COSEWIC Assessment and Status Report on the Porbeagle Lamna nasus in Canada - 2014

Dessin au trait d'une maraîche (Lamna nasus) adulte.

Endangered
2014

COSEWIC Logo and Wordmark

Committee on the Status of Endangered Wildlife in Canada (COSEWIC) status reports are working documents used in assigning the status of wildlife species suspected of being at risk. This report may be cited as follows:

Previous report(s):
Crossman, E.J.1994. COSEWIC status report on the Status of Endangered Wildlife in Canada. Committee on the Status of Endangered Wildlife in Canada. Ottawa. viii + 43 pp. (www.sararegistry.gc.ca/status/status_e.cfm).

For additional copies contact:

COSEWIC Secretariat
c/o Canadian Wildlife Service
Environment Canada
Ottawa, ON
K1A 0H3

Tel.: 819-953-3215
Fax: 819-994-3684
COSEWIC E-mail
COSEWIC web site

©Her Majesty the Queen in Right of Canada, 2014.

Catalogue No. CW69-14/388-2014E-PDF
ISBN 978-1-100-23961-3

COSEWIC logo

Assessment Summary - May 2014

Porbeagle occurs in temperate waters in the North Atlantic, South Atlantic, South Pacific, South Indian and Antarctic Oceans. In the Northwest Atlantic, it ranges from northern Newfoundland and Labrador to New Jersey and possibly South Carolina, with mature females ranging farther south to the Sargasso Sea. It is widely distributed in the Canadian Atlantic and is found in the Gulf of St. Lawrence, around Newfoundland and Labrador, on the Scotian Shelf and in the Bay of Fundy. Most of the population in the Northwest Atlantic is within Canadian waters.

Porbeagle is a cold-water species, occurring from coastal areas to the open sea, most often on continental shelves. In Canadian waters, it is encountered primarily in the deeper basins and along the shelf edge in depths less than 200 m and temperatures between 5-10°C. Mating grounds include the Grand Banks off southern Newfoundland and Labrador and Georges Bank, and pupping grounds are located in the Sargasso Sea. Porbeagle is among the deepest diving of pelagic sharks, with a maximum recorded depth of 1,360 m.

Adult females breed every year, with a gestation period of 8-9 months. In the Northwest Atlantic, they mate in the summer and early fall, and females give birth in the late winter or early spring. Litter size ranges from 2-6 pups, with an average of 3.9. Porbeagle has slow growth and late maturity, with length and age at 50% maturity of 174 cm and 8 years for males, and 217 cm and 13 years for females. These fish grow rapidly in their first year, and in the Northwest Atlantic they recruit into the fishery at age 0-1. Age has been validated up to 26 years, but they may live for more than 40 years. Natural mortality has been estimated to range from 0.10-0.20, and the generation time is 18 years.

Porbeagle is a warm-blooded shark. The presence of a vascular heat exchange mechanism allows individuals to maintain a body temperature around 7-10°C higher than ambient water temperature. They are opportunistic predators, feeding on a wide variety of prey, including fish and cephalopods.

Movement and migratory patterns of Porbeagle in the Northwest Atlantic are extensive and consistent from year to year. The fish appear in the Gulf of Maine and around the southern Scotian Shelf in late winter, move northeast to offshore basins in the spring, and reach the southern coast of Newfoundland and Labrador and the Gulf of St. Lawrence in the summer and fall. A return movement to the southwest occurs in late fall, with mature females migrating farther south to the Sargasso Sea in the winter.

The total 2009 Porbeagle abundance has been estimated to be approximately 197,000-207,000 individuals, including about 11,000-14,000 spawning females. The total population biomass was estimated to be 10,000 metric tonnes for the same year. Since 1961, the abundance of spawning females and total abundance have declined by about 74-77% and 56-70%, respectively. Population decline appears to have halted over the past decade, as fisheries were reduced. Population recovery has been predicted to occur on the order of decades if incidental mortality rates are kept less than 4% of the vulnerable biomass.

Overfishing of Porbeagle in the Northwest Atlantic in the 1960s and again in the 1990s led to two successive population collapses. In Canada, landings were first restricted by quotas in 1998, and were less than 100 tonnes annually from 2009 to 2011. The directed fishery was discontinued in 2013. However, Porbeagle is still taken as bycatch in swordfish and tuna longline fisheries, and in groundfish longline fisheries, gillnet and bottom trawl fisheries. In Atlantic Canada, Porbeagle discards remain unrecorded in most of the fisheries statistics, except for those collected by Canadian Fisheries Observers. There is little information on Porbeagle catches outside Canada. Unknown and unregulated catches may undermine population recovery.

In Canada, Porbeagle is managed based on stock assessments, and directed fishing was not permitted in 2013. In 2004, COSEWIC assessed Porbeagle as Endangered using criterion A2bd, though it was not listed under the Species at Risk Act (SARA) because of economic losses associated with eliminating the directed fishery. Reduced catch levels were thought to be low enough to avoid jeopardizing the long-term recovery of the species. The World Conservation Union (IUCN) lists Porbeagle as Vulnerable (A2bd+3d+4bd) because of its low reproductive capacity and high commercial value. In 2013, Porbeagle was listed on Appendix II of the Convention on International Trade in Endangered Species of Wild Flora and Fauna (CITES).

