Évaluation et Rapport de situation du COSEPAC sur le Garrot d’Islande (Bucephala islandica) au Canada – 2000
- Population de l'est
Espèce préoccupante - 2000
- Comité sur la situation des espèces en péril au Canada (COSEPAC) – Sommaire de l'évaluation
- COSEPAC – Résumé
- Information sur l'espèce
- Répartition
- Habitat
- Biologie
- Effectifs et tendances de la population
- Facteurs limitatifs et menaces
- Importance de l'espèce
- Évaluation du statut
- Résumé technique
- Remerciements
- Ouvrages cités
- Les auteurs
Liste des figures
- Figure 1. Répartition mondiale du Garrot d'Islande
- Figure 2. Effectifs maximums de Garrots d'Islande recensés à des endroits précis durant les hivers (de décembre à mars) 1997-1998 et 1998-1999 (Service canadien de la faune (SCF)-QC, données inédites)
- Figure 3. Principaux sites d'hivernage du Garrot d'Islande dans l'est de l'Amérique du Nord
- Figure 4. Emplacement des unités d'aménagement du ministère des Ressources naturelles du Québec pour lesquelles des données sur la perte d'habitat sont présentées au tableau 15, correspondant à (une partie de) l'aire de nidification principale du Garrot d'Islande dans l'est de l'Amérique du Nord
- Figure 5. Superficie totale déboisée chaque année de 1976 à 1996 dans les unités d'aménagement du ministère des Ressources naturelles du Québec correspondant à (une partie de) l'aire de nidification principale du Garrot d'Islande dans l'est de l'Amérique du Nord
- Figure 6. Nombre d'ailes de Garrots d'Islande retournées chaque année par les chasseurs de sauvagine de l'est du Canada pour l'Enquête nationale sur les prises du Service canadien de la faune (SCF), de 1968 à 1998 (Hélène Lévesque, SCF-CNRC-Hull)
Liste des tableaux
- Tableau 1. Effectifs maximums annuels de Garrots d'Islande signalés en hiver (du 15 novembre au 15 avril) à certains1 endroits du Québec ailleurs que le long de l'estuaire et du golfe du Saint-Laurent
- Tableau 2. Effectifs maximums annuels de Garrots d'Islande signalés en hiver (du 15 novembre au 15 avril) à certains1 endroits du Québec situés le long de l'estuaire du Saint-Laurent
- Tableau 3. Effectifs maximums annuels de Garrots d'Islande signalés en hiver (du 15 novembre au 15 avril) à certains1 endroits du Québec situés le long du golfe du Saint-Laurent
- Tableau 4. Effectifs de Garrots d'Islande dénombrés durant les recensements des oiseaux de Noël, 1978-1998.
- Tableau 5. Effectifs de garrots relevés dans l'estuaire et le golfe du Saint-Laurent, entre les 12 et 15 février 1996
- Tableau 6. Effectifs totaux de garrots (Garrot d'Islande et Garrot à œil d'or) relevés le long d'une section de l'estuaire du Saint-Laurent1 durant les hivers de 1976, 1988, 1994, 1996 et 1999
- Tableau 7. Évaluations des effectifs de Garrots d'Islande hivernant dans l'est de l'Amérique du Nord.
- Tableau 8. Effectifs maximums de Garrots d'Islande observés dans les principaux sites d'hivernage1 de l'est de l'Amérique du Nord.
- Tableau 9. Évaluations de la population de Garrots d'Islande nicheurs calculées à l'aide des données des relevés du PCCN menés au Québec, de l'information tirée des images satellitaires et d'un estimateur binomial1
- Tableau 10. Nombre et types de navires ayant navigué dans la voie maritime du Saint-Laurent de 1993 à 1997, tel qu'enregistré à la station de la Garde côtière canadienne du Saguenay-Les Escoumins
- Tableau 11. Nombre de navires ayant navigué (par mois) dans la voie maritime du Saint-Laurent durant l'été et l'hiver de 1993 à 1997, tel qu'enregistré à la station de la Garde côtière canadienne du Saguenay-Les Escoumins
- Tableau 12. Types de produits, en milliers de tonnes, manutentionnés dans certains ports de l'estuaire du Saint-Laurent et de la baie des Chaleurs en 1998
- Tableau 13. Nombre de déversements polluants signalés par période de cinq ans dans le corridor du Saint-Laurent et dans la baie des Chaleurs, de 1975 à 1994
- Tableau 14. Nombre de déversements polluants signalés par période de cinq ans dans certains ports de l'estuaire et du golfe du Saint-Laurent, de 1975 à 1994
- Tableau 15. Types de produits déversés dans certains ports de l'estuaire et du golfe du Saint-Laurent, de 1971 à 1994.
- Tableau 16. Résidus chimiques dans deux Garrots d'Islande récoltés dans l'estuaire du Saint-Laurent
- Tableau 17. Superficies1 (ha) touchées par l'exploitation forestière, les chablis, les épidémies et les incendies dans diverses unités d'aménagement2 au nord du corridor du Saint-Laurent et correspondant à l'aire de nidification principale du Garrot d'Islande dans l'est de Amérique du Nord
- Tableau 18. Classification des ailes de Garrots d'Islande retournées pour l'Enquête nationale sur les prises du SCF, de 1968 à 1998
COSEPAC
Comité sur la situation des
espèces en péril au Canada
COSEWIC
Committee on the Status of
Endangered Wildlife in Canada
Les rapports de situation du COSEPAC sont des documents de travail servant à déterminer le statut des espèces sauvages que l'on croit en péril. On peut citer le présent rapport de la façon suivante :
Nota : Toute personne souhaitant citer l'information contenue dans le rapport doit indiquer le rapport comme source (et citer les auteurs); toute personne souhaitant citer le statut attribué par le COSEPAC doit indiquer l'évaluation comme source (et citer le COSEPAC). Une note de production sera fournie si des renseignements supplémentaires sur l'évolution du rapport de situation sont requis.
COSEPAC. 2000. Évaluation et Rapport de situation du COSEPAC sur le Garrot d'Islande (Bucephala islandica) au Canada. Comité sur la situation des espèces en péril au Canada, Ottawa. vii + 70 p.
Robert, M., R. Benoît et J.-P. Savard. 2000. Rapport de situation du COSEPAC sur le Garrot d'Islande (Bucephala islandica) au Canada, in Évaluation et Rapport de situation du COSEPAC sur le Garrot d'Islande (Bucephala islandica) au Canada. Comité sur la situation des espèces en péril au Canada. Ottawa. Pages 1-70.
Pour obtenir des exemplaires supplémentaires, s'adresser au :
Secrétariat du COSEPAC
a/s Service canadien de la faune
Environnement Canada
Ottawa (Ontario)
K1A 0H3
Tél. : 819-953-3215
Téléc. : 819-994-3684
Courriel du COSEPAC
Site Web du COSEPAC
Illustration/photo de la couverture :
Garrot d'Islande – Photo fournie par Denis Faucher.
© Sa Majesté la Reine du chef du Canada, 2011.
Nº de catalogue CW69-14/263-2003F-IN
ISBN 0-662-88478-7
Nom commun
Garrot d'Islande (population de l'Est)
Nom scientifique
Bucephala islandica
Statut
Espèce préoccupante
Justification de la désignation
Le nombre d'individus de cette population de l'Est est limité. Bien que les menaces comme la disponibilité limitée de l'habitat et les possibilités de déversements de pétrole ont été identifiées, aucune n'est en mesure d'avoir une incidence négative sur la population.
Présence
Québec, Nouveau Brunswick, Nouvelle Écosse, Île du Prince Édouard et Terre Neuve et Labrador
Historique du statut
Espèce désignée « préoccupante » en novembre 2000.
Le Garrot d'Islande est un canard plongeur de taille moyenne. Les reproducteurs mâles pèsent environ 1 127 g; leur plumage est blanc et noir, leur tête noire violacée, et ils ont une tache en forme de croissant à la base du bec. Les femelles pèsent environ 799 g; leur tête est brun chocolat foncé et leur dos, brun grisâtre. Les flancs et le ventre sont blanchâtres. Durant l'hiver et le printemps, le bec de la femelle adulte est orange vif.
La plus grande partie de la population mondiale de Garrots d'Islande niche et hiverne au Canada, à l'ouest des montagnes Rocheuses. La population de l'est du Canada est concentrée au Québec, où nichent et hivernent probablement plus de 90 à 95 p. 100 des garrots. Une petite population résidente vit aussi en Islande.
Dans l'ouest du Canada, au cours de la saison de nidification, le Garrot d'Islande préfère les lacs alcalins aux lacs d'eaux douces, en particulier les lacs sans poisson. En Islande, il fréquente des cours d'eau et des lacs très productifs. Au Québec, l'espèce semble limitée à de petits lacs de haute altitude, situés au nord de l'estuaire et du golfe du Saint-Laurent; il s'agit souvent de lacs de tête. Le canard vit dans la province écoclimatique boréale du Québec, dans les régions forestières à épinette noire et à hypne et à sapin baumier et à bouleau blanc. En dehors de la saison de nidification, il fréquente les eaux côtières le long de l'estuaire et du golfe du Saint-Laurent.
Le Garrot d'Islande est monogame et se reproduit pour la première fois à l'âge de deux ans environ. Les couples s'établissent dans les aires d'hivernage et durent plusieurs années; ils se réunissent chaque année à l'automne dans ces aires d'hivernage. En général, l'espèce niche dans les cavités des arbres, mais elle le fait parfois dans des crevasses rocheuses ou dans d'autres cavités. Selon la disponibilité des cavités, les nids peuvent être près de l'eau ou jusqu'à un à deux kilomètres d'un plan d'eau. Le garrot construit son nid à une hauteur de deux à quinze mètres. L'espèce s'adapte facilement aux nichoirs et s'y reproduit. Les couvées comptent de six à douze œufs, pour une moyenne de huit. Le parasitisme intraspécifique des nids est courant, en particulier dans les nichoirs. Les femelles n'ont qu'une couvée par année. Seule la femelle couve et elle commence à le faire après la ponte du dernier œuf. L'incubation dure trente jours. L'éclosion est synchrone, et les jeunes nidifuges passent de 24 à 36 heures au nid. Dès que les canetons quittent le nid, la femelle les conduit vers un étang ou un lac proche. Durant la saison de nidification, le Garrot d'Islande se nourrit surtout d'insectes aquatiques et de crustacés dans les eaux intérieures, et de mollusques (moules bleues et bigorneaux) et de crustacés dans les eaux côtières. Il cherche sa nourriture dans l'eau peu profonde le long des côtes, rarement à plus de quatre mètres de profondeur.
De 3 500 à 4 000 Garrots d'Islande hivernent au Québec, dont 2 500 le long de l'estuaire du Saint-Laurent et 1 000 à 1 500 le long du golfe. Sachant qu'environ 400 individus hivernent vraisemblablement dans les provinces de l'Atlantique et dans le Maine, on estime que la population de Garrots d'Islande qui hivernent dans l'est de l'Amérique du Nord compte environ 4 500 individus, ce qui correspond à une population de reproducteurs de près de 1 400 couples (30 p. 100 des oiseaux sont des femelles adultes). Aucune donnée précise ne permet de dégager une tendance (négative ou positive) dans la population, mais nous pensons qu'il y a probablement eu un déclin au 20e siècle et que ce déclin se poursuivrait encore aujourd'hui. La chute des effectifs serait attribuable à l'exploitation forestière et à d'autres activités humaines (comme l'ensemencement de poissons) mises en œuvre dans l'aire de nidification principale de la population, dont l'intensité a augmenté depuis les dernières décennies.
La petite population de Garrots d'Islande est menacée aussi bien dans son aire d'hivernage que dans son aire de nidification. À la fin de l'automne, en hiver et au début du printemps, une grande partie de la population se rassemble dans quelques zones le long du corridor du Saint-Laurent, qui est une voie navigable très importante pour les navires. Un seul déversement d'hydrocarbures pourrait avoir un énorme impact sur cette petite population. La contamination des sédiments d'importantes zones d'hivernage pourrait également nuire aux oiseaux qui s'y rassemblent. Par ailleurs, la chasse constitue une autre menace, du moins dans les zones où l'espèce est souvent présente en grand nombre. En effet, même si le nombre de Garrots d'Islande récoltés chaque automne dans l'est de l'Amérique du Nord est faible, une petite récolte continue risque d'avoir une forte incidence sur une aussi petite population. L'exploitation forestière est une grande menace dans l'aire de nidification; des nids sont détruits durant la récolte du bois, et la disponibilité des sites de nidification potentiels est moindre. Les garrots sont donc forcés de nicher plus loin des étangs, et les jeunes sont exposés aux prédateurs lorsqu'ils se déplacent entre le nid et les plans d'eau. De plus, les lacs deviennent accessibles aux chasseurs et aux pêcheurs, ce qui perturbe davantage les oiseaux nicheurs. De nombreux lacs à l'origine vides de poissons ont aussi été ensemencés d'ombles de fontaine; or, il semble que la présence de poissons réduise la qualité des lacs pour le Garrot d'Islande.
Le Garrot d'Islande est protégé en vertu de la Loi sur la Convention concernant les oiseaux migrateurs et des règlements afférents sur la chasse. Le Centre de données sur la conservation du Canada atlantique a attribué aux populations hivernantes de Garrots d'Islande le statut de conservation S2N au Nouveau-Brunswick et à l'Île-du-Prince-Édouard, S1N en Nouvelle-Écosse, S1?N dans l'île de Terre-Neuve et S1S2 au Labrador. De plus, l'espèce sera inscrite sur la liste des espèces susceptibles d'être désignées menacées ou vulnérables aux termes de la Loi sur les espèces menacées ou vulnérables du Québec.
Il est clair que la population de l'Est du Garrot d'Islande n'est pas exposée à une disparition imminente. Un seul déversement d'hydrocarbures le long de l'estuaire du Saint-Laurent pourrait néanmoins entraîner la disparition d'une grande partie de la population. Les principaux facteurs limitatifs de la survie de cette population sont, d'une part, la concentration d'individus durant l'hiver, qui rend vulnérable une aussi petite population et, d'autre part, la pression considérable qu'exercent les humains sur l'habitat de nidification connu de l'espèce. À notre avis, la population de l'Est du Garrot d'Islande est nettement exposée aux perturbations ou aux menaces imminentes du développement et pourrait, par conséquent, être classée comme menacée. On ne dispose pas cependant de données précises pour dégager une tendance négative dans la population et on ne peut pas prévoir si la population est susceptible de devenir en voie de disparition (c'est-à-dire si elle sera exposée à une disparition ou à une extinction imminente) si les facteurs limitants auxquels elle est exposée ne sont pas inversés. C'est pourquoi le Garrot d'Islande pourrait aussi être classé comme espèce préoccupante.
Le Comité sur la situation des espèces en péril au Canada (COSEPAC) détermine la situation, à l'échelle nationale, des espèces, sous-espèces, variétés et populations (importantes à l'échelle nationale) sauvages jugées en péril au Canada. Les désignations peuvent être attribuées aux espèces indigènes des groupes taxinomiques suivants : mammifères, oiseaux, amphibiens, reptiles, poissons, mollusques, lépidoptères, plantes vasculaires, lichens et mousses.
Le COSEPAC est formé de représentants des organismes provinciaux et territoriaux responsables des espèces sauvages, de quatre organismes fédéraux (Service canadien de la faune, Agence Parcs Canada, ministère des Pêches et des Océans et Partenariat fédéral en biosystématique) et de trois organismes non gouvernementaux, ainsi que des coprésidents des groupes de spécialistes des espèces. Le Comité se réunit pour examiner les rapports sur la situation des espèces candidates.
* Appelée « espèce rare » jusqu'en 1990, puis « espèce vulnérable » de 1990 à 1999.
** Autrefois « aucune catégorie » ou « aucune désignation nécessaire ».
*** Catégorie « DSIDD » (données insuffisantes pour donner une désignation) jusqu'en 1994, puis « indéterminé » de 1994 à 1999.
Le Comité sur la situation des espèces en péril au Canada (COSEPAC) a été créé en 1977, à la suite d'une recommandation faite en 1976 lors de la Conférence fédérale-provinciale sur la faune. Le Comité avait pour mandat de réunir les espèces sauvages en péril sur une seule liste nationale officielle, selon des critères scientifiques. En 1978, le COSEPAC (alors appelé CSEMDC) désignait ses premières espèces et produisait sa première liste des espèces en péril au Canada. Les espèces qui se voient attribuer une désignation au cours des réunions du comité plénier sont ajoutées à la liste.
Le Service canadien de la faune d'Environnement Canada assure un appui administratif et financier complet au Secrétariat du COSEPAC.
Nom commun : Garrot d'Islande (ou Garrot de Barrow)
Nom scientifique : Bucephala islandica (Gmelin, 1789)
Nom anglais : Barrow's Goldeneye
Le Garrot d'Islande appartient au genre Bucephala, qui necomprend que deux autres espèces : le Garrot à œil d'or (Bucephala clangula) et le Petit Garrot (Bucephala albeola). Le genre fait partie de la tribu des Mergini qui regroupe tous les canards de mer et les harles (AOU, 1998). Le Garrot d'Islande et le Garrot à œil d'or sont très semblables sur le plan morphologique, et plusieurs cas d'hybridation ont été documentés (Palmer, 1976; Martin et Di Labio, 1994). Les mâles hybrides en plumage nuptial ont des caractéristiques intermédiaires entre les deux espèces parentales, et certains ont été signalés dans l'est du Canada (Martin et Di Labio, 1994). On en a observé récemment à chaque site d'hivernage connu du Garrot d'Islande le long du corridor du Saint-Laurent au Québec, dont au moins deux simultanément à La Malbaie et à Baie-des-Rochers durant l'hiver 1998-1999, et dans la baie des Anglais en 1997-1998 et en 1998-1999 (Service canadien de la faune, région du Québec [SCF-QC], données inédites).
L'espèce est monotypique. Jusqu'à présent, il n'y a eu aucune comparaison morphologique ou génétique des populations de l'Ouest, de l'Est et de l'Islande (voir Répartition); on ne connaît donc pas les relations entre les Garrots d'Islande qui nichent dans l'est du Canada et ceux qui nichent ailleurs. Cependant, étant donné la forte corrélation entre la répartition mondiale des Arlequins plongeurs (Histrionicus histrionicus) et celle des Garrots d'Islande, il se peut que de futures études moléculaires révèlent des ressemblances quant à l'isolement des populations. Selon des études génétiques préliminaires, les populations de l'Ouest, de l'Est et de l'Islande du Arlequin plongeur sont génétiquement distinctes (Scribner et al., en préparation). À vrai dire, il est très peu probable que des échanges se produisent entre les populations de l'Est et de l'Ouest du Garrot d'Islande. Sur les milliers d'oiseaux bagués sur la côte ouest de l'Amérique du Nord, aucun n'a été retrouvé sur la côte est du continent (McKelvey et Smith, 1990); un seul individu, bagué en Colombie-Britannique en juillet 1958, a été retrouvé dans la région du lac Huron (Ontario) en juillet 1959, ce qui constitue sans doute un cas exceptionnel (SCF, données inédites). En outre, la population de l'Islande est sédentaire; elle niche et hiverne surtout dans le nord-est de la région du lac Mývatn et de la rivière Laxá (Gardarsson, 1978; Scott et Rose, 1996; Hagemeijer et Blair, 1997).
Le Garrot d'Islande est un canard plongeur de taille moyenne (41-51 cm), et ses caractères sexuels dimorphiques sont la taille et le plumage. Les mâles reproducteurs pèsent environ 1 127 g (980-1 320 g) (Eadie et al., 2000); leur plumage est blanc et noir, leur tête est noire violacée, et ils ont une tache en forme de croissant à la base du bec. Les femelles pèsent environ 799 g (577-857 g) (Eadie et al., 2000); leur tête est brun chocolat foncé et leur dos, brun grisâtre. Les flancs et le ventre sont blanchâtres. Durant l'hiver et le printemps, le bec de la femelle adulte est orange vif; au début de la ponte, il devient plus foncé. Les jeunes sont brunâtres, et leurs yeux sont foncés (havane). Leur bec est foncé : noir chez le mâle et brun foncé chez la femelle. On trouvera des descriptions plus détaillées dans Palmer (1976), Bellrose (1980) ou Tobish (1986).
En plumage nuptial, le Garrot d'Islande mâle se distingue facilement du Garrot à œil d'or mâle. Le Garrot d'Islande adulte se caractérise par une tache en forme de croissant de chaque côté de la tête, juste derrière la base du bec. Cela permet de le distinguer du Garrot à œil d'or, qui a une tache blanche plutôt ovale. Les autres différences visibles sont les suivantes : 1) dans l'agencement du blanc et du noir des scapulaires, du dessus du dos et des ailes, le blanc domine davantage chez le Garrot à œil d'or que chez le Garrot d'Islande; 2) la présence sur les épaules d'une tache noire qui s'étend du dos jusqu'à près de la ligne de flottaison chez le Garrot d'Islande (absente chez le Garrot à œil d'or); et 3) la tête est foncée, violacée et lustrée chez le Garrot d'Islande, et bleu-vert lustré chez le Garrot à œil d'or (pour plus de détails, voir Tobish, 1986).
En hiver, il est facile de distinguer la plupart des femelles adultes par la couleur du bec, qui est presque entièrement orange chez le Garrot d'Islande (dans l'ouest et dans l'est de l'Amérique du Nord, et non en Islande où la femelle a un bec foncé avec un bout jaune orangé) et, chez le Garrot à œil d'or, presque entièrement noir avec une bande jaune orangé sur le quart de la partie extérieure du bec (Tobish, 1986; Gosselin, 1996; Di Labio et al., 1997). Durant l'été, il est difficile de distinguer les jeunes mâles et femelles et les adultes femelles des deux espèces; on peut y arriver en observant la forme du bec, la couleur de la tête et la forme générale du canard. Le bec du Garrot d'Islande est plus court, plus épais à la base et muni d'un onglet en relief. Chez le Garrot à œil d'or, le bec est plus long, légèrement incliné et muni d'un onglet plus petit et plus plat. De plus, le front du Garrot d'Islande est vertical et le sommet de sa calotte est plat, alors que chez le Garrot à œil d'or, le front est incliné et le sommet de la calotte, haut et arrondi. La tête du Garrot d'Islande femelle est brun chocolat très foncé tandis que celle du Garrot à œil d'or est plus pâle. Les yeux des Garrots à œil d'or de l'année sont de couleur havane et ceux de l'adulte sont d'un or riche (pour plus de détails, voir Tobish, 1986).
Seules des mesures détaillées du bec permettent de distinguer les canetons (Fjeldsa, 1977; Nelson, 1992 et 1993). Le ratio de Nelson (1992 et 1993) est le produit de la longueur de l'onglet (LoO) par la largeur de l'onglet (LaO), divisé par la largeur du bec (LaB) derrière l'onglet ([LoO x LaO]/LaB). Il est > 4 chez les canetons de Garrot d'Islande et < 4 chez les canetons de Garrot à œil d'or.
La plus grande partie (> 90 %) de la population mondiale de Garrots d'Islande niche et hiverne au Canada (figure 1). De petites populations sont signalées au sud de la Colombie-Britannique, dans les États de Washington et de l'Oregon, et dans le nord de la Californie. Un petit nombre niche également dans les États du Wyoming et du Montana (Bellrose, 1980; Eadie et al., 2000). L'espèce niche souvent à l'intérieur de l'Alaska et hiverne sur les côtes de cet État. La population de l'Est se reproduit seulement au Canada, et seules les données sur la nidification provenant du Québec sont suffisamment fondées; il est possible que certains individus nichent à Terre-Neuve-et-Labrador (Daury et Bateman, 1996; Robert et al., 2000). Une petite population résidente (d'environ 2 000 individus au printemps) vit aussi en Islande (Gardarsson, 1978 et 1979; Scott et Rose, 1996). Il se pourrait que l'espèce ait déjà niché au Groenland, mais on n'a pas signalé sa présence dans la région depuis au moins trente ans (Boertmann, 1994).
Au Canada, plus de 95 % de la population de Garrots d'Islande nichent et hivernent à l'ouest des montagnes Rocheuses. Quelques individus nichent aussi en Alberta et dans le sud du Yukon (Blood, 1979; Eadie et al., 2000). La population de l'Est du Canada est concentrée au Québec, où la plupart des oiseaux nichent et hivernent (Robert et al., 1999 et 2000; Savard et Dupuis, 1999). Un petit nombre hiverne dans les provinces Maritimes et le long de la côte nord atlantique des États-Unis (Hasbrouck, 1944; Griscon, 1945; Daury et Bateman, 1996). Pour plus de détails, voir la section « Taille et tendances de la population ».
Les limites exactes (particulièrement les limites nord et est) de l'aire de nidification de la population de l'Est sont encore très mal connues. Les premiers sites de nidification ont été repérés récemment sur les hauts plateaux, au nord du fleuve Saint-Laurent, depuis la rivière Saguenay jusqu'à Mingan au moins (figure 1 dans Robert et al., 2000). Il se peut que certains Garrots d'Islande nichent aussi sur les hauts plateaux à l'ouest de la rivière Saguenay (Savard et Dupuis, 1999; Y. Hamel, comm. pers.; R. McNicoll, comm. pers.). Au Québec et dans l'est de l'Amérique du Nord, la première mention officielle d'une nidification a été obtenue en 1998, lorsqu'on a vu une couvée sur le lac des Polices dans la zone d'exploitation contrôlée (ZEC) Chauvin, à quelques douzaines de kilomètres au nord-ouest de Tadoussac (à l'embouchure de la rivière Saguenay); on a trouvé ensuite trois autres couvées (aussi en 1998) à environ 60 km au nord-ouest de Sept-Îles (Robert et al., 2000). On a découvert au moins dix autres couvées dans le secteur de la zone d'exploitation contrôlée Chauvin en 1999 (SCF-QC, données inédites). Des données de pistage satellitaire révèlent qu'au moins quelques Garrots d'Islande hivernant le long du corridor du Saint-Laurent nichent à l'intérieur des terres sur la rive nord de l'estuaire et du golfe du Saint-Laurent. En fait, le nombre élevé de couples et de mâles seuls repérés durant des relevés aériens et terrestres menés de 1990 à 1998 indique que cette région est probablement l'aire de nidification principale des Garrots d'Islande qui hivernent le long du Saint-Laurent, c'est-à-dire la population de l'Est de l'espèce (Robert et al., 2000).
Selon certains auteurs, le Garrot d'Islande nicherait peut-être aussi dans le nord du Labrador (Palmer, 1976; Bellrose, 1980; Godfrey, 1986; AOU, 1998; del Hoyo et al., 1992), dans la région de la baie d'Hudson (Todd, 1963; Gauthier et Aubry, 1996) et dans le bassin de la rivière Torrent à Terre-Neuve (Daury et Bateman, 1996). Cependant, aucune de ces affirmations n'a été confirmée, et toutes doivent être mieux documentées à la lumière de résultats récents (Robert et al., 2000).
Dans l'ouest de l'Amérique du Nord, le Garrot d'Islande préfère les lacs alcalins aux lacs d'eau douce, et particulièrement les lacs dépourvus de poissons (Munro, 1918; Savard, 1984; Savard et al., 1994). En Islande, il fréquente les rivières et les lacs très productifs (Einarsson, 1988). Au Québec, l'espèce semble confinée à de petits lacs de haute altitude, situés au nord de l'estuaire et du golfe du Saint-Laurent. À ces endroits, de 1990 à 1998, on en a observé des individus surtout sur de petits lacs (70 % sur des lacs < 10 ha) en altitude (54 % à une altitude supérieure à 500 m), dont près de la moitié dans des lacs de tête. En général, ce canard vit dans la province écoclimatique boréale du Québec, dans les régions forestières à épinette noire (Picea mariana) et hypne (Hypnaceae) et à sapin baumier (Abies balsamea) et bouleau blanc (Betula papyrifera) (Robert et al., 2000). Cependant, aucune étude détaillée n'a été menée sur les caractéristiques particulières des lacs utilisés par le Garrot d'Islande dans l'est du Canada (en particulier en comparaison des lacs fréquentés par le Garrot à œil d'or).
