COSEWIC Assessment and Status Report on the Winter Skate Leucoraja ocellata in Canada - 2015
Gulf of St. Lawrence population
Eastern Scotian Shelf - Newfoundland population
Western Scotian Shelf - Georges Bank population
Photo: C. Miri © 2015
Long description for cover figure
Photo of the Winter Skate (Leucoraja ocellata), dorsal view. The Winter Skate is a disc-shaped fish with a very round, obtuse snout that bears two opaque patches of cartilage. The tail is thin and round and has two small fins at the end. The dorsal surface (upper disc) is brown and patterned with round dark spots and generally one or more eye spots near the rear corner of each pectoral fin. The eyes are on the dorsal surface, while the gills and mouth are on the ventral surface
- Document Information
- Assessment Summary
- Executive Summary
- Technical Summary - Gulf of St. Lawrence population
- Technical Summary - Eastern Scotian Shelf-Newfoundland population
- Technical Summary - Western Scotian Shelf-Georges Bank population
- Preface
- Wildlife Species Description and Significance
- Distribution
- Habitat
- Biology
- Population Sizes and Trends
- Limiting Factors and Threats
- Protection, Status and Ranks
- Acknowledgements and Authorities Contacted
- Information Sources
- Biographical Summary of Report Writers
- Figure 1. Drawing of Winter Skate (Leucoraja ocellata) from Scott & Scott (1988)
- Figure 2. Reference map showing bathymetry (100, 200, 500 m contours), NAFO boundaries, and place names used in this report. The thick line in the bottom right corner is the Canada-US border
- Figure 3. Winter Skate catch locations from DFO bottom trawl surveys of 4VWX (July), 4T (September), 4RS (August), 3LNOP (Spring), and 5Z (Spring). Data are from 1970-2013, and all sizes of fish are plotted. The catch data were standardized to number caught per 1.75 nautical mile, and the average values over the time series were calculated by 10’ grid of latitude and longitude. The heavy lines are the proposed DU boundaries. The southwestern region is the Western Scotian Shelf-Georges Bank DU. The line across Georges Bank is drawn along the Canada-US border. The southeastern region is the Eastern Scotian Shelf-Newfoundland DU, and the northern one is the Gulf of St. Lawrence DU
- Figure 4. Winter Skate catch locations in the vicinity of the Laurentian Channel, in the Eastern Scotian Shelf-Newfoundland DU from the DFO Eastern Scotian Shelf survey (July) and the 3LNOP survey (spring). Data are from 1970-2013, and all sizes of fish are plotted. The gap in set locations in the Laurentian Channel demarks the coverage areas of the two surveys
- Figure 5. Winter Skate catch locations in the DFO surveys of the Western Scotian Shelf (July) and Georges Bank (spring) areas. The gap in tow locations in the Fundian Channel (between Georges Bank and Brown’s Bank – names in Fig. 2) demarcates the coverage areas of the two surveys
- Figure 6. Length distributions of Winter Skate measured in the A) Newfoundland spring survey (part of the Eastern Scotian Shelf-Newfoundland DU) and B) the northern Gulf of St. Lawrence August survey (part of the Gulf of St. Lawrence DU). A 5-cm length interval was used and the x-axis is the mid-point of the interval
- Figure 7. Trends in bottom trawl survey estimates of abundance of mature Winter Skate in the Southern Gulf of St. Lawrence (1971-2013). The upper panel presents the results in the arithmetic scale. The solid line is the fitted log-linear regression. In the lower panel, the abundance estimates are plotted in ln scale and the solid line is the fitted regression. The solid data points are from the most recent 3 generations (30 years). Note that no mature Winter Skate were captured in 2013, and for the regression analysis the estimate for the lowest non-0 estimate was used (2011)
- Figure 8. Trend in survey area (km²) occupied by Winter Skate in the Southern Gulf of St. Lawrence (1971-2013). The fitted line is from a locally weighted smoother (Lowess) used here to show the general trend
- Figure 9. Trends in bottom trawl survey estimates of abundance of mature Winter Skate in the Eastern Scotian Shelf, NAFO Div. 4VW (1970-2013). This is part of the Eastern Scotian Shelf-Newfoundland DU. The upper panel presents the results in the arithmetic scale. The solid line is the fitted log-linear regression. In the lower panel, the abundance estimates are plotted in ln scale and the solid line is the fitted regression. Note that no mature Winter Skate were captured in 2001, 2002, 2008, and 2013. For the regression analysis the estimate for the lowest non-0 estimate was used (2012)
- Figure 10. Trend in survey area (km²) occupied by Winter Skate in the Eastern Scotian Shelf (1970-2013), which is part of the Eastern Scotian Shelf-Newfoundland DU. The fitted line is from a locally weighted smoother (Lowess) used here to show the general trend
- Figure 11. Trends in bottom trawl survey estimates of abundance of Winter Skate in southern Newfoundland, NAFO Div. 3LNOP (1971-2013). This is part of the Eastern Scotian Shelf-Newfoundland DU. The spring time series is broken into three parts shown by different symbols. The first part is when a Yankee trawl was used, the second (1983-1995) is when an Engel trawl was used, and the third (1996-2013) is when a Campelen trawl was used. The upper panel presents the results in the arithmetic scale. The solid line is the fitted log-linear regression of the Campelen time series. In the lower panel, the abundance estimates are plotted in ln scale and the solid line is the fitted regression. Note that no Winter Skate were captured in 2011 and 2013 and for the regression analysis the estimate for the lowest non-0 estimate was used (2012)
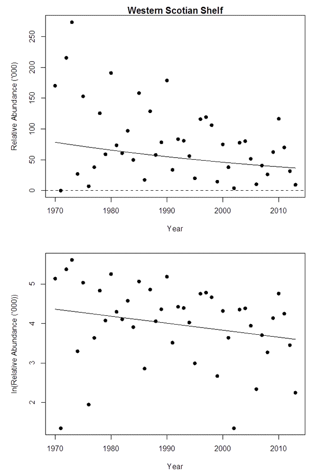
- Figure 12. Trends in bottom trawl survey estimates of abundance of mature Winter Skate in the Western Scotian Shelf/Bay of Fundy, NAFO Div. 4X (1970-2012). This is part of the Western Scotian Shelf-Georges Bank DU. The upper panel presents the results in the arithmetic scale. The solid line is the fitted log-linear regression. In the lower panel, the abundance estimates are plotted in ln scale and the solid line is the fitted regression. Note that no mature Winter Skate were captured in 1971 and for the regression analysis the estimate for the lowest non-0 estimate was used (2002)
- Figure 13. Trend in survey area (km²) occupied by Winter Skate in the Western Scotian Shelf/Bay of Fundy (1970-2013), which is part of the Western Scotian Shelf-Georges Bank DU. The fitted line is from a locally weighted smoother (Lowess) used here to show the general trend
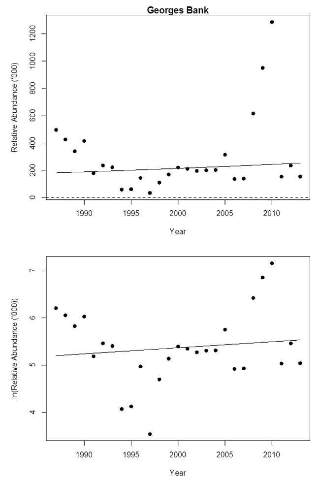
- Figure 14. Trends in Canadian bottom trawl survey estimates of abundance of mature Winter Skate on the Canadian portion of Georges Bank (1987-2012). This is part of the Western Scotian Shelf-Georges Bank DU. The upper panel presents the results in the arithmetic scale. The solid line is the fitted log-linear regression. In the lower panel, the abundance estimates are plotted in ln scale and the solid line is the fitted regression
- Figure 15. Trend in survey area (km²) occupied by Winter Skate on Georges Bank (1987-2012), which is part of the Western Scotian Shelf-Georges Bank DU. The fitted line is from a locally weighted smoother (Lowess) used here to show the general trend
- Figure 16. Autumn biomass indices (kg/tow) for Winter Skate (1967-2013) in US waters, based on surveys by the Northeast Fisheries Science Center. (Figure 31 of Sosebee 2014.)
- Figure 17. Estimated discards of Winter Skate by groundfish fisheries in the Southern Gulf by size class (juveniles, 21-41 cm, adults, 42+ cm). (Source: Figure 22 from Swain et al. 2006.)
- Figure 18. Estimated catch of Winter Skate on the eastern Scotian Shelf, 1970-2004. (Source: Appendix D1 from Swain et al. 2006.)
COSEWIC
Committee on the Status
of Endangered Wildlife
in Canada

