class 1 life jackets shall self-right subjects in 5 s, and Class 2 life jackets shall self-right subjects in 10 s when tested in accordance with par. 7.14.
6.11.1.1 Exception — A category 4 life jacket need not comply with par. 6.11.1. However, when correctly worn and used in water, it will enable the wearer to float without appreciable effort in a face-up or vertical position, with the mouth and nose clear of the water.
6.12 Mobility — A life jacket shall allow the user to swim and board a survival raft as described in par. 7.15.
6.13 Thermal Protection (Category 4 only) — The thermal protection shall be a minimum of 0.20 clo when tested on humans in turbulent water and 0.12 clo when tested using a thermal manikin in turbulent water (par. 7.17).
6.14 Buddy Line — If a buddy line is installed on a life jacket, it shall meet the requirements specified in par. 7.19 and 8.8. The buddy line shall be a minimum of 600 mm long and shall be attached so that risk of the buddy line snagging is reduced. Means of stowage shall be provided to secure the buddy line to the life jacket, so it is not a snag hazard.
7. Design testing
7.1 General — Each size of life jacket shall be tested as described in section 7.
7.2 Test Anomalies — Throughout the testing program, certain results may vary significantly from the collected data set. Such results shall be recognized and validated by the testing agency. Where this variation is determined to be a life jacket design/performance factor, the results shall remain as part of the data set. Where this variation is determined to be an anomaly caused by the test subject’s physique or activities, which are outside the scope of the specific test objective, the test may be repeated or the results deleted from the data set.
7.3 Test Samples
7.3.1 Fully representative sample(s) of a life jacket shall be used for these tests. Where the design of a life jacket incorporates optional features that may affect the performance of the life jacket, each design configuration shall be tested separately. A life jacket designed with optional features shall be tested with the optional features both in and out of use. Unless otherwise stated, an exterior fabric that is a composite fabric shall be tested as a composite fabric.
7.3.2 Each test shall be performed using as many samples of the life jacket as are needed to make efficient use of the test subjects and test equipment.
7.4 Test Subjects
7.4.1 Adequate precautions shall be taken to reduce the risk of injury to the test subjects at all times, and assistance shall be available if required.
7.4.2 Subject Selection
7.4.2.1 Human test subjects representing male and female endomorphic, ectomorphic and mesomorphic body types of various heights and masses shall be selected, and the number required for each test shall be in accordance with Table 5 and the chest size designation of the life jacket.
7.4.2.2 At least one subject in the group shall have a chest circumference of 25 ± 13 mm less than the designated sizing of the life jacket under test and at least one, a chest measurement of 25 ± 13 mm greater than the designated sizing.
7.4.2.3 The test subject group may be in any combination of males and females.
| Chest Size Adjustment Range of Life Jacketa,b mm | Number of Subjects Required |
|---|---|
| Less than 150 | 6 |
| 150 to 300 | 12 |
| Over 300 | 18 |
a For life jackets sized 3XL and larger, it is noted that subject body types are relatively the same and therefore a minimum of four subjects is required.
b For youth and child-size life jackets, six subjects covering the mass range in par. 7.4.3 and 7.4.4 shall be used.
7.4.2.4 If a size of life jacket is not accommodated by the selection of subjects as specified in par. 7.4.2.1 to 7.4.2.3, then an additional subject shall be used to ensure all sizes are tested.
7.4.3 Youth Test Subjects — For youth-size life jackets, the subjects meeting the requirements of par. 7.4.2, shall be comfortable in the water and shall be within the mass and chest ranges specified in par. 4.1.3. At least two of the six subjects shall have a chest size of 737 ± 25 mm. At least two of the six subjects shall have a mass of 40 ± 1 kg and at least two, a mass of 18 ± 1 kg.
7.4.4 Child Test Subjects — For child-size life jackets, the subjects meeting the requirements of par. 7.4.2, shall be comfortable in the water and shall be within the mass and chest ranges specified in par. 4.1.3. At least two of the six subjects shall have a chest size of 625 ± 25 mm. At least two of the six subjects shall have a mass of 18 ± 1 kg, and at least two a mass of 9 ± 1 kg.
7.4.5 Test Clothing — Test subjects shall wear test clothing as defined in section 3, Definitions.
7.5 Strength of Assembly Tests — When fabric panels are used in the life jacket design, samples submitted for the body strength and shoulder strength tests shall incorporate the maximum number of fabric panels for the front and the back shell and lining (the manufacturer shall determine the number of panels). For example, a sample submitted with four panels on both front sides and eight panels for the back will allow the manufacturer to produce a combination of panel numbers from one to four on both front panels and one to eight on the back in any design they wish.
The required samples shall include
- one sample with the maximum number of panels, seams evenly spaced across the front and back, with the seams running horizontally;
- one sample with the maximum number of panels, seams evenly spaced across the front and back, with the seams running vertically.
