Quantification Guidance for the Output-Based Pricing System Regulations (updated February 2024)
Glossary
Act means the Greenhouse Gas Pollution Pricing Act.
additional industrial activity means an industrial activity that is not set out in column 1 of Schedule 1, that is recognized by the Minister, including for the purposes of a facility’s designation as a covered facility under subsection 172(1) of the Act, and that is engaged in in a sector that is recognized by the Minister as being at significant risk of competitiveness impacts resulting from carbon pricing and of carbon leakage resulting from carbon pricing.
biomass means plants or plant materials, animal waste or any product made of either of these, including wood and wood products, bio-charcoal, agricultural residues, biologically derived organic matter in municipal and industrial wastes, landfill gas, bio-alcohols, pulping liquor, sludge digestion gas and fuel from animal or plant origin.
CEMS means a continuous emissions monitoring system.
Coal-fired Electricity Regulations means the Reduction of Carbon Dioxide Emissions from Coal-fired Generation of Electricity Regulations.
electricity generation facility means a covered facility that generates electricity as its primary industrial activity, that is used to generate electricity from fossil fuels and that is composed of one unit or a group of units.
gaseous fuel means a fossil fuel that is gaseous at a temperature of 15°C and a pressure of 101.325 kPa.
GHG means greenhouse gas that is set out in column 1 of Schedule 3 to the Act.
2017 GHGRP means the document entitled Canada’s Greenhouse Gas Quantification Requirements: Greenhouse Gas Reporting Program, published by Environment and Climate Change Canada in 2017.
2020 GHGRP means the document entitled Canada’s Greenhouse Gas Quantification Requirements: Greenhouse Gas Reporting Program, the December 2020 version, published by Environment and Climate Change Canada.
Global warming potential or GWP means the global warming potential set out in column 2 of Schedule 3 to the Act for the greenhouse gas set out in column 1 of that Schedule.
HFC means the hydrofluorocarbons set out in items 6 to 24 of Schedule 3 to the Act.
Industrial facility means a covered facility other than an electricity generation facility.
IPCC Guidelines means the guidelines entitled 2006 IPCC Guidelines for National Greenhouse Gas Inventories, published by the Institute for Global Environmental Strategies in 2006.
liquid fuel means a fossil fuel that is liquid at a temperature of 15°C and a pressure of 101.325 kPa.
natural gas means a mixture of hydrocarbons — such as methane, ethane, or propane — that is in a gaseous state at a temperature of 15°C and a pressure of 101.325 kPa and that is composed of at least 70% methane by volume or that has a higher heating value that is not less than 35 MJ/standard m3 and not more than 41 MJ/standard m3. It excludes landfill gas, digester gas, refinery gas, blast furnace gas, coke oven gas or gas derived through industrial processes from petroleum coke or coal, including synthetic gas.
OBS means an output-based standard, which is either numerical and listed in column 3 of Schedule 1 or calculated in accordance with section 37 of the Regulations.
Opt-In Policy means the Policy Regarding Voluntary Participation in the Output-Based Pricing System, published by Environment and Climate Change Canada in 2019.
PFC means the perfluorocarbons set out in items 25 to 33 of Schedule 3 to the Act.
Regulations means the Output-Based Pricing System Regulations.
solid fuel means a fossil fuel that is solid at a temperature of 15°C and a pressure of 101.325 kPa.
specified emission type means an emission type listed in subsection 5(1) of the Regulations.
specified industrial activity means, with respect to a covered facility, an industrial activity specified in subsection 5(2) of the Regulations.
thermal energy means useful thermal energy in the form of steam or hot water that is intended to be used for an industrial purpose.
thermal energy to electricity ratio means, in respect of a unit or equipment that generates electricity, the ratio of the total quantity of thermal energy produced to the total quantity of gross electricity generated by the unit or equipment, not including the quantities from the use of duct burners, in a calendar year and expressed in the same units of measurement.
total capacity means, in respect of a unit or equipment that generates electricity, either
- the maximum continuous rating (the maximum net power that can be continuously sustained by a unit or equipment that generates electricity without the use of duct burners, at a temperature of 15˚C and a pressure of 101.325 kPa), expressed in MW of electricity, as most recently reported to a provincial authority of competent jurisdiction or to the electric system operator in the province where the unit or equipment is located, or
- if no report has been made, the most electricity that was generated by the unit or equipment during two continuous hours in a calendar year, expressed in MW of electricity.
unit means an assembly comprised of a boiler or combustion engine and any other equipment that is physically connected to either, including duct burners and other combustion devices, heat recovery systems, steam turbines, generators, and emission control devices, and that generates electricity and, if applicable, produces thermal energy from the combustion of fossil fuels.
WCI Method means the document entitled Final Essential Requirements of Mandatory Reporting, published on December 17, 2010, by the Western Climate Initiative.
1. Disclaimer
Where there are any inconsistencies between this guidance document, the Greenhouse Gas Pollution Pricing Act (Act) and/or the Output-Based Pricing System Regulations (Regulations) the Act and Regulations prevail.
2. Background
The Regulations, together with the Act, establish the Output-Based Pricing System (OBPS). The objective of the OBPS is to retain a price on carbon pollution that creates an incentive for emissions-intensive and trade-exposed industrial facilities to reduce emissions, while maintaining the competitiveness of Canadian industry relative to their international peers and preventing carbon leakage.
Persons subject to the Act and Regulations are required to provide compensation for the facility’s GHG emissions if they exceed the annual emissions limit applicable to the facility. Tradable surplus credits that can be used for compliance are issued to persons responsible for facilities that emit GHGs in a quantity that is below their limit. This creates an ongoing financial incentive for facilities to reduce their emission intensity to either reduce the amount owed for compensation or to emit below their limit and earn surplus credits.
3. Purpose
This document is intended to provide guidance on the quantification requirements of GHGs and production, including emissions limits and calculated output-based standards (OBS), for covered facilities under theRegulations. All references made in this document are regarding the Regulations unless otherwise specified.
4. Key Definitions of the Regulations
As per section 1, for the purposes of the Act and the Regulations, a facility means:
- (1)(a) all of the following elements that are operated in an integrated way to carry out an industrial activity:
- a site, or multiple sites, at which an industrial activity is carried out and the buildings, equipment, and other structures and stationary items located on those sites, and
- any other sites used in conjunction with the industrial activity, including a quarry, tailings pond, wastewater lagoon or pond and landfill; or
- (b) the portion of a natural gas transmission pipeline system within a province, used to transmit processed natural gas, of which the pipelines and associated installations or equipment — including compressor stations, storage installations and compressors — are operated in an integrated way, but excludes pipelines, installations or equipment that are used in the local distribution of natural gas and that are downstream of a metering station.
-
More than one person responsible — paragraph 1(a)
(2) If more than one person is responsible for the elements referred to in subparagraph (1)(a)(i) or (ii) as an owner or otherwise, including having the charge, management or control of, or as the true decision maker with respect to their operations, those elements are only included in the definition of facility if there is at least one person who is responsible for, owns, has the charge management or control of, or is the true decision maker in common.
-
More than one person responsible — paragraph 1(b)
(3) If more than one person is responsible for the pipelines and associated installations or equipment referred to in paragraph (1)(b) as an owner or otherwise, including having the charge, management or control of, or as the true decision maker with respect to the pipelines and associated installations or equipment, those pipelines and associated installations or equipment are only included in the definition of facility if there is at least one person who is responsible for, owns, has the charge management or control of, or is the true decision maker in common.
-
Single facility
(4) If two or more facilities referred to in paragraph (b) of the definition facility in subsection (1) within the same province have the same person responsible, or, if they have more than one person responsible, they have at least one person responsible in common, and are operated in an integrated way, they are deemed to be a single facility.
-
Interpretation
(5) With respect to a facility
- any part of a public road or of a railway track that is bordered on both sides by the facility and used to carry out the facility’s industrial activities is deemed to be part of the facility;
- for greater certainty, any part of a railway track that is used exclusively to carry out the facility’s industrial activities is part of the facility;
- for greater certainty, buildings that are used for legal, administrative or management purposes and that are not located where an industrial activity is carried out are not included for the purposes of the definition of facility; and
- if two or more facilities referred to in paragraph (b) of the definition facility in subsection (1), within the same province, have the same person responsible or a person responsible in common and are not operated in an integrated way, they each constitute a separate facility.
As per subsection 2(1), an electricity generation facility means a covered facility, other than one whose primary activity is something other than an industrial activity, that generates electricity as its primary industrial activity, used to generate electricity from fossil fuels and composed of one unit or a group of units.
As per subsection 5(1), the specified emission types for which GHGs must be quantified, for a covered facility are:
- Stationary fuel combustion emissions means emissions from stationary devices that combust solid fuels, liquid fuels, gaseous fuels, or tires or asphalt shingles, whether in whole or in part, for the purpose of producing useful heat.
- Industrial process emissions means emissions from an industrial process that involves a chemical or physical reaction other than combustion and the purpose of which is not to produce useful heat.
- Industrial product use emissions means emissions from the use of a product in an industrial process that does not involve a chemical or physical reaction and does not react in the process, including emissions from the use of sulphur hexafluoride (SF6), HFCs and PFCs as cover gases and the use of HFCs and PFCs in a foam-blowing process.
- Venting emissions means controlled emissions that occur due to the design of a facility, to procedures used in the manufacture or processing of a substance or product or to pressure exceeding the capacity of the equipment at the facility.
- Flaring emissions means controlled emissions of gases from industrial activities as a result of the combustion of a gas or liquid stream produced at a facility, the purpose of which is not to produce useful heat. It does not include emissions from the flaring of landfill gas.
- Leakage emissions means uncontrolled emissions. It does not include industrial process emissions and industrial product use emissions.
- On-site transportation emissions means emissions from registered or unregistered vehicles and other machinery that are used at the facility for the transport of substances, materials, equipment or products used in a production process or for the transport of people, and that are fuelled using fuels delivered in a delivery to which an exemption certificate referred to in subparagraph 36(1)(b)(v) of the Act applies.
- Waste emissions means emissions that result from waste disposal at a facility, including the landfilling of solid waste, the biological treatment or incineration of waste and the flaring of landfill gas. Waste emissions do not include emissions from the combustion of tires or asphalt shingles, whether in whole or in part, to produce useful heat or on-site transportation emissions.
- Wastewater emissions means emissions resulting from industrial wastewater and industrial wastewater treatment at a facility.
Subsection 5(2) sets out “specified industrial activities”, which are the industrial activities for which the Regulations establish output-based standards. Specified industrial activities under the OBPS are the industrial activities set out in column 1 of Schedule 1 and “additional industrial activities” engaged in at the covered facility.
For the 2023 compliance period, additional industrial activities are the industrial activities recognized by the Minister for the purpose of the designation of the facility as a covered facility under subsection 172(1) of the Act. Those industrial activities where specified in the notice provided by the Minister that accompanied the covered facility certificate.
For references made in regard to a facility in this document, it is for a covered facility that is covered under the Regulations and the Act.
Please note that all requirements described in this document are the obligations of the person responsible for the covered facility (as described in section 10 of the Regulations).
Refer to Appendix A for frequently asked questions.
5. Quantification of GHGs
The quantity of GHGs that are emitted from a facility must be determined in accordance with section 35. The quantification of those GHGs is set out in sections 16 to 25, which also include special quantification rules set out in subsections 17(5) and 20(6) and sections 22 and 23, and provisions for seeking a permit to use an alternative quantification method set out in sections 26 to 30. This section of the guidance document also provides some calculated examples to clarify certain provisions in the Regulations.
5.1. Quantification of GHGs for Industrial Facilities
A facility’s total quantity of GHGs from all activities, including the generation of electricity, must be quantified for an industrial facility, other than an electricity generation facility. In addition, the sampling, analysis, and measurement requirements needs to be complied with as specified in sections 17 to 19 and 22 to 25. For special rules in regard to quantification set out in subsection 17(5) and sections 22 to 25, refer to section 5.3 of this document.
The total quantity of GHGs is to be calculated as per subsection 17(1), which is the quantity used for the variable A (equation in section 35), to determine the quantity of GHGs emitted. The total quantity of GHGs is to be calculated for each specified emission type (see Key Definitions of the Regulations) and the applicable GHG.
A quantity of a GHG, expressed in tonnes, is converted into carbon dioxide equivalent tonnes (tonnes of CO2e) by multiplying that quantity by the GWP set out for the GHG in column 2 of Schedule 3 to the Act. As of January 1, 2023, the GWP’s in Schedule 3 were updated to reflect the 100-Year Time Horizon established in IPCC’s Fifth Assessment Report (SAR) published in 2014.
The quantity of GHGs from electricity generation for an industrial facility that also generates electricity must be quantified using the methods applicable to the industrial activities engaged in at the facility, as per section 18. For example, if a facility is engaged in the production of lime and also generates electricity, the GHGs from the generation of electricity are calculated in accordance with the methods applicable to the production of lime.
For industrial activities set out in Schedule 1, GHGs from specified emission types listed in subsection 5(1) of the Regulations must be quantified as described below and shown in Figure 1:
Column 4 of Schedule 1 identifies the applicable Part of Schedule 3 that contains the quantification methods applicable to the industrial activity.
- The GHGs set out in Column 2 of Schedule 3 from the specified emission types set out in Column 1 of Schedule 3 must be quantified as follows:
- Quantify the GHGs in accordance with the methods identified in column 3 of the table of the applicable Part in Schedule 3;
- Follow the sampling, analysis and measurement requirements identified in column 4 of the table of the applicable Part in Schedule 3; and
- For circumstances where data is missing, replacement data is to be quantified in accordance with the methods prescribed in column 5 of the table of the applicable Part in Schedule 3.
- If there is no listed quantification method for a GHG or a specified emission type in the applicable Part of Schedule 3, then:
- GHGs must be quantified in accordance with the applicable methods in the 2017 GHGRP or the WCI method. However, if there are no applicable quantification method in the 2017 GHGRP or the WCI method, then the IPCC Guidelines may be used;
- The sampling, analysis and measurement requirements set out in those methods or guidelines must be followed; and
- For circumstances where data is missing, replacement data is to be quantified also in accordance with those methods or guidelines.
Figure 1: Quantification of GHGs for an industrial facility engaged in an industrial activity listed in Schedule 1 (Mandatory and Part 1 of Opt-in Policy facilities).

Long description for figure 1
Figure 1: Quantification of GHGs for an industrial facility engaged in an industrial activity listed in Schedule 1 (Mandatory and Part 1 of Opt-in Policy facilities).
Is there a GHG or a specified emission type from an industrial activity identified in the applicable part of the table in schedule 3?
If yes, Column 4 of schedule 1 identifies the applicable part under schedule 3. Methods to quantify GHGs are identified in column 3 of the table in schedule 3 for that applicable part. For sampling, analysis, and measurement requirements, refer to Column 4 of the table in schedule 3 for that applicable part (paragraph 17(3)(a)). For estimating missing analytical data, refer to column 5 of the table in schedule 3 for that applicable part (paragraph 17(4)(a)).
If no, is there an applicable method(s) in the GHGRP or WCI to qualify the GHG or the specified emission type?
If yes, use the GHGRP or the WCI method to quantify the GHGs. For sampling, analysis, and measurement requirements set out in these methods need to be followed (paragraph 17(3)(b)). For methods for estimating missing analytical data set out in the methods need to be followed (paragraph 17(4)(b)).
If no, use the IPCC guidelines to quantify the GHGs. For sampling, analysis, and measurement requirements set out in these guidelines need to be followed (paragraph 17(3)(b)). For methods for estimating missing analytical data set out in these guidelines need to be followed (paragraph 17(4)(b)).
For industrial activities not set out in Schedule 1, GHGs from specified emission types must be quantified as described below (paragraph 17(2)(c)) and shown in Figure 2:
- The 2017 GHGRP or WCI method may be used to quantify GHGs using applicable methods for those industrial activities. However, if there are no applicable quantification method then the IPCC Guidelines may be used,
- The sampling, analysis and measurement requirements set out in those methods or guidelines must be followed, and
- For circumstances where data is missing, replacement data is to be quantified in accordance with those methods or guidelines.
Figure 2: Quantification of GHGs for a facility engaged in an industrial activity not listed in Schedule 1 (Part 2 of the Opt-in Policy facilities).