COSEPAC
Comité sur la situation
des espèces en péril
au Cananda
COSEWIC status reports are working documents used in assigning the status of wildlife species suspected of being at risk. This report may be cited as follows:
COSEWIC. 2015. COSEWIC assessment and status report on the Winter Skate Leucoraja ocellata, Gulf of St. Lawrence population, Eastern Scotian Shelf - Newfoundland population and Western Scotian Shelf - Georges Bank population in Canada. Committee on the Status of Endangered Wildlife in Canada. Ottawa. xviii + 46 pp. Visit the Species at Risk Public Registry.
COSEWIC. 2005. COSEWIC assessment and status report on the winter skate Leucoraja ocellata in Canada. Committee on the Status of Endangered Wildlife in Canada. Ottawa. vii + 41 pp. Visit the Species at Risk Public Registry
COSEWIC would like to acknowledge Alan Sinclair for writing the status report on Winter Skate, Leucoraja ocellata, Gulf of St. Lawrence population, Eastern Scotian Shelf-Newfoundland population, and Western Scotian Shelf-Georges Bank population in Canada, prepared under contract with Environment Canada. This report was overseen and edited by John Reynolds, Co-chair of the COSEWIC Marine Fishes Specialist Subcommittee.
COSEWIC Secretariat
c/o Canadian Wildlife Service
Environment Canada
Ottawa, ON
K1A 0H3
Tel.: 819-938-4125
Fax: 819-938-3984
E-mail: COSEWIC E-mail
Website: COSEWIC
Également disponible en français sous le titre Ếvaluation et Rapport de situation du COSEPAC sur la Raie tachetée (Leucoraja ocellata), population du golfe du Saint-Laurent, population de l'est du plateau néo-écossais et de Terre-Neuve et population de l'ouest du plateau néo-écossais et du banc Georges au Canada.
Winter Skate -- Photo by C. Miri, Fisheries and Oceans Canada, Newfoundland and Labrador Region.
Gulf of St. Lawrence population
Eastern Scotian Shelf - Newfoundland population
Western Scotian Shelf - Georges Bank population
Winter Skate (Leucoraja ocellata Mitchill 1815), also known as the big or eyed skate, can be distinguished from other skate species, with the exception of a co-occurring species, Little Skate (Leucoraja erinacea), by its very round and obtuse snout bearing two opaque patches of cartilage, the presence of three or more rows of thorns on its tail and upper body (disc) from the shoulder region to the origin of the first dorsal fin, round dark spots on its upper disc, and generally one or more eye spots near the rear corner of each pectoral fin. Specimens that lack these spots resemble Little Skate so closely when small (<35 cm) that they cannot be distinguished visually. Winter Skate have more tooth rows in the upper jaw (but the numbers vary with size) and more spines (usually >21) on the midline of the tail than do Little Skate.
Winter Skate are endemic to the Northwest Atlantic and are found from the northern Gulf of St. Lawrence and Southern Newfoundland to Cape Hatteras, North Carolina. In Canadian waters, they are concentrated in three areas: the Gulf of St. Lawrence, Eastern Scotian Shelf/Southern Newfoundland, and the Western Scotian Shelf/Bay of Fundy/Canadian portion of Georges Bank. These concentrations are separated by considerable distances, which suggests that these populations are distinct. They also show variation in heritable traits that indicate significant adaptations. Consequently, three separate designatable units (DUs) are being proposed for the Winter Skate in this report:
- Gulf of St. Lawrence DU
- Eastern Scotian Shelf-Newfoundland DU
- Western Scotian Shelf-Georges Bank DU
The Winter Skate is a bottom-dwelling species, usually found on sand and gravel. They occur at depths of up to 371 m, but are most common at depths less than 111 m. Most are caught in waters ranging between 5 and 16°C (range: -1.2 to 19°C).
Outside the Gulf of St. Lawrence, Winter Skate mature at 75 cm total length and at 13 years. Within the Gulf, they mature at 42 cm and at 5 years. Generation time is estimated to be 18 years outside the Gulf and 10 years in the Gulf.
Population size and trends in abundance were estimated from fisheries-independent surveys. Over the last three generations, the abundance of mature Winter Skate in the Gulf of St. Lawrence was estimated to have declined by 99%. The available survey data for the Eastern Scotian Shelf covers the last 2.4 generations, over which the abundance of mature individuals was estimated to have declined by 98%. There was a non-significant downward trend in abundance on the Western Scotian Shelf over the last 2.4 generations and a non-significant upward trend in abundance on the Canadian portion of Georges Bank where the majority of the population is found. Overall there was no discernable trend in abundance in the Western Scotian Shelf-Georges Bank population.
Winter Skate have life history characteristics, including late maturity and low rates of reproduction, that make them vulnerable to over-exploitation, reduce their rate of recovery, and increase their risk of extinction. Overfishing probably contributed to the decline of this species in the Gulf of St. Lawrence and Eastern Scotian Shelf. However, unusually high rates of non-fishing mortality, possibly resulting from predation by increasing numbers of Grey Seals (Halichoerus grypus), are threatening the viability of these two Winter Skate populations. Bycatches from other fisheries have been greatly reduced, but their current impacts on the greatly reduced populations in the Gulf of St. Lawrence and Eastern Scotian Shelf are unknown.
Winter Skate are endemic to the western North Atlantic with a considerable portion of their range in Canadian waters. The unique age of maturity and size distribution of Winter Skate in the Gulf of St. Lawrence suggest this population may be a distinct species, but this has yet to be determined.
In 2005, COSEWIC assessed Winter Skate as four separate designatable units: 1. Southern Gulf of St. Lawrence DU as Endangered; 2. Eastern Scotian Shelf DU as Threatened; 3. Georges Bank-Western Scotian Shelf-Bay of Fundy DU as Special Concern; and 4. Northern Gulf-Newfoundland DU as Data Deficient. The Governor in Council did not list Winter Skate under the Species at Risk Act (SARA). Instead, human-induced mortality is regulated by Fisheries and Oceans Canada under the Fisheries Act. No directed Winter Skate fisheries are permitted in Canada and all bycatch must be discarded. The survival of discarded individuals is unknown. The International Union for the Conservation of Nature (IUCN) has assessed Winter Skate as globally Endangered. In 2015, COSEWIC assessed Winter Skate as three separate designatable units, Gulf of St. Lawrence population (Endangered), Eastern Scotian Shelf-Newfoundland population (Endangered), and Western Scotian Shelf-Georges Bank population (Not at Risk).
Generation time: 10 yrs
Generation time (usually average age of parents in the population; indicate if another method of estimating generation time indicated in the IUCN guidelines (2008) is being used)
Is there an [observed, inferred, or projected] continuing decline in number of mature individuals?
Yes, observed
Estimated percent of continuing decline in total number of mature individuals within [5 years or 2 generations] (52-60 years)
97% decline over 2 generations
- [Observed, estimated, inferred, or suspected] percent [reduction or increase] in total number of mature individuals over the last [10 years, or 3 generations] (78-90 years)
99% decline over 3 generations
[Projected or suspected] percent [reduction or increase] in total number of mature individuals over the next [10 years, or 3 generations] (78-90 years).
Not estimated but decline expected to continue
[Observed, estimated, inferred or suspected] percent [reduction or increase] in total number of mature individuals over any [10 years, or 3 generations] period, over a time period including both the past and the future.
99% decline
Are the causes of the decline clearly reversible and understood and ceased?
No. Not clearly reversible, fully understood, nor ceased.
Are there extreme fluctuations in number of mature individuals?
No
Estimated extent of occurrence
161,515 km²
Index of area of occupancy (IAO, 2 x 2 km2 grid values)
380 km² based on design weighted area of occupancy from the last 5 years of research vessel survey
- Is the population severely fragmented?
No
- Number of locations (based on number of threats)
Unclear. Possibly 1, as Grey Seal predation may be responsible for a decline in abundance of 25% per year.
- Is there an [observed, inferred, or projected] continuing decline in extent of occurrence?
No
- Is there an [observed, inferred, or projected] continuing decline in index of area of occupancy?
Yes
- Is there an [observed, inferred, or projected] continuing decline in number of populations?
No
- Is there an [observed, inferred, or projected] continuing decline in number of locations?
No
Is there an [observed, inferred, or projected] continuing decline in quality of habitat?
No
Are there extreme fluctuations in number of populations?
No
- Are there extreme fluctuations in number of locations?
No
- Are there extreme fluctuations in extent of occurrence?
No
- Are there extreme fluctuations in index of area of occupancy?
No
Total SLE Population:
6,300 minimum population estimate from the last 5 years of research vessel surveys. The actual population size is likely to be greater.
- Probability of extinction in the wild is at least [20% within 20 years or 5 generations, or 10% within 100 years].
Not done
The principal threat is a high rate of non-fishing mortality, possibly caused by predation by an increasing population of Grey Seals in the area. There is also potential mortality due to discards of bycatches from fisheries targeting other species.
- Status of outside population(s)?
There are no contiguous populations in the USA
- Is immigration known or possible?
No
- Would immigrants be adapted to survive in Canada?
Yes
- Is there sufficient habitat for immigrants in Canada?
Yes
Is rescue from outside populations likely?
No
- Is this a data-sensitive species?
No
COSEWIC: The Southern Gulf of St. Lawrence population of Winter Skate was assessed as Endangered in May 2005, and the Northern Gulf - Newfoundland population was assessed as Data Deficient in May 2005. The COSEWIC Guidelines for Recognizing Designatable Units (2013) were used to revise the population structure for the 2015 assessment, resulting in new designatable units. The new Gulf of St. Lawrence population is composed of the former Southern Gulf of St. Lawrence population and parts of the former Northern Gulf - Newfoundland population. The remaining subpopulations of the Northern Gulf - Newfoundland population were assigned to the new Eastern Scotian Shelf - Newfoundland population. The Gulf of St. Lawrence population was designated Endangered in May 2015.
Generation time: 18 yrs
Generation time (usually average age of parents in the population; indicate if another method of estimating generation time indicated in the IUCN guidelines (2008) is being used)
Is there an [observed, inferred, or projected] continuing decline in number of mature individuals?
Yes
- Estimated percent of continuing decline in total number of mature individuals within [5 years or 2 generations] (52-60 years)
97% decline over 2 generations
- [Observed, estimated, inferred, or suspected] percent [reduction or increase] in total number of mature individuals over the last [10 years, or 3 generations] (78-90 years)
98% decline over the last 2.4 generations
[Projected or suspected] percent [reduction or increase] in total number of mature individuals over the next [10 years, or 3 generations] (78-90 years).
Not estimated
[Observed, estimated, inferred or suspected] percent [reduction or increase] in total number of mature individuals over any [10 years, or 3 generations] period, over a time period including both the past and the future.
98% decline. The observed decline over the past 2.4 generations is continuous and expected to continue into the future
Are the causes of the decline clearly reversible and understood and ceased?
No. Not clearly reversible, fully understood, nor ceased.
Are there extreme fluctuations in number of mature individuals?
No
Estimated extent of occurrence
215,436 km²
Index of area of occupancy (IAO, 2 x 2 km2 grid values)
5,200 km² based on design weighted area of occupancy from last 5 years of research vessel survey
- Is the population severely fragmented?
No
- Number of locations (based on number of threats)
Probably >10, due to predators and bycatch in multiple fisheries
- Is there an [observed, inferred, or projected] continuing decline in extent of occurrence?
No
- Is there an [observed, inferred, or projected] continuing decline in index of area of occupancy?
Yes
- Is there an [observed, inferred, or projected] continuing decline in number of populations?
No
- Is there an [observed, inferred, or projected] continuing decline in number of locations?
No
Is there an [observed, inferred, or projected] continuing decline in quality of habitat?
No
Are there extreme fluctuations in number of populations?
No
- Are there extreme fluctuations in number of locations?
No
- Are there extreme fluctuations in extent of occurrence?
No
- Are there extreme fluctuations in index of area of occupancy?
No
Eastern Scotian Shelf
27,000 minimum population estimate from the last 5 years of research vessel surveys.- Southern Newfoundloand
77,000 minimum population estimate from the last 5 research vessel surveys. - Total Population:
6,300 minimum population estimate from the last 5 years of research vessel surveys. The actual population size is likely to be greater.
- Probability of extinction in the wild is at least [20% within 20 years or 5 generations, or 10% within 100 years].
Not done
The principal threat is a high rate of non-fishing mortality possibly caused by predation by an increasing population of Grey Seals in the area. There is also potential mortality due to discards of bycatches from fisheries targeting other species.
- Status of outside population(s)?
There are no contiguous populations in the USA
- Is immigration known or possible?
No
- Would immigrants be adapted to survive in Canada?
Yes
- Is there sufficient habitat for immigrants in Canada?
Yes
Is rescue from outside populations likely?
No
- Is this a data-sensitive species?
No
COSEWIC: The Eastern Scotian Shelf population of Winter Skate was assessed as Threatened in May 2005, and the Northern Gulf - Newfoundland population was assessed as Data Deficient in May 2005. The COSEWIC Guidelines for Recognizing Designatable Units (2013) were used to revise the population structure for the 2015 assessment, resulting in new designatable units. The new Eastern Scotian Shelf - Newfoundland population is composed of the former Eastern Scotian Shelf population and parts of the former Northern Gulf - Newfoundland population. The remaining subpopulations of the Northern Gulf - Newfoundland population were assigned to the new Gulf of St. Lawrence population. The Eastern Scotian Shelf - Newfoundland population was designated Endangered in May 2015.
Generation time: 18 yrs
Generation time (usually average age of parents in the population; indicate if another method of estimating generation time indicated in the IUCN guidelines (2008) is being used)
Is there an [observed, inferred, or projected] continuing decline in number of mature individuals?
No
- Estimated percent of continuing decline in total number of mature individuals within [5 years or 2 generations] (52-60 years)
No decline in last 2 generations
- [Observed, estimated, inferred, or suspected] percent [reduction or increase] in total number of mature individuals over the last [10 years, or 3 generations] (78-90 years)
No decline over the last 2.4 generations
[Projected or suspected] percent [reduction or increase] in total number of mature individuals over the next [10 years, or 3 generations] (78-90 years).
NA
[Observed, estimated, inferred or suspected] percent [reduction or increase] in total number of mature individuals over any [10 years, or 3 generations] period, over a time period including both the past and the future.
No decline observed over the past 2.4 generations and there is no indication this will change
Are the causes of the decline clearly reversible and understood and ceased?
NA
Are there extreme fluctuations in number of mature individuals?
No
Estimated extent of occurrence
91,409 km²
Index of area of occupancy (IAO, 2 x 2 km2 grid values)
28,300 km² based on design weighted area of occupancy from last 5 years of research vessel survey
- Is the population severely fragmented?
No
- Number of locations (based on number of threats)
NA
- Is there an [observed, inferred, or projected] continuing decline in extent of occurrence?
No
- Is there an [observed, inferred, or projected] continuing decline in index of area of occupancy?
Yes
- Is there an [observed, inferred, or projected] continuing decline in number of populations?
No
- Is there an [observed, inferred, or projected] continuing decline in number of locations?
No
Is there an [observed, inferred, or projected] continuing decline in quality of habitat?
No
Are there extreme fluctuations in number of populations?
No
- Are there extreme fluctuations in number of locations?
No
- Are there extreme fluctuations in extent of occurrence?
No
- Are there extreme fluctuations in index of area of occupancy?
No
Total
614,000 minimum population estimate from the last 5 research vessel surveys on the Western Scotian Shelf and the Canadian portion of Georges Bank. The actual population size is likely to be higher.
- Probability of extinction in the wild is at least [20% within 20 years or 5 generations, or 10% within 100 years].
Not done
Threats to this population are limited
- Status of outside population(s)?
The population in the USA is stable.
- Is immigration known or possible?
Yes
- Would immigrants be adapted to survive in Canada?
Yes
- Is there sufficient habitat for immigrants in the Canada?
Yes
Is rescue from outside populations likely?
Possible
- Is this a data-sensitive species?
No
COSEWIC: Species designated Special Concern in May 2005. Status re-examined and designated Not at Risk in May 2015.
Winter Skate was originally assessed by COSEWIC as 4 separate designatable units (DUs) in 2005: 1. Southern Gulf of St. Lawrence DU as Endangered; 2. Eastern Scotian Shelf DU as Threatened; 3. Georges Bank-Western Scotian Shelf-Bay of Fundy DU as Special Concern; and 4. Northern Gulf-Newfoundland DU as Data Deficient. In 2010, the Governor in Council decided not to list Winter Skate under the Species at Risk Act because listing would result in the loss of millions of dollars in revenue from associated fisheries as well as significant direct and indirect job losses.
There have been a number of advances in our understanding of Winter Skate biology since the 2005 COSEWIC assessment. A recovery potential analysis was conducted by Fisheries and Oceans Canada (DFO) in 2006. This provided more insight into the species’ distribution and population dynamics. New information is available on the size and age of maturity across its range in Canada, leading to a revision in the estimated generation time. An analytical population model has been developed and applied to track abundance and changes in fishing and non-fishing mortality. The new COSEWIC guidelines for determining designatable units have been used to revise the proposed population structure for this reassessment. Ten more years of data on trends in abundance are available from DFO bottom trawl surveys.
Overall, this report provides a significant update to the 2005 COSEWIC assessment.
The Committee on the Status of Endangered Wildlife in Canada (COSEWIC) was created in 1977 as a result of a recommendation at the Federal-Provincial Wildlife Conference held in 1976. It arose from the need for a single, official, scientifically sound, national listing of wildlife species at risk. In 1978, COSEWIC designated its first species and produced its first list of Canadian species at risk. Species designated at meetings of the full committee are added to the list. On June 5, 2003, the Species at Risk Act (SARA) was proclaimed. SARA establishes COSEWIC as an advisory body ensuring that species will continue to be assessed under a rigorous and independent scientific process.
The Committee on the Status of Endangered Wildlife in Canada (COSEWIC) assesses the national status of wild species, subspecies, varieties, or other designatable units that are considered to be at risk in Canada. Designations are made on native species for the following taxonomic groups: mammals, birds, reptiles, amphibians, fishes, arthropods, molluscs, vascular plants, mosses, and lichens.
COSEWIC comprises members from each provincial and territorial government wildlife agency, four federal entities (Canadian Wildlife Service, Parks Canada Agency, Department of Fisheries and Oceans, and the Federal Biodiversity Information Partnership, chaired by the Canadian Museum of Nature), three non-government science members and the co-chairs of the species specialist subcommittees and the Aboriginal Traditional Knowledge subcommittee. The Committee meets to consider status reports on candidate species.
The Canadian Wildlife Service, Environment Canada, provides full administrative and financial support to the COSEWIC Secretariat.
Winter Skate, (Leucoraja ocellata Mitchill 1815), belongs to the Class Chondrichthyes, Subclass Elasmobranchii, Order Rajiformes and Family Rajidae (Figure 1). Other common names include big skate, eyed skate, spotted skate, and raie tachetée.
Illustration © Scott & Scott (1988)
Long description for Figure 1
Line drawing of the Winter Skate, dorsal view. The Winter Skate is a disc-shaped fish with a very round, obtuse snout that bears two opaque patches of cartilage. The tail is thin and round and has two small fins at the end. The eyes are on the dorsal surface, while the gills and mouth are on the ventral surface.
Winter Skate can be distinguished from other skate species, with the exception of a sympatric species, Little Skate (Leucoraja erinacea), by a combination of the following characters: its snout is very round and obtuse, bearing two opaque patches of cartilage; the midbelt of its upper body (disc) and tail have three or more rows of thorns from the shoulder region to the origin of the first dorsal fin, with the midline disappearing with growth; and its upper disc is patterned with round dark spots and generally one or more eye spots near the rear corner of each pectoral fin (Collette and Klein-MacPhee 2002). However, specimens that lack these spots resemble Little Skate so closely when small (<35 cm) that they cannot be distinguished accurately by visual inspection. Note that this difficulty in distinguishing Winter Skate from Little Skate will not affect the abundance trend estimates reported here because trends are presented for the mature part of the population only, excluding individuals less than 35 cm in length. Winter Skate have more tooth rows in the upper jaw (but the numbers vary with size) and more spines (usually >21) on the midline of the tail than do Little Skate (Collette and Klein-MacPhee 2002). Winter Skate are also distinguished by their wedge-shaped anterior contour, by the lack of large, conspicuous thorn-like spines on their shoulders and on the posterior part of the tail, and by the dense prickled lower surface (except extreme tip) of the tail (Scott and Scott 1988).
The results of bottom trawl surveys conducted by DFO are used to describe the spatial distribution of Winter Skate in Canada. The surveys were conducted by personnel from four Regions within DFO over non-overlapping sections of coastal waters. The Gulf Region of DFO surveyed the Southern Gulf of St. Lawrence (SGSL, NAFO Div. 4T, Figure 2) predominantly in September. The Newfoundland and Labrador Region spring survey covered NAFO Div. 3LNOP during February-April. The Quebec Region surveyed the northern Gulf of St. Lawrence (NGSL, NAFO Div. 4RS) in August. The Maritimes Region of DFO surveyed the eastern Scotian Shelf (ESS, NAFO Div. 4VW) and the western Scotian Shelf (WSS) and Bay of Fundy (NAFO Div. 4X) mainly in July as well as Georges Bank (NAFO Div. 5Z) in February-March. The spatial distribution of Winter Skate is shown in Figure 3. For this figure, the mean density of Winter Skate (numbers per 1.75 nm tow) was determined over a grid of 10’ latitude and longitude (1.82 x 1.29 km at 46° latitude).
Winter Skate in Canadian waters are found in three main concentrations (Figure 3), predominately at depths less than 110 m (McEachran and Martin 1975, Swain et al. 2006). These occur in: (1) the SGSL, (2) the ESS, and (3) the Bay of Fundy-WSS (notably Browns Bank) and on the Canadian portion of Georges Bank.

