Guide for reporting to National Pollutant Release Inventory 2001: step 5
Step 5: enter or update the NPRI substance information
There have not been any changes to the substance reporting form for the 2001 National Pollutant Release Inventory (NPRI). There are four different sets of substances and reporting criteria. Consult Step 1 to determine which substances you are required to report and Step 2 for how to report your data. If you met the reporting criteria for a substance, you must submit a report for that substance even if there are no releases or transfers.
If your facility is located in Ontario and you are required to report to the NPRI and the Ontario Ministry of the Environment (MOE), the software will display both the NPRI and MOE fields. Refer to the Guide for Reporting under O.Reg.127/01 Using the NPRI/MOE Software - 2001 or Help file for a description of the MOE fields.
Units of measure
The units of measure depend upon the substance being reported. Generally, release, disposal and recycling quantities are reported in tonnes. However, for substances with alternate reporting thresholds, these quantities are reported in kilograms or grams. Field B1.3 displays the units of measure. The software determines what units will be used once a substance has been selected and displays the appropriate units on each screen where quantity data are requested.
| Schedule/Part | Substance | Units |
|---|---|---|
| Schedule 1, Part 1 | 245 Substances | tonnes |
| Schedule 1, Part 2 | Mercury (and its compounds) | kilograms |
| Schedule 1, Part 3 | Polycyclic aromatic hydrocarbons (PAHs) | kilograms |
| Schedule 1, Part 4 | Hexachlorobenzene (HCB) | grams |
| Schedule 1, Part 4 | Dioxins/furans | grams of toxicity equivalent (TEQ) |
Basis of estimate codes
You must report a "basis of estimate" code for each release or transfer quantity you report. This code provides information about how you determined the quantity of an NPRI substance that was released on site or transferred off site for disposal or recycling. There are four methods for estimating releases and transfers, listed below in declining order of expected accuracy. Reference documents that may assist with your estimates are listed in the bibliography and examples of each estimation method are given in Appendix 6 of this guide.
| Code | Description |
|---|---|
| M | Monitoring or direct measurement - This is the most accurate estimation method. An example is monthly monitoring of a substance in a waste stream and the volume flow rate of that stream. If you are reporting for dioxins/furans or HCB, the "detail" codes field will be enabled (see below). |
| C | Mass balance - A mass balance is an accounting of the quantity of a substance going in and out of an entire facility, process or piece of equipment. Releases can be calculated as the difference between input and output. |
| E | Emission factors - An emission factor is based on average measured emissions from several similar processes. Emission factors usually express releases as a ratio of quantity released to process or equipment throughput. |
| O | Engineering estimates - This estimation method is based on physical/chemical properties (for example, vapour pressure) of the substance and mathematical relationships (for example, ideal gas law). |
| NA | Not applicable - This indicates that there were no releases or transfers from your facility to this medium. |
| NI | No information available - This is a new code that was added for 2000 only for dioxins/furans and HCB. Select this code only if your facility met the reporting criteria for dioxins/furans or HCB, but you have no information available on which to base an estimate of the quantity released or transferred. |
The reporting software has a pick-list for choosing the "basis of estimate" codes. Select the letter code identifying the method that applies to the largest portion of the estimated releases or transfers.
Dioxins/furans and HCB
The reporting requirements for dioxins/furans and HCB differ greatly from those for other substances in the NPRI. Refer to Step 1 "Reporting criteria for Schedule 1, Part 4, substances" for details. An NPRI substance report for dioxins/furans or HCB will indicate:
- the quantity released on site or transferred off site as the result of incidental manufacture from prescribed activities
- the quantity released on site or transferred off site resulting from wood preservation using pentachlorophenol
- for direct measurements only, that the measured concentrations were above, equal to or below the level of quantification (LoQ)
- that there were no releases to a specific medium or no transfers off site, or
- that no information was available on which to base an estimate.
Level of quantification (LoQ)
The level of quantification is defined in Section 65 of the Canadian Environmental Protection Act, 1999 (CEPA), as "the lowest concentration that can be accurately measured using sensitive but routine sampling and analytical methods". Environment Canada determines LoQ values by carrying out statistical analyses of several sets of measurements from a variety of emission sources. The LoQ is calculated as 10 times the standard deviation of replicated measurements. For some media and some analytical methods, the detection limit may be lower than the LoQ recommended by Environment Canada. Table 10 in Step 2 lists the LoQ for dioxins/furans and HCB for three types of material or waste streams that may be released on site or transferred off site - gaseous, liquid and solid. The LoQ values listed include both final, draft and estimated values published by Environment Canada. In the reporting software, the "detail" code is used to indicate if your measured concentrations were above, equal to or below the LoQ for each type of material that you released on site or transferred off site.
"Detail" codes
"Detail" codes are required and are available only for dioxins/furans and HCB substance reports. A "Detail" code is required only if the release, disposal or recycling data were obtained through direct measurement or monitoring (code "M" in the "basis of estimate" field). The "detail" code is used to indicate if your measured concentrations are above, equal to or below the LoQ. The "detail" code field is adjacent to the "basis of estimate" field. Three "detail" codes are available:
| Code | Description |
|---|---|
| AL | At or above LoQ - The measured concentration was equal to or greater than the LoQ - If chosen, you must enter the quantity of the substance that was released on site or transferred off site for disposal or recycling. |
| BL | Below LoQ (no quantity entered) - The measured concentration was below the LoQ - This indicates that the substance may have been present but you did not quantify the amount that was released on site or transferred off site for disposal or recycling |
| BQ | Below LoQ (quantity entered) - The measured concentration was below the LoQ - If chosen, this indicates that you have opted to report the quantity of the substance that was released on site or transferred off site for disposal or recycling based on a measured concentration that was less than Environment Canada's LoQ. |
How to report releases and transfers of dioxins/furans and HCB
The use of "basis of estimate" and "detail" codes is summarized in Step 2.
B1. Substance identity
Enter the name of the NPRI substance and its Chemical Abstracts Service (CAS) number. The reporting software provides pick-lists for the NPRI substances and their CAS numbers. Appendix 1 lists the NPRI substances alphabetically and Appendix 2 lists the NPRI substances by CAS number.