Long description for figure 2
Figure 2: Quantification of GHGs for a facility engaged in an industrial activity not listed in Schedule 1 (Part 2 of the Opt-in Policy facilities).
Is there an applicable method(s) in the GHGRP or WCI to qualify the GHG or the specified emission type?
If yes, use the GHGRP or the WCI method to quantify the GHGs. Sampling, analysis, and measurement requirements set out in these methods need to be followed (paragraph 17(3)(b)). Method for estimating missing analytical data set out in these methods needs to be followed (paragraph 17(4)(b)).
If no, use the IPCC guidelines to quantify GHGs. Sampling, analysis, and measurement requirements set out in these guidelines need to be followed (paragraph 17(3)(b)). Method for estimating missing analytical data set out in these guidelines needs to be followed (paragraph 17(4)(b)).
Furthermore, an industrial facility’s total quantity of GHGs calculated under subsections 17(1) is not to be rounded to the nearest whole number.
For the purposes of subsection 17(2), if the quantities of GHGs are calculated in accordance with the methods in the 2017 GHGRP 2.A or 2.B, the emission factor tables set out in those methods are replaced by the emission factor tables set out in the 2020 GHGRP as per subsection 17(4.1).
Sampling, analysis, and measurement requirements and methods for estimating missing analytical data for on-site transportation emissions are replaced by those set out in the 2020 GHGRP. These changes are illustrated in Figure 3.
Figure 3: Emission Factors and Quantification Methodologies using the 2020 GHGRP

Long description for figure 3
Figure 3: Emission Factors and Quantification Methodologies using 2020 GHGRP.
For quantifying GHGs from stationary fuel combustion, previous rules under the Regulations prescribed 2017 GHGRP, sections 2.A and 2.B with use of emission factors listed in 2017 GHGRP. The current rules under OBPS regulations prescribe 2017 GHGRP, sections 2.A and 2.B with the use of emission factors listed in 2020 GHGRP.
For on-site transportation emissions, previous rules under the Regulations prescribed:
- For quantifying GHGs, 2017 GHGRP, sections 2.A.1.c, 2.A.1.d, 2.A.2.e and 2.B with the use of emission factors listed in 2017 GHGRP.
- For sampling, analysis and measurement requirements, 2017 GHGRP, section 2.C.
- For the method for estimating missing analytical data, 2017 GHGRP, section 2.D.
The current rules under the Regulations prescribe:
- For quantifying GHGs, 2020 GHGRP, sections 2.A.1.a, 2.A.2.e and 2.B with the use of emission factors listed in 2020 GHGRP.
- For sampling, analysis and measurement requirements, 2020 GHGRP, section 2.D.
- For the method for estimating missing analytical data, 2020 GHGRP, section 2.E.
Other Considerations:
Emissions are not to be included twice when calculating a facility’s GHG emissions. If the quantification methods that apply to an industrial activity or facility result in the calculation of the same emissions under two specified emission types, the emissions must not be included twice. For example, if the quantification methods for a facility with industrial process emissions that are vented result in calculating the emissions twice – once as industrial process emissions and once as vented emissions, the quantity of emissions must only be included once.
On-site transportation emissions are defined in subsection 2(1) of the Regulations. These emissions include those from fuels delivered to which an exemption certificate referred to in subparagraph 36(1)(b)(v) of the Act applies. Fuels for which the fuel charge was paid and used for on-site transportation are not included in the facility’s on-site transportation emissions.
Example 1: An industrial facility engaged in a Schedule 1 activity
A facility is engaged in an industrial activity listed in Schedule 1. The facility modified the process within the industrial activity, which resulted in the installation of a new anaerobic reactor. As a result, there are additional GHGs resulting from wastewater treatment. There is no prescribed method set out in column 3 of the table in the industrial activity’s applicable Part of Schedule 3 for the quantification of GHGs from wastewater emissions.
How should the GHGs from wastewater emissions be quantified?
As per paragraph 17(2)(b), the 2017 GHGRP or the WCI method must be referred to in order to find an applicable method to quantify GHGs from wastewater emissions. In this case, the WCI Method WCI.203(g) has applicable methods to calculate CH4 and N2O from anaerobic wastewater treatment. Therefore, the WCI method is to be used and the sampling, analysis, measurement, and replacement data requirements set out in that method must be complied with.
Example 2: An industrial facility engaged in an industrial activity not listed in Schedule
1
A facility that has been designated as a covered facility under subsection 172(1) of the Act, has specified as its primary activity in its request for designation, an industrial activity not listed in Schedule 1. This activity is specified in the notice that accompanies the covered facility’s certificate for the facility as a specified industrial activity (Part 2 of the Opt-in Policy). This means the facility does not have an applicable Part under Schedule 3 and hence no prescribed quantification methods are available in Schedule 3 for that industrial activity.
The specified emission types occurring at the facility are stationary combustion, on-site transportation, and waste emissions. The waste emissions are due to the combustion of solid and liquid waste in controlled incineration. In addition, the facility purchases electricity from the grid.
How should the facility’s GHGs be quantified?
As per paragraph 17(2)(c), the 2017 GHGRP, the 2020 GHGRP or the WCI method must be referred to in order to find an applicable method for the quantification of stationary combustion, on-site transportation and waste emissions.
- There are applicable methods under the 2017 GHGRP to calculate GHGs from stationary combustion and under the 2020 GHGRP to calculate GHGs from on-site transportation emissions:
- Sections 2.A and 2.B of the 2017 GHGRP are quantification methods to calculate GHGs from stationary combustion and sections 2.A and 2.B of the 2020 GHGRP to calculate GHGs from on-site transportation emissions. The emission factor tables to be used in calculating the GHGs are those set out in the 2020 GHGRP.
- Those applicable 2017 GHGRP or 2020 GHGRP methods must be used and the sampling, analysis, measurement and replacement data requirements set out in those methods must be complied with.
- There are no applicable method in the 2017 GHGRP or the WCI method to calculate GHGs from waste emissions.
- In this case, the IPCC Guidelines must be referred to in order to quantify GHGs from waste emissions.
- The IPCC Guidelines has an applicable method for calculating GHGs from incineration and open burning waste in Chapter 5.
- The sampling, analysis, measurement, and replacement data requirements set out in those guidelines must be complied with.
Should GHGs from purchased electricity be quantified?
No, GHGs from purchased electricity do not need to be quantified. GHGs from electricity are only quantified if the electricity is generated at the facility. As per section 18, those GHGs are to be quantified as per the methods applicable to the industrial activity engaged in at the facility.
5.2. Quantification of GHGs for Electricity Generation Facilities
The total quantity of GHGs from each unit at an electricity generation facility must be quantified and the sampling, analysis, measurement, and replacement data requirements must be complied with, identified in sections 20 to 25.
The total quantity of GHGs is to be calculated as per subsection 20(1), which is the quantity used for the variable A (equation in section 35), to determine the total quantity of GHGs emitted from each unit within a facility. The total quantity of GHGs is to be calculated for each specified emission type (see Key Definitions of the Regulations) and the applicable GHG.
A quantity of a GHG, expressed in tonnes, is converted into carbon dioxide equivalent tonnes (tonnes of CO2e) by multiplying that quantity by the GWP set out for the GHG in column 2 of Schedule 3 of the Act. As of January 1, 2023, the GWP’s in Schedule 3 were updated to reflect the 100-Year Time Horizon established in IPCC’s Fifth Assessment Report (SAR) published in 2014.
The unit’s total quantity of GHGs is the sum of GHGs of stationary fuel combustion emissions (the first sub bullet below) and GHGs from emissions other than stationary fuel combustion emissions (the second sub bullet below) as described below:
- The quantification requirements for stationary fuel combustion emissions for an electricity generation facility depend on the type of fossil fuel used to generate electricity by each unit and whether that unit is registered or not under the Coal-fired Electricity Regulations. There are three cases:
Case 1: The unit is registered under the Coal-fired Electricity Regulations.
Case 2: The unit is not registered under the Coal-fired Electricity Regulations and generates electricity from the combustion of natural gas.
Case 3: Any other unit in which Cases 1 and 2 are not applicable.
For stationary fuel combustion emissions only, the table below illustrates the quantification requirements for each unit as per Division 1 of Part 38 of Schedule 3 to calculate CO2, CH4 and N2O depending on the applicable case.
| GHGs | Case | Method for Calculating GHGs | Sampling,Analysis and Measurement Requirements | Method for Estimating Missing Analytical Data |
|---|---|---|---|---|
| CO2 | Case 1 | Section 20 to 26 of the Coal-fired Electricity Regulations | Section 27 of the Coal-fired Electricity Regulations | Section 28 of the Coal-fired Electricity Regulations |
| Case 2 | Sections 12 to 18 of the Regulations Limiting Carbon Dioxide Emissions from Natural Gas-fired Generation of Electricity | Sections 19 of the Regulations Limiting Carbon Dioxide Emissions from Natural Gas-fired Generation of Electricity | Sections 20 of the Regulations Limiting Carbon Dioxide Emissions from Natural Gas-fired Generation of Electricity | |
| Case 3 | 2017 GHGRP 2.A | 2017 GHGRP 2.C | 2017 GHGRP 2.D | |
| CH4 and N2O | All cases | 2017 GHGRP 2.B | 2017 GHGRP 2.C | 2017 GHGRP 2.D |
- For specified emission types, other than stationary fuel combustion emissions, GHGs must be quantified as described below and shown in Figure 4:
- The quantification methods are identified in column 3 of the table in Part 38 of Schedule 3.
- The sampling, analysis and measurement requirements are identified in column 4 of the table in Part 38 of Schedule 3.
- For circumstances where data is missing, replacement data is to be calculated in accordance with the methods prescribed in column 5 of the table in Part 38 of Schedule 3.
- If there is no listed method for a GHG from a specified emission type in Part 38 of Schedule 3, the 2017 GHGRP or WCI method may be used. However, if there are no applicable method then the IPCC Guidelines must be used.
- The sampling, analysis and measurement requirements set out in those methods or guidelines need to be followed.
- For circumstances where data is missing, replacement data is to be calculated in accordance with those methods or guidelines.
- The quantification methods are identified in column 3 of the table in Part 38 of Schedule 3.
For special rules in regard to quantification set out in subsection 20(6) and sections 22 to 25, refer to section 5.3 of this document.
Figure 4: Quantification of GHGs from specified emission types, other than stationary fuel combustion emissions, for an electricity generation facility.