Long description for Figure 2
Reference map (40-52 degrees north; 48-70 degrees west) showing bathymetry (100-, 200- and 500-metre contours), Northwest Atlantic Fisheries Organization (NAFO) boundaries, and place names used in this report.

Long description for Figure 3
Map showing Winter Skate catch locations from Fisheries and Oceans Canada bottom trawl surveys of NAFO divisions 4VWX (July), 4T (September), 4RS (August), 3LNOP (spring), and 5Z (spring). Data are from 1970-2013 with all sizes of fish plotted. The following designatable unit (DU) boundaries are shown: Western Scotian Shelf-Georges Bank, Eastern Scotian Shelf-Newfoundland, and Gulf of St. Lawrence.
Within the SGSL and during September when the main research survey occurs, they are found mainly off eastern New Brunswick, throughout the Northumberland Strait, off eastern Prince Edward Island, and east of the Magdalen Islands. Very few catches were recorded in the central portion of the SGSL and along the west coast of Cape Breton Island. There were infrequent and dispersed catches of Winter Skate reported (53 individuals) from the NGSL in relatively deep water (120-500 m). It is possible that some of these were misidentified Thorny Skate (Amblyraja radiata) (Dutil et al. 2006) or vagrants from the SGSL (D. Swain, pers. comm., 2014).
Within the ESS, Winter Skate have been reported from relatively shallow (< 100 m) Western and Banquereau Banks (Figure 3). In addition, catches have been reported along the western margin of the Laurentian Channel (east of Banquereau Bank) eastern limit of the July survey coverage area in waters deeper than 200 m (Figure 4). There is a gap in survey coverage within the Laurentian Channel between the July survey conducted by the Maritimes Region and the spring survey conducted by the Newfoundland and Labrador Region of DFO and it is not clear if Winter Skate are present in the western portion of the Channel (Figure 4). Winter Skate were reported from the central portion of the Laurentian Channel in waters between 200-400 m during the spring survey. Catches were also reported close to the 200 m isobath and in shallower water on St. Pierre Bank. It is thus possible that Winter Skate are distributed between the ESS and St. Pierre Bank through the Laurentian Channel. Winter Skate were also reported from coastal areas off Southern Newfoundland (Figure 3).