Figure 1. Répartition mondiale du Garrot d'Islande
Le Garrot d'Islande fréquente les eaux côtières de l'ouest et de l'est du Canada. On l'observe principalement près des côtes rocheuses abritées, et il a tendance à demeurer plus près des côtes que le Garrot à œil d'or. On signale à l'occasion la présence de quelques individus sur des cours d'eau ouverts (Savard, 1989 et 1990). En Colombie-Britannique, les garrots sont répartis en grappes en hiver, et ne sont abondants que dans quelques secteurs. Ils sont plus nombreux sur la côte continentale que sur la côte est de l'île de Vancouver (Mitchell, 1952; Vermeer, 1982), probablement en raison de la prédominance des côtes rocheuses du côté continental du détroit de Georgia. Avec la Macreuse à front blanc (Melanitta perspicillata), le Garrot d'Islande est l'espèce de sauvagine qui hiverne en plus grand nombre dans les bras côtiers (Vermeer, 1982). Les Garrots d'Islande qui hivernent en Colombie-Britannique et en Alaska se nourrissent surtout de moules bleues (Mytilus edulis) et d'autres invertébrés associés aux côtes rocheuses (Munro, 1939; Vermeer, 1982; Koehl et al., 1984). Ces oiseaux sont séparés parfois en fonction de leur âge et de leur état sur les côtes de la province. Les couples s'isolent souvent des bandes d'oiseaux en hivernage pour défendre de petits territoires côtiers (Savard, 1988a). Les groupes d'oiseaux non appariés sont habituellement observés au-dessus de grandes moulières. Des immatures et des jeunes adultes accompagnent régulièrement des mâles adultes non appariés (Savard, 1989).
Les Garrots d'Islande hivernant au Québec se répartissent aussi en grappes; ce n'est que dans quelques secteurs le long du corridor fluvial du Saint-Laurent qu'on en trouve des concentrations appréciables. Les oiseaux ne fréquentent pas nécessairement les côtes rocheuses protégées comme en Colombie-Britannique, même si certains le font (p. ex. à Baie-des-Rochers, baie du Ha! Ha! et Mistassini). L'état des glaces est sans doute un facteur important pour la répartition hivernale de l'espèce le long de l'estuaire et du golfe du Saint-Laurent. En réalité, de la fin de décembre au début de mars, une bonne partie de la rive sud du Saint-Laurent est couverte de glaces, alors que la rive nord est généralement plus dégagée, particulièrement le long de l'estuaire (Fortin et al., 1996). C'est sans doute pourquoi presque tous les Garrots d'Islande qui hivernent le long du Saint-Laurent sont signalés sur la rive nord de l'estuaire et que la plupart de ceux qui fréquentent la rive sud ne le font qu'en novembre, au début décembre et à la fin mars (SCF-QC et D. Bourget, données inédites).
Selon les données préliminaires sur les types de substrat, le Garrot d'Islande hivernant le long du corridor du Saint-Laurent se rassemble surtout au-dessus de fonds de pélite sableuse, de gravier sableux et de sable boueux-argileux (SCF-QC, données inédites).
Dans l'ensemble, la plupart des Garrots d'Islande hivernant dans l'est du Canada n'occupent que quelques secteurs. Ainsi, de grandes parties de la population se rassemblent régulièrement à certains endroits, parmi lesquels la baie des Anglais (Baie-Comeau), Baie-des-Rochers et La Malbaie-Pointe-au-Pic (entre autres Cap-à-l'Aigle) sont très importants (pour plus de détails, voir la section « Effectifs et tendances de la population »).
Dans l'est du Canada, les sites de mue connus des mâles adultes sont les eaux côtières des baies d'Hudson, d'Ungava et Frobisher (île de Baffin) de même que quelques bras de mer du nord du Labrador (figure 1, SCF-QC, données inédites). Jusqu'à présent, l'utilisation de l'habitat à ces sites de mue n'a pas été décrit.
Dans l'ouest de l'Amérique du Nord, les mâles adultes muent sur des lacs intérieurs du nord. Dans la plaine Old Crow, au Yukon, un des rares sites de mue connus, les oiseaux ont tendance à choisir les lacs les plus productifs (van de Wetering, 1997). Les canes adultes n'entreprennent pas toujours la longue migration vers le nord comme le font les mâles avant de muer. En Colombie-Britannique, elles muent sur de grands lacs situés à quelques kilomètres (10-100 km) des aires de nidification (Campbell et al., 1990). Au Québec, on a signalé des canes en mue sur un lac intérieur des hauts plateaux à l'ouest de la rivière Saguenay en août et septembre 1999, à environ 100 km au nord-nord-est de la ville de Québec (Y. Hamel, comm. pers.); cela semble indiquer que les femelles adultes muent fort probablement sur des lacs situés aux environs des aires de nidification. Le lac de mue en question est grand (664 ha) par rapport aux lacs utilisés pour la nidification (Robert et al., 2000) et peu profond (le plus souvent < 2 m) (Morrier et al., 1994).
Dans l'est du Canada, et particulièrement au Québec, l'étendue de l'habitat de nidification a sans doute diminué considérablement, en raison surtout de l'exploitation forestière et de l'introduction de poissons. Par ailleurs, l'habitat d'hivernage le long du corridor du Saint-Laurent s'est aussi dégradé à cause de la contamination des sédiments du fleuve, notamment dans la baie des Anglais (Baie-Comeau), où hivernent un très grand nombre de Garrots d'Islande (pour plus de détails, voir la section « Facteurs limitatifs et menaces »).
La plupart des habitats de nidification de la population de l'Est du Garrot d'Islande se trouvent probablement sur des terres appartenant au gouvernement du Québec. En fait, les hauts plateaux au nord du corridor du Saint-Laurent (Robert et al., 2000) sont le plus souvent des terres publiques divisées en unités d'aménagement, que gèrent les sociétés forestières. Certains de ces secteurs sont en outre situés dans des zones d'exploitation contrôlée (ZEC) et dans des réserves fauniques, mais cela ne protège en rien les oiseaux qui peuvent y nicher, étant donné qu'on y exploite la forêt comme partout ailleurs. C'est le cas de la zone d'exploitation contrôlée Chauvin (où des couvées de Garrots d'Islande ont été découvertes en 1998 et en 1999), où l'habitat de nidification de l'espèce a été fortement déboisé durant les dernières décennies (M. Robert, observation personnelle).
Certaines aires d'importance utilisées par le Garrot d'Islande en hivernage dans l'est de l'Amérique du Nord sont situées dans des zones protégées. Par exemple, Baie-des-Rochers et Tadoussac font partie du parc marin du Saguenay–Saint-Laurent; il faut noter cependant que la chasse à la sauvagine est permise dans le parc comme ailleurs le long du Saint-Laurent. Au deuxième rang des aires d'hivernage protégées pour l'espèce, se classe le parc provincial de Bic (qui comprend la baie du Ha! Ha! et l'anse à Mercier), où quelques centaines d'oiseaux se rassemblent à la fin de l'automne et au début du printemps. La chasse est interdite dans le parc. D'autres aires d'hivernage majeures (voir la section « Taille et tendances de la population ») du corridor du Saint-Laurent, telles que la baie des Anglais (en partie), La Malbaie, Cap-à-l'Aigle (en partie) et Godbout, sont aussi protégées en vertu du Règlement sur les habitats fauniques du Québec (C-61.1, r. 0.1.5; Loi du gouvernement du Québec : Loi sur la conservation et la mise en valeur de la faune). La protection a trait à des activités particulières comme l'exploration minière et pétrolière, mais n'interdit pas la chasse. Celle-ci est cependant interdite dans l'aire d'hivernage de Dalhousie, au Nouveau-Brunswick (M. Bateman, SCF-région de l'Atlantique, comm. pers.).
- Reproduction
- Survie
- Alimentation et relations interspécifiques
- Déplacements
- Comportement et adaptabilité
La plupart des données sur la biologie du Garrot d'Islande sont tirées d'études qui ont été menées dans l'ouest de l'Amérique du Nord et en Islande. Il existe très peu d'informations sur la population de l'Est, sauf les données préliminaires provenant des travaux en cours au Québec (M. Robert et J.-P. L. Savard, SCF-QC, données inédites).
Le Garrot d'Islande est le plus souvent monogame, quoique des cas de polygynie aient été signalés en Colombie-Britannique (Savard, 1986a). Les couples s'établissent dans les aires d'hivernage. La première reproduction se produit en général à l'âge de deux ans mais, chez certains individus, parfois pas avant l'âge de trois ou quatre ans. Les nouveaux couples se forment durant l'hiver ou au début du printemps (Eadie et al., 2000). Dans l'ouest du Canada, les couples restent fidèles durant plusieurs années et se retrouvent de nouveau chaque année à l'automne dans les aires d'hivernage auxquelles ils sont également fidèles (philopatrie) (Savard, 1985). Il existe peu de données sur les rapports des sexes et des âges (Eadie et al., 2000). Selon les résultats préliminaires d'observations effectuées en hiver au Québec, la population de Garrots d'Islande qui hiverne le long de l'estuaire du Saint-Laurent comprend près de 73 % d'adultes et 26 % d'immatures, et les femelles et les mâles représentent respectivement environ 30 % et 43 % de la population adulte (sexe-ratio = 1,5, biaisé en faveur des mâles) (SCF-QC, données inédites).
En général, le Garrot d'Islande niche dans les cavités des arbres; en de rares occasions, il arrive qu'il le fasse dans des crevasses rocheuses ou dans d'autres cavités (Bellrose, 1980; Eadie et al., 2000). Selon la disponibilité des cavités, les nids peuvent être près de l'eau ou jusqu'à un à deux kilomètres d'un plan d'eau. Seules les cavités des Grands Pics (Dryocopus pileatus) sont assez grandes pour que le garrot s'en serve directement. Des individus peuvent aussi nicher dans des cavités créées par des branches d'arbres brisées et dans les creux au bout des chicots. Les nids sont construits à une hauteur de deux à quinze mètres (Eadie et al., 2000). L'espèce s'adapte facilement au nichoir et s'y reproduit (Savard, 1982a, 1988b). Il n'existe aucune donnée sur la grandeur des cavités naturelles utilisées par le Garrot d'Islande, mais selon des données sur l'espèce congénère un peu plus petite, le Garrot à œil d'or, le diamètre intérieur moyen est de 20,6 cm, la profondeur moyenne, de 46,2 cm et l'ouverture moyenne, de 22,4 cm de longueur sur 11,4 cm de largeur (Prince, 1968). Au Québec, une cavité naturelle utilisée par un Garrot à œil d'or mesure 13,5 cm sur 7,7 cm, et sa profondeur est de 80 cm (C. Maisonneuve, Faune et Parcs Québec, comm. pers.).
Les couvées comptent de six à douze œufs, avec une moyenne de huit. Les jeunes femelles ont des plus petites couvées que les femelles plus âgées. Le parasitisme intraspécifique des nids est courant (Eadie, 1989; Eadie et Fryxell, 1992), en particulier dans les nichoirs. En général, la cane pond un œuf tous les deux jours. En Colombie-Britannique, l'intervalle entre les pontes est de 1,89 jour en moyenne et diminue avec les pontes (Thompson, 1996). La femelle n'a qu'une couvée par année. Seule la femelle couve les œufs; cependant, le mâle reste avec la cane durant les sept à dix premiers jours de l'incubation, qui dure en tout trente jours. La femelle commence habituellement à couver après la ponte du dernier œuf (Palmer, 1976). En Colombie-Britannique, la période d'incubation moyenne est de 30,2 jours (intervalle de 26 à 36 jours) (Palmer, 1976; Eadie et al., 2000).
En Colombie-Britannique, sur une période de quatre ans, en moyenne 46 % des nids sont productifs, 31 % sont pillés par des prédateurs et 23 % sont abandonnés (n = 37-132 nichoirs; Savard, 1988b). Dans une autre région de la province, sur une période de dix ans, en moyenne 48,2 % des nids sont productifs (Eadie et al., 2000). L'éclosion est synchrone, et les jeunes nidifuges passent de 24 à 36 heures au nid (Eadie et al., 2000). Dès qu'ils quittent le nid, la femelle les amène dans un étang ou un lac proche, traversant en général jusqu'à deux kilomètres de terres avant d'atteindre le site d'élevage (Eadie et al., 2000).
En Colombie-Britannique, le taux de survie des couvées est variable; il est de 37,7 % en moyenne, avec une variation de 0 à 100 % (n = 105 couvées). La taille moyenne d'une couvée passe de 9,2 à 3,6 canetons entre la ponte et l'envol (n = 76 couvées) (Eadie et al., 2000). Les mortalités se produisent surtout durant la première semaine après l'éclosion (Savard et al., 1991). Le taux de survie des canetons des couvées tardives est plus faible que celui des couvées hâtives (Bengtson, 1972; Savard et al., 1991).
En Colombie-Britannique, la survie annuelle des femelles nicheuses établie à partir des données de capture-recapture est en moyenne de 66 % sur onze ans (Eadie et al., 2000). Une autre analyse, basée sur les taux de retour et de ré-observations des canes, a obtenu un taux de survie semblable (63 %), variant de 53 à 89 % (Savard et Eadie, 1989). La durée de vie reproductrice de la femelle est de 2,16 ans en moyenne, pour une fourchette de 1-9 ans. La longévité maximum enregistrée est de 18 ans pour un garrot de sexe inconnu. Par ailleurs, on a retrouvé deux mâles âgés de 15 ans et une femelle âgée de 12 ans (Eadie et al., 2000).
Durant la saison de nidification, le Garrot d'Islande se nourrit surtout d'insectes aquatiques et de crustacés dans les eaux intérieures (Munro, 1939; Thompson, 1996), et de mollusques et de crustacés dans les eaux côtières (Vermeer, 1982; Koehl et al., 1982; Fitzner et Gray, 1994). La végétation ne représente qu'une petite fraction (< 20 %) du régime alimentaire. Les mollusques sont particulièrement importants en hiver, entre autres les moules bleues et les bigorneaux (Littorina sp.). L'espèce cherche sa nourriture dans l'eau peu profonde le long des côtes et rarement à plus de quatre mètres de profondeur. Elle préfère les eaux libres sans végétation émergente ou sans végétation submergée dense (Eadie et al., 2000).
En Colombie-Britannique, les mâles défendent des territoires sur les lacs de nidification; ils en chassent tous les garrots conspécifiques et congénères, sauf leur partenaire (Savard, 1982b, 1984). Le territoire des couvées, établi par la cane après l'éclosion des œufs, diffère en général du territoire du couple (souvent sur des lacs différents). Les autres garrots, en particulier les jeunes des autres couvées, sont exclus du territoire (Savard, 1987, 1988a). En Colombie-Britannique, certains mâles appariés défendent des territoires dans leurs aires d'hivernage (Savard, 1988a). Malgré des observations intensives, pareil comportement de défense territoriale n'a pas encore été observé dans l'est du Canada (SCF-QC, données inédites). Cependant, à la fin de l'hiver, les couples défendent en général un espace autour d'eux pour éloigner les garrots conspécifiques (C. Marcotte, SCF-QC, observation personnelle). Le Garrot d'Islande traite les deux autres espèces de garrots comme des conspécifiques et les exclut de son territoire (Savard, 1982b). À l'occasion, il en chasse aussi d'autres espèces d'oiseaux aquatiques (p. ex. la Foulque d'Amérique, Fulica americana) et est plus agressif envers les canards plongeurs qu'envers les canards barboteurs. La défense territoriale semble liée à la protection d'une aire d'alimentation contre de possibles compétiteurs (Savard et Smith, 1987).
Les femelles avec des canetons sont extrêmement agressives envers les autres femelles et les jeunes, et les rencontres de couvées différentes, qui peuvent être fort violentes, entraînent souvent la mort des canetons ou l'amalgame des couvées (Andrew, 1960; Savard et al., 1987b, 1991). La mortalité des canetons étant plus élevée sur les lacs à plusieurs couvées que sur les lacs à une seule couvée, on pense que la survie des canetons est en quelque sorte fonction de la densité (Savard et al., 1991; Einarsson, 1988, 1990).
La plupart des données sur les déplacements de la population de l'Est du Garrot d'Islande sont tirées d'une étude par télémétrie menée par le Service canadien de la faune (M. Robert et J.-P. L. Savard, SCF-QC). Jusqu'à présent (depuis février 1998), on a posé un émetteur satellite sur 21 Garrots d'Islande (18 mâles et 3 femelles) hivernant le long de l'estuaire du Saint-Laurent; on a suivi ces oiseaux dans le but d'obtenir des informations détaillées sur leur répartition et leurs mouvements (pour plus de détails, voir Robert et al., 1999, 2000, ou le site Web du Service canadien de la faune à http://www.qc.ec.gc.ca/faune/sauvagine/html/garrot_dislande.html).
L'espèce fait trois migrations par année : la première entre les aires d'hivernage et de nidification, la deuxième entre les aires de nidification et de mue, et la troisième entre les aires de mue et d'hivernage. Dans l'est du Canada, les oiseaux quittent les aires d'hivernage (principalement le corridor du Saint-Laurent) à la fin d'avril ou au début de mai en direction des lacs de nidification situés de 60 à 140 km plus loin, sur les hauts plateaux de la rive nord de l'estuaire et du golfe du Saint-Laurent. Les mâles restent environ 44 jours (de 34 à 50) dans les aires de nidification, qu'ils quittent ensuite pour gagner les aires de mue à environ 1 000 km (800-1 120) au nord (Robert et al., 1999, 2000). Jusqu'à présent, la télémétrie satellitaire a permis de repérer sept sites de mue : deux dans la baie d'Hudson, deux dans la baie d'Ungava, deux sur la côte du Labrador et un à l'embouchure de la baie Frobisher dans l'île de Baffin (Robert et al., 1999, SCF-QC, données inédites). On connaît peu l'écologie, l'abondance et les préférences en matière d'habitat des oiseaux dans les aires de mue.
La plupart des Garrots d'Islande mâles demeurent dans les aires de mue jusqu'à la fin d'octobre et commencent ensuite à migrer vers les sites d'hivernage. La migration est directe et ne dure que quelques jours; un oiseau a mis moins de deux jours pour parcourir la distance entre la baie d'Ungava et l'estuaire du Saint-Laurent (1 200 km) (Robert et al., 1999). Il semble que les femelles muent sur des lacs près des aires de nidification; en août et septembre 1999, on a signalé la présence d'environ 80 femelles en mue sur un lac situé à environ 100 km au nord-nord-est de la ville de Québec (Y. Hamel, comm. pers.).
Selon les résultats préliminaires de relevés terrestres et de télémétrie satellitaire de Garrots d'Islande hivernant le long du corridor du Saint-Laurent, au Québec, certains oiseaux se déplacent de la rive sud vers la rive nord de l'estuaire à la fin de l'automne (probablement en fonction des conditions de la glace; voir la section « Habitat d'hivernage »), et d'autres se déplacent d'un secteur à l'autre le long de la rive nord de l'estuaire durant l'hiver (SCF-QC, données inédite).
densité des individus sur les lacs de nidification. Cependant, l'amalgame de couvées en atténue jusqu'à un certain point l'effet, car il permet d'élever un plus grand nombre de jeunes dans certains secteurs où la territorialité rendrait la chose impossible (Savard, 1987; Eadie et al., 1988; Eadie et Lyon, 1998). En quelque sorte, l'amalgame de couvées est le résultat accidentel des fortes densités de nidification (Savard et al., 1999). De la même manière, lorsque le nombre de sites de nidification est limité, le parasitisme intraspécifique des nids peut faire augmenter la production. Cependant, il peut aussi avoir un effet négatif dans certains cas en faisant augmenter le taux d'abandon des nids (Eadie et Lumsden, 1985; Eadie, 1989, 1991; Eadie et Fryxell, 1992). En raison de son comportement territorial interspécifique agressif, le Garrot d'Islande peut avoir un impact sur la survie des canetons d'autres espèces de sauvagine sympatriques, comme le Garrot à œil d'or et le Petit Garrot (Robertson et Stelfox, 1969; Savard, 1986b).
Le Garrot d'Islande s'adapte bien aux nichoirs, qui ont d'ailleurs contribué à l'augmentation de la taille de la population locale (Savard, 1982a, 1988b), comme ce fut également le cas pour la population de Garrot à œil d'or (Coulter, 1979; Dennis et Dow, 1984).
Durant l'année précédant la nidification, les jeunes adultes cherchent des sites de nidification (Eadie et Gauthier, 1985). La plus grande partie de cette recherche se fait entre le milieu et la fin de la période d'incubation (des adultes). Cela permet aux oiseaux de commencer à nidifier rapidement l'année suivante.
Selon les connaissances actuelles, les aires de concentration de Garrots d'Islande en hivernage dans l'est de l'Amérique du Nord se situent surtout au Québec et, à un moindre degré, dans les provinces de l'Atlantique et dans le Maine. Les données actuelles sur les effectifs et les tendances des Garrots d'Islande hivernant dans ces régions sont résumées dans les pages suivantes.
Toutes les données présentées dans cette section sont tirées d'un rapport inédit de Daury et Bateman (1996), du Service canadien de la faune, qui porte sur le Garrot d'Islande dans les provinces de l'Atlantique et dans le Maine.
Il semble que Dalhousie, du côté néo-brunswickois de la baie des Chaleurs, constitue la principale aire d'hivernage du Garrot d'Islande dans les provinces de l'Atlantique. En 1995, on a signalé à cet endroit un effectif maximum de 1 000 oiseaux; la situation était cependant inhabituelle et ne peut être considérée comme représentative du site (M. Bateman, SCF-région de l'Atlantique, comm. pers.). En fait, le deuxième plus grand effectif de Garrots d'Islande jamais observé dans cette région est de 300 oiseaux. Dans l'ensemble, de 50 à 300 individus hivernent en général dans les environs de Dalhousie. L'autre important site d'hivernage est situé à Shediac, sur la côte est du Nouveau-Brunswick, où hivernent en général de 15 à 40 oiseaux.
Apparemment, très peu de Garrots d'Islande hivernent en Nouvelle-Écosse, où l'effectif maximum signalé dans un site particulier est 18, à la rivière Annapolis (en 1993). Pugwash et Pictou sont aussi connus comme sites d'hivernage pour quelques individus. De 125 à 250 garrots hivernent en outre à quelques endroits à l'Île-du-Prince-Édouard, dont Oyster Bed Bridge, West River et Roxbury, ainsi que dans le parc national de l'Île-du-Prince-Édouard; un maximum de 236 individus a été signalé dans l'île en 1988, et un minimum de 78, en 1994 (pour plus de détails, voir Dibblee et al., 1996). À Terre-Neuve, le Garrot d'Islande est le plus souvent observé près du parc national Terra-Nova, sur la côte est de l'île, où un maximum de 15 individus a été signalé. L'espèce n'est pas connue pour hiverner le long de la côte du Labrador. Le Maine accueillerait environ 40 individus chaque hiver, la plupart à Orono et, à un moindre degré, à Bucksport et Portland. Il semble que très peu de Garrots d'Islande hivernent ailleurs le long de la côte de l'Atlantique (Daury et Bateman, 1996).
Dans l'ensemble, Daury et Bateman (1996) estiment que les effectifs de Garrots d'Islande hivernant au Canada atlantique et dans le Maine ne dépassent généralement pas 400 oiseaux. Malheureusement, aucune donnée valide ne permet de dégager des tendances relatives aux effectifs hivernant dans ces régions. En fait, des relevés systématiques d'aires d'hivernage ont été menés uniquement dans l'Île-du-Prince-Édouard (Dibblee et al.,1996), où les relevés constants effectués de 1988 à 1994 indiquent un déclin des effectifs en hivernage, sauf pour les deux dernières années (de 1988 à 1994, les effectifs ont baissé de 236 à 78 individus, pour remonter à 135 en 1996) (voir la figure 9 dans Daury et Bateman, 1996). Cependant, ces relevés sont peu concluants, vu qu'une très petite partie de la population de l'Est du Garrot d'Islande hiverne à l'Île-du-Prince-Édouard et que les récents hivers ont été plus doux que la normale; c'est pourquoi des oiseaux qui hivernaient auparavant à l'île le font désormais plus au nord (R. Dibblee, comm. pers.).
Une très grande partie de la population de l'Est du Garrot d'Islande hiverne dans la province de Québec. Cette constatation a été faite pour la première fois lors de relevés hivernaux menés au milieu des années 1970 (Reed et Bourget, 1977), qui ont clairement montré que l'estuaire et le golfe du Saint-Laurent représentaient un bastion pour cette population. Les pages suivantes contiennent divers types de données servant à évaluer les effectifs et les tendances des Garrots d'Islande qui hivernent au Québec. Ces données sont tirées de la base de données de l'Étude des populations d'oiseaux du Québec (ÉPOQ), des Recensements des oiseaux de Noël et de relevés terrestres et aériens de l'espèce du SCF-QC.
La base de données de l'Étude des populations d'oiseaux du Québec ou des Études des populations d'oiseaux du Québec renferme d'intéressantes données sur les effectifs du Garrot d'Islande au Québec. L'Étude des populations d'oiseaux du Québec contient des données provenant de listes remplies par des observateurs qui signalent le nombre d'oiseaux de toutes espèces vus ou entendus à un seul site d'observation en une seule journée. La plupart des listes sont présentées par des ornithologues amateurs d'expérience et proviennent de l'ensemble du corridor du Saint-Laurent dans le sud du Québec. L'Étude des populations d'oiseaux du Québec, qui est le plus ancien et le plus élaboré des programmes de compilation de listes d'oiseaux en Amérique du Nord, contient environ trois millions de données provenant de plus de 200 000 listes (pour obtenir plus de renseignements sur l'Étude des populations d'oiseaux du Québec, voir Cyr et Larivée, 1995, David, 1996, et Dunn et al., 1996).
Selon l'Étude des populations d'oiseaux du Québec, le Garrot d'Islande est présent de la mi-octobre aux premiers jours de mai dans le sud du Québec (David, 1996), même si la plupart des oiseaux se rassemblent pour hiverner le long du corridor du Saint-Laurent de la mi-novembre à la mi-avril. Durant la même période, on signale très peu d'individus dans la section fluviale du Saint-Laurent, le long de la rivière Saguenay et du lac Saint-Jean ou ailleurs à l'intérieur du Québec (tableau 1). Cela est particulièrement vrai en janvier et février (Cyr et Larivée, 1995), lorsque les glaces rendent ces zones inaccessibles aux oiseaux aquatiques. Quelques individus hivernent habituellement sur la rivière Madawaska près de Dégelis (tableau 1), à l'embouchure du lac Témiscouata. Dans l'ensemble, nous pensons qu'au plus quelques douzaines de Garrots d'Islande hivernent probablement au Québec ailleurs que le long de l'estuaire et du golfe du Saint-Laurent (voir ce qui suit), surtout en raison de l'état des glaces.
Les données de l'Étude des populations d'oiseaux du Québec pour l'estuaire et le golfe du Saint-Laurent sont présentées respectivement dans les tableaux 2 et tableau3. Selon le tableau 2, l'estuaire du Saint-Laurent représente une aire d'hivernage très importante pour le Garrot d'Islande, vu les très gros effectifs régulièrement signalés par les ornithologues amateurs à cet endroit. On a mentionné la présence de nombreux Garrots d'Islande dans diverses zones des rives nord et sud de l'estuaire. Sur la rive nord, les principaux endroits sont notamment Baie-Comeau (baie des Anglais), Baie-des-Rochers, Tadoussac et La Malbaie-Pointe-au-Pic (tableau 2). La plupart des Garrots d'Islande observés sur la rive sud l'ont été en général entre Saint-Fabien (à l'ouest de Rimouski) et Matane, en particulier dans la région de Métis. Jusqu'à 1 156 et 1 000 Garrots d'Islande ont été vus sur la rive nord de l'estuaire du Saint-Laurent, respectivement à Tadoussac et à Baie-Comeau, et jusqu'à 440, 300 et 270 sur la rive sud, respectivement à Métis-sur-Mer, Grand-Métis et Sainte-Flavie (tableau 2). Il faut noter que la région de Tadoussac accueille en général beaucoup moins de Garrots d'Islande de nos jours qu'en 1976; on n'y a pas dénombré plus de 130 individus durant les relevés hivernaux menés en 1997-1998 et en 1998-1999 (SCF-QC, données inédites).
