COSEWIC Assessment and Status Report on the Barrow's Goldeneye (Bucephala islandica) in Canada – 2000
- Document information
- COSEWIC assessment summary
- COSEWIC executive summary
- Species information
- Distribution
- Habitat
- General biology
- Population size and trends
- Limiting factors and threats
- Special significance of the species
- Assessment of status
- Technical summary
- Acknowledgements
- The authors
- Literature cited
- Eastern population
Special concern – 2000
- Committee on the Status of Endangered Wildlife in Canada (COSEWIC) - Assessment summary
- COSEWIC - Executive summary
- Species information
- Distribution
- Habitat
- General biology
- Population size and trends
- Limiting factors and threats
- Special significance of the species
- Assessment of status
- Technical summary
- Acknowledgments
- Literature cited
- The authors
- Figure 1. World distribution of the Barrow's
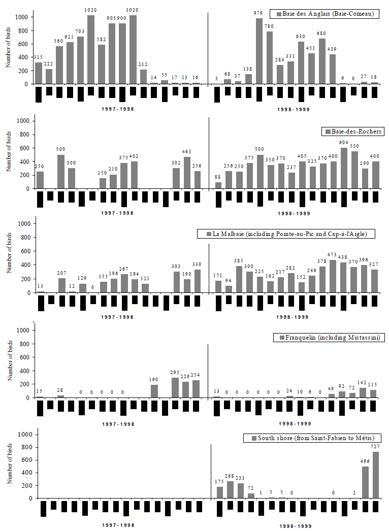
- Figure 2. Maximum number of Barrow's Goldeneyes censused at specific locations during the winters (December-March) of 1997-1998 and 1998-1999 (Canadian Wildlife Service (CWS)-QC, unpublished data)
- Figure 3. Major wintering sites for Barrow's Goldeneyes in eastern North America
- Figure 4. Location of the Québec Ministry of Natural Resources (QMNR) management units for which information on habitat loss is presented in Table 17, corresponding to (a part of) the “core breeding area” of the Barrow's Goldeneye in eastern North America
- Figure 5. Total area logged each year from 1976 to 1996 in Québec Ministry of Natural Resources' management units corresponding to (a part of) the “core breeding area” of the Barrow's Goldeneye in eastern North America
- Figure 6. Number of Barrow's Goldeneye wings returned each year by waterfowl hunters of eastern Canada for the CWS National Harvest Survey, 1968-1998 (Hélène Lévesque, CWS-NRC-Hull)
- Table 1. Maximum annual numbers of Barrow's Goldeneyes reported in winter (Nov. 15 - April 15) at certain Québec localities distributed elsewhere than along the St. Lawrence Estuary and Gulf
- Table 2. Maximum annual numbers of Barrow's Goldeneyes reported in winter (Nov. 15 - April 15) at certain Québec localities distributed along the St. Lawrence Estuary
- Table 3. Maximum annual numbers of Barrow's Goldeneyes reported in winter (Nov. 15- April 15) at certain Québec localities distributed along the Gulf of St. Lawrence
- Table 4. Number of Barrow's Goldeneyes censused during Québec's Christmas Bird Counts, 1978-1998
- Table 5. Numbers of goldeneyes surveyed in the St. Lawrence Estuary and Gulf from 12-15 February 1996
- Table 6. Total numbers of goldeneyes (Common + Barrow's) surveyed along a section of the St. Lawrence Estuary in winter of 1976, 1988, 1994, 1996, and 1999
- Table 7. Estimates of numbers of Barrow's Goldeneyes wintering in eastern North America
- Table 8. Maximum number of Barrow's Goldeneyes observed at major wintering sites of eastern North America
- Table 9. Barrow's Goldeneye breeding population estimates calculated from Québec BDJV survey data and satellite imagery information, using a binomial estimator (see text for details)
- Table 10. Number and type of vessels that used the St. Lawrence waterway in 1993-1997, as recorded at the Saguenay-Les Escoumins Canadian Coast Guard station
- Table 11. Monthly count of vessels having used the St. Lawrence waterway during summer and winter of 1993-1997, as recorded at the Saguenay-Les Escoumins Canadian Coast Guard station
- Table 12. Type of products, in thousands of tons, handled in some ports of the St. Lawrence Estuary and Chaleur Bay in 1998
- Table 13. Number of polluting spills reported by 5-year period in the St. Lawrence corridor and Chaleur Bay, 1975-1994
- Table 14. Number of polluting spills reported by 5-year period in some ports of the St. Lawrence Estuary and Gulf, 1975-1994
- Table 15. Type of products spilled in some ports of the St. Lawrence Estuary and Gulf, 1971-1994
- Table 16. Chemical residues in two individual Barrow's Goldeneyes collected along the St. Lawrence Estuary
- Table 17a and 17b. Areas (ha) affected by logging, windfall, epidemics, and burning in different management units north of the St. Lawrence corridor corresponding to the “core breeding area” of Barrow's Goldeneye in eastern North America
- Table 18. Classification of Barrow's Goldeneye wings from the CWS National Harvest Survey, 1968-1998
COSEWIC
Committee on the Status of
Endangered Wildlife in Canada
COSEPAC
Comité sur la situation des
espèces en péril au Canada
COSEWIC status reports are working documents used in assigning the status of wildlife species suspected of being at risk. This report may be cited as follows:
Please note: Persons wishing to cite data in the report should refer to the report (and cite the author(s)); persons wishing to cite the COSEWIC status will refer to the assessment (and cite COSEWIC). A production note will be provided if additional information on the status report history is required.
COSEWIC. 2000. COSEWIC assessment and status report on the Barrow's Goldeneye Bucephala islandica, Eastern population,in Canada. Committee on the Status of Endangered Wildlife. Ottawa. vii + 65 pp.
Robert, M., R. Benoit and J.-P.L Savard. 2000. COSEWIC status report on the Barrow's Goldeneye Bucephala islandica in Canada, in COSEWIC assessment and status report on the Barrow's Goldeneye Bucephala islandica in Canada. Committee on the Status of Endangered Wildlife in Canada. Ottawa. 1-65 pp.
For additional copies contact:
COSEWIC Secretariat
c/o Canadian Wildlife Service
Environment Canada
Ottawa, ON
K1A 0H3
Tel.: (819) 997-4991 / (819) 953-3215
Fax: (819) 994-3684
COSEWIC E-mail
COSEWIC Website
Cover illustration/photo:
Barrow's Goldeneye -- photo by Denis Faucher.
© Her Majesty the Queen in Right of Canada, 2011.
Catalogue Nº CW69-14/263-2003E-IN
ISBN 0-662-33623-2
Common name
Barrow's Goldeneye (eastern population)
Scientific name
Bucephala islandica
Status
Special Concern
Reason for designation
Numbers of individuals in this eastern population are limited. Although threats such as limited habitat availability and oil spill potential have been identified, none is currently at a scale that would impact negatively on the population.
Occurrence
Quebec, New Brunswick, Nova Scotia, Prince Edward Island and Newfoundland
Status history
Designated Special Concern in November 2000.
The Barrow's Goldeneye is a medium-sized diving duck. Breeding males weigh about 1,127 g and have a contrasting black and white plumage characterized by a purplish black head with a white crescent-shaped patch at the base of the bill. Females weigh about 799 g, have a dark chocolate brown head, a greyish brown back and whitish flanks and belly. The adult female has a bright orange bill in winter and spring.
Most of the Barrow's Goldeneye world population breeds and winters in Canada, west of the Rocky Mountains. The eastern Canadian population of Barrow's Goldeneyes is centred in Québec where probably over 90-95% of the birds breed and winter. A small resident population is also found in Iceland.
In Western Canada during the breeding season, Barrow's Goldeneyes prefer alkaline to freshwater lakes, particularly lakes without fish. In Iceland they frequent highly productive rivers and lakes. In Québec the species appears restricted to small, high elevation lakes north of the St. Lawrence Estuary and Gulf, often headwater lakes. They are found in the Boreal ecoclimatic province of Québec, in the black spruce-feather moss and balsam fir-white birch forest regions. During the non-breeding season, they frequent coastal waters along the St. Lawrence Estuary and Gulf.
The Barrow's Goldeneye is monogamous. Pairs are established on wintering areas. First breeding is usually at 2 years of age. Pairs remain together for several years, reuniting each year in the fall on their wintering areas. The species breeds in tree cavities but may infrequently nest in rock crevices or other cavities. Nests may be located close to water or up to 1-2 km away depending on availability. Height of nests ranges from 2 to 15 m. The species easily adapts to breeding in nest boxes. Clutch size ranges between 6 and 12 eggs, with a mean of 8. Intra-specific nest parasitism is common, especially in nest boxes. Females raise only one brood per year. Only the female incubates, beginning after the last egg is laid. Incubation lasts 30 days. Hatching is synchronous and the precocial young spend about 24-36 hours in the nest. Upon leaving the nest, the female leads her brood to a nearby pond or lake. Barrow's Goldeneyes feed mostly on aquatic insects and crustaceans in inland waters during breeding season, and on molluscs (blue mussels, periwinkles) and crustaceans in coastal waters. The species forages in shallow water along shorelines, rarely in water deeper than 4 m.
About 3,500-4,000 Barrow's Goldeneyes winter in Québec, 2,500 along the St. Lawrence Estuary and 1,000-1,500 along the Gulf of St. Lawrence. Knowing that about 400 individuals apparently winter in the Atlantic Provinces and in Maine, we estimate that the wintering population of Barrow's Goldeneyes in eastern North America consists of about 4,500 individuals. This corresponds to a breeding population of about 1,400 pairs (30% of birds are adult females). We do not have precise data to document a trend (negative or positive) in the population. Nevertheless, we believe that it has probably declined during the XXth Century and that it could still be declining. This is due to logging and other human activities, such as fish stocking, that have taken place in the “core breeding area” of the population, and that have increased in recent decades.
This small population faces threats, on its wintering as well as on its breeding grounds. During late fall, winter and early spring, large proportions of the population congregate in a few areas along the St. Lawrence corridor, which is a very important waterway for shipping. A single oil spill could have a significant impact on this small population. The contamination of the sediments of important wintering areas could also affect Barrow's Goldeneyes that congregate there. Hunting is another threat, at least in areas where the species regularly occurs in significant numbers. The number of birds harvested each fall in eastern North America is low but even a small continuous harvest could have a significant impact on such a small population. Forest exploitation is an important threat on the breeding grounds. Logging affects goldeneyes by directly destroying nests during harvesting operations, by reducing the availability of potential nest sites, by forcing goldeneyes to nest further from ponds, exposing young to predation on their way to the water, and by rendering lakes accessible to hunters and fishers, which increases disturbance to breeding birds. In other respects, many lakes that were originally fishless have now been stocked with brook trout, and there are indications that the presence of these fish may reduce the quality of lakes for the Barrow's Goldeneye.
The Barrow's Goldeneye is protected under the Migratory Birds Convention Act and accompanying regulations pertaining to hunting The Atlantic Canada CDC has assessed the conservation status of wintering populations of Barrow's Goldeneye as S2N in both New Brunswick and Prince Edward Island, S1N in Nova Scotia, S1?N in insular Newfoundland and S1S2 in Labrador. It will also be included on the List of Species Likely to be Designated Threatened or Vulnerable under Québec's Loi sur les espèces menacées ou vulnérables.
The eastern population of Barrow's Goldeneyes is clearly not facing imminent extirpation. However, a single oil spill along the St. Lawrence Estuary could result in the loss of a significant proportion of the population. The winter concentration of such a small population makes it vulnerable and considerable (human-induced) pressure on the Barrow's Goldeneye's known breeding habitat represents the key limiting factor to the population's survival. In our opinion, the eastern population of the Barrow's Goldeneye is clearly at risk from the presence of disturbance or imminent threats from development, and could therefore be classified as Threatened. However, we do not have precise data to document a negative trend, and we do not know whether or not the population will likely become endangered (i.e., will likely face imminent extirpation or extinction) if limiting factors are not reversed. Because of this, it could also be classified as Special Concern.
The Committee on the Status of Endangered Wildlife in Canada (COSEWIC) determines the national status of wild species, subspecies, varieties, and nationally significant populations that are considered to be at risk in Canada. Designations are made on all native species for the following taxonomic groups: mammals, birds, reptiles, amphibians, fish, lepidopterans, molluscs, vascular plants, lichens, and mosses.
COSEWIC comprises representatives from each provincial and territorial government wildlife agency, four federal agencies (Canadian Wildlife Service, Parks Canada Agency, Department of Fisheries and Oceans, and the Federal Biosystematic Partnership), three nonjurisdictional members and the co-chairs of the species specialist groups. The committee meets to consider status reports on candidate species.
* Formerly described as “Vulnerable” from 1990 to 1999, or “Rare” prior to 1990.
** Formerly described as “Not In Any Category”, or “No Designation Required.”
*** Formerly described as “Indeterminate” from 1994 to 1999 or “ISIBD” (insufficient scientific information on which to base a designation) prior to 1994.
The Committee on the Status of Endangered Wildlife in Canada (COSEWIC) was created in 1977 as a result of a recommendation at the Federal-Provincial Wildlife Conference held in 1976. It arose from the need for a single, official, scientifically sound, national listing of wildlife species at risk. In 1978, COSEWIC designated its first species and produced its first list of Canadian species at risk. Species designated at meetings of the full committee are added to the list.
The Canadian Wildlife Service, Environment Canada, provides full administrative and financial support to the COSEWIC Secretariat.
English name: Barrow's Goldeneye;
Scientific name: Bucephala islandica (Gmelin, 1789);
French name: Garrot d'Islande (or Garrot de Barrow).
The Barrow's Goldeneye belongs to the genus Bucephala which includes only two other extant species: the CommonGoldeneye (Bucephala clangula) and the Bufflehead (Bucephala albeola). This genus is in the tribe Mergini which regroups all of the sea ducks and mergansers (AOU 1998). Barrow's and Common Goldeneyes are quite close morphologically and several cases of hybridization have been documented (Palmer 1976, Martin and Di Labio 1994). Hybrids in male alternate plumage exhibit intermediate characteristics between the two parent species, and some have been observed in eastern Canada (Martin and Di Labio 1994). Recently, male hybrids have been observed, at each of the known Barrow's Goldeneye wintering sites along the St. Lawrence corridor in Québec. For example, at least two male hybrids were observed simultaneously at La Malbaie and Baie-des-Rochers during the winter of 1998-1999, and at Baie-des-Anglais in 1997-1998 and 1998-1999 (CWS-QC, unpublished data).
The species is monotypic. To date, there have been no morphological or genetic comparisons of the western, eastern and Icelandic populations (see Distribution) of Barrow's Goldeneyes, so nothing is known about the relationships between Barrow's Goldeneyes breeding in eastern Canada and elsewhere. However given the close correlation in world distribution of Harlequin Ducks (Histrionicus histrionicus) and Barrow's Goldeneyes, it is likely that future molecular studies will reveal a pattern similar in terms of population isolation. Preliminary genetic studies suggest that western, eastern and Icelandic Harlequin Duck populations are genetically distinct (Scribner et al. in prep.). Indeed, it is highly unlikely that there is any exchange between eastern and western populations of Barrow's Goldeneyes. Of thousands of birds banded on the West Coast of North America none has ever been recovered on the East Coast (McKelvey and Smith 1990); only one individual, banded in British Columbia in July 1958, was recovered in the Lake Huron area, Ontario, in July 1959, which is probably exceptional (CWS, unpublished data). Moreover, the Icelandic population is sedentary, breeding and wintering mostly in the north eastern Lake Mývatn and River Laxá area (Gardarsson 1978, Scott and Rose 1996, Hagemeijer and Blair 1997).
The Barrow's Goldeneye is a medium-sized diving duck (41-51 cm), sexually dimorphic in size and plumage. Breeding males weigh around 1,127 g (980-1,320 g)(Eadie et al. 2000) and have a contrasting black and white plumage characterized by a purplish black head with a white crescent-shaped patch at the base of the bill. Females weigh around 799 g (577-857 g) (Eadie et al. 2000), have a dark chocolate brown head, a greyish brown back and whitish flanks and belly. The adult female has a bright orange bill in winter and spring which darkens with the onset of egg-laying. Yearlings are brownish, have dark (tan) eyes and have a dark bill, black for males and dark brown for females. For more detailed descriptions, see Palmer (1976), Bellrose (1980), and/or Tobish (1986).
In alternate plumage, male Barrow's Goldeneyes are easily distinguished from male Common Goldeneyes. Adult Barrow's Goldeneye males are characterized by a white crescent-shaped patch on each side of the head, just behind the base of the bill. This contrasts with the oval roundish white patch of the Common Goldeneye. Other conspicuous differences include: 1) the configuration of black and white on the scapulars, upper back and upperwing with the Common Goldeneye showing extensive white compared to the Barrow's Goldeneye; 2) the presence of a black spur at the shoulders that extends from the back nearly to the waterline in the Barrow's Goldeneye (absent in the Common Goldeneye); and 3) the colour of the head with a dark, blue purple gloss in the Barrow's Goldeneye and a blue green gloss in the Common Goldeneye (see Tobish 1986 for more details).
In winter, most adult females are easily distinguished by the bill colouration being nearly completely orange in Barrow's Goldeneyes (in both western and eastern North America, but not in Iceland where females have dark, orange-yellow tipped bills) and mostly black in Common Goldeneyes with a yellow-orange band covering the outer one fourth of the bill (Tobish 1986, Gosselin 1996, Di Labio et al. 1997). Young males and females and adult females of both species are difficult to distinguish during summer but can be separated by bill shape and head colour and shape criteria. Barrow's Goldeneyes have a shorter bill, thicker at the base with a large raised nail. Common Goldeneyes have a longer, gently sloping bill with a smaller, flatter nail. Barrow's Goldeneyes also have a vertical forehead with a flat-topped crown whereas Common Goldeneyes have a sloping forehead with a high rounded crown-peak. Barrow's Goldeneye females also have a very dark chocolate brown head colour, while Common Goldeneyes have a paler one. First-year goldeneyes have tan eyes instead of the adult's typically rich gold eyes (see Tobish 1986 for more details).
Ducklings can only be distinguished by detailed measurements of the bill (Fjeldsa 1977, Nelson 1992, 1993). Nelson's ratio is length of nail (LN) by width of nail (WN), the product divided by the width of bill (WB) at posterior of nail (LN x WN/WB). This ratio is >4 for Barrow's Goldeneye ducklings and <4 for Common Goldeneye ducklings.
Most (>90%) of the Barrow's Goldeneye world population breeds and winters in Canada (Figure 1). Small populations are found south of British Columbia in Washington, Oregon and northern California. It also breeds in small numbers in Wyoming and Montana (Bellrose 1980, Eadie et al. 2000). It is a common breeder in the interior of Alaska and also winters in coastal Alaska. The eastern population breeds only in Canada, and the only adequately substantiated breeding records are from Québec; some individuals may breed in Newfoundland and Labrador (Daury and Bateman 1996, Robert et al. 2000). A small (ca. 2000 individuals in spring) resident population is also found in Iceland (Gardarsson 1978, 1979, Scott and Rose 1996). The species may have bred in Greenland in the past but has not been reported there for at least 30 years (Boertmann 1994).
In Canada more than 95% of the Barrow's Goldeneye population breeds and winters west of the Rocky Mountains. A number of birds also breed in Alberta and southern Yukon (Blood 1979, Eadie et al. 2000). The eastern Canadian population of Barrow's Goldeneyes is centred in Québec where most of the birds breed and winter (Robert et al. 1999, 2000, Savard and Dupuis 1999). A small number of birds winter in the Maritime Provinces and along the (north) Atlantic coast of the United States (Hasbrouck 1944, Griscon 1945, Daury and Bateman 1996). See Population size and trends for more details.
The exact limits (particularly the northern and eastern limits) of the breeding range of the eastern population are still largely unknown. The first breeding locations have just recently been identified, on the high plateaux north of the St. Lawrence River from the Saguenay River to at least Mingan (Figure 1, and Figure 1 in Robert et al. 2000). It is probable that some Barrow's Goldeneyes also breed on the high plateaux west of the Saguenay River (Savard and Dupuis 1999, Y. Hamel pers. comm., R. McNicoll pers. comm.). The first official breeding record for Québec and eastern North America was obtained in 1998 when a brood was sighted on Lac des Polices in “controlled hunting zone” ZEC Chauvin, a few dozen kilometres NW of Tadoussac (at the outlet of the Saguenay River), and three other broods were subsequently (also in 1998) observed about 60 km NW of Sept-Îles (Robert et al. 2000). At least 10 other broods were discovered in the ZEC Chauvin area in 1999 (CWS-QC, unpublished data). Satellite tracking data show that at least some Barrow's Goldeneyes wintering along the St. Lawrence corridor breed inland along the north shore of the St. Lawrence Estuary and Gulf. In fact, high numbers of pairs and lone males detected in aerial and ground surveys conducted from 1990-1998 indicate that this area is probably the “core breeding area” for Barrow's Goldeneyes wintering along the St. Lawrence i.e., the eastern population of the Barrow's Goldeneye (Robert et al. 2000).
Some authors have suggested that Barrow's Goldeneyes may breed in northern Labrador (Palmer 1976, Bellrose 1980, Godfrey 1986, AOU 1998, del Hoyo et al. 1992), in the Hudson Bay area (Todd 1963, Gauthier and Aubry 1996), and in the Torrent River watershed of Newfoundland (Daury and Bateman 1996). However, none of these has yet been confirmed and all need to be better documented in view of recent findings (Robert et al. 2000).
In western North America, the Barrow's Goldeneye prefers alkaline to freshwater lakes, especially lakes without fish (Munro 1918, Savard 1984, Savard et al. 1994). In Iceland it frequents highly productive rivers and lakes (Einarsson 1988). In Québec it appears restricted to small, high elevation lakes north of the St. Lawrence Estuary and Gulf. There, from 1990 to 1998, the species was found mainly on small lakes (70 % on lakes <10 ha) at altitude (54% higher than 500 m); nearly half of them were headwater lakes. Generally, birds were found in the Boreal ecoclimatic province of Québec, in the black spruce (Picea mariana)-feather moss (Hypnaceae) and balsam fir (Abies balsamea)-white birch (Betula papyrifera) forest regions (Robert et al. 2000). However, no detailed study has been undertaken on the specific characteristics of lakes used by Barrow's Goldeneyes in eastern Canada (particularly compared to those used by Common Goldeneyes).
Figure 1. World distribution of the Barrow's Goldeneye
Barrow's Goldeneyes frequent coastal waters in both western and eastern Canada. They are found mostly near protected rocky shorelines and tend to stay closer to shore than Common Goldeneyes. A few birds are occasionally found on open rivers (Savard 1989, Savard 1990). In British Columbia, their winter distribution is clumped, being abundant only in a few areas. They are more abundant on the mainland coast than on the east coast of Vancouver Island (Mitchell 1952, Vermeer 1982), possibly because of the predominance of rocky coastlines on the mainland side of the Strait of Georgia. Along with Surf Scoters (Melanitta perspicillata), Barrow's Goldeneyes are the most abundant waterfowl wintering in coastal inlets (Vermeer 1982). Barrow's Goldeneyes wintering in British Columbia and Alaska feed extensively on blue mussels (Mytilus edulis) and other rocky shore-associated invertebrates (Munro 1939, Vermeer 1982, Koehl et al. 1984). Barrow's Goldeneyes are also sometimes segregated by age and status in coastal British Columbia. Paired birds often isolate themselves from wintering flocks to defend small coastal territories (Savard 1988a). Groups of unpaired birds are usually found over large mussel beds. Immature and sub-adults are often with unpaired adult males (Savard 1989).
