Évaluation préalable
Groupe de substances azoïques aromatiques et à base de benzidine
Certains complexes métalliques azoïques et autres substances azoïques
Environnement Canada
Santé Canada
Avril 2015
Table des matières
- Résumé
- 1. Introduction
- 2. Identité des substances
- 3. Propriétés physicochimiques
- 4. Sources et utilisations
- 5. Devenir et comportement dans l'environnement
- 6. Évaluation des cinq substances non commercialisées au Canada fondée sur les principes de l'examen préalable rapide
- 7. Évaluation préalable du NE CAS 85029-57-8
- 8. Conclusion
- Références
- Annexe A : Tableaux de données supplémentaires
- Annexe B : Calculs de l'exposition écologique en milieu aquatique concernant le NE CAS 85029-57-8 du complexe métallique azoïque
Liste des tableaux
- Tableau 2-1 : Identité des quatre complexes métalliques azoïques
- Tableau 2-2 : Identité des deux autres substances azoïques
- Tableau 2-3 : Identités des analogues utilisés pour évaluer les propriétés physicochimiques, le devenir dans l'environnement, ainsi que le potentiel de causer des effets écologiques nocifs des substances de la présente évaluation
- Tableau 3-1 : Résumé des propriétés physicochimiques du NE CAS 85029-57-8 a et des analogues
- Tableau 6-1 : Valeurs critiques de toxicité et quotients de risque pour les trois complexes métalliques azoïques et deux autres substances azoïques
- Tableau 7-1 : Données empiriques sur la toxicité en milieu aquatique des analogues du NE CAS 85029-57-8
Résumé
Conformément à l’article 74 de la Loi canadienne sur la protection de l’environnement (1999) [LCPE (1999)], les ministres de l’Environnement et de la Santé ont procédé à une évaluation préalable de quatre complexes métalliques azoïques et de deux autres substances azoïques. Ces six substances constituent deux sous-groupes du groupe des substances aromatiques azoïques et à base de benzidine évaluées dans le cadre de l’Initiative des groupes de substances du Plan de gestion des produits chimiques du gouvernement du Canada d'après leur similarité structurale et leurs applications. Ces substances figurent parmi celles qui ont été jugées prioritaires pour une évaluation, car elles répondaient aux critères de catégorisation en vertu du paragraphe 73(1) de la LCPE (1999) et/ou étaient considérées comme prioritaires en raison d’autres préoccupations relatives à la santé humaine.
Ces substances ont été évaluées ensemble, car elles appartiennent au sous-groupe des complexes métalliques azoïques et aux autres substances azoïques individuelles, qui n'appartiennent pas à l'un des sous-groupes de substances azoïques et à base de benzidine. Le numéro d’enregistrement du Chemical Abstracts Service (NE CAS)Note de bas de page[1] et le nom figurant dans la Liste intérieure des quatre complexes métalliques azoïques et des deux autres substances azoïques sont présentés dans le tableau suivant.
| NE CAS | Nom dans la LIS |
|---|---|
| 6708-61-8Note de bas de page Tableau[a] | 1-(4-Nitro-1-naphtyl)-3-[p-(phénylazo)phényl]-1-triazène |
| 63224-47-5Note de bas de page Tableau[b] | Tétrachlorozincate de 4-(2,6-dichloro-4-nitrophénylazo)-2,5-diméthoxybenzènediazonium (1:2) |
| 72391-06-1[b] | Chlorure de 3',6'-bis(diéthylamino)-3-oxospiro[isobenzofurane-1(3H),9'(8'aH)-xanthylium], composé (1:1) avec le [3-hydroxy-4-(3-méthyl-5-oxo-1-phényl-4,5-dihydro-1H-pyrazol-4-ylazo)naphtalène-1-sulfonato(3-)]chrome |
| 83221-38-9[a] | 4-[[4-[[4-(2-Hydroxybutoxy)-m-tolyl]azo]phényl]amino]-3-nitro-N-(phénylsulfonyl)benzènesulfonamidate de lithium |
| 85029-57-8[b], Note de bas de page Tableau[c] | Bis[4-(2-hydroxy-4-nitrophénylazo)-5-méthyl-2-phényl-2,4-dihydro-3H-pyrazol-3-onato(2-)]chromates(1-) de C10-14-alkylammonium (ramifié et linéaire) |
| 94276-35-4[b] | (3-{[1-(Carboniloyl)-2-oxopropyl]azo}-2-hydroxy-5-nitrobenzènesulfonato(3-))hydroxychromate(1-) de 9-[2-(éthoxycarbonyl)phényl]-3,6-bis(éthylamino)-2,7-diméthylxanthylium |
Les six substances dans la présente évaluation préalable ne se trouvent pas naturellement dans l’environnement. Aucune fabrication de substance en quantité supérieure au seuil de déclaration de 100 kg/an n’a été déclarée dans les réponses aux enquêtes menées récemment en application de l’article 71 de la LCPE (1999). Une substance, le NE CAS 85029-57-8, a été déclarée comme ayant été importée en quantité supérieure à ce seuil de déclaration de 100 kg/an. Aucune importation ou utilisation au Canada n’a été relevée pour les cinq autres substances (NE CAS 6708-61-8, 63224-47-5, 72391-06-1, 83221-38-9 et 94276-35-4).
Une approche d’évaluation fondée sur les principes de l’examen préalable rapide a été appliquée à ces cinq substances pour lesquelles aucune importation ou utilisation au Canada n’a été rapportée afin de confirmer qu’il n’y avait pas de sources d’exposition à ces substances dans l’environnement ou pour la population générale du Canada. Le reste de la présente évaluation préalable porte sur la substance commercialisée au Canada, soit le NE CAS 85029-57-8.
Environnement
Dans le cadre de la méthode d’examen préalable rapide pour les cinq substances pour lesquelles aucune activité commerciale n’a été relevée au Canada, on a calculé des valeurs génériques d’exposition en milieu aquatique inférieures aux concentrations préoccupantes estimées pour les organismes aquatiques. En outre, aucune information n’a été trouvée par les initiatives nationales ou internationales indiquant que ces substances pouvaient être plus préoccupantes en raison de leurs propriétés écologiques dangereuses ou du potentiel élevé de rejets environnementaux.
Le NE CAS 85029-57-8 a une solubilité dans l’eau relativement faible (0,002–0,5 mg/L) et ne devrait pas se dissocier aux pH normalement observés dans l’environnement. Compte tenu de ses propriétés physiques et chimiques, lorsque le NE CAS 85029-57-8 est rejeté dans l’eau, il devrait rester dans la colonne d’eau pendant un certain temps, avant de se répartir, par interactions électrostatiques et sorption, dans les matières en suspension et, finalement, dans les sédiments. Lorsqu’il est rejeté dans le sol, il devrait demeurer dans ce milieu.
Selon les données expérimentales et modélisées disponibles sur la dégradation abiotique et biotique du NE CAS 85029-57-8, cette substance devrait être persistante dans l'eau, les sédiments et le sol. Dans les milieux anaérobies (c.-à-d. les couches anoxiques de sédiments), il est possible que cette substance se dégrade en amines aromatiques par suite de la rupture des liaisons azoïques en conditions anaérobies ou réductrices.
D’après des données limitées, le NE CAS 85029-57-8 devrait avoir un faible potentiel de bioaccumulation en raison de sa faible valeur du coefficient de partage octanol-eau et de sa masse moléculaire relativement élevée. Des données déduites à partir d’analogues sur la toxicité en milieu aquatique laissent supposer que le NE CAS 85029-57-8 n’est pas très dangereux pour les organismes aquatiques (concentrations létales médianes se situant principalement entre 3 et 10 mg/L). Aucune donnée sur la toxicité pour les organismes vivant dans le sol et les sédiments n’était disponible.
L’analyse du quotient de risque pour le NE CAS 85029-57-8 était axée sur des scénarios d'exposition représentant les principaux rejets potentiels de la substance dans l’environnement résultant des activités industrielles. Les concentrations environnementales estimées (CEE) associées aux rejets de la substance durant son utilisation dans les activités industrielles de formulation ont été calculées pour le milieu aquatique. Les CEE ne dépassaient pas les concentrations estimées sans effet (CESE) pour l’eau. En raison du manque de données, aucun quotient de risque n’a été calculé pour le sol ou les sédiments.
Compte tenu de tous les éléments de preuve contenus dans la présente évaluation préalable, les quatre complexes métalliques azoïques et les deux autres substances azoïques faisant l'objet de cette évaluation présentent un faible risque d'effets nocifs sur les organismes et sur l'intégrité globale de l'environnement. On conclut que les six substances ne satisfont pas aux critères des alinéas 64a) ou b) de la LCPE (1999), car ils ne pénètrent pas dans l'environnement en une quantité ou concentration ou dans des conditions de nature à avoir, immédiatement ou à long terme, un effet nocif sur l'environnement ou sur la diversité biologique, ou à mettre en danger l'environnement essentiel pour la vie.
Santé humaine
L'exposition de la population générale du Canada aux quatre complexes métalliques azoïques et aux deux autres substances azoïques à partir des milieux naturels est peu probable en raison des quantités commerciales limitées au Canada; par conséquent, cette source ne devrait pas présenter de risque pour la santé humaine.
Dans le cadre de la méthode d’examen préalable rapide pour les cinq substances pour lesquelles aucune activité commerciale n’a été relevée au Canada (NE CAS 6708-61-8, 63224-47-5, 72391-06-1, 83221-38-9 et 94276-35-4), aucune autre source d'exposition de la population générale du Canada n'a été déterminée. Par conséquent, d'après les renseignements actuels sur l'exposition, on ne prévoit pas de risque pour la santé humaine concernant ces substances. En outre, aucune de ces substances n'a été classée comme présentant un potentiel de risque par un organisme national ou international, et les renseignements disponibles n'indiquent pas que ces substances ont des effets préoccupants d'après la cancérogénicité potentielle.
Le NE CAS 85029-57-8 est utilisé dans les revêtements et les teintures pour bois à des concentrations qui se situent entre 2,5 et 10 %. Bien que l'exposition cutanée à cette substance soit possible pour la population générale durant l'application de revêtements et de teintures pour bois, l'exposition de la population générale du Canada à cette substance devrait être limitée. Par conséquent, on estime que le risque pour la santé humaine présenté par cette substance est faible.
À la lumière des renseignements contenus dans la présente évaluation préalable, on conclut que les quatre complexes métalliques azoïques et les deux autres substances azoïques faisant l'objet de cette évaluation ne satisfont pas aux critères énoncés à l'alinéa 64c) de la LCPE (1999), car ils ne pénètrent pas dans l'environnement en une quantité ou concentration ou dans des conditions de nature à constituer un danger au Canada pour la vie ou la santé humaines.
Conclusion générale
On conclut que les quatre complexes métalliques azoïques et les deux autres substances azoïques faisant l'objet de la présente évaluation ne satisfont à aucun des critères énoncés à l'article 64 de la LCPE (1999).
1. Introduction
Conformément aux articles 68 ou 74 de la Loi canadienne sur la protection de l'environnement (1999) [LCPE (1999)] (Canada, 1999), les ministres de l'Environnement et de la Santé procèdent à une évaluation préalable des substances afin de déterminer si elles présentent ou sont susceptibles de présenter un risque pour l'environnement ou la santé humaine.