Long description for Figure 4
Map showing Winter Skate catch locations in the vicinity of the Laurentian Channel, in the Eastern Scotian Shelf-Newfoundland DU from the Fisheries and Oceans Canada Eastern Scotian Shelf survey (July) and the 3LNOP survey (spring). Data are from 1970 to 2013, and all sizes of fish are plotted.
Within the third concentration, Winter Skate are found in the Bay of Fundy, on the WSS predominantly on Browns Bank, and on Georges Bank (Figure 3). The apparent gap in distribution off southwest Nova Scotia between Browns Bank and the Bay of Fundy is an artifact of a lack of survey coverage in this area because of untrawlable bottom conditions. Winter Skate are known to occur in this area as they are caught on other groundfish surveys (Swain et al. 2006). It is possible that the Fundian Channel between Georges Bank and Browns Bank is a bathymetric barrier to movement between these areas because depths extend to over 200 m over a distance of 40 km. However, little is known about movement of Winter Skate in this area. A limited number of catches have been reported in the Fundian Channel during the DFO July survey (Figure 5) and Scott (1982) reported that Winter Skate were found throughout the depth range covered by the survey. Similarly, a limited number of Winter Skate were caught in the Fundian Channel during US bottom trawl surveys in the area (Frisk et al. 2008). These same authors suggested that Winter Skate populations on Georges Bank and the Scotian Shelf may have been linked and that the sudden increase in abundance of Winter Skate on Georges Bank in the 1980s may have resulted from migration from the Scotian Shelf.
The three main concentrations are separated by considerable distances. There is a 100 km gap between catches on the ESS and WSS in surveys conducted between 1970-2013 (43 years, Figure 5). The gap between the principal concentrations on Western Bank and Browns Bank is 300 km. There were 27 Winter Skate reported caught in NAFO Subdiv. 4Vn (east of Cape Breton Island) during the July survey while 2,751 were reported from the main concentration on the WSS. The distance between the SGSL and ESS concentrations is approximately 240 km (Figure 4). Little is known about migration and mixing between Winter Skate populations. However, these large gaps over apparently suitable habitat suggest that these concentrations may be discrete.
There are differences in potentially heritable life history traits between Winter Skate in the Southern Gulf of St. Lawrence and elsewhere. Winter Skate on the Scotian Shelf have a length of 50% maturity of 75-78 cm (Simon et al. 2003, McPhie and Campana 2009) and a large number of specimens greater than 80 cm have been reported (McEachran and Martin 1977, Simon et al. 2003). Specimens greater than 80 cm were also abundant in spring surveys off Southern Newfoundland (Figure 6). The size at 50% maturity in the Southern Gulf of St. Lawrence is closer to 40 cm and no individuals greater than 80 cm total length have been reported for this region (Swain et al. 2006, 2009). Of the 53 Winter Skates caught in surveys in the northern Gulf of St. Lawrence, none exceeded 65 cm in length (Figure 6). Winter Skate in the Southern Gulf also have fewer tooth rows and more peduncle vertebrae than specimens elsewhere (McEachran and Martin 1977). The differences in life history traits between the Winter Skate population in the Gulf of St Lawrence and that on the Scotian Shelf may reflect character displacement between Winter Skate and Little Skate (L. erinacea) on the Scotian Shelf where these similar species occur in sympatry (McEachran and Martin 1977).