Report only NPRI substances. For example, if you use silver nitrate, do not report silver nitrate with its corresponding CAS number because the NPRI does not list silver nitrate as an individual compound. Report this substance as "silver (and its compounds)". The reporting software will only accept the names and the CAS numbers of substances on the NPRI list.
The NPRI reporting form can be used to complete reports under Regulation 127/01 of the Ontario Ministry of the Environment and for the National Emissions Reduction Masterplan (NERM) of the Canadian Chemical Producers' Association. You will have selected the appropriate inventory(s) in the opening screens of the NPRI reporting software (Step 3). The pick-lists in fields B1, B1.1 and B1.2 display only the substances for the inventory(s) selected. Field B1.4 will show if the substance is an NPRI, O.Reg.127/01 or NERM substance.
B1.1 CAS registry number
Enter the CAS number of the NPRI substance for which you are reporting. A pick-list of NPRI substances, listed numerically by CAS number, is available. Once the CAS number is identified and selected in the pick-list, the program will automatically place the CAS number in field B1.1 and the substance name in field B1.2. Some NPRI substances, such as "ammonia (total)" or "(element) and its compounds", do not have unique CAS numbers and are identified by "NA" on the pick-list. Indicators next to the CAS number will show if the substance is an acid, a PAH, a dioxin/furan or HCB.
B1.2 Substance name
If you do not know the CAS number of the substance for which you are reporting, you can choose from a pick-list of substance names. The CAS number will automatically be inserted into field B1.1. The program will enter "NA" in the CAS number field for groups of NPRI substances which do not have unique CAS numbers, such as "zinc (and its compounds)".
B1.3 Units of measure
This field displays the units of measure. The units of measure will also be displayed wherever quantity data are reported (for example, when entering on-site releases or anticipated disposals). The software determines what units will be used once a substance has been selected.
B1.4 This substance is on the following program list(s)
Indicators will show if the substance is on the NPRI, MOE-2A, -2B or -2C, or NERM list(s).
B2. Nature of activities
Indicate whether the NPRI substance was manufactured, processed or otherwise used, and the nature of such activities at the facility during the calendar year. For each substance, you may identify more than one activity.
B2.1 Manufacture the substance
The term "manufacture" means to produce, prepare or compound an NPRI substance. This also includes the incidental production of an NPRI substance as a by-product as the result of the manufacture, processing, other use or treatment of other substances, products or materials. For example, certain NPRI substances may be manufactured as a result of wastewater treatment or other treatment processes.
Example of manufacturing activity
Your facility purchased chlorine and reacted it with sodium chlorite to form chlorine dioxide. Therefore, your company processed chlorine and manufactured chlorine dioxide. Both are NPRI substances. You are required to report both substances if you met the reporting criteria. Refer to "Calculating the 10-tonne Reporting Threshold" in Step 1.
Example of incidental manufacturing of by-products
Your facility manufactured aluminum. During the smelting process, hydrogen fluoride (HF) was released. The concentration of HF is 2 ppm but the quantity exceeded 10 tonnes per year. You are required to report your releases of HF because it was produced as a by-product and not subject to the 1% concentration criterion. You are not required to report solid aluminum because it is not an NPRI substance. You may have to report "aluminum (fume or dust)", as well as other NPRI substances, if all other reporting criteria are met. Refer to "Calculating the 10-tonne reporting threshold" in Step 1.
If you manufactured the substance being reported, select at least one of the following:
B2.1.a For on-site use/processing - The substance was manufactured and then further processed or used at the same facility.
B2.1.b For sale/distribution - The substance was manufactured specifically for sale or distribution outside the facility. For example, a mine mill processed metal ore on site to manufacture ore concentrates, and then sold the metal concentrate(s) outside the facility.
B2.1.c As a by-product - The substance was produced incidentally and released to the environment or transferred off site for disposal. See Step 1 for a complete discussion of NPRI by-products.
B2.1.d As an impurity - The substance was produced incidentally and remained in the product destined to be distributed in commerce.
B2.2 Process the substance
The term "process" means the preparation of a listed substance, after its manufacture, for distribution in commerce, or the use of a listed substance as part of a chemical or physical process. Processing includes the preparation of a substance with or without change in physical or chemical form. The term also applies to the processing of materials, mixtures or formulations that contain a listed substance as one component. During processing, the substance is generally not separated from the product.
If your facility processed the substance, select at least one of the following:
B2.2.a As a reactant - An NPRI substance used in chemical reactions for the manufacture or processing of another substance or product. This includes, but is not limited to, feedstock, raw materials, intermediates, catalysts and nutrients added to wastewater treatment systems.
B2.2.b As a formulation component - A substance added to a product (or product mixture) before further distribution of the product. Examples of substances used in this capacity include, but are not limited to, additives, dyes, reaction diluents, initiators, solvents, inhibitors, emulsifiers, surfactants, lubricants, flame retardants and rheological modifiers.
B2.2.c As an article component - A substance that became an integral component of an article distributed for industrial, trade or consumer use. An example is ethylene glycol added to vehicle radiators during assembly.
B2.2.d Repackaging only - Processing or preparation of a substance (or product mixture) for distribution in commerce. This also includes transferring NPRI substances to or from bulk containers.
B2.2.e As a by-product - The NPRI substance was incidentally processed and was released to the environment or was transferred off site for disposal. See Step 1 for a complete discussion of NPRI by-products.
B2.3 Otherwise use the substance
"Otherwise use" encompasses any use of an NPRI substance that is relevant to the purposes of the facility that does not fall under the definitions of "manufacture" or "process". As an example, your facility cleaned equipment with a listed solvent; it otherwise used the substance (ancillary or other use). Note that such an activity is not considered "routine janitorial" or "facility grounds"maintenance.
If your facility otherwise used the substance, select at least one of the following:
B2.3.a As a physical or chemical processing aid - A substance that was added to a reaction mixture to aid in the manufacture or synthesis of another substance but was not intended to remain in or become part of the product or product mixture. Examples of such substances include, but are not limited to, process solvents, catalysts, inhibitors, initiators, reaction terminators and buffers.
B2.3.b As a manufacturing aid - A substance that aided the manufacturing process but did not become part of the resulting product and was not added to the reaction mixture during the manufacture or synthesis of another substance. Examples include process lubricants, metal-working fluids, coolants, refrigerants and hydraulic fluids.