L'Initiative des groupes de substances constitue un élément clé du Plan de gestion des produits chimiques (PGPC) du gouvernement du Canada. Le groupe des substances aromatiques azoïques et à base de benzidine comprend 358 substances qui ont été déclarées prioritaires pour une évaluation, car elles satisfaisaient aux critères de catégorisation en vertu de l'article 73 de la LCPE (1999) ou étaient considérées comme prioritaires en raison de préoccupations relatives à la santé humaine (Environnement Canada et Santé Canada, 2007). D'autres administrations ont déterminé que certaines substances de ce groupe représentaient une source de préoccupations en raison du risque de clivage des liaisons azoïques, qui peut mener à la libération d'amines aromatiques connues pour être cancérogènes ou susceptibles de l'être.
Bien que bon nombre de ces substances présentent des caractéristiques structurelles communes et des usages fonctionnels similaires comme teintures ou pigments dans plusieurs secteurs, nous avons tenu compte de la diversité au sein de ce groupe de substances en établissant des sous-groupes. L'établissement de sous-groupes en fonction de leurs similitudes structurelles, de leurs propriétés physiques et chimiques, ainsi que de leurs utilisations et applications fonctionnelles communes permet de tenir compte de la variabilité au sein de ce groupe de substances et de mettre en œuvre des approches propres aux sous-groupes dans le cadre des évaluations préalables. La présente évaluation préalable vise les substances qui appartiennent aux sous-groupes des complexes métalliques azoïques et des autres substances azoïques. Nous avons également tenu compte des produits issus du clivage potentiel des liaisons azoïques (amines aromatiques), qui constituent un élément clé de l'évaluation des risques pour la santé humaine dans chaque sous-groupe. Certaines amines aromatiques, communément appelées amines aromatiques figurant sur EU22Note de bas de page[2], ainsi que les colorants azoïques connexes font l'objet de restrictions dans d'autres pays (Union européenne, 2006). Des renseignements sur l'approche de création de sous-groupes pour le groupe des substances azoïques aromatiques et à base de benzidine en vertu du Plan de gestion des produits chimiques, ainsi que des renseignements généraux additionnels et le contexte réglementaire, figurent dans un document distinct préparé par le gouvernement du Canada (Environnement Canada et Santé Canada, 2013a).
Dans le cadre de la présente évaluation préalable, quatre complexes métalliques azoïques et deux autres substances azoïques ont été évalués ensemble, car ils appartiennent au sous-groupe des complexes métalliques azoïques et aux autres substances azoïques individuelles, qui n'appartiennent pas à l'un des sous-groupes de substances azoïques aromatiques et à base de benzidine.
Une autre substance issue du groupe des substances azoïques aromatiques et à base de benzidine avait été initialement déterminée afin d'être incluse dans la présente évaluation. Toutefois, cette substance (no CAS 63281-10-7) a déjà été visée, en avril 2008, par l'évaluation préalable de 145 substances persistantes, bioaccumulables et intrinsèquement toxiques (PBTi) qui n'étaient pas commercialisées. La substance no CAS 63281-10-7 ne fait pas partie de la présente évaluation préalable, étant donné qu'aucun nouveau renseignement notable n'a été reçu depuis son évaluation en 2008 et qu'elle n'indique rien relativement aux complexes métalliques azoïques et aux autres substances azoïques.
Les évaluations préalables sont axées sur les renseignements permettant de déterminer si les substances satisfont aux critères énoncés à l'article 64 de la LCPE (1999). Pour ce faire, les renseignements scientifiques sont examinés afin de tirer des conclusions d'après le poids de la preuve et l'utilisation du principe de prudenceNote de bas de page[3].
La présente évaluation préalable tient compte des renseignements sur les propriétés chimiques, le devenir dans l'environnement, les dangers, les utilisations et l'exposition, ainsi que des renseignements supplémentaires soumis par les intervenants. Une enquête a été menée en vertu de l'article 71 de la LCPE (1999) (Canada, 2011). Les données pertinentes ont été relevées jusqu'en juin 2013. Les données empiriques obtenues d'études clés, ainsi que certains résultats de modélisation ont servi à formuler des conclusions. Lorsque disponibles et pertinents, les renseignements contenus dans les évaluations effectuées par d'autres instances ont été utilisés.
L'évaluation préalable ne constitue pas un examen exhaustif ou critique de toutes les données disponibles. Elle fait plutôt état des études et des éléments de preuve les plus importants pour appuyer la conclusion.
La présente évaluation préalable a été préparée par le personnel du Programme des substances existantes de Santé Canada et d'Environnement Canada et elle intègre les résultats d'autres programmes exécutés par ces ministères. Les parties de la présente évaluation préalable qui portent sur la santé humaine et l'écologie ont fait l'objet d'une étude consignée par des pairs et d'une consultation de ces derniers. M. Harold Freeman, Ph. D. (North Carolina State University, États-Unis) et Mme Gisela Umbuzeiro, Ph. D. (University of Campinas, Brésil) ont fourni des commentaires sur les parties techniques concernant l'environnement. M. Harold Freeman, Ph. D. (North Carolina State University, États-Unis), David Josephy, Ph. D. (Université Guelph, Canada), Michael Bird, Ph. D. (Université d'Ottawa, Canada) et Kannan Krishnan, Ph. D. (Université de Montréal, Canada) ont fourni des commentaires sur les portions techniques concernant la santé humaine. De plus, une ébauche de cette évaluation préalable a fait l'objet d'une période de commentaires du public de 60 jours. Bien que les commentaires externes aient été pris en considération, Santé Canada et Environnement Canada assument la responsabilité du contenu final et des résultats de l'évaluation préalable.
Les principales données et considérations sur lesquelles repose la présente évaluation sont présentées ci-après.
2. Identité des substances
La présente évaluation préalable porte sur quatre complexes métalliques azoïques et deux autres substances azoïques qui constituent des sous-groupes faisant partie du groupe des substances azoïques aromatiques et à base de benzidine. L'identité de chaque substance de cette évaluation préalable est présentée dans les tableaux 2-1 et 2-2. Le no CAS et le nom figurant dans la Liste intérieure des substances (LIS) de ces substances sont présentés dans les tableaux 2-1 et 2-2, de même que leur composition chimique ou, pour les substances dont la composition est mixte, jusqu'à deux des structures les plus représentatives (a et b). On peut obtenir une liste d'autres noms de produits chimiques (p. ex. les noms commerciaux) du National Chemical Inventories (NCI, 2012).
| NE CAS | Nom dans la Liste intérieure des substances | Structure chimique |
|---|---|---|
| 63224-47-5 | Tétrachlorozincate de 4-(2,6-dichloro-4-nitrophénylazo)-2,5-diméthoxybenzènediazonium (1:2) | ![]() |
| 72391-06-1Note de bas de page Tableau 1a[a] | Chlorure de 3',6'-bis(diéthylamino)-3- oxospiro[isobenzofurane-1(3H),9'(8'aH)-xanthylium ], composé (1:1) avec le [3-hydroxy-4-(3-méthyl-5- oxo-1-phényl-4,5-dihydro-1H-pyrazol-4-ylazo)naphtalène -1-sulfonato (3-)]chrome |
a. b. |
| 85029-57-8Note de bas de page Tableau 1a[b] | Bis[4-(2-hydroxy-4-nitrophénylazo)-5-méthyl-2-phényl-2,4-dihydro-3H-pyrazol-3-onato (2-)]chromates(1-) de C10-14-alkylammonium (ramifié et linéaire) |
a. b. |
| 94276-35-4 | (3-{[1-(Carboniloyl)-2-oxopropyl]azo}-2-hydroxy-5-nitrobenzènesulfonato (3-))hydroxychromate(1-) de 9-[2-(éthoxycarbonyl)phényl]-3,6-bis(éthylamino)-2,7-diméthylxanthylium |
a. b. |
Trois des quatre complexes métalliques azoïques contiennent du chrome trivalent. Le chrome trivalent a été évalué par le gouvernement du Canada dans le cadre de l'évaluation du chrome et de ses composés pour la Liste des substances d'intérêt prioritaire (Canada, 1994).
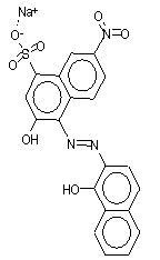
Comme le NE CAS 85029-57-8 fait partie des UVCB (substances de composition inconnue ou variable, produits de réaction complexes ou matières biologiques), il ne peut être représenté par une seule structure chimique. La structure de cette substance présentée dans le tableau 2-1 est considérée comme la plus représentative parmi les diverses structures possibles qui ne sont pas présentées. L'identité chimique mal définie de cette substance est due, en partie, à l'utilisation de divers additifs et de différentes méthodes de fabrication pendant la synthèse de la matière, ce qui rend la caractérisation des propriétés physicochimiques difficile. Le NE CAS 85029-57-8 est un complexe métallique symétrique 1:2 de colorant, où le métal est le chrome et les ligands sont tridendates, ayant une structure non planaire lorsque le ligand et le métal sont liés (Hunger, 2003). On considère que l'alkylamine C10-14 ramifiée et linéaire est présente en tant que contre-ion. Lorsqu'il est considéré comme un complexe métallique de colorant, le NE CAS 85029-57-8 a une masse moléculaire élevée et porte une charge ionique. La dissociation du complexe métallique de colorant dans des conditions environnementales ne se produirait que dans des conditions très acides (Zollinger, 2003).
La structure du NE CAS 63224-47-5 correspond à celle d'un « sel de diazonium stabilisé » sous la forme d'un sel double de chlorure de zinc (Zollinger, 2003). Ce composé est un précurseur adapté pour la formation de colorants disazoïques par couplage avec le naphtalén-2-ol et ses dérivés. La structure du NE CAS 6708-61-8 correspond à celle d'un « sel de diazonium masqué », également connu sous le nom d'« amine diazoïque » ou de « triazine » (Zollinger, 2003). Ce composé est un précurseur approprié pour la diazotation avec des arylamines, par exemple, pour donner des colorants monoazoïques.
| NE CAS | Nom dans la Liste intérieure des substances | Structure chimique |
|---|---|---|
| 6708-61-8 | 1-(4-Nitro-1-naphtyl)-3-[p-(phénylazo)phényl]-1-triazène | ![]() |
| 83221-38-9 | 4-[[4-[[4-(2-Hydroxybutoxy)-m-tolyl]azo]phényl]amino]-3-nitro-N-(phénylsulfonyl)benzènesulfonamidate de lithium | ![]() |
2.1 Sélection des analogues et utilisation de modèles de relations quantitatives structure-activité [R(Q)SA]
Des lignes directrices relatives à l'utilisation des méthodes de déduction de données à partir d'analogues ont été élaborées par divers organismes comme l'Organisation de coopération et de développement économiques (OCDE, 2014). Elles ont été appliquées dans le cadre de divers programmes de réglementation, y compris le Programme des substances existantes de l'Union européenne (UE). Le rapport d'Environnement Canada et de Santé Canada (2013) fournit la méthode de sélection des analogues, ainsi que l'utilisation des modèles sur les relations (quantitatives) structure-activité [R(Q)SA]. En ce qui concerne la caractérisation des effets sur la santé humaine, nous documentons le motif de l'utilisation d'analogues ou des données de modélisation R(Q)SA dans la section de l'Évaluation des effets sur la santé du présent rapport.