7.5.1 Body Strength Test — Category 2 and 3 life jackets shall be tested according to UL 1180 (April 12, 2004), Section 7.4 and shall meet the strength requirements of a Type II and III device. The body strength of non-keyhole- style life jackets shall be tested under the following conditions and procedures:
7.5.1.1 This test shall be conducted
- where the primary closure on a life jacket is other than a zipper, the smallest size life jacket within the size range;
- where the primary closure is a zipper, the life jacket with the shortest length of zipper;
- on life jackets subjected to the flame exposure test (par. 7.11), to 75% of the test load (Table 6, column 3).
7.5.1.2 The applicable test load specified in Table 6 shall be applied to the complete life jacket.
| Test | Test Load kg | 75% of Test Load kg | Test Duration Min |
|---|---|---|---|
| Body strength Adult Youth/Child | 136 72 |
102 54 |
5 5 |
| Shoulder section Adult Youth/Child | 68 34 |
51 25 |
2 2 |
| Tie tapes | 32 | 24 | 5 |
7.5.1.3 For this test, use two cylinders having a diameter of 125 mm for adult sizes, 90 mm for youth sizes, and 50 mm for child sizes, and having a length sufficient to freely support the life jacket under test (Figure 4). With the life jacket supported by the upper cylinder, and the primary closure adjusted to a point halfway between the intended maximum and minimum circumferential fit, attach an appropriate mass to the lower cylinder to achieve the total test load.
7.5.1.4 Where a life jacket incorporates multiple closures, test each closure independently. Body straps and closures that completely encircle the life jacket may be tested independent of the life jacket.
7.5.1.5 Mount the life jacket on the test apparatus. For suit and jacket-type life jackets, cut the life jacket at the waist and wrists, or cut holes into it as necessary to accommodate the test apparatus. Immerse the life jacket in water for at least 2 min. Then remove the life jacket from the water and immediately arrange it on the test apparatus, using each closure as it would be used by a person wearing the life jacket. Apply the applicable test load specified in Table 6 to the device.
7.5.2 Shoulder Strength Test — Category 2 and 3 life jackets shall be tested according to UL1180, Section 7.4 and shall meet the strength requirements of a Type II and III device. For Category I and IV sleeveless vest-style life jackets, the life jacket shall be secured to a test form of appropriate size, as specified in Figure 5, and secured to maintain an upright position. Apply the tensile test loads specified in Table 6 to the shoulder section using a 75 mm wide strap with a 6 mm foam covering, passed through the shoulder section or around the collar or crotch strap.
| Size | Dimensions mm | ||||||||
|---|---|---|---|---|---|---|---|---|---|
| A | B | C | D | E | F | G | H | J | |
| Extra-large Adult | 813 | 152 | 86 | 152 | 457 | 533 | 660 | 25 | 203 |
| Adult | 610 | 114 | 76.2 | 127 | 381 | 432 | 508 | 25.4 | 178 |
| Youth | 508 | 102 | 76.2 | 102 | 279 | 330 | 406 | 22.2 | 152 |
| Child | 330 | 76.2 | 50.8 | 76.2 | 229 | 254 | 292 | 19.1 | 102 |
Notes:
- Fabricated from mild-steel rod. (Diameter — Dimension H).
- Grind welds and burrs smooth.
- Prime and paint thoroughly.
7.5.3 Keyhole Strength Test — For keyhole-style life jackets, the life jacket shall be suspended as shown in Figure 6. Apply the appropriate load specified in Table 6 and note any sign of damage.
7.5.4 Strength of Seams Test — Obtain ten samples each 100 mm wide and at least 150 mm long, with the seam to be tested at right angles to the length and approximately equidistant from the ends of the sample. Five of the samples shall have the seams on the warp, and five samples shall have the seams on the weft. Immerse each sample in water at 20 ± 3°C to which not more than 0.5 g/L of a neutral wetting agent has been added. Test each sample in accordance with CAN/CGSB-4.2 No. 32.2-M89.
7.5.5 Tie-Tape Attachment Strength Test — Obtain twenty samples of the tie-tape/fabric combination. The tie tape length shall be 150 mm beyond the box-X or bar tack, and the fabric piece shall be 100 mm wide and at least 150 mm long beyond the box-X or bar tack. Ten samples with the tape parallel and perpendicular to the direction of greater thread count using the intended securing means, such as a box-X or tack stitch, shall be required. The samples shall represent the weakest combination of tie-tape/fabric components used. Place each sample in a constant-rate-of-traverse tensile test machine. Clamp the tie-tape perpendicularly in the fixed jaws. Jaw size and separation shall be as outlined in CAN/CGSB-65.19-2004 par. 5.1.1. Align 10 samples in each warp and weft directions, aligning the threads of the material portion of the sample parallel to the tie-tape length, and then secure the material portion in the lower moving jaw. The jaws shall be separated at a rate of 300 mm/min.