B2.3.c Ancillary or other use - A substance in this category that was used at a facility for purposes other than as a chemical processing aid or manufacturing aid. This includes, but is not limited to, equipment cleaners, degreasers, fuels, flocculants and substances used for treating wastes.
B2.3.d As a by-product - The NPRI substance was incidentally present in a material that was otherwise used at the facility and released to the environment or transferred off site for disposal. See Step 1 for a complete discussion of NPRI by-products.
On-site releases to the environment
If the reporting criteria are met for an NPRI substance, then all releases of that substance must be reported regardless of the concentration or amount.
B10. Do you release this substance on site?
To report the on-site releases of an NPRI substance, select "yes" in field B10.1. If you select "no", the program automatically brings you to field B14 "reasons for changes in quantities released from previous year".
B11. Releases of less than one tonne
If the total of all your releases of an NPRI Part 1 substance to all media was less than one tonne, you have the option of reporting releases by environmental medium (B12.1 to B12.4 for releases to air, water, land and underground injection) or reporting only the total release to all media (B12.5). To report total releases to all media of less than one tonne of a substance, select "yes" in field B11.1. This field is enabled only for NPRI Part 1 substances. The program will proceed directly to field B12.5 "total releases". Otherwise, select "no" and enter specific releases to each environmental medium.
B12. On-site releases of the substance to the environment
If your releases were greater than one tonne, you must account for total releases of the substance from your facility to each environmental medium (air, water, land and underground injection). Report the "net" release of the substance, not the total release of a mixture containing the substance.
Some NPRI substances are listed as "(element) and its compounds". For these substances, report only the total amount of the element in the compounds released rather than the total amount of the compounds that contain the element. Total releases (B12.5) from your facility do not include transfers of the substance to off-site locations for disposal or recycling.
For each release by medium, enter a "basis of estimate" code. Selecting "NA" (not applicable) indicates that there were no releases from your facility to this medium. Enter the letter code identifying the estimation method that applies to the largest portion of the releases. A pick-list is available for choosing the "basis of estimate" codes.
"Detail" codes are required and available only for dioxins/furans and HCB substance reports. A "Detail" code is required only if the release, disposal or recycling data were obtained through direct measurement or monitoring (code "M" in the "basis of estimate" field). The "Detail" code is used to indicate if your measured concentrations were above, equal to or below the LoQ.
B12.1 Air releases
Report all air emissions of the NPRI substance, the basis of the estimate and the detail code, if applicable. Both routine releases, such as fugitive releases to air, and accidental or non-routine releases, such as a relief valve opening as a result of a process upset, should be included in your estimate of the quantity released.
B12.1.a Stack or point releases - Total releases from stack or point sources including stacks, vents, ducts, pipes or other confined process streams. Releases to air from pollution-control equipment generally fall into this category.
B12.1.b Storage or handling releases - The quantity of releases to air from storage or handling of a listed substance should be entered in this field.
B12.1.c Fugitive releases - Fugitive releases are the total of all releases to air that are not released through confined process streams. These releases include:
- fugitive equipment leaks from valves, pump seals, flanges, compressors, sampling connections, open-ended lines, etc.
- evaporative losses from surface impoundments and spills
- releases from building ventilation systems, and
- any other fugitive or non-point air emissions from land treatment, mine tailings, storage piles, etc.
B12.1.d Spills - Any accidental releases to air that do not qualify as point or non-point air releases should be entered in this field.
B12.1.e Other non-point releases - Any other non-point air releases not estimated in one of the above air-related release types should be entered in this field.
B12.2 Underground injection
Report the quantity of the NPRI substance injected on site, the basis of the estimate and the detail code, if applicable.
B12.3 Releases to surface waters
Report all releases of the NPRI substance to surface waters, the basis of the estimate and the detail code, if applicable. Do not include water bodies that received the general plant waste stream if this waste stream did not contain an NPRI substance or if reportable acids in the waste stream had been neutralized to a potential of hydrogen (pH) of 6.0 or greater prior to release.
B12.3.a Direct discharges - Direct discharges do not include discharges to an MSTP or other off-site wastewater treatment facilities. These discharges are considered off-site transfers for disposal which are reported in field B22.1.f.
B12.3.b Spills - Spills into surface waters include any accidental releases which may have occurred at your facility.
B12.3.c Leaks - A leak to surface waters differs from a spill in terms of the time required for an event. Spills normally occur over a period of hours or days, whereas a leak is a chronic event which occurs over periods of days or months.
For each surface water discharge, you must identify the receiving water bodies. The button in the "# of water bodies" column shows the number of water bodies receiving the discharge. It displays a "?" if no water bodies have been identified. Select the button to open the "master pick-list of surface water bodies" table. Here you must identify the surface water bodies that received the discharge, as well as the quantity discharged to each surface water body. The software provides a pick-list of standard water body names that is drawn from the NPRI database and the Canada Gazette. The pick-list is sorted by province.
You may add the names of new surface water bodies to the pick-list if it is incomplete. There are two ways to edit the pick-list of surface water body names:
- select "surface water bodies" in the "view / enter / edit data"menu, or
- select the button in the "# of water bodies" column in field B12.3, then select "add a new water body to the pick-list".
If your total discharge to all media was less than one tonne, you are not required to report your releases by environmental media and may report only a total discharge. Do not include water bodies that receive the general plant waste stream if this waste stream did not contain an NPRI substance or if reportable acids in the waste stream have been neutralized to a pH of 6.0 or greater prior to release.
B12.4 Releases to land
Report all releases of the NPRI substance to land within the boundaries of your facility, the basis of the estimate and the detail code, if applicable. Do not report land disposal at an off-site location in this field. Transfers of the substance for disposal are reported in B20.
B12.4.a Landfill - For the purposes of the NPRI, on-site landfilling is classified as a release. If the substance was transferred off site for disposal, enter the quantity in field B22.1.e, subset i) "containment/landfill".
B12.4.b Land treatment - Land treatment is a disposal method in which a waste containing a listed substance is applied onto or incorporated into soil. If the substance is transferred off site for disposal, enter the quantity in field B22.1.h "land treatment".
B12.4.c Spills - Releases classified as spills include any accidental release of a listed substance to land at your facility.