Les analogues utilisés pour éclairer l'évaluation écologique ont été choisis en fonction de la similarité structurale et de la disponibilité des données empiriques utiles concernant les propriétés physicochimiques, la persistance, la bioaccumulation et l'écotoxicité. Ces données ont été utilisées au besoin comme données déduites à partir d'analogues pour les complexes métalliques azoïques et d'autres substances en raison du manque de données empiriques, ou comme soutien au poids de la preuve concernant les données empiriques existantes. Bien que les données déduites à partir d'analogues soient utilisées de préférence afin de combler les lacunes dans les données pour les substances dans cette évaluation, l'applicabilité des modèles R(Q)SA aux colorants est déterminée au cas par cas.
Les données soumises au système de déclaration des substances nouvelles (réglementé en vertu de la LCPE [1999]) ont également été examinées pour la déduction de données. Ces analogues sont appelés « substances A, B et C » tout au long du présent rapport, en raison de la confidentialité des renseignements.
Une liste des analogues sélectionnés et utilisés dans la présente évaluation préalable figure dans le tableau 2-3, ainsi qu'une indication des données possibles déduites à partir des analogues pour les différents paramètres (se reporter aux tableaux A1-1 et A1-2 dans l'annexe A pour obtenir davantage de détails).
| NE CAS | Nom figurant dans le C.I. ou nom commun | Nom chimique | Données déduites à partir d'analogues du NE CAS (structure a ou b, tel qu'il est indiqué) | Données expérimentales à prendre en compte dans le rapport |
|---|---|---|---|---|
| 1787-61-7 | Mordant Black 11 | Sel monosodique de l'acide 3-hydroxy-4-[(1-hydroxy-2-naphtalényl)azo]-7-nitro-1-naphtalènesulfonique | 85029-57-8 a, 94276-35-4 a et 72391-06-1 a | Écotoxicité |
| 5610-64-0 | Acid Black 52 | Chrome, complexe de l'acide 3-hydroxy-4-[(2-hydroxy-1-naphtalényl)azo]-7-nitro-1-naphtalènesulfonique | 85029-57-8 a, 94276-35-4 a et 72391-06-1 a | Écotoxicité |
| n.d. | Substance A | n.d. | 85029-57-8 a, 94276-35-4 a et 72391-06-1 a | Point de fusion (PF), Koe, écotoxicité |
| n.d. | Substance B | n.d. | 85029-57-8 a, 94276-35-4 a et 72391-06-1 a | Point de fusion (PF), Koe, écotoxicité |
| n.d. | Substance C | n.d. | 85029-57-8 a, 94276-35-4 a et 72391-06-1 a | Point de fusion (PF), Koe, écotoxicité |
| 6300-37-4 | Disperse Yellow 7 | 4-[[p-(Phénylazo)phényl]azo]-o-crésol | 6708-61-8 et 63224-47-5 | Écotoxicité |
3. Propriétés physicochimiques
Des données d'expérimentation et de modélisation sont disponibles concernant les propriétés physicochimiques des complexes métalliques azoïques et d'autres substances azoïques, ainsi que de leurs analogues qui ont un rapport avec leur devenir dans l'environnement et leur écotoxicité. L'accent est principalement mis sur le no CAS 85029-57-8, comme le montre le tableau 3-1, bien que des renseignements disponibles sur les autres substances soient fournis dans les tableaux A2-2 à A2-6 de l'annexe A. Le composé pertinent de la substance (a ou b) est indiqué dans les tableaux respectifs. En effet, nous avons choisi les valeurs déterminantes, y compris les points de données uniques moyens (p. ex., le point de fusion et le point de décomposition) ou une gamme de valeurs, pour représenter les propriétés de chaque substance.
3.1 Point de fusion et de décomposition
Les résultats indiquent que quatre des six substances, le NE CAS 85029-57-8 (composant a), le NE CAS 94276-35-4 (composant b), le NE CAS 72391-06-1 (composant a) et le NE CAS 6708-61-8 ont des points de fusion variant de 126 à inférieur(e) à 300 °C.
Le composant b de la substance portant le NE CAS 85029-57-8 est variable et, par conséquent, son point de fusion dépend de la forme qu'il prend. Des résultats modélisés montrent que les points de fusion pour cette substance sont inférieurs à 134 °C et qu'ils augmentent avec le nombre de carbones et d'amines dans la structure.
3.2 Solubilité dans l'eau
D'après les données analogues, l'hydrosolubilité du NE CAS 85029-57-8 (composant a) varie de 0,002 à 0,5 mg/L. La solubilité réelle du NE CAS 85029-57-8 devrait être légèrement inférieure à celle de ses analogues en raison de l'absence de groupes sulfonés dans le NE CAS 85029-57-8. La seule donnée spécifique (non analogue) disponible sur l'hydrosolubilité d'une substance mentionnée dans la présente évaluation était une description qualitative faisant remarquer que le NE CAS 85029-57-8 est insoluble (BASF Canada, 2003).
La solubilité des complexes métalliques peut différer grandement en raison de différences de structure. Par exemple, le NE CAS 94276-35-4 est un colorant de complexe chromique 1:1 et est beaucoup plus hydrosoluble que le NE CAS 85029-57-8 qui est un colorant de complexe chromique 1:2. Les colorants de complexe chromique qui apparaissent dans un ratio de 1:1 ne sont stables qu'à un pH inférieur(e) à 4 et ont tendance à être plus hydrosolubles lorsqu'ils comportent des groupes acides sulfoniques (Hunger, 2003). Les colorants de complexe chromique qui apparaissent dans un ratio de 1:2, toutefois, sont plus stables et moins solubles à un pH élevé (Hunger, 2003).
3.3 Coefficient de partage octanol-eau (Koe)
Le NE CAS 85029-57-8 a une valeur du log Koe très faible. Les valeurs du log Koe pour les analogues de la substance varient de -2,8 à -1,4. Aucune donnée expérimentale sur le log Koe n'est disponible pour les autres substances. En outre, aucun analogue approprié pour lequel des données sur le log Koe existent n'a été relevé.
3.4 Diamètre transversal
Le diamètre transversal efficace des molécules des complexes métalliques azoïques varie d'environ 0,84 à 1,13 nm. Les diamètres transversaux efficaces moyens des molécules des autres substances azoïques sont supérieurs à 1 nm, tandis que les diamètres maximaux moyens varient beaucoup. Étant donné que ce paramètre est important pour déterminer la perméabilité des substances par les membranes biologiques, une discussion détaillée sur les diamètres transversaux de ces substances est présentée dans la section relative au potentiel de bioaccumulation.
3.5 Constante de dissociation acide (pKa)
Aucune donnée expérimentale sur le pKa n'était disponible pour ces substances. En outre, aucun analogue approprié pour lequel des données sur le Ka existent n'a été relevé.
3.6 Pression de vapeur et constante de la loi d'Henry
Bien que nous disposions de données expérimentales limitées, tous les complexes métalliques azoïques, tels que le NE CAS 85029-57-8, devraient avoir une très faible pression de vapeur et une valeur de constante de la loi de Henry très petite (Øllgaard et al., 1998).
| Propriété | Type de données (toutes menées à 25 °C) |
Valeurs ou variation (pour plus de trois points de données) | Valeur(s) déterminante(s) pour cette évaluation (base de la sélection) |
|---|---|---|---|
| Point de fusion et point de décomposition (°C) | Expérimental | inférieur(e) à 300 | inférieur(e) à 300 (seule valeur estimée) |
| Point de fusion et point de décomposition (°C) | Modélisé | 134 (corrélation entre l'augmentation du point de fusion et le nombre de carbones et d'amines dans la structure) | 134 |
| Solubilité dans l'eau (mg/L) | Expérimental | 0,002 à 0,5 | 0,251 (valeur moyenne) |
| Solubilité dans l'eau (mg/L) | Modélisé | 1,946 | 1,946 (valeur moyenne) |
| Log Koe (sans dimension) | Expérimental | -2,8 à -1,4 | -2,1 (valeur moyenne) |
| Dmin (nm) | Modélisé | 0,84 | 0,84 (seule valeur estimée) |
| Dmax (nm) | Modélisé | 1,09 | 1,09 (seule valeur estimée) |
| pKa (sans dimension) | Expérimental | n.d. | n.d. |
4. Sources et utilisations
4.1Sources
Tous les complexes métalliques azoïques et toutes les autres substances azoïques sont d'origine anthropique et ne sont pas censés être présents de façon naturelle dans l'environnement.
D'après les renseignements présentés dans le cadre des enquêtes menées récemment (2005-2011) et publiées en vertu de l'article 71 de la LCPE (1999), seul le NE CAS 85029-57-8 a été déterminé comme une substance importée à des fins commerciales et utilisée au Canada, dans le secteur des peintures et des revêtements. Moins de quatre entreprises ont signalé un total combiné des importations de 100 à 1 000 kg/an pour cette substance. Les cinq autres substances dans la présente évaluation préalable ne sont pas reconnues comme étant commercialisées au Canada audessus des seuils de déclaration de l'enquête réalisée en vertu de l'article 71 (Environnement Canada, 2012).
Les NE CAS 85029-57-8 et 63224-47-5 sont déterminés comme des substances à faible volume de production dans d'autres pays, conformément à la base de données des pays nordiques sur les substances dans les préparations (SPIN), en vertu de la Loi américaine réglementant les substances toxiques (TSCA) et conformément à la base de données du European Chemical Substances Information System (ESIS). Les quatre autres substances étaient inférieures à la quantité seuil des substances produites en faible quantité (moins d'une tonne métrique par an).
Utilisations
Le NE CAS 85029-57-8 est commercialisé au Canada et est utilisé dans les revêtements pour bois, d'après les récentes enquêtes menées en vertu de l'article 71 (Environnement Canada, 2012). Il a aussi été déterminé comme une substance utilisée au Canada dans les revêtements automobiles (PPG Industries Inc., 2012) et dans les encres d'imprimerie (BASF Canada, 2012). Aucune utilisation n'a été mentionnée pour les cinq substances restantes.
Le NE CAS 85029-57-8 est présent dans plusieurs revêtements pour bois aux États-Unis (Sherwin-Williams, 2013), en Allemagne (Akzo Nobel Deco GmbH, 2010) et en Finlande (Tikkurila Oyj, 2010). On le retrouve aussi dans certaines peintures en Allemagne (MIPA AG, 2012) et dans les peintures pour automobiles aux États-Unis (PPG Industries Inc., 2012). Il est utilisé dans certaines encres d'imprimerie aux États-Unis (BASF, 2012), ainsi que pour les stylos correcteurs en République tchèque (AGFA, 2007).
Au Canada, les colorants alimentaires sont réglementés en tant qu'additifs alimentaires en vertu du Règlement sur les aliments et drogues. Les couleurs qui sont autorisées pour une utilisation dans les aliments sont énumérées dans la Liste des colorants autorisés, incorporée par renvoi dans l'Autorisation de mise en marché d'additifs alimentaires comme colorants, publiée en vertu de la Loi sur les aliments et drogues. Aucune des six substances de cette évaluation préalable ne figure sur la liste des agents colorants autorisés, à titre de colorants alimentaires autorisés, ou déterminés pour une utilisation dans les emballages alimentaires (courriels de juillet et de septembre 2011 de la Direction des aliments de Santé Canada adressés au Bureau de gestion du risque de Santé Canada; source non citée).