7.5.6 Friction Closure Slippage Test — For this test, obtain one complete sample assembly consisting of the friction closure and approximately 1.2 m of webbing in each size/webbing configuration. Close each assembly firmly by hand and test load it in accordance with Figure 4, to 135 kg for not less than 5 min. The webbing shall be marked at the closure before and after the load is applied to measure the slippage. Test each assembly in its as-received condition and after it has been immersed in fresh water for not less than 2 min.
7.5.7 Body Strap Hardware Secureness Test — Category 2 and 3 life jackets shall be tested and meet the strength requirements according to UL 1180 (April 12, 2004), Section 7.7 (par. 7.18). For Category 1 and 4 life jackets, loosen the body strap to provide a 50 mm loop at the centre of the buckle with a 150 mm free end as illustrated in Figure 7. The buckle is to be held firmly in the horizontal plane. Release a 9 kg mass instantaneously and leave it hanging for 30 s.
7.6 Temperature Cycling Test — Subject each life jacket alternately to surrounding temperatures of 30°C and 65°C ± 2°C. Hang the life jacket and repeat the following procedure for a total of five cycles:
- Determine buoyancy as described in par. 7.10.
- Expose the life jacket at 65°C for 6 h.
- Remove the life jacket from the warm chamber and leave it exposed for a period of not less than 6 h at room temperature.
- Expose the life jacket at 30°C for 6 h.
- Remove the life jacket from the cold chamber and leave it exposed for a period of not less than 6 h at room temperature.
- At least one test subject shall don the life jacket (and activate the life jacket if a Category 2 or 3) at 30°C ± 2°C after it has been stored at the same temperature for at least 6 h. This procedure shall be completed within a period of 2 min, with no evidence of damage to the life jacket.
Note: This cycling must be conducted prior to strength of assembly testing and the buoyancy test
7.7 Oil Resistance Test (Category 4 only) — At least two samples of each type of exterior fabric and each seam type are required for this test.
7.7.1 One sample of each type of exterior fabric/seam-type combination shall remain unexposed. Immerse or coat one sample of each type of exterior fabric/seam type combination and allow them to stand successively in each of the three exposures for a period of not less than 6 h:
- Marine diesel oil, in accordance with CGSB standard 3-GP-11d (2002) (soak)
- Cod liver oil (soak)
- Multi-purpose bearing grease, in accordance with CGSB standard 3-GP-691c (1995) (coat).
7.7.2 Upon completion of the 6 h period, wipe off each sample and test the exposed and unexposed samples of each type of fabric and seam in accordance with CAN/CGSB-4.2 No. 9.2-M90 (fabrics) and No. 32.2-M89 (seams).
7.8 Corrosion Resistance Test — A sample of each metal and metal combination under test and a sample of naval brass shall be tested for 720 h in accordance with ASTM B 117. At the conclusion of the test, each sample of test metal and metal combination shall show corrosion resistance equal to or better than the sample of naval brass.
7.9 Polymeric‑coated Material Tests
7.9.1 Breaking Strength and Elongation of Coating Test — Determine breaking strength and elongation in accordance with ASTM D 882, Method B, using 25 150 mm specimens and a rate of travel of the power-activated grip of 500 mm/min. Obtain artificially weathered specimens as described in par. 7.9.4. Express the average breaking strength in newtons per 25 mm of width, and the average elongation at break as a percentage of the original gauge length.
7.9.2 Tear Resistance of Coating Material Test — Determine the tear resistance in ten samples in accordance with ASTM D 1004, on “as received” and artificially weathered specimens obtained as described in par. 7.9.4. Report the average resistance to tearing.
7.9.3 Adhesion of Coating to Foam Test — Determine adhesion in accordance with ASTM D 413 (2002)e1 using the machine method, except that the average of five specimens from different parts of the life jacket shall be used to determine compliance with the standard. Specimens that separate by tearing the foam at an angle to the foam coating are considered as having an adhesion exceeding the strength of the foam and as being acceptable; specimens that separate by breaking the top layer or two of foam cells, leaving a very thin layer of foam adhering to the vinyl coating, are acceptable if the average exceeds 6.7 N and no single reading is below 4.9 N.
7.9.4 Aging of Coating Material — Select a sufficient number of specimens for the breaking strength and tear resistance tests (ten specimens, 25 150 mm and ten specimens, 50 125 mm) from the life jacket by slitting with a razor blade and stripping from the foam. Age the samples for 15 cycles in a Weather-Ometer complying and operated in accordance with CAN/CGSB-65.19-2004, par. 7.1.1, with one exception. In the case of thread, the number of cycles to be used for the accelerated weathering test shall be 4 cycles (96 h). After weathering, condition the specimens 40 h at 23 ± 1°C and 50 ± 2% RH and examine for legibility of markings, gross changes of colour, or the development of surface defects. Cut specimens for breaking strength with a razor blade or die, and for tear resistance with a die.
