Turkey Lakes watershed: waterbirds and habitat
The following information was obtained by the CWS-OR Biomonitoring Program.
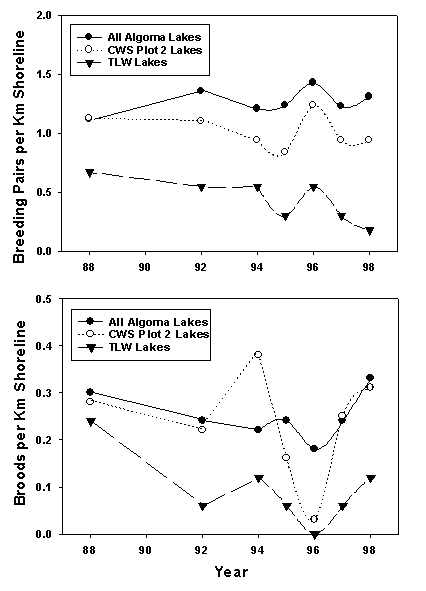
Waterbird Surveys
In the Algoma region, breeding waterbirds are dominated numerically by diving ducks (65%), followed by dabbling ducks (22%) and then piscivores (13%). These proportions match almost exactly those observed in CWS Plot 2 and the TLW. Common goldeneyes are the most commonly observed diving duck, American black ducks the most common dabbling duck, and common loons are the most common piscivores observed in aerial surveys.
Small lakes and wetlands tend to support more waterbirds than larger lakes. Thus, because the TLW tends to be dominated by relatively large lakes, it has fewer indicated breeding pairs and broods of waterbirds per kilometre of shoreline than the rest of Algoma (Figure 1). Over the short duration of surveys (1988-1998), waterbird numbers have fluctuated largely in response to weather conditions, with no clear trend in numbers or composition.

Figure 1: Long Description
Graph: Observed numbers of waterbirds (waterfowl and loons) per kilometre of shoreline in Algoma lakes, Plot 2 lakes, and lakes in the Turkey Lakes Watershed (TLW). From 1988 to 1998, waterbird numbers fluctuated in response to weather conditions with no clear trend in numbers or composition.
Water Chemistry Trends
A customized version of the DETECT trend detection software (see McNicol et al. 1998, reference number 98-04 in the Publication List) has been used to identify the chemical trends that are present in 230 Algoma lakes sampled each year from 1988 to 1998. Kendall's Tau test was used to identify significant chemical trends. The results are summarized in Table 1 for the Algoma region, and more specifically, for the 20 lakes from Plot 2 which contains the TLW. The overall Algoma region exhibited small increases in lake pH (18% of the sampled lakes). Many more lakes exhibit declines in SO4 (36%) and base cations (i.e. Ca and Mg, 45%). The proportion of lakes exhibiting statistically significant changes in water chemistry is smaller for Plot 2 and the TLW than for Algoma as a whole. The most important chemical trend in Plot 2 is limited to declining SO4 (22%). Only 6% of Plot 2 lakes exhibited increasing pH between 1988 and 1998.
| header1 | Trend | All of Algoma (230 Lakes) | Plot 2 - TLW (20 Lakes) |
|---|---|---|---|
| pH | Increasing |
18
|
6
|
| pH | No Changes |
81
|
94
|
| pH | Decreasing |
1
|
0
|
| Base Cations | Increasing |
0
|
0
|
| Base Cations | No Changes |
55
|
100
|
| Base Cations | Decreasing |
45
|
0
|
| Sulphate | Increasing |
1
|
0
|
| Sulphate | No Changes |
63
|
78
|
| Sulphate | Decreasing |
36
|
2
|
Food Chain Sampling
Lakes in the Algoma region and the TLW were sampled in 1990, 1992 and 1997 for components of aquatic food chains. Along with sampling in the Sudbury and Muskoka regions of Ontario (representing more than 250 species and 30,000 specimens), food chain sampling clearly shows that the number of macroinvertebrate taxa in lakes (a measure of biodiversity) is influenced both by pH and by the presence of fish (see Figure 2). Highest diversity is found in high pH, fishless lakes. In large part, this pattern explains why waterfowl broods other than piscivores are often found on fishless lakes.

Figure 2: Long Description
Relationship Between Number of Invertebrate Taxa (Species or Genera) and pH for Lakes with and without Fish in the CWS-OR Food Chain Monitoring Program. Open Circles Represent Algoma lakes, Solid Circles Represent Muskoka Lakes, and Solid Triangles Represent Sudbury Lakes. The number of macroinvertebrate taxa in lakes is influenced by pH and the presence of fish.
Modelling
Using data collected from the TLW and elsewhere in Algoma, Sudbury and Muskoka, the CWS-OR LRTAP Biomonitoring program has developed weighted, stepwise multiple logistic regression models relating the occurrence of breeding pairs or broods of various waterbirds to the physical and chemical characteristics of lakes. These models have then been applied to lake datasets available for eastern Canada. As an example of this process, Figure 3 shows the qualitative improvement in piscivore nesting habitat suitability predicted to occur once all sulphur dioxide emission controls required by the Canada-US Air Quality Agreement are fully implemented in 2010 (dark blue = no change, light blue = small improvements, yellow = large improvements). The area around the TLW is expected to show only small improvements under this emission control scenario, while larger improvements are expected to the north near the Montreal River which is a more acid-stressed area than the TLW.

Figure 3: Long Description
Predicted change in nesting habitat suitability for piscivores after all sulphur dioxide emission controls required by the Canada-US Air Quality Agreement are fully implemented. The prediction was obtained using the Waterfowl Acidification Response Modelling System (WARMS). Dark blue represents areas with no change, light blue represents areas of small improvement, and yellow represents areas of large improvement.