Les colorants autorisés dans la fabrication de médicaments au Canada sont régis en vertu du titre 1 de la partie C du Règlement sur les aliments et drogues (Canada, 1978). Aucune des substances de ce sous-groupe n'est répertoriée à titre de colorant autorisé dans la fabrication de médicaments ou n'est présente dans les produits pharmaceutiques, les médicaments vétérinaires ou les produits biologiques au Canada (courriel d'août 2011 de la Direction des produits thérapeutiques de Santé Canada adressé au Bureau de la gestion des risques de Santé Canada; source non citée; courriel de juin 2011 de la Direction des médicaments vétérinaires de Santé Canada adressé au Bureau de gestion du risque de Santé Canada; source non citée; courriel de juin 2011 de la Direction des produits biologiques et thérapies génétiques de Santé Canada adressé au Bureau de gestion du risque de Santé Canada; source non citée).
Aucune des substances dans la présente évaluation ne figure dans la base de données sur les ingrédients des produits de santé naturels (BDIPSN) en tant qu'ingrédient dans les produits de santé naturels ou dans la base de données des produits de santé naturels homologués (BDPSNH) en tant que produits présents dans les produits de santé naturels actuellement homologués (BDIPSN, 2011; BDPSNH, 2011).
En se fondant sur les informations soumises en vertu du Règlement sur les cosmétiques de Santé Canada, aucune des substances dans cette évaluation préalable ne sont utilisées dans certains produits cosmetiques au Canada (courriels de 2011 et de 2013 de la Direction de la sécurité des produits de consommation de Santé Canada adressé au Bureau de l'évaluation des risques des substances existantes de Santé Canada, source non citée). Ces substances ne figurent sur la Liste critique des ingrédients dont l'utilisation est restreinte ou interdite dans les cosmétiques (communément appelée « Liste critique des ingrédients des cosmétiques » ou simplement « liste critique »), un outil administratif que Santé Canada utilise pour faire savoir aux fabricants et à d'autres intervenants que certaines substances, si elles sont présentes dans un cosmétique, peuvent contrevenir à l'interdiction générale prévue à l'article 16 de la Loi sur les aliments et drogues ou à une disposition du Règlement sur les cosmétiques (Santé Canada, 2011).
Aucune de ces six substances n'a été répertoriée comme étant présente dans les pesticides homologués au Canada (courriel de juin 2011 de l'Agence de réglementation de la lutte antiparasitaire de Santé Canada adressé au Bureau de gestion du risque de Santé Canada; source non citée). En outre, aucune utilisation de complexes métalliques azoïques ou d'autres substances azoïques dans des applications militaires n'a été recensée au Canada (courriel de juillet 2011 du ministère de la Défense nationale adressé au Bureau de gestion du risque de Santé Canada; source non citée).
D'après les quantités utilisées de ces substances dans d'autres pays (SPIN, TSCA et ESIS), les NE CAS 85029-57-8 et 63224-47-5 étaient des substances produites en faible quantité. Les quatre autres substances étaient inférieures aux quantités seuils des substances produites en faible quantité.
5. Devenir et comportement dans l'environnement
Le devenir dans l'environnement des substances chimiques décrit le processus par lequel les produits chimiques se déplacent et sont transformés dans l'environnement. Comme on l'explique dans le rapport d'Environnement Canada et de Santé Canada (2013), le modèle « Equilibrium Criterion » ou EQC (EQC, 2011) ne s'applique pas aux nombreuses substances azoïques aromatiques et à base de benzidine, puisqu'elles ne s'inscrivent pas dans le domaine du modèle. Dans la présente section, certaines caractéristiques générales des complexes métalliques azoïques et d'autres substances azoïques sont décrites afin de comprendre leur devenir dans l'environnement, leur répartition, leur persistance et leur bioaccumulation dans les organismes.
5.1 Rejets dans l'eau et les sédiments
Lorsqu'ils sont rejetés dans l'eau, les complexes métalliques azoïques et d'autres substances azoïques ne devraient pas s'hydrolyser. Ils ne sont pas non plus susceptibles de s'évaporer à partir de la surface en raison de leurs faibles pressions de vapeur et des constantes de la loi d'Henry. Ces substances devraient rester dans la colonne d'eau pendant un certain temps, avant de se répartir par interactions électrostatiques et sorption dans les matières en suspension et, finalement, les sédiments, où ils pourraient se lier de façon réversible et se remettre en suspension au fil du temps ou se lier de façon irréversible et rester enfouis. Si elles sont rejetées dans les eaux usées, ces substances devraient être adsorbées pendant le processus de traitement des eaux d'égouts (ETAD, 1995).
On pense que d'autres facteurs, tels que l'augmentation de la taille moléculaire, la dureté de l'eau et la salinité, ainsi que la baisse du pH, favorisent la sorption des colorants azoïques aux matières en suspension (HSDB, 1983; Øllgaard et al., 1998). En général, il a été établi que, en raison de la nature récalcitrante des colorants azoïques dans les milieux aérobies, ceux-ci finissent par se retrouver dans des sédiments anaérobies, dans des aquifères peu profonds et dans l'eau souterraine (Razo-Flores et al., 1997).
5.2 Rejets dans le sol
Les complexes métalliques azoïques et les autres substances azoïques peuvent être rejetés indirectement dans le sol par l'épandage de biosolides sur les terres agricoles ou leur dépôt dans des sites d'enfouissement. Ces types de substance ont tendance a être fortement adsorbés dans les boues et ne sont pas facilement rejetés pour devenir biologiquement disponibles (autre que l'ingestion directe des biosolides par les organismes) (ETAD, 1995).
5.3 Rejets dans l'atmosphère
Les complexes métalliques azoïques et d'autres substances azoïques ne devraient pas être rejetés dans l'air ou se répartir dans ce milieu en raison de leurs pressions de vapeur très faibles et des constantes de la loi d'Henry (Øllgaard et al., 1998).
Compte tenu de leurs faibles niveaux de volatilité et de la préférence physique et chimique pour la répartition dans d'autres milieux, ces substances ne devraient pas faire l'objet d'un transport atmosphérique à grande distance.
5.4 Persistance dans l'environnement
Afin de caractériser la persistance dans l'environnement des complexes métalliques azoïques et d'autres substances azoïques, nous avons retenu les données empiriques et modélisées pour ces substances dans des conditions aérobies et anaérobies.
Aucune donnée empirique de biodégradation liée à la persistance des complexes métalliques azoïques et d'autres substances azoïques n'a été trouvée. Les substances dont les données déduites à partir d'analogues sont disponibles concernant la persistance n'ont pas été considérées comme ayant une similarité structurelle suffisante pour être utilisées aux fins de comparaison.
On a utilisé une méthode du poids de la preuve basée sur le R(Q)SA (Environnement Canada, 2007) avec des modèles de biodégradation. Ces modèles se fondent en effet sur la structure chimique des molécules, et comme la structure azoïque est représentée dans les ensembles de données d'entraînement de tous les modèles BIOWIN utilisés, la fiabilité des prévisions s'en trouve accrue.
Tous les résultats du modèle pour les complexes métalliques azoïques et d'autres substances azoïques (sous-modèles BIOWIN 3 à 6 et CATALOGIC) prédisent de façon constante que ces substances se biodégradent lentement dans l'eau, le sol et les sédiments, dans des conditions aérobies (annexe A, tableau A-3). Ces résultats concordent avec les renseignements inclus dans le rapport d'Environnement Canada et de Santé Canada (2013), qui donne un aperçu général de la persistance des colorants azoïques dans les milieux aérobies.
Tous les résultats des modèles provenant d'AOPWIN (2010) indiquent que les complexes métalliques azoïques et d'autres substances azoïques ne devraient pas persister dans l'air. La demi-vie de ces substances variait de 0,01 à 0,73 jour.
Les données modélisées sur la persistance pour ces substances dans des milieux aérobies montrent peu voire aucune biodégradation pendant la période de ces études. Cela s'explique par le fait que ces colorants doivent être chimiquement stables afin d'être efficaces au moment de leurs applications (Øllgaard et al., 1998). Les complexes métalliques et les autres substances azoïques devraient se biodégrader lentement dans des conditions aérobies.
Dans des conditions anaérobies, les substances azoïques devraient subir une biodégradation par les agents microbiens donnant lieu au clivage de la liaison azoïque et à la formation d'amines aromatiques (Brown et Hamburger, 1987; Øllgaard et al., 1998). Dans une étude réalisée par Brown et Hamburger (1987), la biodégradation des colorants azoïques dans des conditions anaérobies a été examinée. La dégradation de la substance Mordant Black 11 a atteint 99 % en sept jours, dans un milieu anaérobie. Cependant, il s'est avéré que la présence d'un complexe métallique dans des substances azoïques permettait de cette manière de réduire la liaison azoïque (Deb et al., 2011).
La majorité des complexes métalliques azoïques et d'autres substances azoïques ne contiennent pas de groupes fonctionnels pouvant subir une hydrolyse. Cette interprétation est cohérente avec les études publiées qui soulignent que l'hydrolyse est un facteur négligeable dans le clivage de composés azoïques (Baughman et Perenich, 1988). Toutefois, une substance (NE CAS 94276-35-4) contenait un groupe fonctionnel amide qui a été signalé par EPISuite (2012) comme ayant le potentiel de subir un certain degré d'hydrolyse.
En raison de la persistance des complexes métalliques azoïques et des autres substances azoïques dans les milieux aérobies en association avec leur hydrosolubilité modérée, ces substances devraient avoir un temps de résidence relativement long dans l'eau. Puisque ces substances devraient rester dans l'eau pendant de longues périodes, elles peuvent se disperser largement à partir de sources ponctuelles de rejet. À la longue, en raison de leurs interactions électrostatiques avec des matières particulaires négativement chargées, ces substances se déposeront dans des sédiments, où elles persisteront dans des conditions aérobies et demeureront une source d'exposition pour les organismes jusqu'à ce qu'elles soient enfouies par sédimentation. Les couches profondes de sédiments sont susceptibles de présenter des conditions anaérobies, ce qui transformera (réduira) les colorants par l'entremise de l'hydrolyse azoïque. L'exposition du benthos dans des conditions anaérobies ne devrait pas être importante. Compte tenu des courts temps de séjour dans l'air, ces substances devraient présenter un faible potentiel de transport atmosphérique à grande distance.
5.5 Potentiel de bioaccumulation
Dans la présente évaluation, divers éléments de preuve ont été étudiés pour déterminer le potentiel de bioaccumulation des complexes métalliques azoïques et d'autres substances azoïques. En raison du manque général d'information sur le potentiel de bioaccumulation de ces substances, la présente section mettra l'accent sur le NE CAS 85029-57-8. Nous n'avons pas retenu l'utilisation des modèles R(Q)SA relatifs à la modélisation de la bioaccumulation, étant donné que ces substances se trouvaient à l'extérieur du domaine d'applicabilité des modèles.
Comme l'indique le tableau 3-1, le no CAS 85029-57-8 a une hydrosolubilité relativement faible (0,002 à 0,5 mg/L). Les données expérimentales du log Koe étaient limitées à des données déduites à partir d'analogues en ce qui concerne le NE CAS 85029-57-8, les valeurs variant de -2,8 à -1,4. Les renseignements ci-dessus laissent entendre que le NE CAS 85029-57-8 pourrait avoir un faible potentiel de bioaccumulation si l'on se fie à la théorie du partage à l'équilibre.
Aucune valeur du facteur de bioconcentration (FBC) n'a été trouvée pour le NE CAS 85029-57-8. En outre, aucun analogue approprié pour lequel des données sur le FBC existent n'a été relevé aux fins de comparaison.