The distribution of Barrow's Goldeneyes wintering in Québec is also clumped, significant numbers of individuals being found only in a few areas along the St. Lawrence corridor. The birds are not necessarily found near protected rocky shorelines as in British Columbia, although some are (e.g. in Baie-des-Rochers, Baie du Ha! Ha!, Mistassini). Ice conditions are probably important in explaining the winter distribution of the species along the St. Lawrence Estuary and Gulf. In fact, from late December to early March, much of the southern shoreline of the St. Lawrence is covered by ice, while the north shore is generally more ice-free, particularly along the Estuary (Fortin et al. 1996). This probably explains why nearly all of the Barrow's Goldeneyes wintering along the St. Lawrence are found on the north shore of its estuary, and that most of those found on the south shore are there only in November, early December and late March (CWS-QC and D. Bourget, unpublished data).
Preliminary data on substrate type indicate that Barrow's Goldeneyes wintering along the St. Lawrence corridor mainly congregate above “sandy pelite”, “sandy-gravelly”, and “muddy- clayey sand” bottoms (CWS-QC, unpublished data).
Overall, most Barrow's Goldeneyes wintering in eastern Canada are found in only a few areas. Hence, very significant proportions of the population regularly congregate in some localities, among which Baie-des-Anglais (Baie-Comeau), Baie-des-Rochers, La Malbaie-Pointe-au-Pic (including Cap-à-l'Aigle) are very important (see Population size and trends for more details).
Known moulting sites of adult males in eastern Canada include the coastal waters of Hudson, Ungava, and Frobisher Bays (Baffin Island), as well as a few coastal inlets of northern Labrador (Figure 1, CWS-QC, unpublished data). Habitat use at these moulting locations has not yet been described.
In western North America, adult males moult on inland northern lakes. At the Old Crow Flats in Yukon, one of the few known moulting sites, birds tend to select the most productive lakes (van de Wetering 1997). Adult females may not undertake the long northern migration of males to moult. In British Columbia, they moult on large lakes a few kilometres (10-100 km) from their breeding areas (Campbell et al. 1990). In Québec, moulting female Barrow's Goldeneyes have been observed on one interior lake of the high plateaux west of the Saguenay River in August-September 1999, about 100 km NNE of Québec City (Y. Hamel, pers. comm.), suggesting that adult females most likely moult on lakes in the general vicinity of their breeding areas. This moulting lake is large (664 ha) (in contrast to lakes used for breeding; Robert et al. 2000) and shallow (mostly <2 m deep)(Morrier et al.1994).
In eastern Canada, particularly in Québec, there has probably been a significant reduction in the extent of suitable breeding habitat, mainly because of logging and fish introduction. There has also been a reduction in the quality of wintering habitats along the St. Lawrence corridor, due to contamination of St. Lawrence River sediments, particularly at Baie-des-Anglais (Baie-Comeau), where very large numbers of Barrow's Goldeneyes winter (see Limiting factors and threats for details).
Most of the breeding habitats of the eastern population of the Barrow's Goldeneye are probably owned by the Québec government. As a matter of fact, the high plateaux north of the St. Lawrence corridor (Robert et al. 2000) consist mostly of public land which is divided into management units managed by forestry companies. Some of these areas are also included in “controlled hunting zones” (Zones d'Exploitation Contrôlée or ZEC) and “wildlife reserves” (Réserves fauniques), although this does not give any protection to the birds that may nest there because these areas are subjected to forest exploitation like everywhere else. This is the case for ZEC Chauvin (where Barrow's Goldeneye broods were discovered in 1998 and 1999), where Barrow's Goldeneye nesting habitat has been heavily logged during the past decades (M. Robert, pers. obs.).
Some important areas used by wintering Barrow's Goldeneyes in eastern North America are included in protected zones. For example, Baie-des-Rochers and Tadoussac are included in Saguenay-St. Lawrence Marine Park; it should be noted, however, that waterfowl hunting is permitted in the park like anywhere else along the St. Lawrence. The second most important protected wintering area for Barrow's Goldeneyes is Bic Provincial Park (including Baie du Ha! Ha! and Anse à Mercier), where a few hundred birds congregate in late fall and early spring. No hunting is permitted in this area. Moreover, some other important wintering areas (see Population size and trends section) of the St. Lawrence corridor, such as (a part of) Baie-des-Anglais, La Malbaie, (a part of) Cap-à-l'Aigle, and Godbout are protected under the Règlement québécois sur les habitats fauniques (C-61.1, r. 0.1.5; Quebec Government Act: Loi sur la conservation et la mise en valeur de la faune). This protection concerns particular activities such as mining and oil exploration, but does not prohibit hunting. The wintering area at Dalhousie, New Brunswick, is closed to hunting (M. Bateman, CWS-AR, pers. comm.).
Most information on the general biology of Barrow's Goldeneyes originates from studies in western North America and Iceland. Very little information is available for the eastern population, apart from preliminary data originating from the work in progress in Québec (M. Robert and J.-P.L. Savard, CWS-QC, unpublished data).
The Barrow's Goldeneye is mostly monogamous although polygyny has been reported in British Columbia (Savard 1986a). Pairs are established on wintering areas. First breeding is usually at 2 years of age but some individuals may delay breeding until 3-4 years of age. New pairs are formed in winter and early spring (Eadie et al. 2000). In western Canada, pairs remain together for several years reuniting each year in the fall on their wintering areas to which they are philopatric (Savard 1985). There is little information available on sex and age ratios (Eadie et al. 2000). Preliminary results from winter observations in Québec indicate that Barrow's Goldeneyes wintering along the St. Lawrence Estuary comprise about 73% adults and 26% immatures, and that females and males comprise about 30% and 43% respectively, of the adult population (sex ratio = 1.5 biased toward males)(CWS-QC, unpublished data).
The Barrow's Goldeneye usually breeds in tree cavities but may infrequently nest in rock crevices or other cavities (Bellrose 1980, Eadie et al. 2000). Nests may be located close to water or up to 1-2 kilometres away depending on availability. Only Pileated Woodpecker (Dryocopus pileatus) cavities are big enough to be used directly by Barrow's Goldeneyes. Individuals may also nest in cavities created by broken tree limbs and in the hollow tops of snags. Height of nests range from 2 to 15 m (Eadie et al. 2000). The species easily adapts to breeding in nest boxes (Savard 1982a, 1988b). There is no data on the size of natural cavities used by Barrow's Goldeneyes but information for its slightly smaller congener, the Common Goldeneye, indicates an average interior diameter of 20.6 cm, a depth of 46.2 cm and an opening of 22.4 cmlong by 11.4 cm wide (Prince 1968). One natural cavity used by a Common Goldeneye in Québec had an opening of 13.5 cm by 7.7 cm, and a depth of 80 cm (C. Maisonneuve, Faune et Parcs Québec, pers. comm.).
Clutch size ranges between 6 and 12 eggs, with a mean of 8. Young females lay smaller clutches than older females. Intra-specific nest parasitism is common (Eadie 1989, Eadie and Fryxell 1992) especially in nest boxes. Females usually lay one egg every other day. Intervals between eggs in British Columbia averaged 1.89 days with the interval decreasing with egg sequence (Thompson 1996). Females raise only one brood per year. Only the female incubates however, the male stays with the female for the first 7-10 days of incubation. Females usually begin incubation after the last egg is laid (Palmer 1976). Incubation periods average 30.2 days in British Columbia (range 26-36 days) (Palmer 1976, Eadie et al. 2000).
In British Columbia, over 4 years, an average of 46% of nests were successful, 31% preyed upon and 23% deserted (n = 37-132 nest boxes; Savard 1988b). In an other area in British Columbia, over a 10-year period, nest success averaged 48.2% (Eadie et al. 2000). Hatching is synchronous and the precocial young spend about 24-36 hours in the nest (Eadie et al. 2000). Upon leaving the nest, the female leads her brood to a nearby pond or lake, occasionally crossing up to 2 kilometres of land to reach the rearing site (Eadie et al. 2000).
In British Columbia brood survival was variable averaging 37.7% with a range of 0-100 % (n = 105 broods). Average brood size decreased from 9.2 to 3.6 ducklings between hatching and fledging (n = 76 broods)(Eadie et al. 2000). Mortality occurs mostly during the first week of life (Savard et al.1991). Late hatching broods have a lower survival rate than early broods (Bengtson 1972, Savard et al. 1991).
Annual survival of breeding females based on capture-recapture data averaged 66% over 11 years in British Columbia (Eadie et al. 2000). Another analysis, based on return and re-sighting rates of females, yielded a similar survival estimate of 63% with a range of 53-89% (Savard and Eadie 1989). The breeding life span of females averaged 2.16 years with a range of 1-9 years. The maximum longevity recorded for a bird of unknown sex was 18 years. Two males of 15 years of age and a 12-year-old female were also recovered (Eadie et al. 2000).
Barrow's Goldeneyes feed mostly on aquatic insects and crustaceans in inland waters during breeding season (Munro 1939, Thompson 1996), and on molluscs and crustaceans in coastal waters (Vermeer 1982, Koehl et al.1982, Fitzner and Gray 1994). Vegetation comprises a small fraction (<20%) of the diet. Molluscs are particularly important during winter, notably blue mussels and periwinkles (Littorina sp.). The species forages in shallow water along shorelines, rarely in water deeper than 4 m. It prefers open water without emergent or dense submerged vegetation (Eadie et al. 2000).
In British Columbia, males defend territories on the breeding lakes from which they exclude all conspecifics and all congenerics but their mate (Savard 1982b, 1984). Brood territories, established by females after the young hatch, are usually different from the pair territory (often on different lakes). They exclude all other goldeneyes and especially other broods from this territory (Savard 1987, 1988a). Finally some paired males defend territories on their wintering areas in British Columbia (Savard 1988a). Such defence of winter territories has not yet been observed in eastern Canada in spite of intensive observations (CWS-QC, unpublished data). Nevertheless, beginning at the end of winter, pairs tend to defend a space around themselves from other conspecifics (C. Marcotte, CWS-QC, pers. obs.). Barrow's Goldeneyes treat the other two goldeneye species as conspecifics and exclude them from their territories (Savard 1982b). They also occasionally exclude other species of waterbirds (e.g. Common Coot, Fulica americana) and are more aggressive towards diving ducks than dabbling ducks. Territorial defence appears related to the protection of a feeding area against potential competitors (Savard and Smith 1987).
Females with broods are extremely aggressive towards other females and young, and brood encounters can be quite violent, often leading to duckling death and/or to brood amalgamation (Andrew 1960, Savard et al. 1987b, 1991). Duckling mortality is higher on lakes with several broods than on lakes with a single brood, indicating some sort of density dependent survival for ducklings (Savard et al. 1991, Einarsson 1988, 1990).
Most information regarding movements of the eastern population of Barrow's Goldeneye originates from a telemetric study supervised by the CWS (M. Robert and J.-P.L. Savard, CWS-QC). To date (beginning in February 1998), 21 Barrow's Goldeneyes (18 males and 3 females) wintering along the St. Lawrence Estuary have been implanted with satellite transmitters and followed in order to obtain detailed information on their distribution and movements (for more details, see Robert et al. 1999, 2000, or the CWS web site at: http://www.qc.ec.gc.ca/faune/sauvagine/html/barrows_goldeneye.html).
Barrow's Goldeneyes undertake three major migrations each year. First from wintering to breeding areas, second from breeding to moulting areas (at least for males) and third from moulting to wintering areas. In eastern Canada birds leave their wintering areas (mainly the St. Lawrence corridor) in late April-early May for their breeding lakes located 60-140 km away on the high plateaux of the north shore of the St. Lawrence Estuary and Gulf. Males stay about 44 days (range 34-50) on the breeding areas before departing for their moulting areas located about 1000 km (800-1120) to the north (Robert et al.1999, 2000). To date, seven moulting sites have been located with satellite telemetry: two in Hudson Bay, two in Ungava Bay, two on the Labrador coast and one at the mouth of Frobisher Bay on Baffin Island (Robert et al. 1999, CWS-QC unpublished data). The ecology, abundance and habitat preferences of birds on their moulting areas are still unknown.
Most Barrow's Goldeneye drakes remain on their moulting sites until late October before undertaking their fall migration to wintering sites. The migration is quite direct lasting only a few days; one bird covered the distance between Ungava Bay and the St. Lawrence Estuary (1200 km) in less than two days (Robert et al.1999). Females apparently moult on lakes close to their breeding areas; one lake located about 100 km NNE from Québec City held about 80 moulting females in August-September 1999 (Y. Hamel, pers. comm.).
Preliminary results from ground surveys and satellite telemetry of Barrow's Goldeneyes wintering along the St. Lawrence corridor, Québec, indicate that some birds move from the south shore to the north shore of the St. Lawrence Estuary in late fall (probably in relation to ice conditions; see Wintering grounds section), and that some birds also move from one area to another along the estuary's north shore during the winter months (CWS-QC, unpublished data).
The highly territorial nature of the Barrow's Goldeneye can limit the density of birds on breeding lakes. However, this is, to a limited degree, minimized by brood amalgamation which permits more young being raised in some areas than would otherwise be possible because of territoriality (Savard 1987, Eadie et al. 1988, Eadie and Lyon 1998). Brood amalgamation is to some degree an accidental result of high breeding densities (Savard et al. 1999). Similarly, when nest sites are limiting, intraspecific nest parasitism can increase the level of production. However, it can have a negative effect in some cases by increasing desertion rates (Eadie and Lumsden 1985, Eadie 1989, 1991, Eadie and Fryxell 1992). Because of their aggressive interspecific territorial behaviour, Barrow's Goldeneyes can impact on the survival of the ducklings of other sympatric waterfowl species, like Common Goldeneyes and Buffleheads (Robertson and Stelfox 1969, Savard 1986b).
Barrow's Goldeneyes adapt well to nest boxes and these have been successfully used to increase local population size (Savard 1982a, 1988b) as has also been shown for Common Goldeneye (Coulter 1979, Dennis and Dow 1984).
Sub-adults prospect for nest sites the year prior to breeding (Eadie and Gauthier 1985). Most prospecting is done during mid to late incubation (of adults). This allows birds to initiate breeding rapidly the following year.
According to our current knowledge, wintering concentration areas of Barrow's Goldeneyes in eastern North America are found mostly in Québec, and to a lesser extent, in the Atlantic Provinces and in Maine. The existing information on numbers and trends of Barrow's Goldeneyes wintering in these areas is summarized in the following pages.
All information presented here is taken from Daury and Bateman (1996), an unpublished CWS report concerning the Barrow's Goldeneye in the Atlantic Provinces and Maine.
Dalhousie, on the New Brunswick side of Chaleur Bay (Baie des Chaleurs), is apparently the most important area for wintering Barrow's Goldeneyes in the Atlantic Provinces. A maximum of 1,000 birds was reported there (in 1995); this was very unusual however, and should not be considered as being representative of that site (M. Bateman, CWS-Atlantic Region, pers. comm.). In fact, the second largest number of Barrow's Goldeneyes ever observed in that area was 300. Overall, 50-300 individuals usually winter in the vicinity of Dalhousie. The other most important wintering site in New Brunswick is Shediac, on the east coast of the province, where 15-40 birds usually winter.
Apparently very few Barrow's Goldeneyes winter in Nova Scotia, where the maximum number of individuals reported at a particular site was 18, at Annapolis River (in 1993). Pugwash and Pictou are also known to shelter a few Barrow's Goldeneyes during the winter. About 125-250 Barrow's Goldeneyes also winter at several sites on Prince Edward Island, which include Oyster Bed Bridge, West River, Roxbury, and Prince Edward Island National Park; a maximum of 236 individuals was recorded in Prince Edward Island in 1988 and a low of 78 in 1994 (see Dibblee et al. 1996 for more details). In Newfoundland, Barrow's Goldeneyes are most frequently observed near Terra Nova National Park, on the west coast of the island, where a maximum of 15 individuals was reported. The Barrow's Goldeneye is not known to winter along the Labrador coast. Maine is known to harbour about 40 individuals each winter, most of them in Orono and, to a lesser degree, in Bucksport and Portland. Apparently very few Barrow's Goldeneyes winter anywhere else along the Atlantic coast (Daury and Bateman 1996).
Overall, Daury and Bateman (1996) believe that the number of Barrow's Goldeneyes wintering in all of Atlantic Canada and Maine usually does not exceed 400 birds. Unfortunately, there are no actual valid data that would allow us to estimate trends in numbers of Barrow's Goldeneyes wintering in those areas. In fact, systematic surveys of wintering areas have only been conducted in Prince Edward Island (Dibblee et al. 1996), where consistent surveys conducted from 1988 to 1994 indicated a decline in wintering birds, except during the last two years (from 236 individuals in 1988 to a low of 78 in 1994, then 135 in 1996)(see Figure 9 in Daury and Bateman 1996). However, little can be concluded from these surveys because only a very small proportion of the eastern population of the Barrow's Goldeneye winters on Prince Edward Island and because winters in recent years have been milder than normal, so birds formerly wintering on the island could be wintering further north (R. Dibblee, pers. comm.).
A very large proportion of the eastern population of the Barrow's Goldeneye winters in the province of Québec. This was first revealed by winter surveys conducted in the mid 1970s (Reed and Bourget 1977), which clearly indicated that the St. Lawrence Estuary and Gulf represent a stronghold for that population. The following pages contain different types of information which provide estimates of numbers and trends in Barrow's Goldeneyes wintering in Québec. These data are provided by the Étude des Populations d'Oiseaux du Québec (ÉPOQ) database, Christmas Bird Counts, and specific CWS-QC ground and aerial surveys.
The ÉPOQ (Étude des Population d'Oiseaux du Québec or Studies of Bird Populations in Québec) database provides interesting information on Barrow's Goldeneye numbers and distribution in Québec. ÉPOQ contains information from checklists completed by observers reporting the number of all bird species seen or heard at any one observation site on any single day. Most lists are submitted by experienced birders, and they come from the whole length of the St. Lawrence corridor in southern Québec. ÉPOQ, which is North America's longest-running and largest checklist compilation program, contains about 3 million records from more than 200,000 checklists (for more information on ÉPOQ, see Cyr and Larivée 1995, David 1996, Dunn et al. 1996).
According to ÉPOQ, Barrow's Goldeneyes are present in southern Québec from mid-October to the first days of May (David 1996), although the bulk of birds wintering in Québec gather along the St. Lawrence corridor from mid-November through mid-April. During that same period, very few individuals can be found in the fluvial section of the St. Lawrence corridor, along the Saguenay River and Lac Saint-Jean, or anywhere in interior Québec (Table 1). This is particularly true during January and February (Cyr and Larivée 1995), when those areas become out of reach for waterbirds due to ice conditions. A few individuals usually winter on the Madawaska River near Dégelis (Table 1), at the outlet of Lake Témiscouata. Overall, we believe that no more than a few dozen Barrow's Goldeneyes probably winter in Québec elsewhere than along the St. Lawrence Estuary and Gulf (see below), mainly because of ice conditions.
Data from ÉPOQ for the St. Lawrence Estuary and Gulf are presented in Table 2 and Table 3, respectively. According to Table 2, the St. Lawrence Estuary represents a very important wintering area for Barrow's Goldeneyes, as birders have regularly reported very high numbers of individuals there. Numerous Barrow's Goldeneyes were reported from different areas along the north shore of the estuary as well as along its south shore. Important localities along the north shore include Baie-Comeau (Baie-des-Anglais), Baie-des-Rochers, Tadoussac, and La Malbaie-Pointe-au-Pic, among others (Table 2). Most Barrow's Goldeneyes reported on the south shore are usually observed between Saint-Fabien(west of Rimouski) and Matane, particularly in the Métis area. Up to 1,156 and 1,000 Barrow's Goldeneyes have been reported on the north shore of the St. Lawrence Estuary, at Tadoussac and Baie-Comeau respectively, while up to 440, 300, and 270 individuals have been reported on its south shore, at Métis-sur-Mer, Grand-Métis and Sainte-Flavie, respectively (Table 2). It should be noted that Tadoussac usually harbours many fewer Barrow's Goldeneyes than the numbers of birds found there in 1976; for instance, no more than 130 individuals were counted there during regular winter surveys conducted in 1997-1998 and 1998-1999 (CWS-QC, unpublished data).
Lower numbers of Barrow's Goldeneyes have been reported by birders along the Gulf of St. Lawrence. According to Table 3, a few dozen individuals are usually reported by birders in Chaleur Bay, although high numbers of birds have been observed at New Richmond (about 40 km from Dalhousie, New Brunswick) in 1994 (275 individuals) and 1996 (800 individuals), and at Sainte-Thérèse-de-Gaspé in 1991 (240 individuals). Cap-d'Espoir, Chandler, and Newport are other localities where Barrow's Goldeneyes are regularly observed in Chaleur Bay. Important numbers of Barrow's Goldeneyes are also reported regularly at different localities distributed along the eastern tip of the Gaspé Peninsula, like Percé, Barachois-de-Malbaie, Forillon National Park, and Gaspé. More than 200 individuals were reported at Forillon National Park by birders in 1991 (Table 3). None usually winter in the Magdalen Islands (Fradette 1992). Finally, birders from the north shore of the Gulf of St. Lawrence (which are very few) have occasionally reported significant numbers of Barrow's Goldeneyes mainly at Sept-Îles, where up to 125 individuals have been observed (Table 3).