7.9.5 Breaking Strength and Elongation at Break Test — Prepare ten specimens, 150 25 mm, by slitting the life jacket with a razor blade. Determine the breaking strength and elongation at break in accordance with ASTM D 882, Method B. Use a rate of travel of the power-activated grip of 8.5 mm/s. Report the average breaking strength in newtons per 25 mm of width and the average elongation at breaks as a percentage of the original gauge length.
7.9.6 Heat Conditioning Test — Place the complete life jacket in an air-circulating oven maintained at 60 ± 3°C. After 168 h, remove the life jacket and cool it at room temperature for at least 12 h. Check to ensure that polymeric coatings, if used, have not become soft or sticky and have not developed blisters. Also check for other defects that might affect serviceability.
7.10 Buoyancy Test
7.10.1 Category 2 and 3 life jackets shall be tested according to UL 1180 (April 12, 2004), Section 7.2. Class 1 life jackets shall meet the minimum inflated buoyancy requirements of a Type II device, and Class 2 life jackets shall meet the minimum inflated buoyancy requirements of a Type III device.
The total buoyancy shall be determined after the life jacket buoyancy elements are completely submerged, all entrapped air has been removed and the life jacket buoyancy elements have been submerged for 1 h. The same samples used in the pool tests (par. 7.12) shall be used in the buoyancy test.
7.10.2 Test Equipment — The following equipment is required for this test:
- A mesh basket, large enough to hold the life jacket buoyancy elements and sufficiently weighted to overcome the buoyancy
- A tank of fresh water, large enough to contain the basket when submerged with its top edge 50 mm below the surface
- A scale or load cell, readable to 25 g or better and arranged to support the basket in the tank and to determine its mass
7.10.3 Procedure — Place each sample life jacket’s buoyancy elements, with all its attachments, in an individual weighted cage and suspend it in fresh water so that the cage is completely submerged with a minimum of 50 mm between the top of the cage and the water surface. Ensure that the life jacket or any buoyant material tested in this manner is not unduly compressed during the test period and is placed in the cage to permit the free escape of entrapped air. After 1 h (par. 7.10.1), suspend the weighted cage containing the same life jacket or any buoyant material from a scale and record the mass. Calculate the buoyant force by subtracting this mass from the submerged mass of the weighted cage alone when submerged to the same depth. Record the barometric pressure and water temperature. Determine the corrected buoyancy in newtons after adjusting to standard atmospheric pressure and 20°C.
7.10.4 Calculate the corrected inherent buoyancy in accordance with Formula 3
Where
BC = corrected buoyancy, in newtons
BM = measured buoyancy, in newtons
P = atmospheric pressure, in kilopascals
TM = temperature, in kelvins
7.11 Flame Exposure Test
7.11.1 Conduct this test in a draft-free area. Fill a test pan, measuring approximately 300 mm 450 mm 65 mm, with
1.5 L of water and 0.5 L of gasoline to a minimum total depth of 35 mm. Ignite the gasoline and allow it to burn freely for 30 s before inserting and passing the life jacket through the flames.
7.11.2 The life jacket must enter the flames and pass through in a vertical, free-hanging position with the front of the life jacket leading in the direction of travel and with 230 mm clearance between the surface of the liquid and the bottom of the life jacket. No more than 2 s shall elapse between the leading edge of the life jacket entering the flames and the trailing edge leaving the flames. Should the life jacket burn when leaving the flames, it is to be held in a static position for 6 s and then extinguished with water. At the conclusion of this test, if it appears doubtful whether the life jacket is serviceable for any further use, it shall be subjected to additional tests in the following order:
- Buoyancy test (par. 7.10)
- Body strength test (par. 7.5.1)
7.12 Pool Tests
7.12.1 Jump Test — This test shall be conducted after meeting the donning time requirements (par. 6.9). Category 2 and Category 3 devices shall have their inflatable compartments actuated before water entry. At least three test subjects shall jump into the water feet first, from a height of 4.5 m. The test subject should be instructed to hold on to the device. After water entry, the subject may make initial in-water adjustments to the life jacket to improve his or her field of vision and breathing. However, if this cannot be accomplished within 60 s of water entry, the life jacket shall fail this test. After the initial adjustments, the subject shall assume a relaxed, face-up position in the water for 1 min with the arms at the side and with no conscious effort to prevent the life jacket from riding up. A manikin may be used as a substitute for a human subject at the discretion of the testing and regulatory authority.
7.12.1.1 A young subject may, depending on his or her level of confidence, enter the water by jumping from a 1 m platform, jumping from the side of the pool, or using the pool steps.
7.12.1.2 When tested in accordance with this test, the life jacket shall be deemed to be acceptable
- if it does not trap the wearer’s arms in the overhead position;
- if it remains attached to the wearer;
- if the in-water riding-up effect is not such that the wearer’s vision is obscured or breathing impeded.
7.12.1.3 Following the jump test, the life jacket shall be visually examined. The life jacket shall not tear, separate at any seam or sustain any damage that would render it unsafe to use.