En ce qui concerne la bioaccumulation, il est également utile de tenir compte de la taille moléculaire et du diamètre transversal, qui sont couramment utilisés par des autorités internationales dans la méthode du poids de la preuve pour tirer des conclusions sur le potentiel de bioaccumulation. Par exemple, l'étude ECHA (2012) a montré que certains indicateurs supplémentaires pour le faible potentiel de bioaccumulation pourraient être applicables aux substances ayant une faible solubilité dans le n-octanol et l'eau. En particulier, un diamètre transversal maximal (Dmax) moyen supérieur à 1,7 nm peut être considéré comme l'un des indicateurs supplémentaires.
Des études faisant le lien entre les données de FBC chez les poissons et les paramètres de taille moléculaire (Dimitrov et al., 2002, 2005) laissent entendre que la probabilité qu'une molécule traverse la membrane cellulaire par diffusion passive diminue de façon importante à mesure qu'augmente le diamètre maximal (Dmax). La probabilité pour que cette diffusion passive se produise diminue de façon notable lorsque le Dmax est supérieur à environ 1,5 nm et de façon encore plus importante dans le cas des molécules ayant un Dmax supérieur à 1,7 nm. Sakuratani et al. (2008) ont également étudié l'effet du diamètre transversal sur la diffusion passive dans un ensemble d'essais sur le FBC d'environ 1 200 substances chimiques nouvelles et existantes. Ils ont observé que les substances qui ne présentent pas un potentiel de bioconcentration très élevé (c.-à-d. FBC inférieur(e) à 5 000) ont souvent un Dmax supérieur à 2,0 nm et un diamètre effectif (Deff) supérieur à 1,1 nm. Anliker et al. (1981) ont proposé qu'un deuxième plus grand diamètre transversal supérieur à 1,05 nm avec une masse moléculaire supérieure à 450 g/mol pourrait indiquer une absence de bioconcentration pour les colorants organiques. Par conséquent, les valeurs du Deff supérieures à 1,05-1,1 nm et les valeurs du Dmax supérieures à 1,5-1,7 nm peuvent servir d'indicateurs de réduction du taux d'absorption à partir de l'eau. Une réduction du taux d'absorption permet à d'autres processus d'élimination interne comme le métabolisme et l'expulsion de la matière fécale, de réduire la charge globale de produits chimiques dans les tissus des organismes, réduisant ainsi la bioaccumulation dans tout l'organisme.
En raison du manque de données empiriques disponibles sur la bioaccumulation pour le NE CAS 85029-57-8, les données disponibles sur l'hydrosolubilité, la masse moléculaire et le diamètre transversal ont également été considérées pour déterminer le potentiel de bioaccumulation de cette substance.
Le NE CAS 85029-57-8 présente des diamètres transversaux efficaces variant de 0,84 nm (Dmin) à 1,09 nm (Dmax) (tableau 3-1). La masse moléculaire de cette substance n'est pas connue, car elle fait partie des UVCB. En revanche, la masse moléculaire de cette substance est relativement élevée (> 400 g/mol), ce qui pourrait ralentir l'absorption de la substance dans les organismes biologiques. Les petits diamètres transversaux de cette substance ne contribueraient probablement pas à limiter son taux d'absorption au moment de traverser la membrane cellulaire.
Toutefois, il faut noter que selon la méthode d'Arnot et al. (2010), il existe certaines incertitudes quant aux seuils proposés par Dimitrov et al. (2002, 2005) et Sakuratani et al. (2008), étant donné que les études sur la bioaccumulation utilisées pour calculer ces seuils n'ont pas toujours fait l'objet d'évaluations critiques. Comme l'ont souligné Arnot et al. (2010), la taille moléculaire a un effet sur la solubilité et la capacité de diffusion dans les phases aqueuse et organique (membranes), et les plus grosses molécules peuvent présenter un taux d'absorption plus lent. Toutefois, ces mêmes contraintes liées aux cinétiques s'appliquent aux voies de diffusion de l'élimination chimique (c.-à-d. absorption lente = élimination lente). Un potentiel de bioaccumulation important peut donc s'appliquer aux substances qui sont soumises à un processus d'absorption lent, si elles sont biotransformées ou éliminées lentement par d'autres processus. Cependant, si le taux d'absorption par les branchies est suffisamment atténué par l'encombrement stérique à un point tel que le taux d'élimination dépasse le taux d'absorption, la bioconcentration sera réduite.
Le NE CAS 85029-57-8, d'après des données limitées, devrait avoir un faible potentiel de bioaccumulation en raison de sa valeur du log Koe faible et de sa masse moléculaire relativement élevée.
6. Évaluation des cinq substances non commercialisées au Canada fondée sur les principes de l'examen préalable rapide
Il ressort d'une enquête menée en vertu de l'article 71 de la LCPE (1999) (Canada, 2011) qu'aucun de ces cinq complexes métalliques azoïques et autres substances (NE CAS 6708-61-8, 63224-47-5, 72391-06-1, 83221-38-9 et 94276-35-4) n'est fabriqué, importé ou utilisé au Canada. Ces substances ne devraient pas être présentes naturellement dans l'environnement. Une approche d'évaluation préalable rapide a donc été appliquée pour évaluer ces cinq substances. Cette approche modifiée est conforme à la méthode d'examen préalable rapide appliquée précédemment par Santé Canada et Environnement Canada pour confirmer le risque faible pour l'environnement ou la santé humaine (Environnement Canada, Santé Canada 2013b, 2014). Les considérations et renseignements importants qui sous-tendent la présente évaluation sont résumés dans cette section.
6.1 Potentiel d'effets nocifs sur l'environnement
Le volet écologique de la méthode d'examen préalable rapide comporte de multiples étapes abordant différents facteurs liés au potentiel d'effets nocifs d'une substance sur l'environnement. La première étape de la méthode écologique consiste à appliquer différents scénarios génériques ou des modèles du devenir pour estimer l'exposition environnementale. Deux scénarios génériques d'exposition en milieu aquatique, industriel et résidentiel, ont été appliqués afin de relever les préoccupations potentielles près du point de rejet d'une substance dans l'environnement. Une analyse du quotient de risque, qui consiste à comparer les estimations prudentes d'exposition (p. ex. protection de l'environnement) d'exposition dans les eaux réceptrices (concentration environnementale estimée [CEE]) au seuil d'effets (concentration estimée sans effet [CESE]) afin de déterminer si l'on doit s'attendre à ce que la substance présente un danger pour le milieu aquatique local a été effectuée par la suite. Les seuils des effets étaient une combinaison des données écotoxicologiques concernant les analogues et des données de catégorisation. Les résultats de l'analyse du quotient de risque (QR) [CEE divisée par la CESE] sont présentés dans le tableau 6-1. Les quotients de risque supérieurs à 1 indiquent une préoccupation sur le plan écologique. En revanche, les quotients de risque étaient nettement inférieurs à 1 pour les cinq substances lorsque le scénario de rejets industriels (scénario A) et le scénario de rejets résidentiels (scénario B) étaient utilisés.
| NE CAS | VCT (mg/L) | QR (scénario de rejets industriels) |
QR (scénario de rejets résidentiels) |
|---|---|---|---|
| 6708-61-8 | 0,025Note de bas de page Tableau 4[a] | 0,25 | 0,11 |
| 63224-47-5 | 0,025[a] | 0,25 | 0,11 |
| 72391-06-1 | 0,4[a] | 0,02 | 0,01 |
| 83221-38-9 | 0,65Note de bas de page Tableau 4[b] | 0,01 | inférieur(e) à 0,00 |
| 94276-35-4 | 0,4[a] | 0,02 | 0,01 |
Une évaluation propre aux substances a ensuite été menée pour déterminer si l'une des substances avait un profil de risque écologique élevé ou un potentiel élevé de rejet dans l'environnement qui pourrait ne pas avoir été traité adéquatement à l'aide de scénarios d'exposition génériques. Aucune information provenant d'initiatives nationales ou internationales n'a été trouvée afin d'indiquer que ces substances pouvaient être plus préoccupantes en raison de leurs propriétés écologiques dangereuses ou du potentiel élevé de rejets dans l'environnement.
6.2 Potentiel d'effets nocifs sur la santé humaine
Aucune de ces cinq substances n'a été classée comme une substance soupçonnée de présenter des effets préoccupants sur la santé humaine, notamment la cancérogénicité, par des organismes nationaux ou internationaux. Aucune étude des effets sur la santé n'a été recensée pour ces substances, sauf pour le « Fast Dark Blue Salt » qui correspond au composé diazoïque désigné par le NE CAS 63224-47-5 (Kundu, 1977).
Aucune donnée empirique sur les concentrations des cinq substances dans les milieux naturels au Canada ou ailleurs n'a été recensée. En raison de la volatilité et de l'hydrosolubilité relativement faibles des complexes métalliques azoïques en général, ce type de substance devrait être absorbé dans le sol et les sédiments lorsqu'il est rejeté dans l'environnement au lieu de se disperser dans l'eau.En outre, en raison de la très faible pression de vapeur de ces substances, l'inhalation de la fraction volatile dans l'air ne devrait pas être une voie d'exposition importante. Cependant, aucun renseignement n'a été présenté dans les enquêtes récentes (2005 à 2011) publiées en vertu de l'article 71 de la LCPE (1999) pour indiquer l'activité de ces substances au Canada dont les quantités sont supérieures au seuil de déclaration de 100 kg/an (Environnement Canada, 2012). Par conséquent, la population générale du Canada ne devrait pas être exposée, dans l'ensemble, à l'une des cinq substances dans les milieux naturels. En outre, l'exposition directe à l'une des cinq substances n'est pas prévue, étant donné qu'aucune utilisation de ces substances au Canada n'a été relevée. Par conséquent, il ne devrait pas y avoir de risque pour la santé humaine.
6.3 Caractérisation des risques
D'après les renseignements présentés ci-dessus, ces cinq substances, les NE CAS 6708-61-8, 63224-47-5, 72391-06-1, 83221-38-9 et 94276-35-4, ne présentent pas de risque pour les organismes, l'intégrité globale de l'environnement ou la population générale du Canada.
7. Évaluation préalable du NE CAS 85029-57-8
7.1 Potentiel d'effets nocifs sur l'environnement
7.1.1 Évaluation des effets écologiques
Les données empiriques concernant le NE CAS 85029-57-8 et ses analogues ont été prises en considération pour l'évaluation des effets écologiques du NE CAS 85029-57-8, compte tenu du niveau d'incertitude élevé lié à la modélisation de l'écotoxicité de cette substance, ainsi que des propriétés physicochimiques utilisées comme données d'entrée pour les modèles (p. ex. log Koe).
Milieu aquatique
La plupart des valeurs empiriques relatives à la toxicité aiguë en milieu aquatique concernant le NE CAS 85029-57-8 étaient inférieures à 10 mg/L (tableau 7-1). Les données confidentielles reçues par l'intermédiaire de déclarations de substances nouvelles pour des analogues similaires au NE CAS 85029-57-8 englobaient la gamme de données disponibles sur la toxicité. Parmi les études plus sensibles figurait une étude de 72 heures sur l'immobilisation de la concentration effective médiane (CE50) concernant Daphnia magna et une étude de 96 heures sur la concentration létale médiane (CL50) concernant la truite arc-en-ciel. Des essais de toxicité ont été menés concernant la substance C.