According to the ÉPOQ database (annexe 3 in Cyr and Larivée 1995), there was a significant (p< 0.05) positive trend in the annual index of abundance (i.e., the total number of Barrow's Goldeneyes divided by the total number of checklists for a given year) and in the annual mean number of individuals (i.e., the total number of Barrow's Goldeneyes divided by the total number of checklists on which the species was reported for a given year) of Barrow's Goldeneyes in Québec between 1970 and 1989. However, no trend in the frequency (%) of checklists that contain Barrow's Goldeneyes for a given year was noted for the same period (Cyr and Larivée 1995). We believe these data must be interpreted with caution because ÉPOQ trends are known to be positively biased (Dunn et al. 1996). This is what might be expected as a result of improving skills and optical aids, or as a result of shifts by birders to more productive birding spots. It is our belief that this may be particularly true for the Barrow's Goldeneye in Québec; new wintering spots have been discovered in the 1980s and this species is more and more considered as a “wanted bird” by birders.
| Region | Localities | 1976 | 1977 | 1978 | 1979 | 1980 | 1981 | 1982 | 1983 | 1984 | 1985 | 1986 | 1987 | 1988 | 1989 | 1990 | 1991 | 1992 | 1993 | 1994 | 1995 | 1996 |
|---|---|---|---|---|---|---|---|---|---|---|---|---|---|---|---|---|---|---|---|---|---|---|
| St. Lawrence (fluvial) |
Hull |
-3
|
5
|
6
|
1
|
2
|
2
|
1
|
1
|
1
|
1
|
1
|
2
|
2
|
2
|
-
|
-
|
4
|
6
|
2
|
1
|
-
|
| St. Lawrence (fluvial) |
Valleyfield |
-
|
-
|
-
|
-
|
-
|
-
|
-
|
-
|
-
|
20
|
-
|
-
|
-
|
-
|
-
|
-
|
-
|
-
|
-
|
-
|
-
|
| St. Lawrence (fluvial) |
Îles Saint-Pierre (Berthier) |
-
|
-
|
-
|
3
|
10
|
-
|
-
|
-
|
-
|
-
|
-
|
-
|
-
|
-
|
6
|
2
|
-
|
8
|
-
|
-
|
-
|
| St. Lawrence (fluvial) |
Saint-Augustin |
-
|
2
|
--
|
-
|
-
|
-
|
-
|
1
|
-
|
-
|
-
|
-
|
-
|
-
|
-
|
4
|
-
|
3
|
1
|
-
|
-
|
| St. Lawrence (fluvial) |
Cap-Rouge |
-
|
-
|
-
|
-
|
2
|
-
|
-
|
-
|
-
|
-
|
-
|
-
|
-
|
-
|
-
|
4
|
4
|
2
|
2
|
-
|
1
|
| St. Lawrence (fluvial) |
Saint-Romuald |
-
|
-
|
-
|
-
|
-
|
-
|
1
|
-
|
-
|
-
|
-
|
1
|
1
|
-
|
1
|
6
|
1
|
13
|
-
|
-
|
-
|
| St. Lawrence (fluvial) |
Lévis-Lauzon |
2
|
-
|
-
|
-
|
-
|
-
|
-
|
2
|
-
|
1
|
4
|
2
|
1
|
1
|
2
|
1
|
2
|
-
|
-
|
-
|
1
|
| St. Lawrence (fluvial) |
Beauport (île d'Orléans) |
2
|
-
|
-
|
1
|
-
|
-
|
-
|
-
|
-
|
1
|
5
|
-
|
2
|
-
|
-
|
-
|
-
|
1
|
1
|
-
|
1
|
| Saguenay- Lac-Saint-Jean |
Anse de Roche |
-
|
-
|
-
|
-
|
-
|
-
|
-
|
-
|
-
|
-
|
-
|
-
|
-
|
-
|
-
|
4
|
-
|
-
|
-
|
-
|
-
|
| Saguenay- Lac-Saint-Jean |
La Baie |
-
|
-
|
-
|
-
|
1
|
2
|
2
|
-
|
-
|
2
|
3
|
2
|
2
|
1
|
4
|
1
|
1
|
1
|
1
|
1
|
2
|
| Saguenay- Lac-Saint-Jean |
Arvida |
-
|
-
|
4
|
-
|
-
|
-
|
2
|
-
|
-
|
-
|
-
|
-
|
-
|
-
|
-
|
-
|
-
|
-
|
-
|
-
|
-
|
| Saguenay- Lac-Saint-Jean |
Alma |
-
|
-
|
-
|
-
|
-
|
-
|
-
|
41
|
-
|
-
|
1
|
1
|
2
|
-
|
1
|
-
|
-
|
-
|
-
|
-
|
-
|
| Interior Québec | Magog |
3
|
3
|
6
|
-
|
1
|
1
|
-
|
-
|
-
|
-
|
-
|
-
|
-
|
-
|
-
|
-
|
-
|
6
|
2
|
-
|
-
|
| Interior Québec | Ste-Catherine-de-Portneuf |
-
|
5
|
-
|
-
|
-
|
-
|
-
|
-
|
-
|
-
|
-
|
-
|
-
|
-
|
-
|
-
|
-
|
-
|
-
|
-
|
-
|
| Interior Québec | Laterrière |
3
|
4
|
5
|
-
|
3
|
-
|
1
|
-
|
1
|
1
|
1
|
2
|
1
|
2
|
2
|
1
|
1
|
1
|
1
|
1
|
1
|
| Interior Québec | Dégelis |
-
|
6
|
15
|
10
|
10
|
20
|
15
|
5
|
-
|
8
|
6
|
30
|
30
|
12
|
5
|
15
|
6
|
7
|
2
|
5
|
1
|
| Interior Québec | Manic1 |
-
|
-
|
-
|
-
|
-
|
-
|
-
|
-
|
30
|
-
|
-
|
-
|
-
|
-
|
-
|
-
|
-
|
-
|
-
|
-
|
-
|
| Interior Québec | Manic2 |
-
|
-
|
-
|
-
|
-
|
-
|
-
|
-
|
25
|
-
|
-
|
-
|
-
|
-
|
-
|
-
|
-
|
-
|
-
|
-
|
-
|
1 Only localities where a minimum of 4 Barrow's Goldeneyes were reported during any given year are included.
2 ÉPOQ: Étude des Populations d'Oiseaux du Québec database.
3 A hyphen (-) indicates that no data are available for a given year or that no individuals were reported.
| Region | Localities | 1976 | 1977 | 1978 | 1979 | 1980 | 1981 | 1982 | 1983 | 1984 | 1985 | 1986 | 1987 | 1988 | 1989 | 1990 | 1991 | 1992 | 1993 | 1994 | 1995 | 1996 |
|---|---|---|---|---|---|---|---|---|---|---|---|---|---|---|---|---|---|---|---|---|---|---|
| North Shore | Saint-Irénée |
-3
|
-
|
-
|
-
|
-
|
-
|
-
|
-
|
-
|
-
|
-
|
-
|
-
|
-
|
-
|
-
|
-
|
-
|
-
|
-
|
25
|
| North Shore | La Malbaie-Pointe-au-Pic |
-
|
-
|
-
|
-
|
-
|
-
|
1
|
-
|
-
|
2
|
2
|
-
|
5
|
40
|
100
|
200
|
90
|
50
|
50
|
300
|
125
|
| North Shore | Cap-à-l'Aigle |
-
|
-
|
-
|
-
|
-
|
-
|
-
|
-
|
-
|
-
|
-
|
-
|
-
|
-
|
-
|
-
|
-
|
-
|
-
|
125
|
-
|
| North Shore | Port-au-Saumon |
-
|
-
|
-
|
-
|
-
|
-
|
-
|
-
|
-
|
-
|
-
|
-
|
-
|
-
|
2
|
-
|
-
|
-
|
-
|
-
|
50
|
| North Shore | Saint-Siméon |
-
|
-
|
-
|
-
|
-
|
20
|
6
|
12
|
-
|
-
|
5
|
-
|
-
|
10
|
10
|
130
|
10
|
16
|
68
|
50
|
50
|
| North Shore | Baie-des-Rochers |
-
|
-
|
-
|
-
|
-
|
-
|
400
|
-
|
-
|
-
|
450
|
-
|
-
|
-
|
-
|
-
|
-
|
-
|
-
|
-
|
288
|
| North Shore | Baie-Sainte-Catherine |
-
|
-
|
2
|
-
|
-
|
-
|
12
|
-
|
53
|
4
|
6
|
15
|
84
|
260
|
9
|
15
|
10
|
10
|
100
|
8
|
100
|
| North Shore | Tadoussac |
1156
|
-
|
120
|
-
|
10
|
-
|
-
|
50
|
10
|
-
|
10
|
225
|
300
|
150
|
150
|
-
|
5
|
22
|
10
|
12
|
-
|
| North Shore | Bergeronnes |
-
|
30
|
60
|
30
|
35
|
8
|
27
|
30
|
6
|
20
|
6
|
4
|
6
|
12
|
5
|
35
|
18
|
3
|
14
|
4
|
32
|
| North Shore | Les Escoumins |
-
|
-
|
50
|
-
|
-
|
-
|
-
|
-
|
-
|
-
|
-
|
-
|
-
|
2
|
2
|
4
|
4
|
-
|
4
|
-
|
-
|
| North Shore | Sault-au-Mouton |
-
|
-
|
-
|
-
|
-
|
-
|
-
|
-
|
-
|
-
|
10
|
25
|
2
|
-
|
-
|
-
|
-
|
-
|
-
|
-
|
-
|
| North Shore | Forestville |
-
|
-
|
50
|
-
|
-
|
-
|
-
|
-
|
2
|
-
|
2
|
-
|
-
|
-
|
-
|
-
|
-
|
-
|
-
|
-
|
-
|
| North Shore | Pointe-aux-Outardes |
-
|
-
|
-
|
-
|
-
|
-
|
-
|
-
|
-
|
-
|
15
|
2
|
150
|
11
|
-
|
10
|
10
|
2
|
-
|
-
|
-
|
| North Shore | Baie-Comeau |
-
|
-
|
75
|
-
|
-
|
-
|
30
|
200
|
300
|
1000
|
300
|
600
|
500
|
1000
|
1000
|
500
|
500
|
900
|
250
|
200
|
-
|
| North Shore | Anse Saint-Pancrace |
-
|
-
|
-
|
-
|
-
|
-
|
-
|
3
|
-
|
-
|
-
|
-
|
-
|
40
|
17
|
-
|
5
|
5
|
6
|
-
|
-
|
| North Shore | Franquelin-Mistassini |
-
|
-
|
-
|
-
|
-
|
9
|
-
|
-
|
16
|
80
|
-
|
-
|
2
|
-
|
-
|
-
|
120
|
200
|
100
|
90
|
30
|
| North Shore | Godbout |
-
|
-
|
-
|
-
|
-
|
-
|
-
|
-
|
15
|
3
|
-
|
4
|
-
|
-
|
15
|
15
|
-
|
3
|
50
|
10
|
-
|
| North Shore | Pointe-des-Monts |
-
|
-
|
135
|
-
|
-
|
2
|
-
|
-
|
-
|
-
|
10
|
-
|
-
|
-
|
-
|
-
|
-
|
-
|
-
|
-
|
-
|
| South Shore | Cacouna |
24
|
-
|
-
|
-
|
-
|
-
|
-
|
-
|
-
|
-
|
-
|
-
|
-
|
40
|
-
|
-
|
2
|
50
|
-
|
-
|
-
|
| South Shore | Saint-Simon-sur-Mer |
-
|
-
|
-
|
-
|
-
|
-
|
-
|
-
|
-
|
-
|
-
|
-
|
-
|
-
|
-
|
-
|
-
|
-
|
-
|
-
|
35
|
| South Shore | St-Fabien (Anse à Mercier) |
-
|
-
|
-
|
-
|
-
|
-
|
180
|
60
|
90
|
130
|
57
|
20
|
40
|
49
|
120
|
120
|
25
|
125
|
120
|
40
|
60
|
| South Shore | Bic Provincial Park |
-
|
-
|
-
|
60
|
100
|
106
|
10
|
-
|
45
|
-
|
2
|
30
|
-
|
15
|
-
|
60
|
-
|
1
|
157
|
5
|
7
|
| South Shore | Rimouski |
135
|
150
|
60
|
200
|
150
|
30
|
30
|
11
|
200
|
50
|
6
|
10
|
30
|
30
|
8
|
20
|
20
|
60
|
35
|
4
|
50
|
| South Shore | Pointe-au-Père |
9
|
50
|
35
|
150
|
6
|
60
|
50
|
40
|
85
|
75
|
48
|
25
|
10
|
50
|
15
|
16
|
16
|
50
|
36
|
30
|
30
|
| South Shore | Sainte-Luce |
-
|
-
|
-
|
10
|
-
|
50
|
2
|
4
|
19
|
6
|
5
|
-
|
70
|
20
|
20
|
2
|
100
|
90
|
20
|
37
|
50
|
| South Shore | Sainte-Flavie |
-
|
30
|
-
|
20
|
-
|
125
|
55
|
30
|
75
|
20
|
100
|
11
|
30
|
270
|
55
|
32
|
125
|
1
|
2
|
100
|
60
|
| South Shore | Grand-Métis |
-
|
-
|
-
|
300
|
-
|
60
|
100
|
-
|
-
|
-
|
-
|
-
|
-
|
120
|
-
|
120
|
-
|
-
|
-
|
-
|
-
|
| South Shore | Métis-sur-Mer |
150
|
22
|
-
|
40
|
100
|
300
|
400
|
6
|
440
|
105
|
15
|
30
|
-
|
200
|
2
|
1
|
-
|
-
|
30
|
30
|
-
|
| South Shore | Baie-des-Sables |
-
|
-
|
-
|
-
|
-
|
-
|
-
|
-
|
10
|
47
|
-
|
60
|
-
|
-
|
-
|
-
|
-
|
20
|
-
|
-
|
-
|
| South Shore | Saint-Ulric |
4
|
-
|
50
|
-
|
56
|
9
|
4
|
2
|
-
|
-
|
100
|
-
|
-
|
-
|
-
|
-
|
-
|
1
|
-
|
-
|
-
|
| South Shore | Matane |
-
|
30
|
51
|
-
|
-
|
19
|
67
|
100
|
-
|
5
|
-
|
1
|
8
|
8
|
-
|
1
|
-
|
25
|
75
|
58
|
-
|
1 Only localities where a minimum of 25 Barrow's Goldeneyes were reported during any given year are included.
2 ÉPOQ: Étude des Populations d'Oiseaux du Québec database.
3 A hyphen (-) indicates that no data are available for a given year or that no individuals were reported.
| Region | Localities | 1976 | 1977 | 1978 | 1979 | 1980 | 1981 | 1982 | 1983 | 1984 | 1985 | 1986 | 1987 | 1988 | 1989 | 1990 | 1991 | 1992 | 1993 | 1994 | 1995 | 1996 |
|---|---|---|---|---|---|---|---|---|---|---|---|---|---|---|---|---|---|---|---|---|---|---|
| Chaleur Bay | Saint-Omer |
-3
|
-
|
6
|
-
|
-
|
-
|
-
|
-
|
-
|
-
|
-
|
-
|
-
|
-
|
-
|
-
|
-
|
-
|
-
|
30
|
-
|
| Chaleur Bay | Carleton |
-
|
-
|
-
|
-
|
-
|
20
|
4
|
-
|
5
|
-
|
2
|
-
|
-
|
-
|
-
|
-
|
-
|
-
|
-
|
-
|
-
|
| Chaleur Bay | Maria |
-
|
-
|
8
|
-
|
-
|
50
|
-
|
2
|
-
|
5
|
-
|
-
|
-
|
3
|
-
|
-
|
-
|
17
|
-
|
45
|
-
|
| Chaleur Bay | New Richmond |
-
|
-
|
-
|
-
|
7
|
50
|
3
|
-
|
-
|
60
|
-
|
1
|
-
|
-
|
-
|
-
|
-
|
2
|
275
|
-
|
800
|
| Chaleur Bay | Caplan |
-
|
-
|
-
|
-
|
-
|
-
|
2
|
-
|
-
|
37
|
-
|
-
|
-
|
-
|
-
|
-
|
-
|
-
|
2
|
-
|
-
|
| Chaleur Bay | Bonaventure |
-
|
-
|
-
|
-
|
-
|
2
|
1
|
2
|
-
|
-
|
2
|
-
|
1
|
-
|
-
|
25
|
4
|
3
|
-
|
7
|
1
|
| Chaleur Bay | Paspébiac |
-
|
-
|
-
|
-
|
-
|
-
|
-
|
-
|
-
|
21
|
-
|
-
|
-
|
-
|
-
|
-
|
-
|
-
|
-
|
-
|
-
|
| Chaleur Bay | Newport |
-
|
-
|
-
|
-
|
-
|
-
|
-
|
-
|
-
|
-
|
-
|
-
|
-
|
5
|
24
|
14
|
15
|
9
|
-
|
8
|
-
|
| Chaleur Bay | Chandler |
-
|
-
|
-
|
-
|
-
|
8
|
16
|
7
|
1
|
-
|
10
|
6
|
-
|
1
|
15
|
40
|
20
|
7
|
3
|
17
|
50
|
| Chaleur Bay | Grande-Rivière |
-
|
-
|
-
|
-
|
-
|
-
|
1
|
4
|
-
|
-
|
-
|
-
|
-
|
-
|
-
|
-
|
1
|
-
|
-
|
15
|
12
|
| Chaleur Bay | Sainte-Thérèse-de-Gaspé |
-
|
-
|
-
|
-
|
-
|
-
|
1
|
19
|
-
|
1
|
-
|
-
|
-
|
-
|
-
|
240
|
-
|
4
|
-
|
-
|
15
|
| Chaleur Bay | Cap-d'Espoir |
9
|
10
|
7
|
8
|
12
|
12
|
6
|
17
|
-
|
57
|
-
|
33
|
6
|
31
|
-
|
-
|
30
|
10
|
9
|
-
|
-
|
| Gaspé Peninsula | Percé |
48
|
10
|
10
|
30
|
14
|
6
|
15
|
97
|
49
|
13
|
-
|
-
|
79
|
-
|
36
|
-
|
40
|
5
|
20
|
50
|
20
|
| Gaspé Peninsula | Barachois-de-Malbaie |
20
|
-
|
8
|
15
|
92
|
12
|
8
|
24
|
35
|
-
|
25
|
-
|
-
|
-
|
3
|
-
|
-
|
7
|
5
|
98
|
2
|
| Gaspé Peninsula | Pointe-Saint-Pierre (île Plate) |
-
|
30
|
50
|
-
|
-
|
8
|
-
|
-
|
2
|
-
|
-
|
-
|
-
|
-
|
-
|
-
|
-
|
-
|
25
|
-
|
125
|
| Gaspé Peninsula | Gaspé |
-
|
-
|
10
|
20
|
-
|
-
|
36
|
4
|
13
|
15
|
-
|
-
|
4
|
2
|
5
|
-
|
-
|
-
|
-
|
-
|
-
|
| Gaspé Peninsula | Forillon National Park |
-
|
40
|
30
|
-
|
4
|
-
|
10
|
2
|
5
|
7
|
2
|
3
|
20
|
43
|
42
|
217
|
7
|
30
|
-
|
-
|
123
|
| Gaspé Peninsula | Mont-Louis |
-
|
33
|
-
|
-
|
-
|
-
|
-
|
2
|
5
|
-
|
-
|
-
|
-
|
-
|
-
|
-
|
-
|
-
|
-
|
-
|
-
|
| Gaspé Peninsula | Sainte-Anne-des-Monts |
16
|
5
|
-
|
-
|
-
|
4
|
-
|
-
|
-
|
-
|
10
|
-
|
-
|
-
|
-
|
-
|
-
|
-
|
-
|
-
|
-
|
| St. Lawrence North Shore | Baie-Trinité |
-
|
-
|
-
|
-
|
-
|
-
|
-
|
-
|
21
|
21
|
-
|
2
|
-
|
-
|
-
|
-
|
-
|
-
|
-
|
-
|
-
|
| St. Lawrence North Shore | Sept-Îles |
-
|
30
|
40
|
-
|
-
|
-
|
-
|
-
|
-
|
-
|
-
|
37
|
60
|
125
|
10
|
30
|
4
|
12
|
-
|
60
|
-
|
| St. Lawrence North Shore | Sheldrake |
-
|
-
|
-
|
-
|
-
|
-
|
-
|
-
|
-
|
-
|
-
|
-
|
-
|
-
|
-
|
-
|
-
|
-
|
-
|
30
|
-
|
1 Only localities where a minimum of 15 Barrow's Goldeneyes were reported during any given year are included.
2 ÉPOQ: Étude des Populations d'Oiseaux du Québec database.
3 A hyphen (-) indicates that no data are available for a given year or that no individuals were reported.
There have been more than 40 (old and recent) Christmas Bird Counts (CBC) in Québec, among which only a few regularly report significant numbers of Barrow's Goldeneyes. Counts in Baie-Comeau (including Baie-des-Anglais), Tadoussac, Forillon and Percé have regularly yielded high numbers of individuals; up to 807, 235, 185, and 148 have been reported in these counts, respectively (Table 4). As with the ÉPOQ data, higher numbers were usually reported on the north shore of the St. Lawrence corridor. CBC results do not indicate any major wintering concentrations in the United States and the Atlantic Provinces (Savard and Dupuis 1999).
| Location Circle's ID |
Forillon PQFO |
Percé PQPE |
Tadoussac PQTA |
Baie-Comeau PQBC |
New-Richmond PQNR |
Ste-Anne-des-Monts PQSA |
Mont - Joli 483306810 |
Rimouski1 482506826 |
|---|---|---|---|---|---|---|---|---|
| 1998 |
89
|
44
|
5
|
ns
|
3
|
ns
|
ns
|
51
|
| 1997 |
8
|
104
|
111
|
ns
|
0
|
ns
|
ns
|
51
|
| 1996 |
123
|
42
|
1
|
ns
|
0
|
ns
|
ns
|
31
|
| 1995 |
40
|
148
|
12
|
ns
|
0
|
ns
|
ns
|
01
|
| 1994 |
185
|
39
|
10
|
330
|
0
|
ns
|
ns
|
01
|
| 1993 |
50
|
12
|
23
|
262
|
0
|
ns
|
ns
|
31
|
| 1992 |
25
|
62
|
2
|
358
|
0
|
ns
|
ns
|
81
|
| 1991 |
75
|
112
|
1
|
495
|
6
|
0
|
ns
|
01
|
| 1990 |
42
|
36
|
0
|
730
|
0
|
0
|
ns
|
61
|
| 1989 |
45
|
36
|
0
|
807
|
0
|
0
|
ns
|
01
|
| 1988 |
20
|
97
|
235
|
250
|
0
|
0
|
ns
|
01
|
| 1987 |
2
|
106
|
2
|
256
|
0
|
0
|
ns
|
27
|
| 1986 |
5
|
30
|
6
|
206
|
0
|
10
|
ns
|
0
|
| 1985 |
25
|
3
|
3
|
301
|
0
|
0
|
ns
|
0
|
| 1984 |
2
|
84
|
0
|
ns
|
0
|
0
|
16
|
12
|
| 1983 |
22
|
34
|
193
|
24
|
0
|
0
|
12
|
0
|
| 1982 |
46
|
29
|
9
|
ns
|
150
|
0
|
0
|
0
|
| 1981 |
28
|
12
|
0
|
ns
|
12
|
16
|
83
|
4
|
| 1980 |
2
|
ns
|
10
|
ns
|
ns
|
ns
|
ns
|
0
|
| 1979 |
0
|
ns
|
0
|
ns
|
ns
|
ns
|
ns
|
4
|
| 1978 |
0
|
ns
|
120
|
ns
|
ns
|
ns
|
ns
|
1
|
1 Since 1988, data from Rimouski CBC have not been sent to the National Audubon Society (even though the circle is still surveyed annually). Data for the 1988-1998 period obtained from P. Fradette.
ns: No survey for the year.
We did not attempt to discern a trend in CBC data from Québec (nor from anywhere else in eastern North America) because we believed that any interpretation based on these data would be rather doubtful. The presence of Barrow's Goldeneyes at a specific location, at least in Québec, depends on ice conditions, which are highly variable (from one year to another) at the time of year when CBCs are done. Numbers of goldeneyes censused in localities like Tadoussac are also highly dependent on tide levels. Overall, we do not believe that CBC data from Québec would be useful in evaluating if there is a trend in numbers of Barrow's Goldeneyes wintering along the St. Lawrence corridor.
During the winters of 1997-1998 and 1998-1999, exhaustive, systematic counts were conducted by the CWS (Québec Region) on a weekly basis at specific localities known to harbour significant numbers of Barrow's Goldeneyes. Several other areas of the St. Lawrence Estuary were also surveyed during this period, in an attempt to locate new, unknown wintering areas. Among the stations visited, Baie-des-Anglais (= Baie-Comeau), Baie-des-Rochers, La Malbaie-Pointe-au-Pic (including nearby Cap-à-l'Aigle), and Franquelin (including nearby Mistassini) sheltered the greatest number of Barrow's Goldeneyes. All these localities are situated along the north shore of the St. Lawrence Estuary, and very high numbers of goldeneyes regularly congregate there during the winter months. For instance, up to 1,020 Barrow's Goldeneyes were counted at Baie-des-Anglais in January and February 1998 (Figure 2); several hundred are usually found there up until the month of March, when birds leave the area (at least the one covered by the CWS inventories). Ground surveys and results obtained from satellite tracking (CWS-QC, unpublished data) provide evidence that some of the goldeneyes wintering in Baie-des-Anglais transfer to the south shore of the St. Lawrence Estuary when ice conditions allow it i.e., usually in March. In fact, the south shore of the estuary is more covered with ice than the north shore and the coastal zones of the south shore generally remain inaccessible to goldeneyes from late December to early March. This explains why the numbers of Barrow's Goldeneyes surveyed along the south shore of the estuary during the winter 1998-1999 were very low in January, February and the first days of March, and then climbed to many hundreds of individuals. Up to 727 were counted on south shore of the St. Lawrence Estuary in March 1999 (Figure 2). It is also possible that a certain number of goldeneyes wintering in Baie-des-Anglais move to the Franquelin-Mistassini area in March, according to the ground surveys conducted in 1997-1998 and 1998-1999 (Figure 2).
The other most important wintering areas of the St. Lawrence Estuary are Baie-des-Rochers and La Malbaie-Pointe-au-Pic area (including Cap-à-l'Aigle). Up to 604 Barrow's Goldeneyes were surveyed at Baie-des-Rochers in March 1999, and between 250 and 500 individuals are usually found there all winter long (Figure 2). Several hundred goldeneyes also congregate in the La Malbaie area during winter, although there are usually fewer birds there than at Baie-des-Rochers. Up to 473 Barrow's Goldeneyes were surveyed at La Malbaie during the winter of 1998-1999 (Figure 2). Clearly, the St. Lawrence Estuary represents a very important wintering area for the eastern population of the Barrow's Goldeneye.