Long description for figure 4
Figure 4: Quantification of GHGs from specified emission types, other than stationary fuel combustion emissions, for an electricity generation facility.
Is there a GHG or a specified emission type other than stationary combustion emissions identified in the table to Part 38 of Schedule 3?
If yes, methods to quantify GHGs are identified in column 3 of the table to Part 38 of Schedule 3. For sampling, analysis, and measurement requirements, refer to Column 4 of the table to Part 38 of Schedule 3 (paragraph 20(4)(b)). For estimating missing analytical data, refer to Column 5 of the table to Part 38 of Schedule 3 (paragraph 20(5)(b)).
If no, are there applicable method(s) in the GHGRP or WCI to quantify the GHG or the specified emission type?
If yes, use the GHGRP or the WCI method to quantify the GHGs. For sampling, analysis, and measurement requirements set out in these methods need to be followed (paragraph 20(4)(c)). For methods for estimating missing analytical data set out in the methods need to be followed (paragraph 20(5)(c)).
If no, use the IPCC guidelines to quantify GHGs. For sampling, analysis, and measurement requirements set out in these guidelines need to be followed (paragraph 20(4)(c)). For methods for estimating missing analytical data set out in these guidelines need to be followed (paragraph 20(5)(c)).
Furthermore, an electricity generation facility’s total quantity of GHGs calculated under subsections 20(1) is not to be rounded to the nearest whole number.
5.2.1. Apportioning GHGs
For an electricity generation facility, where GHGs other than GHGs for stationary fuel combustion emissions can only be quantified at a facility level, those GHGs must be apportioned to the facility’s units as per subsection 20(3). Those GHGs must be apportioned based on the ratio of each unit’s total electricity generation relative to the facility’s total electricity generation. Refer to the example below on how to apportion GHGs.
Example 3: Apportioning GHGs
An electricity generation facility with two units emits stationary combustion and on-site transportation emissions. The CO2 from on-site transportation emissions can only be quantified at the facility level and they are 10,000 tonnes of CO2. That quantity of CO2 needs to be apportioned to all the units in the facility as explained in the example below. The same process needs to be followed for quantifying CH4 and N2O emissions.
Electricity generated |
Stationary fuel combustion emissions |
|
|---|---|---|
Unit 1 |
100 GWh |
30,000 tonnes of CO2 |
Unit 2 |
150 GWh |
50,000 tonnes of CO2 |
Facility’s total |
250 GWh |
- |
The following steps show how to calculate the quantity of CO2 for each unit at the facility:
- Calculate the ratio of each unit’s total electricity generation relative to the facility’s total electricity generation.
Ratio for Unit 1 = (100 GWh) / (250 GWh) = 0.4
Ratio for Unit 2 = (150 GWh) / (250 GWh) = 0.6
- Multiply the ratio for Unit 1 with the facility’s CO2 from on-site transportation emissions in order to apportion for each unit.
Unit 1 CO2 from on-site transportation emissions = 0.4 × 10,000 tonnes of CO2 = 4,000 tonnes of CO2
Unit 2 CO2 from on-site transportation emissions = 0.6 × 10,000 tonnes of CO2 = 6,000 tonnes of CO2
- Calculate the quantity of CO2 for each unit.
Quantity of CO2 for Unit 1 = 30,000 tonnes of CO2 + 4,000 tonnes of CO2 = 34,000 tonnes of CO2
Quantity of CO2 for Unit 2 = 50,000 tonnes of CO2 + 6,000 tonnes of CO2 = 56,000 tonnes of CO2
The quantity of CO2 for Unit 1 and 2 is 34,000 and 56,000 tonnes of CO2, respectively.
5.3. Special Rules
Certain provisions in the Regulations do not require the quantification of certain GHGs or for certain GHGs to be included in the facility’s total quantity of GHGs. Those exclusions are listed below. These provisions apply to both industrial and electricity generation facilities:
- As per subsection 22(1), CO2 from biomass is not quantified and is not included in the quantity of CO2 when quantifying the facility’s total quantity of GHGs from the facility as per subsections 17(2) to (4) or subsections 20(2) to (5). However, if a CEMS is used to measure the quantity of CO2 at the facility then CO2 from biomass will have to be quantified and deducted from the quantity of CO2 as measured by the CEMS. The quantity of CO2 from biomass is not to be reported as part of the facility’s annual report.
- As per subsections 17(5) and 20(6), CH4 and N2O generated from stationary devices that combust biomass for the purpose of producing useful heat must be quantified but are not to be included in the quantity of GHGs from stationary fuel combustion emissions calculated in subsections 17(2) to (4) or subsections 20(2) to (5). These quantities of CH4 and N2O are to be reported separately as part of the facility’s annual report (section 4 of Schedule 2).
- As per subsection 22(2), quantification of CH4 from venting or leakage emissions is not required for facilities engaged in:
- The production of bitumen and other crude oil (item 1 of Schedule 1);
- the upgrading of bitumen or heavy oil (item 2 of Schedule 1);
- the processing of natural gas (item 4 of Schedule 1); and
- the transmission of processed natural gas (item 5 of Schedule 1).
CH4 from venting and leakage emissions is not included as part of the quantity of CH4 calculated as per subsections 17(2) to (4). - As per section 23, the “de minimis” provision allows the exclusion of a GHG for any specified emission type if it represents less than or equal to 0.5% of the facility’s total quantity of GHGs, when expressed in tonnes of CO2e. With the specification that the sum of the quantity of GHGs that are to be excluded must not exceed 0.5% of the facility’s total quantity of GHGs. If those parameters are met, then those GHGs can be excluded from the determination made under subsection 17(2) to (4) or 20(2) to (5). Refer to the example below for how to calculate the “de minimis.”
Example 4: De minimis
All GHGs from all specified emission types for a facility are quantified based on the quantification requirements under the Regulations, but minor quantities can be excluded from the total quantity of GHGs. The table below illustrates the facility’s total quantity of GHGs and the percentage of GHGs contributed by both the gas and specified emission type. Some of the GHGs from stationary fuel combustion, leakage and on-site transportation emissions are below 0.5% of the facility’s total quantity of GHGs.
Do these GHGs have to be included in those GHG under subsection 17(1) or 20(1)?
| Specified emission type | CO2 | CH4 | N2O | Total |
|---|---|---|---|---|
| Stationary fuel combustion emissions | 2,940.30 (1.5%) |
2.26 (0.0%) |
13.2 (0.0%) |
2,955.76 (1.5%) |
| Industrial process emissions | 127,431.33 (65.1%) |
2.26 (0.0%) |
62,563.2 (32.0%) |
189,996.79 (97.1%) |
| Leakage emissions | 2.8 (0.0%) |
938.88 (0.5%) |
0.0 (0.0%) |
941.68 (0.5%) |
| On-site transportation emissions | 1,692.13 (0.9%) |
3.25 (0.0%) |
166.14 (0.1%) |
1,861.52 (1.0%) |
| Facility’s total quantity of GHGs | - | - | - | 195,756 |
Based on the table:
- The percentages of CH4 and N2O from stationary fuel combustion emissions are both less than 0.5% of the facility’s total quantity of GHGs.
- The percentage of CH4 from industrial process emissions is less than 0.5% of the facility’s total quantity of GHGs.
- The percentages of CO2 and CH4 from leakage emissions are both equal or less than to 0.5% of the facility’s total quantity of GHGs.
- The percentages of CH4 and N2O from on-site transportation emissions are both less than 0.5% of the facility’s total quantity of GHGs.
As per subsection 23(1), the facility is not required to include the GHGs listed in (a) to (d), however, the sum of those GHGs must not exceed 0.5% of the facility’s total quantity of GHGs as per subsection 23(2).
The following steps are used to determine if the sum of the quantity of GHGs listed in (a) to (d) exceed 0.5% of the facility’s total quantity of GHGs.
The sum of quantity of GHG listed in (a) to (d) = [CH4 + N2O]stationary fuel combustion emissions + [CH4] industrial process emissions + [CO2 + CH4]leakage emissions + [CH4 + N2O]on-site transportation emissions = [2.26 + 13.2] + 2.26 + [2.8 + 938.88] + [3.25 + 166.14] =1,128.79 tonnes of CO2e
The ratio of the quantity of GHG listed in (a) to (d) to the total quantity of GHGs = (1,128.79 tonnes of CO2e) / (195,756 tonnes of CO2e) × 100 = 0.6%
Based on the calculation above, the percentage of those GHGs exceed 0.5% of the facility’s total quantity of GHGs. Therefore, the facility must include some of the GHGs listed in (a) to (d) under subsection 17(2) to (4) or 20(2) to (5). The GHGs not included must not exceed 0.5% of the facility’s total quantity of GHGs.
In this case, for example, it was decided to include the GHGs listed in (d) for on site-transportation emissions, and not to include the GHGs listed in (a) to (c) which have to be summed to check if those GHGs are less than or equal to 0.5% of the facility’s total quantify of GHGs.
The following steps calculate if the sum of the GHGs listed in (a) to (c) do not exceed 0.5% of the facility’s total quantity of GHGs.
The sum of quantity of GHG listed in (a) to (c) = [CH4 + N2O]stationary fuel combustion emissions + [CH4]industrial process emissions + [CO2 + CH4]leakage emissions = [2.26+ 13.2] + 2.26 + [2.8 + 938.88] = 959.40 tonnes of CO2e
The ratio of the quantity of GHG listed in (a) to (c) to the total quantity of GHGs = (959.40 tonnes of CO2e) / (195,756 tonnes of CO2e) × 100 = 0.5%
Therefore, the following GHGs do not need to be included under subsection 17(2) to (4) or 20(2) to (5):
- CH4 and N2O from stationary fuel combustion emissions,
- CH4 from industrial process emissions, and
- CO2 and CH4 from leakage emissions.
5.4. Carbon Capture and Storage
As per subsection 35(1), the quantity of CO2 that is included in the description of A and has been permanently stored in an eligible storage project (variable B) is only deducted from a facility’s total quantity of GHGs that are from the covered facility (variable A). For example, the quantity of CO2 from biomass that is stored is not deducted since CO2 from biomass is not included in the total quantity of GHGs. Eligible storage projects are listed in subsection 35(2). The quantity of CO2 from a covered facility that has been captured but has not been permanently stored in a storage project that meets the requirements of subsection 35(2) is deemed to have been emitted by the covered facility and is included in the quantity of GHGs that are included in the description of A in subsection 35(1). For greater certainty, any quantity of CO2 cannot be deducted if it was not already included in the facility’s total quantity of GHGs as per the description of A in subsection 35(1).
The quantity of CO2 expressed in tonnes of CO2e, that is captured at the facility and subsequently stored must be quantified using section 1 of the 2017 GHGRP.
5.4.1. Continuous Emission Monitoring Systems
As per section 25, any CEMS used by the facility must comply with the Reference Method for Source Testing: Quantification of Carbon Dioxide Releases by Continuous Emission Monitoring Systems from Thermal Power Generation, published by the Minister of the Environment in June 2012. If a CEMS is used to measure CO2 at the facility, then the quantity of CO2 from biomass will have to be quantified and deducted from the total quantity of CO2 as measured by the CEMS.
6. Quantification of Production and Thermal Energy
This section provides guidelines on the quantification of production and thermal energy including a summary flowchart on the quantification of production for both industrial facilities and electricity generation facilities.
6.1. Quantification of Production for Industrial Facilities
As per subsection 31(1), production needs to be quantified for all the specified industrial activities engaged in at the facility, as it is needed to calculate the emissions limit. The following steps help determine the unit of measurement for those activities:
- If the specified industrial activity is listed in Schedule 1:
- the applicable unit of measurement is identified in column 2 of Schedule 1;
- additional quantification requirements may be prescribed in the applicable Part of Schedule 3;
- If the specified industrial activity is an additional industrial activity:
- the unit of measurement is specified by the Minister for that activity. For 2023, the unit of measurement specified by the Minister is the unit of measurement provided in the request to designate the facility under subsection 172(1) of the Act.
Electricity generated at an industrial facility must be quantified in accordance with sections 6 and 7 of Part 38 of Schedule 3. However, production can be:
- Quantified in whole;
- Quantified in part; or
- Not quantified.
As per section 15 of Schedule 2 (annual report), a list of equipment from which electricity was generated but not quantified is required.
Furthermore, the annual production value that is included in the annual report is not to be rounded to three significant figures.
Figure 5: Quantification of production for an industrial facility.

Long description for figure 5
Figure 5: Quantification of production for an industrial facility.
For a specified industrial activity set out in items 1 to 37, column 1 of Schedule 1, the unit of measurement is identified in column 2 of Schedule 1. Additional quantification rules in Schedule 3 may be applicable.
For a specified industrial activity set out in item 38, column 1 of Schedule 1 (i.e. electricity generation), the unit of measurement is identified in column 2 of Schedule 1. Must quantify in accordance with sections 6 and 7 of Part 38 of Schedule 3 (subparagraph 31(1)(b)(i)). Electricity generated can be quantified in whole or in part or choose to not quantify at all (subparagraph 31(1)(b)(ii)).
For an additional specified industrial activity, the unit of measurement specified by the Minister is the one provided in the request under subsection 172(1) of the Act for the designation of the facility as a covered facility.
6.1.1. Measuring Device and Engineering Estimates
Measuring devices used to quantify an industrial facility’s production must comply with the requirements associated with the measuring device. As per subsection 31(2), any measuring device used to measure production must be maintained to be accurate within ± 5% and must also be installed, operated, maintained, and calibrated in accordance with the manufacturer’s specifications or any applicable generally recognized national or international industry standard. Measuring devices used to measure the production of electricity in industrial facilities must also comply with the requirements of subsection 31(2).
Where an industrial facility is unable to directly measure their production using a measuring device, production may be quantified using engineering estimates or mass balance, as per subsection 31(3).
6.2. Quantification of Production for Electricity Generation Facilities
As per subsection 32(1), for an electricity generation facility, gross quantity of electricity produced from each unit within the facility must be quantified based on the type of fossil fuel combusted:
- If the facility uses one fossil fuel (i.e.: natural gas):
- The gross electricity generated is determined in accordance with subsection 4(1) of Part 38 of Schedule 3;
- If the facility has a combustion engine unit and a boiler that share the same steam turbine, then the gross electricity generated for each unit is determined as described in section 5 of Part 38 of Schedule 3.
- If the facility uses a mixture of fossil fuels or a mixture of biomass and fossil fuels:
- The gross electricity generated by each fuel type is determined in accordance with subsections 4(2) and (3) of Part 38 of Schedule 3.
- If the facility has a combustion engine unit and a boiler that share the same steam turbine, then the gross electricity generated for each unit is determined as described in section 5 of Part 38 of Schedule 3.
Note, the responsible person may choose not to quantify part, or all of the quantity of electricity generated from one unit or a group of units, as per subsection 32(2). As per section 15 of Schedule 2 (annual report), a list of unit(s) is required, from which electricity was generated but not quantified.
Furthermore, the annual production value that is included in the annual report is not to be rounded to three significant figures.
Figure 6: Quantification of production for an electricity generation facility.

Figure 6: Quantification of production for an electricity generation facility.
Production quantification for an electricity generation facility.
Quantifying the gross generation of electricity.
Does the combustion engine unit and the boiler unit share the same steam turbine?
If yes, quantify as per subsection 11(2) of the Regulations Limiting Carbon Dioxide Emissions from Natural Gas-fired Generation of Electricity. Electricity generated can be quantified in whole or in part or choose to not quantify at all from a unit or a group of units (subsection 32(2)).
If no, does the unit use one type of fossil fuel to generate electricity?
If yes, quantify as per subsection 4(1) and Section 5 of Part 38 of Schedule 3. Electricity generated can be quantified in whole or in part or choose to not quantify at all from a unit or a group of units (subsection 32(2)).
If no, quantify as per section 4(2) and (3) and section 5 of Part 38 of Schedule 3. Electricity generated can be quantified in whole or in part or choose to not quantify at all from a unit or a group of units (subsection 32(2)).
Long description for figure 6
6.3. Quantification of Thermal Energy
Thermal energy transfers between covered facilities must be quantified and reported including the ratio of heat from the combustion of fossil fuels associated with those thermal energy transfers. As set out in subsection 34(1), the ratio of heat from the combustion of fossil fuels during a compliance period is either:
- equal to 1 when the thermal energy is produced from the combustion of only fossil fuels; or
- is determined by the following formula when the thermal energy is produced from the combustion of both fossil fuels and biomass.
- Refer to Example 6 on how to calculate the ratio of heat from the combustion of both fossil fuels and biomass:
HF/(HF+B)
Where
HF is determined by the formula

QFi is the quantity of fossil fuel of type “i” combusted in the facility for the generation of thermal energy during the compliance period, determined in accordance with subsection 7(2) of Part 38 of Schedule 3 for industrial facilities or subsection 4(3) of Part 38 of Schedule 3 for electricity generation facilities,
HHVi is the higher heating value of the fossil fuel of type “i” combusted in the facility during the compliance period for the generation of thermal energy in accordance with sections 2.C.1 and 2.C.3 of the 2017 GHGRP for industrial facilities or subsection 24(1) of the Coal-fired Electricity Regulations for electricity generation facilities, and
i is the ith fossil fuel type combusted in the facility during the compliance period, where “i” goes from 1 to n and where n is the number of types of fossil fuels combusted, and
B is determined by the formula