Les valeurs les plus faibles et les plus fiables étaient celles tirées des études menées par Little et Lamb (1973) ainsi que par Little et al. (1974) sur la tête-de-boule, Pimephales promelas. Ces essais biologiques ont été effectués conformément aux méthodes standard publiées et ont permis d'évaluer les concentrations létales de divers colorants pendant des périodes de 24, 48 et de 96 heures. Les études ont abouti à des valeurs de CL50 de 6 à 7 mg/L pour deux principaux analogues des substances contenant du chrome, le Mordant Black 11 et l'Acid Black 52.
Les fiches signalétiques concernant les colorants azoïques à base de chrome indiquent que ces substances sont très toxiques pour les organismes aquatiques. BASF, Canada (2012) a signalé une CE50 de 0,1 à 1 mg/L pour un essai biologique de 48 heures sur l'Orasol (anciennement Neozapon) Red 395, une substance composée du NE CAS 85029-57-8 et d'un autre composé similaire. Une valeur de CE50 de 0,21 mg/L a été signalée pour le même composé (BASF, Canada 2003). Cependant, étant donné que l'intégralité de l'étude pour l'un ou l'autre essai de toxicité n'était pas disponible, la fiabilité de ces données n'a pas pu être vérifiée.
On ignore si le chrome a un effet sur l'écotoxicité observée de ces substances. On a montré pour certaines substances que l'ajout et l'identité du métal n'avaient pas d'effet sur l'écotoxicité de la substance. Pour d'autres substances, en revanche, le complexe métallique favorise la toxicité de la substance (Freeman et al., 1999).
| NE CAS Nom dans le C.I. |
Organisme d'essai | Durée de l'essai (en h) | Paramètre | Valeur (mg/L) | Référence |
|---|---|---|---|---|---|
| 1787-61-7 Mordant Black 11 |
Tête-de-boule Pimephales promelas | 24 | CL50 | 10 | Little et al., 1974 |
| 1787-61-7 Mordant Black 11 |
Tête-de-boule Pimephales promelas | 48 | CL50 | 6Note de bas de page Tableau 5[a] | Little et al., 1974 |
| 1787-61-7 Mordant Black 11 |
Tête-de-boule Pimephales promelas | 96 | CL50 | 6[a] | Little et al., 1974 |
| 1787-61-7 Mordant Black 11 |
Tête-de-boule Pimephales promelas | 96 | CL50 | 6[a] | Little et Lamb, 1973 |
| 5610-64-0 Acid Black 52 |
Tête-de-boule Pimephales promelas | 24 | CL50 | 7 | Little et al., 1974 |
| 5610-64-0 Acid Black 52 |
Tête-de-boule Pimephales promelas | 48 | CL50 | 6,2 | Little et al., 1974 |
| 5610-64-0 Acid Black 52 |
Tête-de-boule Pimephales promelas | 96 | CL50 | 6,2 | Little et al., 1974 |
| 5610-64-0 Acid Black 52 |
Tête-de-boule Pimephales promelas | 96 | CL50 | 7 | Little et Lamb, 1973 |
| Substance A | Daphnia magna | 24 | CE50 (immobilisation) | 480,7 | Renseignements confidentiels |
| Substance A | Carpe commune (Cyprinus carpio) | 96 | CL50 | supérieur(e) à 1 200 | Renseignements confidentiels |
| Substance B | Daphnia magna | 48 | CE50 (immobilisation) | supérieur(e) à 100 | Renseignements confidentiels |
| Substance B | Truite arc-en-ciel Oncorhynchus mykiss | 48 | CL50 | 100 | Renseignements confidentiels |
| Substance C | Daphnia magna | 72 | CE50 (immobilisation) | 1,7 | Renseignements confidentiels |
| Substance C | Truite arc-en-ciel Oncorhynchus mykiss | 96 | CL50 | 0,4 | Renseignements confidentiels |
| Substance C | Tête-de-boule Pimephales promelas | 96 | CL50 | 37,0 | Renseignements confidentiels |
Calcul de la concentration estimée sans effet (CESE) pour le milieu aquatique
Les substances analogues A, B et C avaient la structure la plus proche de celle du NE CAS 85029-57-8 (les substances A et B ayant une structure plus similaire au NE CAS 85029-57-8 que la substance C). Cependant, pour cette évaluation, la CESE n'a pas été calculée à partir de la valeur de CL50 de 96 h la plus faible de 0,4 mg/L pour la truite arc-en-ciel, car l'étude contient des renseignements confidentiels reçus par l'intermédiaire d'une déclaration de substances nouvelles et, par conséquent, les lecteurs n'y ont pas facilement accès.
Au lieu de cela, les données écotoxicologiques concernant l'Acid Black 52 et le Mordant Black 11 ont été choisies comme données déduites à partir d'analogues pour le NE CAS 85029-57-8, étant donné que les deux substances partagent la même composition chimique avec le NE CAS 85029-57-8 et que des renseignements fiables sur leur écotoxicité sont disponibles. La CL50 de 96 h de 6 mg/L pour la tête-de-boule (Little et al., 1974) a été choisie comme la VCT, car elle représentait la valeur expérimentale valide la plus sensible disponible aux fins d'examen.
Une CESE a été calculée (0,06 mg/L) en divisant la VCT par un facteur d'évaluation de 100 (pour tenir compte de la variabilité interspécifique et intraspécifique de la sensibilité et afin d'obtenir une valeur estimée de la concentration sans effet à long terme à partir d'une CL50 à court terme).
Autres milieux naturels
Aucune étude empirique n'a été relevée concernant la toxicité du NE CAS 85029-57-8 pour les organismes vivant dans le sol ou les sédiments. Par conséquent, aucune CESE dans le sol et les sédiments n'a été calculée pour cette évaluation.
Résumé des effets sur l'environnement
D'après les éléments de preuve sur les données empiriques et déduites à partir d'analogues sur la toxicité en milieu aquatique, il est conclu que le NE CAS 85029-57-8 pourrait être dangereux pour les organismes aquatiques à de faibles concentrations.
7.1.2 Évaluation de l'exposition de l'environnement
Rejets dans l'environnement
Le NE CAS 85029-57-8 n'a pas été fabriqué au Canada pour l'année civile 2010 selon une enquête publiée en vertu de l'article 71 de la LCPE (1999) (Environnement Canada, 2012). La substance a été définie comme étant importée et elle entre dans la composition des peintures et des revêtements utilisés pour les pièces d'automobile et le bois. Comme aucune donnée sur les concentrations environnementales mesurées (dans l'eau, le sol ou les sédiments) pour cette substance au Canada (ou ailleurs) n'a été recensée, on a estimé les concentrations environnementales sur la base des renseignements disponibles.
Les rejets anthropiques d'une substance dans l'environnement dépendent de différentes pertes qui surviennent pendant la fabrication, l'utilisation industrielle, l'utilisation commerciale ou par les consommateursNote de bas de page[4], ainsi que l'élimination d'une substance. Les facteurs liés aux étapes clés du cycle de vie de ces substances ont été étudiés. Les incertitudes ont été mises en lumière et des hypothèses ont été formulées en fonction des renseignements disponibles. Des scénarios d'exposition pour les utilisations ou les milieux préoccupants ont été élaborés, y compris la détermination des CEE qui sont applicables.
Détermination des scénarios d'exposition importants
La caractérisation de l'exposition est axée sur les scénarios d'exposition importants. Ces scénarios représentent d'importants rejets dans l'environnement, ainsi que de fortes concentrations. En général, l'ampleur des rejets est directement liée à la quantité d'une substance fabriquée ou utilisée, ainsi qu'à ses facteurs d'émission applicables. Dans les cas où les rejets industriels sont semblables sur le plan de la quantité aux rejets des consommateurs ou aux rejets commerciaux, ils engendrent normalement des concentrations dans l'environnement plus élevées que ces derniers. Cela est dû en partie au fait que les rejets industriels se concentrent dans un nombre limité de sites, alors que les rejets des consommateurs ou les rejets commerciaux sont dispersés dans tout le pays.
Le NE CAS 85029-57-8 a été importé au Canada et entre dans la composition des peintures et des revêtements utilisés sur les pièces d'automobile et le bois. L'utilisation de peintures/revêtements conçus pour les pièces d'automobile et le bois devait être plus dispersive que la formulation et produire des concentrations dans l'environnement plus faibles. La formulation était donc considérée comme le principal scénario d'exposition et elle était sélectionnée pour une analyse quantitative.
Concentrations environnementales estimées (CEE)
Les CEE du NE CAS 85029-57-8 ont été estimées pour la formulation de peintures et de revêtements. Ces concentrations sont fondées sur les renseignements disponibles sur les quantités de la substance, les facteurs d'émission propres au secteur concernant les émissions dans les eaux usées, les caractéristiques des systèmes de traitement des eaux usées et les caractéristiques des environnements récepteurs. Une explication détaillée des calculs d'exposition ainsi que des hypothèses utilisés est indiquée dans l'annexe B.
Alors que le NE CAS 85029-57-8 devrait finalement se répartir dans les biosolides pendant le traitement des eaux usées appartenant au secteur public ou dans les sédiments après son rejet dans les eaux réceptrices, la colonne d'eau devrait constituer le principal milieu de préoccupation environnementale. Par conséquent, les CEE n'ont pas été calculées pour le sol amendé avec des sédiments ou des biosolides.
Les CEE en milieu aquatique de la substance ont été estimées d'après ses quantités utilisées dans la formulation de peintures et de revêtements et tirées d'une enquête publiée en vertu de l'article 71 de la LCPE (1999) (Canada, 2011). La quantité totale importée de la substance était comprise entre 100 et 1 000 kg pour l'année civile 2010. Cette quantité a été distribuée et utilisée dans la formulation de peintures et de revêtements dans différentes installations.
Dix installations ayant préparé la substance dans des peintures et des revêtements ont été localisées à partir de l'enquête. Ces dix installations se trouvaient dans dix municipalités différentes en Colombie-Britannique, en Ontario et au Québec. Ces municipalités sont désignées comme étant des sites dans cette évaluation, car elles constituent chacune un point d'entrée commun dans l'environnement par le système de traitement des eaux usées.
Les données de l'enquête étaient insuffisantes pour déterminer les installations concernées par la substance lorsqu'il était démontré qu'un répondant à l'enquête exploitait plusieurs installations. Ces diverses installations ont été déterminées à partir de la base de données de l'Inventaire national des rejets de polluants (INRP, 2006) d'Environnement Canada. Lorsqu'un répondant mentionnait une utilisation dans plusieurs installations, on a présumé, en toute prudence, que chacune de ces installations utilisait la substance en une quantité annuelle égale au volume total annuel déclaré par le répondant.
La CEE en milieu aquatique provenant de chacune des dix installations a été estimée en se fondant sur la quantité utilisée dans chaque installation, un facteur d'émission pour les émissions dans les eaux usées, l'efficacité d'élimination par le traitement des eaux usées sur place et hors site ainsi que sur la dilution en fonction des eaux usées et des eaux réceptrices. La quantité utilisée dans chaque installation était comprise entre 10 et 1 000 kg/an, selon les données de l'enquête.
Le facteur d'émission utilisé qui était de 0,3 % se trouvait, d'après une analyse des données de l'industrie, sous forme d'une perte provenant du nettoyage de l'équipement de formulation de peintures et de revêtements (Environnement Canada, 2012). Cette valeur correspond à la perte dans les eaux usées qui varie de 0,25 à 0,5 % et qui provient de résidus de l'équipement estimés dans un document du scénario d'émission sur les revêtements produits par l'Organisation de coopération et de développement économiques (OCDE, 2009).