Des ornithologues amateurs ont signalé de plus petits effectifs le long du golfe du Saint-Laurent. Selon le tableau 3, quelques douzaines d'individus sont présents dans la baie des Chaleurs, même si de grands effectifs de garrots ont été observés à New Richmond (à environ 40 km de Dalhousie, au Nouveau-Brunswick) en 1994 (275 individus) et en 1996 (800 individus), et à Sainte-Thérèse-de-Gaspé en 1991 (240 individus). Cap-d'Espoir, Chandler et Newport font partie des autres endroits de la baie des Chaleurs où on observe régulièrement le Garrot d'Islande. De plus, de grands effectifs sont souvent signalés en divers endroits le long de l'extrémité est de la péninsule de Gaspé, comme à Percé, à Barachois-de-Malbaie, à Gaspé et dans le parc national Forillon. En 1991, des ornithologues amateurs ont observé plus de 200 individus dans le parc national Forillon (tableau 3). Aucun garrot n'hiverne habituellement dans les îles de la Madeleine (Fradette, 1992). Enfin, des ornithologues amateurs de la rive nord du golfe du Saint-Laurent (qui sont très peu nombreux) ont signalé à l'occasion la présence de grands nombres de Garrots d'Islande, principalement à Sept-Îles, où jusqu'à 125 individus ont été observés (tableau 3).
Selon la base de données de l'Étude des populations d'oiseaux du Québec (annexe 3 in Cyr et Larivée, 1995), il existe une forte tendance positive (p < 0,05) dans l'indice annuel d'abondance (c'est-à-dire l'effectif total de Garrots d'Islande divisé par le nombre total de listes pour une année donnée) et l'effectif annuel moyen (c'est-à-dire l'effectif total de Garrots d'Islande divisé par le nombre total de listes sur lesquelles figure l'espèce pour une année donnée) au Québec entre 1970 et 1989. Cependant, on ne note pour la même période aucune tendance relative à la fréquence (%) des listes sur lesquelles figure le Garrot d'Islande pour une année donnée (Cyr et Larivée, 1995). Nous pensons qu'il faut interpréter ces données avec prudence, parce que les tendances de l'Étude des populations d'oiseaux du Québec sont reconnues pour être biaisées positivement (Dunn et al., 1996). Elles résultent peut-être du perfectionnement des compétences et des instruments optiques ou encore, du déplacement des ornithologues amateurs vers des lieux d'observation plus productifs. Nous pensons que cette hypothèse se confirmera notamment au Québec; on y a en effet découvert durant les années 1980 de nouvelles aires d'hivernage, et l'espèce est de plus en plus considérée comme « espèce recherchée » par les ornithologues amateurs.
| Régions | Endroits | 1976 | 1977 | 1978 | 1979 | 1980 | 1981 | 1982 | 1983 | 1984 | 1985 | 1986 |
|---|---|---|---|---|---|---|---|---|---|---|---|---|
| Fleuve Saint-Laurent | Hull | -3 | 5 | 6 | 1 | 2 | 2 | 1 | 1 | 1 | 1 | 1 |
| Fleuve Saint-Laurent | Valleyfield | - | - | - | - | - | - | - | - | - | 20 | - |
| Fleuve Saint-Laurent | Îles Saint-Pierre (Berthier) | - | - | - | 3 | 10 | - | - | - | - | - | - |
| Fleuve Saint-Laurent | Saint-Augustin | - | 2 | -- | - | - | - | - | 1 | - | - | - |
| Fleuve Saint-Laurent | Cap-Rouge | - | - | - | - | 2 | - | - | - | - | - | - |
| Fleuve Saint-Laurent | Saint-Romuald | - | - | - | - | - | - | 1 | - | - | - | - |
| Fleuve Saint-Laurent | Lévis-Lauzon | 2 | - | - | - | - | - | - | 2 | - | 1 | 4 |
| Fleuve Saint-Laurent | Beauport (île d'Orléans) | 2 | - | - | 1 | - | - | - | - | - | 1 | 5 |
| Saguenay-Lac-Saint-Jean | Anse de Roche | - | - | - | - | - | - | - | - | - | - | - |
| Saguenay-Lac-Saint-Jean | La Baie | - | - | - | - | 1 | 2 | 2 | - | - | 2 | 3 |
| Saguenay-Lac-Saint-Jean | Arvida | - | - | 4 | - | - | - | 2 | - | - | - | - |
| Saguenay-Lac-Saint-Jean | Alma | - | - | - | - | - | - | - | 41 | - | - | 1 |
| Intérieur du Québec | Magog | 3 | 3 | 6 | - | 1 | 1 | - | - | - | - | - |
| Intérieur du Québec | Sainte-Catherine-de-Portneuf | - | 5 | - | - | - | - | - | - | - | - | - |
| Intérieur du Québec | Laterrière | 3 | 4 | 5 | - | 3 | - | 1 | - | 1 | 1 | 1 |
| Intérieur du Québec | Dégelis | - | 6 | 15 | 10 | 10 | 20 | 15 | 5 | - | 8 | 6 |
| Intérieur du Québec | Manic-1 | - | - | - | - | - | - | - | - | 30 | - | - |
| Intérieur du Québec | Manic-2 | - | - | - | - | - | - | - | - | 25 | - | - |
| Régions | Endroits | 1987 | 1988 | 1989 | 1990 | 1991 | 1992 | 1993 | 1994 | 1995 | 1996 |
|---|---|---|---|---|---|---|---|---|---|---|---|
| Fleuve Saint-Laurent | Hull | 2 | 2 | 2 | - | - | 4 | 6 | 2 | 1 | - |
| Fleuve Saint-Laurent | Valleyfield | - | - | - | - | - | - | - | - | - | - |
| Fleuve Saint-Laurent | Îles Saint-Pierre (Berthier) | - | - | - | 6 | 2 | - | 8 | - | - | - |
| Fleuve Saint-Laurent | Saint-Augustin | - | - | - | - | 4 | - | 3 | 1 | - | - |
| Fleuve Saint-Laurent | Cap-Rouge | - | - | - | - | 4 | 4 | 2 | 2 | - | 1 |
| Fleuve Saint-Laurent | Saint-Romuald | 1 | 1 | - | 1 | 6 | 1 | 13 | - | - | - |
| Fleuve Saint-Laurent | Lévis-Lauzon | 2 | 1 | 1 | 2 | 1 | 2 | - | - | - | 1 |
| Fleuve Saint-Laurent | Beauport (île d'Orléans) | - | 2 | - | - | - | - | 1 | 1 | - | 1 |
| Saguenay-Lac-Saint-Jean | Anse de Roche | - | - | - | - | 4 | - | - | - | - | - |
| Saguenay-Lac-Saint-Jean | La Baie | 2 | 2 | 1 | 4 | 1 | 1 | 1 | 1 | 1 | 2 |
| Saguenay-Lac-Saint-Jean | Arvida | - | - | - | - | - | - | - | - | - | - |
| Saguenay-Lac-Saint-Jean | Alma | 1 | 2 | - | 1 | - | - | - | - | - | - |
| Intérieur du Québec | Magog | - | - | - | - | - | - | 6 | 2 | - | - |
| Intérieur du Québec | Sainte-Catherine-de-Portneuf | - | - | - | - | - | - | - | - | - | - |
| Intérieur du Québec | Laterrière | 2 | 1 | 2 | 2 | 1 | 1 | 1 | 1 | 1 | 1 |
| Intérieur du Québec | Dégelis | 30 | 30 | 12 | 5 | 15 | 6 | 7 | 2 | 5 | 1 |
| Intérieur du Québec | Manic-1 | - | - | - | - | - | - | - | - | - | - |
| Intérieur du Québec | Manic-2 | - | - | - | - | - | - | - | - | - | - |
1 Endroits où un minimum de quatre Garrots d'Islande ont été signalés durant une année donnée.
2 ÉPOQ : Base de données de l'Étude des populations d'oiseaux du Québec.
3 Un tiret (-) signifie qu'aucune donnée n'est disponible ou qu'aucun individu n'a été signalé pour une année donnée.
| Régions | Endroits | 1976 | 1977 | 1978 | 1979 | 1980 | 1981 | 1982 | 1983 | 1984 | 1985 | 1986 |
|---|---|---|---|---|---|---|---|---|---|---|---|---|
| Rive nord | Saint-Irénée | -3 | - | - | - | - | - | - | - | - | - | - |
| Rive nord | La Malbaie-Pointe-au-Pic | - | - | - | - | - | - | 1 | - | - | 2 | 2 |
| Rive nord | Cap-à-l'Aigle | - | - | - | - | - | - | - | - | - | - | - |
| Rive nord | Port-au-Saumon | - | - | - | - | - | - | - | - | - | - | - |
| Rive nord | Saint-Siméon | - | - | - | - | - | 20 | 6 | 12 | - | - | 5 |
| Rive nord | Baie-des-Rochers | - | - | - | - | - | - | 400 | - | - | - | 450 |
| Rive nord | Baie-Sainte-Catherine | - | - | 2 | - | - | - | 12 | - | 53 | 4 | 6 |
| Rive nord | Tadoussac | 1156 | - | 120 | - | 10 | - | - | 50 | 10 | - | 10 |
| Rive nord | Bergeronnes | - | 30 | 60 | 30 | 35 | 8 | 27 | 30 | 6 | 20 | 6 |
| Rive nord | Les Escoumins | - | - | 50 | - | - | - | - | - | - | - | - |
| Rive nord | Sault-au-Mouton | - | - | - | - | - | - | - | - | - | - | 10 |
| Rive nord | Forestville | - | - | 50 | - | - | - | - | - | 2 | - | 2 |
| Rive nord | Pointe-aux-Outardes | - | - | - | - | - | - | - | - | - | - | 15 |
| Rive nord | Baie-Comeau | - | - | 75 | - | - | - | 30 | 200 | 300 | 1000 | 300 |
| Rive nord | Anse Saint-Pancrace | - | - | - | - | - | - | - | 3 | - | - | - |
| Rive nord | Franquelin-Mistassini | - | - | - | - | - | 9 | - | - | 16 | 80 | - |
| Rive nord | Godbout | - | - | - | - | - | - | - | - | 15 | 3 | - |
| Rive nord | Pointe-des-Monts | - | - | 135 | - | - | 2 | - | - | - | - | 10 |
| Rive sud | Cacouna | 24 | - | - | - | - | - | - | - | - | - | - |
| Rive sud | Saint-Simon-sur-Mer | - | - | - | - | - | - | - | - | - | - | - |
| Rive sud | Saint-Fabien (Anse à Mercier) | - | - | - | - | - | - | 180 | 60 | 90 | 130 | 57 |
| Rive sud | Parc provincial du Bic | - | - | - | 60 | 100 | 106 | 10 | - | 45 | - | 2 |
| Rive sud | Rimouski | 135 | 150 | 60 | 200 | 150 | 30 | 30 | 11 | 200 | 50 | 6 |
| Rive sud | Pointe-au-Père | 9 | 50 | 35 | 150 | 6 | 60 | 50 | 40 | 85 | 75 | 48 |
| Rive sud | Sainte-Luce | - | - | - | 10 | - | 50 | 2 | 4 | 19 | 6 | 5 |
| Rive sud | Sainte-Flavie | - | 30 | - | 20 | - | 125 | 55 | 30 | 75 | 20 | 100 |
| Rive sud | Grand-Métis | - | - | - | 300 | - | 60 | 100 | - | - | - | - |
| Rive sud | Métis-sur-Mer | 150 | 22 | - | 40 | 100 | 300 | 400 | 6 | 440 | 105 | 15 |
| Rive sud | Baie-des-Sables | - | - | - | - | - | - | - | - | 10 | 47 | - |
| Rive sud | Saint-Ulric | 4 | - | 50 | - | 56 | 9 | 4 | 2 | - | - | 100 |
| Rive sud | Matane | - | 30 | 51 | - | - | 19 | 67 | 100 | - | 5 | - |
| Régions | Endroits | 1987 | 1988 | 1989 | 1990 | 1991 | 1992 | 1993 | 1994 | 1995 | 1996 |
|---|---|---|---|---|---|---|---|---|---|---|---|
| Rive nord | Saint-Irénée | - | - | - | - | - | - | - | - | - | 25 |
| Rive nord | La Malbaie-Pointe-au-Pic | - | 5 | 40 | 100 | 200 | 90 | 50 | 50 | 300 | 125 |
| Rive nord | Cap-à-l'Aigle | - | - | - | - | - | - | - | - | 125 | - |
| Rive nord | Port-au-Saumon | - | - | - | 2 | - | - | - | - | - | 50 |
| Rive nord | Saint-Siméon | - | - | 10 | 10 | 130 | 10 | 16 | 68 | 50 | 50 |
| Rive nord | Baie-des-Rochers | - | - | - | - | - | - | - | - | - | 288 |
| Rive nord | Baie-Sainte-Catherine | 15 | 84 | 260 | 9 | 15 | 10 | 10 | 100 | 8 | 100 |
| Rive nord | Tadoussac | 225 | 300 | 150 | 150 | - | 5 | 22 | 10 | 12 | - |
| Rive nord | Bergeronnes | 4 | 6 | 12 | 5 | 35 | 18 | 3 | 14 | 4 | 32 |
| Rive nord | Les Escoumins | - | - | 2 | 2 | 4 | 4 | - | 4 | - | - |
| Rive nord | Sault-au-Mouton | 25 | 2 | - | - | - | - | - | - | - | - |
| Rive nord | Forestville | - | - | - | - | - | - | - | - | - | - |
| Rive nord | Pointe-aux-Outardes | 2 | 150 | 11 | - | 10 | 10 | 2 | - | - | - |
| Rive nord | Baie-Comeau | 600 | 500 | 1000 | 1000 | 500 | 500 | 900 | 250 | 200 | - |
| Rive nord | Anse Saint-Pancrace | - | - | 40 | 17 | - | 5 | 5 | 6 | - | - |
| Rive nord | Franquelin-Mistassini | - | 2 | - | - | - | 120 | 200 | 100 | 90 | 30 |
| Rive nord | Godbout | 4 | - | - | 15 | 15 | - | 3 | 50 | 10 | - |
| Rive nord | Pointe-des-Monts | - | - | - | - | - | - | - | - | - | - |
| Rive sud | Cacouna | - | - | 40 | - | - | 2 | 50 | - | - | - |
| Rive sud | Saint-Simon-sur-Mer | - | - | - | - | - | - | - | - | - | 35 |
| Rive sud | Saint-Fabien (Anse à Mercier) | 20 | 40 | 49 | 120 | 120 | 25 | 125 | 120 | 40 | 60 |
| Rive sud | Parc provincial du Bic | 30 | - | 15 | - | 60 | - | 1 | 157 | 5 | 7 |
| Rive sud | Rimouski | 10 | 30 | 30 | 8 | 20 | 20 | 60 | 35 | 4 | 50 |
| Rive sud | Pointe-au-Père | 25 | 10 | 50 | 15 | 16 | 16 | 50 | 36 | 30 | 30 |
| Rive sud | Sainte-Luce | - | 70 | 20 | 20 | 2 | 100 | 90 | 20 | 37 | 50 |
| Rive sud | Sainte-Flavie | 11 | 30 | 270 | 55 | 32 | 125 | 1 | 2 | 100 | 60 |
| Rive sud | Grand-Métis | - | - | 120 | - | 120 | - | - | - | - | - |
| Rive sud | Métis-sur-Mer | 30 | - | 200 | 2 | 1 | - | - | 30 | 30 | - |
| Rive sud | Baie-des-Sables | 60 | - | - | - | - | - | 20 | - | - | - |
| Rive sud | Saint-Ulric | - | - | - | - | - | - | 1 | - | - | - |
| Rive sud | Matane | 1 | 8 | 8 | - | 1 | - | 25 | 75 | 58 | - |
1 Endroits où un minimum de 25 Garrots d'Islande ont été signalés durant une année donnée.
2 ÉPOQ : Base de données de l'Étude des populations d'oiseaux du Québec.
3 Un tiret (-) signifie qu'aucune donnée n'est disponible ou qu'aucun individu n'a été signalé pour une année donnée.
| Régions | Endroits | 1976 | 1977 | 1978 | 1979 | 1980 | 1981 | 1982 | 1983 | 1984 | 1985 |
|---|---|---|---|---|---|---|---|---|---|---|---|
| Baie des Chaleurs | Saint-Omer | -3 | - | 6 | - | - | - | - | - | - | - |
| Baie des Chaleurs | Carleton | - | - | - | - | - | 20 | 4 | - | 5 | - |
| Baie des Chaleurs | Maria | - | - | 8 | - | - | 50 | - | 2 | - | 5 |
| Baie des Chaleurs | New Richmond | - | - | - | - | 7 | 50 | 3 | - | - | 60 |
| Baie des Chaleurs | Caplan | - | - | - | - | - | - | 2 | - | - | 37 |
| Baie des Chaleurs | Bonaventure | - | - | - | - | - | 2 | 1 | 2 | - | - |
| Baie des Chaleurs | Paspébiac | - | - | - | - | - | - | - | - | - | 21 |
| Baie des Chaleurs | Newport | - | - | - | - | - | - | - | - | - | - |
| Baie des Chaleurs | Chandler | - | - | - | - | - | 8 | 16 | 7 | 1 | - |
| Baie des Chaleurs | Grande-Rivière | - | - | - | - | - | - | 1 | 4 | - | - |
| Baie des Chaleurs | Sainte-Thérèse-de-Gaspé | - | - | - | - | - | - | 1 | 19 | - | 1 |
| Baie des Chaleurs | Cap-d'Espoir | 9 | 10 | 7 | 8 | 12 | 12 | 6 | 17 | - | 57 |
| Baie des Chaleurs | Péninsule de Gaspé | ||||||||||
| Baie des Chaleurs | Percé | 48 | 10 | 10 | 30 | 14 | 6 | 15 | 97 | 49 | 13 |
| Baie des Chaleurs | Barachois de-Malbaie | 20 | - | 8 | 15 | 92 | 12 | 8 | 24 | 35 | - |
| Baie des Chaleurs | Pointe-Saint-Pierre (île Plate) | - | 30 | 50 | - | - | 8 | - | - | 2 | - |
| Baie des Chaleurs | Gaspé | - | - | 10 | 20 | - | - | 36 | 4 | 13 | 15 |
| Baie des Chaleurs | Parc national Forillon | - | 40 | 30 | - | 4 | - | 10 | 2 | 5 | 7 |
| Baie des Chaleurs | Mont-Louis | - | 33 | - | - | - | - | - | 2 | 5 | - |
| Baie des Chaleurs | Sainte-Anne-des-Monts | 16 | 5 | - | - | - | 4 | - | - | - | - |
| Rive nord du Saint-Laurent | Baie-Trinité | - | - | - | - | - | - | - | - | 21 | 21 |
| Rive nord du Saint-Laurent | Sept-Îles | - | 30 | 40 | - | - | - | - | - | - | - |
| Rive nord du Saint-Laurent | Sheldrake | - | - | - | - | - | - | - | - | - | - |
| Régions | Endroits | 1986 | 1987 | 1988 | 1989 | 1990 | 1991 | 1992 | 1993 | 1994 | 1995 | 1996 |
|---|---|---|---|---|---|---|---|---|---|---|---|---|
| Baie des Chaleurs | ||||||||||||
| Saint-Omer | - | - | - | - | - | - | - | - | - | 30 | - | |
| Carleton | 2 | - | - | - | - | - | - | - | - | - | - | |
| Maria | - | - | - | 3 | - | - | - | 17 | - | 45 | - | |
| New Richmond | - | 1 | - | - | - | - | - | 2 | 275 | - | 800 | |
| Caplan | - | - | - | - | - | - | - | - | 2 | - | - | |
| Bonaventure | 2 | - | 1 | - | - | 25 | 4 | 3 | - | 7 | 1 | |
| Paspébiac | - | - | - | - | - | - | - | - | - | - | - | |
| Newport | - | - | - | 5 | 24 | 14 | 15 | 9 | - | 8 | - | |
| Chandler | 10 | 6 | - | 1 | 15 | 40 | 20 | 7 | 3 | 17 | 50 | |
| Grande-Rivière | - | - | - | - | - | - | 1 | - | - | 15 | 12 | |
| Sainte-Thérèse-de-Gaspé | - | - | - | - | - | 240 | - | 4 | - | - | 15 | |
| Cap-d'Espoir | - | 33 | 6 | 31 | - | - | 30 | 10 | 9 | - | - | |
| Péninsule de Gaspé | ||||||||||||
| Percé | - | - | 79 | - | 36 | - | 40 | 5 | 20 | 50 | 20 | |
| Barachois de-Malbaie | 25 | - | - | - | 3 | - | - | 7 | 5 | 98 | 2 | |
| Pointe-Saint-Pierre (île Plate) | - | - | - | - | - | - | - | - | 25 | - | 125 | |
| Gaspé | - | - | 4 | 2 | 5 | - | - | - | - | - | - | |
| Parc national Forillon | 2 | 3 | 20 | 43 | 42 | 217 | 7 | 30 | - | - | 123 | |
| Mont-Louis | - | - | - | - | - | - | - | - | - | - | - | |
| Sainte-Anne-des-Monts | 10 | - | - | - | - | - | - | - | - | - | - | |
| Rive nord du Saint-Laurent | ||||||||||||
| Baie-Trinité | - | 2 | - | - | - | - | - | - | - | - | - | |
| Sept-Îles | - | 37 | 60 | 125 | 10 | 30 | 4 | 12 | - | 60 | - | |
| Sheldrake | - | - | - | - | - | - | - | - | - | 30 | - |
1 Endroits où un minimum de 15 Garrots d'Islande ont été signalés durant une année donnée.
2 ÉPOQ : base de données de l'Étude des populations d'oiseaux du Québec.
3 Un tiret (-) signifie qu'aucune donnée n'est disponible ou qu'aucun individu n'a été signalé pour une année donnée.
Plus de 40 recensements (anciens et récents) des oiseaux de Noël ont été menés au Québec; dans quelques cas seulement, on a mentionné de grands effectifs de Garrots d'Islande. Les recensements effectués à Baie-Comeau (entre autres dans la baie des Anglais), à Tadoussac, à Forillon et à Percé ont souvent donné de grands effectifs; en fait, on y a recensé respectivement jusqu'à 807, 235, 185 et 148 oiseaux (tableau 4). Comme pour les données de l'Étude des populations d'oiseaux du Québec, de grands nombres de garrots sont généralement mentionnés sur la rive nord du corridor du Saint-Laurent. Les résultats des recensements des oiseaux de Noël n'indiquent aucune concentration importante d'individus hivernant aux États-Unis et dans les provinces de l'Atlantique (Savard et Dupuis, 1999).
| Endroit Identification du cercle |
Forillon PQFO |
Percé PQPE |
Tadoussac | PQTA |
Baie-Comeau PQBC |
New Richmond PQNR |
Sainte-Anne-des-Monts PQSA |
Mont-Joli 483306810 |
Rimouski 1 482506826 |
|---|---|---|---|---|---|---|---|---|
| 1998 | 89 | 44 | 5 | ar | 3 | ar | ar | 51 |
| 1997 | 8 | 104 | 111 | ar | 0 | ar | ar | 51 |
| 1996 | 123 | 42 | 1 | ar | 0 | ar | ar | 31 |
| 1995 | 40 | 148 | 12 | ar | 0 | ar | ar | 01 |
| 1994 | 185 | 39 | 10 | 330 | 0 | ar | ar | 01 |
| 1993 | 50 | 12 | 23 | 262 | 0 | ar | ar | 31 |
| 1992 | 25 | 62 | 2 | 358 | 0 | ar | ar | 81 |
| 1991 | 75 | 112 | 1 | 495 | 6 | 0 | ar | 01 |
| 1990 | 42 | 36 | 0 | 730 | 0 | 0 | ar | 61 |
| 1989 | 45 | 36 | 0 | 807 | 0 | 0 | ar | 01 |
| 1988 | 20 | 97 | 235 | 250 | 0 | 0 | ar | 01 |
| 1987 | 2 | 106 | 2 | 256 | 0 | 0 | ar | 27 |
| 1986 | 5 | 30 | 6 | 206 | 0 | 10 | ar | 0 |
| 1985 | 25 | 3 | 3 | 301 | 0 | 0 | ar | 0 |
| 1984 | 2 | 84 | 0 | ar | 0 | 0 | 16 | 12 |
| 1983 | 22 | 34 | 193 | 24 | 0 | 0 | 12 | 0 |
| 1982 | 46 | 29 | 9 | ar | 150 | 0 | 0 | 0 |
| 1981 | 28 | 12 | 0 | ar | 12 | 16 | 83 | 4 |
| 1980 | 2 | ar | 10 | ar | ar | ar | ar | 0 |
| 1979 | 0 | ar | 0 | ar | ar | ar | ar | 4 |
| 1978 | 0 | ar | 120 | ar | ar | ar | ar | 1 |
1 Depuis 1988, les données des recensements des oiseaux de Noël à Rimouski n'ont pas été envoyées à la National Audubon Society (même si on effectue encore un relevé chaque année dans le cercle). Les données pour la période 1988-1998 ont été obtenues de P. Fradette.ar : Aucun recensement pour l'année.
Nous n'avons pas tenté de dégager de tendance dans les données des recensements des oiseaux de Noël au Québec (ni ailleurs dans l'est de l'Amérique du Nord), parce que nous estimons que toute interprétation fondée sur ces données serait assez douteuse. La présence de Garrots d'Islande à un endroit précis, du moins au Québec, est fonction de l'état des glaces, qui varie énormément (d'une année à l'autre) au moment où les recensements sont faits. La présence d'un grand nombre de garrots recensés dans des endroits comme Tadoussac dépend largement du niveau des marées. Dans l'ensemble, nous ne pensons pas que les données du recensement des oiseaux de Noël au Québec seraient utiles pour déterminer si une tendance se dessine en ce qui concerne les effectifs de l'espèce qui hivernent le long du corridor du Saint-Laurent.