Long description for Figure 5
Map showing Winter Skate catch locations in the Fisheries and Oceans Canada surveys of the Western Scotian Shelf (July) and Georges Bank (spring).
Panel A:
Panel B:
Long description for Figure 6
Two bar charts illustrating the length distributions of Winter Skates measured in the Newfoundland spring survey (part of the Eastern Scotian Shelf-Newfoundland DU) (Panel A) and the northern Gulf of St. Lawrence August survey (part of the Gulf of St. Lawrence DU) (Panel B). Specimens longer than 80 cm were abundant in spring surveys off of southern Newfoundland; however, none of the Winter Skates caught in surveys in the northern Gulf of St. Lawrence exceeded 65 cm in length.
The previous 2005 COSEWIC status report on Winter Skate defined four designatable units (DUs) based on differences in spatial distribution, life history traits, inferred and observed constraints on individual movements, and spatial differences in abundance trends (COSEWIC 2005). These were delineated by Northwest Atlantic Fishery Organization (NAFO) Divisions (Figure 2):
- Southern Gulf of St. Lawrence population (NAFO Div. 4T)
- Eastern Scotian Shelf population (NAFO Div. 4VW)
- Georges Bank-Western Scotian Shelf-Bay of Fundy population (NAFO Div. 4X5Ze)
- Northern Gulf-Newfoundland population (NAFO Div. 3LNOP4RS)
The Eastern Scotian Shelf population had experienced a severe decline in mature numbers while the population from the Georges Bank-Western Scotian Shelf-Bay of Fundy had been relatively stable. The previous report pre-dated the current COSEWIC Guidelines for Recognizing DUs (COSEWIC 2011), which do not specify differences in abundance trends as a criterion. The fourth DU previously identified was separated from the others because it occurs in waters at the northern edge of the species’ range where they are rare. Again, this criterion is not covered in the current COSEWIC Guidelines for Recognizing DUs.
The COSEWIC Guidelines for Recognizing DUs include discreteness and evolutionary significance. There are no published genetic studies on this species. The spatial distribution of Winter Skate suggests three discrete populations. One is mainly found in the SGSL with some individuals extending into the northern Gulf. There are differences in life history characteristics between Winter Skate in the Gulf of St. Lawrence and elsewhere, which may be heritable (Significance criterion 2). Winter Skate caught in the Newfoundland spring survey have a length distribution similar to the ESS, indicating that they are of the same type.
The second DU is found mainly on the ESS but with a connection to St. Pierre Bank. Winter Skate are also caught in southern Newfoundland waters. The third is on the WSS, Bay of Fundy, and Georges Bank. The spatial separation between these regions is such that movement of individuals between them is likely severely limited. There are also biogeographical differences between the Western and Eastern Scotian Shelf. The Western Scotian Shelf (and Georges Bank) are influenced by the Gulf Stream, with warmer temperatures and higher salinity than the Eastern Shelf, which is in the Labrador Current (Mahon et al. 1984). Several groundfish species are divided into two stocks between the Western and Eastern Scotian Shelf, including Atlantic Cod (Gadus morhua), Haddock (Melanogrammus aeglefinus), and Pollock (Pollachius virens). Thus, Winter Skate on either side of the Scotian Shelf may have local adaptations (Discreteness criterion 2). If the population on the ESS were lost, there would be an extensive disjunction in the range of the species in Canada (Significance criterion 4). Based on these considerations, three DUs of Winter Skate are recognized in Canada (Figure 2):
- Gulf of St. Lawrence DU (NAFO Division 4RST)
- Eastern Scotian Shelf-Newfoundland DU (NAFO Division 3LNOP4VW)
- Western Scotian Shelf-Georges Bank DU [Includes the Bay of Fundy, the Canadian portions of Georges Bank and NAFO Division 5Y (NAFO Division 4X5Ze5Yb). This DU is transboundary with the US and fish can move freely across the border.]
Winter Skate are endemic to the Northwest Atlantic where they are sympatric with the Little Skate over much of their range. In the areas of sympatry, Winter Skate mature at a larger size and reach larger terminal size than Little Skate. However, Winter Skate are allopatric in the Southern Gulf of St. Lawrence where they exhibit life history traits intermediate between Little Skate and Winter Skate in other areas. Differences between Winter Skate in the Southern Gulf of St. Lawrence and elsewhere may be sufficient to warrant a taxonomic re-evaluation of the population and potential designation as a separate species (Kelly and Hanson 2013a).
Winter Skate are endemic to the northwest Atlantic (Scott and Scott 1988). They are found from the Gulf of St. Lawrence and off southern Newfoundland to Cape Hatteras, North Carolina (Robins and Ray 1986).
Winter Skate in Canadian waters are distributed from off southern Newfoundland, the Gulf of St. Lawrence and south to the Canada/US border. The extent of occurrence based on the distribution of research survey catches shown in Figure 3 was estimated to be 161,515 km² for the Gulf of St. Lawrence DU, 215,436 km² for the Eastern Scotian Shelf-Newfoundland DU, and 91,409 km² for the Western Scotian Shelf-Georges Banks DU (J. Wu, COSEWIC Secretariat, pers. comm. February 2015).
The Winter Skate is a benthic species, found on sandy or gravelly bottoms. Research vessel survey data show that more than 90% of individuals are caught in less than 150 m of water, although they have been caught at depths approaching 400 m. In the Southern Gulf, they occupy very shallow inshore areas in late summer/early autumn and disperse throughout the Magdalen Shallows in winter (Darbyson and Benoît 2003). On the Scotian Shelf, Scott and Scott (1988) indicated a preferred depth of 37-90 m. Winter Skate young of the year have also been found in very shallow inshore coastal areas off southern Newfoundland and along beaches of Conception Bay (M. Simpson, DFO NL Region, pers. comm. April 2015).
In Canadian waters, Winter Skate occur primarily in the warmest available temperatures mostly avoiding temperatures < 2°C. In the Southern Gulf, the median temperature occupied during the September survey was 8.7°C (Swain et al. 2006). The Northumberland Strait was surveyed with bottom trawls in July-August from 2001 – 2009 and Winter Skate occurred in shallow and warm waters with a median depth of capture of 12 m and a median temperature at capture of 16.3°C (Kelly and Hanson 2013a). Bottom water temperatures in the Magdalen Shallows where Winter Skate are found in winter are considerably colder, approaching 0°C (Galbraith et al. 2013). Elsewhere, temperatures at depth of capture have been reported to be 1.1-12.7°C off eastern Nova Scotia and 2-15°C from off southern Nova Scotia to Cape Hatteras. On the Scotian Shelf, they are most frequently found at depths where temperatures range between 5° and 9°C (Collette and Klein-MacPhee 2002). There is little seasonal change in spatial distribution over the entire Scotian Shelf and Bay of Fundy (Simon et al. 2003).
Winter Skate tend to withdraw from very shallow waters along southern New England in early summer when the temperature has risen to 18-19°C and they reappear there and near New York in early autumn (Bigelow and Schroeder 1953). They are present inshore regularly during summer in Passamaquoddy Bay at the entrance to the Bay of Fundy, in Nova Scotian waters, and around Prince Edward Island.
There has been a strong warming trend in the region where Winter Skate live. It is not known how these changes in ocean conditions affect this species, but there is potential for both direct impacts on the skates as well as indirect impacts through changes in food webs. In 2013 sea-surface temperatures reached record values across the Atlantic zone in summer, and record or near-record values during ice-free months (DFO 2013). Sea-ice cover has been low for three consecutive winters between 2011 and 2013, and summertime cold intermediate layer (CIL) conditions at record warm levels since the early 1980s or even earlier in the Gulf of St. Lawrence and on the Scotian Shelf. During this period bottom temperatures were above normal across almost the entire zone with record highs recorded in the northern Gulf, regions of the Scotian Shelf (NAFO Divisions 4X and 4W), and southern Newfoundland Shelf (Division 3P).
Winter Skate are thought to deposit from 40 to 70 egg cases annually (Kelly and Hanson 2013b), although the exact number is unknown (Collette and Klein-MacPhee 2002). Eggs can take as long as 22 months to develop (Simon and Frank 1998). The egg cases are deposited throughout the year off southern New England and from summer to autumn off Nova Scotia (Vladykov 1936, Collette and Klein-MacPhee 2002). Fishers have noted females extruding complete cases only in the late summer/early autumn west of Sable Island, suggesting that this may be a spawning area (Simon and Frank 2000). Each embryo is contained in a tough brown egg case, 5.5-8.6 cm long, and 3.5-5.2 cm wide, excluding horns (Scott and Scott 1988). There are four long filaments (“horns”), which are thought to serve as anchors (Collette and Klein-MacPhee 2002). Recently hatched specimens (i.e., specimens with abdomens still swollen with yolk) range from about 112-127 mm in length.
Winter Skate from the Eastern Scotian Shelf-Newfoundland and the Western Scotian Shelf-Georges Bank DUs mature at considerably larger sizes than those in the Gulf of St. Lawrence (McEachran and Martin 1977). The total length at 50% maturity for Winter Skate on the Eastern Scotian Shelf has been estimated to be 77 cm. New aging data indicate that the age at 50% maturity was 11 years for males and 13 years for females (McPhie and Campana 2009). This is older than the value used in the original COSEWIC assessment, inferred from preliminary data on age at length based on a limited data set (COSEWIC 2005). These new data on maturity are similar to those reported for Winter Skate in the Gulf of Maine (Sulikowski et al. 2003). Length at 50% maturity in the Southern Gulf is 42 cm for females and 40 cm for males and the age at 50% maturity is 5 years for both sexes (Kelly and Hanson 2013b). It should be noted that these new estimates of the age at maturity for both populations were obtained from populations already greatly reduced in abundance. Consequently, they may underestimate the unexploited age at maturity. Estimates for the age of maturity for Winter Skate on the Western Scotian Shelf/Bay of Fundy were not available. However, given their similarity in size to Winter Skate on the Eastern Scotian Shelf, it was assumed that they have similar age at maturity.
Several estimates are available for the instantaneous rate of non-fishing mortality (M), an important component in the estimate of generation time. Simon and Frank (1996) estimated M as 0.21 yr-1 based on estimates of longevity. McPhie and Campana (2009) presented four empirical estimates of M for the Eastern Scotian Shelf based on various life history parameters (e.g., von Bertalanffy growth coefficient, occupied temperature, age at maturity). Estimated values ranged from 0.13 yr-1 to 0.44 yr-1 with an average of 0.26 yr-1. Swain et al. (2009) used a length-based population model to estimate time-varying vital rates for Winter Skate in the Southern Gulf and Eastern Scotian Shelf, with M estimated on a decadal scale. They found evidence for increases in adult M. During the 1970s, M was estimated to be approximately 0.05 yr-1 in both populations. M increased to approximately 0.6 yr-1 in the Southern Gulf and 0.35 yr-1 on the Eastern Scotian Shelf in the most recent period. These high estimates of M in the recent period are consistent with the observed lack of recovery of Winter Skate in these two populations, despite an extended period of very little fishing. However, they do not represent normal conditions because, as will be discussed in detail in the Threats section, the populations may not be viable with such high M. On the other hand, the very low values for M in the initial period seem too low for the purpose of estimating generation time as they suggest a mean age of spawners in excess of 25 years and a longevity of 60 years. Winter Skate of this age have never been reported. The previous COSEWIC assessment used a value of M=0.1 yr-1 with little supporting literature (COSEWIC 2005).
The IUCN guidelines (IUCN 2013) recommend using the age at 50% maturity + 1/M to estimate generation time. The guidelines also suggest that the generation time should reflect conditions before the populations were reduced by exploitation. Based on the available information and considering the observed age distributions of the populations, it is assumed that M=0.2 yr-1 for all three Winter Skate populations. This results in estimated generation times of 18 years for the Eastern Scotian Shelf-Newfoundland and Western Scotian Shelf-Georges Bank DUs, and 10 years for the smaller fish in the Gulf of St. Lawrence DU. This generation time for the Gulf of St. Lawrence is considerably shorter than what was used in the previous assessment (22 years) when there were no population-specific data on age at maturity. The new estimate has a stronger basis.
Very little is known about the physiology and adaptability of Winter Skate.
Winter Skate in Canada are found in three main concentrations (Figure 3) separated from each other by distances of 200-250 km. Seasonal surveys conducted in the Scotian Shelf and the Bay of Fundy (spring 1979-1984, fall 1978-1994, and summer 1971-2013) indicated little seasonal change in the spatial and depth distribution of Winter Skate (Simon et al. 2003). In the Southern Gulf, Winter Skate are found in shallow, coastal and warm waters in the summer months. They leave these waters in winter, possibly to avoid ice scouring, and distribute over deeper and much colder waters in the Magdalen Shallows and Laurentian Channel (Clay 1991, Darbyson and Benoît 2003). Winter Skate likely move across the Canada/US border on Georges Bank.
Although Winter Skate favour Rock Crab (Cancer irroratus) and squid, they also prey upon annelid worms, amphipods, shrimp, and razor clams, and eat whatever small fish are readily available (Collette and Klein-MacPhee 2002). Historical information shows that they eat other small skates and that American Sandlance (Ammodytes americanus) appear to be a favoured species of fish (Simon and Frank 2000). Juveniles feed primarily on crustaceans while adults feed on fishes and large Rock Crab (Kelly and Hanson 2013b).
Where Winter Skate and Little Skate are sympatric, McEachran et al. (1976) suggested that the two species avoid serious competition by consuming different prey species. Winter Skate tend to eat infauna and Little Skate eat epifauna. Winter Skate also overlap with Thorny Skate (Amblyraja radiata) in the northern portion of their Canadian range, but little is known of interactions between the two species.
Little is known about predation on Winter Skate, but they appear to be preyed upon by many species including sharks, other skates (such as Little Skate), and Grey Seals (Scott and Scott 1988, Beck et al. 2007). Studies of Grey Seal faecal and stomach samples suggest that Winter Skate are a minor part of their diet (e.g. Bowen and Harrison 1994, Hammill and Stenson 2000). However, skates in seal diets are underestimated from faecal samples because skates do not have hard structures such as bones and otoliths. In a more recent study using fatty acid signatures, Beck et al. (2007) suggested that Winter Skate comprised less than 1% of the diet of Grey Seals on Sable Island, south of Nova Scotia. Additional information about predation by Grey Seals is in the section on Limiting Factors and Threats.
Winter Skate are prone to several parasites, including protozoans, myxosporidians, haematazoans, trematodes and nematodes (Scott and Scott 1988).
The analyses of population size and trends in abundance in this report are based on annual fisheries-independent research vessel (RV) surveys conducted for decades by DFO, using standard protocols described in Chadwick et al. (2007). These surveys have broad spatial and temporal coverage, and they provide reliable indices of relative abundance over a time period relevant to the assessment. The specific surveys used are named in the section on Population Spatial Structure and Variability.Other data sources were used in the previous COSEWIC assessment including: 1) non-standard research vessel surveys conducted prior to 1970, which precede the current standardized surveys; 2) short-duration industry/science surveys that began in the mid-1990s, using either fixed or mobile gear; and 3) information from the directed commercial fishery for Winter Skate on the Scotian Shelf. The latter two information sources complemented and confirmed information available from the main surveys and they are not repeated here.
Throughout the report, emphasis is placed on the trend in abundance of mature individuals. While the survey estimates are considered reliable for estimating trends, the estimates are likely to be lower than the true abundance because the survey net does not capture all fish in its path. Percent changes in abundance were estimated as 100*(exp(t*b)-1), where t is the time in years spanned by the index, and b is slope of the linear regression of the natural log of survey index vs. year (log-linear). In some years no mature Winter Skate were captured in some surveys (2013 Southern Gulf; 2001, 2002, 2008, and 2013 Eastern Scotian Shelf; 1971 Western Scotian Shelf). For the regression analyses, the 0 values were replaced with the lowest non-0 value in the time series. Time series of survey abundance estimates used in the analyses are given in Appendix 1.
The annual area occupied (At) by the species was estimated from the survey results using the design-weighted area of occupancy (DWAO)

where n is the number of tows in the survey in year t, Yi is the number of the species caught in tow i, and ai is the area of the stratum fished by tow i divided by the number of tows fished in that stratum (Smedbol et al. 2002).
The Southern Gulf of St. Lawrence survey began in 1971. There have been changes in vessel, fishing gear, and daily sampling periods (Chadwick et al. 2007). Fishing was conducted during daylight only in the early part of the time series (1971-1984) and then switched to 24-hour fishing thereafter. The results of comparative fishing experiments were used to adjust the survey results to account for differences between gear, vessel and hours of operation (Benoît and Swain 2003 a,b; Benoît 2006). The largest change in catchability was found to occur between daylight only and 24-hour fishing operations.
The abundance estimates of mature Winter Skate (42+ cm TL) in the Southern Gulf varied around an average of approximately 580,000 individuals without trend in the 1970s (Figure 7). The estimates began to decline in the 1980s when the decadal average was 318,000. The decline continued with average abundances of 87,000, 29,000, and 7,000 in the 1990s, 2000s, and 2010s, respectively. No mature Winter Skate were captured in the 2013 survey. This survey index was used as the main index of abundance for the Gulf of St. Lawrence DU as very few fish were caught in the northern Gulf surveys (see below).
The slope of the log-linear regression of abundance over the previous 3 generations (30 years) was negative (-0.15 yr-1, p < 0.0001, Table 1). Abundance over this time period was estimated to have declined by 99%. Using the data for the past 2 generations, the estimated slope was also negative (-0.17 yr-1, p=0.0001) and the estimated decline was 97%. The regression for the most recent generation was also significant (-0.29 yr-1, p=0.0351) and abundance declined by 95%. This most recent generation is approximately the time since the initial COSEWIC assessment and the trend data indicate the population has declined considerably since then.