L'efficacité d'élimination par le traitement des eaux usées sur place a été estimée à 90 % d'après les données documentaires (OCDE, 2009), étant donné que la substance est peu soluble dans l'eau (hydrosolubilité inférieure à 1 mg/L) et que les bassins de décantation des matières solides sont courants dans les installations de formulation de peintures et de revêtements.
On a présumé, en toute prudence, que l'efficacité d'élimination par le traitement des eaux usées hors site était de 0 %, étant donné que la substance n'est pas susceptible de se répartir dans les boues, qu'elle n'est pas volatile et compte tenu du manque de données sur la biodégradation.
Le débit des eaux usées du système de traitement des eaux usées local établi dans chaque site de formulation a été utilisé pour déterminer les concentrations de la substance dans les influents et les effluents. La dilution a été prise en considération pour déterminer la concentration dans les effluents, dans le cas de lagunes, en raison de leurs longues périodes de rétention hydraulique.
Un facteur de dilution approprié des eaux réceptrices a ensuite été utilisé pour calculer la CEE en milieu aquatique à partir de la concentration dans les effluents près du point de rejet.
Les CEE calculées ont été considérées comme des estimations réalistes pour l'exposition en milieu aquatique, car elles étaient fondées sur des quantités d'utilisation réelles et des facteurs d'émission réalistes. Elles variaient de 0,0001 à 1,1 µg/L.
7.1.3 Caractérisation des risques écologiques
La démarche utilisée dans le cadre de cette évaluation écologique préalable visait à examiner les divers renseignements pertinents afin d'élaborer des conclusions fondées sur la méthode du poids de la preuve et le principe de prudence, conformément aux dispositions de la LCPE (1999). Les éléments de preuve pris en compte comprennent les résultats d'une analyse prudente du quotient de risque ainsi que des données sur la persistance, la bioaccumulation, les effets écologiques, les sources, le devenir de la substance et sa présence et sa répartition dans l'environnement. Divers éléments de preuve sont résumés ci-dessous avec les incertitudes pertinentes menant à des conclusions générales.
La présence du chrome trivalent dans cette substance ne devrait pas être une préoccupation sur le plan écologique. Le chrome et ses composés ont été précédemment évalués en vertu de la Loi canadienne sur la protection de l'environnement (Canada, 1994). De plus, il est peu probable que ces substances (et les substances contenant du chrome mentionnées ci-dessus), dont on pense qu'elles sont toutes peu ou pas commercialisées à l'heure actuelle, contribuent grandement à la concentration totale en chrome dans l'environnement par rapport à d'autres sources de rejet du chrome.
Analyse des quotients de risque
Une analyse du quotient de risque (QR) a été effectuée en comparant la valeur de CEE en milieu aquatique (obtenue à partir du scénario d'exposition pertinent) avec la CESE en milieu aquatique (extrapolée à partir des données écotoxicologiques).
La CEE en milieu aquatique pour chacune des dix usines de traitement a été estimée à l'aide de plusieurs paramètres, comme cela est mentionné ci-dessus, notamment les quantités utilisées dans la formulation de peintures et de revêtements tirées d'une enquête publiée en vertu de l'article 71 de la LCPE (1999) (Canada, 2011), le facteur d'émission pour les émissions dans les eaux usées, le débit de traitement des eaux usées et l'élimination des substances par les systèmes de traitement, ainsi que le facteur de dilution dans les eaux réceptrices. Étant donné que plusieurs facteurs importants demeurent inconnus, les prévisions globales ont été fondées sur des hypothèses prudentes.
Les CEE provenant des usines de traitement variaient de 0,0001 à 1,1 µg/L et étaient bien inférieures à la valeur de CESE de 60 µg/L. En outre, si la valeur de toxicité plus prudente de 0,4 mg/L pour la truite arc-en-ciel (la CESE qui en résulte aurait été de 4 µg/L) avait été utilisée, la CEE aurait été bien inférieure à la CESE dans tous les sites. Les résultats de l'analyse du QR semblent indiquer un potentiel de rejets dans l'environnement du NE CAS 85029-57-8 limité causant des effets nocifs pour les organismes aquatiques.
Caractérisation des risques pour l'environnement
Le rejet du NE CAS 85029-57-8 provenant d'une utilisation dans la formulation de peintures et de revêtements dans le milieu aquatique par l'intermédiaire d'installations de traitement des eaux usées et dans le sol par l'intermédiaire de l'épandage de biosolides devrait se produire. Aucun rejet ne devrait avoir lieu dans l'air où, en raison de sa pression de vapeur très faible prévue et de la constante de la loi d'Henry, la substance ne devrait pas demeurer et le transport atmosphérique à grande distance n'est pas une source de préoccupation.
Le NE CAS 85029-57-8 a une hydrosolubilité relativement faible ( inférieur(e) à 1 mg/L) et ne devrait pas se dissocier aux PH normalement observés dans l'environnement. Lorsque le NE CAS 85029-57-8 est rejeté dans l'eau, il devrait rester dans la colonne d'eau pendant un certain temps, avant de se répartir par interactions électrostatiques et adsorption dans les matières en suspension et, finalement, les sédiments. Lorsqu'il est rejeté dans le sol, il devrait demeurer dans ce milieu.
Aucun FBC et aucune donnée limitée du log Koe concernant le NE CAS 85029-57-8 n'ont été trouvés. Bien que le petit diamètre transversal de cette substance ne contribue probablement pas à limiter son taux d'absorption au moment de traverser la membrane cellulaire, sa masse moléculaire plus élevée pourrait ralentir son absorption dans les organismes biologiques. La bioaccumulation résultant d'expositions d'organismes à cette substance dans le sol et les sédiments n'est pas bien comprise en raison de données minimales et limitées. Compte tenu de la valeur du log Koe faible pour le NE CAS 85029-57-8, on ne pense pas que cette substance se bioaccumule facilement.
Selon des données modélisées, le NE CAS 85029-57-8 devrait se biodégrader très lentement dans des milieux aérobies et on considère donc qu'il est persistant dans l'eau, les sédiments et le sol, conformément au Règlement sur la persistance et la bioaccumulation.
D'après les données empiriques et analogues disponibles sur la toxicité en milieu aquatique, le NE CAS 85029-57-8 devrait être dangereux pour les organismes aquatiques à de faibles concentrations (la plupart des valeurs relatives à la toxicité aiguë étant inférieures à 10 mg/L). Aucune donnée sur la toxicité n'était disponible concernant d'autres substances dans la présente évaluation et aucune donnée écotoxicologique pour les organismes vivant dans le sol et les sédiments n'a été trouvée.
Une analyse du quotient de risque a été effectuée pour le rejet du NE CAS 85029-57-8 provenant de son utilisation dans la formulation de peintures et de revêtements. Ce secteur était réputé pour présenter le risque potentiel pour l'environnement le plus élevé en ce qui concerne les rejets industriels dans l'environnement de cette substance. Une analyse du quotient de risque a montré que les CEE prudentes concernant le NE CAS 85029-57-8 rejeté à partir de dix installations au Canada étaient bien inférieures à la CESE calculée pour les organismes aquatiques. En raison de l'insuffisance des données sur la toxicité dans le sol et les sédiments et étant donné que l'eau est considérée comme le principal milieu préoccupant, un quotient de risque n'a pas été calculé pour ces milieux.
D'après tous les éléments de preuve présentés, le NE CAS 85029-57-8 ne devrait pas causer d'effets nocifs sur l'environnement au Canada.
Incertitudes dans l'évaluation des risques pour l'environnement
Les substances traitées dans le présent rapport sont mal documentées. Par conséquent, une méthode déduite à partir d'analogues utilisant des données provenant d'analogues sélectionnés constituait la meilleure solution pour estimer les propriétés physiques et chimiques. La disponibilité des analogues structuraux était manquante, ce qui a mené à l'utilisation de certains analogues aux fins d'analyse de données déduites à partir d'analogues qui n'étaient pas idéaux en matière de similarité structurelle, ce qui continue à augmenter l'incertitude.
Disposer de données sur la toxicité chronique à long terme permettrait de mieux évaluer ces substances en raison de leur persistance possible dans l'environnement, mais il existe très peu de données à cet égard. L'utilisation d'un facteur d'évaluation de 100 pour déterminer une CESE en milieu aquatique permet de tenir compte de cette incertitude. Bien que le milieu d'exposition (sol et sédiments) soit vraisemblablement la destination finale de ces substances, aucune donnée n'était disponible sur la toxicité pour les organismes vivant dans le sol ou les sédiments et aucun quotient de risque n'a été calculé pour le sol ou les sédiments.
Le manque de concentrations environnementales mesurées pour cette substance (p. ex. données de surveillance) au Canada a mis en lumière la nécessité d'évaluer le risque en fonction des concentrations prévues dans l'eau près des sources industrielles ponctuelles. Des hypothèses prudentes ont été réalisées dans l'utilisation des modèles pour estimer les concentrations dans les plans d'eau récepteurs.
7.2 Potentiel d'effets nocifs sur la santé humaine
7.2.1 Évaluation de l'exposition
Aucune donnée empirique sur les concentrations du NE CAS 85029-57-8 dans les milieux naturels au Canada ou ailleurs n'a été recensée. En raison de sa volatilité et de son hydrosolubilité relativement faibles, cette substance devrait être absorbée dans le sol et les sédiments lorsqu'elle est rejetée dans l'environnement au lieu de se disperser dans l'eau.En outre, à cause de la très faible pression de vapeur de cette substance, l'inhalation de la fraction volatile par l'air ne devrait pas être une voie d'exposition importante (se reporter à la section « Devenir et comportement dans l'environnement »). Par conséquent, l'exposition de la population générale au no CAS 85029-57-8 dans les milieux naturels n'est pas prévue.
Le no CAS 85029-57-8 est utilisé dans des revêtements et des teintures pour bois au Canada, à des concentrations qui devraient se situer entre 2,5 % et 10 %, d'après les renseignements sur des produits allemands (Akzo Nobel Deco GmbH, 2010). Bien que l'exposition par voie cutanée au no CAS 85029-57-8 soit possible pour la population générale au moment de l'application du produit contenant cette substance sur une terrasse ou un meuble en bois, l'exposition potentielle à cette substance par voie cutanée pour la population générale au Canada devrait être limitée. Lorsqu'on a évalué l'exposition et déterminé qu'elle était limitée, un certain nombre de facteurs ont été pris en compte, notamment : 1) les propriétés physiques et chimiques de la substance, telles que sa masse et sa charge moléculaires importantes qui indiquent un potentiel d'absorption cutanée limité, 2) son potentiel de dissociation limité dans le milieu d'application (formulations de revêtements et de teintures pour bois), ainsi que sa stabilité dans des conditions ambiantes qui révèle une biodisponibilité limitée et 3) un contact direct limité avec les mains pendant l'application du produit.
D'après les renseignements disponibles, la population générale au Canada ne devrait pas être exposée à la substance no CAS 85029-57-8 dans les milieux naturels, et l'exposition devrait être limitée dans le cas de l'utilisation de revêtements et de teintures pour bois.
7.2.2 Évaluation des effets sur la santé
Des données empiriques limitées sur la toxicité ont été recensées pour l'évaluation des effets sur la santé potentiels liés au NE CAS 85029-57-8. Le NE CAS 85029-57-8 n'est pas classé parmi les substances ayant des effets sur la santé humaine par aucun organisme national ou international.