Porbeagle

Maraîche

Demographic Information

Extent and Occupancy Information

Number of Mature Individuals (in each population)
Population N Mature Individuals
Total 11,339-14,207 (number of spawning females in 2009)

Quantitative Analysis

Threats (actual or imminent, to populations or habitats)

Fisheries are the largest threat to Porbeagle in the Northwest Atlantic. Overfishing in the 1960s and again in the 1990s resulted in two population collapses. The directed fishery for Porbeagle was not permitted in 2013 leaving all current threats restricted to bycatch fisheries.

Rescue Effect (immigration from outside Canada)

Data-Sensitive Species

Status History

Status and Reasons for Designation

Since the preparation of the previous COSEWIC status report on Porbeagle in 2004 (COSEWIC 2004), several new studies have been conducted on Porbeagle in the Northwest Atlantic Ocean. A satellite tracking study has identified a Porbeagle pupping ground in international waters, with mature females migrating as far as 2,356 km south to the Sargasso Sea in winter to give birth there in the spring. The same study also found Porbeagle to be among the deepest diving of pelagic sharks, and recorded mature females at depths of up to 1360 m. Catches of Porbeagle in Newfoundland and Labrador waters have indicated that its range extends slightly farther north along the coast than documented in the previous COSEWIC report. This in part has resulted in the extent of occurrence of Porbeagle increasing from 1,210,000 km2 to 1,313,086 km2. In 2006, the IUCN changed its listing of Porbeagle from Lower Risk/Near Threatened to Vulnerable. In 2013, Porbeagle was listed on Appendix II of CITES. The directed fishery for Porbeagle in Canada was not permitted in 2013.

COSEWIC logo

The Committee on the Status of Endangered Wildlife in Canada (COSEWIC) was created in 1977 as a result of a recommendation at the Federal-Provincial Wildlife Conference held in 1976. It arose from the need for a single, official, scientifically sound, national listing of wildlife species at risk. In 1978, COSEWIC designated its first species and produced its first list of Canadian species at risk. Species designated at meetings of the full committee are added to the list. On June 5, 2003, the Species at Risk Act (SARA) was proclaimed. SARA establishes COSEWIC as an advisory body ensuring that species will continue to be assessed under a rigorous and independent scientific process.

The Committee on the Status of Endangered Wildlife in Canada (COSEWIC) assesses the national status of wild species, subspecies, varieties, or other designatable units that are considered to be at risk in Canada. Designations are made on native species for the following taxonomic groups: mammals, birds, reptiles, amphibians, fishes, arthropods, molluscs, vascular plants, mosses, and lichens.

COSEWIC comprises members from each provincial and territorial government wildlife agency, four federal entities (Canadian Wildlife Service, Parks Canada Agency, Department of Fisheries and Oceans, and the Federal Biodiversity Information Partnership, chaired by the Canadian Museum of Nature), three non-government science members and the co-chairs of the species specialist subcommittees and the Aboriginal Traditional Knowledge subcommittee. The Committee meets to consider status reports on candidate species.

A species, subspecies, variety, or geographically or genetically distinct population of animal, plant or other organism, other than a bacterium or virus, that is wild by nature and is either native to Canada or has extended its range into Canada without human intervention and has been present in Canada for at least 50 years.

The Canadian Wildlife Service, Environment Canada, provides full administrative and financial support to the COSEWIC Secretariat.

Figure 1. Line drawing of Porbeagle (Lamna nasus) from Chile, male, 81 cm total length. Drawn by M.H. Wagner from Kato et al. (1967). Reprinted with permission from the United States Fish and Wildlife Service.
Line drawing of a male Porbeagle
Photo: © M.H. Wagner, 1967.
Long description for Figure 1

Line drawing of a male Porbeagle. The image shows darker colouring on the dorsal surface and white on the ventral surface. There is a white tip on the lower trailing edge of the first dorsal fin, which is triangular and about as high as it is long. The second dorsal and anal fins are small, and the origin of the second dorsal fin is directly above the origin of the anal fin. The caudal fin is crescent-shaped, with the lower lobe two-thirds to three-quarters as long as the upper lobe. The pectoral fins are large and twice as long as they are broad. Further details can be found in the preceding/next paragraph(s).

Figure 2. Global range of Porbeagle. Red shading indicates highest probability of occurrence. From FishBase (www.fishbase.org).
Global range of Porbeagle
Photo: © Fishbase
Long description for Figure 2

Map of the global range of the Porbeagle, with shading indicating the probability of occurrence. Porbeagle occurs mainly within the latitudinal bands of 30 to 70 degrees north and 30 to 50 degrees south. It occupies a circumglobal band of temperate water throughout the southern hemisphere. In the Northwest Atlantic, it ranges from northern Newfoundland and Labrador in Canada to New Jersey and possibly South Carolina in the United States. In the eastern Atlantic, it is found off Iceland, Europe, northern Africa and in the Baltic and Mediterranean seas. In the southern hemisphere, it occurs off southern Brazil, Argentina and Chile, off South Africa and throughout the southern Indian Ocean, and off southern Australia, New Zealand and Antarctica. Further details can be found in the next paragraph(s).