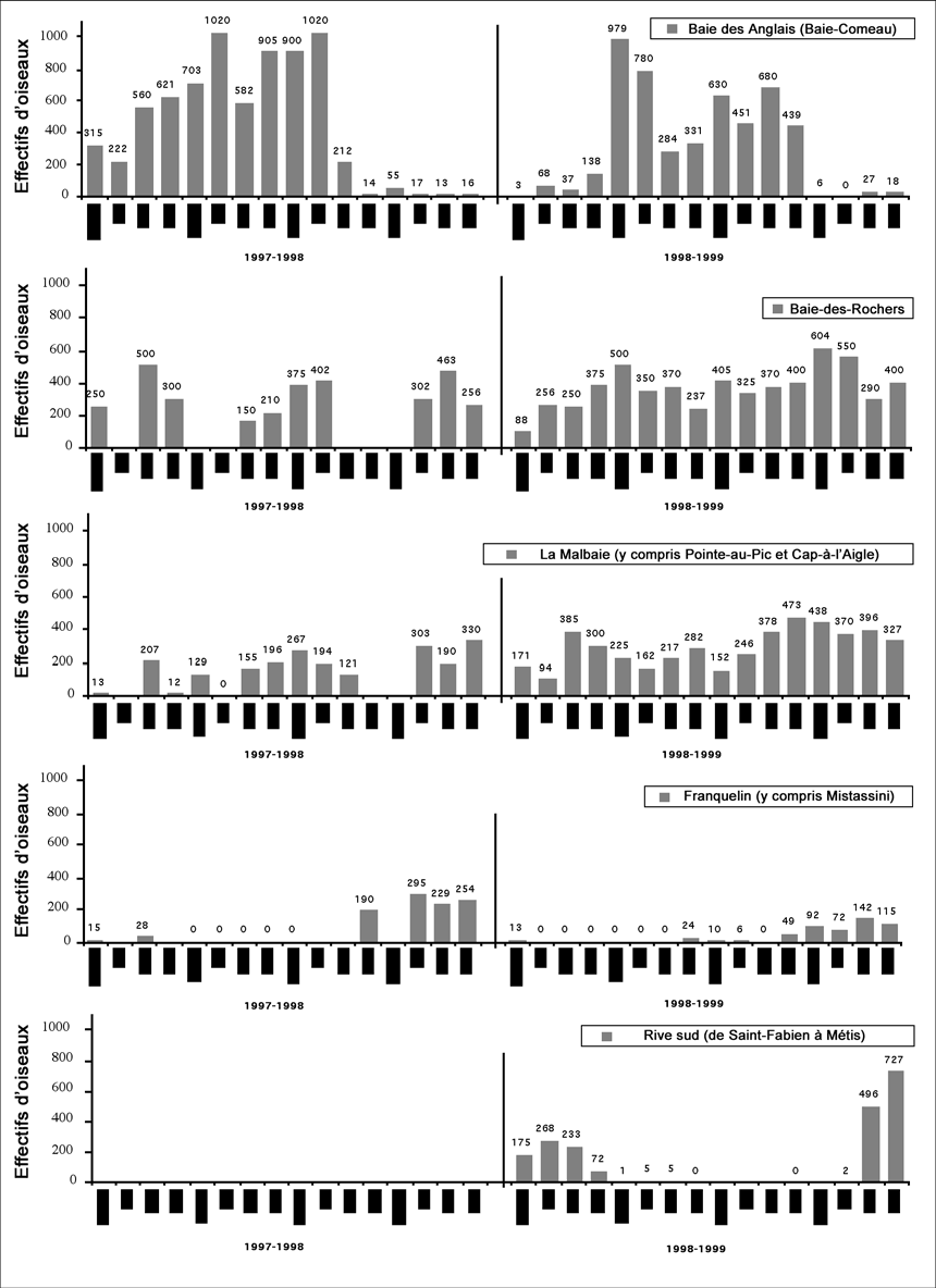
Durant les hivers 1997-1998 et 1998-1999, le Service canadien de la faune (région du Québec) a effectué chaque semaine des dénombrements exhaustifs et systématiques à des endroits précis connus pour accueillir de gros effectifs. Durant cette période, on a aussi mené des relevés dans plusieurs autres secteurs de l'estuaire du Saint-Laurent afin de repérer de nouvelles aires d'hivernage. La baie des Anglais (à Baie-Comeau), Baie-des-Rochers, La Malbaie-Pointe-au-Pic (y compris Cap-à-l'Aigle situé à proximité) et Franquelin (y compris Mistassini situé à proximité) sont les stations où on a dénombré les plus grands nombres de garrots. Tous ces endroits sont situés le long de la rive nord de l'estuaire du Saint-Laurent, où se rassemblent régulièrement en hiver beaucoup d'individus. Par exemple, on a compté jusqu'à 1 020 Garrots d'Islande dans la baie des Anglais en janvier et février 1998 (Figure 2); on y observe habituellement quelques centaines d'oiseaux jusqu'en mars, moment où les oiseaux quittent la région (du moins celle qui fait l'objet des relevés du Service canadien de la faune). Les relevés terrestres et les résultats du pistage satellitaire (SCF-QC, données inédites) révèlent que certains des Garrots d'Islande qui hivernent dans la baie des Anglais se déplacent vers la rive sud de l'estuaire du Saint-Laurent lorsque l'état des glaces le permet, c'est-à-dire habituellement en mars. En fait, il y a davantage de glaces sur la rive sud de l'estuaire que sur la rive nord, et les zones côtières de la rive sud demeurent en général inaccessibles aux garrots de la fin de décembre au début de mars. C'est ce qui explique que les effectifs de garrots relevés le long de la rive sud de l'estuaire durant l'hiver 1998-1999 étaient très faibles en janvier et en février ainsi que durant les premiers jours de mars, et qu'ils ont augmenté ensuite à plusieurs centaines d'individus. En mars 1999, on a dénombré jusqu'à 727 garrots sur la rive sud de l'estuaire du Saint-Laurent (Figure 2). Selon les relevés terrestres menés en 1997-1998 et 1998-1999 (Figure 2), il est possible aussi qu'un certain nombre d'individus hivernant dans la baie des Anglais se déplacent vers la région de Franquelin-Mistassini en mars.
Les autres principales aires d'hivernage de l'estuaire du Saint-Laurent sont le secteur de Baie-des-Rochers et de La Malbaie-Pointe-au-Pic (entre autres Cap-à-l'Aigle). En mars 1999, on a recensé jusqu'à 604 Garrots d'Islande à Baie-des-Rochers, où on signale habituellement entre 250 et 500 individus tout l'hiver (Figure 2). Par ailleurs, plusieurs centaines de garrots se rassemblent dans la région de La Malbaie durant l'hiver, même si, en général, on y observe moins d'individus qu'à Baie-des-Rochers. On a dénombré jusqu'à 473 Garrots d'Islande à La Malbaie durant l'hiver 1998-1999 (Figure 2). Il est certain que l'estuaire du Saint-Laurent représente une très importante aire d'hivernage pour la population de l'Est du Garrot d'Islande.
Figure 2. Effectifs maximums de Garrots d'Islande recensés à des endroits précis durant les hivers (de décembre à mars) 1997-1998 et 1998-1999 (SCF-QC, données inédites). Aucun relevé n'a été effectué durant les périodes sans données.
| Endroits | Garrots d'Islande | Garrots à Sil d'or | Bucephala sp. | Total |
|---|---|---|---|---|
| Estuaire du Saint-Laurent2 |
4 214
|
5 141
|
1 291
|
10 646
|
| Rive nord3 |
457
|
193
|
111
|
761
|
| Île d'Anticosti |
387
|
500
|
53
|
940
|
| Péninsule de Gaspé et baie des Chaleurs4 |
849
|
345
|
262
|
1 456
|
| Total |
5 907
|
6 179
|
1 717
|
13 803
|
1 La prudence est de rigueur dans l'interprétation de ces données (voir le texte).
2 De Baie-Saint-Paul à Pointe-des-Monts, y compris les îles.
3 De Pointe-des-Monts à Mingan.
4 Y compris la région de Dalhousie et Heron Island.
Cependant, des relevés menés par le SCF-QC en janvier et février 1999, dans le cadre de l'étude en cours sur la population de l'Est du Garrot d'Islande, ont donné des résultats différents. Le SCF-QC (D. Bordage et al.) a effectué trois relevés par hélicoptère dans l'estuaire du Saint-Laurent, de Baie-Saint-Paul à Pointe-des-Monts sur la rive nord, et de Rivière-du-Loup à Matane sur la rive sud. Toutes les eaux libres côtières et les îles ont fait l'objet de relevés, et presque tous les garrots observés (c'est-à-dire entre 97 % et 98,5 %, selon le relevé) ont été identifiés à l'espèce. On a donc trouvé respectivement 2 437, 1 702 et 2 634 Garrots d'Islande le 26 janvier, le 10 février et le 16 février 1999, la plupart près de Baie-Comeau (baie des Anglais), Baie-des-Rochers, La Malbaie-Pointe-au-Pic, Cap-à-l'Aigle, Baie-Sainte-Catherine et dans la baie de Mille-Vaches (Petite Rivière Romaine) (comparé à 3 185, 2 463 et 3 134 Garrots à Sil d'or respectivement) (Aubry et al., 1999). L'apparente différence entre les effectifs de Garrots d'Islande dénombrés le long de l'estuaire du Saint-Laurent durant le relevé de 1996 (4 214) durant ceux de 1999 (entre 1 702 et 2 634) pourrait être attribuable à un mélange d'identification erronée de Harles huppés (Mergus serrator) et de variabilité inhérente liée aux évaluations d'effectifs de groupes d'oiseaux par divers observateurs. Seulement 89 Harles huppés ont été identifiés durant le relevé de 1996, comparativement à 758, 1 278 et 1 790 (selon le relevé) en 1999. Comme le motif de l'aile du Harle huppé est très semblable à celui des garrots (en particulier à celui du Garrot d'Islande), il est très difficile de distinguer les espèces de loin. Il est donc possible que certains Garrots d'Islande identifiés en février 1996 aient en fait été des harles et que certains des harles identifiés en 1999 aient été des Garrots d'Islande; cependant, des relevés terrestres ont confirmé la présence de grands nombres de Harles huppés hivernant (jusqu'à 2 000)dans la même zone où des harles ont été observés durant les relevés aériens de 1999 (SCF-QC, données inédites).
| Année | Date | Effectifs de garrots | Type d'aéronef | Observateurs |
|---|---|---|---|---|
| 1976 | 4 février |
6 964
|
Avion | P. Dupuis et al. |
| 1988 | 11 février |
3 287
|
Avion | J.-P. L. Savard et al. |
| 1988 | 18 février |
4 146
|
Avion | J.-P. L. Savard et al. |
| 1988 | 25 février |
2 389
|
Avion | J.-P. L. Savard et al. |
| 1994 | 11 février |
2 534
|
Avion | J.-P. L. Savard et al. |
| 1994 | 23 février |
2 462
|
Avion | J.-P. L. Savard et al. |
| 1996 | 7 février |
8 945
|
Hélicoptère | P. Dupuis et al. |
| 1996 | 12 février |
6 671
|
Hélicoptère | P. Dupuis et al. |
| 1999 | 26 janvier |
3 428
|
Hélicoptère | D. Bordage et al. |
| 1999 | 10 février |
2 552
|
Hélicoptère | D. Bordage et al. |
| 1999 | 16 février |
4 431
|
Hélicoptère | D. Bordage et al. |
1 De Baie-Saint-Paul à Les Escoumins, sur la rive nord de l'estuaire du Saint-Laurent.
Selon Savard et Dupuis (1999), la comparaison des relevés de garrots (deux espèces) menés durant les hivers de 1976, de 1988 et de 1994 révèle un déclin des effectifs hivernant sur la rive nord de l'estuaire du Saint-Laurent, entre Baie-Saint-Paul et Les Escoumins. Cependant, comme le mentionnent les auteurs, la prudence est de mise dans l'interprétation de ces données. En outre, si l'on tient compte des effectifs de garrots relevés en 1996 et en 1999, l'apparente tendance négative disparaît (tableau 6). En raison de la variabilité inhérente à ces types de relevés (mis à part le fait que certains ont été effectués à bord d'avions et d'autres à bord d'hélicoptères), nous ne pouvons donc dégager avec certitude (à partir des données disponibles actuellement) une quelconque tendance relative aux effectifs de garrots (et conséquemment aux effectifs de Garrots d'Islande) qui hivernent dans l'estuaire du Saint-Laurent.
Selon les connaissances actuelles, tout semble indiquer que la presque totalité des Garrots d'Islande de l'est de l'Amérique du Nord hivernent le long du corridor du Saint-Laurent. En fait, la plupart hivernent au Québec, en particulier le long de l'estuaire du Saint-Laurent, où de grandes étendues d'eaux sont libres de glace en hiver. Les résultats des relevés menés en hélicoptère en 1999, qui visaient à recenser des Garrots d'Islande et qui ont couvert tout l'habitat d'hiver potentiel le long de l'estuaire, indiquent qu'environ 2 600 individus hivernent dans cette région (tableau 7). La seconde aire d'hivernage en importance est également située au Québec, dans le golfe du Saint-Laurent. Selon Reed et Bourget (1977) et selon le relevé mené durant l'hiver 1996 (tableau 5), environ 1 000 à 1 700 Garrots d'Islande hivernent dans cette vaste zone, surtout aux environs de l'île d'Anticosti, le long de la rive nord du golfe, entre Sept-Îles et Kegaska, dans l'extrémité est de la péninsule de Gaspé et dans la baie des Chaleurs (voir aussi Savard et Dupuis, 1999). Contrairement aux glaces de l'estuaire du Saint-Laurent, les glaces le long de la côte du golfe du Saint-Laurent sont habituellement dures, ce qui explique peut-être pourquoi la plupart des Garrots d'Islande sont recensés dans l'estuaire (même si le golfe est beaucoup plus grand).
Nous évaluons globalement qu'environ 3 500 à 4 000 Garrots d'Islande hivernent dans la province de Québec, 2 500 le long de l'estuaire du Saint-Laurent et peut-être 1 000 à 1 500 le long du golfe du Saint-Laurent. Sachant que près de 400 individus semblent hiverner dans les provinces de l'Atlantique et dans le Maine (Daury et Bateman, 1996) et que certains oiseaux vus à Dalhousie sont probablement les mêmes que ceux observés du côté québécois de la baie des Chaleurs, nous estimons la population hivernante de Garrots d'Islande dans l'est de l'Amérique du Nord à environ 4 500individus (tableau 7). De toute évidence, il s'agit là d'une évaluation prudente, et les futurs relevés hivernaux dans le golfe du Saint-Laurent et dans les provinces de l'Atlantique pourraient donner une évaluation différente, plus élevée.
| Date | Québec (corridor du Saint-Laurent) Fleuve |
Québec (corridor du Saint-Laurent) Estuaire |
Québec (corridor du Saint-Laurent) Golfe |
Québec (corridor du Saint-Laurent) Total |
Provinces de l'Atlantique et Maine | Source |
|---|---|---|---|---|---|---|
| Février 1974-1975-1976 |
5
|
1 394
|
1 148
|
2 547
|
|
Reed et Bourget (1977) |
| 1976-1996 |
13
|
1 715
|
-
|
1 728
|
|
Base de données de l'ÉPOQ(médiane)1 |
| 1976-1996 |
13
|
2 318
|
-
|
2 331
|
|
Base de données de l'ÉPOQ(moyenne)1 |
| 1996, 12-15 févr. |
-
|
4 214
|
1 6933
|
5 9074
|
|
P. Dupuis (SCF-QC, données inédites) |
| 1999, 26 janv. |
-
|
2 437
|
-
|
2 437
|
|
North American Birds 53(2): 141 |
| 1999, 10 févr. |
-
|
1 702
|
-
|
1 702
|
|
North American Birds 53(2): 141 |
| 1999, 16 févr. |
-
|
2 634
|
-
|
2 634
|
|
North American Birds 53(2): 141 |
| 1976-1995 |
|
|
|
|
223
|
Médiane, Daury et Bateman (1996) 2 |
| 1976-1995 |
|
|
|
|
314
|
Moyenne, Daury et Bateman (1996) 2 |
| - |
|
|
|
|
< 400
|
Daury et Bateman (1996) |
1 Somme des moyennes (ou médianes) des effectifs maximums de Garrots d'Islande signalés en hiver par des ornithologues amateurs durant toute période donnée de sept jours (durant laquelle l'espèce a été signalée) dans tous les endroits où l'espèce a été signalée entre 1976 et 1996.
2 Somme des moyennes (ou médianes) des effectifs maximums (excluant les zéros) de Garrots d'Islande signalés durant l'hiver chaque année dans chaque province de l'Atlantique et dans le Maine dans tous les endroits entre 1976 et 1995 (selon le tableau 1, Daury et Bateman, 1996).
3 Y compris la région de Dalhousie et Heron Island, au Nouveau-Brunswick.
4 La prudence est de mise pour interpréter ces données (voir le texte et le tableau 5).
Le tableau 8 et la Figure 3 présentent les principaux endroits d'hivernage pour la population de l'Est du Garrot d'Islande, selon les connaissances actuelles. En se basant sur l'évaluation prudente de la population totale à 4 500 individus, nous savons que jusqu'à 25,7 %, 22,7 %, 13,4 % et 10,5 % des garrots ont été observés sur la rive nord du corridor du Saint-Laurent, respectivement à Tadoussac (non représentatif, voir ci-dessus), dans la baie des Anglais (Baie-Comeau), à Baie-des-Rochers et à La Malbaie-Pointe-au-Pic (y compris Cap-à-l'Aigle) (tableau 8). Sur la rive sud du corridor du Saint-Laurent, environ 10 % de la population hivernante se rassemblent parfois dans des endroits précis, notamment près du parc provincial du Bic (et de l'anse à Mercier à proximité) et dans la région de Métis (qui comprend Métis-sur-Mer, Les Boules, Grand-Métis et Baie-Mitis); jusqu'à 16,2 % des effectifs ont été recensés entre Saint-Fabien et Métis en mars 1999 (tableau 8). Ailleurs, jusqu'à 22,2 % et 17,8 % de la population de l'Est a été dénombrée à Dalhousie et à New Richmond respectivement en 1995 et en 1996; cependant, comme dans le cas de Tadoussac, il ne faut pas considérer ces données comme typiques pour ces endroits (M. Bateman, comm. pers.). Selon les connaissances actuelles, environ 88 % (4 000 à 4 500) des Garrots d'Islande hivernant dans l'est de l'Amérique du Nord le font au Québec, et la plupart (58,5 %), le long de l'estuaire du Saint-Laurent.
| Région | Sites | Nombre d'individus | Date | Source | % de la population2 |
|---|---|---|---|---|---|
| Estuaire du Saint-Laurent (moyen et bas) |
2 634
|
99-02-16 | Relevés en hélicoptère, SCF-QC |
58,5
|
|
| Rive nord du corridor du Saint-Laurent | Tadoussac (Québec) |
1 1563
|
1976 | Base de données de l'ÉPOQ |
25,73
|
| Rive nord du corridor du Saint-Laurent | Baie des Anglais (Baie-Comeau) (Québec) |
1 020
|
98-02-114 | Relevés terrestres, SCF-QC |
22,7
|
| Rive nord du corridor du Saint-Laurent | Baie-des-Rochers (Québec) |
604
|
99-03-03 | Relevés terrestres, SCF-QC |
13,4
|
| Rive nord du corridor du Saint-Laurent | Région de La Malbaie (Québec) |
473
|
99-02-24 | Relevés terrestres, SCF-QC |
10,5
|
| Rive nord du corridor du Saint-Laurent | Pointe-aux-Outardes (Québec) |
305
|
99-01-26 | Relevés en hélicoptère, SCF-QC |
6,8
|
| Rive nord du corridor du Saint-Laurent | Baie-Sainte-Catherine (Québec) |
300
|
99-01-26 | Relevés en hélicoptère, SCF-QC |
6,7
|
| Rive nord du corridor du Saint-Laurent | Franquelin-Mistassini (Québec) |
295
|
98-03-11 | Relevés en hélicoptère, SCF-QC |
6,6
|
| Rive nord du corridor du Saint-Laurent | Petite Rivière Romaine (Québec) |
283
|
99-02-16 | Relevés en hélicoptère, SCF-QC |
6,3
|
| Rive nord du corridor du Saint-Laurent | Île aux Lièvres (Québec) |
235
|
99-02-16 | Relevés en hélicoptère, SCF-QC |
5,2
|
| Rive nord du corridor du Saint-Laurent | Godbout (Québec) |
200
|
99-02-16 | Relevés en hélicoptère, SCF-QC |
4,4
|
| Rive nord du corridor du Saint-Laurent | Saint-Siméon (Québec) |
168
|
99-03-31 | Relevés terrestres, SCF-QC |
3,7
|
| Rive nord du corridor du Saint-Laurent | Îlets-Jérémie (Québec) |
153
|
99-02-16 | Relevés en hélicoptère, SCF-QC |
3,4
|
| Rive nord du corridor du Saint-Laurent | Pointe-des-Monts (Québec) |
135
|
1978 | Base de données de l'ÉPOQ |
3,0
|
| Rive nord du corridor du Saint-Laurent | Sept-Îles (Québec) |
125
|
1989 | Base de données de l'ÉPOQ |
2,8
|
| Rive nord du corridor du Saint-Laurent | Grandes-Bergeronnes (Québec) |
120
|
99-02-16 | Relevés en hélicoptère, SCF-QC |
2,7
|
| Rive nord du corridor du Saint-Laurent | Saint-Irénée (Québec) |
119
|
99-03-11 | Relevés terrestres, SCF-QC |
2,6
|
| Rive sud du corridor du Saint-Laurent | De Saint-Fabien à Métis-sur-Mer (Québec) |
727
|
Mars 1999 | Relevés terrestres, SCF-QC |
16,2
|
| Rive sud du corridor du Saint-Laurent | Métis-sur-Mer (Les Boules) (Québec) |
440
|
1984 | Base de données de l'ÉPOQ |
9,8
|
| Rive sud du corridor du Saint-Laurent | Baie-Mitis (Grand-Métis) (Québec) |
305
|
99-04-08 | Relevés terrestres, SCF-QC |
6,8
|
| Rive sud du corridor du Saint-Laurent | Sainte-Flavie (Québec) |
270
|
1989 | Base de données de l'ÉPOQ |
6,0
|
| Rive sud du corridor du Saint-Laurent | Saint-Fabien (Anse à Mercier ) (Québec) |
264
|
98-11-04 | Relevés terrestres, SCF-QC |
5,9
|
| Rive sud du corridor du Saint-Laurent | Rimouski (Rocher-Blanc) (Québec) |
200
|
1979, 1984 | Base de données de l'ÉPOQ |
4,4
|
| Rive sud du corridor du Saint-Laurent | Parc provincial du Bic (Québec) |
157
|
1994 | Base de données de l'ÉPOQ |
3,5
|
| Rive sud du corridor du Saint-Laurent | Pointe-au-Père (Québec) |
150
|
1979 | Base de données de l'ÉPOQ |
3,3
|
| Rive sud du corridor du Saint-Laurent | Sainte-Luce (Québec) |
100
|
1992 | Base de données de l'ÉPOQ |
2,2
|
| Rive sud du corridor du Saint-Laurent | Saint-Ulric (Québec) |
100
|
1986 | Base de données de l'ÉPOQ |
2,2
|
| Rive sud du corridor du Saint-Laurent | Matane (Québec) |
100
|
1983 | Base de données de l'ÉPOQ |
2,2
|
| Île d'Anticosti |
387
|
96-02-14 | Relevés en hélicoptère, SCF-QC |
8,6
|
|
| Île d'Anticosti | Baie au Caplan (Québec) |
116
|
96-02-14 | Relevés en hélicoptère, SCF-QC |
2,6
|
| Péninsule de Gaspé et baie des Chaleurs |
849
|
96-02-14 | Relevés en hélicoptère, SCF-QC |
18,9
|
|
| Péninsule de Gaspé et baie des Chaleurs | Dalhousie (Nouveau-Brunswick) |
1 0003
|
1995 | Daury et Bateman (1996) |
22,23
|
| Péninsule de Gaspé et baie des Chaleurs | New Richmond (Québec) |
8003
|
1996 | Base de données de l'ÉPOQ |
17,83
|
| Péninsule de Gaspé et baie des Chaleurs | Parc national Forillon (Québec) |
217
|
1991 | Base de données de l'ÉPOQ |
4,8
|
| Péninsule de Gaspé et baie des Chaleurs | Percé (Québec) |
190
|
96-02-14 | Relevés en hélicoptère, SCF-QC |
4,2
|
| Péninsule de Gaspé et baie des Chaleurs | Cap d'Espoir (Québec) |
125
|
96-02-14 | Relevés en hélicoptère, SCF-QC |
2,8
|
| Péninsule de Gaspé et baie des Chaleurs | Pointe-Saint-Pierre (Québec) |
125
|
1996 | Base de données de l'ÉPOQ |
2,8
|
1 Principaux sites d'hivernage : où e 100 individus ont été observés au moins une fois entre le 15 novembre et le 15 avril.
2 Basé sur une population hivernante totale de 4 500 individus (voir le texte).
3 Ne doit pas être considéré comme représentatif de ce site (voir le texte).
4 1 020 Garrots d'Islande ont aussi été observés dans la baie des Anglais le 9 janvier 1998.
Figure 3. Principaux sites d'hivernage du Garrot d'Islande dans l'est de l'Amérique du Nord
Selon les connaissances actuelles, la rive nord de l'estuaire et du golfe du Saint-Laurent constitue l'aire de nidification principale pour le Garrot d'Islande hivernant dans l'est de l'Amérique du Nord (Robert et al., 2000).
L'analyse des données obtenues lors des relevés effectués par hélicoptère au Québec dans le cadre du Projet conjoint sur le Canard noir (PCCN) du Plan nord-américain de gestion de la sauvagine constitue le seul moyen d'estimer la population de Garrots d'Islande nicheurs dans l'est de l'Amérique du Nord; durant ces relevés, tous les garrots ont été identifiés à l'espèce (voir Robert et al., 2000). Aux fins du présent rapport, nous avons analysé les données des relevés du Projet conjoint sur le Canard noir de 1997, de 1998 et de 1999 (mêmes observateurs chevronnés chaque année) pour ce que nous estimons être l'aire de nidification principale de la population de l'Est du Garrot d'Islande. Cette aire correspond à celle que Robert et al. (2000) ont délimité sur le rive nord de l'estuaire et du golfe du Saint-Laurent (l'île d'Anticosti exclue) et comprend le secteur de haute altitude au nord de la ville de Québec et au sud de la rivière Saguenay, où certains Garrots d'Islande nichent probablement (voir la section « Répartition » et la figure 1). Les relevés du Projet conjoint sur le Canard noir n'ayant couvert qu'environ la moitié des 46 quadrats du Projet (25 km²) inventoriés chaque année dans cette aire de nidification principale, nous avons groupé les données des diverses années afin d'estimer la population à partir de tous les quadrats du Projet conjoint sur le Canard noir dans cette aire, en présumant que la taille de la population était stable d'une année à l'autre (voir les détails dans le tableau 9).
À l'aide d'une image satellitaire (mosaïque d'images Landsat-TM de 1993-1994, Grenier et al., 1993, 1994), nous avons calculé le nombre de petits lacs (de moins de 100 hectares) dans chaque quadrat de 25 km² pour l'ensemble de l'aire de nidification principale, qui comprend 6 964 quadrats (dont 46 font l'objet de relevés dans le cadre du Projet conjoint sur le Canard noir). Nous avons estimé ensuite la proportion de petits lacs où des couples de Garrots d'Islande ont été vus durant les relevés du Projet conjoint sur le Canard noir ainsi que le nombre total de couples pour l'ensemble de l'aire de nidification principale en utilisant un estimateur binomial (pour obtenir des détails sur les calculs, voir Cochran, 1977), en présumant que les couples de Garrots d'Islande nichent sur les lacs de moins de 100 hectares (voir Robert et al., 2000) et qu'il n'y a qu'un seul couple par lac. Nous avons ainsi obtenu quatre évaluations de la population de nicheurs, qui sont présentées au tableau 9.
Selon les données des relevés du Projet conjoint sur le Canard noir (tableau 9), on dénombre entre 716 et 1 718 couples de Garrots d'Islande nicheurs dans l'aire de nidification principale de la population de l'Est, c'est-à-dire sur la rive nord de l'estuaire et du golfe du Saint-Laurent, au sud de 51° 30' N. Sachant que les limites exactes de l'aire de nidification de cette population sont encore grandement inconnues et que certains individus nichent probablement à l'extérieur de l'aire de nidification principale, la population de l'Est du Garrot d'Islande comprend sans doute de 1 300 à 1 700 couples nicheurs. En se basant sur la proportion d'oiseaux adultes observés dans la population hivernante, nous estimons que la population de l'Est du Garrot d'Islande est constituée d'environ 1 400 couples nicheurs; cette valeur se situe dans le même ordre de grandeur que notre évaluation directe des nicheurs. Comme c'est le cas pour la population hivernante, l'évaluation des effectifs des couples nicheurs est prudente, et les prochains relevés à l'intérieur du Québec et à Terre-Neuve-et-Labrador pourraient donner d'autres résultats.
| AD(99) - B(97) - C(98)2 | A(99) - BC(97) - D(98) | A(99) - B(97) - CD(98) | AD(99) - BC(97) | |
|---|---|---|---|---|
| Lacs recensés3 | 1 051 | 1 051 | 1051 | 1 051 |
| Pi4 | 0,00596 | 0,01093 | 0,01192 | 0,00497 |
| Couples nicheurs5 | 858,9 | 1574,7 | 1717,8 | 715,8 |
| Erreur-type | 348,6 | 470,7 | 491,4 | 318,3 |
1 Nous avons préféré utiliser un estimateur binomial vu la rareté des couples de Garrots d'Islande (un par lac). Le calcul suppose que la probabilité de voir un couple sur un lac est indépendante de celle de voir un couple sur un autre lac. Pour obtenir des détails sur les calculs de la variance, voir Cochran (1977).
2 Les quadrats du Projet conjoint sur le Canard noir sont divisés en quatre sous-ensembles (A [n = 14], B [n = 13], C [n = 9] et D [n = 10]), dont deux font l'objet de relevés chaque année. Les sous-ensembles B et C, C et D, et D et A ont été respectivement recensés en 1997, en 1998 et en 1999. Nous avons groupé les données des diverses années afin d'estimer la population d'une autre manière, en présumant que la taille de la population était stable d'année en année. Les quatre groupements utilisés sont les suivants : A(1999)-B(1997)-C(1998)-D(1999), A(1999)-B(1997)-C(1997)-D(1998), A(1999)-B(1997)-C(1998)-D(1998) et A(1999)-B(1997)-C(1997)-D(1999).
3 Nombre de lacs dans les quadrats compris dans les sous-ensembles A, B, C et D (voir ci-dessus).
4 Pi = Proportion des lacs où des couples de Garrots d'Islande ont été relevés. On a estimé le nombre de couples nicheurs dans les quadrats recensés de la manière suivante : 1 ou 2 oiseaux = 1 couple, sans tenir compte du sexe; autres cas = 0 couple (Bordage et Plante, 1997).