B12.4.d Leaks - Leaks differ from spills in that they are chronic events that occur over a comparatively long time. This includes leaking underground storage tanks.
B12.4.e Other - Releases to land could occur in forms other than those specified above, for example, encapsulation prior to on-site landfill.
B12.5 Total quantity released
The electronic form will calculate the sum of the on-site releases reported in fields B12.1 through B12.4 and place this total into field B12.5. If you chose to report only a total release of less than one tonne to all media for an NPRI Part 1 substance only (B11.1), enter the quantity, the basis of the estimate and the detail code, if applicable.
B13. Yearly breakdown of releases by percentage in each quarter
This field is intended for facilities that have seasonal fluctuations in their releases. Releases for the four quarters must total 100%.
B14. Reasons for changes in quantities released from previous year
Select one or more reasons why the on-site releases of the NPRI substance changed since 2000. This section must be completed, even if there were no on-site releases. You may use the "comments" field to elaborate on your reasons. If this is your first reporting year, select B14.1.i "not applicable". Some of the reasons for change may also be considered as pollution prevention activities. If you have selected B14.1.c "pollution prevention activities", you must also complete Section B30 - "pollution prevention activities".
B14.1.a Changes in production levels - A change in on-site releases may be the result of changes in production levels or some other activity at the facility. Changes in production levels can be caused by increased sales, a change in the economy affecting the facility, a strike or other plant closure, expansion or conversion of the facility, etc. Other examples are given in Section B40 - "production ratio and activity index", which provides you the opportunity to provide a quantitative measure of the year-to-year fluctuations in production levels and on-site releases.
B14.1.b Changes in estimation methods - Choose this item if there was a change in the method of estimating the quantity of the NPRI substance transferred off site. For example, engineering estimates may have been replaced by direct measurement. Or, the engineering calculations were updated or corrected.
B14.1.c Pollution prevention activities - If chosen, you must describe the pollution prevention activities in Section B30. Refer to that section for examples of pollution prevention activities. Pollution prevention does not include on-site treatment (pollution control) or off-site recycling or disposal.
B14.1.d Changes in on-site treatment - Examples include modification to or addition of new pollution-control devices, redirection or elimination of waste streams, expanded on-site recycling and other changes in on-site waste treatment.
B14.1.e Changes in off-site transfers for disposal - If chosen, you must report the off-site transfers for disposal in fields B20, B21, B22, B23 and B24.
B14.1.f Changes in off-site transfers for recycling - If chosen, you must report the off-site transfers for recycling in fields B20, B21, B25, B26 and B27.
B14.1.g Other - Some examples include accidents, spills or breakdowns. Provide details in field B14.2 "comments".
B14.1.h No significant change or no change - Choose this item if there has been no change or if the change was less than 10% from the previous year.
B14.1.i Not applicable - Choose this item if this is the first year you are reporting this substance.
B14.2 Comments (releases)
Comments specific to the releases of this substance may be provided in this field. For example, provide details of a spill which dramatically affected the release of this substance. The comments will appear in the NPRI database available to the public and are an opportunity to provide context for the information reported to the NPRI.
B15. Anticipated releases
Enter your estimates of total releases to all environmental media, for the years 2002, 2003 and 2004. Estimates for the years 2005 and 2006 are optional (select "not applicable"). Factors that should be considered when making these estimates include future production levels, product or process changes, pollution-prevention measures, addition of pollution-control equipment, etc.
Off-site transfers for disposal or recycling
Disposal and recycling activities are considered together under the common heading of off-site transfers. The reporting categories are based on the International Waste Identification Code (IWIC) (Environment Canada, 1993) developed by the Organization for Economic Cooperation and Development (OECD). Reporting is limited to those categories which are most applicable to NPRI reporters. People who report under the Export and Import of Hazardous Wastes Regulations (EIHWR) (Canada Gazette, 1992) will immediately recognize the format. Even if you do not handle hazardous wastes, the reporting format will enable you to describe your transfers more accurately.
"Disposal" is final disposal of the material (for example, landfill) or storage and treatment (for example, stabilization) prior to final disposal. "Recycling" refers to activities that keep a material or a component of the material from becoming a waste destined for final disposal. Recyclable materials may be reprocessed to their original specifications and reused for their original purpose or used for an entirely different purpose. Components may be recovered from the recyclable material or the material may be used as a fuel for energy recovery. The recyclable material may be used in the manufacture of another product. For the purposes of the NPRI, recycling also includes substances sent back to the manufacturer or supplier for reprocessing, repackaging, resale or for credit or payment.
B20. Transfers of the substance to off-site locations
Indicate if you transferred the NPRI substance to off-site locations for disposal or recycling by selecting either "yes" or "no" in fields B20.1 and B20.2, respectively. Depending on your selection, the software will automatically skip certain sections of the report. However, even if you did not transfer NPRI substances off site, you must still provide reasons for changes in quantities disposed/recycled and anticipated transfers for disposal/recycling (B23, B24, B26 and B27). You will also be able to provide comments on your transfers for disposal and your recycling activities in fields B23.2 and B26.2.
B21. Reasons why substances were transferred off-site for disposal or recycling
Select one or more reasons why the NPRI substance or why a material containing the NPRI substance was transferred off site for disposal or recycling. This category does not include on-site disposal or recycling. For convenience, the equivalent IWIC Q-codes are listed in brackets after each item. Choose one or more of the following reasons:
B21.1.a Production residues - These are, for example, residues of industrial processes such as slags and still bottoms, residues from raw material processing such as mining residues and oil field slop. [Corresponds to codes Q1, Q8 and Q11 in the IWIC]
B21.1.b Off-specification products - These are products that were not suitable for commercial distribution or that could not be used by the facility and were destined for final disposal, reuse or recycling by another facility. [Corresponds to code Q2 in the IWIC]
B21.1.c Expiration date passed - Products for which the date for appropriate use expired and that were transferred off site for final disposal or reuse or recycling by another facility. [Corresponds to code Q3 in the IWIC]
B21.1.d Contaminated materials - For example, materials spilled or having undergone other mishap, including any materials contaminated as a result of the mishap; materials contaminated or soiled as a result of planned actions such as residues from cleaning operations, packing materials, containers, etc.; contaminated substances that no longer performed satisfactorily such as contaminated acids, solvents, exhausted tempering salts, etc.; adulterated materials. [Corresponds to codes Q4, Q5, Q7 and Q12 in the IWIC]
B21.1.e Unusable parts or discards - Describes items such as reject batteries, exhausted catalysts, etc. [Corresponds to code Q6 in the IWIC]
B21.1.f Pollution-abatement residues - Materials such as scrubber sludges, baghouse dusts, spent filters, etc., generated by pollution controls and on-site waste treatment. [Corresponds to code Q9 in the IWIC]
B21.1.g Machining or finishing residues - This includes lathe turnings, grinding dusts, sheet metal cuttings, mill scales, etc. [Corresponds to code Q10 in the IWIC]
B21.1.h Site-remediation residues - Materials, substances or products resulting from remedial actions with respect to contaminated land. [Corresponds to code Q15 in the IWIC]
B21.1.i Other - Any materials, substances or products not described above.