Figure 3. Map showing tagging (black squares) and pop-up locations for 21 Porbeagle sharks tagged off the eastern coast of Canada. Males (solid green circles) and immature females (open pink circles with centres) stayed north of latitude 37°N, whereas all mature females (solid pink circles) with spring pop-up dates migrated to the Sargasso Sea by April. Month of pop-up is indicated by the number. Reprinted with permission from Campana et al. (2010).
Map showing tagging and pop-up locations.
Photo: © Reprinted with permission from Campana et al, 2010.
Long description for Figure 3

Map showing tagging and pop-up locations for 21 Porbeagle sharks tagged off the eastern coast of Canada. The area covered by the map lies between approximately 15 and 50 degrees north and 48 and 83 degrees west. Males and immature females stayed north of latitude 37 degrees north, whereas all mature females with spring pop-up dates migrated to the Sargasso Sea by April. Month of pop-up is indicated by the number beside the pop-up symbol. Further details can be found in the preceding/next paragraph(s).

Figure 4. Extent of occurrence (EO) of Porbeagle in Canadian waters, with and without excluding unsuitable habitat (based on the extent of capture locations). At least 15 records of Porbeagle have been observed in the Gulf of St. Lawrence and Estuary. Most of these records are capture locations of fishery landings and observer data provided by Campana et al. (2012) and Simpson and Miri (2013), and some are from fishery-independent surveys and satellite tracking data.
Extent of occurrence (EO) of Porbeagle in Canadian waters
Photo: © Observer data provided by Campana et al. (2012) and Simpson and Miri (2013), and some are from fishery-independent surveys and satellite tracking data.
Long description for Figure 4

Map indicating the extent of occurrence (EO) of the Porbeagle in Canadian waters. EO is 1,866,975 square kilometres within Canada's extent of jurisdiction (hatched area) and 1,313,086 square kilometres when unsuitable habitat (land) is excluded (shaded area). Symbols indicate Porbeagle catches. Porbeagle Shark catch locations are indicated by symbols. Further details can be found in the preceding/next paragraph(s).

The extent of occurrence (EO) of Porbeagle in Canadian waters is 1,866,975 km2 (Figure 4). When excluding land, the EO is 1,313,086 km2. These values are larger than the EO calculated for Porbeagle in its previous COSEWIC assessment, which was 1,212,000 km2 (COSEWIC 2004). The index of area of occupancy (IAO) was estimated as the surface area of grid cells (2 km x 2 km) that intersect the mating grounds plus the capture locations of gravid females (Figure 5). IAO was estimated as 77,576 km2 (based on 19,394 grids). EO and IAO were calculated based on capture locations from fisheries data. It is important to note that IAO is likely an underestimate as it is only based on the grid cells where Porbeagle has been caught, and the fishery did not cover the entire extent of the species’ distribution.

Figure 5. Index of area of occupancy (IAO) of Porbeagle calculated from 19,394 2 km x 2 km grid cells in areas representing Porbeagle mating grounds (southern Newfoundland and Labrador and Georges Bank). Symbols indicate capture locations of gravid females (Campana et al. 2012). Note that IAO is likely an underestimate as it is only based on the grid cells where Porbeagle has been caught, and the fishery did not cover the entire extent of the species distribution.
Map indicating index of area of occupancy
Photo: © Campana et al, 2012
Long description for Figure 5

Map indicating index of area of occupancy (IAO) for the Porbeagle in Canada based on the area of 2 by 2 kilometre grid cells that intersect the mating grounds (southern Newfoundland and Labrador and Georges Bank; shaded areas). IAO is estimated as 77,576 square kilometres (19,394 grid cells). Symbols indicate capture locations of gravid females. Further details can be found in the preceding/next paragraph(s).

Simpson and Miri (2013) provided updated catch information for Porbeagle in Newfoundland and Labrador waters. This included catch locations from fishery-independent surveys (conducted since 1946) and from fisheries observers deployed from the Newfoundland and Labrador region.

Trends in habitat for Porbeagle are not known, but there is little evidence to suggest that suitable habitats have decreased or deteriorated. A wide distribution, opportunistic diet and long migrations suggest that Porbeagle is a flexible and adaptable species.

Generation time, which is the average age of parents in the current cohort, is estimated as the age at which 50% of the females are mature + 1/M, where M is the instantaneous rate of natural mortality. Therefore, generation time is 18 years (13 + 1/0.2).

Figure 6. Map of NAFO Divisions in relation to Canada's 200-mile Exclusive Economic Zone boundary (from NAFO).
Map of NAFO Divisions.
Photo: © NAFO
Long description for Figure 6

Map of Northwest Atlantic Fisheries Organization (NAFO) divisions showing the boundary of Canada's 200-mile Exclusive Economic Zone). The area shown on the map lies between approximately 35 and 78 degrees north and 30 and 77 degrees west. Further details can be found in the preceding/next paragraph(s).

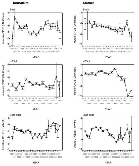
Figure 7. Error bar plots (mean and 95% confidence intervals) showing Porbeagle CPUE by area and maturity stage in terms of ln-transformed number/hook. Note the years differ between graphs. Reprinted with permission from Campana et al. (2012).
Six chart panels showing Porbeagle catch-per-unit-effort.
Photo: © Campana et al, 2012
Long description for Figure 7

Six chart panels showing Porbeagle catch-per-unit-effort (error bar plots) by area and maturity stage (immature / mature) in terms of log-transformed number per hook. The areas are (1) NL-Gulf (Gulf of St. Lawrence, the area north of the Laurentian Channel, and NAFO Subdivision 4Vn east of Cape Breton Island), (2) the Basin (basins and inshore regions of the Scotian Shelf), and (3) the Shelf edge (area around the edge of the Scotian Shelf plus the Gulf of Maine) (description of areas from this status report). Further details can be found in the preceding/next paragraph(s).