QBBk is the quantity of biomass fuel type “k” combusted in the facility for the generation of thermal energy during the compliance period, determined in accordance with subsection 7(2) of Part 38 of Schedule 3 and the WCI Method WCI.214 for industrial facilities or subsection 4(3) of Part 38 of Schedule 3 for electricity generation facilities,
HHVk is the higher heating value for biomass fuel type “k” combusted in the facility during the compliance period for the generation of thermal energy in accordance with sections 2.C.1 and 2.C.3 of the 2017 GHGRP and the WCI Method WCI.214 for industrial facilities or subsection 24(1) of the Coal-fired Electricity Regulations for electricity generation facilities, and
k is the kth biomass fuel type combusted in the facility during the compliance period, where “k” goes from 1 to m and where m is the number of types of biomass fuels combusted.
Example 5: Thermal Energy
An industrial facility produces thermal energy from the combustion of diesel, heavy fuel oil and pulping liquor fuels. The facility sells the thermal energy to another covered facility subject to the Regulations. The ratio of heat is then calculated using the formula below.
HF/(HF+B)
- The value of HF corresponds to the quantity of heat from fossil fuels combustion (i.e.: diesel fuel and heavy fuel oil).
- The value of B corresponds to the quantity of heat from biomass combustion (i.e.: pulping liquor fuel).
- The value of HF is calculated using the formula below:
- The value of QF1 corresponds to 2,000 kL, which is the quantity of diesel fuel.
- The value of HHV1 corresponds to 38.3 GJ/kL, which is the higher heating value for diesel fuel which was determined in accordance with sections 2.C.1 and 2.C.3 of the 2017 GHGRP.
- The value of QF2 corresponds to 500,000 kL, which is the quantity of heavy fuel oil.
- The value of HHV2 corresponds to 42.5 GJ/kL, which is the higher heating value for heavy fuel oil which was determined in accordance with sections 2.C.1 and 2.C.3 of the 2017 GHGRP.
HF = (QF1 × HHV1) + (QF2 × HHV2) = (2,000 kL × 38.3 GJ/kL) + (500,000 kL × 42.5 GJ/kL) = 21,326,600 GJ
- The value of B is calculated using the formula below:
- The value of QBB1 corresponds to 700,000 tonnes, which is the quantity of pulping liquor fuel.
- The value of HHV1 corresponds to 14.5 MJ/kg, which is the higher heating value for pulping liquor fuel which was determined in accordance with sections 2.C.1 and 2.C.3 of the 2017 GHGRP and the WCI. Method WCI.214.
B = QBB1 × HHV1 = 700,000 tonnes × 14.5 MJ/kg × (1000 kg / 1 tonne) × (1 GJ / 1000 MJ) = 10,150,000 GJ
- Calculate the ratio of heat based on the values determined in steps 1 and 2:
HF / (HF + B) = (21,326,600 GJ) / (21,326,600 GJ + 10,150,000 GJ) = 0.678
The industrial facility‘s ratio of heat from the combustion of fossil fuels is 0.678.
7. Determining the Facility’s Emissions Limit
The following sections provide guidance on determining a facility’s emissions limit, including the rules for new electricity production from gaseous fuels and calculated OBS, as well as a summary flowchart on these requirements for both industrial and electricity generation facilities.
7.1. Emissions Limit for Industrial Facilities
7.1.1. General Rule
An industrial facility, other than an electricity generation facility, must determine its emissions limit using the formula set out in section 36. The emissions limit is based on the sum of production from all specified industrial activities, as calculated per section 31, multiplied by the applicable OBS which will decline at the applicable annual tightening rate.The OBSs are listed in column 3 of Schedule 1. Some OBSs are numerical values while others need to be calculated in accordance with section 37. Special rules set out in section 16 and subsections 36(2) to 36(4) may apply for certain specified industrial activities which are identified in the sector specific parts of the document (section 9 of this document).
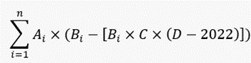
See below for a breakdown of the emissions limit formula in subsection 36(1).
![The emissions limit is equal to the summation of Ai multiplied by [Bi multiplied by C multiplied by (D minus 2022)]) from i equals 1 to n](/content/dam/eccc/images/climate-change/obps/quantification-guidance-jan-2024/math/5.png)
Where
Ai is the production of each specified industrial activity or sub-activity “i” quantified as per s.31,
Bi is the OBS value:
- Column 3 of Schedule 1
- Calculated as per section 37 as indicated in column 3 of Schedule 1
- Calculated as per section 37 for additional industrial activities.
C is the tightening rate applicable to the industrial activity “i”, as the case may be as follows
- 0% for specified industrial activity in item 38, column 1, Schedule 1
- 1% for specified industrial activities in items 3(c), 7, 8, 17, 19, 20 and 34, column 1, Schedule 1
- 2% for all other specified industrial activities, and
D is the calendar year that corresponds to the compliance period.
7.1.2 New Generation of Electricity
As described in section 36.1, a facility that begins generating electricity from the combustion of gaseous fuel on or after January 1, 2021, and meets the criteria below must apply the decreasing OBS in subsection 36.1(2) in its emissions limit calculation:
- the equipment used to produce the new electricity from gaseous fuels has a capacity equal to or greater than 50 MW; and
- the equipment is designed to operate at a thermal energy to electricity ratio of less than 0.9.
See below for a breakdown of the emissions limit formula in subsection 36(1).
![The emissions limit is equal to the summation of Ai multiplied by [Bi multiplied by C multiplied by (D minus 2022)]) from i equals 1 to n](/content/dam/eccc/images/climate-change/obps/quantification-guidance-jan-2024/math/5.png)
Where
Ai is the production of each specified industrial activity or sub-activity “i” quantified as per s.31,
Bi is the OBS value:
- Column 3 of Schedule 1 except for paragraph 38(c)
- Paragraph 38(c) in column 3 of Schedule 1 is replaced by the value listed in subsection 36.1(2)*
- Calculated as per section 37 as indicated in column 3 of Schedule 1
- Calculated as per section 37 for additional industrial activities,
C is the tightening rate applicable to the industrial activity “i”, as the case may be as follows
- 0% for specified industrial activity in item 38, column 1, Schedule 1
- 1% for specified industrial activities in items 3(c), 7, 8, 17, 19, 20 and 34, column 1, Schedule 1
- 2% for all other specified industrial activities, and
D is the calendar year that corresponds to the compliance period.
*The decreasing OBS is not applicable to a facility engaged in the industrial activity under item 20, column 1, of Schedule 1.
7.1.3. Increased Capacity of Electricity Generation
For a facility that, on or after January 1, 2021, increases its electricity generation capacity from the combustion of gaseous fuel by 50MW or more using equipment that has a thermal energy to electricity ratio of less than 0.9, the formula and the decreasing OBS values in subsections 36.2(2) and 36.1(2) must be used to calculate the emissions limit. Note that for an industrial facility, the increase in capacity applies at the facility level and not at the unit level. Refer to the example below on how to calculate the emissions limit in section 36.2 for industrial facilities.
As specified under subsection 36.2(3), the decreasing OBS only applies to the portion of the electricity generation that is attributed to the total incremental capacity added since December 31, 2020. The portion of electricity generation that is attributed to the existing capacity on December 31, 2020, continues to use the OBS set out in column 3 of paragraph 38(c) of Schedule 1 (i.e., 370 tonnes of CO2e/gigawatt hours). As a result, the production of electricity from equipment that has increased its electricity generation capacity and met the criteria in subsection 36.2(1) must be apportioned using engineering estimates as described in subsection 36.2(3). This is referring to the gross amount of electricity generated by the equipment in the description of E and F in subsection 36.2(2). Note that the generation of electricity is subject to a 0% tightening rate and that other activities will be subject to the relevant tightening rate as outlined in subsection 36.2(2).
As per subsection 36.2(4), any increase in the facility’s electricity generation capacity is cumulative. Therefore, for a facility that increases its capacity over time, the decreasing OBS value applies once the facility has reached an increased capacity of 50MW compared to its capacity on December 31, 2020. Note that the decreasing OBS applies only if the equipment from the increased capacity also has a thermal to electricity ratio of less than 0.9.
Where an industrial facility applies the decreasing OBSs set out in subsection 36.1(2) for a given compliance period, it will continue to apply for all subsequent compliance periods even if:
- the facility is not generating electricity from gaseous fuel or the equipment in question has a thermal energy to electricity ratio that is equal to or greater than 0.9 as per section 36.1; or
- the equipment in question under section 36.2 is not generating electricity from gaseous fuel or has a thermal energy to electricity ratio that is equal to or greater than 0.9.
See below for a breakdown of the emissions limit formula in subsection 36.2(2). Variables C and D are the same as in the emissions limit equations above.
![The emissions limit is equal to the summation of Ai multiplied by [Bi multiplied by C multiplied by (D minus 2022)]) from i equals 1 to n plus (E multiplied by F) plus (G multiplied by F plus H multiplied by I)](/content/dam/eccc/images/climate-change/obps/quantification-guidance-jan-2024/math/8.png)
Where
Ai is the production of each specified industrial activity or sub-activity “i”Footnote 1 quantified as per section 31,
Bi is the OBS value:
- Column 3 of Schedule 1
- Calculated as per section 37 as indicated in column 3 of Schedule 1
- Calculated as per section 37 for additional industrial activities,
C is the tightening rate applicable to the industrial activity “i” as follows
- 0% for specified industrial activity in item 38, column 1, Schedule 1
- 1% for specified industrial activities in items 3(c), 7, 8, 13, 17, 19, 20 and 34, column 1, Schedule 1
- 2% for all other specified industrial activities,
D is the calendar year that corresponds to the compliance period,
E is the production electricity from new equipment that meets the criteriaFootnote 2 quantified as per section 31,
F is the decreasing OBS value in subsection 36.1(2),
G is the production of electricity from the equipment with increased capacity and that meets the criteriaFootnote 3 quantified as per section 31 and subsection 36.2(3)Footnote 4 ,
H is the production of electricity from the remaining (original) equipment quantified as per subsections 31 and 36.2(3)Footnote 4 , and
I is the OBS value in paragraph 38(c) column 3 of Schedule 1. Return to footno referrer

Long description for figure 7
Determining an industrial facility’s emissions limit.
Did the facility generate electricity in addition to other specified industrial activities?
If no, refer to ss.36(1) for the specified industrial activities other than electricity.
If yes, for specified industrial activities other than electricity generation (items 1 to 37 of Schedule 1), refer to ss.36(1).
Did the facility generate electricity on or after January 1st, 2021, or after and was that electricity generated from gaseous fuel and the equipment has a thermal energy to electricity ratio of less than 0.9?
If yes, if this is the first time the facility generated electricity and that the electricity generation capacity is 50 MW or more, refer to section 36.1. If the facility was generating electricity previously from gaseous fuel and increased its capacity by at least 50 MW, refer to section 36.2. If the facility generated electricity from gaseous fuel with a capacity of less than 50 MW, refer to section 36(1).
If no, refer to section 36(1).
Example 6: Emissions limit for increased capacity of electricity generation
An industrial facility, other than an electricity generation facility, produces products 1 and 2, in addition to generating electricity from natural gas. On January 1, 2022, the facility installed a natural gas turbine to increase the capacity of its existing electricity generation equipment by an additional 60 MW. That turbine operates at a thermal energy to electricity ratio of 0.75.
The table below provides the facility’s production for all applicable industrial activities and OBSs in order to calculate the facility’s emissions limit.
| Production in 2022 | Applicable OBSs | Applicable Tightening Rate | |
|---|---|---|---|
| Product 1 | 65,000 tonnes | 0.25 tonnes of CO2e/ tonnes of product 1 | 1% |
| Product 2 | 85,000 tonnes | 0.30 tonnes of CO2e/ tonnes of product 2 | 2% |
| Electricity generation | 500 GWh | 288 and 370 tonnes of CO2e/gigawatt hours | 0% |
The facility’s emissions limit for the 2023 compliance period must be calculated using the formula below, as set out in subsection 36.2(2), because the electrical capacity was increased by 50 MW or more and that electrical equipment operates at a thermal energy to electricity ratio of less than 0.9.
= (A1× (B1 - [B1 × C1 × (D-2022)])) + (A2 × B2 - [B2 × C2 × (D -2022)])) + (E×F) + (G × F + H ×I)
- The values A1 and A2 correspond to production of products 1 and 2.
- The values B1 and B2 correspond to the OBSs for production of products 1 and 2.
- The values of C1 and C2 correspond to the relevant tightening rates for products 1 and 2.
- The value of D corresponds to the year of the compliance period.
- The value of E corresponds to 0 since the facility did not start generating electricity from the combustion of gaseous fuels on or after January 1, 2021, from equipment that was designed to operate at a thermal energy to electricity ratio of less than 0.9.
- The value of F corresponds to 288 tonnes of CO2e/GWh, the decreasing OBS for the 2023 compliance period.
- The value of G corresponds to the quantity of electricity generated by the facility that is apportioned based on the capacity of the new turbine relative to the facility’s total electricity generation capacity.
- The value of H corresponds to the quantity of electricity generated by the facility that is apportioned based on the capacity of the existing equipment relative to the facility’s total electricity generation capacity.
- The value of I corresponds to 370 tonnes of CO2e/GWh, the applicable OBS for existing equipment that generates electricity from gaseous fuel.
The values of G and H are calculated based on the apportioning of the electricity generation from the new and existing equipment relative to the facility’s total electricity generation capacity. The electricity generation capacity from the existing equipment and new turbine are 160 and 60 MW, respectively.
new turbine apportioned = (60 MW) / (160 MW + 60MW) ≈ 0.2727
existing equipment apportioned = 1 - 0.2727 ≈ 0.7273
Electricity from new turbine apportioned (variable E) = 0.2727 × facility's total electricity generation = 0.2727 × 500 GWh = 136.35 GWh
Electricity from existing equipment apportioned (variable F) = 0.7273 × facility's total electricity generation = 0.7273 × 500 GWh = 363.65 GWh
Emissions limit = (A1 × (B1 – [B1 × C × D-2022)])) + (A2 × (B2 – [B2 × C × D - 2022)])) + (E × F) + (G × F + H × I) = (65 000 tonnes of product 1 × (0.25 tonnes of CO2e/tonne of product 1 -[0.25 tonnes of CO2e/tonne of product 1 × 0.01 × (2023-2022)])) + (85 000 tonnes of product 2 × (0.30 tonnes of CO2e/tonne of product 2 - [0.30 tonnes of CO2e / tonne of product 2 × 0.02 × (2023-2022)])) + (0×288 tonnes of CO2e/GWh) + ((136.35 GWh × 288 tonnes of CO2e/GWh + 363.65 GWh × 370 tonnes of CO2e/GWh) = 214 896.8 tonnes of CO2e
The facility’s emissions limit is 214 897 tonnes of CO2e.
7.2. Emissions Limit for Electricity Generation Facility
7.2.1. General Rule
An electricity generation facility emissions limit must be determined using the formula set out in section 41. An electricity generation facility’s emissions limit is based on the sum of the summation, for each unit, of the products of the electricity generated, calculated as per section 32, multiplied by the OBS applicable to the types of fuel used at the unit. Please note that no tightening rate applies to electricity generation facilities. However, as per subsection 41(2), if a unit is registered under the Coal-fired Electricity Regulations and has used solid fuel in 2018, the solid fuel OBS must be used regardless of the actual type of fossil fuel used. This includes modified boiler units that burn two fuels such as coal and natural gas or fully converted boilers that only burn natural gas.
See below for a breakdown of the emissions limit formula in subsection 41(1).

Where Aj is the production of each specified industrial activity or sub-activity “i” quantified as per section 32, and Bj OBS value in paragraphs 38(a) to (c) column 3 of Schedule 1 for that unit “i”.
7.2.2. New Generation of Electricity
The emissions limit must be calculated using the formula set out in subsection 41.1(2) for a new electricity generation facility that starts generating electricity on or after January 1, 2021, and that also meets the other criteria set out in subsection 41.1(1) and also listed below:
- The electricity generation facility has at least one unit that is generating electricity using gaseous fuel; and
- The unit has a capacity greater or equal to 50MW and is designed to operate at a thermal to electricity ratio of less than 0.9.
If the above criteria are met then, then the emissions limit for the facility must be calculated using the formula set out in subsection 41.1(2) and not the one set out in section 41. The OBS (i.e., decreasing OBS) set out in the description of variable D in subsection 41.1(2) applies instead of the OBS set out in paragraph 38(c) of column 1 of Schedule 1 (i.e., 370 tonnes of CO2e/gigawatt hours).
See below for a breakdown of the emissions limit formula in subsection 41.1(2).

Where
Aj is the production of electricity from each unit “i” quantified as per section 32,
Bj is the OBS value in paragraph 38(a) and (b) column 3 of Schedule 1 from that unit “i”,
C is the production of electricity from each unit “k” that meets the criteria Footnote 5 quantified as per section 32,
D is the decreasing OBS value in subsection 41.1(2),
E is the production of electricity from each unit “l” that does not meet the criteria Footnote 5 quantified as per section 32, and
F is the OBS value in paragraph 38(c) column 3 of Schedule 1.
The unit generates electricity from gaseous fuels, has an electricity generation capacity equal to or greater than 50 MW and is designed to operate at a thermal energy to electricity ratio less than 0.9 on or after January 1, 2021
7.2.3. Increased Capacity of Electricity Generation
For an electricity generation facility that on or after January 1, 2021, increased its electricity generation capacity using gaseous fuel by 50MW or more from a unit designed to operate at a thermal to electricity ratio of less than 0.9, the formula in subsection 41.2(2) and the decreasing OBS set out in the description of D in subsection 41.1(2) must be used. Refer to the example below that illustrates how to calculate the emissions limit for an electricity generation facility that has increased its capacity.
As specified under subsection 41.2(3), the decreasing OBS only applies to the portion of the generation from that unit that is attributed to the total incremental capacity added since December 31, 2020. The portion of electricity generation that is attributed to the existing capacity on December 31, 2020, of that unit continues to apply the OBS set out in column 3 of paragraph 38(c) of Schedule 1 (i.e., 370 tonnes of CO2e/gigawatt hours). As a result, the unit that had an increased electricity generation capacity and met the criteria in subsection 41.2(1) must apportion the gross amount of electricity generated by the unit referred to in the description of E and F in subsection 41.2(2) using engineering estimates. As per subsection 41.2(4), any increase in the unit’s electricity generation capacity is cumulative. Therefore, for a unit that increases its capacity over time, the decreasing OBS would apply once the unit has reached an increased capacity of 50MW compared to its capacity on December 31, 2020. Note that the unit in question is designed to operate at a thermal energy to electricity ratio of less than 0.9.
As per section 41.3, where an electricity generation facility generates electricity from gaseous fuel from at least one unit and applies the decreasing OBS set out in subsection 41.1(2) for a previous compliance period, that OBS will continue to apply for all subsequent compliance periods even if:
- the unit or group of units is not producing electricity from gaseous fuel; or
- is designed to operate at a thermal energy to electricity ratio that is equal to or greater than 0.9.
See below for a breakdown of the emissions limit formula in subsection 41.2(2).