From January 26 to 28 1998, CWS-QC also conducted ground surveys along the Gaspé Peninsula, including Chaleur Bay, and counted 260 Barrow's Goldeneyes. Most of them were found around Percé (n = 124), Grande Rivière (n = 46), Cap-des-Rosiers (n = 30), Île Plate (n = 28), and Cap d'Espoir (n = 22). On January 26 1998, 56 Barrow's Goldeneyes were also seen at Dalhousie, on the New Brunswick side of Chaleur Bay (CWS-QC, unpublished data).
In February 1974, 1975, and 1976, aerial (and ground) surveys conducted along the St. Lawrence corridor (River, Estuary and Gulf) yielded an estimate of 2,547 Barrow's Goldeneyes, most (1,394) of these birds having been observed in the estuary (Reed and Bourget 1977). Since that time, aerial surveys of goldeneyes wintering along the St. Lawrence corridor (mainly its estuary) have been conducted in 1988, 1994, 1996, and 1999. Unfortunately, during the surveys conducted in 1988 (Savard 1990) and 1994 (Savard and Dupuis 1999), most goldeneyes seen were not identified to species; these surveys were conducted from an aeroplane, from which it is nearly impossible to properly separate the Barrow's Goldeneye from the Common Goldeneye. Because of this, we prefer not to discuss the results of these surveys (see Savard and Dupuis 1999 for details) since they do not allow us to accurately estimate the number of Barrow's Goldeneyes wintering along the St. Lawrence. Table 5 provides a preliminary compilation of the results of the aerial (helicopter) survey conducted from 12 to 15 February 1996 covering most of the St. Lawrence Estuary and Gulf (P. Dupuis, CWS-QC, unpublished data). Distinction between Barrow's and Common Goldeneyes was attempted but difficult during the survey as birds often occurred in large groups; groups of several hundred goldeneyes were regularly recorded as 20-80% species ratio. Such results are inherently inaccurate but provide a general idea of the numbers of Barrow's Goldeneyes wintering in certain areas of the St. Lawrence corridor. The results of this survey indicate that at least 4,214 Barrow's Goldeneyes winter in the St. Lawrence Estuary, in addition to 457 on the North Shore, 387 at Anticosti Island, and 849 around the Gaspé Peninsula and Chaleur Bay (including the Dalhousie area).
Figure 2. Maximum number of Barrow's Goldeneyes censused at specific locations during the winters (December-March) of 1997-1998 and 1998-1999 (CWS-QC, unpublished data). No surveys were conducted for periods without data.
| Region | Barrow's Goldeneye | Common Goldeneye | Goldeneye sp. | Total |
|---|---|---|---|---|
| St. Lawrence Estuary2 |
4,214
|
5,141
|
1,291
|
10,646
|
| North Shore3 |
457
|
193
|
111
|
761
|
| Anticosti Island |
387
|
500
|
53
|
940
|
| Gaspé Peninsula and Chaleur Bay4 |
849
|
345
|
262
|
1,456
|
| Total |
5,907
|
6,179
|
1,717
|
13,803
|
1 Caution is required in interpreting these data (see text).
2 From Baie-Saint-Paul to Pointe-des-Monts, including the islands.
3 From Pointe-des-Monts to Mingan.
4 Including the Dalhousie area and Heron Island.
However, surveys conducted by CWS-QC in January-February 1999, as part of the ongoing study of the eastern population of the Barrow's Goldeneye, yielded different results. CWS-QC (D. Bordage et al.) carried out three helicopter surveys in the St. Lawrence Estuary, from Baie-Saint-Paul to Pointe-des-Monts on the north shore, and from Rivière-du-Loup to Matane on the south shore. All coastal open-water areas and islands were surveyed, and nearly all (i.e., between 97% and 98.5%, depending on the survey) goldeneyes observed were identified to species. Thus, 2,437, 1,702, and 2,634 Barrow's Goldeneyes were found, January 26, February 10, and February 16 1999 respectively, mostly near Baie-Comeau (Baie-des-Anglais), Baie-des-Rochers, La Malbaie-Pointe-au-Pic, Cap-à-l'Aigle, Baie-Sainte-Catherine and Baie-de-Mille-Vaches (Petite Rivière Romaine) (compared to 3,185, 2,463, and 3,134 Common Goldeneyes, respectively)(Aubry et al. 1999). The apparent difference in the numbers of Barrow's Goldeneyes counted along the St. Lawrence Estuary during the 1996 survey (4,214) and 1999 surveys (between 1,702 and 2,634) could be related to a combination of mis-identification of Red-breasted Mergansers (Mergus serrator) and the inherent variability associated with flock estimates by different observers. Only 89 Red-breasted Mergansers were identified during the 1996 survey, compared to 758, 1,278, and 1,790 (depending on the survey) in 1999. Red-breasted Mergansers have a wing pattern very similar to goldeneyes (especially to Barrow's Goldeneyes), so the two species are very difficult to separate at long distance. It is possible that some of the Barrow's Goldeneyes identified in February 1996 may have been mergansers. It is also possible that some of the mergansers identified in 1999 may have been Barrow's Goldeneyes; however, ground-based surveys confirmed the presence of large numbers of wintering Red-breasted Mergansers (up to 2,000) in the same area where mergansers were observed during the 1999 aerial surveys (CWS-QC, unpublished data).
| Year | Date | Number of goldeneyes | Type of aircraft | Observers |
|---|---|---|---|---|
| 1976 | February 4 |
6,964
|
Airplane
|
P. Dupuis et al. |
| 1988 | February 11 |
3,287
|
Airplane
|
J.-P. L. Savard et al |
| 1988 | February 18 |
4,146
|
Airplane
|
J.-P. L. Savard et al |
| 1988 | February 25 |
2,389
|
Airplane
|
J.-P. L. Savard et al |
| 1994 | February 11 |
2,534
|
Airplane
|
J.-P. L. Savard et al |
| 1994 | February 23 |
2,462
|
Airplane
|
J.-P. L. Savard et al |
| 1996 | February 7 |
8,945
|
Helicopter
|
P. Dupuis et al. |
| 1996 | February 12 |
6,671
|
Helicopter
|
P. Dupuis et al. |
| 1999 | January 26 |
3,428
|
Helicopter
|
D. Bordage et al. |
| 1999 | February 10 |
2,552
|
Helicopter
|
D. Bordage et al. |
| 1999 | February 16 |
4,431
|
Helicopter
|
D. Bordage et al. |
1 From Baie-Saint-Paul to Les Escoumins, on the north shore of the St. Lawrence Estuary.
According to Savard and Dupuis (1999), comparisons between the 1976, 1988, and 1994 winter surveys of goldeneyes (both species) suggest a decline in the number of wintering birds on the north shore of the St. Lawrence Estuary, between Baie-Saint-Paul and Les Escoumins. However, as mentioned by the authors, caution is required in interpreting these data. Moreover, if we consider the number of goldeneyes surveyed in 1996 and 1999, the apparent negative trend disappears (Table 6). For this reason, along with the inherent variability of these types of surveys (apart from the fact that some were done by airplane and others by helicopter), we cannot (based on our currently available data) report conclusively on any trend in the number of goldeneyes (and evidently the number of Barrow's Goldeneyes) wintering in the St. Lawrence Estuary.
According to current knowledge, there is every indication that nearly all Barrow's Goldeneyes in eastern North America winter along the St. Lawrence corridor. Most of these goldeneyes actually winter in Québec, particularly along the St. Lawrence Estuary, where there are large expanses of open water throughout the winter. According to the helicopter surveys conducted in 1999, which were conducted specifically for surveying Barrow's Goldeneyes and covered all potential winter habitat along the St. Lawrence Estuary, about 2,600 individuals winter in that area (Table 7). The second most important wintering area is also located in Québec, but in the Gulf of St. Lawrence. According to Reed and Bourget (1977), and to the winter survey conducted in 1996 (Table 5), about 1,000-1,700 Barrow's Goldeneyes winter in that vast area, mostly around Anticosti Island, along the north shore of the gulf corridor, from Sept-Îles to Kegaska, on the eastern tip of Gaspé Peninsula, and in Chaleur Bay (see also Savard and Dupuis 1999). In contrast to the St. Lawrence Estuary, ice conditions along the coast of the Gulf of St. Lawrence are usually harsh, which may explain why most Barrow's Goldeneyes are found in the estuary (even though the gulf is much larger).
Overall, we estimate that about 3,500-4,000 Barrow's Goldeneyes winter in the province of Québec, 2,500 along the St. Lawrence Estuary and possibly 1,000-1,500 along the Gulf of St. Lawrence. Knowing that about 400 individuals apparently winter in the Atlantic Provinces and in Maine (Daury and Bateman 1996), and that some of the birds seen at Dalhousie are probably the same as those observed on the Québec side of Chaleur Bay, we estimate that the wintering population of Barrow's Goldeneyes in eastern North America consists of about 4,500 individuals (Table 7). Clearly, this is a conservative estimate and future winter surveys in the Gulf of St. Lawrence and Atlantic Provinces may yield a different, higher estimate.
Table 8 and Figure 3 lay out the most important wintering localities for the eastern population of the Barrow's Goldeneye, according to current knowledge. Based on our conservative total population estimate of 4,500 individuals, we know that up to 25.7%, 22.7%, 13.4% and 10.5% have been observed on the north shore of the St. Lawrence corridor, at Tadoussac (not representative, see above), Baie-des-Anglais (Baie-Comeau), Baie-des-Rochers, and La Malbaie-Pointe-au-Pic (including Cap-à-l'Aigle), respectively (Table 8). On the south shore of the St. Lawrence corridor, about 10% of the wintering population sometimes congregates in specifics areas, notably around Bic Provincial Park (and the nearby Anse à Mercier) and in the Métis area (which includes Métis-sur-Mer, Les-Boules, Grand-Métis, and Baie-Mitis); up to 16.2% of the population has been censused between Saint-Fabien and Métis in March 1999 (Table 8). Elsewhere, up to 22.2% and 17.8% of the eastern population was censused at Dalhousie and New Richmond in 1995 and 1996, respectively; however, as for Tadoussac, this should not be considered typical for these localities (M. Bateman, pers. comm.). Overall, about 88% (4,000/4,500) of Barrow's Goldeneyes wintering in eastern North America winter in Québec, most of them (58.5%) along the St. Lawrence Estuary, according to current knowledge.
| Date | Québec (St. Lawrence corridor) Fluvial |
Québec (St. Lawrence corridor) Estuary |
Québec (St. Lawrence corridor) Gulf |
Québec (St. Lawrence corridor) Total |
Atlantic Provinces and Maine | Source |
|---|---|---|---|---|---|---|
| February 1974-75-76 |
5
|
1,394
|
1,148
|
2,547
|
Reed and Bourget (1977) | |
| 1976-1996 |
13
|
1,715
|
-
|
1,728
|
ÉPOQ database (median)1 | |
| 1976-1996 |
13
|
2,318
|
-
|
2,331
|
ÉPOQ database (mean) 1 | |
| 1996, February 12-15 |
-
|
4,214
|
1,6933
|
5,9074
|
P. Dupuis (CWS-QC, unpubl. data) | |
| 1999, January 26 |
-
|
2,437
|
-
|
2,437
|
North American Birds 53(2): 141 | |
| 1999, February 10 |
-
|
1,702
|
-
|
1,702
|
North American Birds 53(2): 141 | |
| 1999, February 16 |
-
|
2,634
|
-
|
2,634
|
North American Birds 53(2): 141 | |
| 1976-1995 |
223
|
Median, Daury and Bateman (1996) 2 | ||||
| 1976-1995 |
314
|
Mean, Daury and Bateman (1996) 2 | ||||
| - |
<400
|
Daury and Bateman (1996) |
1 Sum of means (or medians) of the maximum numbers of Barrow's Goldeneyes reported in winter by birders during any given 7-day period (during which the species was reported) in all localities where the species was reported between 1976 and 1996.
2 Sum of means (or medians) of the maximum numbers (not including zeros) of Barrow's Goldeneyes reported during winter each year in each of Atlantic Provinces and Maine in all localities between 1976 and 1995 (according to Table 1, Daury and Bateman 1996).
3 Including the Dalhousie area and Heron Island, New Brunswick.
4 Caution is required in interpreting these data (see text and Table 5).
According to our current knowledge, the north shore of the St. Lawrence Estuary and Gulf is the “core breeding area” for the Barrow's Goldeneyes wintering in eastern North America (Robert et al. 2000).
The only way to obtain an estimate of the Barrow's Goldeneye breeding population in eastern North America is to analyze data obtained from helicopter surveys conducted in Québec under the Black Duck Joint Venture (BDJV) of the North American Waterfowl Management Plan, during which all goldeneyes are identified to species (see Robert et al. 2000). For the purpose of this status report, we analyzed Québec BDJV survey data from 1997, 1998 and 1999 (same experienced observers each year) for what we consider to be the “core breeding area” of the eastern population of the Barrow's Goldeneye. This area corresponds to the one delimited by Robert et al. (2000) on the north shore of the St. Lawrence Estuary and Gulf (but not including Anticosti Island), including the high altitude sector north from Québec City and south from the Saguenay River, where some Barrow's Goldeneyes probably nest (see Distribution and Figure 1). Because BDJV surveys covered only about half of the 46 BDJV(25 km²) quadrats surveyed in this “core breeding area” each year, we combined data from different years in order to calculate population estimates originating from all BDJV quadrats of the area, assuming that the population size was stable between years (see Table 9 for details). From a satellite image (mosaic of images Landsat-TM from 1993-1994, Grenier et al. 1993, 1994), we calculated the number of small lakes (i.e., less than 100 ha) in every 25 km² quadrat of the entire “core breeding area”, which contains 6,964 quadrats (of which 46 are surveyed under the BDJV). We then calculated the proportion of small lakes where Barrow's Goldeneye pairs were found during BDJV surveys, and estimated the total number of pairs for the entire “core breeding area” using a binomial estimator (see Cochran 1977 for details on calculations), assuming that Barrow's Goldeneye pairs nest on lakes less than 100 ha (see Robert et al. 2000) and that only one pair is present per lake. We thus obtained four breeding population estimates, which are presented in Table 9.
| Region | Sites | Number of individuals | Date | Source | % of pop.2 |
|---|---|---|---|---|---|
| St. Lawrence Estuary (Upper and Lower) | all |
2634
|
99-02-16 | CWS-QC helicopter surveys |
58.5
|
| North Shore of the St. Lawrence corridor | Tadoussac, QC |
11563
|
1976 | ÉPOQ database |
25.73
|
| North Shore of the St. Lawrence corridor | Baie-des-Anglais (Baie-Comeau), QC |
1020
|
98-02-114 | CWS-QC ground surveys |
22.7
|
| North Shore of the St. Lawrence corridor | Baie-des-Rochers, QC |
604
|
99-03-03 | CWS-QC ground surveys |
13.4
|
| North Shore of the St. Lawrence corridor | La Malbaie area, QC |
473
|
99-02-24 | CWS-QC ground surveys |
10.5
|
| North Shore of the St. Lawrence corridor | Pointe-aux-Outardes, QC |
305
|
99-01-26 | CWS-QC helicopter surveys |
6.8
|
| North Shore of the St. Lawrence corridor | Baie-Sainte-Catherine, QC |
300
|
99-01-26 | CWS-QC helicopter surveys |
6.7
|
| North Shore of the St. Lawrence corridor | Franquelin-Mistassini, QC |
295
|
98-03-11 | CWS-QC helicopter surveys |
6.6
|
| North Shore of the St. Lawrence corridor | Petite Rivière Romaine, QC |
283
|
99-02-16 | CWS-QC helicopter surveys |
6.3
|
| North Shore of the St. Lawrence corridor | Île aux Lièvres, QC |
235
|
99-02-16 | CWS-QC helicopter surveys |
5.2
|
| North Shore of the St. Lawrence corridor | Godbout, QC |
200
|
99-02-16 | CWS-QC helicopter surveys |
4.4
|
| North Shore of the St. Lawrence corridor | Saint-Siméon, QC |
168
|
99-03-31 | CWS-QC ground surveys |
3.7
|
| North Shore of the St. Lawrence corridor | Îlets-Jérémie, QC |
153
|
99-02-16 | CWS-QC helicopter surveys |
3.4
|
| North Shore of the St. Lawrence corridor | Pointe-des-Monts, QC |
135
|
1978 | ÉPOQ database |
3.0
|
| North Shore of the St. Lawrence corridor | Sept-Îles, QC |
125
|
1989 | ÉPOQ database |
2.8
|
| North Shore of the St. Lawrence corridor | Grandes-Bergeronnes, QC |
120
|
99-02-16 | CWS-QC helicopter surveys |
2.7
|
| North Shore of the St. Lawrence corridor | Saint-Irénée, QC |
119
|
99-03-11 | CWS-QC ground surveys |
2.6
|
| South Shore of the St. Lawrence corridor | From Saint-Fabien to Métis-sur-Mer, QC |
727
|
Mar. 1999 | CWS-QC ground surveys |
16.2
|
| South Shore of the St. Lawrence corridor | Métis-sur-Mer (Les-Boules), QC |
440
|
1984 | ÉPOQ database |
9.8
|
| South Shore of the St. Lawrence corridor | Baie-Mitis (Grand-Métis), QC |
305
|
99-04-08 | CWS-QC ground surveys |
6.8
|
| South Shore of the St. Lawrence corridor | Sainte-Flavie, QC |
270
|
1989 | ÉPOQ database |
6.0
|
| South Shore of the St. Lawrence corridor | Saint-Fabien (Anse à Mercier ), QC |
264
|
98-11-04 | CWS-QC ground surveys |
5.9
|
| South Shore of the St. Lawrence corridor | Rimouski (Rocher-Blanc), QC |
200
|
1979, 1984 | ÉPOQ database |
4.4
|
| South Shore of the St. Lawrence corridor | Bic Provincial Park, QC |
157
|
1994 | ÉPOQ database |
3.5
|
| South Shore of the St. Lawrence corridor | Pointe-au-Père, QC |
150
|
1979 | ÉPOQ database |
3.3
|
| South Shore of the St. Lawrence corridor | Sainte-Luce, QC |
100
|
1992 | ÉPOQ database |
2.2
|
| South Shore of the St. Lawrence corridor | Saint-Ulric, QC |
100
|
1986 | ÉPOQ database |
2.2
|
| South Shore of the St. Lawrence corridor | Matane, QC |
100
|
1983 | ÉPOQ database |
2.2
|
| Anticosti Island |
387
|
96-02-14 | CWS-QC helicopter surveys |
8.6
|
|
| Anticosti Island | Baie au Caplan, QC |
116
|
96-02-14 | CWS-QC helicopter surveys |
2.6
|
| Gaspé Peninsula and Chaleur Bay |
849
|
96-02-14 | CWS-QC helicopter surveys |
18.9
|
|
| Gaspé Peninsula and Chaleur Bay | Dalhousie, NB |
10003
|
1995 | Daury and Bateman 1996 |
22.23
|
| Gaspé Peninsula and Chaleur Bay | New Richmond, QC |
8003
|
1996 | ÉPOQ database |
17.83
|
| Gaspé Peninsula and Chaleur Bay | Forillon National Park, QC |
217
|
1991 | ÉPOQ database |
4.8
|
| Gaspé Peninsula and Chaleur Bay | Percé, QC |
190
|
96-02-14 | CWS-QC helicopter surveys |
4.2
|
| Gaspé Peninsula and Chaleur Bay | Cap-d'Espoir, QC |
125
|
96-02-14 | CWS-QC helicopter surveys |
2.8
|
| Gaspé Peninsula and Chaleur Bay | Pointe-Saint-Pierre, QC |
125
|
1996 | ÉPOQ database |
2.8
|
1 Major wintering sites: where ≥100 ind. were observed at least once between Nov. 15 and April 15.
2 Based on a total wintering population of 4,500 individuals (see text).
3 Should not be considered as being representative of that site (see text).
4 1020 Barrow's Goldeneyes were also observed at Baie-des-Anglais on January 9, 1998.
Figure 3. Major wintering sites for Barrow's Goldeneyes in eastern North America
BDJV survey data (Table 9) indicates that there are between 716 and 1,718 breeding pairs of Barrow's Goldeneye in the “core breeding area” of the species' eastern population i.e., on the north shore of the St. Lawrence Estuary and Gulf, south of 51°30'N. Knowing that the exact limits of the breeding range of the eastern population are still largely unknown and that some individuals probably breed outside of the “core breeding area”, the eastern population of the Barrow's Goldeneye likely consist of between 1,300 and 1,700 breeding pairs. Based on the proportion of adult birds observed in the wintering population, we suggest that the eastern population of Barrow's Goldeneyes consists of about 1,400 breeding pairs, a value which falls within the range of our direct estimate of breeders. As with the wintering population, our estimate of breeding pair numbers is conservative and future surveys of interior Québec, Newfoundland and Labrador may yield a different estimate.
| AD(99) - B(97) - C(98)2 | A(99) - BC(97) - D(98) | A(99) - B(97) - CD(98) | AD(99) - BC(97) | |
|---|---|---|---|---|
| Lakes surveys3 |
1051
|
1051
|
1051
|
1051
|
| Pi4 |
0.00596
|
0.01093
|
0.01192
|
0.00497
|
| Breeding pairs5 |
858.9
|
1574.7
|
1717.8
|
715.8
|
| Standard Error |
348.6
|
470.7
|
491.4
|
318.3
|
1 We preferred to use a binomial estimator because Barrow's Goldeneye pairs are rare (one per lake). This calculation assumes that the probability of seeing a pair on a lake is independent of observing a pair on another lake. See Cochran (1977) for details on calculations of the variance.
2 BDJV quadrats are divided into four subsets [A (n = 14), B (n = 13), C (n =9), and D (n =10)], of which two were surveyed each year. In 1997, 1998 and 1999, subsets B and C, C and D, and D and A were surveyed, respectively. We combined data from different years in order to calculate different population estimates, assuming that the population size was stable between years. The four combinations we used are: A(1999)-B(1997)-C(1998)-D(1999), A(1999)-B(1997)-C(1997)-D(1998), A(1999)-B(1997)-C(1998)-D(1998), A(1999)-B(1997)-C(1997)-D(1999).
3 Number of lakes in quadrats included in subsets A, B, C, and D (see above).
4 Pi = Proportion of lakes where Barrow's Goldeneye pairs where surveyed. The number of breeding pairs in surveyed quadrats were estimated as follows: 1 or 2 birds = 1 pair, disregard of sex; otherwise = 0 pair (Bordage and Plante 1997).
5 Breeding pairs = Pi multiplied by the total number of lakes less than 100 ha (n = 144,013) for the “core breeding area” (see text for details).
In eastern North America the only known moulting sites of adult male Barrow's Goldeneyes are located in the coastal waters of Hudson, Ungava and Frobisher (Baffin Island) Bays, and in a few coastal inlets of northern Labrador (Robert et al. 1999, CWS-QC unpublished data, Figure 1). The number of goldeneyes moulting at each of these sites is unknown. Nevertheless, according to E. B. Chamberlain (fide Todd 1963), about 1,500 goldeneyes were observed moulting in Nain Bay, Labrador in 1955, of which nearly half were apparently Barrow's Goldeneyes. According to Daury and Bateman (1996), 24 and 132 Barrow's Goldeneyes were also observed in Ramah Bay, Labrador, in 1981 and 1984, respectively. A total of 54 birds was also reported in Hebron Fjord, Labrador, in four years of observations between 1981 and 1994 (Daury and Bateman 1996).