Table 1. Table providing estimates of spawning female abundance and total population abundance by year (1961 to 2009) obtained from four models fitted to Porbeagle data. The models indicate that the 2009 population is at about 22 to 27 percent of its size in 1961 and 95 to 109 percent of its size in 2001, with spawning female abundance at about 12 to 16 percent of 1961 levels and 83 to 103 percent of 2001 levels.

Table 1. Estimates of spawning female abundance (SFN) and total population abundance (N) by year obtained from the four models fit to Porbeagle data. From Campana et al. (2012).
Year Model 1
SFN
Model 1
N
Model 2
SFN
Model 2
N
Model 3
SFN
Model 3
N
Model 4
SFN
Model 4
N
1961 71858 760620 86447 915048 79722 843866 73838 781582
1962 70398 724557 85227 877843 78424 807113 72452 745310
1963 67657 671014 82898 822375 75959 752425 69838 691436
1964 61379 553681 77528 700937 70286 632648 63834 573387
1965 51009 387974 68555 530187 60827 463948 53855 406769
1966 41668 307139 60241 448183 52131 382609 44764 325811
1967 34701 290759 53526 431292 45305 366282 37855 309646
1968 29639 306840 48034 444711 39942 381091 32692 325615
1969 24867 304562 42560 440548 34697 378099 27753 323422
1970 20788 297350 37519 431220 29988 370059 23454 316271
1971 17439 291174 33087 422212 25947 362599 19868 310002
1972 14790 291883 29405 419030 22653 361326 17001 310380
1973 12712 290825 26455 413907 20037 358161 14739 308926
1974 11235 287867 24404 406990 18206 353145 13134 305554
1975 10530 287925 23567 403304 17419 351252 12384 305197
1976 10728 284482 24077 396814 17817 346285 12626 301428
1977 11842 277123 25773 387016 19315 337778 13852 293816
1978 13729 272977 28231 380654 21603 332604 15871 289422
1979 16112 276039 30934 381371 24246 334521 18352 292174
1980 18450 279657 33263 382093 26643 336605 20734 295337
1981 20482 284362 35013 383292 28561 339358 22759 299446
1982 22153 293079 36203 388045 29988 345811 24382 307469
1983 23350 304893 36801 395483 30861 355097 25503 318515
1984 23954 317026 36769 402859 31113 364468 26018 329817
1985 24089 330796 36266 411592 30890 375311 26058 342717
1986 23751 341865 35342 417397 30223 383327 25629 352886
1987 23113 350038 34191 420200 29298 388392 24911 360152
1988 22309 353019 32959 417839 28258 388295 24039 362240
1989 21605 353904 31899 413519 27361 386192 23278 362260
1990 21102 352393 31097 407003 26697 381821 22727 359925
1991 20935 347711 30661 397555 26385 374428 22516 354463
1992 20342 326215 29848 371532 25680 350363 21902 332225
1993 19223 298943 28536 340072 24466 320729 20778 304286
1994 18404 282670 27471 320080 23515 302385 19938 287468
1995 17648 261331 26416 295351 22593 279165 19147 265652
1996 16487 247655 24914 278409 21241 263675 17944 251537
1997 15511 237495 23526 265231 20030 251846 16907 241000
1998 14305 221276 21867 246095 18564 233998 15630 224410
1999 13120 210158 20188 232187 17095 221324 14363 212955
2000 12136 199455 18686 218800 15812 209116 13289 201926
2001 10999 190024 17031 206680 14377 198163 12062 192162
2002 10239 187734 15764 201796 13325 194408 11210 189559
2003 9735 190978 14782 202369 12545 196128 10618 192466
2004 9477 194669 14085 203234 12033 198173 10277 195754
2005 9422 195477 13630 200981 11746 197152 10144 196060
2006 9590 196501 13431 198668 11701 196143 10241 196484
2007 9973 198019 13475 196514 11887 195390 10559 197295
2008 10560 202488 13739 196923 12287 197320 11086 200944
2009 11339 206956 14207 196911 12886 198970 11809 204482
Figure 8. Comparison of the predicted time series of the abundance of spawning females (top), abundance of recruits at age-1 (middle) and total abundance (bottom) from each of the four models fit to Porbeagle data. Reprinted with permission from Campana et al. (2012).
Three chart panels showing predicted time series
Photo: © Reprinted with permission from Campana et al, 2012.
Long description for Figure 8

Three chart panels showing predicted time series of the abundance of spawning females (top panel), abundance of recruits at age 1 (middle panel), and total abundance (bottom panel) from each of four models fitted to Porbeagle data presented in Campana et al. (2012). Trends in Porbeagle abundance are similar among all models. Further details can be found in the preceding/next paragraph(s).