Long description for Figure 7
Two chart panels illustrating trends in bottom trawl survey estimates of abundance of mature Winter Skate in the Southern Gulf of St. Lawrence (1971 to 2013). One panel presents the results using the arithmetic scale, while the lower panel shows the abundance estimates plotted using a log scale. See Appendix 1a [or 1b] for more information

Long description for Figure 8
Chart illustrating the trend in survey area occupied by the Winter Skate in the Southern Gulf of St. Lawrence (1971 to 2013). During the 1970s and 1980s, the Winter Skate occupied approximately 5,000 sq. km of the survey area annually. This declined to an average of 1,400 sq. km in the 2000s and 300 sq. km in the 2010s. See Appendix 1a [or 1b] for more information
The decline in abundance of Winter Skate in the Southern Gulf was accompanied by a decline in the area occupied (Figure 8). During the 1970s and 1980s, Winter Skate occupied approximately 5,000 km² of the survey area annually. This declined to an average of 1,400 km² in the 2000s and 300 km² in the 2010s.
During the bottom trawl surveys of the northern Gulf of St. Lawrence from 1984-2013, 52 Winter Skate were reported captured in 35 fishing tows out of a total of 6,134 and in only 14 of 30 years. These catches were too infrequent to generate a reliable index of abundance in this area.
The July bottom trawl survey on the Eastern Scotian Shelf began in 1970. Both the research vessel and the fishing gear were changed in 1982 when the A.T. Cameron, using a Yankee 36 trawl was replaced by the Lady Hammond using a Western IIA trawl (Chadwick et al. 2007). A comparative fishing experiment was conducted between the A.T. Cameron and Lady Hammond but no correction factors were recommended for Winter Skate (Fanning 1985). The survey was conducted by the Lady Hammond and two other research vessels in subsequent years using the same fishing gear and sampling protocol. There were no comparative fishing experiments conducted among these vessels and the changes in operations were relatively minor (vessel only), so the unadjusted time series were used for trend analysis.
The annual abundance estimates of mature Winter Skate (75+ cm TL) in the area declined over the time period (Figure 9). The decadal averages were 799,000 (1970s), 466,000 (1980s), 296,000 (1990s), 82,000 (2000s), and 38,000 (2010s). No mature Winter Skate were captured in the 2001, 2002, 2008, or 2013 surveys. For the log-linear regression, the lowest estimate of the time series (2012) was substituted for these 4 years.
The time series only covers the previous 2.4 generations. The slope of the log-linear regression of abundance over the entire time series (43 years) was negative (-0.088 yr-1, p < 0.0001, Table 1). Abundance over this time period declined by 98%. Using the data for the past 2 generations, the estimated slope was also negative (-0.097 yr-1, p<0.0001) and the estimated decline was 97%. The regression for the most recent generation was also significant (-0.127 yr-1, p=0.0013) and abundance declined by 90%.
The area occupied by Winter Skate on the Eastern Scotian Shelf increased in the 1970s and reached a peak of around 16,000 km² in the mid-1980s (Figure 10), although there was considerable inter-annual variability in the estimates. The area occupied then declined for the remainder of the time series to an average of approximately 5,000 km² since 2010.

Long description for Figure 9
Two chart panels illustrating trends (1970 to 2013) in bottom trawl survey estimates of the abundance of mature Winter Skate in the Eastern Scotian Shelf, NAFO Division 4VW. One panel presents the results using the arithmetic scale, while the other presents the results using a log scale. See Appendix 1a [or 1b] for more information

Long description for Figure 10
Chart illustrating the trend in survey area occupied by the Winter Skate on the Eastern Scotian Shelf (1970 to 2013). The area occupied increased in the 1970s, reaching a peak of around 16,000 sq. km in the mid-1980s. It then declined for the remainder of the time series to an average of approximately 5,000 sq. km since 2010. See Appendix 1a [or 1b] for more information
From 1971-2013, 17,881 sets were made in the spring research vessel survey off southern Newfoundland. A total of 288 Winter Skate were caught in 137 of those sets. No Winter Skate were reported from surveys in 1971-1976, 1978-1982,1984, 2011, and 2013 (Figure 11). The survey was not completed in 2006 and there is no index for that year. The catches were not divided into size classes and the index presented is for all fish caught. The estimates in years when Winter Skate were caught were highly variable and caution is recommended when interpreting the results. The abundance index increased in the early 1980s and remained relatively high without trend until 1995. The average abundance estimate for the period 1985-1995 was 64,000. The fishing gear used in the survey was changed in 1996 to a Campelen trawl that is known to be more effective in catching fish, and especially small fish. Consequently, and as has been done in other COSEWIC status reports (e.g., White Hake, Urophycis tenuis), the subsequent estimates (1996-2013) were treated as a separate time series. There were two very large estimates of 556,000 in 2003 and 305,000 in 2010, and no Winter Skate were caught in 2011 and 2013. The slope of the log-linear regression from 1996-2013 was negative (-0.084 yr-1, p=0.0313) and the abundance declined by 76% over that time period. At the northern fringe of its distribution in this area, Winter Skate were found in only a very small portion of the survey area and captures are sporadic, rendering survey indices unreliable.
To summarize the abundance indices for this DU, the majority of the population in the early years of the surveys (1970-1990) was found on the ESS. This portion of the population experienced a very large decline of 98% over the past 2.4 generations. There appears to have been a decline in abundance off southern Newfoundland since the new survey gear was introduced in 1996 although this survey index has considerable interannual variability. The Eastern Scotian Shelf survey index covered the longest time period and Winter Skate were more abundant there in the 1970s than in southern Newfoundland. Consequently, the Eastern Scotian Shelf index was used as the main indicator for the DU.

Long description for Figure 11
Two chart panels illustrating trends in bottom trawl survey estimates of abundance of the Winter Skate in southern Newfoundland, NAFO Division 3LNOP (1971 to 2013). One panel presents the results using the arithmetic scale, while the other presents the results using a log scale. Different symbols denote the different types of trawl (Yankee, Engel, Campelen) used. See Appendix 1a [or 1b] for more information
Two bottom trawl surveys were used to estimate trends in adult abundance for this DU, the July survey of the Western Scotian Shelf and Bay of Fundy (1970-2012), and the DFO March survey of Georges Bank (1987-2012). The Western Scotian Shelf and Bay of Fundy survey was conducted by the same vessel and using the same sampling gear and protocols as described above for the Eastern Scotian Shelf and no adjustments were made to the survey results. Only the results from the Canadian portion of Georges Bank were used.
The annual estimates of abundance of mature individuals (75+ cm TL) for the Western Scotian Shelf/Bay of Fundy survey were highly variable with no apparent trend. The decadal average estimates were 107,000, 91,000, 81,000, 47,000, and 57,000, respectively (Figure 12). No mature Winter Skate were reported in the 1971 survey. The lowest value in the time series (2002) was substituted for this 0 observation for the log-linear regression. The time series covered only 2.4 generations. The log-linear slope estimate was not statistically significant (-0.015 yr-1, p=0.15) and the estimated change in abundance for the time period was a decline of 53%.
The annual estimates of the area occupied by Winter Skate on the Western Scotian Shelf were highly variable with little trend (Figure 13). There was a slight increase in the area occupied in the early 1990s. The average area occupied in the last 5 years (2009-2013) of the research survey was 9,100 km².
The initial estimates from the Georges Bank survey from the late 1980s were around 400,000 mature individuals (Figure 14). These declined to less than 100,000 individuals in the mid-1990s, then increased to around 200,000 individuals. There were 3 very large estimates in 2008-2010, the largest being in excess of 1.2 million individuals. It is not clear why these were so high, but this may indicate a distribution shift of the species to other areas from US waters (Frisk et al. 2008). Mature Winter Skate were captured in all of the Georges Bank surveys.
The Georges Bank survey time series covered only 1.4 generations. The log-linear regression yielded a non-significant slope estimate (0.013 yr-1, p=0.52). The estimated change in abundance was an increase of 39% over the time period.
There was no trend in the area occupied by Winter Skate on Georges Bank since the survey began in 1987 (Figure 15). The average area occupied in the last 5 years of the research survey (2009-2013) was 19,200 km².

Long description for Figure 12
Two chart panels illustrating trends in bottom trawl survey estimates of abundance of mature Winter Skate in the Western Scotian Shelf/Bay of Fundy, NAFO Division 4X (1970 to 2012). One panel presents the results using the arithmetic scale, while the other presents the results using a log scale. See Appendix 1a [or 1b] for more information

Long description for Figure 13
Chart illustrating trend in survey area occupied by the Winter Skate in the Western Scotian Shelf/Bay of Fundy (1970 to 2013). The annual estimates of the area occupied by Winter Skate on the Western Scotian Shelf were highly variable with little trend except for a slight increase in the area occupied in the early 1990s. The average area occupied between 2009 and 2013 was 9,100 sq. km. See Appendix 1a [or 1b] for more information

Long description for Figure 14
Two chart panels illustrating trends in Canadian bottom trawl survey estimates of abundance of mature Winter Skate on the Canadian portion of Georges Bank (1987 to 2012). One panel presents the results using the arithmetic scale, while the other presents the results using a log scale. See Appendix 1a [or 1b] for more information