B22. Off-site transfers for disposal
In this field, report the quantity of the NPRI substance transferred to off-site locations for final disposal or storage and treatment prior to final disposal. If the reporting criteria are met for a listed substance, all off-site transfers of that substance for disposal must be reported regardless of the concentration or amount. Report the quantity of the NPRI substance that was sent to an off-site treatment facility and not the total weight of the mixture containing that substance. Report transfers to the first off-site location only and identify its name and location. You are not required to report any subsequent transfers by the waste disposal company. However, you must report the disposal method used. Disposal includes storage and treatment (for example, stabilization) prior to final disposal. Do not report materials containing the NPRI substance which were recycled off site; they are reported in field B25.
Do not report off-site transfers of mineral acids if the acid had been neutralized to a pH of 6.0 or greater prior to its transfer off site for final disposal. In the case of nitric acid, the quantity of neutralized nitric acid would be reported as "nitrate ion in solution at a pH of 6.0 or greater".
For each disposal activity chosen, enter a "basis of estimate" code. Selecting "NA" (not applicable) indicates that there were no transfers from your facility for this disposal activity. Enter the letter code identifying the method that applies to the largest portion of the estimated transfers. A pick-list is available in each field for choosing the "basis of estimate" codes.
"Detail" codes are required and available only for dioxins/furans and HCB substance reports. A "detail" code is required only if the release, disposal or recycling data were obtained through direct measurement or monitoring (code "M" in the "basis of estimate" field). The "detail" code is used to indicate if your measured concentrations were above, equal to or below the LoQ.
B22.1 Disposal method
Eight major off-site disposal methods are identified. Report the exact amounts of the NPRI substance transferred for that disposal method, the basis of the estimate and the detail code, if applicable. Facilities can obtain information about the ultimate treatment/disposal of their transfers by looking at their invoices, waybills, waste manifests or by contacting the transfer facility.
B22.1.a Physical treatment - for example, drying, evaporation, encapsulation or vitrification.
B22.1.b Chemical treatment - for example, precipitation, stabilization or neutralization.
B22.1.c Biological treatment - for example, bio-oxidation or composting.
B22.1.d Incineration/thermal - This differs from energy recovery. Incineration occurs when the substance or the material containing the substance does not have sufficient fuel value to contribute toward energy recovery.
B22.1.e Containment - Two forms of containment are identified: i) landfill ii) other storage
B22.1.f Municipal sewage treatment plant (MSTP) - Report discharges of the NPRI substance to a municipal sewer system, regardless of the level of treatment provided by the MSTP.
B22.1.g Underground injection - Report quantity injected underground at an off-site location.
B22.1.h Land treatment - Report the quantity transferred off site for the purpose of land application or land farming.
You must identify the off-site facilities which received the NPRI substance for disposal. If the transfer was split among several off-site facilities, specify the quantity of the NPRI substance that was transferred to each facility. Select the button in the "# of off-sites" column to open the "master pick-list of off-site gacilities" table. The software provides a pick-list of previously-identified, off-site facilities. The pick-list can be edited if it is incomplete or inaccurate. The pick-list of off-site facilities and MSTPs is based on the information provided in the table "master pick-list of off-site facilities". There are two ways to edit the table:
- select "Off-site Facilities" in the "view / enter / edit data"menu, or
- select the button in the "# of off-sites" column in field B22.1 or field B25.1 and then "add an off-site facility to the pick-list".
B22.2 Total quantity disposed
The reporting software calculates the sum of the entries made in field B22.1 and places the result into this field.
B23. Reasons for changes in quantities disposed from previous year
Select one or more reasons why off-site transfers for disposal of the NPRI substance have changed since 2000. This section must be completed, even if there were no off-site transfers. You may use the "comments" field to elaborate on your reasons. If this is your first reporting year, select B23.1.i for "not applicable". Some of the reasons for change may also be considered as pollution-prevention activities. If you have selected B23.1.c "pollution prevention activities", you must also complete Section B30 - "pollution prevention activities". The reasons for changes include:
B23.1.a Changes in production levels - A change in off-site transfers for disposal may be the result of changes in production levels or some other activity at the facility. Changes in production levels can be caused by increased sales, a change in the economy affecting the facility, a strike or other plant closure, expansion or conversion of the facility. Other examples are given in Section B40 - "production ratio and activity index," where you have the opportunity to provide a quantitative measure of the year-to-year fluctuations in production levels and off-site transfers.
B23.1.b Changes in estimation methods - Choose this item if there was a change in the method of estimating the quantity of the NPRI substance transferred off site. For example, engineering estimates may have been replaced by direct measurement or the engineering calculations may have been updated or corrected.
B23.1.c Pollution prevention activities - If chosen, you must describe the pollution-prevention activities in Section B30. Refer to that section for examples of pollution-prevention activities. Pollution prevention does not include on-site treatment (pollution control) or off-site recycling or disposal.
B23.1.d Changes in on-site treatment - Examples include modification or addition of new pollution-control devices, redirection or elimination of waste streams, expanded on-site recycling and other changes in on-site waste treatment.
B23.1.f Changes in off-site transfers for recycling - If chosen, you must report the off-site transfers for recycling in fields B20, B21, B25, B26 and B27.
B23.1.g Other - Some examples include site remediation, accidents, spills or breakdowns which affect the quantity of the NPRI substance transferred off site for disposal. Provide details in field B23.2 "Comments".