7.13 Freeboard Test — Starting from a vertical upright position, each subject is to attain a relaxed, face-up position of static balance. While in the position of static balance, the subject is to be instructed to relax and breathe normally. The freeboard is to be measured while the subject is at the lowest level attained during the normal breathing cycle. Where a life jacket is provided with pockets, the freeboard test shall be conducted with the pockets loaded as well as unloaded (par. 7.16).
7.14 Self‑righting Test — Where a life jacket is provided with pockets, the self-righting test shall be conducted with the pockets loaded as well as unloaded (par. 7.16).
7.14.1 Adult and Youth Self-righting Test — Wearing the life jacket, fully deployed, the subject is to take at least three breast strokes, face down in the water, and relax completely while exhaling slowly. The subject is to remain limp in this position long enough so that the final stabilized attitude of static balance can be determined. The turning time is to be recorded. The subject shall then repeat the test two additional times. The average righting time from all three trials should be no greater than as specified in Table 4.
7.14.2 Child Self-righting Test — For a child life jacket, the life jacket is to be fastened in the intended manner on the subject. The subject is to don the life jacket and enter the water. The subject is to gently push off from the side of the pool, take a single breast stroke, and then face down in the water, relax and exhale slowly. The turning time is to be recorded. The test is then to be repeated two additional times. As an alternative, the life jacket shall be fastened in the intended manner on the subject, who then shall be placed in a face down (mouth above the water) position in the water and released. The turning time is to be recorded. The subject then shall repeat the test two additional times. The average righting time from all three trials should be no greater than as specified in Table 4.
7.15 Mobility Test — All test subjects, without wearing the life jacket, shall swim 10 m and board a life raft or rigid platform with its surface 300 mm above the water surface in 3 min. Eighty percent of each test subject group as required in Table 5 shall be able to perform this task while wearing the life jacket.
7.16 Pocket Loading Test — Where a life jacket is provided with pockets, the freeboard (par. 7.13) and self-righting tests (par. 7.14) shall be conducted with the pockets loaded as well as unloaded. During this test the freeboard shall be positive, with the mouth clear of water. The load shall be determined as follows.
7.16.1 Pockets shall be loosely filled with glass marbles having a diameter of 24.5 ± 2.0 mm and an in-air mass of 19.0 ± 2.0 g while the device is being worn. Any marbles protruding above the top line of the pocket shall be removed. Marbles shall be removed as necessary to enable the pocket to be closed in its intended manner (i.e. hook and loop fastener, zipper, etc.).
7.16.2 The mass specified in par. 7.16.1 shall be multiplied by a factor of 75%.
7.16.3 Pocket loading tests are not required if the following pocket conditions are met:
- Flat patch pockets having a total combined perimeter less than 50 cm
- Gusseted pockets having a total combined perimeter less than 40 cm
- Hand-warmer-type pockets with an opening less than 20º to the vertical, with no means of closure. The internal lower limit of these pockets may not extend below the lower limit of the opening
7.17 Thermal Performance Tests — Thermal performance parameters shall be established and measured as follows for thermal manikins and human subjects.
7.17.1 Determination of Water Ingress Test — If the life jacket is of a dry suit design, intended to keep all of the water out of the suit, then the following testing shall be conducted to determine if there is any water ingress and to determine the amount of water that must be introduced into the suit system prior to testing using a thermal manikin or human subjects. The subjects shall be as described in par. 7.4.2.. Prior to testing, determine the saturation time of the suit system material by conducting a series of tests using two subjects, following the test procedures described in par. 7.17.1.1 and 7.17.1.2, increasing the saturation time by 2 min for each test until the saturation mass does not show a significant increase. That time shall be the established saturation time for this test.
7.17.1.1 Water Ingress During Jump Into Water Test — Each subject, with the life jacket fully donned and detachable components, if any, removed (e.g. hood, gloves and buoyancy element) shall climb into the water and remain in the vertical position with the water at neck level for the established saturation time to pre-wet the suit system. Each subject shall then climb out, dunk his/her head in water up to the neck to soak the hair, stand for 1 min to permit excess water to run off the exterior of the suit system, and then be weighed. Means shall be provided so that any further run-off is included in the weighing. Observe and record the amounts and locations of any water leakage into the suit.
Each subject, with the suit system fully donned including detachable components, shall then jump into the water from a height of not less than 3 m to ensure total immersion. The jump shall be carried out in a feet first position, with the feet together. Arms should be crossed over the chest using one hand to protect the nose and mouth. The subject shall remain motionless in the water for at least 1 min before being manoeuvred into a position at the poolside where it is possible to climb out with a minimum of effort. Immediately after the subject has left the water, the detachable components shall be removed. The subject shall stand for 1 min to permit excess water to run off the exterior of the suit system and then be weighed again so that any further run-off is included in the weighing. The weighing machine shall be capable of measuring 250 kg with an accuracy of ± 0.025 kg.