5 Couples nicheurs = Pimultiplié par le nombre total de lacs de moins de 100 hectares (n = 144 013) pour l'aire de nidification principale (voir les détails dans le texte).
Les seuls sites de mue connus pour les Garrots d'Islande mâles adultes dans l'est de l'Amérique du Nord se trouvent dans les eaux côtières des baies d'Hudson, d'Ungava et Frobisher (île de Baffin) et dans quelques bras de mer du nord du Labrador (Robert et al., 1999, SCF-QC données inédites, figure 1). On ne connaît pas le nombre de garrots qui muent à chaque site. Néanmoins, selon E. B. Chamberlain (sur la foi de Todd, 1963), environ 1 500 garrots en mue ont été observés en 1955 dans la baie Nain, au Labrador; près de la moitié de ces canards étaient apparemment des Garrots d'Islande. Selon Daury et Bateman (1996), 24 et 132 Garrots d'Islande ont aussi été observés dans la baie Ramah, au Labrador, respectivement en 1981 et en 1984. De plus, on a signalé la présence de 54 individus dans le fjord Hebron, au Labrador, pendant quatre années d'observation entre 1981 et 1994 (Daury et Bateman, 1996).
Les canards de mer comme le Garrot d'Islande sont particulièrement sensibles aux déversements de pétrole, vu leur grégarisme et le fait qu'ils sont le plus souvent dans l'eau durant l'hiver. Lorsque le mazoutage du plumage se produit dans l'eau, il détruit les propriétés isolantes des plumes et peut entraîner l'hypothermie, c'est-à-dire que l'oiseau perd plus de chaleur qu'il en produit (Burridge et Kane, 1985). Par exemple, la perte de chaleur chez des eiders mazoutés dans l'eau est de 360 % plus élevée que la normale, alors qu'elle est seulement de 57 %supérieure à la normale chez des eiders mazoutés et trempés dans l'eau, puis placés sur la terre plutôt que dans l'eau (Jenssen et Ekker, 1990). En plus de problèmes de thermorégulation, les oiseaux exposés aux déversements de pétrole peuvent aussi s'empoisonner en ingérant du pétrole ou mourir à cause du stress prolongé attribuable au mazoutage (Burridge et Kane, 1985). On sait en outre que les canards de mer, qui doivent se nourrir dans l'eau, risquent davantage d'être victimes de mazoutage que les canards barboteurs, qui peuvent se nourrir à terre (Jenssen et Ekker, 1991). Par ailleurs, les oiseaux sont plus sensibles aux déversements de pétrole durant l'hiver (Joensen et Hansen, 1977). Non seulement les basses températures augmentent la perte de chaleur chez les oiseaux souillés, mais les températures plus froides de la mer peuvent également faire en sorte que le pétrole flottant reste plus longtemps dans un état qui est dangereux pour les oiseaux marins.
Or, les Garrots d'Islande sont non seulement directement affectés par le mazoutage, mais ils le sont également de manière indirecte par la réduction ou la contamination de leur principale source de nourriture en hiver, à savoir les mollusques. Par ailleurs, les mâles adultes sont sensibles aux déversements de pétrole durant l'été, dans les aires de mue côtières des baies d'Hudson et d'Ungava et dans les fjords du nord du Labrador, où ils se rassemblent et perdent la capacité de voler. Ces menaces risquent d'augmenter avec le développement des régions nordiques. On ne connaît pas l'emplacement des sites de mue des femelles (sauf un lac intérieur au nord du corridor du Saint-Laurent), mais certains pourraient se trouver le long de ce corridor. De plus, les Garrots d'Islande, comme le Garrot à Sil d'or et d'autres canards de mer, forment souvent en eaux libres de grands radeaux durant la nuit. Et pareille concentration rend les canards très vulnérables aux déversements de pétrole.
De tout temps, le Saint-Laurent a servi au transport de marchandises. De nos jours, le fleuve relie les divers ports du Québec et, ce qui est encore plus important, les ports des Grands Lacs et de toute la côte Atlantique. Le corridor du Saint-Laurent est donc une des principales voies navigables de l'Amérique du Nord pour le transport de marchandises. En effet, bien qu'il soit difficile d'y naviguer (en raison des glaces, du chenal étroit et sinueux, des forts courants de marée et de la fréquente mauvaise visibilité attribuable à la brume et à la neige), il demeure une voie navigable très utilisée. Par exemple, en 1991, la Garde côtière canadienne a enregistré 10 461 voyages de navires commerciaux sur les eaux du golfe et du fleuve; ce nombre exclut les 867navires de passagers et les milliers de bateaux de plaisance (Centre Saint-Laurent, 1996).
Divers types de navires de taille variée, allant des barges aux très gros vraquiers de 300 000 tonnes, peuvent trouver place dans la quarantaine de ports commerciaux situés le long du corridor du Saint-Laurent. Les principaux types de transport par conteneurs sont le vrac solide, le vrac liquide et les marchandises générales conteneurisées ou non conteneurisées. En 1992, 97,2 millions de tonnes de marchandises ont été manutentionnées dans les ports du Saint-Laurent; elles comprenaient surtout du minerai de fer (34,6 %), des céréales (20,5 %), des produits pétroliers (15,8 %), du minerai de titanium (4,9 %) et des produits conteneurisés (6,0 %). La même année, 17,4 millions de tonnes de matières dangereuses (explosifs, gaz comprimé, liquides inflammables, solides inflammables, oxydants et peroxydes organiques, substances toxiques et infectieuses, matières radioactives, substances corrosives, etc.) ont été manutentionnées dans les mêmes ports (Centre Saint-Laurent, 1996).
Les activités de transport peuvent représenter un risque de pollution en cas de déversement d'une grande quantité de produits dangereux. Un seul déversement d'hydrocarbures pourrait en effet faire disparaître une partie appréciable de la population de l'est de l'Amérique du Nord du Garrot d'Islande. En outre, le risque de déversements de pétrole est plus élevé à certaines périodes de l'année, en particulier durant l'hiver lorsqu'il y a formation d'embâcles de glace ou de glace flottante (Centre Saint-Laurent, 1996), c'est-à-dire au moment où les Garrots d'Islande sont rassemblés le long du Saint-Laurent. Par ailleurs, le transport de marchandises par navires constitue une source potentielle de pollution, non seulement en raison des accidents de navigation, mais aussi à cause des activités de transbordement d'hydrocarbures ou de produits chimiques et de l'immersion en mer des déchets provenant des eaux de lavage et de cale.
Selon le comité Brander-Smith (Comité d'examen public des systèmes de sécurité des navires-citernes et de la capacité d'intervention en cas de déversements en milieu marin, 1990, cité dans Centre Saint-Laurent, 1996), le transport de produits pétroliers et chimiques par des navires-citernes représente sans aucun doute le plus grand danger pour le Saint-Laurent. Le transport d'hydrocarbures dans l'estuaire vers la raffinerie d'Ultramar à Saint-Romuald (face à la ville de Québec) constitue un risque élevé de déversement. Les données de 1988-1991 indiquent qu'environ cinq millions de tonnes de brut sont manutentionnées à cet endroit chaque année. Le danger est attribuable en partie au fait que de très gros navires-citernes naviguent souvent avec un tirant d'eau dépassant le niveau minimal garanti indiqué sur les cartes nautiques. Ainsi, à la Traverse Nord (à l'extrémité sud-est de l'île d'Orléans, où doivent passer les navires-citernes en provenance de Saint-Romuald), plusieurs grands navires à tirant d'eau supérieur à 15,2 mètres peuvent, lorsque la marée est propice, traverser un chenal dont le niveau minimal garanti à marée basse n'est que de 12,5 mètres. Si ces navires ont des problèmes de navigation, comme une panne de moteur durant plus de trois heures, ils risquent fort de s'échouer (Centre Saint-Laurent, 1996).
Dans le but d'évaluer les dangers potentiels du transport maritime, en particulier pour le Garrot d'Islande hivernant le long du Saint-Laurent, nous avons recueilli diverses données sur les navires passant dans les aires d'hivernage des garrots. De 1993 à 1997, entre 6 243 et 7 228 navires par année (moyenne de 6 894) passent par la gare maritime du Saguenay-Les Escoumins (à environ 20 km de l'embouchure de la rivière Saguenay, sur la rive nord de l'estuaire du Saint-Laurent), la plupart étant des navires marchands. De ce nombre, près de 900 navires-citernes par année passent dans le secteur en question (tableau 10).
| Types de navires | 1993 | 1994 | 1995 | 1996 | 1997 | Moyenne |
|---|---|---|---|---|---|---|
| Marchand |
4 754
|
5 343
|
5 553
|
5 450
|
5 528
|
5 326
|
| Navire-citerne |
890
|
892
|
907
|
919
|
908
|
903
|
| Garde côtière |
309
|
271
|
326
|
252
|
258
|
283
|
| Remorqueur |
116
|
107
|
211
|
238
|
234
|
181
|
| Barge |
20
|
11
|
21
|
9
|
18
|
16
|
| Autres |
154
|
215
|
210
|
194
|
151
|
185
|
| Total |
6 243
|
6 839
|
7 228
|
7 062
|
7 097
|
6 894
|
Par ailleurs, comme l'indique le tableau 11, même si le nombre de navires qui passent chaque mois dans l'estuaire du Saint-Laurent est plus élevé en été (de mai à novembre), il est quand même important durant l'hiver (de décembre à avril), au moment où les Garrots d'Islande de l'est de l'Amérique du Nord se rassemblent le long de l'estuaire. En fait, une moyenne de 353 navires par mois y passent durant l'hiver et, fait intéressant, autant de navires-citernes (jusqu'à 84) que durant le reste de l'année (tableau 11).
| Types de navires | 1993 Été1 |
1993 Hiver2 |
1994 Été |
1994 Hiver |
1995 Été |
1995 Hiver |
1996 Été |
1996 Hiver |
1997 Été |
1997 Hiver |
|---|---|---|---|---|---|---|---|---|---|---|
| Marchand |
471
|
244
|
527
|
279
|
548
|
290
|
520
|
321
|
529
|
322
|
| Navire-citerne |
77
|
66
|
73
|
76
|
74
|
77
|
72
|
84
|
71
|
84
|
| Garde côtière |
20
|
35
|
19
|
29
|
18
|
45
|
17
|
28
|
16
|
31
|
| Remorqueur |
10
|
8
|
9
|
7
|
22
|
7
|
24
|
10
|
25
|
7
|
| Barge |
2
|
-
|
1
|
-
|
2
|
-
|
-
|
-
|
2
|
-
|
| Navire de guerre |
2
|
-
|
3
|
-
|
2
|
-
|
3
|
-
|
2
|
-
|
| Autres |
16
|
-
|
22
|
1
|
22
|
2
|
19
|
2
|
14
|
2
|
| Total |
598
|
353
|
654
|
392
|
688
|
421
|
655
|
445
|
659
|
446
|
1 Été : de mai à novembre.
2 Hiver : de décembre à avril.
Le tableau 12 décrit les types de produits transférés dans certains ports près desquels se rassemblent beaucoup de Garrots d'Islande durant l'hiver. Le port de Baie-Comeau (baie des Anglais) est particulièrement important, étant donné qu'une grande partie de la population de l'est de l'Amérique du Nord du Garrot d'Islande (jusqu'à 22,7 %, tableau 8) y passe l'hiver. En 1998, 279 navires ont accosté dans la baie des Anglais et y ont transféré 5 048 milliers de tonnes de marchandises (tableau 12). Plus important encore est le fait qu'environ 128 milliers de tonnes de produits pétroliers ont été manutentionnées la même année dans la baie des Anglais. Le port de Rimouski est aussi achalandé; il se trouve au milieu de la rive sud de l'estuaire du Saint-Laurent, où se concentrent quelques centaines de Garrots d'Islande à la fin de l'automne et au début du printemps. En 1998, 216 milliers de tonnes de produits pétroliers y ont été transférés (tableau 12). Par ailleurs, les deux ports avec le plus fort tonnage manutentionné dans l'ensemble du corridor du Saint-Laurent, à savoir Port-Cartier et Sept-Îles, sont également situés dans des zones où se rassemblent des Garrots d'Islande. Par exemple, en 1992, 21 423et 19 094 milliers de tonnes de marchandises ont été respectivement manutentionnées à Port-Cartier et à Sept-Îles. De 600 à 700 navires passent chaque année dans chacun de ces ports (Centre Saint-Laurent, 1996).
| Types de produits | Baie-Comeau | Rimouski | La Malbaie-Pointe-au-Pic | Baie des Chaleurs1 |
|---|---|---|---|---|
| Produits pétroliers |
127,9
|
216,1
|
-
|
28,6
|
| Produits métallurgiques et miniers |
912,5
|
39,0
|
-
|
12,7
|
| Bois, pâtes et papiers |
346,2
|
12,8
|
164,4
|
39,7
|
| Céréales |
2 172,7
|
-
|
-
|
-
|
| Autres |
1 488,7
|
17,3
|
-
|
-
|
| Total |
5 048,0
|
285,2
|
164,4
|
81,0
|
| Nombre de navires |
279
|
89
|
24
|
15
|
1 La baie des Chaleurs comprend les ports de Carleton, de Chandler et de Paspébiac.
En tout, 262 déversements polluants ont été signalés dans le corridor du Saint-Laurent et dans la baie des Chaleurs de 1975 à 1994, et la plupart se sont produits dans le golfe et le long de l'estuaire du Saint-Laurent (tableau 13). Quelque 2655 tonnes de produits polluants ont été déversés durant ces incidents. Ces valeurs sont évidemment des minimums, vu qu'elles ne représentent que les déversements signalés. Selon les données du tableau 13, il semble que la fréquence des déversements soit à la baisse; ainsi, 94, 86, 53 et 29 déversements ont été respectivement mentionnés pour les périodes de 1975 à 1979, de 1980 à 1984, de 1985 à 1989 et de 1990 à 1994. Cette baisse pourrait être attribuable en partie à la plus grande vigilance des armateurs et des compagnies d'assurance, associée à une réglementation plus stricte et aux coûts élevés que doivent assumer les responsables de ces incidents (Claude Rivet, Environnement Canada, comm. pers.).
| Périodes (5 ans) | Baie des Chaleurs # déversements |
Estuaire du Saint-Laurent # déversements |
Golfe du Saint-Laurent # déversements |
Total # déversements |
Baie des Chaleurs Tonnage minimum déversé |
Estuaire du Saint-Laurent Tonnage minimum déversé |
Golfe du Saint-Laurent Tonnage minimum déversé |
Total Tonnage minimum déversé |
|---|---|---|---|---|---|---|---|---|
| 1975-1979 |
3
|
25
|
66
|
94
|
8,7
|
74,9
|
60,5
|
144,1
|
| 1980-1984 |
2
|
24
|
60
|
86
|
10,1
|
122,2
|
1 585,0
|
1 717,3
|
| 1985-1989 |
4
|
20
|
29
|
53
|
8,6
|
401,8
|
110,8
|
521,2
|
| 1990-1994 |
1
|
14
|
14
|
29
|
0,0
|
241,2
|
31,5
|
272,7
|
| Total |
10
|
83
|
169
|
262
|
27,4
|
840,1
|
1 787,8
|
2 655,3
|
Le tableau 14 présente les données recueillies sur les déversements polluants qui se sont produits entre 1975 et 1994 dans certains ports de l'estuaire et du golfe du Saint-Laurent près des aires de rassemblement de nombreux Garrots d'Islande durant l'hiver. Parmi les ports de l'estuaire, ce sont ceux de Baie-Comeau (baie des Anglais) et de Rimouski qui ont connu le plus grand nombre de déversements; un déversement majeur a par ailleurs eu lieu au quai de La Malbaie-Pointe-au-Pic au début des années 1980. À Baie-Comeau (baie des Anglais), plus de 300 tonnes de produits polluants ont été déversées de 1975 à 1994. La plupart des déversements surviennent cependant dans le golfe du Saint-Laurent, dans les ports de Port-Cartier et de Sept-Îles, où 74 et 35 déversements ont respectivement eu lieu durant la même période; 461 tonnes de produits polluants ont été répandues lors de ces déversements. Dans l'ensemble, de 1975 à 1994, 157 déversements polluants se sont produits, et un total de 887 tonnes de matières dangereuses se sont répandues dans les eaux des principaux ports à proximité desquels les Garrots d'Islande se rassemblent durant l'hiver (tableau 14). Le tableau 15 donne les types de produits déversés entre 1971 et 1994 dans les mêmes ports. Le mazout lourd (A, B et C) et le mazout (nos 1 et 2) sont les deux principaux produits pétroliers en cause.
Nous pensons donc que le transport de marchandises dans le corridor du Saint-Laurent et les déversements polluants qui y sont associés représentent une très grave menace potentielle pour la population de l'Est du Garrot d'Islande. Selon D. Lehoux (SCF-QC, comm. pers.), ce canard est en effet particulièrement sensible aux déversements en raison de sa nature grégaire et parce qu'il est la plupart du temps dans l'eau. Bien qu'aucun désastre écologique majeur ne soit arrivé jusqu'à présent dans le corridor du Saint-Laurent, un gros déversement durant l'hiver pourrait avoir un grave impact sur cette petite population, concentrée dans quelques zones seulement, d'autant plus que les navires naviguant dans l'estuaire du Saint-Laurent doivent passer plus près de la rive nord (où les Garrots d'Islande se rassemblent en hiver) que de la rive sud.
| Région | Ports | Nombre de déversements et tonnage | 1975 -1979 | 1980 -1984 | 1985 -1989 | 1990 -1994 | Total |
|---|---|---|---|---|---|---|---|
| Estuaire du Saint-Laurent | La Malbaie-Pointe-au-Pic | Nombre de déversements |
1
|
2
|
1
|
0
|
4
|
| Estuaire du Saint-Laurent | La Malbaie-Pointe-au-Pic | Tonnage déversé1 |
?
|
22,0
|
1,0
|
-
|
23,0
|
| Estuaire du Saint-Laurent | Cap-à-l'Aigle | Nombre de déversements |
1
|
0
|
1
|
1
|
3
|
| Estuaire du Saint-Laurent | Cap-à-l'Aigle | Tonnage déversé1 |
0,4
|
0,0
|
5,0
|
0,4
|
5,8
|
| Estuaire du Saint-Laurent | Rimouski | Nombre de déversements |
3
|
3
|
5
|
2
|
13
|
| Estuaire du Saint-Laurent | Rimouski | Tonnage déversé1 |
57,5
|
1,6
|
24,0
|
4,4
|
87,5
|
| Estuaire du Saint-Laurent | Baie-Comeau | Nombre de déversements |
11
|
9
|
3
|
4
|
27
|
| Estuaire du Saint-Laurent | Baie-Comeau | Tonnage déversé1 |
3,9
|
51,1
|
22,5
|
229,2
|
306,7
|
| Estuaire du Saint-Laurent | Godbout | Nombre de déversements |
0
|
1
|
0
|
0
|
1
|
| Estuaire du Saint-Laurent | Godbout | Tonnage déversé1 |
-
|
2,9
|
-
|
-
|
2,9
|
| Golfe du Saint-Laurent | Port-Cartier | Nombre de déversements |
32
|
25
|
13
|
4
|
74
|
| Golfe du Saint-Laurent | Port-Cartier | Tonnage déversé1 |
27,3
|
75,2
|
16,9
|
4,0
|
123,4
|
| Golfe du Saint-Laurent | Sept-Îles | Nombre de déversements |
15
|
13
|
3
|
4
|
35
|
| Golfe du Saint-Laurent | Sept-Îles | Tonnage déversé1 |
12,5
|
319,7
|
5,1
|
0,5
|
337,8
|
| Total | Nombre de déversements |
63
|
53
|
26
|
15
|
157
|
|
| Total | Tonnage déversé1 |
101,6
|
472,5
|
74,5
|
238,5
|
887,1
|
1 Valeur minimum.
Les répercussions du déversement de 49 tonnes de mazout lourd C (Bunker C) provenant du navire-citerne Gordon C. Leitch à Havre-Saint-Pierre en mars 1999 donnent un aperçu de ce qui pourrait arriver si un déversement se produisait en hiver près des zones où se concentrent des Garrots d'Islande. Ce déversement est le deuxième en importance dans l'histoire du Québec, après celui qui est survenu aux îles de la Madeleine durant l'hiver de 1981 et qui a entraîné la mort de 1 200 oiseaux, surtout des Mergules nains (Alle alle) (D. Lehoux, SCF-QC, comm. pers.). À Havre-Saint-Pierre, 1 129 oiseaux souillés ont été capturés ou trouvés morts durant les 25 jours qui ont suivi l'incident, dont 1 003oiseaux sont morts. Ces chiffres sont incomplets, car des observateurs à terre ont mentionné que plusieurs oiseaux touchés s'étaient cachés dans des fissures crées par la glace le long de la côte. On a estimé, en se fondant sur le taux de succès des captures, que le nombre minimum d'oiseaux souillés par le déversement était probablement d'environ 1 500 (D. Lehoux, SCF-QC, comm. pers.). Bien sûr, beaucoup d'autres oiseaux sont sans doute passés inaperçus parce qu'ils étaient morts ou qu'ils avaient simplement été emportés par les courants ou les marées. Il est donc plus que probable que quelque 4 000 oiseaux soient effectivement morts à cause de cet incident (D. Lehoux, SCF-QC, comm. pers.). Les oiseaux souillés étaient pour la plupart des Eiders à duvet (Somateria mollissima, environ 90 %) et des Guillemots à miroir (Cepphus grylle, environ 5 %). Les autres espèces étaient surtout des Laridés (Larusspp.) et, en proportion plus faible, des Guillemots colombins (Clangula hyemalis), des Eiders à tête grise (Somateria spectabilis), des Canards noirs (Anas rubripes), des Grands Harles (Mergus merganser) et des Pygargues à tête blanche (Haliaeetus leucocephalus).
| Produits pétroliers | Estuaire du Saint - Laurent - Rive nord : Baie-Comeau | Estuaire du Saint - Laurent - Rive nord : Cap-à-l'Aigle | Estuaire du Saint - Laurent - Rive nord : Godbout | Estuaire du Saint - Laurent - Rive nord : La Malbaie - Pointe-au-Pic | Estuaire du Saint - Laurent - Rive sud : Rimouski | Golfe du Saint - Laurent : Port-Cartier | Golfe du Saint - Laurent : Sept-Îles | Total |
|---|---|---|---|---|---|---|---|---|
| Asphalte/asphalte artificiel |
-
|
-
|
-
|
-
|
-
|
-
|
0,1
|
0,1
|
| Fonds de cale |
-
|
-
|
-
|
-
|
0,9
|
5,8
|
0,2
|
7,0
|
| Mazout lourd A, B et C |
6,1
|
-
|
-
|
1,0
|
-
|
14,5
|
329,5
|
351,1
|
| Busan 881 |
1,0
|
-
|
-
|
-
|
-
|
-
|
-
|
1,0
|
| Brut |
1,0
|
-
|
-
|
-
|
-
|
8,7
|
-
|
9,7
|
| Mazout intermédiaire et lourd |
12,9
|
-
|
-
|
-
|
-
|
0,7
|
-
|
13,6
|
| Huile de graissage |
0,8
|
-
|
-
|
-
|
-
|
0,0
|
4,9
|
5,7
|
| Huile usée |
0,1
|
0,4
|
-
|
-
|
1,3
|
14,8
|
0,3
|
16,9
|
| Autres huiles |
0,1
|
-
|
-
|
-
|
-
|
5,0
|
2,1
|
7,2
|
| Fluides hydrauliques |
0,0
|
-
|
-
|
-
|
-
|
-
|
-
|
0,0
|
| Mazout nos 1 et 2 |
275,0
|
5,4
|
-
|
22,0
|
81,4
|
15,1
|
1,6
|
400,5
|
| Mazout nos 4 et 5 |
10,2
|
-
|
2,9
|
-
|
-
|
6,3
|
0,9
|
20,3
|
| Essence |
2,3
|
0,1
|
-
|
10,0
|
4,4
|
0,2
|
-
|
17,1
|
| Hydroxyde de sodium |
0,5
|
-
|
-
|
-
|
-
|
-
|
-
|
0,5
|
| Chlorure de thionyle |
-
|
-
|
-
|
-
|
-
|
53,0
|
-
|
53,0
|
| Total |
310,0
|
5,9
|
2,9
|
33,0
|
88,0
|
124,2
|
339,6
|
903,6
|
En outre, même si plusieurs organismes ont élaboré des plans d'intervention d'urgence pour les oiseaux aquatiques en cas de déversement d'hydrocarbures, il est généralement admis que le rétablissement d'oiseaux souillés constitue une intervention de dernier recours, justifiée surtout par l'humanitarisme. Par exemple, sur les 640oiseaux apportés au centre de rétablissement après le déversement à Havre-Saint-Pierre, seulement 66 ont pu être remis en liberté (D. Lehoux, SCF-QC, comm. pers.), ce qui représente un taux de succès de 10 %seulement. Durant un important déversement d'hydrocarbures, les équipes de rétablissement reçoivent beaucoup plus d'oiseaux qu'ils ne peuvent réellement en sauver. Enfin, on sait qu'une partie importante des oiseaux remis en liberté (réhabilités) ne survivent pas longtemps (D. Lehoux, SCF-QC, comm. pers.).
Selon Daigle et Darveau (1995), le Garrot d'Islande est une « priorité moyenne » dans l'indice de priorisation de nettoyage d'oiseaux aquatiques sensibles aux déversements d'hydrocarbures dans le corridor du Saint-Laurent. À notre avis, il faudrait revoir cette classification, étant donné que les données présentées dans ce rapport justifient d'accorder à cette espèce une « très haute priorité » dans l'indice de priorisation de nettoyage.
Les données présentées ici sont tirées de Loiselle etal. (1997), qui ont produit pour la section État de l'environnement du Centre Saint-Laurent d'Environnement Canada un rapport thématique qui fait le point sur l'état de contamination des sédiments du fleuve Saint-Laurent. Pour obtenir plus de détails sur les concentrations précises à certains endroits (p. ex. dans la baie des Anglais et dans la baie des Chaleurs), voir Fortin etal. (1996) et Gagnon etal. (1997, 1998).
Dans le Saint-Laurent, les sources de contamination sont diversifiées et comprennent les rejets directs d'effluents urbains, industriels et agricoles, ainsi que les opérations portuaires, le dragage et l'immersion des matériaux dragués. Selon Loiselle etal. (1997), les sédiments de certaines aires d'hivernage importantes du Garrot d'Islande sont fortement contaminés. Or, la contamination des sédiments du Saint-Laurent peut constituer une lourde menace pour le Garrot d'Islande hivernant dans le corridor fluvial parce que les mollusques, en particulier les moules bleues, comptent pour une grande part de sa nourriture en eau salée durant l'hiver (Eadie etal., 2000). De nombreux organismes benthiques, notamment des mollusques, ont tendance en effet à accumuler dans leurs tissus des substances toxiques à des concentrations beaucoup plus élevées que celles qu'on trouve dans les eaux et les sédiments environnants. La contamination des Buccins (Buccinum sp., gastéropode omnivore) par les PCB (polychlorobiphényles) dans la baie des Anglais est un cas bien documenté de bioconcentration des contaminants à partir de sédiments. Il peut aussi y avoir bioamplification, c'est-à-dire augmentation de la concentration d'un contaminant dans la chaîne alimentaire, comme dans le cas des composés organochlorés (p. ex. les PCB et le DDT) (Loiselle etal., 1997).
Les zones côtières de l'estuaire du Saint-Laurent, où des Garrots d'Islande hivernent en grand nombre, sont contaminées par des métaux lourds; mais le degré et l'étendue de la contamination sont faibles dans la plupart d'entre elles. La contamination par le cuivre et/ou par le mercure dépasse le seuil de contamination significative (SCS), qui est atteint lorsque les concentrations de contaminants dépassent les valeurs préindustrielles par un facteur de 2,5, à La Malbaie-Pointe-au-Pic, à Cap-à-l'Aigle et à Baie-des-Rochers, ainsi que dans la région de Tadoussac. Les ports de Sept-Îles et de Port-Cartier sont aussi contaminés par des métaux lourds (cuivre, mercure, chrome et plomb dans le premier cas, et cuivre et nickel dans le second). Selon les données les plus récentes (1987), les concentrations de mercure à Sept-Îles dépassent le seuil d'effets néfastes (SEN), qui affecterait 90 % des organismes benthiques (Gagnon etal., 1997). Les sédiments d'au moins deux autres aires d'hivernage importantes pour le Garrot d'Islande sont fortement contaminés : la baie des Anglais (Baie-Comeau), qui constitue le pire cas de contamination par des rejets industriels de PCB et de HAP de l'ensemble des régions côtières de l'Est du Canada, et la baie des Chaleurs, dont de vastes secteurs sont fortement contaminés par le mercure et le cadmium (Loiselle etal., 1997), notamment à Dalhousie, où se rassemblent à l'occasion la plupart des Garrots d'Islande hivernant dans la baie des Chaleurs.