B23.1.h No significant change or no change - Choose this item if there has been no change or if the change was less than 10% from the previous year.
B23.1.i Not applicable - Choose this item if this is the first year reporting this substance.
B23.2 Comments (disposal)
Comments specific to the off-site disposal of this substance may be provided in this section. For example, give details of a one-time site remediation which dramatically affected the off-site transfers of this substance. The comments will appear in the NPRI database available to the public and are an opportunity to provide context for the information reported to the NPRI.
B24. Anticipated disposals
Enter your estimate of total transfers of the listed substance for disposal to off-site facilities for the years 2002, 2003 and 2004. Years 2005 and 2006 are optional fields (select "not applicable"). Factors that should be considered when making these estimates include future production levels, product or process changes, pollution-prevention measures, addition of pollution-control equipment, site remediations, etc. This section must be completed, even if there were no off-site transfers.
B25. Off-site transfers for recycling
"Recycling" refers to activities that keep a material or a component of the material from becoming a waste destined for disposal. Recyclable materials may be cleaned, regenerated or reprocessed to their original specifications and reused for their original purpose. They may also be used for an entirely different purpose without any pretreatment or modification. Components may be recovered or reclaimed from the recyclable material or the material may be used as a fuel for energy recovery. The recyclable material may be used in the manufacture of another product. For the purposes of the NPRI, recycling also includes substances sent back to the manufacturer or supplier for reprocessing, repackaging, resale or for credit or payment. Report only the net weight of the NPRI substance transferred off site for recycling, and not the total amount of the mixture containing the substance. For example, your facility submits an NPRI report for zinc. It sends zinc-coated steel for recycling to an off-site recycler. In this case, you must report the net weight of the zinc and not the total weight of the zinc-coated steel.
Ten types of recycling operations are listed, based on those set out in Part II of Schedule III of the Export and Import of Hazardous Wastes Regulations and are used as part of the IWIC code to classify hazardous recyclables. Choose the recycling operation which best describes how the NPRI substance or material containing the NPRI substance was recycled. The NPRI substance is considered to be recycled even when only a portion of the material in which it is contained is recycled. This recognizes the fact that recycling may only recover certain valuable components. For example, only the valuable metals may be recovered from a wastewater treatment sludge from an electroplating operation.
For each recycling activity chosen, enter a "basis of estimate" code. Selecting "NA" (not applicable) indicates that there were no transfers from your facility for this recycling activity. Enter the letter code identifying the method that applies to the largest portion of the estimated transfers. A pick-list is available in each field for choosing the "basis of estimate" codes.
"Detail" codes are required and available only for dioxins/furans and HCB substance reports. A "detail" code is required only if the release, disposal or recycling data were obtained through direct measurement or monitoring (code "M" in the "basis of estimate" field). The "detail" code is used to indicate if your measured concentrations were above, equal to or below the LoQ.
B25.1 Recycling activity
Ten major off-site recycling activities are identified. Report the net amounts of the NPRI substance transferred for that recycling activity, the basis of the estimate and the detail code, if applicable.
B25.1.a Energy recovery - The NPRI substance or the material containing it has sufficient energy content (BTU value) to allow its use as a fuel for energy recovery. If there had been no attempt to recover energy from the material, report it as an off-site transfer for incineration. [Corresponds to code R1 in the IWIC]
B25.1.b Recovery of solvents - The recovery or regeneration of NPRI substances or materials containing NPRI substances that have been used as solvents. For example, distillation of methanol after solvent extraction to recover pure solvent methanol. [Corresponds to code R2 in the IWIC]
B25.1.c Recovery of organic substances (not solvents) - Recovery of other organic substances that are not used as solvents. [Corresponds to code R3 in the IWIC]
B25.1.d Recovery of metals and metal compounds - Choose this recycling activity when a pure metal or a metal compound was being recovered. The NPRI list of substances includes 17 metals: aluminum, antimony, cadmium, chromium, cobalt, copper, lead, manganese, mercury, molybdenum, nickel, selenium, silver, thorium, titanium, vanadium and zinc. Some are listed as "(elements) and their compounds" while others are listed as specific inorganic or qualified inorganic compounds. [Corresponds to code R4 in the IWIC]
B25.1.e Recovery of inorganic materials (not metals) - The NPRI list of substances contains the inorganic substances: ammonia, arsenic, asbestos, boron trifluoride, bromine, carbon disulphide, chlorine, chlorine dioxide, fluorine, hydrazine, hydrogen sulphide, ionic cyanides, nitrate ion, phosphorus and sulphur hexafluoride. [Corresponds to code R5 in the IWIC]
B25.1.f Recovery of acids or bases - The following mineral acids are on the NPRI list: hydrochloric, nitric and sulphuric. This recycling activity also applies to the recovery of acids or bases that contain other NPRI substances as contaminants. [Corresponds to code R6 in the IWIC]
B25.1.g Recovery of catalysts - Choose this item if a catalyst containing an NPRI substance was transferred off site to be recovered, reactivated, regenerated or otherwise refurbished for reuse as a catalyst. Recovery of catalysts does not include the destruction of the catalyst to recover separate components. Choose B25.1.d if the catalyst was transferred off site for recovery of the metals in the catalyst. [Corresponds to code R8 in the IWIC]
B25.1.h Recovery of pollution-abatement residues - This includes the recycling of residues from pollution controls or site-remediation activities. [Corresponds to code R7 in the IWIC]
B25.1.i Refining or reuse of used oil - Lubricating oils are not on the NPRI list of substances. However, used oils are sometimes contaminated with NPRI substances, such as zinc additives. Choose this recycling activity if used oils containing NPRI substances were transferred off site for refining or reuse. If used oil was used as a fuel, choose B25.1.a. [Corresponds to code R9 in the IWIC]
B25.1.j Other - Other recovery, reuse and recycling activities not described above. You must identify the off-site facilities which received the NPRI substance for recycling. If the transfer was split among several off-site facilities, specify the quantity of the NPRI substance that was transferred to each facility (see field B22.1 for instructions on using and editing the "master pick-list of off-site facilities" table.
B25.2 Total quantity recycled
The reporting software calculates the sum of the entries made in field B25.1 and places the result into this field.