On completion of the test, each suit system shall be removed and a record made of the location of any leaks and damp patches observed as well as the total mass of water leaked into the suit system.
7.17.1.2 Water Ingress During Swimming Test — The test shall take place in a swimming pool with a water temperature of not less than 18ºC. Each subject, with the suit system fully donned and all detachable components, if any, removed (e.g. hood, gloves, buoyancy element), shall climb into the water and remain in the vertical position with the water at neck level for the established saturation time to pre-wet the suit system. Each subject shall then climb out, stand for 1 min to permit excess water to run off the suit system and then be weighed again so that any further run-off is included in the weighing.
A minimum of three subjects shall participate in the test together in order to achieve adequate wave motion in the pool. At the start of the test, each subject, with the suit system fully donned including detachable components, shall enter the water via a stepladder and proceed to swim on his/her back and abreast, with a maximum distance of 2 m between subjects and at an approximate speed of 18 m/min for 60 min. Subjects shall use their arms and legs for swimming throughout. The distance covered shall be recorded and shall lie between 1000 and 1200 m. Each subject shall then leave the water and stand for 1 min to permit excess water to run off the exterior of the suit system. During this period, detachable components shall be removed. The subject shall then be weighed again so that any further run-off is included in the weighing. If it takes more than 1 min to remove the detachable components, the subject shall be weighed immediately after the detachable components have been removed.
7.17.1.3 Calculation of Water Ingress — Calculate the amount of water, W, to be introduced at the start of the insulation measurement in accordance with formula 4.
Formula 4
W = W1 + 3 L
where:
W = mass of water to be introduced, in grams
W1 = water ingress, in grams, average for eleven subjects, measured at jump test
L = water ingress, in grams, average for eleven subjects, measured at 60 min swim test.
Note: W1 and L should be taken as one standard deviation above the mean for the eleven subjects tested.
Where water ingress has been recorded specific to each detachable component, the greatest ingress value recorded from the tests described in par. 7.17.1.1 or 7.17.1.2 shall be introduced specific to the component it was recorded from.
7.17.2 Using Thermal Manikin Test
7.17.2.1 The thermal protection provided by the life jacket shall be assessed by measuring the effective insulation of the whole life jacket and test clothing placed on a thermal manikin and immersed in turbulent water with a significant wave height of approximately 30 cm with a peak wave height of 45 cm and a wave period of 2 to 3 s with the thermal manikin in a natural floating position as determined in par. 7.17.2.3.
7.17.2.2 Test Equipment — A thermal manikin is required, and it
- shall have a surface area and shape similar to that of a fiftieth percentile man;
- shall be capable of being dressed in the test clothing;
- shall be capable of being heated to, and controlled at, uniform temperature;
- shall control, measure and record temperatures and power inputs;
- shall be capable of being immersed in water.
7.17.2.3 Flotation Position — A subject of approximately the same mass and height of the manikin and wearing test clothing shall don the suit system, inflate auxiliary buoyancy elements (if any) and enter the calm water. The subject shall assume a relaxed, floating position. The freeboard is measured to the mouth, abdomen and toes, perpendicularly from the surface of the water. This shall be the freeboard and body position used for the thermal manikin.
7.17.2.4 Test Procedure — Pre-weigh the test clothing and life jacket lining, if any (dry suit system only). Dress the thermal manikin in the test clothing and suit system. Inflate auxiliary buoyancy elements, if any. Before closing the suit system closures, introduce water into the test clothing (dry suit system only) in areas representative of those recorded during the water ingress tests and in amounts, W, calculated from the results of the water ingress tests in par. 7.17.1.
After securing the life jacket closures, lower the thermal manikin into the water until the freeboard to the mouth, abdomen and toes equals the amounts measured in par. 7.17.2.3. This position may be achieved by mounting the thermal manikin on a support frame. The intent is to position the manikin as closely as possible to the flotation position of the human subject.
The target temperature of the thermal manikin and the water temperature are set at levels appropriate to the particular thermal manikin in use. However, the minimum gradient shall not be less than 3ºC between the thermal manikin and the water. The temperature(s) of the thermal manikin, the water and the power input(s) shall be measured continuously and recorded. Once the target temperature is achieved, the thermal manikin shall remain immersed for the time period necessary for calibration acceptance testing. This procedure ensures reliable data and consistent test results. Insulation is calculated, for a single section thermal manikin, from the measured temperature gradient, the power input (i.e. heat loss) and the surface area of the thermal manikin. For a thermal manikin consisting of multiple sections, the mean overall insulation is calculated by area, weighting the insulation found in each section. After the thermal manikin is removed from the water, the test clothing and lining shall be reweighed to determine if there was leakage during the test (dry suit system only). If leakage has occurred, the measurement of insulation will be lower than it should be, and the test may have to be repeated (dry suit system only).