Where
Aj is the production of electricity from each unit “i”Footnote 6 quantified as per section 32,
Bj is the OBS value in paragraph 38(a) and (c) column 3 of Schedule 1 from that unit “i”,
C is the production of electricity from each new unit “k” that meets the criteriaFootnote 7 quantified as per section 32,
D is the decreasing OBS value in subsection 41.1(2),
E is the production of electricity from each unit that meets the criteriaFootnote 8 quantified as per section 32 and subsection 41.2(3) Footnote 9 ,
F is the production of electricity from the remaining (original) unit quantified as per section 32, and
G is the OBS value in paragraph 38(c) column 3 of Schedule 1.

Long description for figure 8
Figure 8: Emissions limit for an electricity generation facility.
Determining an electricity generation facility’s emissions limit.
Did the facility generate electricity on or after January 1st, 2021, and was that electricity generated from gaseous fuel and the unit is designed to operate at a thermal energy to electricity ratio of less than 0.9?
If no, refer to section 41.
If yes, if this was the first time the facility generated electricity and has at least one unit with a capacity of 50MW or more, refer to section 41.1. If the facility generated electricity previously from gaseous fuel and increased its capacity by at least 50 MW, refer to section 41.2. If the facility generated electricity from gaseous fuel with a capacity of less than 50 MW, refer to section 41.
Example 7: Emissions limit for increased capacity of electricity generation
An electricity generation facility has two units to generate electricity from fossil fuels. Unit 1 uses diesel to generate electricity, while Unit 2 uses natural gas.
In January 2022, the facility installed a new turbine to generate electricity from the combustion of natural gas with a capacity of 60 MW and designed to operate at a thermal energy to electricity ratio of 0.75. The new turbine is integrated with Unit 2.
The facility also built a third unit (Unit 3) in January 2022 that is not integrated with Units 1 and 2. Unit 3 generates electricity from the combustion of natural gas, with a capacity of 80 MW and is designed to operate at a thermal energy to electricity ratio of 0.80. The diagram below shows the configuration of each unit within the facility.
The table below provides the facility’s electricity generation from each unit and the applicable OBSs. The facility must calculate the emissions limit for 2022 using the formula below.
| Production in 2022 | Applicable OBSs | |
|---|---|---|
| Unit 1 | 600 GWh | 550 tonnes of CO2e/GWh |
| Unit 2 | 500 GWh | 370 and 329 tonnes of CO2e/GWh |
| Unit 3 | 200 GWh | 329 tonnes of CO2e/GWh |
= [(A1 x B1)1] + (C1 x D1) + (E1 x D1 + F1 x G1)
= (A1,1 x B1,1) + (C1 x D1) + (E1 x D1 + F1 x G1)
- The value of A1,1 corresponds to 600 GWh, which is the electricity generated from liquid fuels in Unit 1.
- The value of B1,1 corresponds to 550 tonnes of CO2e/GWh, the applicable OBS for liquid fuels.
- The value of C1 corresponds to 200 GWh, the gross electricity generation from gaseous fuels in Unit 3.
- The value of D1 corresponds to 329 tonnes of CO2e/GWh, the decreasing OBS for the 2022 compliance period.
- The value E1 corresponds to the quantity of electricity generated by the facility that is apportioned based on the capacity of the new turbine relative to the unit’s total electricity generation capacity for Unit 2.
- The value F1 corresponds to the quantity of electricity generated by the facility that is apportioned based on the capacity of the old equipment relative to the unit’s total electricity generation capacity for Unit 2.
- The value G1 corresponds to 370 tonnes of CO2e/GWh, the applicable OBS for existing equipment (in place prior to Jan. 1, 2021) that generates electricity from gaseous fuel for Unit 2.
The figure below illustrates how each variable applies to each unit.
- The values E1 and F1 are calculated based on the apportioning of the electricity generation from the new and existing equipment relative to the facility’s total electricity generation capacity. The electricity generation capacity from the existing equipment and new turbine are 160 and 60 MW, respectively.
new turbine apportioned = 60 MW / (160 MW + 60 MW) ≈ 0.2727
existing equipment apportioned = 1 – 0.272 ≈ 0.7273
Electricity from new turbine apportioned (variable E1)
=0.2727 x unit’s total electricity generation = 0.2727 x 500 GWh
=136.35 GWh
Electricity from existing equipment apportioned (variable F1)
= 0.7273 x facility’s total electricity generation = 0.7273 x 500 GWh
=363.65 GWh
Emissions limit = (A1,1 x B1,1) + (C1 x D1) + (E1 x D1 + F1 x G1)
= (600 GWh x 550 tonnes of CO2e/GWh) + (200 GWh x 329 tonnes of CO2e/GWh) + (136.35 GWh x 329 tonnes of CO2e/GWh + 363.35 GWh x 370 tonnes of CO2e/GWh) = 575,210 tonnes of CO2e
The electricity generation facility’s emissions limit is 575,210 tonnes of CO2e.
7.3. New covered facilities
As set out in section 43, an exception applies in regard to the calculation of a new covered facility’s emissions limit. An emissions limit calculation is not required if, on January 1 of a compliance period, the facility has not completed two full calendar years of production following the date of first production, and specified industrial activity is engaged in as a primary activity at the facility. The date of first production is the date on which the facility became engaged in any industrial activity.
The exception above does not apply to a new electricity generation facility that begins generating electricity on or after January 1, 2021.
7.4. Calculated OBS
Certain specified industrial activities require an OBS to be calculated using the formula in subsection 37(1). The result from the calculation of the OBS must be rounded to three significant figures as per subsection 37(4). There are three general cases described below to provide information on when the person responsible for a facility is required to calculate their OBS.
7.4.1. Case 1: Existing facilities engaged in Schedule 1 activities
This case applies to facilities already in operation and engaged in one or more industrial activities listed in column 1 of Schedule 1 and where column 3 of Schedule 1 specifies that the OBS must be calculated in accordance with section 37.
The formula to calculate an OBS is described in subsection 37(1). For facilities, except for new covered facilities engaged in industrial activities listed in column 1 of Schedule 1, the reference years to be used in the calculation are described in paragraph 37(2)(a), which indicates that facilities may use either:
- 2017, 2018 and 2019 calendar years;
- the three calendar years preceding the compliance period, if the data are not available for the 2017, 2018, and 2019 calendar years; or
- the compliance period, as illustrated in the example below.
However, for new covered facilities, refer to Case 2 for further details.
In determining the emissions limit, as described in subsection 36(5), the OBS is only to be calculated once for the first annual report. The exception to this requirement is set out in section 39, which applies where the OBS was calculated in accordance with subsection 37(2.1). The OBS must be recalculated in accordance with subsection 37(1) for the third compliance period following the compliance period for which the original calculation was done.
Example 8: Calculated OBS for Case 1
A facility that is engaged in Schedule 1 activities produces products 1, 2 and 3, in addition to generating electricity. The facility is also engaged in activity 1 which is not a specified industrial activity and its quantity of GHGs accounts for 20% or more of the facility’s total quantity of GHGs.. The facility has numerical OBSs for producing products 1 and 2 but an OBS must be calculated for the production of product 3. The 2017, 2018, and 2019 calendar years were chosen as the reference years for calculating the OBS. The table below provides the quantity of GHGs and production information for the facility for the years 2017, 2018, and 2019.
| Quantity of GHGs in 2017 (tonnes of CO2e) | Quantity of GHGs in 2018 (tonnes of CO2e) | Quantity of GHGs in 2019 (tonnes of CO2e) | Production in 2017 | Production in 2018 | Production in 2019 | |
|---|---|---|---|---|---|---|
| Product 1 | 2,000,000 | 2,500,000 | 3,000,000 | 50,000 tonnes | 55,000 tonnes | 60,000 tonnes |
| Product 2 | 2,500,000 | 3,000,000 | 3,000,000 | 60,000 tonnes | 65,000 tonnes | 65,000 tonnes |
| Product 3 | 3,500,000 | 4,000,000 | 3,500,000 | 70,000 tonnes | 75,000 tonnes | 70,000 tonnes |
| Activity 1 | 4,000,000 | 4,500,000 | 4,500,000 | - | - | - |
| Electricity generation | 1,000,000 | 1,000,000 | 1,000,000 | 2,500 GWh | 3,750 GWh | 3,500 GWh |
| Facility’s total | 13,000,000 | 15,000,000 | 15,000,000 | - | - | - |
The facility calculates the OBS for the production of product 3 using the following formula, as set out in subsection 37(1):
- The values for A correspond to 13,000,000, 15,000,000 and 15,000,000 tonnes of CO2e for 2017, 2018, and 2019, respectively, and are the facility’s total quantity of GHGs.
- The value B corresponds to zero because the facility did not purchase or sell thermal energy.
- The value C corresponds to the total quantity of GHGs associated with the production of products 1 and 2, and the generation of electricity. This parameter does not include the quantity of GHGs associated with the production of product 3. The values are 5,500,000, 6,500,000, and 7,000,000 for 2017, 2018, and 2019, respectively.
- The value D corresponds to 70,000, 75,000, and 70,000 tonnes of product 3 in 2017, 2018, and 2019, respectively, and is the total production for the OBS that is being calculated.
- In this case, the value E corresponds to 80%. Subsection 37(1) sets out the values for E by industrial activity.
- The value F corresponds to the total quantity of GHGs from Activity 1 engaged in at the facility that is not a specified industrial activity, and that quantity accounts for 20% or more of the quantity of the facility’s total quantity of GHGs. The values are 4,000,000, 4,500,000 and 4,500,000, and tonnes of CO2e for 2017, 2018, and 2019, respectively.
The value G corresponds to the total quantity of GHGs that are captured and stored in accordance with the description of B in section 35 of the Regulation. This facility does not capture and store carbon, therefore the value of G is 0 for 2017, 2018, and 2019.
The OBS for production of product 3 is 40.9 tonnes of CO2e/tonne of product 3, which is rounded to three significant figures. The OBS value is only calculated once for the first annual report.
7.4.2. Case 2: New covered facility engaged in an activity listed in Schedule 1
A facility engaged in an industrial activity listed in column 1 of Schedule 1 and that is subject to the provisions related to new covered facilities specified in section 43, is subject to specific rules related to reference years for the calculated OBS. For these facilities, pursuant to paragraph 37(2)(b), the reference years are either:
-
the two calendar years before the compliance period for which the emissions limit is calculated, if the data is available for those years;
-
the calendar year before the compliance period for which the emissions limit is calculated, if the data is not available for the two calendar years referred to in (i); or
-
the compliance period for which the emissions limit is being calculated if data is not available for the preceding calendar years.
Example 9: Calculated OBS for Case 2
A new covered facility engaged in an industrial activity listed in column 1 of Schedule 1 and where a calculated OBS is required, will calculate the OBS for the given industrial activity based on the same calculations as Case 1. However, there are specific rules related to reference years when calculating the OBS for a new facility.
For example, a new facility was never engaged in an industrial activity before it began operations on June 1st, 2020. This means on January 1st of 2021 and on January 1st of 2022, the facility has not completed two full calendar years of production following the date of first production. Therefore, for the 2020, 2021 and 2022 compliance periods, the emissions limit is not calculated (i.e., sections 36 to 42 do not apply). The first compliance period for which an emissions limit is to be calculated is from January 1 to December 31, 2023, and the facility may use the reference year according to the following scenarios in the annual report for the 2023 compliance period:
Scenario 1:
- Date facility opts-in: June 1st, 2020
- Annual reports available for compliance periods: 2020 (partial), 2021, 2022 and 2023
- Annual reports submitted prior to 2023 without an emissions limit as per 11(1)(e) and (f): 2020 (partial year), 2021 and 2022
- Reference years to be used in the calculation of the OBS, as per subparagraph 37(2)(b)(i): 2021 and 2022
Scenario 2:
- Date facility opts-in: June 1st, 2021
- Annual reports available for compliance periods: 2021 (partial), 2022 and 2023
- Annual reports submitted prior to 2023 without an emissions limit as per 11(1)(e) and (f): 2021 (partial year), 2022
- Reference years to be used in the calculation of the OBS, as per subparagraph 37(2)(b)(ii): 2022
Scenario 3:
- Date facility opts-in: June 1st, 2022
- Annual reports available for compliance periods: 2022 (partial) and 2023
- Annual reports submitted prior to 2023 without an emissions limit as per 11(1)(e) and (f): 2022 (partial year) Reference years to be used in the calculation of the OBS, as per subparagraph 37(2)(b)(iii): 2023