B26. Reasons for changes in quantities recycled from previous year
Indicate the changes, since 2000, in off-site transfers for recycling. This section must be completed, even if there were no off-site transfers. If this is your first reporting year, select B26.1.i for "not applicable". Otherwise, select at least one of the following reasons for changes in quantities transferred. If you have selected B26.1.c "pollutionprevention activities", you must complete Section B30 - "pollution prevention activities". The reasons for changes include:
B26.1.a Changes in production levels - See field B23.1.a.
B26.1.b Changes in estimation methods - See field B23.1.b
B26.1.c Pollution-prevention activities - See field B23.1.c
B26.1.d Changes in on-site treatment - See field B23.1.d
B26.1.e Changes in off-site transfers for disposal - If chosen, you must report the off-site transfers for disposal in fields B20, B21, B22, B23 and B24.
B26.1.g Other - See field B23.1.g.
B26.1.h No significant change - No change or a change of less than 10% from the previous year.
B26.1.i Not applicable - First year reporting this substance.
B26.2 Comments (recycling)
Comments specific to the recycling of this substance may be provided in this section. The comments will appear in the NPRI database available to the public and are an opportunity to provide context for the information reported to the NPRI.
B27. Anticipated recycling
Enter your estimate of total transfers of the listed substance for recycling for the years 2002, 2003 and 2004. Years 2005 and 2006 are optional fields (select "not applicable"). This section must be completed, even if there were no off-site transfers.
B30. Pollution prevention (P2) activities
In this section, facilities that have taken measures to prevent the generation of NPRI pollutants and wastes are required to indicate what P2 activities they have implemented.
Pollution prevention is defined as "the use of processes, practices, materials, products, substances or energy that avoid or minimize the creation of pollutants and waste, and reduce the overall risk to the environment or human health" (CEPA). P2 seeks to eliminate the causes of pollution rather than managing it after it has been created. It encourages the kinds of changes that are likely to lead to lower production costs, increased efficiencies and more effective protection of the environment.
Pollution prevention does not include waste-management measures such as on-site treatment (pollution control) activities or off-site recycling and disposal activities. Some examples follow:
- Off-site recycling - Off-site recycling (for example, solvent recovery at a central distillation facility) is an excellent waste management option that is vastly preferable to other forms of waste handling because it helps to preserve raw materials and reduces the amount of material that will require disposal. However, it does create pollution during transport and during the recycling procedure. Compared with closed-loop recycling (or reuse), performed at the production site, there is likely to be more residual waste that will require disposal.
- Waste treatment - Waste treatment involves changing the form or composition of a waste stream through controlled reactions to reduce or eliminate the amount of pollutant.Waste treatment prior to disposal reduces the toxicity and/or disposal-site space requirements but does not prevent the creation of pollutants or eliminate all pollutant materials. Examples include volume reduction (for example, dewatering), dilution, detoxification, incineration, decomposition, stabilization, and solidification or encapsulation.
- Transferring hazardous or toxic constituents from one environmental medium to another - Many waste-management, -treatment and -control practices used to date have simply collected pollutants and moved them from one environmental medium (air, water or land) to another. For example, bag houses are often used to collect particulates from waste streams. The collected particulate is often sent to landfill. This pollution-control measure reduces the potential for exposure and therefore the risk posed by the waste compared to a release to air, but it does not eliminate risk or reduce the amount of waste generated. Sending this material off site for recycling is preferable to landfill, but it too has risks associated with recovery operations and is not considered pollution prevention.
Qualitative reporting of P2 activities is a mandatory reporting requirement of the NPRI. If you have not implemented a P2 program at your facility, choose item B30.1.i. Otherwise, identify all of the P2 activities you have undertaken during the reporting year. If you selected "Pollution-prevention activities" in fields B14.1.c, B23.1.c or B26.1.c as a reason for changes in quantities released or transferred off site for disposal or recycling, you must identify the activity in this section.
B30.1.a Materials or feedstock substitution - for example, using aqueous-based cleaners rather than solvent-based cleaners; using a non-toxic detergent to clean glassware rather than using chromic acid.
B30.1.b Product design or reformulation - for example, reduce or eliminate the use of toxic substances by changing product specifications; modifying design or composition of products.
B30.1.c Equipment or process modifications - for example, changing to mechanical stripping/cleaning devices from solvents; using more efficient spray-paint systems; instituting recirculation within a process.
B30.1.d Spill and leak prevention - for example, measures to prevent releases such as installing splash guards and drip trays around equipment, such as solvent sinks, hot tanks and jet-spray washers, to collect and return drainage and contain leaks and spills.
B30.1.e On-site reuse, recycling or recovery - for example, using a small distillation unit to reclaim solvents; recovering metals by ion exchange, reverse osmosis.
B30.1.f Improved inventory management or purchasing techniques - for example, avoiding the unnecessary generation of waste by ensuring that materials do not stay in inventory beyond shelf life; instituting a clearinghouse to exchange materials that would otherwise be discarded.
B30.1.g Good operating practices or training - for example, changing production schedules to minimize equipment and feedstock changeovers; improved maintenance scheduling; training staff to recognize pollution prevention opportunities.
B30.1.h Other - Specify the pollution prevention activities in field B30.2 "Comments".
B30.1.i No pollution prevention activities.
B30.2 Comments (pollution prevention)
Facilities are encouraged to provide additional information describing the P2 initiatives they have implemented during the year, including results achieved (for example, environmental results, economic benefits, etc.). The comments will appear in the NPRI database available to the public and are an opportunity to provide context for the information reported to the NPRI. Information on general P2 activities, such as water- and energy-conservation initiatives, should be entered in the facility P2 "comments" field (A15.2).
B40. Production ratio and activity index (optional)
This section allows facilities, on a voluntary basis, to show the relationship between year-to-year fluctuations of their production levels and the relative decrease or increase in the sum of their on-site releases plus off-site transfers of the reported substance.
A "production ratio" is the ratio of "reporting-year production" to "prior-year production" that will permit year-toyear comparisons of changes in the total on-site releases plus off-site transfers. An "activity index" is based on a variable, other than production, that is the primary influence on the total, and that will in turn permit comparison of changes from year to year.While the use of a production ratio or activity index is not practical for some facilities, it does provide a means for facilities to report useful information to better understand trends in on-site releases and off-site transfers in a simple numerical format. Because changes in total on-site releases and off-site transfers may be the result of changes in production levels, a production ratio or activity index would help indicate, relatively speaking, whether a facility has, in fact, improved (or worsened) its environmental performance.