Long description for Figure 15
Chart illustrating trend in survey area occupied by the Winter Skate on Georges Bank (1987 to 2012). No trend in the area occupied was observable. See Appendix 1a [or 1b] for more information
To summarize these two indices, the number of mature individuals in the Western Scotian Shelf-Georges Bank DU appears to be relatively stable with no apparent trend. The bottom trawl survey index for the Western Scotian Shelf is highly variable and while the estimated trend over the past 2.4 generations is a decline of 53%, the regression slope is not statistically significant. The overall trend in the Georges Bank survey is an increase of 39%, but that regression slope is also not statistically significant. The survey estimates from Georges Bank are approximately 4 times greater than those from the Western Scotian Shelf over the same time periods (1987-2013) and the trend in this area would better reflect the trend in the DU. However, unlike the other DUs, the length of the series included in the regressions affects the inferences of whether there has been a significant trend in the number of mature individuals for both the Western Scotian Shelf and Georges Bank indices (Table 1).
Northeast Fisheries Science Center (NEFSC) autumn survey biomass indices of Winter Skate showed two major increases in abundance followed by subsequent declines (Sosebee 2014, Figure 16). The first began in the mid-1970s and reached a peak in the mid-1980s. The index then declined considerably until the mid-1990s. The second major increase was from 2006-2009. Subsequent estimates have declined considerably. This amount of variability is difficult to explain for such a low productivity species and these variations may reflect changes in distribution and/or catchability (Frisk et al. 2008)

Long description for Figure 16
Chart illustrating autumn biomass indices for Winter Skate (1967 to 2013) in U.S. waters, based on surveys by the Northeast Fisheries Science Center. The chart shows considerable variability in the trend, with major peaks in the mid-1980s and from 2006 to 2009. Subsequent estimates have declined considerably.
Elasmobranchs such as skates are believed to be highly vulnerable to exploitation due to their large body size and associated life history traits such as slow growth, late maturation, and low fecundity relative to bony fishes (Dulvy and Reynolds 2002, Reynolds 2003). The demographic characteristics and intrinsic growth rate of Winter Skate on the Eastern Scotian Shelf were compared to those of three other sympatric skate species: Little Skate, Thorny Skate (Amblyraja radiata), and Smooth Skate (Malacoraja senta) by McPhie and Campana (2009). Winter Skate were found to be the least productive, the most susceptible to overfishing, and to have experienced the greatest reduction in adult abundance.
Winter Skate are not currently fished commercially in the Southern Gulf, and it is now mandatory that all individuals taken as bycatch be released. Rates of post-release mortality are not known. Winter Skate have been taken as bycatch in groundfish and scallop fisheries, which may have contributed to the decline of Winter Skate in the Southern Gulf during the 1970s and 1980s. Swain et al. (2006) estimated discards to have exceeded 1 million fish in the early 1970s. This declined to 500,000-700,000 fish in the late 1970s and 1980s (Figure 17). The amounts discarded dropped sharply with the closure of groundfish fisheries in the early 1990s, and were below 100,000 fish in all years since 1992 and below 10,000 fish during 2002 - 2004. More recent estimates of catch in groundfish fisheries remain very low at less than 2 t annually from 2005-2011 (Benoît 2013). A recent analysis of bycatch in scallop fisheries in the area indicates that catches of Winter Skate were also very low, i.e., less than 1 tonne (Benoît et al. 2010a).
Skates have been reported in landings from Eastern Scotian Shelf fisheries since the late 1960s; however, the species composition is not specified in the official fisheries statistics. A large proportion of the catch of various skate species was also discarded. Therefore, at-sea fisheries observer data were used to estimate catch and discards by species. Throughout the 1970s and 1980s, approximately 2,500 t of Winter Skate were caught annually in various fisheries on the Eastern Scotian Shelf directed at other groundfish species (Swain et al. 2006; Figure 18). With the closure of several groundfish fisheries in the early 1990s, Winter Skate catches declined somewhat. However, a directed skate fishery began in 1994, with about 90% of the catch being Winter Skate (Simon et al. 2003). Landings from this fishery peaked in 1994 at 2,200 t. They declined quickly thereafter, and the directed fishery was closed in 2006. The annual catch of Winter Skate averaged 1,700 t in the 1990s and 300 t in the 2000s. It is possible that overfishing in the 1980s and 1990s contributed to the decline of Winter Skate abundance on the Eastern Scotian Shelf. It is also possible that the low level of catch estimated for the 2000-2004 period may be sufficient to cause the population to continue to decline (Swain et al. 2009).

Long description for Figure 17
Chart illustrating trend in estimated discards of Winter Skate by groundfish fisheries in the Southern Gulf of St. Lawrence by size class (1971 to 2004). Discards declined over the period from over 1 million in the early 1970s to less than 10,000 during 2002 to 2004.

