Bassin des lacs Turkey : oiseaux aquatiques et habitat
Les informations qui suivent proviennent du programme de bio-surveillance du Service canadien de la faune (SCF-OR).
Recensement des oiseaux aquatiques
Dans la région de l'Algoma, les oiseaux aquatiques qui se reproduisent sont principalement des canards plongeurs (65%), suivi des canards barboteurs (22%), puis des piscivores (13%). Ces proportions sont presque les mêmes dans la section 2 du SCF que dans le BLT. Selon les reconnaissances aériennes, Le Garot à Oeil d'Or est le plus commun des canards plongeurs. Le Canard Noir est le plus commun des canards barboteurs, et le Huard Commun le plus important parmis les piscivore.
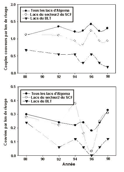
Généralement, les petits lacs et les terres humides supportent plus d'oiseaux aquatiques que les lacs plus grands. Ainsi, parce qu'il contient des lacs plutôt grands, le nombre par km de rivage de couples en train de couver et de couvées est moins grand dans le BLT que partout ailleurs en Algoma (Figure 1). Durant la courte période de recensement (1988-1998), le nombre d'oiseaux aquatiques a changé grandement suite aux conditions climatiques, mais n'a pas montré de tendance claire dans le nombre ou dans la composition des populations.

Figure 1: Description longue
Graphique: Nombre d'oiseaux aquatiques aperçus par kilomètre de rivage sur les lacs d'Algoma, du secteur 2, et du Bassin des Lacs Turkey (BLT). De 1988 à 1998, nombres de waterbird ont flotté en réponse aux conditions atmosphériques sans la tendance claire en nombres ou composition.
Tendances de la chimie de l'eau
On s'est servi d'une version spécialisée du programme DETECT pour déceler les tendances dans les données chimiques des 230 lacs en Algoma (voir McNicol et al., 1998, no. de référence 98-04 dans la liste des publications). Le test du Tau de Kendall a servi pour identifier les tendances significatives. Le tableau 1 contient les résultats pour la région d'Algoma, et plus particulièrement, pour les 20 lacs du secteur 2, incluant le BLT. Globalement, la région d'Algoma a montré de petites augmentations de pH (18% des lacs échantillonnés). Un plus grand nombre de lacs affiche une baisse en SO4 (36%), et en cations basiques (Ca + Mg, 45%). La proportion des lacs montrant des changements significatifs de la chimie de l'eau est moindre pour le secteur 2 et le BLT que dans l'Algoma en général. La plus importante tendance dans le secteur 2 se limite à une diminution du SO4 (22%). Seul 5% des lacs du secteur 2 a subi une augmentation de pH entre 1988 et 1998.
| Tendance |
Tout d'Algoma (230 Lacs)
|
Terrain 2 - BLT (20 Lacs)
|
|
|---|---|---|---|
| pH | Augmentation |
18
|
6
|
| pH | Aucun Changement |
81
|
94
|
| pH | Diminution |
1
|
0
|
| cations basiques | Augmentation |
0
|
0
|
| cations basiques | Aucun Changement |
55
|
100
|
| cations basiques | Diminution |
45
|
0
|
| sulfate | Augmentation |
1
|
0
|
| sulfate | Aucun Changement |
63
|
78
|
| sulfate | Diminution |
36
|
2
|
Mesures de la Chaîne Alimentaire
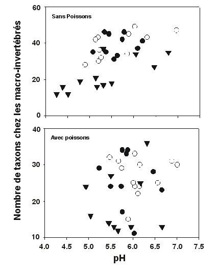
Les lacs de la région de l'Algoma et du BLT ont été échantillonnés en 1990, 1992, et en 1997 pour obtenir les composantes de la chaîne alimentaire aquatique. Les résultats incluent les échantillonnages des régions ontariennes de Sudbury et de Muskoka (qui représentent plus de 250 espèces et 30 000 spécimens). On trouve que le nombre de taxa chez les macro-invertébrés (une mesure de biodiversité) est affecté par le pH et par la présence de poissons (voir figure 2). La plus grande diversité se trouve dans les lacs avec pH élevés et sans poissons. Cette situation explique bien pourquoi les couvées de sauvagine non-piscivores se retrouvent plus souvent qu'autrement sur des lacs sans poissons.

Figure 2: Description longue
Relations entre le nombre de taxons d'invertébrés (espèces ou genres) et le pH, pour les lacs avec et sans poissons, et appartenant au programme de surveillance de la chaine alimentaire du SCF-OR. Les cercles ouverts représentent les lacs d'Algoma; les cercles pleins, de Muskoka; et les triangles pleins, de Sudbury. Le nombre de taxa de macroinvertebrate dans les lacs est influencé par le pH et la présence des poissons.
Modélisation
En se servant des données saisies dans le BLT et ailleurs en Algoma, Sudbury et Muskoka, le programme de contrôle biologique SCF-OR TADPA s'est servi de modèles logistiques, utilisant la régression multiple séquentielle et pondérée. Ces modèles lient la présence de couvées, ou couples d'oiseaux aquatiques en train de couver, aux charactéristiques chimiques et physiques des lacs. On a appliqué ces modèles aux ensembles de données disponibles provenant des lacs de l'est du Canada. Pour illustrer le procédé, la figure 3 montre les prédictions de l'amélioration des habitats de nidification une fois que seront mis en place, en 2010, tous les contrôles d'émissions de dioxide de soufre tels que requis par l'entente Canada-US sur la Qualité de l'air (bleu foncé= aucun changement, bleu clair = faible changement, jaune = grand changement). Selon ce scénario, on s'attend à un faible changement dans la région autour du BLT alors que les régions du nord de Montréal, qui sont plus affectées par l'acidité, devraient montrer des changements plus importants.

Figure 3: Description longue
Prédiction du changement dans les habitats de nidification pour les piscivores après que tous les contrôles requis par l'entente Canada-US sur la Qualité de l'Air auront été mis en place. Les prédictions proviennent du "Waterfowl Acidification Response Modelling System" (WARMS). Le bleu foncé indique aucun changement, le bleu clair, un changement léger. Le jaune représente un grand changement.