You are encouraged to provide a "ratio" of reporting-year production to prior-year production, or an "activity index" based on a variable other than production that was the primary influence on the total quantity of the reported substance released on site or transferred off site for final disposal or recycling. The ratio or index should be reported to two decimal places (that is, two digits to the right of the decimal point). If the manufacture, processing or other use of the reported substance began during the current reporting year, enter NA ("not applicable") as the production ratio or activity index.
It must be noted that if your facility reports more than one substance, the production ratio or activity index may vary between substances. For facilities that manufacture the reported substance, the quantities produced in the current and previous year provide a good basis for the ratio because that is the primary business activity associated with the substance. However, in most cases, the production ratio or activity index must be based on some variable of production or activity rather than on the amount of substance manufactured, processed or otherwise used.
Select, from the following examples, the production ratio or activity index that is the most appropriate method of adjusting the sum of on-site releases plus off-site transfers of the reported substance. If your facility reports more than one NPRI substance, the production ratio or activity index may vary from substance to substance. However, for a given substance, the same method of calculating a production ratio or activity index must be used from year to year to allow comparison. If the substance was used in more than one production process, you must use a production ratio that is based on a weighted average of the individual production ratios. If this is the first year reporting a substance, enter NA ("not applicable") in field B40.1.
Determining a production ratio
The production ratio must be based on the variable that most directly affects the quantities of the substance released on site or transferred off site for final disposal or recycling. Examples of methods available include:
- amount of the substance manufactured divided by the amount of the substance manufactured in the preceding year, or
- amount of product produced divided by the amount of product produced in the preceding year.
Example 1
Your facility manufactured the reported NPRI substance and you have instituted a pollution-prevention program to reduce fugitive emissions of the substance during manufacture, storage, packaging and shipping. An appropriate production ratio would simply be the amount of the substance manufactured during the reporting year divided by the amount manufactured in the previous year.
Example 2
Your facility's only use of toluene was as a paint carrier for a painting operation. You painted 12,000 refrigerators in the current reporting year and 10,000 refrigerators during the preceding year. In this case, the production ratio for toluene was 1.2 (12,000 + 10,000) because the number of refrigerators produced is the primary factor determining the quantity of toluene to be reported.
Example 3
A facility manufactured inorganic pigments, including titanium dioxide. Hydrochloric acid was produced as a waste during the production process. An appropriate production ratio for hydrochloric acid is the annual titanium dioxide production, not the amount of hydrochloric acid generated. During the reporting year, 20 tonnes of titanium dioxide was manufactured. If the facility produced 26 tonnes in the preceding year, the production ratio would be 0.77 (20 + 26).
Determining an activity index
In some situations, an activity other than production is the primary influence on the total quantity of the reported substance released on site or transferred off site for final disposal or recycling.
Example 1
Your facility manufactured organic dyes in a batch process. Different colours of dyes were manufactured and, between colour changes, all equipment had to be thoroughly cleaned with solvent containing glycol ethers to reduce colour carryover. During the preceding year, the facility manufactured four different colours in separate batches, totalling 15 tonnes. During the reporting year, the facility manufactured two colours, in separate batches, totalling 20 tonnes. Since the main activity affecting usage of the glycol ether was the cleaning associated with colour changeovers, the activity index would be 0.5 (2 colour changeovers in reporting year + 4 colour changeovers in previous year). The total quantity of dye manufactured has no bearing on the usage of the glycol ethers and, therefore, is inappropriate for normalizing your facility's annual changes in releases and transfers.
Example 2
A facility that manufactures thermoplastic composite parts for aircraft used toluene as a wipe solvent to clean moulds. The moulds were cleaned on an as-needed basis that was not necessarily a function of the parts' production rate. Operators cleaned 5200 moulds during the reporting year, but only cleaned 2000 molds in the previous year. An activity index of 2.6 (5200 + 2 000) represents the activities involving toluene usage in the facility. If the moulds were cleaned regularly after every 1000 parts were manufactured, the production ratio would be equal to the activity index and either could be used.
Example 3
A facility manufactured surgical instruments and cleaned the metal parts with 1,1,1-trichloroethane in a vapour degreaser. The degreasing unit is operated in a batch mode and the metal parts were cleaned according to an irregular schedule. The activity index can be based upon the total time the metal parts were in the degreasing operation. If the degreasing unit operated 3900 hours during the reporting year and 3000 hours the previous year, the activity index would be 1.3 (3900 + 3000).
Determining a production ratio based on a weighted Average
At many facilities, an NPRI substance is used in more than one production process. In these cases, a production ratio or activity index can be estimated by weighting the production ratio for each process based on the respective contribution of each process to the quantity of the substance released or transferred off site for final disposal or recycling.
Example
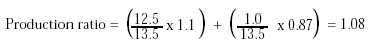
Your facility painted bicycles with paint containing toluene. Sixteen thousand (16,000) bicycles were produced in the reporting year and 14,500 were produced in the previous year. There were no significant design modifications that changed the total surface area to be painted for each bicycle. The production ratio would be 1.1 (16,000 + 14,500). You estimate that 12.5 tonnes of toluene were released on site or transferred off site for final disposal or recycling as a result of bicycle production. Your facility also used toluene as a solvent in a glue that was used to make components and add-on equipment for the bicycles. Thirteen thousand (13,000) components were manufactured in the reporting year, compared to 15,000 in the previous year. The production ratio for the components using toluene was 0.87 (13,000 + 15,000). You estimate that 1.0 tonne of toluene was released on site or transferred off site for final disposal or recycling as a result of components' production. A production ratio can be calculated by weighting each of the production ratios based on the relative contribution each has on the quantities of toluene (13.5 tonnes during the reporting year) released on site or transferred off site for final disposal or recycling. The production ratio would be calculated as follows:
You now have completed the 2001 reporting form for this substance. You have the options of saving the substance information, cancelling the changes or returning to the substance report.
Return to the "view / enter / edit data" menu. From this menu, you can enter more substances for this facility or enter other facilities and other substances.
When all information concerning all of your facilities and all of your substances has been entered, proceed to Step 6.