Long description for Figure 18
Chart showing trend in estimated catch of Winter Skate on the eastern Scotian Shelf (1970 to 2004) in tonnes.
There are no estimates of catch of Winter Skate in the Western Scotian Shelf-Georges Bank DU. The reported annual landings of all skate species in the NAFO database showed a pulse of high landings between 1973-1976 where the average was 964 t. Since then, the annual reported landings of all skates averaged 40 t. Given the lack of a trend in abundance in this area, fishing mortality does not appear to be a threat to Winter Skate in the Western Scotian Shelf-Georges Bank DU.
The precipitous decline of Winter Skate in the Southern Gulf and Eastern Scotian Shelf prompted a detailed analysis of possible causes (Swain et al. 2009). A life history stage-structured state-space model was used to examine time-dependent changes in mortality rates that could be attributed to fishing and non-fishing mortality, M. The Southern Gulf analysis was divided into two stages: juveniles (< 42 cm TL) and adults (42+ cm TL). The Eastern Scotian Shelf analysis was divided into two juvenile stages (39-59 cm TL and 60 – 74 cm TL) and one adult stage (75+ cm TL).
Fishing mortality on juveniles in the Southern Gulf was estimated to have been very low throughout the time series (1971-2004). For adults, fishing mortality was estimated to have been relatively high in the 1970s but it declined thereafter and was very low for the last 2 decades of the analysis. Estimates of non-fishing mortality, M, on adults increased throughout the time series. The median estimate for the period 1990-2004 was 0.6 yr-1. Potential causes of this increase were examined, including changes in abundance of predators (Atlantic Cod, Gadus morhua), and Grey Seals, and changes in environmental conditions indicated by bottom water temperatures. From 1971-2004 Grey Seals in the southern Gulf increased roughly 2.5-fold (Swain et al. 2009). This increase in Grey Seal abundance was proposed as the more likely cause of the increase in adult Winter Skate non-fishing mortality. This was based on a stronger correlation over time between adult M and seal populations, than between M and increasing temperatures. Population projections from 2004 to 2014 indicated that if the recent high non-fishing mortality continued the population would decline even in the absence of fishing. This prediction is supported by the observed trend in the bottom trawl survey index over the past 10 years, and suggests the imminent extinction of this population (Kelly and Hanson 2013a). If seal predation is indeed the main cause of this abnormally high non-fishing mortality, and it is responsible for the continued rapid decline of 25% per year, there is reason to conclude that there is one location for the population, as defined by IUCN criteria, whereby the number of locations is tied to the number of threats.
On the eastern Scotian Shelf, fishing mortality was estimated to have been relatively low at the beginning and end of the time series (1970-2004) for all three length stages. Fishing mortality on the two largest length stages was highest during the directed fishery in the mid-1990s. Adult non-fishing mortality was estimated to have increased throughout the time series, with the median estimate for the period 1990 to the present to be 0.35 yr-1. Potential causes of this increase were examined, including changes in predator (Atlantic Cod and Grey Seals) abundance and changes in environmental conditions indicated by bottom water temperatures. From 1971-2004 Grey Seals in the southern Gulf increased more than 10-fold (Swain et al. 2009). This increase in Grey Seal abundance was proposed as the more likely cause of the increase in adult Winter Skate non-fishing mortality, and there was no correlation with sea temperature. The population projection from 2004 to 2014 indicated that adult abundance would decline somewhat but stabilize at a low level if there was no fishing. Continued catches of 300 t annually, as was observed for 2002-2004, would result in a continued decline in adult abundance. The extent of the decline of the bottom trawl survey index indicates that catches have not been reduced to zero. For this population, the continuation of increased predation mortality, presumably by Grey Seals, and continued bycatch in other fisheries are the main threats.
There are a large number of locations (>10) for this DU based on the IUCN criteria that tie locations to threats. Grey Seal predation, on its own, is not likely to rapidly affect all individuals and would therefore not lead to the designation of one location for this DU. Also, given that bycatch is caused by a large number of fishing vessels fishing under various management controls (e.g., total allowable catches, seasons, bycatch limits), there are more than 10 locations for this population.
There is potential for the spread of non-native European Green Crabs (Carcinus maenus) to affect this species, as Green Crabs overlap and may compete with crabs, C. irrorus, as well as other prey ofWinter Skate (reviewed by Klassen and Locke, 2007).
Winter Skate was assessed by COSEWIC in 2005 as 4 separate DUs (COSEWIC 2005). The Southern Gulf of St. Lawrence DU was assessed as Endangered, the Eastern Scotian Shelf DU as Threatened, the Georges Bank-Western Scotian Shelf-Bay of Fundy DU as Special Concern, and the Northern Gulf-Newfoundland DU was assessed as data deficient. In 2010, the Governor in Council decided not to list Winter Skate under the Species at Risk Act (SARA) because listing would result in the loss of millions of dollars in revenue as well as significant direct and indirect job losses (Canada Gazette 2010). Instead, fishing mortality of Winter Skate was to be managed under the Fisheries Act, whereby the directed commercial skate fishery was closed, all Winter Skate were to be discarded, and discard rates would be monitored. The survival of discarded Winter Skate is unknown. The decision also assigned no intrinsic value to the species.
In 2015, COSEWIC assessed Winter Skate as three separate designatable units, Gulf of St. Lawrence population (Endangered), Eastern Scotian Shelf-Newfoundland population (Endangered), and Western Scotian Shelf-Georges Bank population (Not at Risk).
In Quebec, the Winter Skate is not listed as “Threatened” or “Vulnerable” under the “Loi sur les espèces menacées ou vulnérables” (RLRQ, c E-12.01) (LEMV) (Act respecting threatened or vulnerable species) (CQLR, c E-12.01) (MRNF, 2014a). However, this species is integrated on the Liste des espèces susceptibles d’être désignées menacées ou vulnérables (list of wildlife species likely to be designated threatened or vulnerable). This list is produced according to the the “Loi sur les espèces menacées ou vulnérables” (RLRQ, c E-12.01) (LEMV) (Act respecting threatened or vulnerable species) (CQLR, c E-12.01) (MRNF, 2014b). In New Brunswick, Winter Skate in the Southern Gulf of St. Lawrence is listed as Endangered, and fish in the Western Scotian Shelf and Bay of Fundy are listed as Special Concern.
The International Union for the Conservation of Nature (IUCN) assessed Winter Skate as Endangered across its entire range (Kulka et al. 2009).
Jim Simon, Fisheries and Oceans Canada, Bedford Institute of Oceanography, Dartmouth, NS
Isabelle Gauthier, Ministère des Forêts, de la Faune et des Parcs, QC
Dr. Doug Swain, Fisheries and Ocean Canada, Gulf Fisheries Centre, Moncton, NB
Hugues Benoît, Fisheries and Oceans Canada, Gulf Fisheries Centre, Moncton, NB
Christie Whelan, Fisheries and Oceans Canada, Ottawa, ON
Tara McIntyre, Fisheries and Oceans Canada, Bedford Institute of Oceanography, Dartmouth, NS
Dr. Mark Simpson, Fisheries and Oceans, Northwest Atlantic Fisheries Centre, St. John’s, NL
Denis Bernier, Pêches et Océans Canada, Institut Maurice-Lamontagne, Mont-Joli, QC
Beck, C.A., S.J. Iverson, W.D. Bowen, and W. Blanchard. 2007. Sex differences in grey seal diet reflect seasonal variation in foraging behaviour and reproductive expenditure: evidence from quantitative fatty acid signature analysis. Journal of Animal Ecology 76: 490-502.
Benoît, H.P. 2013. Two decades of annual landed and discarded catches of three southern Gulf of St Lawrence skate species estimated under multiple sources of uncertainty. ICES Journal of Marine Science 70: 554-563.
Benoît, H.P. 2006. Standardizing the southern Gulf of St. Lawrence bottom-trawl survey time series: results of the 2004-2005 comparative fishing experiments and other recommendations for the analysis of the survey data. DFO Can. Sci. Advis. Sec. Res. Doc. 2006/008. iv + 127 p.
Benoît, H.P., and Swain, D.P. 2003a. Accounting for length- and depth-dependent diel variation in catchability of fish and invertebrates in an annual bottom-trawl survey. ICES J. Mar. Sci. 60: 1298-1317.
Benoît, H.P., and Swain, D.P. 2003b. Standardizing the southern Gulf of St. Lawrence bottomtrawl survey time series: adjusting for changes in research vessel, gear and survey protocol. Can. Tech. Rep. Fish. Aquat. Sci. No. 2505: iv + 95 pp.
Benoît, H.P., D.P. Swain, M. Niles, S. LeBlanc, L.-A. Davidson. 2010. Incidental catch amounts and porential post-release survival of winter skate (Leucoraja ocellataI) captured in the scallop dredge fishery in the southern Guld of St. Lawrence (2006-2008). CSAS Res. Doc. 2010/043
Bigelow, H.B. and W.C. Schroeder. 1953. Fishes of the Western North Atlantic. Sawfishes, guitarfishes, skate and rays, chimaeroides. Memoir Sears Foundation Marine Research.
Canada Gazette. 2010. Order in Council giving notice of decisions not to add certain species to the list of endangered species. Vol. 144, No. 6, March 17, 2010.
Chadwick, E.M.P., Brodie, W., Clark, D., Gascon, D., and Hurlbut, T.R. 2007. History of annual multi-species trawl surveys on the Atlantic coast of Canada. Atlantic Zone Monitoring Program 6, Fisheries and Oceans Canada, Mont-Joli, Que.
Clay, D. 1991. Seasonal distribution of demersal fish (Osteichthyes) and skates (Chondrichthyes) in the southeastern Gulf of St. Lawrence. Can. Spec. Publ. Fish. Aquatic Sci. 113: 241-259.
Collette, B.B., and G. Klein-MacPhee. 2002. Bigelow and Schroeder’s Fishes of the Gulf of Maine. Smithsonian Press. Washington.
COSEWIC. 2005. COSEWIC assessment and status report on the Winter Skate Leucoraja ocellata in Canada. Committee on the Status of Endangered Wildlife in Canada. vii + 41 pp.
COSEWIC. 2011. Guidelines for recognizing designatable units below the species level.
Darbyson, E., and Benoît, H.P. 2003. An atlas of the seasonal distribution of marine fish and invertebrates in the sGSL. Can. Data Rep. Fish. Aquat. Sci. 1113: 294 pp.
DFO. 2013. Oceanographic conditions in the Atlantic zone in 2012. DFO Can. Sci. Advis. Sec. Sci. Advis. Rep. 2013/057.
Dulvy, N.K. and J.D. Reynolds. 2002. Predicting extinction vulnerability in skates. Conservation Biology 16: 220-450.
Dutil, J.-D., R. Miller, C. Nozères, B. Bernier, D. Bernier, et D. Gascon. 2006. Révision des identifications de poisson faites lors des relevés scientifique annuels de l’abondance des poissons de fonds et de la crevette nordique dans l’estuaire et le nord du golf du Saint-Laurent. Rapport manuscrit canadien des sciences halieutique et aquatiques 2760.
Fanning L.P. (1985) Intercalibration of Research Survey Results Obtained from Different Vessels. CAFSAC Rese Doc 85/03.
Frisk, M.G., T.J. Miller, S.J.D. Martell, and K. Sosebee. 2008. New hypothesis helps explain elasmobranch “outburst” on Georges Bank in the 1980s. Ecological Applications 18: 234-245.
Galbraith, P.S., J. Chassé, P. Larouche, D. Gilbert, D. Brickman, B. Pettigrew, L. Devine, C. Lafleur. 2013. Physical oceanographic conditions in the Gulf of St. Lawrence in 2012. Canadian Science Advisory Secretariat Research Document 2013/026.
Hammill, M.O. and G.B. Swenson. 2000. Estimated prey consumption by Harp seals (Phoca groenlandica), Hooded seals (Cystophora cristata), Grey seals (Halichoerus grypus) and Harbour seals (Phoca vitulina) in Atlantic Canada. J. Northw. Fish. Sci. 26: 1-23.
IUCN. 2013. IUCN Standards and Petitions Subcommittee. Guidelines for Using the IUCN Red List Categories and Criteria [PDF]. Version 10. Prepared by the Standards and Petitions Subcommittee.
Kelly, J.T. and J.M. Hanson. 2013a. Abundance, distribution, and habitat characteristics of winter skate Leucoraja ocellata in the southern Gulf of St. Lawrence: a population on the brink of extinction? Journal of Fish Biology 82: 877-892.
Kelly, J.T. and J.M. Hanson. 2013b. Maturity, size at age, and predator-prey relationships of winter skate Leucoraja ocellata in the southern Gulf of St. Lawrence: potentially an undescribed endemic facing extirpation. Fish Biology 82: 959-978
Klassen, G. and A. Locke. 2007. A biological synopsis of the European Green Crab, Carcinus maenus. Canadian Manuscript Report of Fisheries and Aquatic Sciences No. 2818.
Kulka, D. W., Sulikowski, J., and Gedamke, T. 2009. Leucoraja ocellata. In IUCN 2012. IUCN Red List of Threatened Species. Version 2012.2.
Mahon, R., R.W. Smith, B.B. Berstein, and J.S. Scott. 1984. Spatial and temporal patterns of groundfish distribution on the Scotian Shelf and in the Bay of Fundy, 1970-1981. Can. Tech. Rep. Fish. Aqua. Sci. 1300, xi + 164 p.
McEachran, J.D. and J.A. Martin. 1975. Distribution and relative abundance of seven species of skates (Pisces: Rajidea) which occur between Nova Scotia and Cape Hatteras. Fishery Bulletin 73: 110-136.
McEachran, J.D., D.F. Boesch, and J.A. Musick. 1976. Food division within two sympatric species-pairs of skate (Pisces: Rajidae). Marine Biology. 35: 301-17.
McEachran, J.D. and C.O. Martin. 1977. Possible occurrence of character displacement in the sympatric skate Raja erinacea and Raja ocellata (Pisces: Rajidae). Environment and Biology of Fishes 2:121-130.
McPhie, R.P. and S.E. Campana. 2009. Reproductive characteristics and population declines of four species of skate (Rajidae) off the eastern coast of Canada. Journal of Fish Biology 75: 223-246.
Reynolds, J.D. 2003. Life histories and extinction risk. In: Macroecology (eds K.J. Gaston and T.J. Blackburn), pp 195-217. Blackwell Publishing, Oxford.
Robins, C.R. and G.C. Ray. 1986. A field guide to Atlantic coast fishes of North America. Houghton Mifflin Company, Boston, U.S.A.
Scott, J.S. 1982. Depth, temperature and salinity preferences of common fishes of the Scotian Shelf. Journal of Northwest Atlantic Fisheries Science. 3: 29-39.
Scott, W.B. and M.G. Scott. 1988. Atlantic Fishes of Canada. University of Toronto Press. Ontario, Canada.
Simon, J.E., and K.T. Frank. 1996. Assessment of the Division 4VsW skate fishery. DFO Atl. Fish. Res. Doc. 96/105.
Simon, J.E., and K.T. Frank. 1998. Assessment of the Winter Skate fishery in Division 4VsW. DFO Atl. Fish. Res. Doc. 98/145.
Simon, J.E., and K.T. Frank. 2000. Assessment of the Winter Skate fishery in Division 4VsW. DFO Canadian Stock Assessment Secretariat Res. Doc. 2000/140.
Simon, J.E., Harris, L. and T. Johnston. 2003. Distribution and abundance of Winter Skate (Leucoraja ocellata) in the Canadian Atlantic. Canadian Science Advisory Secretariat Research Document 2003/028.
Smedbol, R.K., P.A. Shelton, D.P. Swain, A. Fréchet, and G.A. Chouinard. 2002. Review of the population structure of cod (Gadus morhua) in Atlantic Canada in a species-at-risk context. Canadian Science Advisory Secretariat Research Document 2002/082.
Sosebee, K.A. 2014. United States Research Report for 2013. NAFO SCS 14/11.
Sulikowski, J.A., Morin, M.D., Suk, S.H. and W.H. Howell. 2003. Age and growth estimates of the Winter Skate (Leucoraja ocellata) in the western Gulf of Maine. Fishery Bulletin 101(2): 405-413.
Swain, D.P., JE. Simon, L.E. Harris, and H.P. Benoît, 2006. Recovery potential assessment of 4T and 4VW Winter Skate (Leucoraja ocellata): biology, current status and threats. Canadian Science Advisory Secretariat Research Document 2006/003.
Swain, D.P., I.D. Jonson, J.E. Simon, and R.A. Myers. 2009. Assessing threats to species at risk using stage-structured state-space models: mortality trends in skate populations. Ecological Applications 19: 1347-1364.
Vladykov, V.D. 1936. Capsules d’oeufs de raies de l’Atlantique canadien appartenant au genre Raja. Nature Canadien 63: 211-231.
Alan Sinclair received a BSc (1976) and MES (1986) from Dalhousie University and worked as a technician, biologist and research scientist with DFO for 33 years (1976 – 2009). He was a member of the COSEWIC Marine Fishes Specialist Sub-Committee from 2007-2009 and has served as a co-chair of that sub-committee since 2010.