Sea ducks such as Barrow's Goldeneyes are particularly vulnerable to oil spills, since they are gregarious and spend most of their time in the water during the winter. In water, plumage oiling, by removing the isolating properties of their feathers, may cause the bird's heat loss to exceed its heat production capacity, resulting in hypothermia (Burridge and Kane 1985). For example, the heat loss of oiled eiders in water is 360% higher than normal, while the heat loss of oiled and water-soaked eiders placed on land rather than water is only 57% higher than normal (Jenssen and Ekker 1990). In addition to thermoregulatory problems, birds exposed to spilled oil may also be poisoned through ingestion of oil or fatally affected by sustained stress related to oiling (Burridge and Kane 1985). It is also recognized that sea ducks, which depend upon feeding in water, are more susceptible to oiling than dabbling ducks, which can feed ashore (Jenssen and Ekker 1991). Birds are also more vulnerable to oil spills during winter (Joensen and Hansen 1977). Not only do low temperatures accelerate heat loss in soiled birds, but colder sea temperatures may also increase the amount of time that floating oil remains in a state that is dangerous to marine birds.
It must be stressed that Barrow's Goldeneyes may be affected by oiling, not only directly but also indirectly by a reduction or contamination in their main winter food supply, molluscs in particular. Adult males are also vulnerable to oil spills during the summer, on their coastal moulting areas in Hudson Bay, Ungava Bay and within the fjords of northern Labrador, where they congregate and lose the power of flight. These threats will probably increase as northern development proceeds. Females' moulting sites are currently unknown (apart from one interior lake north of the St. Lawrence corridor) but some sites could possibly be found along the St. Lawrence corridor. Finally, Barrow's Goldeneyes, like Common Goldeneyes and other sea ducks, often form large rafts at night in open water. Such a concentration is highly susceptible to oil spills.
The St. Lawrence has always been used for transportation of commercial goods. Today, the river links Québec ports to one another, but most importantly to the ports of the Great Lakes and the entire Atlantic seaboard. This makes the St. Lawrence corridor one of North America's most important waterways for shipping. Indeed, despite the fact that it is difficult to navigate (because of ice cover, its narrow and winding channel, fast tidal currents and frequent poor visibility due to fog and snow), the St. Lawrence remains a very busy waterway. For example, in 1991, the Canadian Coast Guard recorded 10,461 trips by commercial vessels on the waters of the gulf and river, excluding the 867 passengers vessels and thousands of yachts (St. Lawrence Center 1996).
There are some 40 commercial ports along the St. Lawrence corridor which can accommodate vessels of various sizes and types, from barges to very large 300,000-ton bulk carriers. The main forms of cargo transportation are dry bulk, liquid bulk, and containerized or non-containerised general merchandise. In 1992, total merchandise handled in St. Lawrence ports amounted to 97.2 million tons, consisting primarily of iron ore (34.6%), grain (20.5%), petroleum products (15.8%), titanium ore (4.9%) and containerised goods (6.0%). The same year, 17.4 million tons of dangerous goods (e.g. explosives, compressed gas, flammable liquids, flammable solids, oxidizers and organic peroxides, poison and infectious substances, radioactive materials, and corrosive substances) were handled in these same ports (St. Lawrence Centre 1996).
The shipping activity brings about the risk of pollution in the event of a major spill of hazardous products. A single oil spill could result in the vanishing of a significant proportion of the eastern North American population. Moreover, the risk of oil spills is higher at certain periods of the year, particularly in winter when there are ice jams or floating ice (St. Lawrence Centre 1996) i.e., when Barrow's Goldeneyes concentrate along the St. Lawrence. It should also be noted that shipping represents a potential source of pollution, due not only to shipping accidents, but also because of oil or chemical products transhipment bunkering operations, as well as waste from washing and bilge waters dumped directly into the sea.
According to the Brander-Smith panel (Public Review Panel on Tanker Safety and Marine Spills Response Capability 1990, in St. Lawrence Center 1996), shipping petroleum products and chemicals by tanker represented without a doubt, the most serious risk for the St. Lawrence. The transportation of oil for the Ultramar refinery at Saint-Romuald (across from Québec City) in the Fluvial Estuary of the St. Lawrence represents a serious spill risk. On the basis of data from 1988-1991, about 5 million tons of crude oil are handled there each year. The danger is partly due to the fact that very large tankers regularly make trips with a draft exceeding the guaranteed minimum water level as published on the marine charts. In the North Traverse for example (at the south eastern tip of Île d'Orléans, where tankers from Saint-Romuald must pass), a number of large vessels with a draft of more than 15.2 m can, by using a favourable tide, cross a channel whose guaranteed water depth at low tide is only 12.5 m. If such a vessel experienced navigation problems, such as engine failure, for more than three hours, it would likely run aground (St. Lawrence Center 1996).
In order to evaluate the potential dangers related to sea transport, specifically for Barrow's Goldeneyes wintering along the St. Lawrence, we gathered various information concerning vessels passing through goldeneyes' wintering areas. From 1993 to 1997, between 6,243 and 7,228 (average 6,894) vessels yearly, passed through the Saguenay-Les Escoumins maritime station (approx. 20 km from the mouth of the Saguenay River, on the north shore of the St. Lawrence Estuary), most of which were merchant ships. Among them, about 900 tankers yearly, pass through the area in question (Table 10).
| Type of vessels | 1993 | 1994 | 1995 | 1996 | 1997 | Mean |
|---|---|---|---|---|---|---|
| Merchant |
4,754
|
5,343
|
5,553
|
5,450
|
5,528
|
5,326
|
| Tanker |
890
|
892
|
907
|
919
|
908
|
903
|
| Coast Guard |
309
|
271
|
326
|
252
|
258
|
283
|
| Tug boat |
116
|
107
|
211
|
238
|
234
|
181
|
| Barge |
20
|
11
|
21
|
9
|
18
|
16
|
| Others |
154
|
215
|
210
|
194
|
151
|
185
|
| Total |
6,243
|
6,839
|
7,228
|
7,062
|
7,097
|
6,894
|
Also, as indicated in Table 11, although the monthly number of vessels passing through the St. Lawrence Estuary is higher during the summer (May through November), shipping is also important during the winter months (December through April), when most Barrow's Goldeneyes of eastern North America congregate along the St. Lawrence Estuary. In fact, an average of 353 vessels per month pass through there during the winter and, interestingly, just as many tankers (up to 84) as during the rest of the year (Table 11).
| Type of vessels | Summer 19931 | Winter 19932 | Summer 1994 | Summer 1994 | Summer 1995 | Winter 1995 | Summer 1995 | Winter 1995 | Summer 1997 | Winter 1997 |
|---|---|---|---|---|---|---|---|---|---|---|
| Merchant |
471
|
244
|
527
|
279
|
548
|
290
|
520
|
321
|
529
|
322
|
| Tanker |
77
|
66
|
73
|
76
|
74
|
77
|
72
|
84
|
71
|
84
|
| Coast Guard |
20
|
35
|
19
|
29
|
18
|
45
|
17
|
28
|
16
|
31
|
| Tug boat |
10
|
8
|
9
|
7
|
22
|
7
|
24
|
10
|
25
|
7
|
| Barge |
2
|
-
|
1
|
-
|
2
|
-
|
-
|
-
|
2
|
-
|
| War vessel |
2
|
-
|
3
|
-
|
2
|
-
|
3
|
-
|
2
|
-
|
| Others |
16
|
-
|
22
|
1
|
22
|
2
|
19
|
2
|
14
|
2
|
| Total |
598
|
353
|
654
|
392
|
688
|
421
|
655
|
445
|
659
|
446
|
1 Summer: May through November.
2 Winter: December through April.
Furthermore, Table 12 describes the type of products transferred into some of the ports near which many Barrow's Goldeneyes congregate during winter. Among the harbours in question, the port of Baie-Comeau (Baie-des-Anglais) is of particular importance, as a very large part of the eastern North American population of Barrow's Goldeneyes (up to 22.7%, Table 8) winter precisely there. Thus, in 1998, 279 ships were berthed in Baie-des-Anglais and transferred 5,048 thousand tons of merchandise. (Table 12). Most importantly, about 128 thousand tons of petroleum products were handled in Baie-des-Anglais in 1998. The port of Rimouski is also a busy port, lying in the middle of the south shore portion of the St. Lawrence Estuary where a few hundred Barrow's Goldeneyes concentrate in late fall and early spring. In 1998, 216 thousand tons of petroleum products were transferred there (Table 12). Finally, the two ports with the highest tonnage handled in the whole St. Lawrence corridor, Port-Cartier and Sept-Îles, are also located in areas where many Barrow's Goldeneyes congregate. For example, in 1992, there were 21,423 and 19,094 thousand tons of merchandise handled in Port-Cartier and Sept-Îles, respectively. There are approximately 600-700 vessels passing through each of these ports every year (St. Lawrence Centre 1996).
| Type de products | Baie-Comeau | Rimouski | La Malbaie - Pointe-au-Pic | Chaleur Bay1 |
|---|---|---|---|---|
| Petroleum products |
127.9
|
216.1
|
-
|
28.6
|
| Metals and mining products |
912.5
|
39.0
|
-
|
12.7
|
| Wood, pulp, and paper |
346.2
|
12.8
|
164.4
|
39.7
|
| Grain |
2172.7
|
-
|
-
|
-
|
| Others |
1488.7
|
17.3
|
-
|
-
|
| Total |
5048.0
|
285.2
|
164.4
|
81.0
|
| Number of vessels |
279
|
89
|
24
|
15
|
1 Chaleur Bay includes Carleton, Chandler and Paspébiac ports.
In total, 262 polluting spills have been reported along the St. Lawrence corridor and Chaleur Bay from 1975 to 1994, most of these taking place in the Gulf of St. Lawrence and along the St. Lawrence Estuary (Table 13). Some 2,655 tons of polluting products were spilled during these incidents. Obviously, this is a minimum figure, since it represents only the number of reported spills. According to the information gathered in Table 13, it seems that the frequency of spills is decreasing, since 94, 86, 53 and 29 spills were reported in the 1975-79, 1980-84, 1985-89 and 1990-94 periods, respectively. This could be due in part to the greater vigilance of ship owners and insurance companies, combined with tighter regulations and the burden of high costs for those responsible for these incidents (Claude Rivet, Environment Canada, pers. comm.).
Periods (5 years) |
Number of spills Chaleur Bay |
Number of spills St. Lawrence Estuary |
Number of spills Gulf of St. Lawrence |
Total number of spills |
Minimum tonnage spilled Chaleur Bay |
Minimum tonnage spilled St. Lawrence estuary |
Minimum tonnage spilled Gulf of St. Lawrence |
Totaltonnage spilled |
|---|---|---|---|---|---|---|---|---|
| 1975-79 |
3
|
25
|
66
|
94
|
8.7
|
74.9
|
60.5
|
144.1
|
| 1980-84 |
2
|
24
|
60
|
86
|
10.1
|
122.2
|
1585.0
|
1717.3
|
| 1985-89 |
4
|
20
|
29
|
53
|
8.6
|
401.8
|
110.8
|
521.2
|
| 1990-94 |
1
|
14
|
14
|
29
|
0.0
|
241.2
|
31.5
|
272.7
|
| Total |
10
|
83
|
169
|
262
|
27.4
|
840.1
|
1787.8
|
2655.3
|
Furthermore, Table 14 shows the information gathered on polluting spills which occurred between 1975 and 1994 in certain ports of the St. Lawrence Estuary and Gulf near which many Barrow's Goldeneyes congregate during winter. Among the ports found within the St. Lawrence Estuary, the greatest number of spills occurred at Baie-Comeau (Baie-des-Anglais) and Rimouski, with one major spill at the La Malbaie-Pointe-au-Pic wharf in the early 1980's. In Baie-Comeau (Baie-des-Anglais), more than 300 tons of polluting products were spilled from 1975 to 1994. However, most spills occur at the Gulf of St. Lawrence ports of Port-Cartier and Sept-Îles, where 74 and 35 spills respectively, occurred during that same period, and were responsible for the spreading of 461 tons of polluting products. Overall, from 1975 to 1994, there were 157 polluting spills which released a total of 887 tons of dangerous goods into the waters of the major ports next to which many Barrow's Goldeneyes congregate during winter (Table 14). Table 15 shows the type of products released during spills which occurred between 1971 and 1994 in the same ports. Bunker (A, B, and C) and Fuel Oil (Nº 1 and 2) are the two major components among the petroleum products released during polluting spills.
Overall, we believe that shipping along the St. Lawrence corridor and associated polluting spills represent a very serious potential threat to the eastern population of the Barrow's Goldeneye. Goldeneyes are particularly vulnerable to spills, according to D. Lehoux (CWS-Québec, pers. comm.), because of their gregarious nature and because they spend most of their time in the water. Although to date, no major ecological disaster has occurred along the St. Lawrence corridor, one large spill, during the winter months could have a dramatic impact on this small population, which concentrates in only a few areas. Furthermore, vessels travelling along the St. Lawrence Estuary must pass closer to the north shore (where Barrow's Goldeneyes congregate in winter) than to the south shore.
| Region | Ports | Number of spills and tonnage | 1975-79 | 1980-84 | 1985-89 | 1990-94 | Total |
|---|---|---|---|---|---|---|---|
| St. Lawrence Estuary | La Malbaie-Pointe-au-Pic | Number of spills |
1
|
2
|
1
|
0
|
4
|
| St. Lawrence Estuary | La Malbaie-Pointe-au-Pic | Tonnage spilled1 |
?
|
22.0
|
1.0
|
-
|
23.0
|
| St. Lawrence Estuary | Cap-à-l'Aigle | Number of spills |
1
|
0
|
1
|
1
|
3
|
| St. Lawrence Estuary | Cap-à-l'Aigle | Tonnage spilled1 |
0.4
|
0.0
|
5.0
|
0.4
|
5.8
|
| St. Lawrence Estuary | Rimouski | Number of spills |
3
|
3
|
5
|
2
|
13
|
| St. Lawrence Estuary | Rimouski | Tonnage spilled1 |
57.5
|
1.6
|
24.0
|
4.4
|
87.5
|
| St. Lawrence Estuary | Baie-Comeau | Number of spills |
11
|
9
|
3
|
4
|
27
|
| St. Lawrence Estuary | Baie-Comeau | Tonnage spilled1 |
3.9
|
51.1
|
22.5
|
229.2
|
306.7
|
| St. Lawrence Estuary | Godbout | Number of spills |
0
|
1
|
0
|
0
|
1
|
| St. Lawrence Estuary | Godbout | Tonnage spilled1 |
-
|
2.9
|
-
|
-
|
2.9
|
| Gulf of St. Lawrence | Port-Cartier | Number of spills |
32
|
25
|
13
|
4
|
74
|
| Gulf of St. Lawrence | Port-Cartier | Tonnage spilled1 |
27.3
|
75.2
|
16.9
|
4.0
|
123.4
|
| Gulf of St. Lawrence | Sept-Îles | Number of spills |
15
|
13
|
3
|
4
|
35
|
| Gulf of St. Lawrence | Sept-Îles | Tonnage spilled1 |
12.5
|
319.7
|
5.1
|
0.5
|
337.8
|
| Total number of spills |
63
|
53
|
26
|
15
|
157
|
||
| Total tonnage spilled1 |
101.6
|
472.5
|
74.5
|
238.5
|
887.1
|
1 This is a minimum figure.
Repercussions from the Havre-Saint-Pierre spill in March 1999, of 49 tons of Bunker C from the Gordon C. Leitch tanker, gives an idea of what could happen if a spill occurred during the winter, near areas with concentrations of Barrow's Goldeneyes. This represents the second most significant spill in the history of Québec, right after the one at the Magdalen Islands in the winter of 1981, which resulted in the death of 1,200 birds, mostly Dovekies (Alle alle) (D. Lehoux, CWS-QC, pers. comm.). At Havre-Saint-Pierre, 1,129 soiled birds were captured or found dead during the 25 days following that spill, 1,003 of which eventually died. These numbers are incomplete, since observers on land reported that several affected birds were hiding in crevices created by the ice along the shore. Indeed, based on the capture success rate, it was estimated that the minimum number of birds soiled by the spill was probably around 1,500 (D. Lehoux, CWS-QC, pers. comm.). Of course, many other birds undoubtedly went unobserved, having been killed or simply swept away by the currents or tides. It is therefore more than likely that as many as 4,000 birds actually died because of this incident (D. Lehoux, CWS-QC, pers. comm.). Most of the birds soiled were Common Eiders (Somateria mollissima, about 90%) and Black Guillemots (Cepphus grylle, about 5%). Others species mostly included Larids (Larusspp.) and in lesser proportion, Long-tailed Ducks (Clangula hyemalis), King Eiders (Somateria spectabilis), Black Ducks (Anas rubripes), Common Mergansers (Mergus merganser), and Bald Eagles (Haliaeetus leucocephalus).
| Petroleum product | St. Lawrence Estuary - North Shore: Baie-Comeau | St. Lawrence Estuary - North Shore: Cap-à-l'Aigle | St. Lawrence Estuary - North Shore: Godbout | St. Lawrence Estuary - North Shore: La Malbaie-Pointe-au-Pic | St. Lawrence Estuary - South Shore: Rimouski | Gulf of St. Lawrence: Port-Cartier | Gulf of St. Lawrence: Sept-Îles | Total |
|---|---|---|---|---|---|---|---|---|
| Asphalt/bitumen |
-
|
-
|
-
|
-
|
-
|
-
|
0,1
|
0,1
|
| Bilge |
-
|
-
|
-
|
-
|
0,9
|
5,8
|
0,2
|
7,0
|
| Bunker A, B & C |
6,1
|
-
|
-
|
1,0
|
-
|
14,5
|
329,5
|
351,1
|
| Busan 881 |
1,0
|
-
|
-
|
-
|
-
|
-
|
-
|
1,0
|
| Crude oil |
1,0
|
-
|
-
|
-
|
-
|
8,7
|
-
|
9,7
|
| Intermediate and heavy fuel oil |
12,9
|
-
|
-
|
-
|
-
|
0,7
|
-
|
13,6
|
| Lubricating oil |
0,8
|
-
|
-
|
-
|
-
|
0,0
|
4,9
|
5,7
|
| Waste oil |
0,1
|
0,4
|
-
|
-
|
1,3
|
14,8
|
0,3
|
16,9
|
| Other oil |
0,1
|
-
|
-
|
-
|
-
|
5,0
|
2,1
|
7,2
|
| Hydraulic fluid |
0,0
|
-
|
-
|
-
|
-
|
-
|
-
|
0,0
|
| Fuel oil no. 1 & 2 |
275,0
|
5,4
|
-
|
22,0
|
81,4
|
15,1
|
1,6
|
400,5
|
| Fuel no. 4.5 |
10,2
|
-
|
2,9
|
-
|
-
|
6,3
|
0,9
|
20,3
|
| Gasoline |
2,3
|
0,1
|
-
|
10,0
|
4,4
|
0,2
|
-
|
17,1
|
| Sodium hydroxide |
0,5
|
-
|
-
|
-
|
-
|
-
|
-
|
0,5
|
| Thionyl chloride |
-
|
-
|
-
|
-
|
-
|
53,0
|
-
|
53,0
|
| Total |
310,0
|
5,9
|
2,9
|
33,0
|
88,0
|
124,2
|
339,6
|
903,6
|
Moreover, although several agencies have developed emergency response plans for aquatic birds in the event of an oil spill, it has been traditionally recognized that the rehabilitation of oiled birds is a method of last resort, mainly justified by humanitarianism. For example, of the 640 birds brought to the rehabilitation centre following the spill at Havre-Saint-Pierre, only 66 were eventually released (D. Lehoux, CWS-QC, pers. comm.). This represents a success rate of only 10%. During a major spill particularly, rehabilitation teams may receive many more birds than actually can be saved. Finally, it is known that a significant proportion of released (rehabilitated) birds do not survive for long (D. Lehoux, CWS-QC, pers. comm.).
According to Daigle and Darveau (1995), the Barrow's Goldeneye has a “medium priority” cleaning priority index among aquatic birds vulnerable to oil spills in the St. Lawrence corridor. In our opinion, this classification should be re-evaluated since the species certainly warrants a “very high priority” cleaning priority index according to the information presented here.
All of the information presented here is from Loiselle et al. (1997), a thematic report prepared by the State of the Environment Section of the St. Lawrence Centre of Environment Canada, which summarizes the contamination of St. Lawrence River sediments. For more details on specific levels of contamination at certain localities (e.g. Baie-des-Anglais, Chaleur Bay), see Fortin et al.(1996) and Gagnon et al.(1997, 1998).
Sources of contamination in the St. Lawrence are various and include direct discharges of urban, industrial and agricultural effluent, as well as port operations, dredging and the dumping of dredged material. According to Loiselle et al. (1997), the sediments of some important areas used by wintering Barrow's Goldeneyes are highly contaminated. The contamination of the St. Lawrence sediments may represent an important threat to the Barrow's Goldeneyes wintering along the river corridor since molluscs, particularly blue mussels, comprise the major proportion of their salt water diet during winter (Eadie et al. 2000). Indeed, many benthic organisms, especially molluscs, tend to accumulate toxic substances in their body tissue to much higher concentrations than those found in surrounding water and sediments. The PCB (Polychlorinated Biphenyl) contamination of whelk (Buccinum sp., an omnivorous gastropod) in Baie-des-Anglais is a well documented case of bio-concentration of contaminants from sediments. Moreover, bio-magnification i.e., increase in concentration of a contaminant throughout the food chain, can also occur, as it is the case for organochlorine (e.g. PCBs and DDT) compounds (Loiselle et al. 1997).
Coastal areas of the St. Lawrence Estuary where significant numbers of Barrow's Goldeneyes winter are contaminated by heavy metals, although the degree and the extent of contamination are low in most areas. Contamination by copper and/or mercury exceeds the Threshold of Significant Contamination (TSC, which is reached when contaminant levels exceed pre-industrial values by a factor of 2.5) at La Malbaie-Pointe-au-Pic, Cap-à-l'Aigle, and Baie-des-Rochers, as well as in the Tadoussac area. Port-Cartier and Sept-Îles harbours are also both contaminated by heavy metals i.e., by copper and nickel, and by copper, mercury, chromium and lead, respectively. In particular, according to the latest information available (1987), mercury levels at Sept-îles exceed the Toxic Effect Threshold, at which 90% of benthic organisms are thought to be harmed (Gagnon et al. 1997). Moreover, the sediments of at least two other important areas for wintering Barrow's Goldeneyes are heavily contaminated. First, Baie-des-Anglais (Baie-Comeau), has the worst case of contamination by industrial discharge of PCBs and polyaromatic hydrocarbons (PAHs) of any coastal area in eastern Canada. Second, vast areas of the Chaleur Bay are heavily contaminated by mercury and cadmium (Loiselle et al.1997), among which ç Dalhousie, where most of the Barrow's Goldeneyes wintering in Chaleur Bay at times congregate.
The contamination of Baie-des-Anglais (Baie-Comeau) sediment has historically been attributed to PCB-laden discharges from an aluminum smelter's hydraulic systems, PAHs released during the electrolytic processing of aluminum, and pitch lost during transhipment. Contaminated deposits are almost 4 m thick around the docks (SNC-Lavallin 1995). Some of the contaminated sediments were dumped into the bay during maintenance dredging in the port. The dispersal of contaminated sediments following ocean dumping and their periodic re-suspension by storm waves may explain the contamination of the bay (SNC-Lavallin 1995). In 1990, most PCB and PAH concentrations in Anse du Moulin (the mouth of Baie-des-Anglais) and Baie-des-Anglais sediment exceeded the Threshold of Significant Contamination (see Table 15 in Loiselle et al. 1997 for details). The most severe contamination was found in Anse du Moulin, where maximum PCB concentrations were 70 times the NET (No Effect Threshold, which corresponds to natural background levels of a chemical substance in sediment at a site known to be free of contamination) and maximum PAH concentrations were more than 230 times pre-industrial levels. In 1990, PAH pollution exceeded the Toxic Effect Threshold (TET) almost everywhere in Anse du Moulin. Comparable PCB and PAH levels were found in a dredged material disposal site located in Baie-des-Anglais. The bay is also contaminated by mercury and lead (Loiselle et al. 1997). Preliminary results of a 1994 study confirm the extent of contamination and present estimates of the quantity of sediments contaminated by PCBs and PAH in Anse du Moulin and the adjacent part of Baie-des-Anglais. About 300,000 m3 of sediments are heavily contaminated (>TET)(SNC-Lavallin 1995). It should be noted that between 1985 and 1993, measures were taken to reduce local sources of contamination, and today PCB and PAH leaks into the environment have been almost totally eliminated (Fortin et al. 1996). In 1995, studies began on the usefulness of taking action to restore contaminated areas. The conclusions of these studies are still expected (Loiselle et al. 1997).