7.17.3 Using Human Subjects Test
7.17.3.1 Test Subjects — At least four male subjects must be used for this test. Each subject shall be familiarized with the test procedure prior to the start of the test. Each subject must be between 165 and 185 cm tall and must not be more than 10% overweight or underweight for his height and physical type as determined by a physician or physiologist or from published physiological data. Each subject shall have had a normal night’s sleep the night before the test, a well-balanced meal 1 to 5 h before the test, and no alcoholic beverages for 24 h prior to the test. In addition to the life jacket, each subject shall wear test clothing as defined in section 3, Definitions.
7.17.3.2 Test Equipment — The test shall be conducted in turbulent water at least 3 m in depth with a temperature between 19 and 21°C. The air temperature shall be between 20 and 24°C. Each subject will be fitted with six heat flow transducers placed at the following standard sites on the right side of the body: forearm, lateral aspect of the bicep, back (subscapular), abdomen 5 cm lateral of the navel, mid-thigh and calf. The heat flow transducers shall be capable of measuring both surface temperature and heat flow. Mean heat flow (MHF) and mean skin temperature (MST) shall be calculated according to the weighting coefficients in formula 5.
Formula 5
MHF = 0.1 arm + 0.1 bicep + 0.2 back + 0.2 abdomen +0.2 thigh + 0.2 calf
MST = 0.1 arm + 0.1 bicep + 0.2 back + 0.2 abdomen +0.2 thigh + 0.2 calf
7.17.3.3 Procedure — A physician shall be present during the test. Following the placement of the heat flow transducers on the body, the subject shall don a suit system and shall be dressed in the closed state, that is, with all closures secured. The subject shall enter the turbulent water and assume a natural floating position. Suit system insulation for the turbulent condition shall be determined when the MHF and MST become constant, which can be expected after 25 to 30 min of immersion. A mean heat flow shall be averaged over the last 5 min of immersion and the clothing insulation (clo) shall be calculated in accordance with formula 6.
Formula 6
Insulation (clo) = (MST – Temperature of water)/MHF/0.155
7.18 Inflatable/Hybrid Device Testing — The following testing shall be performed on Category 2 and Category 3 life jackets tested in accordance with 7.1, 7.2, 7.4, 7.5 (except tie tape, which shall be tested in accordance with par. 7.5.5 of this standard), 7.6, 7.7, 7.14, 7.15, 7.16 and 7.17 of UL 1180 (April 12, 2004).
7.19 Buddy Line Pull Test
7.19.1 The buddy line shall be tested by being pulled by a 400 N test load for 10 s in any direction without damage to the buddy line or life jacket. The pull test shall be conducted with the inflatable or hybrid devices inflated to a maximum design pressure, and then with the device uninflated. The buddy line is required to remain completely attached to the life jacket. The test is to be repeated, as required, in the worst-case direction of pull.
7.19.2 Immediately following the pull test specified in par. 7.19.1, the buddy line shall be pulled until torn from the device. The force required to accomplish the separation of the buddy line from the device shall be recorded and shall be greater than 400 N and less than 1340 N. The separation of the buddy line from the device shall not adversely affect the integrity of the device.
7.20 Retro‑reflective Tape Test — Each subject, wearing the device fully deployed, shall adopt a relaxed floating position in the water. The surface area of the retro-reflective tape above the water level is then measured.
7.21 Water Retention Test
7.21.1 Category 2 and 4 life jackets shall be tested in the inflated and un-inflated conditions. If the candidate life jacket is a dry suit it shall be excluded from this test. Following total immersion in water, the life jacket shall not entrap more than
- 2.3 kg of water for a category 1, 2 or 3 life jacket and 4.6 kg of water for a category 4 life jacket if the life jacket is intended for use by persons weighing more than 40 kg;
- 1.7 kg of water for a category 1, 2 or 3 life jacket and 3.4 kg of water for a category 4 life jacket if the life jacket is intended for use by persons weighing 18 to 40 kg, with a maximum chest size of 737 mm;
- 1.1 kg of water for a category 1, 2 or 3 life jacket and 2.2 kg of water for a category 4 life jacket if the life jacket is intended for use by persons weighing 9 to 18 kg, with a maximum chest size of 625 mm.
7.21.2 Before the test starts, any pocket flaps on the life jacket shall be tucked into the pockets. The life jacket shall be submerged in an upright position for 2 min. The life jacket shall then be removed in a vertical, upright position and immediately hung on a clothes hanger from a scale with an accuracy of ±28.4 g. Ten seconds after removal from the water, the total weight indicated on the scale shall be recorded. The life jacket shall then be removed, inverted or otherwise manipulated to remove all entrapped water, and reweighed. The difference in weight between the two readings shall not exceed the values shown in par. 7.21.1.
7.22 Hardware Test (closures and adjusters) — Closures and adjusters, such as buckles, slide adjusters, snaphooks, dee rings and hook and eye clasps, shall comply with the compliance criteria specified in par. 6.3.5 when subjected to the tests in UL 1191, Section 19.