Long description for figure 9
Figure 9: For a facility that is required to calculate an OBS.
Calculating an output-based standard (OBS) for a specified industrial activity.
Where the OBS was calculated in accordance with subsection 37(2.1) for a compliance period in which it must be recalculated in accordance with subsection 37(1) for the third compliance period following the compliance period for which the original calculation was done as per section 39.
For an additional industrial activity, refer to section 37.
Facility is engaged in a specified industrial activity set out in items 1 to 37, column 1 of Schedule 1. Is it required to calculate an OBS for the industrial activity as specified in column 3 of Schedule 1?
If yes, refer to section 37. For a facility engaged in a specified industrial activity as set out in item 20, column 1 of Schedule 1, refer to section 38. If no, a calculated OBS does not apply.
8. Quantification References by Sector
| Sector | Quantification of GHGs (column 1) | Quantification of production (column 2) | Additional rules for quantification and reporting (column 3) |
|---|---|---|---|
| All, except electricity generation facilities | Sections 17 to 19, 22 to 25 and 35 | Sections 31 and 33 | Subsection 16(1) |
| Oil and gas production | |||
| Bitumen and other crude oil production | Part 1 of Schedule 3 | Item 1 of Schedule 1 | N/A |
| Bitumen or heavy oil upgrading | Part 2 of Schedule 3 | Item 2 of Schedule 1 | Subsections 12(2) and 16(3) |
| Petroleum refining | Part 3 of Schedule 3 | Item 3 of Schedule 1 Division 2, Part 3 of Schedule 3 | Subsections 16(2), 16(3) and 16(9) |
| Natural gas processing | Part 4 of Schedule 3 | Item 4 of Schedule 1 Division 2, Part 4 of Schedule 3 | Subsection 16(9) |
| Natural gas transmission | Part 5 of Schedule 3 | Item 5 of Schedule 1 Division 2, Part 5 of Schedule 3 | N/A |
| Hydrogen gas production | Part 6 of Schedule 3 | Item 6 of Schedule 1 | N/A |
| Mineral processing | |||
| Cement and clinker production | Part 7 of Schedule 3 | Item 7 of Schedule 1 Division 2, Part 7 of Schedule 3 | Item 11 of Schedule 2 |
| Lime manufacturing | Part 8 of Schedule 3 | Item 8 of Schedule 1 Division 2, Part 8 of Schedule 3 | N/A |
| Glass manufacturing | Part 9 of Schedule 3 | Item 9 of Schedule 1 | |
| Gypsum product manufacturing | Part 10 of Schedule 3 | Item 10 of Schedule 1 | Subsection 12(2) |
| Mineral wool insulation manufacturing | Part 11 of Schedule 3 | Item 11 of Schedule 1 | N/A |
| Brick production | Part 12 of Schedule 3 | Item 12 of Schedule 1 | N/A |
| Chemicals | |||
| Ethanol production | Part 13 of Schedule 3 | Item 13 of Schedule 1 | Subsection 36(2) |
| Furnace black production | Part 14 of Schedule 3 | Item 14 of Schedule 1 | N/A |
| 2–methylpentamethylenediamine (MPMD) production | Part 15 of Schedule 3 | Item 15 of Schedule 1 | Subsection 16(3) |
| Nylon production | Part 16 of Schedule 3 | Item 16 of Schedule 1 | N/A |
| Petrochemicals production | Part 17 of Schedule 3 | Item 17 of Schedule 1 | Subsection 16(2) and item 12 of Schedule 2 |
| Pharmaceuticals | |||
| Vaccine production | Part 18 of Schedule 3 | Item 18 of Schedule 1 Schedule 3, Division 2 | N/A |
| Iron, steel and metal tubes | |||
| Scrap-based steel production | Part 19 of Schedule 3 | Item 19 of Schedule 1 | Subsection 16(4) |
| Integrated steel production | Part 20 of Schedule 3 | Item 20 of Schedule 1 | Subsections 16(4), 16(5) and 16(6) |
| Iron ore pelletizing | Part 21 of Schedule 3 | Item 21 of Schedule 1 | N/A |
| Metal tube manufacturing | Part 22 of Schedule 3 | Item 22 of Schedule 1 | N/A |
| Mining and ore processing | |||
| Base metal production | Part 23 of Schedule 3 | Item 23 of Schedule 1 | Subsection 16(7) and section 13 of Schedule 2 |
| Potash production | Part 24 of Schedule 3 | Item 24 of Schedule 1 | N/A |
| Coal mining | Part 25 | Item 25 of Schedule 1 | Subsection 11(c) and Section 1 of Part 25 of Schedule 3 |
| Production of metals or diamonds | Part 26 of Schedule 3 | Item 26 of Schedule 1 | Subsections 16(8) and 16(9) |
| Char production | Part 27 of Schedule 3 | Item 27 of Schedule 1 | N/A |
| Activated carbon production | Part 28 of Schedule 3 | Item 28 of Schedule 1 | N/A |
| Nitrogen fertilizers | |||
| Nitrogen-based fertilizer production | Part 29 of Schedule 3 | Item 29 of Schedule 1 | Subsections 16(3) and 36(4) |
| Food processing | |||
| Industrial potato processing | Part 30 of Schedule 3 | Item 30 of Schedule 1 | N/A |
| Industrial oilseed processing | Part 31 of Schedule 3 | Item 31 of Schedule 1 | |
| Alcohol production | Part 32 of Schedule 3 | Item 32 of Schedule 1 | N/A |
| Wet corn milling | Part 33 of Schedule 3 | Item 33 of Schedule 1 | N/A |
| Citric acid production | Part 34 of Schedule 3 | Item 34 of Schedule 1 | N/A |
| Sugar refining | Part 35 of Schedule 3 | Item 35 of Schedule 1 | N/A |
| Pulp and paper production | Part 36 of Schedule 3 | Item 36 of Schedule 1 Schedule 3 Part 36, Division 2 | |
| Automotive production | Part 37 of Schedule 3 | Item 37 of Schedule 1 Schedule 3 Part 37, Division 2 | N/A |
| Electricity generation | |||
| Industrial facilities | Part of Schedule 3 that is applicable to the industrial activity* | Item 38 of Schedule 1 Schedule 3 Part 38 Sections 6 and 7 | Sections 36.1 and 36.2, section 15 of Schedule 2 |
| Electricity generation facilities | Sections 20 to 25 Part 38 of Schedule 3 | Sections 32 and 33 Item 38 of Schedule 1 Schedule 3 Part 38 Sections 4 and 5 | Sections 41.1 and 41.2, sections 14 to 17 of Schedule 2 |
9. Sector Specific Parts
The following sections provide additional guidance on quantification of emissions and production and reporting requirements for sectors with additional quantification and reporting rules as listed under column 3 of Table 2 of this document. This section only applies to sectors or industrial activities for which there are special or additional requirements. The sections below also provide certain calculation examples.
9.1. Oil and Gas Production
This section outlines quantification provisions set out in sections 12 and 16 and transitional provisions that apply specifically to facilities engaged in bitumen or heavy oil upgrading, petroleum refining, natural gas processing, and natural gas transmission (items 2, 3, 4, and 5 column 1 of Schedule 1).
9.1.1. Natural Gas Transmission (item 5 of Schedule 1)
9.1.1.1. Quantification of production
Division 2 of Part 5 of Schedule 3 outlines how to quantify the production of pipeline-transmission-quality natural gas.
9.2. Mineral Processing
This section outlines quantification provisions in section 12 and Division 2 of Schedule 3 and transitional provisions that apply specifically to facilities engaged in the production of cement and clinker, lime manufacturing, glass manufacturing and gypsum product manufacturing (items 7, 8, 9 and 10 of Schedule 1).
9.2.1. Lime Manufacturing (item 8 of Schedule 1)
9.2.1.1. Quantification of production – Dolomitic lime and specialty lime
To avoid double counting, production of dolomitic lime is to be quantified as the quantity of dolomitic lime that was not used in the production of specialty lime (Division 2 of Part 8 of Schedule 3).
Example 10: Quantification of production
A lime facility produces 40,000 tonnes of dolomitic lime and uses 10,000 tonnes of that dolomitic lime to produce 10,000 tonnes of specialty lime. Production would then be reported as 30,000 tonnes for dolomitic lime and 10,000 tonnes for specialty lime.
9.2.1.2. Calculated OBS
For a facility that produces dolomitic lime and specialty lime (paragraphs 8(b) and (c) of Schedule 1), an OBS must be calculated as per section 37. Refer to the general examples in sections 7.4.1 and 7.4.2 of this document on how to calculate the OBS for those activities.
9.2.2. Gypsum Product Manufacturing (item 10 of Schedule 1)
9.2.2.1. Additional reporting– Gypsum products
As set out in subsection 12(2), for gypsum product manufacturing the quantity of each gypsum product that contains at least 70%wt of calcium sulphate dihydrate produced must be reported, in addition to the sum of these gypsum products. However, when calculating the emissions limit, production for that activity is the sum of all gypsum products produced.
9.2.2.2. Calculated OBS
For a facility that produces gypsum products that contain at least 70%wt of calcium sulphate dihydrate (item 10 of Schedule 1), an OBS must be calculated as per section 37. Refer to the general examples in sections 7.4.1 and 7.4.2 of this document on how to calculate the OBS for that activity.
9.3. Chemicals
This section outlines quantification provisions set out in sections 12,16 and 36 in the transitional provisions and in Division 1 of Schedule 3 that apply specifically to facilities engaged in ethanol production, furnace black production, 2–methylpentamethylenediamine (MPMD) production and petrochemicals production (items 13, 14, 15 and 17 of Schedule 1).
9.3.1. Ethanol Production (item 13 of Schedule 1)
9.3.1.1. Emissions limit
As set out in subsection 36(2), a facility that is engaged in the secondary production of ethanol to be used in industrial applications (paragraph 13(b) of Schedule 1) must determine its emissions limit based on the following rules:
- The OBS for the production of ethanol to be used in industrial applications (paragraph 13(b) of Schedule 1) can only be included in the emissions limit if the facility is also engaged in the production of ethanol to be used as fuel (paragraph 13(a) of Schedule 1); and
- If the OBS for the production of ethanol to be used in industrial applications (paragraph 13(b) of Schedule 1) is included in the emissions limit, then the facility is deemed not to be engaged in production of ethanol from distillation for use in the production of alcoholic beverages (item 32 of Schedule 1). This means that the OBS for production of ethanol from distillation for use in the production of alcoholic beverages cannot be used in the calculation of the emissions limit.
9.4. Iron, Steel and Metal Tubes
This section outlines quantification rules set out in section 16 that apply specifically to facilities engaged in scrap-based steel production and integrated steel production (items 19 and 20 of Schedule 1).
9.4.1. Scrap Based Steelmaking (item 19 of Schedule 1)
9.4.1.1. Additional production
Subsection 16(4): Additional production of metal tubes
Quantification of GHGs
- Paragraph 16(4)(a)
- For the purposes of section 17, quantify GHGs arising from the production of metal tubes using quantification methods applicable to scrap-based steelmaking (Part 19 of Schedule 3 and paragraph 17(2)(b), as applicable).
Quantification of Production
- Paragraph 16(4)(b)
- The facility is deemed not to be engaged in the production of metal tubes for the purposes of quantifying production and calculating the emissions limit.
- The production of metal tubes is not required to be quantified or reported.
- The OBS for the production of metal tubes (item 22 of Schedule 1) cannot be used in the calculation of the emissions limit.
- The facility is deemed not to be engaged in the production of metal tubes for the purposes of quantifying production and calculating the emissions limit.
9.5. Mining and Ore Processing
This section outlines quantification provisions as set out in sections 11, 16 and Schedule 3 that apply specifically to facilities engaged in base metal production, coal mining and production of metals or diamonds (paragraphs 23(b) and (c), 25, 26(d) and 26(f) of Schedule 1 of Regulations).
9.5.1. Production of Metals or Diamonds (item 26 of Schedule 1)
9.5.1.1. Additional reporting
As set out in subsection 13(a) of Schedule 2, for the production of silver, platinum and palladium (paragraph 26(c) of Schedule 1), the quantity of each of those metals produced must be reported separately, in addition to the sum of these metals. However, in accordance with sections 36 and 36.2, when calculating the emissions limit, production is the sum of all metals produced.
As set out in subsection 13(b) of Schedule 2, for the production of base metal ore concentrate (paragraph 26(d) of Schedule 1), the quantity of each of those base metals produced must be reported separately, in addition to the sum of these base metals. However, in accordance with sections 36 and 36.2, when calculating the emissions limit, production is the sum of all base metals produced.
9.5.1.2. Additional production – Production of base metal ore concentrate
Subsection 16(8): Additional production of gold, silver, platinum or palladium
Quantification of GHGs
- Paragraph 16(8)(a)
- For the purposes of section 17, quantify GHGs arising from the production of gold, silver, platinum or palladium using quantification methods applicable to production of base metal ore concentrate (Part 26 of Schedule 3 and paragraph 17(2)(b), as applicable).
Quantification of Production
- Paragraph 16(8)(b)
- The facility is deemed not to be engaged in the production of gold, silver, platinum or palladium for the purposes of quantifying production and calculating the emissions limit.
- The production of gold, silver, platinum or palladium is not required to be quantified and reported; and
- The OBSs for the production of gold, silver, platinum and palladium (paragraph 26(c) and (f) of Schedule 1) cannot be used in the calculation of the emissions limit.
- The facility is deemed not to be engaged in the production of gold, silver, platinum or palladium for the purposes of quantifying production and calculating the emissions limit.
9.5.1.3. Additional production – Production of gold
Subsection 16(10): Additional production of silver, platinum or palladium
Quantification of GHGs
- Paragraph 16(10)(a)
- For the purposes of section 17, quantify GHGs arising from the production of silver, platinum or palladium using quantification methods applicable to production of gold (Part 26 of Schedule 3 and paragraph 17(2) (b), as applicable).
Quantification of Production
- Paragraph 16(10)(b)
- The facility is deemed not to be engaged in the production of silver, platinum or palladium for the purposes of quantification production and calculating the emissions limit.
- The production of silver, platinum or palladium is not required to be quantified or reported; and
- The OBS for the production of silver, platinum or palladium (paragraph 26(c) of Schedule 1) cannot be used in the calculation of the emissions limit.
- The facility is deemed not to be engaged in the production of silver, platinum or palladium for the purposes of quantification production and calculating the emissions limit.
9.5.1.4. Calculated OBS
For a facility that produces silver, platinum or palladium (paragraph 26(c) of Schedule 1), an OBS must be calculated as per section 37. Refer to the general examples in sections 7.4.1 and 7.4.2 of this document on how to calculate the OBS for that activity.
9.6. Nitrogen Fertilizers
This section outlines quantification provisions set out in sections 16 and 36 that apply specifically to facilities engaged in the production of nitrogen-based fertilizer (item 29 of Schedule 1).
9.6.1. Nitrogen-based Fertilizer Production (item 29, column 1, of Schedule 1)
9.6.1.1. Additional production
Subsection 16(3): Additional production of hydrogen gas
Quantification of GHGs
- Paragraph 16(3)(a)
- For the purposes of section 17, quantify GHGs arising from the production of hydrogen gas using quantification methods applicable to nitrogen-based fertilizer production (Part 29 of Schedule 3 and paragraph 17(2)(b), as applicable).
Quantification of Production
- Paragraph 16(3)(b)
- Production of hydrogen gas has to be quantified and reported in the annual report as per subsection 12(3); and
- The facility is deemed not to be engaged in the production of hydrogen gas and petrochemicals for the purposes of calculating the emissions limit.
- The OBSs for the production of hydrogen gas (item 6 of Schedule 1) and production of petrochemicals (item 17 of Schedule 1) cannot be used in the calculation of the emissions limit.
- Production of hydrogen gas has to be quantified and reported in the annual report as per subsection 12(3); and
9.6.1.2. Emissions limit – nitric acid
For the 2023 compliance period and beyond, the OBS for the production of nitric acid by the catalytic oxidation of ammonia (paragraph 29(a) of Schedule 1) has changed from 0.331 to 0.310 tonnes of CO2e / tonne of nitric acid.
Example 11: Calculation of an emissions limit
An emissions limit must be determined for a facility that is engaged in the production of nitric acid by the catalytic oxidation of ammonia (paragraph 29(a) of Schedule 1). The table below provides the facility’s production and OBS information for both the 2022 and 2023 compliance periods.
| Production (tonnes of nitric acid) | Applicable OBS (tonnes of CO2e / tonne of nitric acid) | |
|---|---|---|
| 2022 compliance period | 450,000 | 0.331 |
| 2023 compliance period | 450,000 | 0.310 |
The emissions limit is calculated using the formula below starting in the 2023 compliance period as per subsection 36(1):
- The value of Ai corresponds to 450,000 tonnes of nitric acid for both the 2022 and 2023 compliance periods, which is the covered facility’s production of nitric acid by the catalytic oxidation of ammonia.
- The value of Bi corresponds to 0.331 and 0.310 tonnes of CO2e / tonne of nitric acid, respectively for the 2022 and 2023 compliance periods, which is the output-based standard applicable to the production of nitric acid by the catalytic oxidation of ammonia set out in column 3 of paragraph 29(a) of Schedule 1.
- The value of C corresponds to the tightening rate applicable to the activity.
- The value of D corresponds to the year of the compliance period.
The emissions limit for the 2022 compliance period is calculated as follows:
Emissions limit = 450,000 tonnes of nitric acid × 0.331 tonnes of CO2e/tonne of nitric acid = 148,950 tonnes of CO2e
The emissions limit for the 2023 compliance period is calculated as follows:
Emissions limit = 450,000 tonnes of nitric acid × (0.310 tonnes of CO2e/tonne of nitric acid -[0.310 tonnes of CO2e/tonne of nitric acid × 0.02 × (2023-2022)]) = 136,710 tonnes of CO2e
The facility’s emissions limits are 148,950 and 136,710 tonnes of CO2e, respectively for the 2022 and 2023 compliance periods.9.6.1.3. Emissions limit – urea and ammonium phosphate
Paragraphs 29(c) and (d) of Schedule 1 both specify that the production of urea liquor or ammonium phosphate is considered an industrial activity when it is made in addition to producing anhydrous ammonia or aqueous ammonia by the steam reforming of hydrocarbons. This means that the applicable OBSs for production of urea liquor and ammonium phosphate (paragraphs 29(c) or (d) of Schedule 1) can only be used for calculating the emissions limit if the facility is also engaged in the production of anhydrous or aqueous ammonia (paragraph 29(b) of Schedule 1) as shown in the Figure 10 below.
For greater certainty, subsection 36(4) specifies that the OBS applicable to each activity in which the facility is engaged must be used in the calculation of the emissions limit. As an example, a facility engaged in the production of anhydrous or aqueous ammonia and in the production of urea liquor would include in the emissions limit both the OBS specified in paragraph 29(b) for the quantity of anhydrous or aqueous ammonia produced and the OBS specified in paragraph 29(c) for the quantity of urea liquor produced.