According to Mousseau et Armellin (1996, annexe 6), Baie-des-Anglais was the subject of numerous studies on the contamination of benthic organisms. Nevertheless, it seems that these studies aren't easily comparable and that many of them date back 20 years and do not necessarily allow us to characterize the current benthos contamination in the area. It is however worth mentioning that the blue mussel samples gathered near the Anse du Moulin (the mouth of Baie-des-Anglais) in 1984 showed total PCB contents of 0.1 to 2.9 mg/kg (damp weight, Bertrand et al. 1988 in Mousseau and Armellin 1996), the latter being clearly above the fish and seafood marketing criteria. Moreover, in 1990, blue mussels and common soft-shell clams (Mya arenaria) from the Baie-Comeau area were unfit for human consumption due to their Saxitoxin content (Huppert and Levasseur 1993 in Mousseau and Armellin 1996).
In 1984, vast areas of Chaleur Bay were contaminated by mercury and cadmium (see Table 16 in Loiselle et al. 1997 for details). The most heavily contaminated zones were located on the New Brunswick north shore off Dalhousie and Belledune. Near Dalhousie, mercury levels were 80 times higher than pre-industrial concentrations and the pollution level exceeded the TET. An effluent from a chloralkali plant in Dalhousie is the principal historical source of mercury contamination in Chaleur Bay. Furthermore, material dredged from Dalhousie harbour and dumped near the docks is likely responsible for contamination by heavy metals such as cadmium.
Although it is well know that many of the sites where Barrow's Goldeneyes from eastern North America winter are contaminated by different products, the level of contamination in the birds themselves is not known. The only two Barrow's Goldeneyes collected in Québec for analysis of contaminants did not contain high levels of chemical residues (Table 16). Still, it should be noted that the birds in question were not collected in areas recognized as being very contaminated. Evidently, it would be quite pertinent to evaluate the contamination of Barrow's Goldeneyes wintering in the Baie-des-Anglais, since they run a greater risk of being highly contaminated.
| Contaminants (mg/kg wet weight) | Baie des Rochers (#38585)1 Liver |
Baie des Rochers (#38585) Pectoral muscles |
Mitis (#52061)2 Liver |
|---|---|---|---|
| Hg (Mercury) |
1.3000
|
-
|
0.2440
|
| Se (Selenium) |
-
|
-
|
0.7255
|
| As (Arsenic) |
-
|
-
|
0.1762
|
| Cd (Cadmium) |
1.1200
|
-
|
-0.05503
|
| Pb (Lead) |
0.5100
|
-
|
-0.0350
|
| pp'DDE |
0.0205
|
0.0173
|
0.0271
|
| Oxychlordane |
0.0870
|
0.0027
|
0.0016
|
| Dieldrin |
0.0099
|
0.0043
|
-0.0005
|
| Mirex |
0.0007
|
0.0006
|
-0.0005
|
| Pentachlorobenzene |
0.0005
|
0.0004
|
-0.0005
|
| BPC |
0.0871
|
0.0706
|
0.0749
|
1 Individual collected in 1988.
2 Individual collected in 1991.
3 A negative value indicates half of the detection limit.
Barrow's Goldeneyes nest in tree cavities and require large trees because of their size. For the slightly smaller Common Goldeneye, Prince (1968) reported that 16 nests had an average interior diameter of 20.6 cm (SD = 4.1), and 4 nests recently discovered in Québec (C. Maisonneuve, Faune et Parcs Québec, pers. comm.) were in trees 38-69cm diameter at breast height. Knowing that goldeneyes prefer to nest in cavities higher than 5 m (Eadie et al. 2000), it is obvious that the presence of very large trees is important for the survival of Barrow's Goldeneyes. This may be particularly important in eastern North America (compared to Iceland), where Barrow's Goldeneyes are associated with forested areas (Robert et al. 2000).
Forest exploitation tends to reduce the number of large trees and also the average size of trees, in the long run. Logging affects goldeneyes on at least four levels: 1) by directly destroying nests during harvest operations; 2) by reducing the availability of potential nest sites; 3) by forcing goldeneyes to nest further from ponds, thus exposing young to predation on their way to the water, and 4) by rendering lakes accessible to hunters and fishers, which in turn increases disturbance to breeding birds (see below). Moreover, although this remains to be proven, logging could also affect goldeneyes by subjecting remaining nest sites to higher predation rates; for example, it is known that Pine Martens (Martes americana) actively hunt in residual patches of forest left after logging activities (even though martens are also known to hunt actively in old clearcuts with dense tree regeneration) (Potvin 1998).
In order to estimate the relative importance of breeding habitat loss, we gathered information about areas subjected to logging activities in Québec. We also looked at other factors, such as windfalls, forest epidemics, and forest fire, which could reduce the number of cavities available for nesting. The information was compiled for individual management units of the Québec Ministry of Natural Resources (QMNR) (Ministère des Ressources Naturelles du Québec), which is responsible for forest management in the province. Between 1976 et 1996, 417,153 ha (4,172 km²) of forest were logged in QMNR management units 21, 23, 33, 91, 92, 93, 94, and 95 which, together, account for much of the “core breeding area” of the eastern population of the Barrow's Goldeneye (Figure 4). Nearly all of the area affected (99%) was clear-cut.
During the same period, and in the same area, fire was responsible for the loss of another 353,942 ha (3,539 km²) of forest, epidemic for 51,519 ha (515 km²) and windfall for 5,485 ha (55 km²). Overall, according to data presented in Table 17, at least 829,346 ha (8,293 km²) of forest was lost from 1976 to 1996 in (a part of) the “core breeding area” of the eastern population of the Barrow's Goldeneye. According to P. Dubois (Forestry Engineer, Union Québécoise pour la Conservation de la Nature), this is a minimum figure because the area affected by logging is not only the one actually logged, but also includes areas indirectly affected by logging activities, like the construction of access roads.
Evidently, only a fraction (unknown) of the area lost to forest activities, fire, epidemics, and windfall should be considered as actual Barrow's Goldeneye breeding habitat. Moreover, it should be noted that the “core breeding area” of the eastern population of the Barrow's Goldeneye consists of an area of approximately 120,000 km², of which only a part (unknown, but probably small) is actually occupied by the species. Unfortunately, we do not have precise information about the actual size of the breeding area (i.e., area of occupancy, sensu COSEWIC) of the Barrow's Goldeneye in eastern North America, nor about areas covered by different forest age classes in the “core breeding area” of this population.
Figure 4. Location of the Québec Ministry of Natural Resources (QMNR) management units for which information on habitat loss is presented in Table 17, corresponding to (a part of) the “core breeding area” of the Barrow's Goldeneye in eastern North America.
According to the information obtained from the Québec Ministry of Natural Resources (Table 17), the area logged each year in the management units corresponding to the Barrow's Goldeneye “core breeding area” rose from less than 5,000 ha (50 km²) in the 1970s to nearly 50,000 ha (500 km²) in 1989. Since that time, between 30,000 ha (300 km²) and 40,000 ha (400 km²) are logged annually in the area (Figure 5). According to P. Dubois (Forestry Engineer, Union Québécoise pour la Conservation de la Nature), the north shore of the St. Lawrence corridor north of the Saguenay River will probably be logged much more actively in the near future because the forest industry is particularly interested in harvesting the black spruce growing there to produce lumber (because of its low growth rate, this spruce produces better wood). For example, since Natashquan was made accessible via the extension of highway 138 (in 1997), new forest exploitation permits have been delivered and logging activities have risen in the area (P. Dubois, pers. comm.). New permits have even been recently delivered for logging Île René-Levasseur on the Manicouagan Reservoir i.e., as far north as 51°30'N. The Québec Ministry of Natural Resources is now planning to allow the forest industry to spread their activities as far north as 56° of latitude N (see Parent 1999: 18), which nearly corresponds to the tree line.
| Unit | Management type | Year ? |
1976 | 1977 | 1978 | 1979 | 1980 | 1981 | 1982 | 1983 | 1984 | 1985 | 1986 |
|---|---|---|---|---|---|---|---|---|---|---|---|---|---|
| 21 | Logging |
519
|
89
|
120
|
194
|
314
|
191
|
116
|
550
|
4039
|
4932
|
8659
|
6255
|
| 21 | Precommercial thining |
-
|
-
|
-
|
-
|
-
|
-
|
-
|
-
|
-
|
-
|
-
|
-
|
| 21 | Windfalls |
-
|
-
|
-
|
-
|
-
|
-
|
-
|
-
|
-
|
-
|
-
|
-
|
| 21 | Epidemics |
-
|
-
|
-
|
-
|
-
|
-
|
-
|
-
|
-
|
-
|
-
|
-
|
| 21 | Fire |
-
|
-
|
-
|
-
|
-
|
-
|
-
|
-
|
-
|
-
|
-
|
-
|
| 231 | Logging |
4910
|
1454
|
1319
|
1462
|
995
|
831
|
812
|
583
|
189
|
296
|
258
|
196
|
| 23 | Precommercial thining |
-
|
-
|
-
|
-
|
-
|
-
|
-
|
-
|
-
|
-
|
-
|
-
|
| 23 | Fire |
17
|
-
|
-
|
-
|
-
|
-
|
-
|
-
|
-
|
-
|
-
|
-
|
| 331 | Logging |
140
|
56
|
40
|
-
|
-
|
-
|
1254
|
2166
|
2721
|
3196
|
3959
|
2183
|
| 33 | Windfalls |
-
|
-
|
-
|
-
|
-
|
-
|
-
|
-
|
-
|
-
|
426
|
-
|
| 33 | Epidemics |
-
|
-
|
-
|
-
|
-
|
-
|
-
|
-
|
-
|
-
|
49254
|
-
|
| 33 | Fire |
-
|
-
|
-
|
-
|
-
|
-
|
-
|
-
|
-
|
-
|
53
|
-
|
| 911 | Logging |
1810
|
259
|
314
|
15
|
349
|
420
|
822
|
276
|
169
|
887
|
6089
|
4467
|
| 91 | Epidemics |
-
|
-
|
-
|
-
|
-
|
-
|
-
|
-
|
-
|
-
|
-
|
-
|
| 91 | Fire |
-
|
-
|
-
|
-
|
-
|
-
|
-
|
-
|
-
|
-
|
-
|
-
|
| 921 | Logging |
1513
|
423
|
238
|
257
|
502
|
56
|
476
|
263
|
10
|
4
|
2
|
-
|
| 92 | Fire |
-
|
-
|
-
|
-
|
-
|
-
|
-
|
-
|
-
|
-
|
-
|
-
|
| 931 | Logging |
1531
|
47
|
782
|
449
|
682
|
374
|
502
|
1625
|
2366
|
479
|
235
|
94
|
| 93 | Epidemics |
4
|
-
|
-
|
-
|
-
|
-
|
-
|
-
|
-
|
-
|
-
|
-
|
| 93 | Fire |
-
|
-
|
-
|
-
|
-
|
-
|
-
|
-
|
-
|
-
|
-
|
-
|
| 941 | Logging |
33
|
68
|
289
|
203
|
7
|
-
|
-
|
3
|
-
|
3
|
-
|
24
|
| 94 | Windfalls |
6
|
-
|
-
|
-
|
-
|
-
|
-
|
-
|
-
|
-
|
-
|
-
|
| 94 | Fire |
-
|
-
|
-
|
-
|
-
|
-
|
-
|
-
|
-
|
-
|
-
|
-
|
| 951 | Logging |
-
|
-
|
-
|
-
|
-
|
-
|
-
|
-
|
-
|
-
|
-
|
-
|
| Unit | Management type | 1987 | 1988 | 1989 | 1990 | 1991 | 1992 | 1993 | 1994 | 1995 | 1996 | Total |
|---|---|---|---|---|---|---|---|---|---|---|---|---|
| 21 | Logging |
6660
|
5076
|
5901
|
6160
|
4758
|
5928
|
4998
|
4405
|
4337
|
3146
|
77345
|
| 21 | Precommercial thining |
-
|
-
|
-
|
-
|
-
|
-
|
-
|
-
|
80
|
50
|
130
|
| 21 | Windfalls |
-
|
-
|
222
|
-
|
11
|
-
|
-
|
-
|
-
|
-
|
233
|
| 21 | Epidemics |
-
|
4
|
-
|
-
|
-
|
-
|
-
|
-
|
-
|
-
|
2257
|
| 21 | Fire |
-
|
-
|
98
|
4159
|
1929
|
-
|
-
|
-
|
-
|
-
|
6293
|
| 23 | Logging |
2290
|
6957
|
6031
|
6233
|
3425
|
4151
|
6253
|
5861
|
8614
|
10058
|
73178
|
| 23 | Precommercial thining |
-
|
-
|
-
|
-
|
-
|
-
|
-
|
-
|
86
|
229
|
315
|
| 23 | Fire |
-
|
-
|
92
|
-
|
2319
|
-
|
-
|
-
|
86
|
10860
|
13374
|
| 33 | Logging |
2808
|
2440
|
2362
|
1200
|
520
|
1245
|
1784
|
-
|
-
|
-
|
28074
|
| 33 | Windfalls |
-
|
-
|
-
|
-
|
-
|
-
|
-
|
2216
|
-
|
-
|
2642
|
| 33 | Epidemics |
-
|
-
|
-
|
-
|
-
|
-
|
-
|
-
|
-
|
-
|
49254
|
| 33 | Fire |
-
|
-
|
21
|
-
|
6086
|
-
|
-
|
-
|
-
|
-
|
6160
|
| 91 | Logging |
7027
|
10915
|
8171
|
5407
|
4218
|
3663
|
4661
|
5863
|
1788
|
967
|
68695
|
| 91 | Epidemics |
4
|
-
|
-
|
-
|
-
|
-
|
-
|
-
|
-
|
-
|
4
|
| 91 | Fire |
-
|
-
|
-
|
-
|
55091
|
-
|
-
|
-
|
-
|
-
|
55091
|
| 92 | Logging |
172
|
298
|
1306
|
411
|
2685
|
2632
|
2617
|
6265
|
9097
|
7633
|
36860
|
| 92 | Fire |
489
|
-
|
-
|
2347
|
107048
|
26
|
-
|
-
|
-
|
-
|
109910
|
| 93 | Logging |
9504
|
13222
|
15525
|
6718
|
10399
|
6688
|
8128
|
8584
|
13004
|
11131
|
112069
|
| 93 | Epidemics |
-
|
-
|
-
|
-
|
-
|
-
|
-
|
-
|
-
|
-
|
4
|
| 93 | Fire |
-
|
223
|
574
|
2998
|
117309
|
-
|
-
|
352
|
73
|
41548
|
163077
|
| 94 | Logging |
1301
|
2160
|
3364
|
1142
|
157
|
113
|
-
|
2059
|
5426
|
3603
|
19955
|
| 94 | Windfalls |
-
|
-
|
-
|
-
|
-
|
-
|
-
|
-
|
883
|
1721
|
2610
|
| 94 | Fire |
-
|
-
|
-
|
-
|
-
|
-
|
-
|
-
|
37
|
-
|
37
|
| 95 | Logging |
-
|
-
|
184
|
110
|
-
|
-
|
-
|
-
|
266
|
417
|
977
|
| All | Logging |
-
|
-
|
-
|
-
|
-
|
-
|
-
|
-
|
-
|
-
|
417153
|
| All | Precommercial thining |
-
|
-
|
-
|
-
|
-
|
-
|
-
|
-
|
-
|
-
|
445
|
| All | Windfalls |
-
|
-
|
-
|
-
|
-
|
-
|
-
|
-
|
-
|
-
|
5485
|
| All | Epidemics |
-
|
-
|
-
|
-
|
-
|
-
|
-
|
-
|
-
|
-
|
51519
|
| All | Fire |
-
|
-
|
-
|
-
|
-
|
-
|
-
|
-
|
-
|
-
|
353942
|
| All | Total |
-
|
-
|
-
|
-
|
-
|
-
|
-
|
-
|
-
|
-
|
829346
|
1 In some cases, the year of photo-interpretation was considered as the year the disturbance occurred. This may have caused some
slight errors
Figure 5. Total area logged each year from 1976 to 1996 in Québec Ministry of Natural Resources' management units corresponding to (a part of) the "core breeding area" of the Barrow's Goldeneye in eastern North America
It should also be stressed that white birch (Courteau et al. 1997), trembling aspen (Populus tremuloides), and yellow birch (Betula alleghaniensis) are among the species which grow large enough to provide nest cavities for the Common Goldeneye in the boreal forest. White birch is an important component of the balsam fir boreal forest, which corresponds in part to the "core breeding area" of the Barrow's Goldeneye identified by Robert et al. (2000). White birch is not always harvested during logging activities; demand for it varies locally (M. Darveau and P. Dubois, pers. comm.). Nevertheless, the harvest of deciduous trees (in particular white birch and trembling aspen) has increased considerably in the 1990s (M. Darveau, pers. comm.) and the most sought-after trees are the largest ones, at least in the case of the white birch (P. Dubois, pers. comm.). According to the information obtained from the Québec Ministry of Natural Resources, the volume of deciduous forests harvested each year in the Province of Québec doubled from the mid-1980s to the mid-1990s, and was about 5 million m³ in 1995-1996 (compared to about 27 million m³ of conifer forests, see Parent 1999: 83). Moreover, even though birch is not always harvested when encountered, these trees usually decay rapidly once the surrounding conifers have been removed. The dead trees fall to the ground after a few decades.
It should also be noted that the riparian corridors surrounding the lakes in harvested areas are not protected integrally. This could be detrimental to goldeneyes as they tend to nest close to the lakeshore whenever they can (Johnson 1967). Under the terms of Québec's forest regulations(Règlement sur les normes d'intervention dans les forêts du domaine public; Loi sur les forêts), forest companies must preserve a riparian corridor of only 20 m around lakes and other permanent water bodies. When harvesting operations occur adjacent to a riparian corridor, when the slope of the riparian zone is <40% and when forest cover density is >60%, forest companies must harvest uniformly 1/3 of the trees with a diameter e10 cm (at 30 cm height) in the 20 m riparian corridor. Thus, according to current regulations, 1/3 of the trees adjacent to lakes (within 20 m) are harvested in areas where harvesting operations occur.
Furthermore, most of the forest harvested in the last 25 years on the north shore of the St. Lawrence Estuary and Gulf (i.e., in the Barrow's Goldeneye "core breeding area") was mature, old-growth forest that had never been harvested before. According to Chartrand (1999), nearly half of the forest area being cut today on Québec's North Shore dates to before 1759. In our belief, these old-growth forests likely contained a greater proportion of large trees (trees suitable for nesting goldeneyes) than will be present in the new forest which will regrow over the next few decades, and which will be cut at a much younger age.
At present, it is permitted to hunt Barrow's Goldeneyes in the same way as other ducks in all of eastern Canada (i.e., in Labrador, Newfoundland, Prince Edward Island, Nova Scotia, and New Brunswick, where the daily bag and possession limits are 6 and 12, respectively) except in Québec, where special regulations have been implemented to reduce harvest. The establishment of special hunting regulations for protecting Barrow's Goldeneyes is all the more justified (where they regularly occur in significant numbers) as the species is more susceptible to hunters than Common Goldeneyes, mainly for three reasons: it feeds closer to shore than its congener, it decoys more readily, and it often occurs in denser flocks in a few specific areas.
Since 1995, the hunting season for goldeneyes has closed by mid-November in Québec's District E, which corresponds to the portion of the St. Lawrence corridor from Saint-Siméon to Port-Cartier on the north shore, from Rivière-du-Loup to the eastern tip of Gaspé Peninsula on the south shore, as well as in Chaleur Bay (Baie des Chaleurs). Important areas for wintering Barrow's Goldeneyes within District E include Baie-des-Rochers, Tadoussac, Baie-des-Anglais (Baie-Comeau), Franquelin-Mistassini, Mitis, and Les Boules. Moreover, no more than a total of three goldeneyes (including Buffleheads) daily can be taken anywhere in Québec (compared to six for other ducks), with a possession limit of six in District E (compared to 12 elsewhere). Also, in Québec, a new "no-hunting area" was established in 1999 to protect Barrow's Goldeneyes wintering in Bic Provincial Park (near Rimouski on the south shore of the St. Lawrence), particularly in Baie du Ha! Ha! and Anse à Mercier (P. Brousseau, CWS, pers. comm.). In addition, the only important wintering area for Barrow's Goldeneyes in New Brunswick i.e., Dalhousie, is closed to hunting (M. Bateman, pers. comm.). There are no special hunting restrictions for Barrow's Goldeneyes in Maine nor elsewhere in the eastern United States, in either the Atlantic or Mississippi Flyways. This means that one can take up to six Barrow's Goldeneyes daily within a 60-day hunting season in both Flyways (G. Haas,United States Fish and Wildlife Service (USFWS), pers. comm.).
Although special regulations have been implemented in Québec's District E, it should be noted that important concentration areas for Barrow's Goldeneyes are located in hunting districts where no special regulations apply. This is the case of the La Malbaie-Pointe-au-Pic area (including Cap-à-l'Aigle), located in District F (although we do not know whether this particular area is actually hunted regularly). Moreover, many Barrow's Goldeneyes are already established along the St. Lawrence corridor in October (see Larivée 1993, David 1996) and a significant proportion of the harvest apparently occurs in October (Savard and Dupuis 1999) i.e., before the closure of the goldeneye hunting season in District E.
Between 1968 and 1998, 475 Barrow's Goldeneye wings were returned by Ontario, Québec and Atlantic Province hunters in the National Harvest Survey. According to Table 18, most Barrow's Goldeneyes were harvested in Québec (59,6%) and New Brunswick (21,3%), with the remaining kills distributed among Nova Scotia (7,4%), Newfoundland (5,9%), Ontario (4,6%) and Prince Edward Island (1,3%). One must be careful, however, when comparing the proportion of wings returned between provinces, because of inter-province differences in sampling intensity (H. Lévesque, CWS-NRC-Hull, pers. comm.). Based on the wings received from Québec hunters, more young (58,8%; 144/245) were killed than adults (41,2%; 101/245), and among adults an equal proportion of males (49,5%) and females (50,5%) were killed. The situation is quite different in New Brunswick, where 70,5% (62/88) of Barrow's Goldeneyes harvested were adults and 29,5% (26/88) were immature (Table 18).
| Province | Adult male | Immature male | Unknown male | Adult female | Immature female | Unknown female | Adult unknown sex | Immature unknown sex | Unknown | Total |
|---|---|---|---|---|---|---|---|---|---|---|
| Québec |
50
|
67
|
5
|
51
|
52
|
2
|
0
|
25
|
31
|
283
|
| New-Brunswick |
43
|
13
|
0
|
18
|
9
|
1
|
1
|
4
|
12
|
101
|
| Nova Scotia |
7
|
4
|
0
|
11
|
2
|
0
|
0
|
4
|
7
|
35
|
| Ontario |
4
|
3
|
1
|
5
|
6
|
0
|
0
|
0
|
3
|
22
|
| Newfoundland |
2
|
15
|
0
|
2
|
4
|
0
|
0
|
3
|
2
|
28
|
| Prince Edward Is. |
4
|
0
|
0
|
2
|
0
|
0
|
0
|
0
|
0
|
6
|
| Total |
110
|
102
|
6
|
89
|
73
|
3
|
1
|
36
|
55
|
475
|
Figure 6 shows the number of Barrow's Goldeneye wings returned each year by waterfowl hunters of eastern Canada for the CWS National Harvest Survey. Between 3 (1996) and 36 (1972) wings were returned annually from 1968 to 1998 (mean = 15.3, SD = 8.8). Thus, Barrow's Goldeneyes have been detected in the harvest since the early years, and have been subject to a steady low level of harvest. Unfortunately, the number of Barrow's Goldeneye wings returned each year is too low to accurately estimate the total number of individuals harvested in eastern Canada. Moreover, harvest estimates calculated on such small samples can be influenced disproportionately when a few specialised hunters are among the hunters randomly selected to participate in the National Harvest Survey during a given year (H. Lévesque, CWS-NRC-Hull, pers. comm.; see also Appendix II in Gauthier and Aubry 1996). Overall, we believe that a few hundred (100-400) Barrow's Goldeneyes are probably harvested each year in eastern Canada, and that most of these birds are probably killed in Québec along the St. Lawrence Estuary and Gulf. Evidently, this is an "educated guess", and in our opinion, there should be a particular effort (e.g. special goldeneye harvest survey) to obtain valid estimates of the number of Barrow's Goldeneyes harvested in eastern Canada each year.