Historiquement, la contamination des sédiments de la baie des Anglais (Baie-Comeau) a été attribuée aux rejets de PCB provenant des systèmes hydrauliques d'une aluminerie, aux HAP libérés durant l'électrolyse de l'aluminium et au brai perdu durant le transbordement. Autour des quais, les dépôts contaminés ont presque quatre mètres d'épaisseur (SNC-Lavallin, 1995). Certains des sédiments contaminés ont été immergés dans la baie durant les travaux de dragage d'entretien du port. La dispersion des sédiments contaminés après l'immersion en mer et leur remise en suspension périodique par des vagues de tempête expliquent peut-être la contamination de la baie (SNC-Lavallin, 1995). En 1990, la plupart des concentrations de PCB et de HAP dans les sédiments de l'anse du Moulin (l'embouchure de la baie des Anglais) et de la baie des Anglais dépassent le SCS (pour plus de détails, voir le tableau 15 in Loiselle etal., 1997). La contamination la plus grave est celle de l'anse du Moulin, où les concentrations maximums de PCBéquivalent à 70 fois le seuil sans effet (SSE), qui correspond aux concentrations naturelles d'une substance chimique dans les sédiments d'un site non contaminé et où les concentrations maximums de HAP sont 230 fois plus élevées que les concentrations préindustrielles. En 1990, la pollution par les HAP a dépassé le seuil d'effets néfastes (SEN) presque partout dans l'anse du Moulin. Des concentrations comparables de PCB et de HAP ont été mesurées dans un site d'élimination des matériaux de dragage de la baie des Anglais. De plus, cette baie est contaminée par le mercure et le plomb (Loiselle etal., 1997). Les résultats préliminaires d'une étude de 1994 confirment l'étendue de la contamination et permettent d'évaluer la quantité de sédiments contaminés par les PCB et les HAP dans l'anse du Moulin et dans la partie adjacente de la baie des Anglais. Environ 300 000 m3 de sédiments sont fortement contaminés (> SEN) (SNC-Lavallin, 1995). Il faut souligner qu'entre 1985 et 1993, on a pris des mesures pour réduire les sources locales de contamination, et les fuites de PCB et de HAP dans l'environnement ont presque entièrement été éliminées (Fortin etal., 1996). En 1995, on a entrepris des études sur l'utilité d'intervenir pour restaurer des zones contaminées, mais on en attend toujours les conclusions (Loiselle etal.,1997).
Selon Mousseau et Armellin (1996, annexe 6), de nombreuses études ont porté sur la contamination d'organismes benthiques dans la baie des Anglais. Malheureusement, il semble que ces études soient difficilement comparables et que nombre d'entre elles datant d'une vingtaine d'années ne permettent pas nécessairement de caractériser la contamination actuelle du benthos dans cette zone. Il est quand même bon de préciser que les concentrations totales de PCB relevées dans les échantillons de moules bleues récoltés en 1984 près de l'anse au Moulin (embouchure de la baie des Anglais) variaient de 0,1 à 2,9 mg/kg (poids humide, Bertrand etal., 1988 in Mousseau et Armellin, 1996); or, la concentration de 2,9 mg/kg est nettement supérieure aux critères de commercialisation des poissons et d'autres produits de la mer. En outre, les moules bleues et les myes (Mya arenaria) de la région de Baie-Comeau étaient impropres à la consommation en 1990 en raison de leur teneur en saxitoxine (Huppert et Levasseur, 1993 inMousseau et Armellin, 1996).
En 1984, de vastes secteurs de la baie des Chaleurs sont contaminées par le mercure et le cadmium (pour plus de détails, voir le tableau 16 in Loiselle etal. 1997). Les zones les plus fortement contaminées sont situées sur la côte nord du Nouveau-Brunswick au large de Dalhousie et de Belledune. Près de Dalhousie, les concentrations de mercure sont 80 fois plus élevées que les concentrations préindustrielles et le niveau de pollution dépasse le seuil d'effets néfastes. Un effluent d'une usine de chloralcali de Dalhousie est la principale source historique de contamination par le mercure dans la baie des Chaleurs. De plus, les matériaux dragués dans le port de Dalhousie et immergés près des quais sont probablement responsables de la contamination par des métaux lourds comme le cadmium.
Même si on sait que divers produits contaminent de nombreux sites où hivernent des Garrots d'Islande de l'est de l'Amérique du Nord, on ne connaît pas le degré de contamination des oiseaux. Les deux seuls Garrots d'Islande récoltés au Québec à des fins d'analyse étaient peu contaminés par des résidus chimiques (tableau 16). Il faut néanmoins souligner que ces oiseaux n'ont pas été récoltés dans des zones reconnues comme très contaminées. Il serait donc pertinent d'évaluer la contamination des Garrots d'Islande hivernant dans la baie des Anglais, étant donné qu'ils risquent d'être fortement contaminés.
| Contaminants(mg/kg poids humide) | Baie-des-Rochers (#38585)1 : Foie |
Baie-des-Rochers (#38585)1 : Muscles pectoraux |
Mitis (#52061)2 : Foie |
|---|---|---|---|
| Hg (mercure) | 1,3000 | - | 0,2440 |
| Se (sélénium) | - | - | 0,7255 |
| As (arsenic) | - | - | 0,1762 |
| Cd (cadmium) | 1,1200 | - | -0,05503 |
| Pb (plomb) | 0,5100 | - | -0,0350 |
| pp'DDE | 0,0205 | 0,0173 | 0,0271 |
| Oxychlordane | 0,0870 | 0,0027 | 0,0016 |
| Dieldrine | 0,0099 | 0,0043 | -0,0005 |
| Mirex | 0,0007 | 0,0006 | -0,0005 |
| Pentachlorobenzène | 0,0005 | 0,0004 | -0,0005 |
| PCB | 0,0871 | 0,0706 | 0,0749 |
1Individu récolté en 1988.
2Individu récolté en 1991.
3 Une valeur négative correspond à la moitié du seuil de détection.
Le Garrot d'Islande niche dans des cavités d'arbres et a besoin de gros arbres en raison de sa taille. Dans le cas du Garrot à Sil d'or, légèrement plus petit, Prince (1968) a établi que le diamètre intérieur moyen de 16 nids était de 20,6 cm (écart-type = 4,1); quatre nids récemment découverts au Québec (C. Maisonneuve, Faune et Parcs Québec, comm. pers.) se trouvaient dans des arbres de 38 à 69 cm de diamètre à hauteur de poitrine. Sachant que les garrots préfèrent nicher dans des cavités situées à plus de 5 mètres du sol (Eadie etal.,2000), il est évident que la présence de très gros arbres est importante pour la survie du Garrot d'Islande, particulièrement peut-être dans l'est de l'Amérique du Nord (par comparaison avec l'Islande), où l'espèce est associée aux zones boisées (Robert etal., 2000).
L'exploitation forestière tend à réduire le nombre de gros arbres et, à long terme, la taille moyenne des arbres. Elle a des répercussions sur le Garrot d'au moins quatre manières : 1) elle détruit des nids durant les opérations de récolte forestière; 2) elle réduit la disponibilité des sites de nidification potentiels; 3) elle force des garrots à nicher plus loin des étangs, exposant ainsi les canetons aux prédateurs lorsqu'ils se déplacent vers les plans d'eau et 4) elle facilite l'accès aux lacs pour les chasseurs et les pêcheurs, ce qui a pour effet de perturber les oiseaux nicheurs (voir plus bas). En outre, quoique l'hypothèse reste à prouver, le déboisement pourrait aussi toucher les garrots en faisant augmenter les taux de prédation dans les sites de nidification restants; par exemple, la martre d'Amérique (Martes americana) chasse activement dans des forêts résiduelles après la récolte du bois (même si elle chasse aussi dans d'anciennes coupes à blanc où on observe une dense régénération des arbres) (Potvin, 1998).
Dans le but d'évaluer l'importance relative de la perte de l'habitat de nidification, nous avons rassemblé des données sur les zones d'exploitation forestière au Québec. Nous avons aussi tenu compte d'autres facteurs, comme les chablis, les épidémies dans les forêts et les incendies de forêt, qui pourraient réduire le nombre de cavités disponibles pour la nidification. Ces données ont été compilées pour les unités d'aménagement du ministère des Ressources naturelles (MRN) du Québec, qui est responsable de l'aménagement des forêts dans la province. Entre 1976 et 1996, 417153 hectares (4 172 km²) de forêt ont été déboisés dans les unités d'aménagement 21, 23, 33, 91, 92, 93, 94 et 95 du Ministère; ces unités correspondent en gros à l'aire de nidification principale de la population de l'Est du Garrot d'Islande (Figure 4). Or, presque toute la superficie (99 %) a été coupée à blanc.
Durant la même période, dans la même zone, les incendies ont détruit 353942 hectares (3 539 km²) de plus de forêt, les épidémies, 51 519 hectares (515km²) et les chablis, 5 485 hectares (55 km²). Selon les données présentées au tableau 17, au moins 829 346 hectares (8 293 km²) de forêts ont été détruits de 1976 à 1996 dans (une partie de) l'aire de nidification principale de la population de l'Est du Garrot d'Islande. Selon P. Dubois (ingénieur forestier, Union Québécoise pour la Conservation de la Nature), cette superficie est un minimum, parce que la zone touchée est plus vaste : d'autres secteurs subissent en effet indirectement les incidences de l'exploitation forestière, par exemple là où on aménage des chemins d'accès.
Évidemment, seule une partie (inconnue) de la zone touchée par les activités forestières, les incendies, les épidémies et les chablis doit être considérée comme l'habitat de nidification du Garrot d'Islande. Il faut aussi souligner que, si la superficie de l'aire de nidification principale de l'espèce fait environ 120 000 km², une partie seulement (inconnue, mais probablement petite) est occupée par l'espèce. Nous n'avons malheureusement pas de données précises sur la superficie réelle de l'aire de nidification (à savoir la zone d'occupation, au sens du COSEPAC) du Garrot d'Islande dans l'est de l'Amérique du Nord ni sur celle des zones couvertes de forêts de diverses classes d'âge dans l'aire de nidification principale de la population.
Figure 4. Emplacement des unités d'aménagement du ministère des Ressources naturelles du Québec pour lesquelles des données sur la perte d'habitat sont présentées au tableau 15, correspondant à (une partie de) l'aire de nidification principale du Garrot d'Islande dans l'est de l'Amérique du Nord.
Selon les données du ministère des Ressources naturelles du Québec (tableau17), la zone déboisée chaque année dans les unités d'aménagement correspondant à l'aire de nidification principale du Garrot d'Islande est passée de moins de 5 000 hectares (50 km²) dans les années 1970 à près de 50 000 hectares (500 km²) en 1989. Depuis, entre 30 000 hectares (300 km²) et 40 000 hectares (400 km²) ont été déboisés chaque année dans cette région (Figure 5). Selon P. Dubois (ingénieur forestier, Union Québécoise pour la Conservation de la Nature), la rive nord du corridor du Saint-Laurent au nord de la rivière Saguenay sera probablement déboisée beaucoup plus intensivement dans un proche avenir, parce que l'industrie forestière est particulièrement intéressée à y récolter l'épinette noire pour produire du bois de sciage (la croissance de l'épinette noire étant lente, cela produit du meilleur bois). Par exemple, depuis que le prolongement de la route 138 a rendu Natashquan accessible (en 1997), de nouveaux permis d'exploitation forestière ont été délivrés, et les activités de déboisement ont augmenté dans la région (P. Dubois, comm. pers.). D'autres permis ont récemment été délivrés pour l'île René-Levasseur dans le réservoir Manicouagan, c'est-à-dire aussi loin au nord que 51° 30'N. Le ministère des Ressources naturelles prévoit permettre à l'industrie forestière d'élargir ses activités aussi loin au nord que 56° de latitude N (voir Parent 1999: 18), ce qui correspond presque à la limite des arbres.
| Unité | Type d'aménagement | Année ? | 1976 | 1977 | 1978 | 1979 | 1980 | 1981 | 1982 | 1983 | 1984 | 1985 |
|---|---|---|---|---|---|---|---|---|---|---|---|---|
| 21 | Exploitation forestière |
519
|
89
|
120
|
194
|
314
|
191
|
116
|
550
|
4039
|
4932
|
8659
|
| 21 | Éclaircie précommerciale |
-
|
-
|
-
|
-
|
-
|
-
|
-
|
-
|
-
|
-
|
-
|
| 21 | Chablis |
-
|
-
|
-
|
-
|
-
|
-
|
-
|
-
|
-
|
-
|
-
|
| 21 | Épidémie |
-
|
-
|
-
|
-
|
-
|
-
|
-
|
-
|
-
|
-
|
2253
|
| 21 | Incendie |
-
|
-
|
-
|
-
|
-
|
-
|
-
|
-
|
-
|
-
|
-
|
| 231 | Exploitation forestière |
4910
|
1454
|
1319
|
1482
|
995
|
831
|
812
|
583
|
189
|
296
|
258
|
| 23 | Éclaircie précommerciale |
-
|
-
|
-
|
-
|
-
|
-
|
-
|
-
|
-
|
-
|
-
|
| 23 | Incendie |
17
|
-
|
-
|
-
|
-
|
-
|
-
|
-
|
-
|
-
|
-
|
| 331 | Exploitation forestière |
140
|
56
|
40
|
-
|
-
|
-
|
1254
|
2166
|
2721
|
3196
|
3959
|
| 33 | Chablis |
-
|
-
|
-
|
-
|
-
|
-
|
-
|
-
|
-
|
-
|
426
|
| 33 | Épidémie |
-
|
-
|
-
|
-
|
-
|
-
|
-
|
-
|
-
|
-
|
49254
|
| 33 | Incendie |
-
|
-
|
-
|
-
|
-
|
-
|
-
|
-
|
-
|
-
|
53
|
| 911 | Exploitation forestière |
1810
|
259
|
314
|
153
|
349
|
420
|
822
|
276
|
169
|
887
|
6089
|
| 91 | Épidémie |
-
|
-
|
-
|
-
|
-
|
-
|
-
|
-
|
-
|
-
|
-
|
| 91 | Incendie |
-
|
-
|
-
|
-
|
-
|
-
|
-
|
-
|
-
|
-
|
-
|
| 921 | Exploitation forestière |
1513
|
423
|
238
|
257
|
502
|
56
|
476
|
263
|
10
|
4
|
2
|
| 92 | Incendie |
-
|
-
|
-
|
-
|
-
|
-
|
-
|
-
|
-
|
-
|
-
|
| 931 | Exploitation forestière |
1531
|
47
|
782
|
449
|
682
|
374
|
502
|
1625
|
2366
|
479
|
235
|
| 93 | Épidémie |
4
|
-
|
-
|
-
|
-
|
-
|
-
|
-
|
-
|
-
|
-
|
| 93 | Incendie |
-
|
-
|
-
|
-
|
-
|
-
|
-
|
-
|
-
|
-
|
-
|
| 941 | Exploitation forestière |
33
|
68
|
289
|
203
|
7
|
-
|
-
|
3
|
-
|
3
|
-
|
| 94 | Chablis |
6
|
-
|
-
|
-
|
-
|
-
|
-
|
-
|
-
|
-
|
-
|
| 94 | Incendie |
-
|
-
|
-
|
-
|
-
|
-
|
-
|
-
|
-
|
-
|
-
|
| 951 | Exploitation forestière |
-
|
-
|
-
|
-
|
-
|
-
|
-
|
-
|
-
|
-
|
-
|
| Unité | Type d'aménagement | 1986 | 1987 | 1988 | 1989 | 1990 | 1991 | 1992 | 1993 | 1994 | 1995 | 1996 | Total |
|---|---|---|---|---|---|---|---|---|---|---|---|---|---|
| 21 | Exploitation forestière |
6255
|
6660
|
5076
|
5901
|
6160
|
4758
|
5928
|
4998
|
4405
|
4337
|
3146
|
77345
|
| 21 | Éclaircie précommerciale |
-
|
-
|
-
|
-
|
-
|
-
|
-
|
-
|
-
|
80
|
50
|
130
|
| 21 | Chablis |
-
|
-
|
-
|
222
|
-
|
11
|
-
|
-
|
-
|
-
|
-
|
233
|
| 21 | Épidémie |
-
|
-
|
4
|
-
|
-
|
-
|
-
|
-
|
-
|
-
|
2253
|
2257
|
| 21 | Incendie |
107
|
-
|
-
|
98
|
4159
|
1929
|
-
|
-
|
-
|
-
|
-
|
6293
|
| 231 | Exploitation forestière |
196
|
2290
|
6957
|
6031
|
6233
|
3425
|
4151
|
6253
|
5861
|
8614
|
10058
|
73178
|
| 23 | Éclaircie précommerciale |
-
|
-
|
-
|
-
|
-
|
-
|
-
|
-
|
-
|
86
|
229
|
315
|
| 23 | Incendie |
-
|
-
|
-
|
92
|
-
|
2319
|
-
|
-
|
-
|
86
|
10860
|
13374
|
| 331 | Exploitation forestière |
2183
|
2808
|
2440
|
2362
|
1200
|
520
|
1245
|
1784
|
-
|
-
|
-
|
28074
|
| 33 | Chablis |
-
|
-
|
-
|
-
|
-
|
-
|
-
|
-
|
2216
|
-
|
-
|
2642
|
| 33 | Épidémie |
-
|
-
|
-
|
-
|
-
|
-
|
-
|
-
|
-
|
-
|
-
|
49254
|
| 33 | Incendie |
-
|
-
|
-
|
21
|
-
|
6086
|
-
|
-
|
-
|
-
|
-
|
6160
|
| 911 | Exploitation forestière |
4467
|
7027
|
10915
|
8171
|
5407
|
4218
|
3663
|
4661
|
5863
|
1788
|
967
|
68695
|
| 91 | Épidémie |
-
|
4
|
-
|
-
|
-
|
-
|
-
|
-
|
-
|
-
|
-
|
4
|
| 91 | Incendie |
-
|
-
|
-
|
-
|
-
|
55091
|
-
|
-
|
-
|
-
|
-
|
55091
|
| 921 | Exploitation forestière |
-
|
172
|
298
|
1306
|
411
|
2685
|
2632
|
2617
|
6265
|
9097
|
7633
|
36860
|
| 92 | Incendie |
-
|
489
|
-
|
-
|
2347
|
10704
|
26
|
-
|
-
|
-
|
-
|
109910
|
| 931 | Exploitation forestière |
94
|
9504
|
13222
|
15525
|
6718
|
10399
|
6688
|
8128
|
8584
|
13004
|
11131
|
112069
|
| 93 | Épidémie |
-
|
-
|
-
|
-
|
-
|
-
|
-
|
-
|
-
|
-
|
-
|
4
|
| 93 | Incendie |
-
|
-
|
223
|
574
|
2998
|
117300
|
-
|
-
|
352
|
73
|
41548
|
163077
|
| 941 | Exploitation forestière |
24
|
1301
|
2160
|
3364
|
1142
|
157
|
113
|
-
|
2059
|
5426
|
3603
|
19955
|
| 94 | Chablis |
-
|
-
|
-
|
-
|
-
|
-
|
-
|
-
|
-
|
883
|
1721
|
2610
|
| 94 | Incendie |
-
|
-
|
-
|
-
|
-
|
-
|
-
|
-
|
-
|
37
|
-
|
37
|
| 951 | Exploitation forestière |
-
|
-
|
-
|
184
|
110
|
-
|
-
|
-
|
-
|
266
|
417
|
977
|
| Toutes | Exploitation forestière |
417 153
|
|||||||||||
| Toutes | Éclaircie précommerciale |
445
|
|||||||||||
| Toutes | Chablis |
5 485
|
|||||||||||
| Toutes | Épidémie |
51 519
|
|||||||||||
| Toutes | Incendie |
353 942
|
|||||||||||
| Total |
829 346
|
Figure 5. Superficie totale déboisée chaque année de 1976 à 1996 dans les unités d'aménagement du ministère des Ressources naturelles du Québec correspondant à (une partie de) l'aire de nidification principale du Garrot d'Islande dans l'est de l'Amérique du Nord.
Il faut souligner également que le bouleau à papier (Betula papyrifera) (Courteau etal., 1997), le peuplier faux-tremble (Populus tremuloides) et le bouleau jaune (Betula alleghaniensis) sont des espèces qui deviennent assez grosses pour offrir des cavités propices à la nidification du Garrot d'Islande dans la forêt boréale. Le bouleau blanc est une des composantes principales de la forêt boréale à sapin baumier, qui correspond en partie à l'aire de nidification principale de l'espèce, tel qu'identifiée par Robert etal. (2000). Comme la demande pour cette essence varie selon la région, le bouleau blanc n'est pas toujours récolté durant les activités d'exploitation forestière (M. Darveau et P.Dubois, comm. pers.). La récolte de feuillus (en particulier du bouleau à papier et du peuplier faux-tremble) a néanmoins considérablement augmenté durant les années 1990 (M. Darveau, comm. pers.), et les arbres les plus recherchés sont les plus gros, du moins dans le cas du bouleau à papier (P. Dubois, comm. pers.). Selon les données du ministère des Richesses naturelles du Québec, le volume de feuillus récoltés chaque année dans la province de Québec a doublé entre le milieu des années 1980 et le milieu des années 1990, et il était d'environ 5 millions de m3 en 1995-1996 (par rapport à près de 27 millions de m3 de conifères, voir Parent 1999: 83). En outre, même si le bouleau n'est pas toujours récolté, il pourrit rapidement une fois que les conifères qui l'entourent ont été éliminés. Les bouleaux morts tombent au sol après quelques décennies.
Par ailleurs, les corridors riverains entourant les lacs dans des zones exploitées ne sont pas entièrement protégés, ce qui pourrait nuire aux garrots vu leur tendance à nicher près des rives des lacs lorsque c'est possible (Johnson, 1967). Selon le règlement sur la forêt au Québec(Règlement sur les normes d'intervention dans les forêts du domaine public; Loi sur les forêts), les compagnies forestières doivent conserver une bande riveraine de seulement 20 mètres autour des lacs et des autres plans d'eau permanents. Lorsque la récolte se fait à côté d'une bande riveraine, que la pente de la zone riveraine est < 40 % et que la densité de la couverture forestière est > 60 %, les compagnies doivent récolter uniformément le tiers des arbres dont le diamètre est e 10 cm (à 30 cm de hauteur) dans la bande riveraine de 20 mètres. Par conséquent, selon le règlement en vigueur, le tiers des arbres adjacents aux lacs (à moins de 20 mètres) sont récoltés dans les zones où se déroulent des opérations de récolte.
De plus, la plus grande partie de la forêt exploitée au cours des 25 dernières années sur la rive nord de l'estuaire et du golfe du Saint-Laurent (c'est-à-dire dans l'aire de nidification principale du Garrot d'Islande) était une forêt mature ancienne qui n'avait jamais été récoltée auparavant. Selon Chartrand (1999), près de la moitié de la superficie forestière qui est présentement déboisée sur la Côte-Nord du Québec date d'avant 1759. Nous estimons que ces anciennes forêts contiennent probablement une plus grande proportion de gros arbres (des arbres qui conviennent à la nidification du garrot) que la nouvelle forêt qui poussera durant les quelques prochaines décennies et qui sera abattue beaucoup plus jeune.
Chasse
Pour le moment, la chasse au Garrot d'Islande est permise, comme la chasse aux autres canards, dans tout l'est du Canada (c'est-à-dire au Labrador, à Terre-Neuve, à l'Île-du-Prince-Édouard, en Nouvelle-Écosse et au Nouveau-Brunswick, où les maximums de prises et les maximums d'oiseaux à posséder sont respectivement de six et de douze), sauf au Québec, où on a adopté un règlement particulier dans le but de réduire la récolte de Garrots d'Islande. L'adoption d'une réglementation spéciale pour protéger l'espèce est d'autant plus justifiée (la où des individus se trouvent souvent en grands nombres) que ce garrot est plus facile à chasser que le Garrot à Sil d'or pour trois raisons principales : il se nourrit plus près du rivage que son congénère, se fait leurrer plus facilement et se rassemble souvent en groupes plus denses dans quelques zones précises.
Depuis 1995, la saison de chasse aux garrots se termine à la mi-novembre dans le district E au Québec, qui correspond à la portion du corridor du Saint-Laurent de Saint-Siméon à Port-Cartier sur la rive nord, de Rivière-du-Loup à l'extrémité est de la péninsule de Gaspé sur la rive sud, et à la baie des Chaleurs. Les importantes aires d'hivernage du Garrot d'Islande qui se trouvent dans le district E sont Baie-des-Rochers, Tadoussac, la baie des Anglais (Baie-Comeau), Franquelin-Mistassini, Mitis et Les Boules. En outre, la prise quotidienne maximale est de trois garrots (y compris des Petits Garrots) partout au Québec (comparativement à six pour les autres canards), et le maximum d'oiseaux à posséder, de six dans le district E (comparativement à douze ailleurs). Au Québec, une nouvelle zone de chasse interdite a aussi été établie en 1999 pour protéger les Garrots d'Islande hivernant dans le parc provincial du Bic (près de Rimouski sur la rive sud du Saint-Laurent), en particulier dans la baie du Ha! Ha! et dans l'anse à Mercier (P. Brousseau, SCF, comm. pers.). Par ailleurs, la chasse est interdite dans la seule grande aire d'hivernage pour le Garrot d'Islande au Nouveau-Brunswick, c'est-à-dire Dalhousie (M. Bateman, comm. pers.). Il n'existe pas de restrictions particulières à la chasse au Garrot d'Islande dans le Maine ni ailleurs dans l'est des États-Unis, dans les voies migratoires de l'Atlantique ou du Mississippi. Cela signifie qu'une personne peut prendre jusqu'à six Garrots d'Islande par jour à l'intérieur d'une saison de chasse de 60 jours dans les deux voies migratoires (G. Haas, United States Fish and Wildlife Service (USFWS), comm. pers.).
Bien qu'on ait adopté un règlement spécial dans le district E au Québec, d'importantes zones de concentration de Garrots d'Islande sont aussi situées dans d'autres districts de chasse où ne s'applique aucun règlement particulier. C'est le cas de la zone de La Malbaie-Pointe-au-Pic (y compris Cap-à-l'Aigle), située dans le district F (même si nous ignorons si on chasse régulièrement dans cette zone). En outre, de nombreux Garrots d'Islande sont déjà établis le long du corridor du Saint-Laurent en octobre (voir Larivée, 1993 et David, 1996), et une grande partie de la récolte semble se faire durant ce mois (Savard et Dupuis, 1999), c'est-à-dire avant la fin de la saison de chasse aux garrots dans le district E.