Long description for figure 10
Figure 10: Facility engaged in the production of anhydrous or aqueous ammonia.
Is the facility engaged in the production of anhydrous or aqueous ammonia by the steam reforming of hydrocarbons (paragraph 29 (b) of Schedule 1)?
If yes, the facility can be engaged in the production of urea liquor and ammonium phosphate (paragraph 29(c) or (d), of Schedule 1) and the applicable OBSs can be used to calculate the emissions limit.
If no, the facility is deemed not to be engaged in the production of urea liquor and ammonium phosphate (paragraph 29(c) or (d), of Schedule 1) and the applicable OBSs cannot be used to calculate the emissions limit.
9.6.1.4. Calculated OBS
For a facility that produces ammonium phosphate in addition to producing anhydrous or aqueous ammonia by the steam reforming of hydrocarbons (paragraph 29(d) of Schedule 1), an OBS must be calculated as per section 37. Refer to the general examples in sections 7.4.1 and 7.4.2 of this document on how to calculate the OBS for that activity.
9.7. Industrial Potato Processing
For the 2023 compliance year and beyond, the output-based standard for industrial processing of potatoes for human or animal consumption (item 30 of Schedule 1) has changed from 0.0995 to 0.102 tonnes of CO2e / tonne of potatoe used as raw material.
9.7.1. Industrial Processing of Potatoes Production (item 30 of Schedule 1)
For the 2023 compliance period and beyond, the OBS for industrial processing of potatoes for human or animal consumption (item 30 of Schedule 1) has changed from 0.0995 to 0.102 tonnes of CO2e / tonne of potatoes used as raw material.
9.7.1.1. Emissions limit
Example 12: Calculation of an emissions limit
An emissions limit must be determined for a facility that is engaged in industrial processing of potatoes for human or animal consumption (item 30 of Schedule 1). The table below provides the facility’s production and OBS information for both the 2022 and 2023 compliance periods.
| Production (tonnes of potatoes used as raw material) | Applicable OBS (tonnes of CO2e / tonne of potatoes used as raw material) | |
|---|---|---|
| 2022 compliance period | 550,000 | 0.0995 |
| 2023 compliance period | 550,000 | 0.102 |
The emissions limit is calculated using the formula below for the 2023 compliance period as per subsection 36(1):
- The value of Ai corresponds to 550,000 tonnes of potatoes used as raw material for both the 2022 and 2023 compliance periods, which is the covered facility’s production from industrial processing of potatoes.
- The value of Bi corresponds to 0.0995 and 0.102 tonnes of CO2e / tonne of potatoes used as raw material, respectively for the 2022 and 2023 compliance periods, which is the OBS applicable to industrial processing of potatoes set out in column 3 of item 30 of Schedule 1.
- The value of C corresponds to the tightening rate applicable to the activity.
- The value of D corresponds to the year of the compliance period.
The emissions limit for the 2022 compliance period is calculated as follows:
Emissions limit = 550,000 tonnes of potatoes used as raw material × 0.0995 tonnes of CO2e/ tonne of potatoes used as raw material = 54,725 tonnes of CO2e
The emissions limit for the 2023 compliance period is calculated as follows:
Emissions limit = 550,000 tonnes of potatoes used as raw material × (0.102 tonnes of CO2e/ tonne of potatoes used as raw material – [0.102 tonnes of CO2e / tonne of potatoes used as raw material × 0.02 × (2023-2022)]) = 54,978 tonnes of CO2e
The facility’s emissions limits are 54,725 and 54,978 tonnes of CO2e, respectively for the 2022 and 2023 compliance periods.
9.8. Pulp and Other Products
This section outlines quantification provisions set out in Schedule 3 that apply specifically to facilities engaged in the production of pulp and other products (item 36 of Schedule 1.
9.8.1. Pulp and Paper Production (item 36 of Schedule 1)
9.8.1.1. Quantification of production
Division 2 of Part 36 of Schedule 3 sets out additional quantification requirements when quantifying production in tonnes of finished products and specialty products. As per subsection 1(2), Division 2 of Part 36 under Schedule 3, a finished product referred to in paragraph 1(1)(b) of the same Division does not include pulping liquor, wood waste, non-condensable gases, sludge, tall oil, turpentine, biogas, steam, water or products that are used in the production process.
As per subsection 1(3), Division 2 of Part 36 under Schedule 3, a specialty product means abrasive paper base, food grade grease resistant paper, packaging waxed paper base, paper for medical applications, napkins paper for commercial use, towel paper for commercial or domestic use, bath paper for domestic use and facial paper for domestic use.
9.8.1.2. Emissions limit
Paragraphs 36(a) and (b) of Schedule 1 both refer to the production of pulp from wood, other plant material or paper or any product derived directly from pulp or a pulping process, excluding specialty products. The difference between these two activities is that in the case of the industrial activity set out in paragraph 36(a), the facility is equipped with a recovery boiler, lime kiln or pulping digester and in the case of the industrial activity set out in paragraph 36(b), the facility is not equipped with that equipment.
This means that only one of the two OBSs (paragraphs 36(a) and (b) of Schedule 1) can be used in the calculation of the emissions limit. Similarly, a tonne of production cannot be double counted as both finished product and specialty product. Figure 11 below provides a summary of the applicable OBSs depending on the activity the facility is engaged in for the purposes of item 36 of Schedule 1.
9.8.1.3. Calculated OBS
For a facility that produces specialty products (paragraph 36(c) of Schedule 1), an OBS must be calculated as per section 37. Refer to the general examples in sections 7.4.1 and 7.4.2 of this document on how to calculate the OBS for that activity.

Long description for figure 11
Figure 11: For a facility engaged in an industrial activity listed in item 36 of Schedule 1.
Is the facility engaged in an industrial activity as described in paragraph 36(a) of Schedule 1?
If yes, in addition, is the facility also engaged in the industrial activity as described in paragraph 36(c) of Schedule 1?
If yes, the following OBSs can be used:
- For finished product: 0.203 tonnes of CO2e per tonnes.
- For specialty product: calculated in accordance with section 37.
Production of finished products and specialty products is to be quantified in accordance with section 31 and Division 2 of Part 36 of Schedule 3.
If no, only the finished product OBS can be used (0.203 tonnes CO2e per tonnes of finished product). Production of finished products is to be quantified in accordance with section 31 and subsections 1(1) and (2) of Division 2 of Part 36 of Schedule 3.
If the facility is not engaged in an industrial activity as described in paragraph 36(a) of Schedule 1, is the facility engaged in the industrial activity as described in paragraph 36(b) of Schedule 1?
If yes, in addition, is the facility also engaged in the industrial activity as described in paragraph 36(c) of Schedule 1?
If yes, the following OBSs can be used:
- For finished product: 0.184 tonnes of CO2e per tonnes of finished product
- For specialty product: calculated in accordance with section 37.
Production of finished products and specialty products is to be quantified in accordance with section 31 and Division 2 of Part 36 of Schedule 3.
If no, only the finished product OBS can be used (0.184 tonnes CO2e/tonnes of finished product). Production of finished products is to be quantified in accordance with section 31 and subsections 1(1) and (2) of Division 2 of Part 36 of Schedule 3.
If the facility is not engaged in the industrial activity as described in paragraph 36(b) of Schedule 1, is the facility engaged in the industrial activity as described in paragraph 36(c) of Schedule 1?
If yes, only the specialty product OBS can be used: calculated in accordance with section 37. Production of specialty products is to be quantified in accordance with section 31 and paragraph 1(1)(b) and subsection 1(3) of Division 2 of Part 36 of Schedule 3.
If no, the facility is not engaged in the industrial activity of item 36 of Schedule 1 and of the OBSs under item 36 of Schedule 1 cannot be used.
9.9. Generation of Electricity (item 38 of Schedule 1)
This section outlines quantification provisions set out in section 32 and Division 2 Part 38 of Schedule 3 that apply specifically to facilities engaged in the generation of electricity (item 38 of Schedule 1).
9.9.1. Electricity Generation at an electricity generation facility
As set out in Section 32, an electricity generation facility must quantify its gross electricity generated from fossil fuels in GWh, for each unit. The table below illustrates the quantification requirements to determine the gross electricity generated.
| Fuel Type Combusted in the unit | Quantification of electricity production |
|---|---|
| Single fossil fuel | Subsection 4(1) of Part 38, Schedule 3 |
| mixture of fossil fuels or a mixture of biomass and fossil fuels | Subsections 4(2) and (3) of Part 38, Schedule 3 |
| Hybrid configuration unit (regardless of the fuel type) | Section 5 of Part 38, Schedule 3 |
As per subsection 32(2), an electricity generation facility may choose to quantify in whole or in part the electricity generated from one unit or a group of units. A facility may also choose to not quantify any electricity generated from one unit or a group of units. GHGs resulting from the generation of any electricity are always quantified even if the gross quantity of electricity produced is not quantified.
9.9.1.1. Generation of Electricity Using a Mixture of Fossil Fuels or a Mixture of Biomass and Fossil Fuels
As set out in subsection 4(2), Part 38 of Schedule 3, electricity generated from an electricity generation facility that uses a mixture of fossil fuels or a mixture of biomass and fossil fuels must be quantified in accordance with following formula:

Where
GU is the gross quantity of electricity generated by the unit during a compliance period, as measured at the electrical terminals of the generators of the unit using meters that comply with the requirements of the Electricity and Gas Inspection Act and the Electricity and Gas Inspection Regulations, expressed in GWh;
HFFk is determined in accordance with the following formula, calculated separately for gaseous fuels, liquid fuels and solid fuels type “k”:

where
QFFj is the quantity of gaseous, liquid or solid fuel, as the case may be, type “j” combusted in the unit to generate electricity during the compliance period, determined in accordance with subsection 4(3) in Division 2 of Part 38 of Schedule 3,
HHVj is the higher heating value of the gaseous, liquid or solid fuel, as the case may be, type “j” combusted in the unit, determined in accordance with subsection 24(1) of the Coal-fired Electricity Regulations, and
j is the jth fossil fuel type combusted in the unit, where “j” goes from 1 to m and where m is the number of types of gaseous, liquid or solid fuel combusted, as the case may be, combusted; and
HB is determined in accordance with the formula:

where:
QBi is the quantity of biomass fuel type “i” combusted in the unit to generate electricity during the compliance period, determined in accordance with the subsection 4(3) in Division 2 of Part 38 of Schedule 3,
HHVi is the higher heating value for the biomass fuel type “i” combusted in the unit, is determined in accordance with subsection 24(1) of Coal-fired Electricity Regulations, and
i is the ith biomass fuel type combusted in the unit, where “i” goes from 1 to n and where n is the number of types of biomass fuels combusted.
Refer the example below on how the calculate the gross electricity generation from the combustion of fossil fuels and biomass.
Example 13: Gross electricity generation from the combustion of fossil fuels and biomass
An electricity generation facility produces electricity using fossil fuels. The unit uses bituminous coal and natural gas to generate electricity. The gross amount of electricity generated must be calculated for each fossil fuel type (solid and gaseous fuel type) used in the unit.
| Fuels burn in unit | Quantity of fuel combusted | HHV |
|---|---|---|
| Bituminous coal (solid) | 20,000 tonnes | 30.5 GJ/tonnes |
| Natural gas (gaseous) | 70,000 standard m3 | 0.03793 GJ/standard m3 |
- First, the gross electricity generated by each fossil fuel (coal and natural gas) in the unit needs to be determined using the equation below:
- The value of Gu corresponds to 6662 GWh which is the gross quantity of electricity generated by the unit.
- The value of HFFk is determined for bituminous coal and natural gas using the formula below.
- The value of HB corresponds to zero because the facility does not burn biomass fuel to produce electricity.
- HFFk needs to be calculated for the gaseous and solid fuel.
- k=solid: there is one type solid fuel combusted (i.e.: coal), as a result n=1.
- k=gaseous: there is one type gaseous fuel combusted (i.e.: natural gas), as a result n=1.
- The value of QFFsolid,1 corresponds to 20,000 tonnes, which is the quantity of bituminous coal combusted.
- The value of HHVsolid,1 corresponds to 30.5 GJ/tonnes, which is the higher heating value for bituminous coal fuel as determined in accordance with subsection 24(1) of the Coal-fired Electricity Regulations.
- The value of QFFgaseous,1 corresponds to 70,000 standard m3, which is the quantity of natural gas fuel combusted.
- The value of HHVgaseous,1 corresponds to 0.03793 GJ/standard m3, which is the higher heating value for natural gas determined under section 24(1) of the Coal-fired Electricity Regulations.
- The value of HFF solid and HFF gaseous are:
HFFsolid = 20,000 tonnes × 30.5 GJ/tonnes = 610,000 GJ
HFFgaseous = 70,000 standard m3 × 0.03793 GJ/standard m3 = 2,655.1 GJ
The gross electricity generated from the combustion of bituminous coal and natural gas fuels in the unit are calculated below. The annual production value that is included in the annual report is not to be rounded to three significant figures.
The gross electricity generated from the unit from solid fuel is 6632.71 GWh and gaseous fuel is 28.87 GWh.
9.9.1.2. Emissions Limit – Increased Capacity of Electricity Generation
Refer to Example 7 that illustrates how the emissions limit is calculated for an electricity generation facility that met the requirements in section 41.2 where the capacity of electricity generation from gaseous fuel has increased by 50 MW or more after January 1, 2021 and the unit was designed to operate at a thermal energy to electricity ratio of less than 0.9.
9.9.2. Electricity Generation at Industrial Facilities
As set out under subparagraph 31(1)(b)(i), an industrial facility that generates electricity from fossil fuels must quantify its total electricity production in accordance with:
- section 6 of Part 38 of Schedule 3 if the industrial facility generates electricity from a single fossil fuel; or
- section 7 of Part 38 of Schedule 3 if the industrial facility generates electricity from a mixture of fossil fuels or a mixture of biomass and fossil fuels.
However, the facility may choose to quantify that electricity generation in whole or in part or not to quantify any electricity generated as per subparagraph 31(1)(b)(ii). Note that GHGs resulting from the generation of any quantity of electricity must always be quantified even if the gross quantity of electricity produced is not quantified.
Refer to the example below on how to calculate the gross electricity generation from using fossil fuels and biomass at the industrial facility.
Example 14: Gross electricity generation from both fossil fuels and biomass
The generation of electricity from a mixture of fossil fuels and biomass must be calculated for each type of fuel. The same calculation steps are to be followed as in Example 14 of section 9.9.1.1 of this document. However, the formula variables have different references and are listed below. The equations in section 7 of Part 38 of Schedule 3 are similar to the equations in subsections 4(2) and (3) of that same Part:
- the quantity of gaseous, liquid or solid fuel (QFFj) is determined as per subsection 7(2) of Schedule 3 Part 38 and section 2.C.2 of the 2017 GHGRP.
- the higher heating value of the gaseous, liquid or solid fuel (HHVj) is determined as per sections 2.C.1 and 2.C.3 of the 2017 GHGRP.
- the quantity of biomass fuel type (QBi) is determined as per subsection 7(2) of Schedule 3 Part 38, sections 2.C.2 of the 2017 GHGRP and the WCI Method WCI.214.
- the higher heating value of each biomass fuel type (HHVi) is determined as per sections 2.C.1 and 2.C.3 of the 2017 GHGRP and the WCI Method WCI.214.
9.9.2.1. Emissions Limit – Increased Capacity of Electricity Generation
Refer to Example 6 for an example that illustrates how the emissions limit is calculated for an industrial facility that met the requirements of section 36.2 where the capacity of electricity generation from gaseous fuel has increased by 50 MW or more, on or after January 1, 2021 and that increased capacity is from equipment that has a thermal energy to electricity ratio of less than 0.9.
9.10. Additional Quantification for All Sectors
This section outlines quantification rules set out in sections 16 that apply specifically to facilities engaged in the industrial activities in items 1 to 37, column 1 of Schedule 1.
As per subsection 16(1), the production of petrochemicals identified in item 17 of Schedule 1, as a by-product is only considered an industrial activity if the facility is engaged in the industrial activity set out in item 17 of Schedule 1.
Subsection 16(1): Additional production of petrochemical products as a by-product
Quantification of GHGs
- Subsection 16(1)
- For the purposes of section 17, quantify GHGs arising from the production of petrochemical products as a by-product using quantification methods applicable to the facility’s industrial activity (applicable Part of Schedule 3 and paragraphs 17(2)(b) or (c), as applicable).
Quantification of Production
- Subsection 16(1)
- The facility is deemed not to be engaged in the production of petrochemicals for the purposes of quantifying production and calculating the emissions limit.
- Production of petrochemicals as a by-product is not required to be quantified and reported; and
- The OBS for the production of petrochemicals (item 17 of Schedule 1) cannot be used in the calculation of the emissions limit.
- The facility is deemed not to be engaged in the production of petrochemicals for the purposes of quantifying production and calculating the emissions limit.
Example 15: Production of petrochemical products
A petroleum refinery produces a petrochemical product as a by-product. The GHGs arising from the production of the by-product petrochemical are quantified using the methods specified in Part 3 of Schedule 3 for petroleum refining and those GHGs are included in the facility total quantity of GHGs as calculated in subsection 17(1).
The quantity of by-product petrochemical produced is not included in the calculation of the emissions limit for the facility, calculated as per section 36 and the OBS for the by-product petrochemicals does not apply.
Appendix A – Frequently Asked Questions
A.1: Quantification of GHGs and Special Rules
1. I burn biomass in my facility, do I need to quantify it and include it in my facility emissions?
As per subsection 22(1), CO2 from biomass is not quantified and is not included in the quantity of CO2 when quantifying the facility’s total quantity of GHGs from the facility as per subsections 17(2) to (4) or subsections 20(2) to (5). However, if a CEMS is used to measure the quantity of CO2 at the facility then CO2 from biomass will have to be quantified and deducted from the quantity of CO2 as measured by the CEMS. The quantity of CO2 from biomass are not to be reported as part of the facility’s annual report.
As per subsections 17(5) and 20(6), CH4 and N2O generated from stationary devices that combust biomass for the purpose of producing useful heat must be quantified but are not to be included in the quantity of GHGs from stationary fuel combustion emissions calculated in subsections 17(2) to (4) or subsections 20(2) to (5). These quantities of CH4 and N2O are to be reported separately as part of the facility’s annual report (section 4 of Schedule 2).
2. How do I report GHG emissions for a source that is not listed in Schedule 3? I am not sure under which specified emission type I should report these emissions?
The responsible person for a covered facility must quantify all emissions from the specified emission types identified in subsection 5(1) that result from the industrial activities engaged in at the covered facility and they are the following:
- stationary fuel combustion emissions;
- industrial process emissions;
- industrial product use emissions;
- venting emissions;
- flaring emissions;
- leakage emissions;
- on-site transportation emissions;
- waste emissions; and
- wastewater emissions.
A definition of these specified emission types can be found in subsection 2(1) of the Regulation.
For a GHG quantified in accordance with paragraph 17(2)(a), the person responsible should quantify and report these GHG emissions for the specified emission type in question using the method identified in Column 3 of Schedule 3.
For a GHG coming from a specified emission type that is not set out in Column 1 of Schedule 3, or for a GHG that is not set out in Column 2 of Schedule 3 but that is coming from one of the specified emission type set out in subsection 5(1), the GHG is quantified in accordance with the methods set out under subparagraph 17(2)(b)(i) or (ii) whichever is applicable to the facility’s industrial activity. Thus, the responsible person must calculate the quantities of GHG for the specified emission type in question according to the 2017 GHGRP or WCI method if those methods are applicable to the facility’s industrial activities, or IPCC Guidelines in the case where the 2017 GHGRP or WCI Method are not applicable to the facility’s industrial activities.
3. Do I need to report minor sources of emissions?
The person responsible for a covered facility is required to report the quantity of GHGs for each specified emission type. All emissions from the specified emission type identified in subsection 5(1) must be quantified and reported.
The “de-minimis” provision under section 23 provides some flexibility to not report a GHG for a specified emissions type if the quantity of that GHG is less than 0.5% of the covered facility’s total quantity of GHG during a compliance period, expressed in tonnes of CO2e. Note that the sum of the quantities of GHGs not reported cannot exceed 0.5% of the covered facility’s total quantity of GHGs during a compliance period. Please refer to section 5.3 of the Quantification Guidance for further information.
4. I am an oil and gas production facility primarily engaged in natural gas processing, do I need to quantify my methane emissions?
As per subsection 22(2), quantification of CH4 from venting or leakage emissions is not required for facilities engaged in:
- bitumen and other crude oil production (item 1 of Schedule 1);
- bitumen and heavy oil upgrading (item 2 of Schedule 1);
- natural gas processing (item 4 of Schedule 1); and
- natural gas transmission (item 5 of Schedule 1).
5. Are the emissions from 3rd party operated machines/equipment covered under the Regulations?
All emissions from the specified emission type identified in subsection 5(1) of the Regulations are counted toward the facility emissions. These include emissions from machines and equipment that are operated by third parties if those machines or equipment are integral to the industrial activity.
In order for a facility to determine if the machines or equipment are part of the facility, it will need to be reviewed with the definition of facility in the Regulations; in particular subsection 1(2).
6. If I purchased renewable natural gas from another facility and it is going to be used elsewhere than my facility, can I claim those emissions at my facility?
Facilities subject to the Regulations are required to quantify their emissions in accordance with section 17.
A facility’s total quantity of GHGs from all activities, including the generation of electricity, must be quantified for an industrial facility. Emissions from fuels combusted as stationary combustion emissions must be quantified in accordance with sections 2.A and 2.B of the 2017 GHGRP or 2020 GHGRP for on-site transportation emissions. Sampling, analysis and measurement requirements are to be performed in accordance with section 2.C of the 2017 GHGRP for stationary fuel combustion and section 2.D of the 2020 GHGRP for on-site transportation.
These methods require quantification of emissions from fuel combusted at the facility. There are no provisions that allow book and claim and, at this time, no credit is available in the situation where renewable fuel is combusted other than at the facility.
7. Can the OBS for the generation of electricity using solid fuels be used for the generation of electricity using municipal solid waste (biomass to energy conversion)?
Under section 2 of the Regulations, biomass means plants or plant materials, animal waste or any product made of either of these, including wood and wood products, bio-charcoal, agricultural residues, biologically derived organic matter in municipal and industrial wastes, landfill gas, bio-alcohols, pulping liquor, sludge digestion gas and fuel from animal or plant origin.
Under section 2 of the Regulations, solid fuel means a fossil fuel that is solid at a temperature of 15°C and a pressure of 101.325kPa.
Municipal solid waste (MSW) is not considered a solid fuel since it is not a fossil fuel and can only partially be considered biomass under the Regulations as there is also non-biogenic material in MSW.
Special Rules Related to Biomass
If the facility uses a mixture of fossil fuels or a mixture of biomass and fossil fuels:
- The quantity of gross electricity generated by each fuel type is determined in accordance with subsections 4(2) and (3) of Part 38 of Schedule 3 of the Regulations.
- If the facility has a combustion engine unit and a boiler unit that share the same steam turbine, then the quantity of gross electricity generated for each unit is determined as described in section 5 of Part 38 of Schedule 3 of the Regulations.
As per section 36 of the Regulations, the covered facility’s emission limit is based on the sum of production from all specified industrial activities engaged in the facility (as calculated per section 31 of the Regulations) multiplied by the applicable OBS and tightening rate for each specified industrial activity. The OBS applicable to each specified industrial activity set out in paragraphs 38(a) to (c), column 1, of Schedule 1 of the Regulations that are engaged in at each unit “i” is set out in column 3.
8. I use explosives at my facility, what type of emissions are these?
Emissions from the use of explosives should be categorized as stationary fuel combustion emissions, as explosive emissions are from combustion of the explosives. According to paragraph 2(1) of the Regulations, industrial process emissions means emissions from an industrial process that involves a chemical or physical reaction other than combustion and the purpose of which is not to produce useful heat, in contrast to stationary fuel combustion emissions where the emissions are from combustion.
A.2: Alternative Method
9. Can the Minister revoke a permit?
Yes, if the Minister has reasonable grounds to believe that the applicant provided false or misleading information in support of their application for a permit.
10. How does the Minister revoke a permit?
A notice of revocation will be provided in advance, which includes written reason for the revocation, and an opportunity to make written representation in respect of the revocation. If the Minister still believes on reasonable grounds that the permit holder has provided false or misleading information, the revocation will be effective 30 days after the date of the notification.
11. Can a permit be renewed?
Yes, if the previous criteria for the permit application continues to be met and the renewal request is submitted to the Minister at least 90 days before the expiration of the current permit. The person responsible for a facility must include in their renewal application the information listed in Schedule 4 and an explanation of the reasons why the prescribed method in the Regulations was not implemented within the period identified in the initial permit application.
A.3: Thermal Energy
12. How does a facility calculate the ratio of heat if it produces or buys thermal energy?
The ratio of heat is equal to 1 for a facility that produces thermal energy from the combustion of fossil fuels only. However, the ratio of heat must be calculated if the facility that produces thermal energy from the combustion of fossil fuels and biomass, in accordance with section 34. Refer to section 6.3 of this document.
13. What if the thermal energy is sold to a non-covered facility (e.g. district heating)?
The quantity of thermal energy sold to a non covered facility is not required to be reported.
14. What does a person responsible for a covered facility need to report if they produce and sell thermal energy to another covered facility?
- The name of the covered facility to which thermal energy was sold to;
- The covered facility certificate number issued to the facility to which the thermal energy was sold to;
- The quantity of the thermal energy sold, expressed in gigajoules:
- based on sales invoices; or
- an objective method where the sales invoices are not available.
- The thermal energy’s temperature and pressure.
- The ratio of heat determined in accordance with section 34.
15. What does a person responsible for a covered facility need to report if they buy thermal energy from another covered facility?
- The name of the covered facility from which they purchased thermal energy;
- The covered facility certificate number issued to the facility from which the thermal energy was purchased;
- The quantity of thermal energy bought, expressed in gigajoules:
- based on sales receipts; or
- an objective method where the sales receipts are not available.
- The thermal energy’s temperature and pressure.
- The ratio of heat determined in accordance with section 34.
A.4: Production
16. I have a lot of back-up generators at my industrial facility, do I still need to quantify the generation of electricity from them?
The total electricity generated from an industrial facility must be quantified in accordance with sections 6 and 7 of Part 38 of Schedule 3. As per subparagraph 31(1)(b)(ii), the electricity generated can be quantified in whole or in part or not quantified at all. However, GHG emissions from the production of electricity at the facility must always be included in the facility total quantity of GHGs. As per section 15 of Schedule 2 (annual report), a list of equipment from which electricity was generated but not quantified is required.
17. Are there any accuracy requirements associated with measuring production?
Yes. Subsection 31(2) states that any measuring device used to measure production must be maintained to be accurate within ± 5% and be installed, operated, maintained and calibrated in accordance with the manufacturer’s specifications or any applicable generally recognized national or international industry standard.
18. Is a covered facility other than an electricity generation facility required to measure electricity production with a meter that complies with the requirements of the Electricity and Gas Inspection Act and the Electricity and Gas Inspection Act and the Electricity and Gas Inspection Regulations?
For a covered facility, other than an electricity generation facility under 11(b) or a coal and electricity facility under 11(c), there is no specific requirement for use of a meter that complies with the requirements of the Electricity and Gas Inspection Act and the Electricity and Gas Inspection Regulations. In accordance with paragraph 31(1)(b) of the Regulations, if electricity production is quantified in whole for the compliance period, it must be quantified in accordance with the requirements set out in sections 6 and 7 of Part 38 of Schedule 3. In addition, and in accordance with ss. 31(2) of the Regulations, any measuring device used to determine the quantity of electricity produced must be installed, operated, maintained and calibrated based on the manufacturer’s specifications or any applicable generally recognized national or international standard. The measuring device must also be maintained to be accurate within ± 5%. Pursuant to ss. 31(3) of the Regulations, production may be quantified using engineering estimates of mass balance, if it is impossible to use a measuring device to directly measure production.
19. Does my facility need to round the total production?
No, any annual production value that is included in the annual report is not to be rounded to three significant figures.
For example, if the total production of vaccine in 2019 is 3245.7 litres, the amount reported in the annual report would not change.
20. Are fuels derived from fossil fuels considered fossil fuels?
A fossil fuel includes fuels derived from fossil fuels for the purposes of the Regulations.
A.5: Carbon Capture and Storage
21. Is there a benefit for a facility to capture and store CO2? How is the captured and stored CO2 quantified?
The quantity of CO2 captured and stored can be subtracted from the facility’s total quantity of GHGs, determined in section 17(1) and 20(1) if the requirements in subsection 35(2) are met. The quantity of CO2 captured and stored is determined using the quantification method described in section 1 of the 2017 GHGRP.
22. Are there any requirements for carbon capture and storage?
The quantity of CO2 that is injected and permanently stored in a geological site must meet the following criteria:
1. The geological site into which the CO2 is injected is:
- a deep saline aquifer for the sole purpose of storage of carbon dioxide, or
- a depleted oil reservoir for the purpose of enhanced oil recovery; and
2. The CO2 captured, transported and stored must comply with the laws applicable to Canada or a province or applicable to the United States or one of its states.
A.6: Assessment of emissions against the emissions limit
23. Do I need to round the assessment result?
The result of the assessment of emissions against emissions limit is to be rounded to the nearest whole number or, if the number is equidistant between two whole consecutive numbers, to the higher number as per subsection 44(1.1) of the Regulations.