The total harvest of Barrow's Goldeneyes in the Atlantic Flyway U.S. states is apparently very small in comparison to the harvest in eastern Canada (G. Haas, USFWS, pers. comm.). For 1996, five wings were received in the Atlantic Flyway and the harvest was estimated at 360 birds (Letter from G. Haas, USFWS, to G. Joder, Biodiversity Legal Foundation, February 19, 1998). However, as is in eastern Canada, the number of Barrow's Goldeneye wings returned each year is too low to accurately estimate the number of individuals harvested. In our opinion, the number of Barrow's Goldeneyes actually harvested each year in the eastern U.S. is probably much lower than the 1996 estimate, and is likely negligible.
Figure 6. Number of Barrow's Goldeneye wings returned each year by waterfowl hunters of eastern Canada for the CWS National Harvest Survey, 1968-1998 (Hélène Lévesque, CWS-NRC-Hull).
In summary, although the absolute number of Barrow's Goldeneyes harvested each fall in eastern North America can not be specified, the fact that a few hundred are probably killed yearly may constitute a threat to such a small population. Recent modeling exercises have indicated that harvest of adult birds has a great impact on long-lived birds with small reproductive potential such as goldeneyes (Goudie et al.1994).
It is possible that a certain number of male Barrow's Goldeneyes may be killed each year on their moulting grounds, which are situated on the coasts of Hudson, Ungava, and Frobisher Bays, and Labrador (Figure 1). Indeed, all known moulting areas of male Barrow's Goldeneyes are in northern Canada, where subsistence harvest by native people is permitted year round. However, even though subsistence harvest by native people may potentially represent a serious threat to moulting Barrow's Goldeneyes, which become flightless and thus highly vulnerable during a few weeks each summer, it is unlikely that this is the case. This is because native people apparently do not regularly harvest goldeneyes.
Among bird species harvested by northern Québec Inui's in 1979 and 1980, Canada Goose (Branta canadensis), Snow Goose (Chen caerulescens), and Common Eider were by far the most common catches. Other birds (murres, scoters, loons, pintails, guillemots, and mergansers) were also harvested, but to a much lesser extent (about 10 times less), and no goldeneyes were reported (James Bay and Northern Québec Native Harvesting Research Committee 1982). Moreover, from 1976 to 1980, hunters from Tasiujaq (at the mouth of Baie des Feuilles, Ungava Bay, where many goldeneyes probably gather for moulting) harvested 6,656 duck eggs, 2,027 Brant Geese (Branta bernicla) and ducks, 1,244 Canada Geese, 288 alcids (murres and guillemots), and a few Snow Geese and loons (James Bay and Northern Québec Native Harvesting Research Committee 1988). Species identified in the "duck category" did not include any goldeneyes (but rather Anasspp., Somateriaspp.,Melanitta perspicillata, and Mergus spp.). This, we believe, does not necessarily mean that no goldeneyes were harvested, but the data indicate that goldeneyes are apparently not among the duck species (regularly and) traditionally harvested by northern Québec Inuits.
Although it has not yet been confirmed in eastern North America, it is quite probable that Barrow's Goldeneyes prefer lakes with reduced or absent fish populations. This is true in western Canada (Eadie et al. 2000) and supported by their preference for small headwater lakes in Québec (Robert et al. 2000, CWS-QC unpublished data). Fish selectively prey on the larger individuals of the plankton community and tend to either eliminate them, reduce their numbers, or cause them to mature at a smaller size (Pope et al. 1973, Pope and Carter 1975). Common Goldeneyes tend to avoid lakes where the availability of suitable aquatic insects is reduced because of high predation pressure from fish (Ericksson 1983, McNicol and Wayland 1992). Moreover, the availability of brood-rearing lakes with sufficient invertebrate prey is known to be an important factor influencing Common Goldeneye overland brood movements (and thus the risk of mortality) and survival (Eriksson 1978, Wayland and McNicol 1994). Food abundance is also known to influence Barrow's Goldeneye brood distribution in Iceland (Einarsson 1988). Thus, introduction of fish into originally fishless lakes probably reduces their quality for breeding Barrow's Goldeneyes.
The breeding area of Barrow's Goldeneyes in Québec covers many ZECs (Controlled Hunting Zones or Zones d'Exploitation Contrôlée), Wildlife Reserves (Réserves fauniques) and outfitter establishments (pourvoiries) which are areas managed mainly for fishing and hunting activities (in addition to logging). It is well known that there are considerable efforts made by the Québec Government (Faune et Parcs Québec), in association with ZEC and outfitter managers, to introduce brook trout (Salvelinus fontinalis) into many lakes. These previously fishless and inaccessible lakes have been made accessible by the construction of roads for logging activities. For example, many previously fishless lakes in ZEC Chauvin, where all Barrow's Goldeneye broods discovered to date in eastern North America were observed in 1998 and 1999, have had trout introduced in recent decades. Of 67 lakes that were originally fishless, 42 (63%) had trout introduced between 1981 and 1997, and all others that have potential for trout will be "stocked" in the near future (J. Tanguay, pers. comm.). It should be pointed out that ZEC Chauvin is not unique and a similar situation exists in all ZECs (J. Tanguay, pers. comm.), Wildlife Reserves, and outfitter establishments in Québec. There are about 100 such areas (including 2 Wildlife Reserves and 17 ZECs) in the area corresponding more or less to the "core breeding area" of the Barrow's Goldeneye in Québec.
In addition to reducing habitat quality by introducing fish, disturbance of nests by fishermen may increase desertion and disturbance of broods may increase duckling mortality through an increased susceptibility to predation and to aggressive interactions by other broods. In Québec, the peak of trout fishing activity occurs in June, which corresponds to the time Barrow's Goldeneye females are incubating. It is permitted to fish brook trout through until early September i.e., during the brood rearing period for the species. To date, most lakes known to be used by Barrow's Goldeneyes in ZEC Chauvin are also used by fishermen (C. Marcotte and M. Robert, pers. obs.).
Most of the eastern population of Barrow's Goldeneyes is concentrated in a few areas of the St. Lawrence corridor. Commercial exploitation of these coastal areas may affect goldeneyes. For example, the aquaculture industry could monopolise areas and/or pollute them. Commercial harvest of various products (e.g. algea, sea urchins) could alter the ecosystem. Birds could also become entangled in gill nets associated with local fisheries. Recreational boating may create disturbances that would restrict the use of these areas. Crustacean fisheries could affect food resources. Hydro-electric development which increases, reduces or eliminates the water flow of rivers emptying into the St. Lawrence could modify some coastal habitats. All these activities represent potential threats for the small Barrow's Goldeneye population of eastern North America. Unfortunately, we do not have precise information about activities that are currently affecting goldeneyes along the St. Lawrence corridor or elsewhere in northern Québec and Labrador. We do know that there is commercial harvesting of sea urchins in Bic Provincial Park, where many Barrow's Goldeneyes congregate in late fall and early spring.
Barrow's Goldeneye have the same world wide distribution as Harlequin Ducks, which suggests that both species had similar glaciation refugia. They both provide an example of speciation in progress. Eastern populations are isolated from western ones and it is quite likely that the eastern North American population is also isolated from the Icelandic population. The eastern population of Barrow's Goldeneyes is thus important from a conservation point of view since it probably diverges genetically from other populations and as Lesica and Allendorf (1995) point out, the long-term conservation of species is likely to depend upon the protection of genetically distinct populations.
In fall, winter and spring, Barrow's Goldeneyes forage close to shore, so people may observe them quite easily. Few sea duck species forage as close to shore as Barrow's Goldeneyes do. They provide excellent observational opportunities for bird-watchers. Indeed, the eastern population of Barrow's Goldeneye is an asset for the bird-watcher community, attracting birders each year to the St. Lawrence Estuary (see Savard and Robert 1997, Lachance and Robert 1999). Evidently, loss of this population would be of great importance since the species would no longer be represented in eastern North America.
Until recently, the eastern population of Barrow's Goldeneye was fairly heavily exploited by hunters. In the few areas where the species wintered in abundance, they were part of the hunting tradition with decoys being made in their image (Savard and Dupuis 1999). They still are a quite popular hunted species locally. Because of their relatively low abundance and attractive plumage, Barrow's Goldeneye drakes are also quite prized by aviculturists. They are also among the few waterfowl species that nest in tree cavities and that can be potentially managed successfully.
Finally, Barrow's Goldeneyes represent an important proportion (>20%) of the wintering waterfowl population of the St. Lawrence estuary and in some local areas represent >80% of the wintering waterfowl (Savard 1990).
The Barrow's Goldeneye is protected (in Canada and the United States) under the Migratory Birds Convention Act and accompanying regulations pertaining to hunting (Government of Canada 1989). Barrow's Goldeneyes can be hunted in the same way as other duck species in all of eastern Canada (except in Québec, where there are special regulations, and at Dalhousie, the only important wintering area in New Brunswick), where the daily bag and possession limits are 6 and 12, respectively. See Hunting in the Limiting factors and threats section for more details on hunting regulations.
The Atlantic Canada Conservation Data Centre has assessed the conservation status of wintering populations of Barrow's Goldeneye as S2N in both New Brunswick and Prince Edward Island, S1N in Nova Scotia, S1?N in insular Newfoundland and S1S2 in Labrador, using the ranking system of The Nature Conservancy (Kate Bredin, pers. comm.). The Nature Conservancy ranks species at global (G), national (N) and sub-national (S) or provincial levels. S1 and S2 mean that the species is very rare and rare, respectively, throughout its range in the province. Both a question mark after the SRANK and a range of values for the SRANK (e.g. S1S2) denote uncertainty about the exact status of the species. An N after the SRANK signifies that the status applies to a non-breeding population and ?N that there is uncertainty about the species' breeding status in the province. In Ontario, the Barrow's Goldeneye is listed SZN, SZ meaning “zero occurrence”.
The Québec Nature Conservancy Data Center (Centre de données sur le patrimoine naturel du Québec, Faune et Parcs Québec) is now revising all bird ranks and plans to classify the Barrow's Goldeneye S3B, meaning that it is a “rare or uncommon” breeder in the province (A. Desrosiers, pers. comm.). Faune et Parcs Québec is also revising the Liste des espèces de la faune vertébrée menacées ou vulnérables susceptibles d'être ainsi désignées (List of Species Likely to be Designated Threatened or Vulnerable under Québec's Loi sur les espèces menacées ou vulnérables)(Gazette officielle du Québec 1993), on which the Barrow's Goldeneye should soon be listed (M. Huot, pers. comm.).
We estimate that there are about 1,400 breeding pairs of Barrow's Goldeneyes in eastern North America, corresponding to a total population of about 4,500 individuals. Most of these pairs probably breed on the high plateaux of interior Québec, north of the St. Lawrence Estuary and Gulf. Breeding in northern Labrador, as suggested in a few well-known reference books has not been confirmed and needs to be better documented in view of recent findings. Known moulting sites (of adult males) in eastern North America include the coastal waters of Hudson, Ungava, and Frobisher Bays (Baffin Island), as well as a few coastal inlets of northern Labrador. According to current knowledge, nearly all Barrow's Goldeneyes of eastern North America winter in Québec, mainly along the St. Lawrence Estuary and, to a lesser extent, along the Gulf of St. Lawrence. A few hundred individuals winter in the Maritime Provinces and in Maine.
This small population faces threats, on its wintering as well as on its breeding grounds. During late fall, winter and early spring, large proportions of the population congregate in a few areas along the St. Lawrence corridor, which is a very important waterway for shipping. Evidently, a single oil spill could have a significant impact on this small population. Sea ducks are particularly vulnerable to oil spills, since they are gregarious and spend most of their time in the water during the winter. In other respects, the contamination of the sediments of important wintering areas could affect Barrow's Goldeneyes that congregate there. For example, Baie-des-Anglais (Baie-Comeau), where up to 23% of the population winters, has the worst case of contamination by industrial discharge of PCBs and PAHs of any coastal area in eastern Canada. Other threats during the non-breeding season include hunting, at least in areas where the species regularly occurs in significant numbers. The number of Barrow's Goldeneyes harvested each fall in eastern North America is low (probably 100-400 individuals) but even a small continuous harvest could have a significant impact on such a small population, particularly if adults are harvested.
Barrow's Goldeneyes also face threats on their breeding grounds. Forest exploitation is certainly an important one. Logging affects goldeneyes by directly destroying nests during harvesting operations, by reducing the availability of potential nest sites, by forcing goldeneyes to nest further from ponds, exposing young to predation on their way to the water, and by rendering lakes accessible to hunters and fishermen, which increases disturbance to breeding birds. Logging was responsible for the loss of at least 4,172 km² of forests between 1976 and 1996 in what is considered to be the “core breeding area” of the eastern population of the Barrow's Goldeneye. Moreover, the north shore of the St. Lawrence, north of the Saguenay River, will probably be logged much more intensively in the near future (the area logged each year in the “core breeding area” of the species was less than 50 km² in the 1970s and now varies between 300 km² and 400 km²). It should also be noted that white birch and trembling aspen, which account for a significant proportion of the trees growing large enough to provide nest cavities for goldeneyes, are now harvested in many areas, which was not the case a few years ago. In other respects, logging activities have made accessible many areas to fishermen and hunters; many lakes that were originally fishless have now been stocked with brook trout, and there are indications that the presence of these fish may reduce the quality of lakes for the Barrow's Goldeneye.
We do not have precise data to document a trend (negative or positive) in the population of the Barrow's Goldeneye. Nevertheless, we believe (infer) that it has probably declined during the XXth Century and that it could still be declining. This is mainly due to logging and other human activities, such as fish stocking, that have taken place in the “core breeding area” of the population, and that have increased in recent decades.
The eastern population of Barrow's Goldeneyes is clearly not facing imminent extirpation (so Endangered status is not warranted). However, a single oil spill along the St. Lawrence Estuary could result in the loss of a significant proportion of the population. We believe that the winter concentration of such a small population (and the associated threats) make it highly vulnerable and that considerable (human-induced) pressure on the Barrow's Goldeneye's known breeding habitats represent the key limiting factors to the population's survival. In our opinion, the eastern population of the Barrow's Goldeneye is clearly at risk from the presence of disturbances or imminent threats from development (cf. COSEWIC guidelines), and could therefore be classified as Threatened. However, as stated earlier, we do not have precise data to document a negative trend, and we do not know whether or not (or necessarily believe that) the eastern population of Barrow's Goldeneyes will likely become endangered (i.e., will likely face imminent extirpation or extinction) if limiting factors are not reversed. Because of this, it could also be classified as Vulnerable i.e., as a population of special concern because of characteristics that make it particularly sensitive to human activities or natural events.
If we were to apply the International Union for Conservation of Nature and Natural Resources (IUCN) criteria to the eastern population of the Barrow's Goldeneye, we would classify it as Vulnerable because we infer that it has probably declined during the XXthCentury and that it could still be declining, because the total breeding population is less than 10,000 individuals, and because all of the individuals are probably part of a single population (Criterion C). It should be stressed that the Vulnerable category under IUCN criteria corresponds to a COSEWIC designation of Threatened (C. Hyslop, COSEWIC-Hull, pers. comm.).
Extent of occurrence : approximately 125,000 km²
Area of occupancy : unknown (but much less than the extent of occurrence)
Total number of individuals in the eastern Canadian population : 4,500
Number of mature individuals in the eastern Canadian population : 1,400 pairs
Generation time : first breeding at 2 years of age
Population trend : unknown (could be declining)
Rate of population decline : unknown
Number of sub-populations : unknown (probably 0)
Is the population fragmented ? unknown (probably not)
Number of individuals in each sub-population : unknown
Number of extant sites : unknown
Number of historic sites from which the species has been extirpated : unknown
Does the species undergo fluctuations ? unknown
Non-breeding season : Large proportions of the population congregate in a few areas along the St. Lawrence corridor, which is a very important waterway for shipping. A single oil spill could have a significant impact on this small population. Contamination of the sediments of important wintering areas could affect birds that congregate there. For example, Baie-des-Anglais (Baie-Comeau), where up to 23% of the population winters, has the worst case of contamination by industrial discharge of PCBs and PAHs (Polyaromatic Hydrocarbons) of any coastal area in eastern Canada. Other threats during the non-breeding season include hunting. The number of Barrow's Goldeneyes harvested each fall in eastern North America is low (probably 100-400 individuals) but even a small continuous harvest could have a significant impact on such a small population, particularly if adults are harvested.
Breeding season : Forest exploitation presents an important threat. Logging affects goldeneyes by directly destroying nests during harvesting operations, by reducing the availability of potential nest sites, by forcing goldeneyes to nest further from ponds, exposing young to predation on their way to the water, and by rendering lakes accessible to hunters and fishermen, which increases disturbance to breeding birds. Logging was responsible for the loss of at least 4,172 km² of forests between 1976 and 1996 in what is considered to be the “core breeding area” of the eastern population of the Barrow's Goldeneye. Moreover, the north shore of the St. Lawrence, north of the Saguenay River, will probably be logged much more intensively in the near future. It should also be noted that white birch and trembling aspen, which account for a significant proportion of the trees growing large enough to provide nest cavities for goldeneyes, are now harvested in many areas, which was not the case a few years ago. Logging activities have also made many areas accessible to fishermen and hunters; lakes that were originally fishless have now been stocked with brook trout, and there are indications that the presence of these fish may reduce the quality of lakes for the Barrow's Goldeneye. Moreover, disturbance of nests by fishermen may increase desertion and disturbance of broods may increase duckling mortality though an increased susceptibility to predation.
Does the species exist outside Canada? Yes
Is immigration known or possible? Unknown, and probably not possible
Would individuals from the nearest foreign population be adapted to survive in Canada? Unknown (probably)
Would sufficient suitable habitat be available for immigrants? Unknown (probably)
To be completed by the SSG chair after the species has been considered by COSEWIC.
The preparation of this status report was made possible with the financial support of the Canadian Wildlife Service (Québec Region) and Canadian Wildlife Service (Headquarters), Environment Canada; we thank Pierre Laporte (Endangered Species Division, CWS-QC), Colleen Hyslop (CWS-Hull, COSEWIC) and Gilles Seutin (McGill University, COSEWIC) for funding. Many people from Canadian Wildlife Service (Québec Region) contributed to this status report: Christian Marcotte organised data collected on Québec's Barrow's Goldeneye population during the past two years. Michel Melançon and Léo-Guy de Repentigny graciously accepted to produce figures 1-figure3, and figure4, respectively. Marcelle Grenier helped with satellite imagery information. Daniel Bordage provided data on the Barrow's Goldeneye from BDJVsurveys and participated in some interesting discussions on Barrow's Goldeneyes distribution and numbers. Denis Lehoux provided us with detailed information concerning the repercussions from the Havre-Saint-Pierre oil spill in March 1999. Pierre Brousseau provided details about hunting regulations and Jean Rodrigue about contaminant analysis. Jacques Leclerc provided information on St. Lawrence substrate types, and François Shaffer made comments on an earlier draft of this report. Finally, Ilona Mackey translated important sections of the report and Jack Hughes revised the final English version of the report. We express our sincere appreciation to all these people. We also thank D. Amirault, M. Bateman, K. Bredin, P. Brousseau, R. Curley, R. Dibblee, P. Dupuis, M. Gosselin, G. Haas, P. Laporte, D. Lehoux, H. Lévesque, and C. Maisonneuve who provided comments on an earlier version of the report.
We are also grateful to the following people, who provided important information for the completion of the status report:
Myrtle Bateman (Canadian Wildlife Service, Sackville, NB); Dominic Bourget (M.Sc. student, Université du Québec à Rimouski, Rimouski, QC); Kate Bredin (Atlantic Canada Conservation Data Centre, Canadian Wildlife Service, Sackville, NB); Hélène Crépeau (Département de mathématiques et de statistique, Université Laval, Sainte-Foy, QC); Gérard Cyr (Club d'ornithologie de la Manicouagan); Marcel Darveau (ing.f., Centre de recherche en biologie forestière, Université Laval, Sainte-Foy, QC); Alain Desrosiers (Faune et Parcs Québec, Québec, QC); Pierre Dubois (ing.f., Union Québécoise pour la Conservation de la Nature, Québec, Québec, QC); Pierre Fradette (Club des ornithologues du Bas-Saint-Laurent); Yvon Hamel (Club des ornithologues de Québec); George Hass (Northeast Region, U.S. Fish and Wildlife Service, MA); Michel Huot (Faune et Parcs Québec, Québec, QC); Thomas Hodgman (Maine Department of Inland Fisheries and Wildlife, MA); Jacques Larivée (ÉPOQ database, Association québécoise des groupes d'ornithologues); Alain Latreille (Environment Canada, Montréal, QC); Denis Lefaivre (Maurice-Lamontage Institute, Department of Fisheries and Oceans Canada, Québec, QC); Robin Lefrançois (Ministère des Ressources naturelles du Québec, Sainte-Foy, QC); Hélène Lévesque (National Wildlife Research Centre, Environment Canada, Hull, QC); Gilles Lupien (Faune et Parcs Québec, Jonquière, QC); Charles Maisonneuve (Faune et Parcs Québec, Québec, QC); Lucie Pagé (Department of Fisheries and Oceans Canada, Québec, QC); Claude Rivet (Environment Canada, Montréal, QC); François Potvin (Faune et Parcs Québec, Québec, QC); Jean Tanguay (Faune et Parcs Québec, Jonquière, QC); Gaétan Thibault (Transport Canada, Québec, QC); Pierre Tremblay (Boisaco inc., QC);
Finally, the authors would like to thank the Canadian Wildlife Service, the U.S. Fish and Wildlife Service, Hydro-Québec and Parks Canada for their financial contributions to the ongoing study of the eastern population of the Barrow's Goldeneye.