Entre 1968 et 1998, les chasseurs de l'Ontario, du Québec et des provinces de l'Atlantique ont retourné 475 ailes de Garrot d'Islande dans le cadre de l'Enquête nationale sur les prises. Selon le tableau 18, la plupart des oiseaux ont été récoltés au Québec (59,6 %) et au Nouveau-Brunswick (21,3 %) et les autres en Nouvelle-Écosse (7,4 %), à Terre-Neuve (5,9 %), en Ontario (4,6 %) et à l'Île-du-Prince-Édouard (1,3 %). Il faut toutefois faire preuve de prudence lorsqu'on compare les pourcentages d'ailes retournées dans chaque province en raison des différences interprovinciales quant à l'intensité de l'échantillonnage (H. Lévesque, SCF-CNRC-Hull, comm. pers.). D'après les ailes retournées par les chasseurs du Québec, il apparaît que plus de jeunes (58,8 %; 144/245) que d'adultes (41,2%; 101/245) ont été tués et, parmi les adultes, autant de mâles (49,5 %) que de femelles (50,5 %). La situation est assez différente au Nouveau-Brunswick, où 70,5% (62/88) des Garrots d'Islande récoltés étaient des adultes et 29,5 % (26/88), des immatures (tableau 18).
| Province | Mâle adulte | Mâle immature | Mâle âge inconnu | Femelle adulte | Femelle immature | Femelle âge inconnue | Adulte sexe inconnu | Immature sexe inconnu | Inconnu | Total |
|---|---|---|---|---|---|---|---|---|---|---|
| Québec | 50 | 67 | 5 | 51 | 52 | 2 | 0 | 25 | 31 | 283 |
| Nouveau-Brunswick | 43 | 13 | 0 | 18 | 9 | 1 | 1 | 4 | 12 | 101 |
| Nouvelle-Écosse | 7 | 4 | 0 | 11 | 2 | 0 | 0 | 4 | 7 | 35 |
| Ontario | 4 | 3 | 1 | 5 | 6 | 0 | 0 | 0 | 3 | 22 |
| Terre-Neuve | 2 | 15 | 0 | 2 | 4 | 0 | 0 | 3 | 2 | 28 |
| Île-du-Prince-Édouard | 4 | 0 | 0 | 2 | 0 | 0 | 0 | 0 | 0 | 6 |
| Total | 110 | 102 | 6 | 89 | 73 | 3 | 1 | 36 | 55 | 475 |
La Figure 6 montre le nombre d'ailes de Garrots d'Islande retournées chaque année par les chasseurs de sauvagine de l'est du Canada dans le cadre de l'Enquête nationale sur les prises du Service canadien de la faune. Entre trois (1996) et 36 (1972) ailes ont été retournées chaque année de 1968 à 1998 (moyenne = 15,3; écart-type = 8,8). On peut voir que l'espèce a été détectée dans la récolte depuis les premières années de l'Enquête, et que le taux de récolte a toujours été faible. Malheureusement, le nombre d'ailes de Garrots d'Islande retournées chaque année est trop faible pour donner une idée exacte du nombre total d'individus récoltés dans l'est du Canada. Les évaluations de récolte calculées à partir de petits échantillons peuvent en outre être biaisées lorsque quelques chasseurs spécialisés se trouvent parmi les chasseurs choisis au hasard pour participer à l'Enquête pendant une année donnée (H. Lévesque, SCF-CNRC-Hull, comm. pers. ; voir aussi l'annexe II in Gauthier et Aubry, 1996). Selon nous, le nombre de Garrots d'Islande récoltés chaque année dans l'est du Canada s'élève probablement à quelques centaines (100-400), et la plupart sont sans doute tués au Québec le long de l'estuaire et du golfe du Saint-Laurent. Bien sûr, il ne s'agit là que d'une hypothèse bien fondée : à notre avis, il faudrait faire un effort particulier (p. ex. une enquête visant spécifiquement la récolte de garrots) pour obtenir une estimation valide du nombre de Garrots d'Islande récoltés chaque année dans l'est du Canada.
La récolte totale de Garrots d'Islande dans les États américains de la voie migratoire de l'Atlantique semble très faible comparativement à la récolte dans l'est du Canada (G. Haas, USFWS, comm. pers.). Pour 1996, on n'a reçu que cinq ailes provenant de la voie migratoire de l'Atlantique, et la récolte a été évaluée à 360 oiseaux (lettre de G. Haas, USFWS, à G. Joder, Biodiversity Legal Foundation, le 19 février 1998). Cependant, comme dans l'est du Canada, le nombre d'ailes de Garrots d'Islande retournées chaque année est trop faible pour se faire une idée exacte du nombre d'individus récoltés. À notre avis, le nombre de Garrots d'Islande réellement récoltés chaque année dans l'est des États-Unis est probablement beaucoup plus faible que l'évaluation de 1996, et sans doute négligeable.
Figure 6.Nombre d'ailes de Garrots d'Islande retournées chaque année par les chasseurs de sauvagine de l'est du Canada pour l'Enquête nationale sur les prises du Service canadien de la faune, de 1968 à 1998 (Hélène Lévesque, SCF-CNRC-Hull)
En résumé, même si on ne peut préciser le nombre absolu de Garrots d'Islande récoltés chaque automne dans l'est de l'Amérique du Nord, le fait que quelques centaines d'individus sont probablement tués chaque année pourrait constituer une menace pour une population aussi petite. Selon de récentes modélisations, la récolte d'oiseaux adultes a un lourd impact sur les oiseaux qui vivent longtemps et dont le potentiel de reproduction est faible comme le Garrot d'Islande (Goudie etal., 1994).
Il est possible qu'un certain nombre de Garrots d'Islande mâles soient tués chaque année dans les aires de mue situées sur les côtes de la baie d'Hudson, d'Ungava et Frobisher et du Labrador (figure 1). Toutes les aires de mue connues des mâles de l'espèce se trouvent en effet dans le nord du Canada, où la récolte de subsistance par les Autochtones est permise à l'année. Cependant, même si cette récolte peut constituer une grave menace pour les oiseaux en mue, qui ne volent pas et sont par conséquent très vulnérables durant quelques semaines chaque été, il est peu probable que ce soit le cas, car apparemment les Autochtones ne récoltent pas régulièrement les garrots.
La Bernache du Canada (Branta canadensis), l'Oie des neiges (Anser caerulescens) et l'Eider à duvet (Somateria mollissima) étaient de loin les espèces d'oiseaux le plus souvent récoltées par les Inuits du nord du Québec en 1979 et en 1980. D'autres oiseaux (guillemots, macreuses, plongeons, canards pilets et harles) étaient aussi récoltés, mais en moins grand nombre (environ dix fois moins), et aucun garrot n'a été signalé (Comité de recherche sur la récolte autochtone de la Baie James et du Nord québécois, 1982). De 1976 à 1980, des chasseurs de Tasiujaq (à l'embouchure de la baie des Feuilles, dans la baie Ungava, où se rassemblent sans doute beaucoup de garrots pour muer) ont récolté 6 656 Sufs de canards, 2027 Bernaches cravants (Branta bernicla) et canards, 1 244 Bernaches du Canada, 288 alcidés (guillemots) et quelques Oies des neiges et plongeons (Comité de recherche sur la récolte autochtone de la Baie James et du Nord québécois, 1988). Aucun garrot ne figurait parmi les espèces de la « catégorie des canards » (mais plutôt des Anas, des Somateria, des Melanitta perspicillata et des Mergus). Cela ne signifie pas nécessairement selon nous qu'aucun garrot n'a été récolté, mais plutôt que l'oiseau ne figure pas dans la liste des espèces de canards (régulièrement et ) traditionnellement récoltés par les Inuits du nord du Québec.
Bien que cela n'ait pas encore été confirmé dans l'est de l'Amérique du Nord, il est fort probable que les Garrots d'Islande préfèrent les lacs dont les populations de poissons sont réduites ou inexistantes. C'est le cas dans l'ouest du Canada (Eadie etal., 2000), et la préférence des oiseaux pour les petits lacs de tête au Québec le confirme (Robert etal., 2000, SCF-QC, données inédites). Les poissons consomment de préférence les plus gros individus de la communauté planctonique et ont tendance à les éliminer, à en réduire les effectifs ou à les forcer à devenir matures à une taille plus petite (Pope etal., 1973; Pope et Carter, 1975). Le Garrot à Sil d'or évite en général les lacs où il y a peu d'insectes aquatiques en raison de la forte pression des poissons insectivores (Ericksson, 1983; McNicol et Wayland, 1992). Par ailleurs, on sait que la disponibilité de lacs d'élevage offrant suffisamment de proies invertébrées est un facteur qui influe considérablement sur les déplacements terrestres des couvées de l'espèce (et donc sur le risque de mortalité) et sur leur survie (Eriksson, 1978; Wayland et McNicol, 1994). L'abondance de nourriture influe en outre sur la répartition des couvées de Garrots d'Islande en Islande (Einarsson, 1988). Par conséquent, l'introduction de poissons dans des lacs qui n'en contenaient pas au départ a probablement pour effet d'en réduire la qualité pour ce qui est de la nidification du Garrot d'Islande.
Au Québec, l'aire de nidification du Garrot d'Islande couvre de nombreuses zones d'exploitation contrôlée (Zones d'exploitation contrôlée), des réserves fauniques et des pourvoiries qui sont des zones gérées principalement en fonction des activités de pêche et de chasse (en plus de l'exploitation forestière). Il est reconnu que le gouvernement du Québec (Faune et Parcs Québec), en collaboration avec les gestionnaires des zones d'exploitation contrôlée et des pourvoiries, fait des efforts considérables pour introduire l'omble de fontaine (Salvelinus fontinalis) dans de nombreux lacs. La construction de routes pour l'exploitation forestière a rendu accessibles ces lacs, qui ne contenaient pas de poissons auparavant. Par exemple, on introduit depuis quelques décennies de la truite dans de nombreux lacs auparavant sans poisson de la zone d'exploitation contrôlée Chauvin, où ont été observées en 1998 et en 1999 toutes les couvées de Garrot d'Islande découvertes jusqu'à présent dans l'est de l'Amérique du Nord. Sur 67 lacs auparavant dépourvus de poissons, 42 (63 %) ont été ensemencés de truites entre 1981 et 1997, et tous les autres qui offrent un potentiel pour la truite le seront prochainement (J. Tanguay, comm. pers.). Il faut souligner que la zone d'exploitation contrôlée Chauvin ne constitue pas une exception et qu'une situation semblable existe dans toutes les zones d'exploitation contrôlée (J. Tanguay, comm. pers.), réserves fauniques et pourvoiries du Québec. On compte une centaine de ces zones (y compris deux réserves fauniques et dix-sept zones d'exploitation contrôlée) dans la région correpondant plus ou moins à l'aire de nidification principale du Garrot d'Islande au Québec.
En plus de réduire la qualité de l'habitat en introduisant des poissons, la perturbation des nids par les pêcheurs peut inciter les jeunes à abandonner les nids et faire augmenter la mortalité des canetons qui deviennent plus vulnérables aux prédateurs et aux interactions agressives avec les autres couvées. Au Québec, le point culminant de la pêche à la truite arrive en juin, ce qui correspond à la période d'incubation par les canes de Garrots d'Islande. La pêche à l'omble de fontaine est permise jusqu'au début de septembre, c'est-à-dire durant la période d'élevage des canetons. La plupart des lacs utilisés par le Garrot d'Islande dans la zone d'exploitation contrôlée Chauvin sont aussi fréquentés par les pêcheurs (C. Marcotte et M. Robert, obs. pers.).
La majeure partie de la population de l'Est du Garrot d'Islande est concentrée dans quelques secteurs du corridor du Saint-Laurent. L'exploitation commerciale de ces zones côtières peut nuire aux garrots. Par exemple, l'industrie de l'aquaculture peut monopoliser certains secteurs ou les polluer. La récolte commerciale de divers produits (p. ex. les algues et les oursins) peut modifier l'écosystème. De plus, des oiseaux peuvent se prendre dans les filets maillants des pêches locales. Les perturbations causées par la navigation de plaisance peuvent limiter l'utilisation de ces zones par les oiseaux. Les pêches aux crustacés peuvent avoir un impact sur la nourriture du garrot. Les aménagements hydroélectriques qui augmentent, réduisent ou coupent le débit des cours d'eau qui se jettent dans le Saint-Laurent peuvent modifier certains habitats côtiers. Toutes ces activités constituent des menaces potentielles pour la petite population de Garrots d'Islande de l'est de l'Amérique du Nord. Nous ne disposons malheureusement pas de données précises sur les activités qui touchent les garrots le long du corridor du Saint-Laurent ou ailleurs dans le nord du Québec et au Labrador. Nous savons cependant qu'il existe une pêche commerciale d'oursins dans le parc provincial du Bic, où de nombreux Garrots d'Islande se rassemblent à la fin de l'automne et au début du printemps.
Le Garrot d'Islande ayant la même répartition mondiale que l'Arlequin plongeur, on pense que les deux espèces ont eu des refuges glaciaires semblables. Ce sont deux exemples de spéciation en cours. Les populations de l'Est sont isolées de celles de l'Ouest, et il est fort probable que la population de l'est de l'Amérique du Nord soit également isolée de la population islandaise. La population de l'Est du Garrot d'Islande est donc importante sur le plan de la conservation, car elle s'éloigne sans doute génétiquement des autres populations et, comme le mentionnent Lesica et Allendorf (1995), la conservation d'une espèce à long terme est probablement fonction de la protection des populations génétiquement distinctes.
Durant l'automne, l'hiver et le printemps, le Garrot d'Islande se nourrit près des côtes et est donc assez facile à observer. Comme peu d'espèces de canards de mer se nourrissent aussi près des côtes, il offre aux ornithologues amateurs d'excellentes occasions pour l'observer. La population de l'Est du Garrot d'Islande est en effet un atout pour la communauté d'observateurs d'oiseaux; chaque année, elle attire les ornithologues amateurs dans l'estuaire du Saint-Laurent (voir Savard et Robert, 1997 et Lachance et Robert, 1999). La disparition de cette population serait évidemment très grave, étant donné que l'espèce ne serait plus représentée dans l'est de l'Amérique du Nord.
Jusqu'à récemment, les chasseurs ont exploité assez intensivement la population de l'Est du Garrot d'Islande. Dans les quelques zones où l'espèce hiverne en abondance, ils avaient l'habitude de chasser avec des appelants (Savard et Dupuis, 1999). L'espèce est encore fort populaire auprès des chasseurs. En raison de son abondance relativement faible et de son attrayant plumage, le mâle est également très recherché par les aviculteurs. Le Garrot d'Islande figure aussi partie parmi les quelques espèces de sauvagine qui nichent dans les cavités des arbres et qu'on pourrait gérer avec succès.
Enfin, le Garrot d'Islande représente une importante proportion (> 20 %) de la population de sauvagine hivernant dans l'estuaire du Saint-Laurent, cette proportion atteignant plus de 80 % dans certains secteurs (Savard, 1990).
Le Garrot d'Islande est protégé (au Canada et aux États-Unis) en vertu de la Loi de 1994 sur la Convention concernant les oiseaux migrateurs et des règlements afférents ayant trait à la chasse (Gouvernement du Canada, 1989). On peut le chasser de la même manière que les autres espèces de canards dans tout l'Est du Canada (sauf au Québec, où un règlement particulier est en vigueur, et à Dalhousie, seule aire d'hivernage importante au Nouveau-Brunswick), où les maximums de prises et les maximums d'oiseaux à posséder sont respectivement de six et de douze. Pour obtenir d'autres détails sur les règlements de chasse, voir la section sur la chasse dans « Facteurs limitatifs et menaces ».
Le Centre de données sur la conservation du Canada Atlantique a attribué aux populations hivernantes de Garrots d'Islande le statut de conservation S2N au Nouveau-Brunswick et à l'Île-du-Prince-Édouard, S1N en Nouvelle-Écosse, S1?N à l'île de Terre-Neuve et S1S2 au Labrador, à l'aide du système de classement de The Nature Conservancy (Kate Bredin, comm. pers.). Cet organisme classe les espèces à l'échelle mondiale (G), nationale (N) et infranationale (S) ou provinciale. S1 et S2 signifient que l'espèce est respectivement très rare et rare, dans son aire de répartition provinciale. Un point d'interrogation après le S et une suite de valeurs pour le S (p. ex. S1S2) indiquent une incertitude quant au statut exact de l'espèce. Un N après le S signifie que le statut de l'espèce s'applique à une population non reproductrice, et ?N correspond à une incertitude relative au statut reproducteur de l'espèce dans la province. En Ontario, le Garrot d'Islande est classé SZN, SZ, ce qui signifie aucune occurrence.
Le Centre de données sur le patrimoine naturel du Québec (Faune et Parcs Québec) révise les cotes des oiseaux et prévoit classer le Garrot d'Islande S3B, ce qui signifie qu'il est un nicheur rare ou peu commun dans la province (A. Desrosiers, comm. pers.). Faune et Parcs Québec révise également la Liste des espèces de la faunevertébrée menacées ou vulnérables susceptibles d'être ainsi désignées de la Loi sur les espèces menacées ou vulnérables du Québec (Gazette officielle du Québec, 1993), sur laquelle devrait figurer bientôt le Garrot d'Islande (M. Huot, comm. pers.).
Nous évaluons à environ 1 400 le nombre de couples nicheurs de Garrots d'Islande dans l'est de l'Amérique du Nord, ce qui correspond à une population totale de près de 4 500 individus. La plupart de ces couples nichent probablement sur les hauts plateaux de l'intérieur du Québec, au nord de l'estuaire et du golfe du Saint-Laurent. La nidification dans le nord du Labrador, telle que proposée dans des ouvrages de référence bien connus, n'a pas été confirmée et doit être mieux documentée en fonction des récents résultats. Les sites de mue connus (de mâles adultes) dans l'est de l'Amérique du Nord comprennent les eaux côtières des baies d'Hudson, d'Ungava et Frobisher (île de Baffin) et quelques ruisseaux côtiers du nord du Labrador. Selon les connaissances actuelles, presque tous les Garrots d'Islande de l'est de l'Amérique du Nord hivernent au Québec, principalement le long de l'estuaire du Saint-Laurent et, à un moindre degré, le long du golfe. Quelques centaines d'individus hivernent dans les provinces maritimes et dans le Maine.
La petite population est menacée dans les aires d'hivernage et de nidification. À la fin de l'automne, en hiver et au début du printemps, une grande partie de la population se rassemble dans quelques secteurs du corridor du Saint-Laurent, qui constitue une voie navigable très importante pour le transport de marchandises. Un seul déversement d'hydrocarbures pourrait donc avoir un énorme impact sur les effectifs de garrots. Les canards de mer sont particulièrement vulnérables aux déversements de pétrole, vu leur grégarisme et le fait qu'ils passent beaucoup de temps dans l'eau durant l'hiver. À d'autres égards, la contamination des sédiments d'importantes aires d'hivernage pourrait nuire aux Garrots d'Islande qui s'y rassemblent. Par exemple, la baie des Anglais (Baie-Comeau), où hivernent jusqu'à 23 % de la population, a connu le pire cas de contamination par des rejets industriels de PCB et de HAP de toutes les régions côtières de l'est du Canada. La chasse, du moins dans les zones où l'espèce est régulièrement présente en grand nombre, fait partie des autres menaces en dehors de la saison de nidification. Même si le nombre de Garrots d'Islande capturés chaque automne dans l'est de l'Amérique du Nord est faible (probablement de 100 à 400 individus), une petite récolte continue risque d'avoir un lourd impact sur une aussi petite population, en particulier si des adultes sont récoltés.
De plus, le Garrot d'Islande est menacé dans les aires de nidification, et l'exploitation forestière constitue certainement une menace importante. Les opérations de coupe nuisent aux garrots en détruisant des nids, en réduisant la disponibilité des sites de nidification potentiels, en forçant des garrots à nicher plus loin des étangs, en exposant les jeunes à la prédation lorsqu'ils se déplacent vers les plans d'eau, et en rendant les lacs accessibles aux chasseurs et aux pêcheurs, ce qui a pour effet de perturber encore plus les oiseaux nicheurs. On attribue à l'exploitation forestière la perte d'au moins 4 172 km² de forêts entre 1976 et 1996 dans ce qui est considéré comme l'aire de nidification principale de la population de l'Est du Garrot d'Islande. En outre, la rive nord du Saint-Laurent, au nord de la rivière Saguenay, sera probablement exploitée beaucoup plus intensivement dans un avenir rapproché (la superficie déboisée chaque année dans l'aire de nidification principale de l'espèce était de moins de 50 km² dans les années 1970 et, de nos jours, est de 300 km² à 400 km²). Le bouleau blanc et le peuplier faux-tremble, qui représentent une importante proportion des arbres qui deviennent assez gros pour offrir des cavités pour la nidification des garrots, sont dorénavant récoltés dans de nombreuses zones où ils ne l'étaient pas il y a quelques années. Sous d'autres rapports, les activités d'exploitation forestière ont ouvert de nombreuses zones aux chasseurs et aux pêcheurs, et beaucoup de lacs qui ne contenaient pas de poissons auparavant ont été ensemencés d'ombles de fontaine; on pense que la présence de ces poissons réduit la qualité des lacs pour le Garrot d'Islande.
Aucune donnée précise ne permet de dégager une tendance (négative ou positive) dans la population de Garrots d'Islande. Néanmoins, nous pensons (déduisons) que les effectifs ont probablement subi un déclin au XXe siècle et qu'ils pourraient continuer à chuter. Le déclin est surtout attribuable à l'exploitation forestière et à d'autres activités humaines, comme l'ensemencement de poissons, qui ont cours dans l'aire de nidification principale de la population et qui ont augmenté durant les récentes décennies.
Il est clair que la population de l'Est du Garrot d'Islande n'est pas menacée d'une disparition imminente (c'est pourquoi il n'est pas justifié de lui accorder le statut d'espèce en voie de disparition). Cependant, un seul déversement d'hydrocarbures le long de l'estuaire du Saint-Laurent pourrait entraîner la disparition d'une grande partie des effectifs. La concentration hivernale d'une aussi petite population (et les menaces associées) rend celle-ci très vulnérable et la forte pression (par les humains) exercée sur les habitats de nidification connus du Garrot d'Islande représentent selon nous les principaux facteurs limitatifs pour la survie de la population. À notre avis, la population de l'Est du Garrot d'Islande est nettement en péril à cause des perturbations ou de la menace imminente du développement (voir les recommandations du COSEPAC) et pourrait, par conséquent, être classée comme menacée. Cependant, comme nous l'avons déjà mentionné, aucune donnée précise ne permet de dégager une tendance négative et on ne peut prévoir si la population de l'Est du Garrot d'Islande est susceptible de devenir en voie de disparition (c'est-à-dire si elle sera exposée à une disparition ou à une extinction imminentes) si les facteurs limitatifs auxquels elle est exposée ne sont pas inversés. C'est pourquoi le Garrot d'Islande pourrait aussi être classé comme espèce préoccupante, c'est-à-dire comme une espèce préoccupante à cause de caractéristiques qui la rendent particulièrement sensibles aux activités humaines ou à certains phénomènes naturels.
Si on appliquait les critères de l'Union internationale pour la conservation de la nature à la population de l'Est du Garrot d'Islande, on classerait l'espèce comme espèce vulnérable, parce que la population a probablement subi un déclin au XXe siècle et pourrait encore chuter, que la population totale de nicheurs compte moins de 10 000 individus, et que tous les individus appartiennent sans doute à une seule population (critère C). Il faut souligner que la catégorie espèce vulnérable, selon les critères de l'Union internationale pour la conservation de la nature, correspond à la désignation d'espèce menacée du COSEPAC (C. Hyslop, COSEPAC-Hull, comm. pers.).
Zone d'occurrence : environ 125 000 km²
Zone d'occupation : inconnue (mais beaucoup plus petite que la zone d'occurrence)
Nombre total d'individus dans la population de l'est du Canada : 4 500
Nombre d'individus matures (reproducteurs) dans la population de l'est du Canada : 1 400couples
Durée d'une génération : Première reproduction à l'âge de deux ans
Tendance de la population totale : Inconnue (pourrait être en déclin)
Taux de déclin de la population totale : Inconnu
Nombre de sous-populations : Inconnu (probablement zéro)
La population totale est-elle fragmentée? On ne sait pas (probablement pas).
Nombre d'individus dans chaque sous-population : Inconnu
Nombre d'emplacements toujours existants : Inconnu
Nombre d'emplacements aujourd'hui disparus : Inconnu
L'espèce connaît-elle des fluctuations d'effectif? On ne sait pas.
En dehors de la saison de nidification : Une grande partie de la population se rassemble dans quelques secteurs le long du corridor du Saint-Laurent, qui est une voie navigable très utilisée par les navires. Un seul déversement d'hydrocarbures pourrait avoir un énorme impact sur la petite population de Garrots d'Islande. La contamination des sédiments d'importantes aires d'hivernage pourrait nuire aux oiseaux qui s'y rassemblent. Par exemple, le pire cas de contamination par des rejets industriels de PCB et de HAP (hydrocarbures aromatiques polycycliques) de toutes les régions côtières de l'est du Canada s'est produit dans la baie des Anglais, à Baie-Comeau, où hiverne jusqu'à 23 % de la population de garrots. La chasse constitue une autre menace pour la population en dehors de la saison de nidification, même si le nombre de Garrots d'Islande capturés chaque automne dans l'est de l'Amérique du Nord est faible (probablement de 100 à 400 individus), une petite récolte continue risque d'avoir une forte incidence sur une population aussi petite, en particulier si des individus adultes sont pris.
Durant la saison de nidification : L'exploitation forestière est une grande menace pour le Garrot d'Islande, car des nids sont détruits durant la récolte du bois, et la disponibilité des sites de nidification potentiels est moindre. Les oiseaux sont donc forcés de nicher plus loin des étangs, et les jeunes sont exposés aux prédateurs lorsqu'ils se déplacent entre le nid et les plans d'eau. De plus, les lacs deviennent accessibles aux chasseurs et aux pêcheurs, ce qui perturbe davantage les oiseaux nicheurs. Entre 1976 et 1996, on attribue à l'exploitation forestière la perte d'au moins 4 172 km² de forêts dans ce que l'on considère comme l'aire de nidification principale de la population de l'Est du Garrot d'Islande. En outre, les forêts de la rive nord du fleuve Saint-Laurent, au nord de la rivière Saguenay, seront probablement exploitées beaucoup plus intensivement dans un avenir rapproché. Contrairement à ce qui se faisait il y a quelques années, on récolte dorénavant dans de nombreuses régions le bouleau à papier et le peuplier faux-tremble, qui représentent une importante proportion des arbres devenant assez gros pour offrir des cavités propices à la nidification des garrots. Par ailleurs, les activités d'exploitation forestière ont ouvert de nombreuses zones aux pêcheurs et aux chasseurs; on a ainsi ensemencé de l'omble de fontaine dans des lacs à l'origine vides de poissons, et il semble que la présence de ces poissons réduise la qualité des lacs pour le Garrot d'Islande. En outre, la perturbation des nids par les pêcheurs pourrait accroître la désertion des nids, et la perturbation des couvées, faire augmenter la mortalité des canetons en les rendant plus vulnérables aux prédateurs.
L'espèce existe-t-elle à l'extérieur du Canada? Oui.
Une immigration a-t-elle été constatée ou est-elle possible? Non, et elle n'est probablement pas possible.
Les individus des populations étrangères les plus proches seraient-ils adaptés aux conditions canadiennes? On ne sait pas (probablement).
Y a-t-il suffisamment d'habitat disponible pour les individus immigrants? On ne sait pas (probablement).
À compléter par le président du sous-comité des spécialistes lorsque l'espèce aura été étudiée par le COSEPAC.
La préparation de ce rapport de situation a été possible grâce à l'aide financière du Service canadien de la faune (région du Québec) et du Service canadien de la Faune (administration centrale) d'Environnement Canada; nous remercions Pierre Laporte (Division des espèces en voie de disparition, SCF-QC), Colleen Hyslop (SCF-Hull, COSEPAC) et Gilles Seutin (Université McGill, COSEPAC) pour leur appui financier. De nombreux employés au Service canadien de la faune (région du Québec) ont participé à l'élaboration de ce rapport : Christian Marcotte a organisé les données recueillies durant les deux dernières années sur la population de Garrots d'Islande au Québec. Michel Melançon et Léo-Guy de Repentigny ont gracieusement accepté de produire respectivement les figures 1-3 et 4. Marcelle Grenier a aidé à la collecte de données d'images satellitaires. Daniel Bordage a fourni les données des inventaires du Projet conjoint sur le Canard noir sur le Garrot d'Islande et participé à certaines discussions intéressantes sur la répartition et les effectifs de l'espèce. Denis Lehoux a fourni des données détaillées sur les répercussions du déversement d'hydrocarbures à Havre-Saint-Pierre en mars 1999, Pierre Brousseau, des renseignements sur le règlement relatif à la chasse, et Jean Rodrigue, de l'information sur l'analyse des contaminants. Jacques Leclerc a apporté des précisions sur les types de substrat du Saint-Laurent, et François Shaffer a commenté une ébauche du rapport. Enfin, Ilona Mackey a traduit d'importantes sections du rapport, et Jack Hughes a révisé la version finale anglaise. Nous tenons à remercier sincèrement toutes ces personnes ainsi que D. Amirault, M. Bateman, K. Bredin, P. Brousseau, R. Curley, R. Dibblee, P. Dupuis, M. Gosselin, G. Haas, P. Laporte, D. Lehoux, H. Lévesque et C. Maisonneuve, qui ont commenté une version antérieure du rapport.