Figure 9. Predicted time series of the logged abundance of spawning females (top) and logged total abundance (bottom) from each of the four models fit to Porbeagle data presented in Campana et al. (2012). The regression lines were used to calculate the rates of decline in Table 2.
Two chart panels showing predicted time series
Photo: © Campana et al, 2012.
Long description for Figure 9

Two chart panels showing predicted time series of the logged abundance of spawning females (top panel) and logged total abundance (bottom) from each of the four models fitted to Porbeagle data presented in Campana et al. (2012). Further details can be found in the preceding/next paragraph(s).

The percent change in population size was calculated since the beginning of exploitation in 1961 until 2009 (~2.6 generations or 48 years). This calculation was calculated as 100(exp(y b) – 1), where y is the number of years in the time series and b is the slope of the regression. Spawning females declined by 74-77% over this period, and the total population declined by 56-70% (Table 2). These declines appear to have stopped in 2004-2006 (Table 1).

Table 2. Table summarizing natural log regression parameters of the logged abundance of all individuals and of spawning females calculated from each of four models fitted to Porbeagle data presented in Campana et al, 2012.

Table 2. Summary table of regression parameters of the logged abundance of all individuals and of spawning females calculated from each of the four models fit to Porbeagle data presented in Campana et al, 2012.
Model Years Abundance % Change Natural log
regression
parameters
N years
Natural log
regression
parameters
R2
Natural log
regression
parameters
P-value
Natural log
regression
parameters
Slope
Natural log
regression
parameters
Intercept
1 1961-2009 Total -56 48 0.57 <0.001 -0.017 13.01
1 1961-2009 Spawners -74 48 0.51 <0.001 -0.028 10.54
2 1961-2009 Total -70 48 0.82 <0.001 -0.025 13.40
2 1961-2009 Spawners -77 48 0.76 <0.001 -0.031 11.06
3 1961-2009 Total -65 48 0.75 <0.001 -0.022 13.24
3 1961-2009 Spawners -76 48 0.68 <0.001 -0.030 10.86
4 1961-2009 Total -60 48 0.63 <0.001 -0.019 13.08
4 1961-2009 Spawners -74 48 0.57 <0.001 -0.028 10.64

Porbeagle in the Northwest Atlantic appear to be reproductively independent of the population in the Northeast Atlantic. Thus, there is no rescue potential from fish in the eastern Atlantic. Fish in the Northwest Atlantic undertake extensive movements along the east coast of Canada and the US, and approximately 80-90% of the population occurs in Canadian waters. Thus, it is unlikely that fish from the Canadian side of the population would be rescued from the much smaller number of fish currently restricted to US waters.

Figure 10. Porbeagle landings in the Northwest Atlantic from 1961 to 2011 (NAFO Subareas 2-6). Reprinted with permission from Campana et al. (2012).
Bar chart illustrating annual Porbeagle landings
Photo: © Reprinted with permission from Campana et al, 2012.
Long description for Figure 10

Bar chart illustrating annual Porbeagle landings by country in the Northwest Atlantic (NAFO Subareas 2 to 6) from 1961 to 2011. Further details can be found in the preceding/next paragraph(s).

Figure 11. Porbeagle reported landings and estimated discards in Canadian waters from 1996 to 2010. From data in Campana et al. (2011, 2012) and Simpson and Miri (2013).
Chart illustrating Porbeagle
Photo: © Campana et al, 2011 - 2012 and Simpson and Mir, 2013.
Long description for Figure 11

Chart illustrating Porbeagle reported landings and estimated discards in Canadian waters from 1996 to 2010.

Porbeagle are highly migratory and distributed continuously throughout their range in the Northwest Atlantic. In Canada, the greatest current threat to Porbeagle is overfishing due to multiple bycatch fisheries, which are not closely monitored, where a large portion of the catch may be discarded and unreported. Therefore, it is difficult to apply the IUCN/COSEWIC definition of number of locations to this species.

In the US, Porbeagle is managed under the Highly Migratory Species Fisheries Management Plan (http://www.nmfs.noaa.gov/sfa/hms/hmsdocument_files/FMPs.htm). Restrictions include trip and gear limits, weight quotas, minimum size landings and finning bans (NOAA 2011). There are also time/area closures for pelagic longliners. Porbeagle was listed as a Species of Concern in 2006 and in 2010 the National Marine Fisheries Service received two petitions to list Porbeagle under the Endangered Species Act (ESA). However, neither petition succeeded, so Porbeagle has not been listed on the ESA (NOAA 2011).

There are currently some measures in place for managing Porbeagle fishing in international waters. In 1999, the United Nations Food and Agricultural Organization developed an International Plan of Action (IPOA) for the Conservation and Management of Sharks, which is a voluntary protocol designed to ensure the conservation and management of sharks and their long-term sustainable use (FAO 1999). In cooperation with the IPOA, bodies in the North Atlantic such as the International Council for the Exploration of the Sea, the International Commission for the Conservation of Atlantic Tunas and NAFO have initiated efforts encouraging member countries to collect information about sharks, including Porbeagle (FAO 1999).

In March 2013 at the 16th Conference of the Parties, Porbeagle was accepted for inclusion on Appendix II of CITES (http://www.cites.org/eng/news/pr/2013/20130314_cop16.php), following two previous unsuccessful attempts. DFO is planning to produce its Non-Detriment Findings (NDF) in June 2014, which will examine the science, management and enforcement surrounding the export of the species (Shaw pers. comm. 2014). The implications of the CITES listing will not be known until the NDF is produced.