Michel Robert completed his B.Sc. and M.Sc. at the Université de Montréal, where his thesis dealt with the night feeding habits of shorebirds wintering in Venezuela. Since then he has worked on a variety of projects as an ornithologist, first as a consultant (1986-1995), now as an employee of the Canadian Wildlife Service (since 1995). Most of his work has focused on rare and endangered birds in Québec, such as the Wild Turkey (1988), the Loggerhead Shrike (1990-91), and the Yellow Rail (1993-1996). In 1989, he produced the technical report “The Threatened Birds of Québec”, a comprehensive status determination of all the birds of Québec. He develops and coordinates conservation and research projects for rare and endangered birds for the Canadian Wildlife Service, in Sainte-Foy. He is currently coordinating a study on the eastern population of the Barrow's Goldeneye. Michel is also the director of the ornithological quarterly QuébecOiseaux. Current address: Canadian Wildlife Service, 1141 Route de l'Église, P.O. Box 10100, Sainte-Foy, Québec G1V 4H5. E-Mail: michel.robert@ec.gc.ca
Réjean Benoit completed his B.Sc. at the Université du Québec at Montréal (UQAM) and his M.Sc. at the Université de Montréal. His Master's thesis dealt with the ecology of nesting Great Blue Herons in a non-tidal environment. Before and after his graduate studies, as a CWS-QC collaborator or as a private consultant, Réjean has worked on different projects related to bird ecology in Mexico, Dominican Republic, United States (New Mexico) and Québec. In northern Québec specifically, his work, from 1990 to 1995, focused on duck populations and their use of the James Bay coastal and lowland habitats. Recently, as a Research Associate at the University of Wisconsin-Madison, he worked on a comprehensive study of the Chihuahuan desert terrestrial bird community. Current address: Canadian Wildlife Service, 1141 Route de l'Église, P.O. Box 10100, Sainte-Foy, Québec G1V 4H5. E-Mail: rejean.benoit@ec.gc.ca
Jean-Pierre L. Savard is a Research Scientist for the Canadian Wildlife Service (CWS) in Québec. He holds a Bachelor's degree from Université Laval, Québec, an M.Sc. from the University of Toronto, Ontario, and a Ph.D. from the University of British Columbia. He spent 14 years with the CWS in British Columbia, where he studied the distribution and ecology of moulting and wintering seaducks (scoters, goldeneyes, Harlequin Duck), the breeding ecology of the Barrow's Goldeneye and the Eared Grebe, old-growth forest birds, and seabirds (Marbled Murrelet). His current research interests in Québec include urban wildlife, impact of logging on forest birds, and waterfowl ecology especially seaducks. Current address : Canadian Wildlife Service, 1141 Route de l'Église, P.O. Box 10100, Sainte-Foy, Québec G1V 4H5. E-Mail : jean-pierre.savard@ec.gc.ca
Aubry, Y., David, N., and P. Bannon. 1999. Québec Region. North American Birds 53: 141-143.
Andrew, D.G. 1960. Aggressive behaviour of Barrow's Goldeneye with young. Brit. Birds 53: 572-573.
AOU (American Ornithologists' Union) 1998. Check-list of North American Birds. 7th edition. American ornithologists' Union, Washington, D.C.
Bellrose, F.C. 1980. Ducks, geese, and swans of North America. Stackpole Books, Harrisburg, PA.
Bengtson, S.A. 1972. Reproduction and fluctuations in the size of duck populations at lake Myvatn, Iceland. Ornis Scand. 2: 17-26.
Blood, D. 1979. Surveys of breeding waterfowl and songbirds along the Alaska highway in southern Yukon. Contracted report. Canadian Wildlife Service, Pacific and Yukon Region.
Boertmann, D. 1994. An annotated checklist to the birds of Greenland. Meddelelser Om Grønland, Bioscience 38.
Bordage, D., and N. Plante. 1997. Tendance des effectifs nicheurs de Canard noir et de Canard colvert au Québec méridional. Technical Report Series 300. Canadian Wildlife Service, Sainte-Foy, QC.
Braune, B.M., B.J. Malone, N.M. Burgess, J.E. Elliot, N. Garrity, J. Hawkings, J. Hines, H. Marshall, W.K. Marshall, J. Rodrigue, B. Wakeford, M. Wayland, D.V. Weseloh, and P.E. Whitehead. 1999. Chemical residues in waterfowl and gamebirds harvested in Canada, 1987-95. Technical Report Series Number 326, Canadian Wildlife Service, Hull, QC.
Burridge, J., and M. Kane (eds.). 1985. Rehabilitating oiled sea birds: a field manual. International Bird Rescue Research Center, Berkeley, California, and American Petroleum Institute (API), Washington, D.C. API Publication Nº 4407.
Campbell, R.W., N.K. Dawe, I. McTaggart-Corvan, J.M. Cooper, G.W. Kaiser, and M.C.E. McNall 1990. The birds of British Columbia. Vol. 1. Nonpasserines, introduction, loons through waterfowl. Royal British Columbia Museum and Canadian Wildlife Service.
Chartrand, L. 1999. Razzia sur la forêt. L'Actualité 24 (20): 30-47.
Cochran, W.G. 1977. Sampling techniques. Third edition. John Wiley and Sons, New York, NY.
Coulter, M. W. 1979. An experiment to establish a goldeneye population. Wildl. Soc. Bull. 7: 116-118.
Courteau, M., M. Darveau, and J.-P.L. Savard. 1997. Effets des coupes forestières sur la disponibilité de sites de nidification pour le Garrot à oeil d'or (Bucephala clangula) en sapinière boréale. Technical Report Series Nº 270. Canadian Wildlife Service, Sainte-Foy, QC.
Cyr, A., and J. Larivée. 1995. Atlas saisonnier des oiseaux du Québec. Les Presses de l'Université de Sherbrooke and La Société de Loisir Ornithologique de l'Estrie, Sherbrooke, QC.
Daigle, S., and M. Darveau. 1995. Indice de priorisation de nettoyage d'oiseaux aquatiques lors de déversements d'hydrocarbures dans le Saint-Laurent. Technical Report Series Nº 231. Canadian Wildlife Service, Sainte-Foy, QC.
Daury, R.W. and M.C. Bateman 1996. The Barrow's Goldeneye (Bucephala islandica) in the Atlantic Provinces and Maine. Regional report. Canadian Wildlife Service, Atlantic Region, Sackville, Canada.
David, N. 1996. Liste commentée des oiseaux du Québec. Association Québécoise des Groupes d'Ornithologues (AQGO), Montréal, QC.
del Hoyo, J., A. Elliot, and J. Sartagal. 1992. Handbook of the birds of the World. Volume 1. Lynx Edicions, Barcelona, Spain.
Dennis, R.H., and H. Dow. 1984. The establishment of a population of Goldeneyes (Bucephala clangula) breeding in Scotland. Bird Study 31: 217-222.
Dibblee, R.L., F.R. Curley, and A.D. McLennan. 1996. Surveys of wintering Barrow's Goldeneyes on Prince Edward Island. Unpublished Report, Fish and Wildlife Division, Department of Environmental Resources, Charlottetown, PEI.
Di Labio, B., R. Pittaway, and P. Burke. 1997. Bill colour and identification of female Barrow's Goldeneye. Ontario Birds 15(2): 81-85.
Dunn, E., J. Larivée, and A. Cyr. 1996. Can checklist programs be used to monitor populations of birds recorded during the migration season ? Wilson Bull. 108: 540-549.
Eadie, J.M. 1989. Alternative reproductive tactics in a precocial bird: the ecology and evolution of brood parasitism in goldeneyes. Ph.D. thesis, Univ. British Columbia, Vancouver.
Eadie, J.M. 1991. Constraint and opportunity in the evolution of brood parasitism in waterfowl. Acta XX Congr. Int. Ornithol. Volume 2: 1031-1040.
Eadie, J.M., and G. Gauthier. 1985. Prospecting for nest sites by cavity-nesting ducks of the genus Bucephala. Condor 87: 528-534.
Eadie, J.M. and H.G. Lumsden. 1985. Is nest parasitism always deleterious to goldeneyes? Am. Nat. 126: 859-866.
Eadie, J.M., and J. Fryxell. 1992. Density-dependence, frequency-dependence, and alternative nesting behaviours in goldeneyes. Am. Nat. 140: 621-641.
Eadie, J.M., and B.E. Lyon. 1998. Cooperation, conflict and creching behavior in goldeneye ducks. Am. Nat. 151: 397-408.
Eadie, J.M., F.P. Kehoe, and T.D. Nudds. 1988. Pre-hatch and post-hatch brood amalgamation in North American Anatidae: a review of the hypotheses. Can. J. Zool. 66: 1709-1721.
Eadie, J. McA., J.-P.L. Savard, and M.L. Mallory 2000. Barrow's Goldeneye (Bucephala islandica). In The Birds of North America, Nº 548, (A. Poole and F. Gill, Eds.). Academy of Natural Sciences, Philadelphia, and American Ornithologists' Union, Washington, D.C.
Einarsson, A. 1988. Distribution and movements of Barrow's Goldeneye (Bucephala islandica) young in relation to food. Ibis 130: 153-163.
Einarsson, A. 1990. Settlement into breeding habitats by Barrow's Goldeneye Bucephala islandica: evidence for temporary oversaturation of preferred habitat. Ornis Scand. 21: 7-16.
Eriksson, M.O.G. 1978. Lake selection by Goldeneye ducklings in relation to the abundance of food. Wildfowl 29: 81-85.
Eriksson, M.O.G. 1983. The role of fish in the selection of lakes by non-piscivorous ducks: Mallard, Teal and Goldeneye. Wildfowl 34: 27-32.
Fitzner, R.E., and R.H. Gray. 1994. Winter diet and weights of Barrow's and Common Goldeneyes in southcentral Washington. Northwest Sci. 68: 172-177.
Fjeldså, J. 1977. Guide to the young of European precocial birds. Tisvildeleje, Denmark, Skarv Nature Publications.
Fortin, G.R., M. Gagnon, and P. Bergeron. 1996. Synthèse des connaissances sur les aspects physiques et chimiques de l'eau et des dédiments du secteur d'étude Estuaire maritime. Rapport technique, Zone d'intervention prioritaire 18, Centre Saint-Laurent, Montréal, QC.
Fradette, P. 1992. Les oiseaux des Îles-de-la-Madeleine: populations et sites d'observation. Attention Frag'Îles, Cap-aux-Meules, QC.
Gagnon, M., P. Bergeron, J. Leblanc, and R. Siron. 1997. Synthèse des connaissances sur les aspects physiques et chimiques de l'eau et des sédiments du golfe du Saint-Laurent et de la baie des Chaleurs. Rapport technique, Zone d'intervention prioritaire 19, 20 et 21, Centre Saint-Laurent, Montréal, QC.
Gagnon, M., P. Bergeron, J. Leblanc, and R. Siron. 1998. Synthèse des connaissances sur les aspects physiques et chimiques de l'eau et des sédiments de l'estuaire moyen du Saint-Laurent. Rapport technique, Zone d'intervention prioritaire 15, 16 et 17, Centre Saint-Laurent, Montréal, QC.
Gardarsson, A. 1978. Distribution and numbers of the Barrow's Goldeneye (Bucephala islandica) in Iceland. Natturu Fraedin Gurinnn 48: 162-191.
Gardarsson, A. 1979. Waterfowl populations of Lake Myvatn and recent changes in numbers and food habits. Oikos 32: 250-270.
Gauthier, J., and Y. Aubry. 1996. The Breeding Birds of Québec: Atlas of the Breeding Birds of Southern Québec. Association Québécoise des Groupes d'Ornithologues, Province of Québec Society for the Protection of Birds, and Canadian Wildlife Service, Québec Region, Montréal, QC.
Godfrey, W.E. 1986. The birds of Canada. National Museum of Natural Sciences, Ottawa, ON.
Gosselin, M. 1996. Quel est cet oiseau ? QuébecOiseaux 8(2): 11.
Goudie, R.I., S. Brault, B. Conant, A.V. Kondratyev, M.R. Petersen, and K. Vermeer. 1994. The status of seaducks in the north Pacific rim : toward their conservation and management. Trans. 59th N. Am. Wildl. Nat. Resour. Conf.: 27-49.
Government of Canada. 1989. Migratory Birds Convention Act. R.S., c. M-12, s. 1.
Grenier, M., D. Bordage, N. Plante, and P. Fragnier. 1993. Caractérisation des habitats propices à la reproduction de la sauvagine à l'aide d'images LANDSAT-TM. Pp. 559-564 in P. Gagnon and N. O'Neil (Cartel -editors). Actes du 16e Symposium canadien sur la télédétection et du 8e Congrès de l'Association québécoise de télédétection, Sherbrooke, QC.
Grenier, M., D. Bordage, and N. Plante. 1994. La télédétection, un complément avantageux aux inventaires pour évaluer la répartition de la sauvagine sur de vastes territoires. J. Can. Télédétection 20: 162-170.
Griscom, L. 1945. Barrow's Goldeneye in Massachusetts. Auk 62: 401-405.
Hagemeijer, W.J.M., and M.J. Blair. 1997. The EBCC atlas of European breeding birds: their distribution and abundance. T. & A.D. Poyser, London, U.K.
Hasbrouck, M.E. 1944. The status of Barrow's Goldeneye in the eastern United States. Auk 61: 544-554.
James Bay and Northern Québec Native Harvesting Research Committee. 1982. Research to establish present levels of native harvesting: harvest by the Inuit of Northern Québec, Phase 2 (1979 and 1980). James Bay and Northern Québec Native Harvesting Research Committee, Montréal, QC.
James Bay and Northern Québec Native Harvesting Research Committee. 1988. Research to establish present levels of harvesting for the Inuit of Northern Québec. James Bay and Northern Québec Native Harvesting Research Committee, Québec, QC.
Jenssen, B.M., and M. Ekker. 1990. Effects of plumage oiling on thermoregulation in common eiders residing in air and water. In Trans 19th IUGB Congress. Trondheim, Norway, S. Myrberget (ed.), Norwegian Institute for Nature Research, Trondheim.
Jenssen, B.M., and M. Ekker. 1991. Effects of plumage contamination with crude oil dispersant mixtures on thermoregulation in common eiders and mallards. Arch. Environ. Contam. Toxicol 20: 398-403.
Joensen, A.H., and E.B. Hansen. 1977. Oil pollution and seabirds in Denmark. Communication Nº 145 from Vildtbiologisk station.
Johnson, L.L. 1967. The Common Goldeneye Duck and the role of nesting boxes in its management in North-Central Minnesota. Journal of the Minnesota Academy of Science 34: 110-113.
Koehl, P.S., T.C. Rothe, and D.V. Derksen. 1982. Winter food habits of Barrow's Goldeneyes in southeast Alaska. Pp. 1-5 in Marine birds: their feeding ecology and commercial fisheries relationships. (D.N. Nettleship, G.A. Sanger and P.F. Springer, eds.). U.S. Fish and Wildlife Service, Washington, D.C.
Lachance, J., and M. Robert. 1999. Charlevoix en hiver. Québec Oiseaux 11(2): xx-xx.
Larivée, J. 1993. Chronobiologie des oiseaux du Bas-Saint-Laurent. Club des ornithologues du Bas-Saint-Laurent, Pointe-au-Père, QC.
Lesica, P., and F.W. Allendorf. 1995. When are peripheral populations valuable for conservation ? Conservation Biology 9: 753-760.
Loiselle, C., G.R. Fortin, S. Lorrain, and M. Pelletier. 1997. Dynamics and contamination of St. Lawrence River sediment. St. Lawrence Center, Environment Canada, Montréal, QC.
Martin, P.R., and M. Di Labio. 1994. Natural hybrids between the Common Goldeneye, Bucephala clangula, and Barrow's Goldeneye, B. islandica. Can. Field-Nat. 108: 195-198.
McKelvey, R., and G.E.J. Smith. 1990. The distribution of waterfowl banded or returned in British Columbia, 1951-1985. Technical Report Series 79. Canadian Wildlife Service, Pacific and Yukon Region.
McNicol, D.K., and M. Wayland. 1992. Distribution of waterfowl broods in Sudbury area lakes in relation to fish, macroinvertebrates, and water chemistry. Can. J.Fish. Aquat. Sci. 49(Suppl. 1): 122-133.
Mitchell, G.J. 1952. A study of the distribution of some members of the Nyrocinae wintering on the coastal waters of southern Bristish Columbia. M.A. thesis, University of British Columbia, Vancouver.
Morrier, A., A. Reed, and J.-P.L. Savard. 1994. Étude sur l'écologie de la Macreuse à front blanc au lac Malbaie, Réserve des Laurentides, 1994. Report presented to Société d'Énergie de la Baie James, Montréal, QC.
Mousseau, P., and A. Armellin. 1996. Synthèse des connaissances sur les communautés biologiques du secteur d'étude Estuaire maritime. Rapport technique, Zone d'intervention prioritaire 18, Centre Saint-Laurent, Montréal, QC.
Munro, J.A. 1918. The Barrow's Goldeneye in the Okanagan Valley, British Columbia. Condor 20: 3-5.
Munro, J.A. 1939. Studies of water-fowl in British Columbia, Barrow's Golden-eye, American Golden-eye. Transactions of the Royal Canadian Institue 24: 259-318.
Nelson, C.H. 1992. The downy waterfowl of North America. Delta Station Press, Deerfield, IL.
Nelson, C.H. 1993. The identification of Barrow's Goldeneye Bucephala islandica and Common Goldeneye B. clangula americana ducklings. Wildfowl 44: 178-183.
Palmer, R.S. 1976. Handbook of North American Birds. Volume 3. Waterfowl (Part 2). Yale University Press, New Haven and London.
Parent, B. 1999. Ressources et industries forestières. Ministère des Ressources Naturelles du Québec, Québec, QC.
Potvin, F. 1998. La martre d'Amérique (Martes americana) et la coupe à blanc en forêt boréale: une approche télémétrique et géomatique. Ph.D. thesis, Université Laval, Sainte-Foy, QC.
Pope, G.F., J.C.H. Carter, and G. Power. 1973. The influence of fish on the distribution of Chaoborus spp. (Diptera) and density of larvae in the Matamek River system, Québec. Trans. Amer. Fish. Soc. 4: 707-714.
Pope, G.F., and J.C.H. Carter. 1975. Crustacean plankton communities of the Matamek River system and their variation with predation. J. Fish. Res. Board Can. 32: 2530-2535.
Prince, H.H. 1968. Nest sites used by Wood Ducks and Common Goldeneyes in New Brunswick. J. Wildl. Manage. 32: 489-500.
Reed, A., and A. Bourget. 1977. Distribution and abundance of waterfowl wintering in southern Quebec. Can. Field-Nat. 91: 1–7.
Robert, M., J.-P.L. Savard, G. Fitzgerald, and P. Laporte. 1999. Satellite tracking of Barrow's Goldeneyes in eastern North America: location of breeding areas and moulting sites. Proceedings of the 15th International Symposium on Biotelemetry, May 9-14, Juneau, AK.
Robert, M., D. Bordage, J.-P.L. Savard, G. Fitzgerald, and F. Morneau. 2000. The breeding range of the Barrow's Goldeneye in eastern North America. Wilson Bull. 112: 1-7.
Robertson, I., and H. Stelfox. 1969. Some interspecific intolerance between Barrow's Goldeneye and other duck species during brood-rearing. Can. Field-Nat. 83: 407-408.
Savard, J.-P.L. 1982a. Barrow's Goldeneye nest-box utilization in the Caribou Parkland, British Columbia: Year 1. Canadian Wildlife Service Progress Notes 131.
Savard, J.-P.L. 1982b. Intra and inter-specific competition between Barrow's Goldeneye (Bucephala islandica) and Bufflehead (Bucephala albeola). Can J. Zool. 60: 3439-3446.
Savard, J.-P.L. 1984. Territorial behavior of Common Goldeneye, Barrow's Goldeneye and Bufflehead in areas of sympatry. Ornis Scand. 15: 211-216.
Savard, J.-P.L. 1985. Evidence of long-term pair bonds in Barrow's Goldeneye. Auk. 102: 389-391.
Savard, J.-P.L. 1986a. Polygyny in Barrow's Goldeneye. Condor 88: 250-252.
Savard, J.-P.L. 1986b. Territorial behavior, nesting success and brood survival in Barrow's Goldeneye and its congeners. Ph.D. thesis. University of British Columbia. Vancouver, B.C.
Savard, J.-P.L. 1987. Causes and functions of brood amalgamation in Barrow's Goldeneye and Bufflehead. Can. J. Zool. 65: 1548-1553.
Savard, J.-P.L. 1988a. Winter, spring and summer territoriality in Barrow's Goldeneye: characteristics and benefits. Ornis Scand. 19:119-128.
Savard, J.-P.L. 1988b. Use of nest boxes by Barrow's goldeneyes: nesting success and affect on the breeding population. Wildl. Soc. Bull. 16: 125-132.
Savard, J.-P.L. 1989. Birds of rocky coastlines and pelagic waters in the Strait of Georgia. Pp. 132-141 in K. Vermeer and R.W. Butler (eds.). The ecology and status of marine and shoreline birds in the Strait of Georgia, British Columbia. Canadian Wildlife Service Special Publication. Ottawa, ON.
Savard, J.-P.L. 1990. Population de sauvagine hivernant dans l'estuaire du Saint-Laurent: Distribution, abondance et comportement. Technical Report Series 89. Canadian Wildlife Service, Sainte-Foy, QC.
Savard, J.-P.L., and J.N.M. Smith. 1987. Interspecific aggression by Barrow's Goldeneye: a descriptive and functional analysis. Behaviour 102: 168-184.
Savard, J.-P.L., and J.M. Eadie. 1989. Survival and breeding philopatry in Barrow's and Common Goldeneyes. Condor 91: 198-203.
Savard, J.-P.L., and M. Robert 1997. Le Garrot d'Islande: un oiseau vulnérable. QuébecOiseaux 9(2): 18–19.
Savard, J.-P.L., and P. Dupuis 1999. A case for concern: The eastern population of Barrow's Goldeneye (Bucephala islandica). Pages 66-76 in R.I. Goudie, M.R. Peterson, and G.J. Robertson (eds.) Behaviour and ecology of the sea ducks. Canadian Wildlife Service Occasional Paper Number 100.
Savard, J.-P.L., G.E.J. Smith, and J.N.M. Smith. 1991. Duckling mortality in Barrow's Goldeneye and Bufflehead broods. Auk 108: 568-577.
Savard, J.-P.L., W.S. Boyd, and G.E. Smith. 1994. Waterfowl wetland relationships in the Aspen Parkland of British Columbia. Comparison of Analytical Methods. Hydrobiologia 279/280: 309-325.
Savard, J.-P.L., A. Reed and L. Lesage. 1999. Brood amalgamation in Surf Scoters (Melanitta perspicillata) and other Mergini. Wildfowl 49: 129-138.
Scott, D.A., and P.M. Rose. 1996. Atlas of anatidae populations in Africa and western Eurasia. Wetlands Int. Publ. 41: 1-336.
Scribner, K.T., R. Lanctot, S. Talbot, B. Pierson, and K. Dickson. (in prep.). Genetic variation among populations of Harlequin Ducks (Histrionicus histrionicus): are eastern populations distinct?
SNC-Lavallin. 1995. Étude de la contamination des sédiments de la Baie-des-Anglais. Prepared by SNC-Lavallin Environnement for Canadian Reynolds Metal Ltd. Preliminary report (Volume 1).
St. Lawrence Center. 1996. State of the environment report on the St. Lawrence River. Volume 1 : The St. Lawrence Ecosystem. Environment Canada, Québec Region, Environmental Conservation, and Éditions MultiMondes, Montréal. “St. Lawrence UPDATE” series.
Thompson, J.E. 1996. Comparative reproductive ecology of female buffleheads (Bucephala albeola) and Barrow's Goldeneyes (Bucephala islandica). Ph.D. thesis, University of Western Ontario, London, ON.
Tobish, T. 1986. Separation of Barrow's and Common Goldeneyes in all plumages. Birding 18: 17-27.
Todd, W.E.C. 1963. Birds of the Labrador Peninsula and adjacent areas. Univ. of Toronto Press, Toronto, ON.
van de Wetering, D. 1997. Moult characteristics and habitat selection of post-breeding male Barrow's Goldeneye (Bucephala islandica) in northern Yukon. Technical Report Series 296. Canadian Wildlife Service, Pacific and Yukon Region.
Vermeer, K. 1982. Food and distribution of three Bucephala species in British Columbia waters. Wildlfowl 33: 22-30.
Wayland, M., and D.K. McNicol. 1994. Movements and survival of Common Goldeneye broods near Sudbury, Ontario, Canada. Can. J. Zool. 72: 1252-1259.