Nous sommes aussi reconnaissants aux personnes suivantes, qui ont fourni des données importantes et qui nous ont permis de compléter le rapport de situation :
Myrtle Bateman (Service canadien de la faune, Sackville, Nouveau-Brunswick); Dominic Bourget (étudiant à la maîtrise ès sciences, Université du Québec à Rimouski, Rimouski, Québec); Kate Bredin (Centre de données sur la conservation du Canada Atlantique, Service canadien de la faune, Sackville, Nouveau-Brunswick); Hélène Crépeau (Département de mathématiques et de statistique, Université Laval, Sainte-Foy, Québec); Gérard Cyr (Club d'ornithologie de la Manicouagan); Marcel Darveau (ingénieur forestier, Centre de recherche en biologie forestière, Université Laval, Sainte-Foy, Québec); Alain Desrosiers (Faune et Parcs Québec, Québec, Québec); Pierre Dubois (ingénieur forestier, Union Québécoise pour la Conservation de la Nature, Québec, Québec); Pierre Fradette (Club des ornithologues du Bas-Saint-Laurent); Yvon Hamel (Club des ornithologues de Québec); George Hass (Northeast Region, U.S. Fish and Wildlife Service, Maine); Michel Huot (Faune et Parcs Québec, Québec, Québec); Thomas Hodgman (Maine Department of Inland Fisheries and Wildlife, Maine); Jacques Larivée (Base de données de l'ÉPOQ, Association québécoise des groupes d'ornithologues); Alain Latreille (Environnement Canada, Montréal, Québec); Denis Lefaivre (Institut Maurice-Lamontage, Pêches et Océans Canada, Québec, Québec); Robin Lefrançois (Ministère des Ressources naturelles du Québec, Sainte-Foy, Québec); Hélène Lévesque (Centre national de la recherche faunique, Environnement Canada, Hull, Québec); Gilles Lupien (Faune et Parcs Québec, Jonquière, Québec); Charles Maisonneuve (Faune et Parcs Québec, Québec, Québec); Lucie Pagé (Pêches et Océans Canada, Québec, Québec); Claude Rivet (Environnement Canada, Montréal, Québec); François Potvin (Faune et Parcs Québec, Québec, Québec); Jean Tanguay (Faune et Parcs Québec, Jonquière, Québec); Gaétan Thibault (Transports Canada, Québec, Québec); et, Pierre Tremblay (Boisaco inc., Québec).
Les auteurs tiennent enfin à remercier le Service canadien de la faune, Hydro-Québec et Parcs Canada pour leurs contributions financières à l'étude de la population de l'Est du Garrot d'Islande.
Michel Robert a obtenu un baccalauréat ès sciences et une maîtrise ès sciences à l'Université de Montréal; son mémoire portait sur les habitudes alimentaires nocturnes des oiseaux de rivage hivernant au Venezuela. Depuis, il a travaillé à divers projets à titre d'ornithologue consultant (de 1986 à 1995) puis, depuis 1995, comme employé du Service canadien de la faune. La plupart de ses recherches ont trait aux oiseaux rares et en voie de disparition au Québec, comme le Dindon sauvage (1988), la Pie-grièche migratrice (1990-1991) et le Râle jaune (1993-1996). En 1989, il a rédigé le rapport technique intitulé Les oiseaux menacés du Québec, détermination exhaustive de la situation de tous les oiseaux en péril au Québec. Il conçoit et coordonne des projets de conservation et de recherche sur des oiseaux rares et en voie de disparition pour le Service canadien de la faune, à Sainte-Foy. À l'heure actuelle, il coordonne une étude sur la population de l'Est du Garrot d'Islande et est directeur du magazine d'ornithologie trimestriel QuébecOiseaux. Adresse actuelle : Service canadien de la faune, 1141, Route de l'Église, C.P. 10100, Sainte-Foy (Québec) G1V 4H5. Courriel : michel.robert@ec.gc.ca.
Réjean Benoit a obtenu un baccalauréat ès sciences à l'Université du Québec à Montréal (UQAM) et une maîtrise ès sciences à l'Université de Montréal. Son mémoire de maîtrise traitait de l'écologie du Grand Héron nicheur dans un milieu sans marée. Avant et après ses études supérieures, il a travaillé comme collaborateur du SCF-QC ou à titre d'expert-conseil à divers projets liés à l'écologie des oiseaux au Mexique, en République dominicaine, aux États-Unis (Nouveau-Mexique) et au Québec. Il a mené de 1990 à 1995 dans le nord du Québec des recherches sur des populations de canards et sur leur utilisation des habitats côtiers et des basses terres de la baie James. En tant qu'attaché de recherche à la University of Wisconsin-Madison, il a collaboré récemment à une importante étude sur la communauté d'oiseaux terrestres du désert de Chihuahuan. Adresse actuelle : Service canadien de la faune, 1141, Route de l'Église, C.P. 10100, Sainte-Foy (Québec) G1V 4H5. Courriel : rejean.benoit@ec.gc.ca.
Jean-Pierre L. Savard est chercheur scientifique au Service canadien de la faune à Québec. Il est titulaire d'un baccalauréat de l'Université Laval (Québec), d'une maîtrise ès sciences de la University of Toronto (Ontario) et d'un doctorat de la University of British Columbia. Il a travaillé au Service canadien de la faune en Colombie-Britannique pendant quatorze ans et a étudié la répartition et l'écologie des canards de mer en mue et en hivernage (macreuses, garrots et Arlequin plongeur), l'écologie de nidification du Garrot d'Islande et du Grèbe à cou noir, d'oiseaux de vieilles forêts et d'oiseaux de mer (Guillemot marbré). Ses recherches actuelles au Québec portent sur la faune en milieu urbain, sur l'impact de l'exploitation forestière sur des oiseaux forestiers et sur l'écologie de la sauvagine, notamment des canards de mer. Adresse actuelle : Service canadien de la faune, 1141, Route de l'Église, C.P. 10100, Sainte-Foy (Québec) G1V 4H5. Courriel : jean-pierre.savard@ec.gc.ca.
Aubry, Y., N. David et P. Bannon. 1999. Québec Region. North American Birds 53: 141-143.
Andrew, D. G. 1960. Aggressive behaviour of Barrow's Goldeneye with young. Brit. Birds 53: 572-573.
AOU (American Ornithologists' Union) 1998. Check-list of North American Birds. 7th edition. American ornithologists' Union, Washington, D.C.
Bellrose, F. C. 1980. Ducks, geese, and swans of North America. Stackpole Books, Harrisburg, PA.
Bengtson, S. A. 1972. Reproduction and fluctuations in the size of duck populations at lake Myvatn, Iceland. Ornis Scand. 2: 17-26.
Blood, D. 1979. Surveys of breeding waterfowl and songbirds along the Alaska highway in southern Yukon, Contracted report, Service canadien de la faune, région du Pacifique et du Yukon.
Boertmann, D. 1994. An annotated checklist to the birds of Greenland. Meddelelser Om Grønland, Bioscience 38.
Bordage, D., et N. Plante. 1997. Tendance des effectifs nicheurs de Canard noir et de Canard colvert au Québec méridional, Série de rapports techniques, Nº 300, Service canadien de la faune, Sainte-Foy, Québec.
Braune, B. M., B. J. Malone, N. M. Burgess, J. E. Elliot, N. Garrity, J. Hawkings, J. Hines, H. Marshall, W. K. Marshall, J. Rodrigue, B. Wakeford, M. Wayland, D. V. Weseloh et P. E. Whitehead. 1999. Chemical residues in waterfowl and gamebirds harvested in Canada, 1987-95, Série de rapports techniques, Nº 326, Service canadien de la faune, Hull, Québec.
Burridge, J., et M. Kane (eds). 1985. Rehabilitating oiled sea birds: a field manual. International Bird Rescue Research Center, Berkeley, California, and American Petroleum Institute (API), Washington, D.C. API Publication Nº 4407.
Campbell, R. W., N. K. Dawe, I. McTaggart-Corvan, J. M. Cooper, G. W. Kaiser et M. C. E. McNall 1990. The birds of British Columbia. Vol. 1. Nonpasserines, introduction, loons through waterfowl. Royal British Columbia Museum et Service canadien de la faune.
Centre Saint-Laurent. 1996. Rapport synthèse sur l'état du Saint-Laurent. Volume 1. L'écosystème du Saint-Laurent, Environnement Canada, région du Québec, Direction de la conservation de l'environnement, et Éditions MultiMondes, Montréal. Collection Bilan Saint-Laurent.
Chartrand, L. 1999. Razzia sur la forêt. L'Actualité 24(20): 30-47.
Cochran, W. G. 1977. Sampling techniques. Third edition. John Wiley and Sons, New York, NY.
Comité de recherche sur la récolte autochtone de la Baie James et du Nord québécois. 1982. Recherche pour établir les niveaux actuels d'exploitation par les autochtones : exploitation par les Inuits du Nord québécois, phase II, années 1979 et 1980. Préparé par le Comité de recherche sur la récolte autochtone de la Baie James et du Nord québécois pour le Comité conjoint de chasse, de pêche et de piégeage, Montréal, Québec.
Comité de recherche sur la récolte autochtone de la Baie James et du Nord québécois. 1988. Recherche pour établir les niveaux actuels de récolte par les autchtones du nord québécois. Comité de recherche sur la récolte autochtone de la Baie James et du Nord québécois, Québec, Québec.
Coulter, M. W. 1979. An experiment to establish a goldeneye population. Wildl. Soc. Bull. 7: 116-118.
Courteau, M., M. Darveau et J.-P. L. Savard. 1997. Effets des coupes forestières sur la disponibilité de sites de nidification pour le Garrot à œil d'or (Bucephala clangula) en sapinière boréale, Série de rapports techniques, Nº270. Service canadien de la faune, Sainte-Foy, Québec.
Cyr, A., et J. Larivée. 1995. Atlas saisonnier des oiseaux du Québec. Les Presses de l'Université de Sherbrooke et La Société de Loisir Ornithologique de l'Estrie, Sherbrooke, Québec.
Daigle, S., et M. Darveau. 1995. Indice de priorisation de nettoyage d'oiseaux aquatiques lors de déversements d'hydrocarbures dans le Saint-Laurent, Série de rapports techniques, no 231. Service canadien de la faune, Sainte-Foy, Québec.
Daury, R. W., et M. C. Bateman 1996. The Barrow's Goldeneye (Bucephala islandica) in the Atlantic Provinces and Maine, rapport régional, Service canadien de la faune, région de l'Atlantique, Sackville, Canada.
David, N. 1996. Liste commentée des oiseaux du Québec. Association Québécoise des Groupes d'Ornithologues (AQGO), Montréal, Québec.
del Hoyo, J., A. Elliot et J. Sartagal. 1992. Handbook of the birds of the World. Vol. 1. Lynx Edicions, Barcelone, Espagne.
Dennis, R. H., et H. Dow. 1984. The establishment of a population of Goldeneyes (Bucephala clangula) breeding in Scotland. Bird Study 31: 217-222.
Dibblee, R. L., F. R. Curley et A. D. McLennan. 1996. Surveys of wintering Barrow's Goldeneyes on Prince Edward Island, Unpublished Report, Fish and Wildlife Division, Department of Environmental Resources, Charlottetown, Île-du-Prince-Édouard.
Di Labio, B., R. Pittaway et P. Burke. 1997. Bill colour and identification of female Barrow's Goldeneye. Ontario Birds 15(2): 81-85.
Dunn, E., J. Larivée et A. Cyr. 1996. Can checklist programs be used to monitor populations of birds recorded during the migration season ? Wilson Bull. 108: 540-549.
Eadie, J. M. 1989. Alternative reproductive tactics in a precocial bird: the ecology and evolution of brood parasitism in goldeneyes. Thèse de doctorat., Univ. British Columbia, Vancouver.
Eadie, J. M. 1991. Constraint and opportunity in the evolution of brood parasitism in waterfowl. Acta XX Congr. Int. Ornithol. Volume 2: 1031-1040.
Eadie, J. M., et G. Gauthier. 1985. Prospecting for nest sites by cavity-nesting ducks of the genus Bucephala. Condor 87: 528-534.
Eadie, J. M., et H. G. Lumsden. 1985. Is nest parasitism always deleterious to goldeneyes? Am. Nat. 126: 859-866.
Eadie, J. M., et J. Fryxell. 1992. Density-dependence, frequency-dependence, and alternative nesting behaviours in goldeneyes. Am. Nat. 140: 621-641.
Eadie, J. M., et B. E. Lyon. 1998. Cooperation, conflict and creching behavior in goldeneye ducks. Am. Nat. 151: 397-408.
Eadie, J. M., F. P. Kehoe et T. D. Nudds. 1988. Pre-hatch and post-hatch brood amalgamation in North American Anatidae: a review of the hypotheses. Can. J. Zool. 66: 1709-1721.
Eadie, J. McA., J.-P. L. Savard et M. L. Mallory. 2000. Barrow's Goldeneye (Bucephala islandica). In The Birds of North America, Nº 548, (A. Poole and F. Gill, Eds.). Academy of Natural Sciences, Philadelphia, and American Ornithologists' Union, Washington, D.C.
Einarsson, A. 1988. Distribution and movements of Barrow's Goldeneye (Bucephala islandica) young in relation to food. Ibis 130: 153-163.
Einarsson, A. 1990. Settlement into breeding habitats by Barrow's Goldeneye (Bucephala islandica): evidence for temporary oversaturation of preferred habitat. Ornis Scand. 21: 7-16.
Eriksson, M. O. G. 1978. Lake selection by Goldeneye ducklings in relation to the abundance of food. Wildfowl 29: 81-85.
Eriksson, M. O. G. 1983. The role of fish in the selection of lakes by non-piscivorous ducks: Mallard, Teal and Goldeneye. Wildfowl 34: 27-32.
Fitzner, R. E., et R. H. Gray. 1994. Winter diet and weights of Barrow's and Common Goldeneyes in southcentral Washington. Northwest Sci. 68: 172-177.
Fjeldså, J. 1977. Guide to the young of European precocial birds. Tisvildeleje, Denmark, Skarv Nature Publications.
Fortin, G. R., M. Gagnon et P. Bergeron. 1996. Synthèse des connaissances sur les aspects physiques et chimiques de l'eau et des sédiments du secteur d'étude Estuaire maritime. Rapport technique, Zone d'intervention prioritaire 18, Centre Saint-Laurent, Montréal, Québec.
Fradette, P. 1992. Les oiseaux des Îles-de-la-Madeleine : populations et sites d'observation. Attention Frag'Îles, Cap-aux-Meules, Québec.
Gagnon, M., P. Bergeron, J. Leblanc et R. Siron. 1997. Synthèse des connaissances sur les aspects physiques et chimiques de l'eau et des sédiments du golfe du Saint-Laurent et de la baie des Chaleurs. Rapport technique, Zone d'intervention prioritaire 19, 20 et 21, Centre Saint-Laurent, Montréal, Québec.
Gagnon, M., P. Bergeron, J. Leblanc et R. Siron. 1998. Synthèse des connaissances sur les aspects physiques et chimiques de l'eau et des sédiments de l'estuaire moyen du Saint-Laurent. Rapport technique, Zone d'intervention prioritaire 15, 16 et 17, Centre Saint-Laurent, Montréal, Québec.
Gardarsson, A. 1978. Distribution and numbers of the Barrow's Goldeneye (Bucephala islandica) in Iceland. Natturu Fraedin Gurinnn 48: 162-191.
Gardarsson, A. 1979. Waterfowl populations of Lake Myvatn and recent changes in numbers and food habits. Oikos 32: 250-270.
Gauthier, J., et Y. Aubry (sous la direction de). 1995. Les oiseaux nicheurs du Québec : Atlas des oiseaux nicheurs du Québec méridional, Association québécoise des groupes d'ornithologues, Société québécoise de protection des oiseaux, Environnement Canada, Service canadien de la faune, région du Québec, Montréal, Québec. xviii + 1295 p.
Godfrey, W.E. 1986. Les oiseaux du Canada. Édition révisée. Musée national des sciences naturelles, Musées nationaux du Canada. Ottawa (Ontario). 650 p.
Gosselin, M. 1996. Quel est cet oiseau ? QuébecOiseaux 8(2): 11.
Goudie, R. I., S. Brault, B. Conant, A. V. Kondratyev, M. R. Petersen et K. Vermeer. 1994. The status of seaducks in the north Pacific rim : toward their conservation and management. Trans. 59th N. Am. Wildl. Nat. Resour. Conf.: 27-49.
Gouvernement du Canada. 1989. Loi sur la convention concernant les oiseaux migrateurs. L.R., ch. M-12, art. 1.
Grenier, M., D. Bordage, N. Plante et P. Fragnier. 1993. Caractérisation des habitats propices à la reproduction de la sauvagine à l'aide d'images LANDSAT-TM. p. 559-564 inP. Gagnon et N. O'Neil (Cartel – dir. publ.). Actes du 16e Symposium canadien sur la télédétection et du 8e Congrès de l'Association québécoise de télédétection, Sherbrooke, Québec.
Grenier, M., D. Bordage et N. Plante. 1994. La télédétection, un complément avantageux aux inventaires pour évaluer la répartition de la sauvagine sur de vastes territoires. J. Can. Télédétection 20: 162-170.
Griscom, L. 1945. Barrow's Goldeneye in Massachusetts. Auk 62: 401-405.
Hagemeijer, W. J. M. et M. J. Blair. 1997. The EBCC atlas of European breeding birds: their distribution and abundance. T. & A. D. Poyser, Londres, Royaume-Uni.
Hasbrouck, M. E. 1944. The status of Barrow's Goldeneye in the eastern United States. Auk 61: 544-554.
Jenssen, B.M., et M. Ekker. 1990. Effects of plumage oiling on thermoregulation in common eiders residing in air and water. In Trans 19th IUGB Congress. Trondheim, Norway, S. Myrberget (éd.), Norwegian Institute for Nature Research, Trondheim.
Jenssen, B.M., et M. Ekker. 1991. Effects of plumage contamination with crude oil dispersant mixtures on thermoregulation in common eiders and mallards. Arch. Environ. Contam. Toxicol. 20: 398-403.
Joensen, A. H., et E. B. Hansen. 1977. Oil pollution and seabirds in Denmark. Communication No 145 from Vildtbiologisk station.
Johnson, L. L. 1967. The Common Goldeneye Duck and the role of nesting boxes in its management in North-Central Minnesota. Journal of the Minnesota Academy of Science 34: 110-113.
Koehl, P. S., T. C. Rothe et D. V. Derksen. 1982. Winter food habits of Barrow's Goldeneyes in southeast Alaska. Pages 1-5 in Marine birds: their feeding ecology and commercial fisheries relationships. (D. N. Nettleship, G. A. Sanger and P. F. Springer, eds.). U.S. Fish and Wildlife Service, Washington, D.C.
Lachance, J., et M. Robert. 1999. Charlevoix en hiver. QuébecOiseaux 11(2): xx-xx.
Larivée, J. 1993. Chronobiologie des oiseaux du Bas-Saint-Laurent. Club des ornithologues du Bas-Saint-Laurent, Pointe-au-Père, Québec.
Lesica, P., et F. W. Allendorf. 1995. When are peripheral populations valuable for conservation ? Conservation Biology 9: 753-760.
Loiselle, C., G. R. Fortin, S. Lorrain et M. Pelletier. 1997. Le Saint-Laurent : dynamique et contamination des sédiments. Centre Saint-Laurent, Environnement Canada, Montréal, Québec.
Martin, P. R., et M. Di Labio. 1994. Natural hybrids between the Common Goldeneye, Bucephala clangula, and Barrow's Goldeneye, B. islandica. Can. Field-Nat. 108: 195-198.
McKelvey, R., et G. E. J. Smith. 1990. The distribution of waterfowl banded or returned in British Columbia, 1951-1985, Série de rapports techniques, Nº79. Service canadien de la faune, région du Pacifique et du Yukon.
McNicol, D. K., et M. Wayland. 1992. Distribution of waterfowl broods in Sudbury area lakes in relation to fish, macroinvertebrates, and water chemistry. Can. J. Fish. Aquat. Sci. 49(Suppl. 1): 122-133.
Mitchell, G. J. 1952. A study of the distribution of some members of the Nyrocinae wintering on the coastal waters of southern Bristish Columbia. Mémoire de maîtrise, University of British Columbia, Vancouver.
Morrier, A., A. Reed et J.-P. L. Savard. 1994. Étude sur l'écologie de la Macreuse à front blanc au lac Malbaie, Réserve des Laurentides, 1994. Rapport présenté à la Société d'Énergie de la Baie James, Montréal (Québec).
Mousseau, P., et A. Armellin. 1996. Synthèse des connaissances sur les communautés biologiques du secteur d'étude Estuaire maritime. Rapport technique, Zone d'intervention prioritaire 18, Centre Saint-Laurent, Montréal (Québec).
Munro, J. A. 1918. The Barrow's Goldeneye in the Okanagan Valley, British Columbia. Condor 20: 3-5.
Munro, J. A. 1939. Studies of water-fowl in British Columbia, Barrow's Golden-eye, American Golden-eye. Transactions of the Royal Canadian Institute 24: 259-318.
Nelson, C. H. 1992. The downy waterfowl of North America. Delta Station Press, Deerfield, IL.
Nelson, C. H. 1993. The identification of Barrow's Goldeneye (Bucephala islandica) and Common Goldeneye B. clangula americana ducklings. Wildfowl 44: 178-183.
Palmer, R. S. 1976. Handbook of North American Birds. Volume 3. Waterfowl (Partie 2). Yale University Press, New Haven and London.
Parent, B. 1999. Ressources et industries forestières. Ministère des Ressources naturelles du Québec, Québec (Québec).
Potvin, F. 1998. La martre d'Amérique (Martes americana) et la coupe à blanc en forêt boréale: une approche télémétrique et géomatique. Thèse de doctorat, Université Laval, Sainte-Foy (Québec).
Pope, G. F., J. C. H. Carter et G. Power. 1973. The influence of fish on the distribution of Chaoborus spp. (Diptera) and density of larvae in the Matamek River system, Québec. Trans. Amer. Fish. Soc. 4: 707-714.
Pope, G. F., et J. C. H. Carter. 1975. Crustacean plankton communities of the Matamek River system and their variation with predation. J. Fish. Res. Board Can. 32: 2530-2535.
Prince, H. H. 1968. Nest sites used by Wood Ducks and Common Goldeneyes in New Brunswick. J. Wildl. Manage. 32: 489-500.
Reed, A., et A. Bourget. 1977. Distribution and abundance of waterfowl wintering in southern Quebec. Can. Field-Nat. 91: 1-7.
Robert, M., J.-P. L. Savard, G. Fitzgerald et P. Laporte. 1999. Satellite tracking of Barrow's Goldeneyes in eastern North America: location of breeding areas and moulting sites. Proceedings of the 15th International Symposium on Biotelemetry, 9 au 14 mai, Juneau, Alaska.
Robert, M., D. Bordage, J.-P. L. Savard, G. Fitzgerald et F. Morneau. 2000. The breeding range of the Barrow's Goldeneye in eastern North America. Wilson Bull. 112: 1-7.
Robertson, I., et H. Stelfox. 1969. Some interspecific intolerance between Barrow's Goldeneye and other duck species during brood-rearing. Can. Field-Nat. 83: 407-408.
Savard, J.-P. L. 1982a. Utilisation des nichoirs par le Garrot de Barrow dans le parc Cariboo (Colombie-Britannique) : première année, Service canadien de la faune, Cahiers de biologie, Nº 131.
Savard, J.-P. L. 1982b. Intra and inter-specific competition between Barrow's Goldeneye (Bucephala islandica) and Bufflehead (Bucephala albeola). Can J. Zool. 60: 3439-3446.
Savard, J.-P. L. 1984. Territorial behavior of Common Goldeneye, Barrow's Goldeneye and Bufflehead in areas of sympatry. Ornis Scand. 15: 211-216.
Savard, J.-P. L. 1985. Evidence of long-term pair bonds in Barrow's Goldeneye. Auk. 102: 389-391.
Savard, J.-P. L. 1986a. Polygyny in Barrow's Goldeneye. Condor 88: 250-252.
Savard, J.-P. L. 1986b. Territorial behavior, nesting success and brood survival in Barrow's Goldeneye and its congeners. Thèse de doctorat. University of British Columbia. Vancouver, C.-B.
Savard, J.-P. L. 1987. Causes and functions of brood amalgamation in Barrow's Goldeneye and Bufflehead. Can. J. Zool. 65: 1548-1553.
Savard, J.-P. L. 1988a. Winter, spring and summer territoriality in Barrow's Goldeneye: characteristics and benefits. Ornis Scand. 19:119-128.
Savard, J.-P. L. 1988b. Use of nest boxes by Barrow's goldeneyes: nesting success and affect on the breeding population. Wildl. Soc. Bull. 16: 125-132.
Savard, J.-P. L. 1989. Birds of rocky coastlines and pelagic waters in the Strait of Georgia. Pages 132-141 in K. Vermeer and R.W. Butler (éd.). The ecology and status of marine and shoreline birds in the Strait of Georgia, British Columbia, Service canadien de la faune, Publication spéciale, Ottawa, Ont.
Savard, J.-P. L. 1990. Population de sauvagine hivernant dans l'estuaire du Saint-Laurent: Distribution, abondance et comportement. Série de rapports techniques, Nº 89. Service canadien de la faune, Sainte-Foy, Québec.
Savard, J.-P. L., et J. N. M. Smith. 1987. Interspecific aggression by Barrow's Goldeneye: a descriptive and functional analysis. Behaviour 102: 168-184.
Savard, J.-P. L., et J. M. Eadie. 1989. Survival and breeding philopatry in Barrow's and Common Goldeneyes. Condor 91: 198-203.
Savard, J.-P. L., et M. Robert 1997. Le Garrot d'Islande: un oiseau vulnérable. QuébecOiseaux 9(2): 18-19.
Savard, J.-P. L., et P. Dupuis 1999. A case for concern: The eastern population of Barrow's Goldeneye (Bucephala islandica). Pages 66-76 in R. I. Goudie, M. R. Peterson, and G. J. Robertson (éd.) Behaviour and ecology of the sea ducks, Service canadien de la faune, Publication hors série, Nº 100.
Savard, J.-P. L., G. E. J. Smith et J. N. M. Smith. 1991. Duckling mortality in Barrow's Goldeneye and Bufflehead broods. Auk 108: 568-577.
Savard, J.-P. L., W. S. Boyd et G. E. Smith. 1994. Waterfowl wetland relationships in the Aspen Parkland of British Columbia. Comparison of Analytical Methods. Hydrobiologia 279/280: 309-325.
Savard, J.-P. L., A. Reed et L. Lesage. 1999. Brood amalgamation in Surf Scoters (Melanitta perspicillata) and other Mergini. Wildfowl 49: 129-138.
Scott, D. A., et P. M. Rose. 1996. Atlas of anatidae populations in Africa and western Eurasia. Wetlands Int. Publ. 41: 1-336.
Scribner, K. T., R. Lanctot, S. Talbot, B. Pierson et K. Dickson. (en prép.). Genetic variation among populations of Harlequin Ducks (Histrionicus histrionicus): are eastern populations distinct ?
SNC-Lavallin. 1995. Étude de la contamination des sédiments de la Baie-des-Anglais. Préparé par SNC-Lavallin Environnement pour la Société canadienne de métaux Reynolds ltée. Rapport préliminaire (Volume 1).
Thompson, J. E. 1996. Comparative reproductive ecology of female buffleheads (Bucephala albeola) and Barrow's Goldeneyes (Bucephala islandica). Thèse de doctorat, University of Western Ontario, London, Ont.
Tobish, T. 1986. Separation of Barrow's and Common Goldeneyes in all plumages. Birding 18: 17-27.
Todd, W. E. C. 1963. Birds of the Labrador Peninsula and adjacent areas. Univ. of Toronto Press, Toronto, Ont.
van de Wetering, D. 1997. Moult characteristics and habitat selection of post-breeding male Barrow's Goldeneye (Bucephala islandica) in northern Yukon. Série de rapports techniques, Nº 296. Service canadien de la faune, région du Pacifique et du Yukon.
Vermeer, K. 1982. Food and distribution of three Bucephala species in British Columbia waters. Wildlfowl 33: 22-30.
Wayland, M., et D. K. McNicol. 1994. Movements and survival of Common Goldeneye broods near Sudbury, Ontario, Canada. Can. J. Zool. 72: 1252-1259.