The population status of Porbeagle has not yet been ranked globally (G rank) or nationally (N rank) in Canada (www.natureserve.org). It also has not been ranked subnationally (S rank) by any Canadian province or territory, except Quebec. Quebec recently changed the subnational rank for Porbeagle from an S4 to an S3S4 (Gauthier pers. comm. 2012), with S4 meaning “apparently secure” and S3 meaning “vulnerable”. Porbeagle is likely to be designated as threatened or vulnerable in Quebec (Éditeur officiel du Québec 2010). The current Canadian and Atlantic General Status rank for Porbeagle is 1, meaning that Porbeagle is considered as an At Risk species by the Canadian Endangered Species Conservation Council (CESCC 2006).

Existing marine protected areas do not offer any significant protection to this species because they cover less than 1% of the species’ range, and individuals are highly migratory. There have been five small marine protected areas (MPAs) established on the east coast of Canada since 2004 that fall within the range of Porbeagle population in the Northwest Atlantic (http://www.dfo-mpo.gc.ca/oceans/marineareas-zonesmarines/mpa-zpm/index-eng.htm). Four of these are along the coastlines of New Brunswick, Prince Edward Island and Newfoundland and Labrador, and are small in size (<100 km2 total area). The fifth is an area of 2,634 km2 in the Gully, which is a deep canyon ecosystem at the edge of the Scotian Shelf near Sable Island, about 200 km offshore from Nova Scotia. This larger protected area comprises three management zones, one of which prohibits pelagic longlining. Six additional areas/habitats (coastal and offshore) have been labelled as Areas of Interest for future designation as MPAs along Canada’s east coast. Porbeagle has also been documented in the St. Lawrence Estuary in close proximity (a few km upstream) to the Saguenay-St. Lawrence Marine Park, at La Malbaie (Paradis pers. comm. 2012).

The report writer gratefully acknowledges Steve Campana for access to Porbeagle data and assessment information, for discussions about the population and the fishery, and for answering questions. The report writer also thanks the following people for assisting in the preparation of the report: Joseph Pratt and Stephen Turnbull (University of New Brunswick) and Mary Sabine (Department of Natural Resources New Brunswick) for data and information on Porbeagle in New Brunswick waters and the Bay of Fundy; Mark Simpson (DFO) for data and information on Porbeagle in Newfoundland and Labrador waters; Mike Eagles and Jennifer Shaw (DFO) and Isabelle Gauthier and Annie Levesque (Ministère des Ressources naturelles et de la Faune du Québec) for information and updates regarding the protection status and management of Porbeagle; Stefen Gerriets (Atlantic Canada Conservation Data Centre), Donald McAlpine (New Brunswick Museum) and Briar Howes and Sylvain Paradis (Parks Canada) for catch locations and distribution information; Henrik Larsen (International Council for the Exploration of the Sea) for access to Porbeagle literature; Jenny Wu (COSEWIC Secretariat) for preparation of the Canadian range map and for helping with range calculations; Julie Perrault (COSEWIC Secretariat) and Alan Sinclair (COSEWIC) for discussions and advice on COSEWIC status reports and assessments. The author acknowledges Julia Baum for writing the original COSEWIC status report on Porbeagle and the Sea Around Us Project for providing support for this one.

Bass, A.J., J.D. D'Aubrey, and N. Kistnasamy. 1975. Sharks of the east coast of southern Africa. IV. The families Odontaspididae, Scapanorhynchidae, Isuridae, Cetorhinidae, Alopiidae, Orectolobidae and Rhiniodontidae. Investigation Report No. 39. Oceanographic Research Institute, Durban. 102 pp.

Bigelow, H.B., and W.C. Schroeder. 1948. Sharks. Pp. 59-546. in Fishes of the Western North Atlantic. Number I. Sears Foundation for Marine Research Memoir.

Branstetter, S. 2002. Mackerel Sharks. Family Lamnidae. Pp. 27-32. in B.C. Collette and G. Klein-MacPhee (eds.). Bigelow and Schroeder's Fishes of the Gulf of Maine. Third Edition. Smithsonian Institute Press, Washington D.C.

Campana, S.E. pers. comm. 2012. Scientist, Fisheries and Oceans Canada, Dartmouth, Nova Scotia.

Campana, S.E., L.J. Natanson, and S. Myklevoll. 2002a. Bomb dating and age determination of large pelagic sharks. Canadian Journal of Fisheries and Aquatic Sciences 59:450-455.

Campana, S.E., W. Joyce, L. Marks, L.J. Natanson, N.E. Kohler, C.F. Jensen, J.J. Mello, H.L. Pratt Jr., and S. Myklevoll. 2002b. Population dynamics of Porbeagle in the Northwest Atlantic Ocean. North American Journal of Fisheries Management 22:106-121.

Campana, S.E., W. Joyce, L. Marks, P. Hurley, L.J. Natanson, N.E. Kohler, C.F. Jensen, J.J. Mello, H.L. Pratt Jr., S. Myklevoll, and S. Harley. 2008. The rise and fall (again) of Porbeagle shark population in the Northwest Atlantic. Pp. 445-461. in M.D. Camhi, E.K. Pikitch, and E.A. Babcock (eds.). Sharks of the Open Ocean: Biology, Fisheries and Conservation. Blackwell Publishing, Oxford.