8. Marking
8.1 All written marking and instructions shall be provided in the official language(s).
8.2 Life jackets shall be clearly and indelibly marked in black or white by the manufacturer as follows:
- Class and category must be prominently marked
- Minimum buoyancy of the life jacket, in newtons
- Manufacturer’s name or registered trademark
- Date of manufacture
- Model size
- Model chest range
- Applicable user weight range
- Lot number
- Serial number, if assigned
“This life jacket complies with the requirements of/Ce gilet de sauvetage est conforme aux exigences de CAN/CGSB-65.7-2007”
Warning: This life jacket will no longer meet CAN/CGSB-65.7-2007 if it is altered or not maintained in a serviceable condition/Ce gilet de sauvetage ne sera plus conforme à CAN/CGSB-65.7-2007 s’il a été modifié ou s’il n’a pas été conservé en bon état de service.
8.3 Marking for Adult‑Size Life Jackets — Adult-size life jackets shall have the size and user weight range marked in block letters not less than 25 mm high.
Note: When there are two official languages, the size and user weight range may be placed in one official language on either the left or right side of the life jacket, and in the second official language on the opposite side.
8.5 Each youth- and child-size life jacket shall be marked with a pictogram (Figure 8) in accordance with IMO Resolution A.760(18). The pictogram shall be a minimum of 38 mm high.
8.6. Logos, Appliqués and Lettering — Logos, appliqués and lettering shall be stitched, silk-screened, heat sealed, or adhered to the outer shell fabric so that
- they do not affect the integrity of the life jacket;
- they do not affect the visibility or readability of the required markings;
- they do not provide any information contradicting the required markings.
8.6.1 Heat transfers shall be of the low temperature type, less than 135ºC, and shall be applied only to the envelope fabric and not to the inflation chamber fabric. The total area covered by the optional markings shall not occupy more than 20% of the front and back total torso area.
8.7 Instructions — Each life jacket shall be marked, labelled or provided with instructions or illustrations regarding the
- method of donning and securing the life jacket;
- maintenance and cleaning of the life jacket;
- rearming and repacking if the life jacket is an inflatable or hybrid; and
- placing on the life jacket that is an inflatable or hybrid, an Initial Arming Warning — An inflatable device which is not sold in an armed and ready-to-use condition shall be marked with a removable hang tag which states “WARNING — DEVICE IS NOT ARMED. READ INSTRUCTIONS AND ARM PROPERLY PRIOR TO USE”(The characters in the warning label shall be at least 13 mm in height.)
8.7.1 The above instructions shall be available in a form suitable
- for inclusion into the ship’s on-board training manual;
- for mounting on a bulkhead.
8.8 Buddy Line identification — A mark shall be included on both sides of the buddy line or the outside of a pocket in which a buddy line is stowed, in letters at least 12 mm high with the words “NOT FOR LIFTING.” A warning shall be contained in the owner’s manual, when provided, or provided with the life jacket, as appropriate, to address the dangers associated in using the buddy line to lift a wearer out of the water.
9. Notes
9.1 Options — The following options shall be specified in the application of this standard:
- Class, category and size (if applicable) of life jacket (par. 4.1).
9.2 Sources of Referenced Publications
9.2.1 The publications referred to in par. 2.1.1 may be obtained from the Canadian General Standards Board, Sales Centre, Gatineau, Canada K1A 1G6. Telephone 819-956-0425 or 1-800-665-2472. Fax 819-956-5740. E-mail ncr. cgsb-ongc@pwgsc.gc.ca. Web site www.ongc-cgsb.gc.ca.
9.2.2 The publications referred to in par. 2.1.2 may be obtained from ASTM International, 100 Barr Harbor Drive, West Conshohocken, PA 19428-2959, U.S.A. telephone 610-832-9585, fax 610-832-9555, Web site www.astm.org, or from IHS Canada, 1 Antares Drive, Suite 200, Ottawa, Ontario K2E 8C4, telephone 613-237-4250 or 1-800-267-8220, fax 613-237-4251. Web site canada.ihs.com
9.2.3 The publications referred to in par. 2.1.3 may be obtained from the International Maritime Organization (IMO) Publications Section, 4 Albert Embankment, London SE1 7SR, United Kingdom. Web site www.imo.org.
9.2.4 The publication referred to in par. 2.1.4 may be obtained from IHS Canada, 1 Antares Drive, Suite 200, Ottawa, Ontario K2E 8C4. Telephone 613-237-4250 or 1-800-267-8220. Fax 613-237-4251. Web site canada.ihs.com.
9.2.5 The publications referred to in par. 2.1.5 may be obtained from Comm 2000, 1414 Brook Drive, Downers Grove, IL 60515, telephone (415) 352-2168, fax 1-888-853-3512, Web site www.comm-2000.com or from IHS Canada, 1 Antares Drive, Suite 200, Ottawa, Ontario K2E 8C4, telephone 613-237-4250 or 1-800-267-4251, fax 613-237-4251, Web site canada.ihs.com.