Campana, S.E., W. Joyce, and M. Fowler. 2010. Subtropical pupping grounds for a cold-water shark. Canadian Journal of Fisheries and Aquatic Sciences 67:769-773.

Campana, S.E., J. Brading, and W. Joyce. 2011. Estimation of pelagic shark bycatch and associated mortality in Canadian Atlantic fisheries. Canadian Science Advisory Secretariat Research Document 2011/067. Fisheries and Oceans Canada. 19 pp.

Canadian Endangered Species Conservation Council (CESCC). 2006. Wild species 2005: the general status of species in Canada. 141 pp.

Carey, F.G, and J.M. Teal. 1969. Mako and Porbeagle: warm-bodied sharks. Comparative Biochemical Physiology 28:199-204.

Carey, F.G., J.M. Teal, J.W. Kanwisher, and K.D. Lawson. 1971. Warm-bodied fish. American Zoologist 11:137-145.

Compagno, L.J.V. 2001. Sharks of the world: an annotated and illustrated catalogue of shark species known to date. Volume 2. Bullhead, mackerel and carpet sharks (Heterodontiformes, Lamniformes and Orectolobiformes). Food and Agriculture Organization of the United Nations. Rome. 269 pp.

Cortés, E. 1999. Standardized diet compositions and trophic levels of sharks. ICES Journal of Marine Science 56:707-717.

Cortés, E. 2000. Potential rates of increase and rates of increase per generation for three species of pelagic sharks from the Atlantic Ocean. ICCAT Collective Volume of Scientific Papers 51(6):1822-1828.

Cortés, E. 2002. Incorporating uncertainty into demographic modeling: application to shark populations and their conservation. Conservation Biology 16(4):1048-1062.

DFO. 2005. Recovery assessment report on NAFO subareas 3-6 Porbeagle shark. Canadian Science Advisory Secretariat Science Advisory Report 2005/043. Fisheries and Oceans Canada. 11 pp.

Éditeur officiel du Québec. 2010. Ministerial Order concerning the establishment of a list of threatened or vulnerable vascular plant species which are likely to be so designated and a list of threatened or vulnerable wildlife species which are likely to be so designated. c. E-12.01. 18 pp.

FAO. 1999. International plan of action for the conservation and management of sharks. Food and Agriculture Organization of the United Nations. Rome. 26 pp.

Fleming, E.H., and P.A. Papageorgiou. 1997. Shark fisheries and trade in Europe. TRAFFIC Europe. Brussels, Belgium. 78 pp.

Gauld, J.A. 1989. Records of Porbeagles landed in Scotland, with observations on the biology, distribution and exploitation of the species. Scottish Fisheries Research Report Number 45. 15 pp.

Gauthier, I. pers. comm. 2012. Biologist, Ministère du Développement durable, de l'Environnement, de la Faune et des Parcs du Québec

Gibson, A.J.F., and S.E. Campana. 2005. Status and recovery potential of Porbeagle shark in the Northwest Atlantic. Canadian Science Advisory Secretariat Research Document 2005/053. Fisheries and Oceans Canada. 75 pp.

Godin, C.A., and B. Worm. 2010. Keeping the lead: how to strengthen shark conservation and management policies in Canada. Marine Policy 34:995-1001.

Government of Canada. 2006. Order giving notice of decisions not to add certain species to the list of Endangered species. Canada Gazette Part II. SI/TR/2006-110. September 6, 2006. Web site: http://www.gazette.gc.ca/archives/p2/2006/index-eng.html [accessed July 17, 2013].

ICCAT/ICES. 2009. Report of the 2009 Porbeagle stock assessments meeting. ICCAT Collective Volume of Scientific Papers 65(6): 1909-2005.

IUCN Standards and Petitions Subcommittee. 2013. Guidelines for Using the IUCN Red List Categories and Criteria. Version 10. Prepared by the Standards and Petitions Subcommittee. Downloadable from http://www.iucnredlist.org/documents/RedListGuidelines.pdf.

Joyce, W.N. 1999. Management of shark fisheries in Atlantic Canada. Pp. 74-108. in R. Shotton (ed.). Case Studies of the Management of Elasmobranch Fisheries. FAO Fisheries Technical Paper Volume 378. Rome.

Joyce, W.N., S.E. Campana, L.J. Natanson, N.E. Kohler, H.L. Pratt Jr., and C.F.

Kato, S., S. Springer, and M.H. Wagner. 1967. Field Guide to Eastern Pacific and Hawaiian Sharks. United States Fish and Wildlife Service Circular 271. 47 pp.

Last, P.R., and J.D. Stevens. 2009. Sharks and Rays of Australia. Second Edition. CSIRO Publishing, Melbourne. 644 pp.

Myers, R.A., K. G. Bowen, and N. J. Barrowman. 1999. The maximum reproductive rate of fish at low population sizes. Canadian Journal of Fisheries and Aquatic Sciences 56:2404-2419.

Paradis, S. pers. comm. 2012. Email correspondence to B. Howes. July 2012. Coordinator, Species at Risk, Parks Canada, Québec City, Québec.

Pratt, H.L. Jr. 1993. The storage of spermatozoa in the oviducal glands of western North Atlantic sharks. Environmental Biology of Fishes 38:139-149.

Rose, D. 1998. Shark fisheries and trade in the Americas. Volume I: North America. TRAFFIC North America. Washington D.C. 143 pp.

Scott, W.B., and M.G. Scott. 1988. Atlantic Fishes of Canada. Canadian Bulletin of Fisheries and Aquatic Sciences No. 219. 731 pp.

Shaw, J. pers. comm. 2014. Science Advisor, Fisheries and Oceans Canada, Ottawa, Ontario.

Stevens, J.D. 1990. Further results from a tagging study of pelagic sharks in the north-east Atlantic. Journal of the Marine Biological Association of the United Kingdom 70:707-720.

Templeman, W. 1963. Distribution of sharks in the Canadian Atlantic (with special reference to Newfoundland waters). Fisheries Research Board of Canada Bulletin No. 140. 77 pp.

Vannuccini, S. 1999. Shark utilization, marketing and trade. FAO Fisheries Technical Paper No. 389. Food and Agricultural Organization of the United Nations. Rome. 470 pp.

Appendix 1. Table of annual reported landings (metric tonnes) of Porbeagle by country for NAFO Subareas 2 to 6, from 1961 to 2008

Appendix 1. Reported landings (metric tonnes) of Porbeagle by country for NAFO Subareas 2-6. Canadian landings are converted to live equivalent weight, which differs in some cases from the live weight recorded in the statistics. From Campana et al, 2012.
Year Canada Faroe Is France Iceland Japan Norway Spain USSR USA Total
1961 0 100 - - - 1824 - - - 1924
1962 0 800 - - - 2216 - - - 3016
1963 0 800 - - - 5763 - - - 6563
1964 0 1214 - 7 - 8060 - - - 9281
1965 28 1078 - - - 4045 - - - 5151
1966 0 741 - - - 1373 - - - 2114
1967 0 589 - - 36 - - - - 625
1968 0 662 - - 137 269 - - - 1068
1969 0 865 - - 208 - - - - 1073
1970 0 205 - - 674 - - - - 879
1971 0 231 - - 221 - - - - 452
1972 0 260 - - - 87 - - - 347
1973 0 269 - - - - - - - 269
1974 0 - - - - - - - - 0
1975 0 80 - - - - - - - 80
1976 0 307 - - - - - - - 307
1977 0 295 - - - - - - - 295
1978 1 121 - - - - - - - 122
1979 2 299 - - - - - - - 301
1980 1 425 - - - - - - - 426
1981 0 344 - - 3 - - - - 347
1982 1 259 - - 1 - - - - 261
1983 9 256 - - 0 - - - - 265
1984 20 126 - - 1 17 - - - 164
1985 26 210 - - 0 - - - - 236
1986 24 270 - - 5 - - 1 - 300
1987 59 381 - - 16 - - 0 12 468
1988 83 373 - - 9 - - 3 32 500
1989 73 477 - - 9 - - 3 4 566
1990 78 550 - - 8 - - 9 19 664
1991 329 1189 - - 20 - - 12 17 1567
1992 814 1149 - - 7 - - 8 13 1991
1993 920 465 - - 6 - - 2 39 1432
1994 1573 - - - 2 - - - 3 1578
1995 1348 - 7 - 4 - - - 5 1364
1996 1043 - 40 - 9 - - - 8 1100
1997 1317 - 13 - 2 - 3 - 2 1337
1998 1054 - 20 - 0 - 9 - 12 1095
1999 955 - - - 6 - 3 - 3 967
2000 899 - 13 - 24 - 5 - - 941
2001 499 - 2 - 25 - 3 - - 528
2002 229 - 1 - 0 - 5 - 0 236
2003 139 - 2 - 0 - 2 - 0 143
2004 218 - 4 - 0 - 5 - 1 228
2005 203 - - - - - 7 - 0 210
2006 190 - - - - - 9 - 0 199
2007 93 - - - - - 6 - - 99
2008 125 - - - - - 37 - - 162

Notes:

Northwest Atlantic data for 1950-1960 are from FAO (ICCAT Report of Shark Working Group, Miami, 26 - 28 February 1996), 1964-1986 from NAFO, 1987-2004 from Scotia-Fundy and NF IOP (includes landings and discards), and 2000-2008 from FAO Fishstat Plus v 2.32 Capture Production March 2008, NAFO Database 21B or ICCAT Task 1 Dataset 2009
Canada data for 1961-1990 are from NAFO, 1991-2002 from DFO Zonal Statistics File, corrected to appropriate live equivalent weight, and 2003-2008 from DFO MARFIS
Faroe Island data for 1961-1963 are from FAO (ICCAT Report of Shark Working Group, Miami, 26-28 February 1996)
France data are from FAO Statistics (1998), 2000-2006 from FAO Fishstat Plus v 2.32
Northwest Atlantic data for 2000-2006 (Japan) are from NAFO Database 21B, catch for code 469, large sharks
Norway data for 1961-1986 are from NAFO
NAFO catch data for Spain for 2005 (231mt) and 2006 (230 mt) were errors, and not reported here
Northwest Atlantic data for US from 1961-1994 are from FAO (ICCAT Report of Shark Working Group, Miami, 26-28 February 1996)

Page details

2022-02-24