La cancérogénicité et la génotoxicité sont généralement considérées comme des effets critiques sur la santé potentiellement préoccupants pour les substances azoïques aromatiques et à base de benzidine. Le principal mécanisme par lequel ces substances exercent leur toxicité comprend le clivage réducteur des liaisons azoïques et la libération subséquente d'amines aromatiques libres. Par la suite, ces amines aromatiques se convertissent en produits intermédiaires électrophiles réactifs par oxydation métabolique (Environnement Canada et Santé Canada, 2013a). Cependant, une étude récente menée par Deb et al. (2011) a montré que des substances azoïques qui étaient liées par des ions métalliques tels que le chrome étaient beaucoup moins réactives que leurs homologues métalliques non complexes. Dans une étude in vitro portant sur des cellules de carcinome de poumon humain (A549), le 2-hydroxyphényl-azo-2'-naphthol (HPAN) a entraîné une cytotoxicité importante, soit des changements touchant la morphologie et la viabilité cellulaire en plus de la fragmentation de l'acide désoxyribonucléique (ADN), tandis qu'aucun changement important n'a été observé avec son complexe cobalt(II), même à des concentrations élevées. De plus, il a été noté que le complexe cobalt(II) présentait une plus faible interaction avec l'ADN de thymus de veau in vitro par rapport au HPAN seul. Comme l'indiquent les auteurs, il semble que la réduction préférentielle de l'ion métallique protège la liaison azoïque, de sorte qu'il n'y a pas de formation d'amines aromatiques (Deb et al., 2011). Par conséquent, bien que le clivage de la liaison azoïque biologique soit généralement considéré comme une réaction métabolique importante entraînant une toxicité, la production d'un produit de clivage réducteur des liaisons azoïques ne devrait pas survenir en présence du no CAS 85029-57-8.
Des résultats positifs ont été observés pour un essai de la mutation inverse standard mené sur les souches TA1537 et TA98 de Salmonella typhimurium en présence et en l'absence d'activation métabolique induite dans le foie du rat S9 à des concentrations de la substance no CAS 85029-57-8 variant de 100 à 5 000 µg/plaque (étude présentée, 2012). Des résultats négatifs ont été obtenus pour un test d'Ames modifié Prival dans des conditions standard (sans activation de la fraction de S9 de foie de hamster) et réductrices (mononucléotide flavine) dans les souches TA98 et TA100 de S. typhimurium en présence des enzymes réductrices S9 à des concentrations allant jusqu'à 5 000 µg/plaque (BioReliance, 2012). Des résultats négatifs ont aussi été obtenus pour les souches TA100 et TA1535 de S. typhimurium ainsi que pour la souche Wp2 uvr A de Escherichia coli dans un essai de la mutation inverse standard. Aucune toxicité bactérienne n'a été remarquée à toutes les doses mises à l'essai (20 à 5 000 µg/plaque). Cependant, on a observé une précipitation de la substance à partir des doses 500 µg/plaque (étude présentée, 2012), de sorte que les données sur ces doses plus élevées n'ont pas été utilisées.
Des études expérimentales dans lesquelles on a administré du no CAS 85029-57-8 à des animaux par voie orale et par inhalation ont été recensées pour la détermination de la toxicité aiguë. On a signalé que la toxicité orale aiguë était faible chez les rats (dose létale médiane [DL50] supérieure à 10 000 mg/kg du poids corporel), tandis que l'inhalation d'un mélange vapeur-air hautement enrichi ou saturé chez les rats ne représentait pas un risque aigu probable et une concentration létale médiane par inhalation (CL50) n'a pas pu être déterminée. Cette substance a été jugée non irritante pour la peau ou les yeux des lapins (BASF, 2012).
Aucun analogue approprié n'a été déterminé pour éclairer l'évaluation des effets sur la santé du NE CAS 85029-57-8 en raison de données limitées sur les effets connexes, bien que plusieurs complexes métalliques de colorant aient été désignés comme étant similaires à cette substance sur le plan structurel. Les complexes chromiques (2:1) sont stables dans des conditions ambiantes. Dans des environnements très acides, le chrome forme un complexe métallique de colorant 1:1 et une molécule de colorant non fixé (Hunger, 2003). Une hypothèse prudente de dissociation complète de ce complexe donnerait lieu à une libération du chrome trivalent et de la composante du colorant organique du ligand. Cependant, rien n'indique que ces substances ont des effets préoccupants d'après la cancérogénicité potentielle (Canada, 1994; Environnement Canada et Santé Canada, 2013c).
Dans l'ensemble, les renseignements disponibles indiquent que la substance no CAS 85029-57-8 ne présente pas d'effets préoccupants d'après la cancérogénicité potentielle.
7.2.3 Caractérisation des risques pour la santé humaine
L'exposition de la population générale du Canada aux complexes métalliques azoïques et aux autres substances azoïques à partir des milieux naturels est peu probable en raison des quantités commerciales limitées au Canada; par conséquent, cette source ne devrait pas présenter de risque pour la santé humaine.
En ce qui concerne le no CAS 85029-57-8, d'après le potentiel limité d'exposition de la population générale et l'absence d'indication d'effets sur la santé préoccupants, on estime que le risque pour la santé humaine que présente cette substance est faible.
Incertitudes de l'évaluation des risques pour la santé humaine
Il existe des incertitudes concernant la caractérisation de l'exposition à partir des milieux naturels en raison du manque de données. On n'a obtenu aucune donnée propre au Canada concernant la concentration du no CAS 85029-57-8 dans les revêtements et les teintures pour bois; cependant, la concentration devrait se situer dans la même plage que celle indiquée dans les renseignements sur des produits allemands.
Des incertitudes sont décelées dans la caractérisation des risques pour la santé humaine du NE CAS 85029-57-8 en raison de la nature limitée de la base de données des effets sur la santé.
Il existe aussi une incertitude quant aux effets potentiels sur la santé de la présence possible dans le colorant de traces d'impuretés ou de composantes mineures dont la composition est variable ou inconnue, car la pureté du produit chimique et les méthodes de fabrication employées ne sont pas normalisées.
8. Conclusion
Compte tenu de tous les éléments de preuve contenus dans la présente évaluation préalable, les quatre complexes métalliques azoïques et les deux autres substances azoïques faisant l'objet de cette évaluation présentent un faible risque d'effets nocifs sur les organismes et sur l'intégrité globale de l'environnement. On conclut que les quatre complexes métalliques azoïques et les deux autres substances azoïques ne satisfont pas aux critères énoncés aux alinéas 64a) et b) de la LCPE (1999), car ils ne pénètrent pas dans l'environnement en une quantité ou concentration ou dans des conditions de nature à avoir, immédiatement ou à long terme, un effet nocif sur l'environnement ou sur la diversité biologique, et à mettre en danger l'environnement essentiel pour la vie.
À la lumière des renseignements contenus dans la présente évaluation préalable, on conclut que les quatre complexes métalliques azoïques et les deux autres substances azoïques faisant l'objet de cette évaluation ne satisfont pas aux critères énoncés à l'alinéa 64c) de la LCPE (1999), car ils ne pénètrent pas dans l'environnement en une quantité ou concentration ou dans des conditions de nature à constituer un danger au Canada pour la vie ou la santé humaines.
On conclut que les quatre complexes métalliques azoïques et les deux autres substances azoïques ne satisfont à aucun des critères énoncés à l'article 64 de la LCPE (1999).
Références
AGFA. 2007. [Fiche signalétique : KC091 ADDITION PEN] [en ligne]. Prague (République tchèque) : AGFA. [consulté le 10 avril 2013]. Accès : www.elektronika-navratil.cz/download.php?FNAME=1191592269.upl&ANAME=Agfa%20KN091.pdf [en tchèque].
Akzo Nobel Deco GmbH. 2010. Fiche de données de sécurité : Colorkonzentrat bordeaux [en ligne]. Hilden (Allemagne) : Akzo Nobel Deco GmbH, Geschäftsbereich Zweihorn. [consulté le 10 avril 2013]. Accès : http://www.zweihorn.com/assets/templates/zweihorn/files/sds2011/fr/CK%2004.pdf
Anliker, R., Clarke, E.A., Moser, P. 1981. Use of the partition coefficient as an indicator of bioaccumulation tendency of dyestuffs in fish. Chemosphere 10(3):263-274.
[AOPWIN] Atmospheric Oxidation Program for Windows [modèle d'évaluation]. 2010. Version 1.92a. Washington (DC) : Environmental Protection Agency des États-Unis, Office of Pollution Prevention and Toxics; Syracuse (NY) : Syracuse Research Corporation. Accès : www.epa.gov/oppt/exposure/pubs/episuite.htm
Arnot, J.A., Arnot, M.I., Mackay, D., Couillard, Y., MacDonald, D., Bonnell, M., Doyle, P. 2010. Molecular size cutoff criteria for screening bioaccumulation potential: fact or fiction? Integr. Environ. Assess. Manag. 6(2):210-224.
Bartlett, A. 2013. Toxicity summary: effects of Disperse Yellow 7, Sudan Red G, Disperse Orange 13, Acid Red 97, and Bismarck Brown Y on the survival and growth of the freshwater amphipod Hyalella azteca in chronic, water-only exposures. Étude inédite d'Environnement Canada.
[BASF] BASF Corporation. 2012. Fiche signalétique : Orasol® Red 335 (old Neozapon® Red 335) [en ligne]. Florham Park (NJ) : BASF Corporation. [consulté le 10 avril 2013]. Accès : worldaccount.basf.com/wa/NAFTA~fr_FR/Catalog/FunctionalPolymers/doc4/BASF/PRD/30047779/.pdf?title=&asset_type=msds/pdf&language=EN&validArea=US&urn=urn:documentum:ProductBase_EU:09007af88009c034.pdf
BASF Canada. 2003. Fiche signalétique : Neozapon Red 395. Toronto (Ont.) : BASF Canada Inc.
BASF Canada. 2012. Fiche signalétique : Orasol® Red 395 (old Neozapon® Red 395) [en ligne]. Mississauga (Ont.) : BASF Canada Inc. [consulté le 10 juin 2013]. Accès : worldaccount.basf.com/wa/NAFTA/Catalog/FunctionalPolymers/doc4/BASF/PRD/30047175/.pdf?title=&asset_type=msds/pdf&language=EN&validArea=CA&urn=urn:documentum:ProductBase_EU:09007af8802c037d.pdf
Baughman, G.L., Perenich, T.A. 1988. Fate, solubility and partitioning of hydrophobic dyes. Environ. Toxicol. Chem. 7:183-199.
[BDIPSN] Base de données sur les ingrédients des produits de santé naturels [base de données sur Internet]. 2011. Version 2.1. Ottawa (Ont.) : Santé Canada. [consulté le 16 avril 2013]. Accès : http://webprod.hc-sc.gc.ca/nhpid-bdipsn/search-rechercheReq.do?url=&lang=fra
[BDPSNH] Base de données des produits de santé naturels homologués [base de données sur Internet]. 2008. Version 1.0. Ottawa (Ont.) : Santé Canada. [consulté le 16 avril 2013]. Accès : http://webprod3.hc-sc.gc.ca/lnhpd-bdpsnh/language-langage.do?url=Search-Recherche&lang=fra
BioReliance. 2012. Bacterial reverse mutation assay of selected azo dyes. Rapport inédit préparé pour Santé Canada. Rockville (MD) : BioReliance. Study Report No.: AD46RB-RL.502.BTL.
[BIOWIN] Biodegradation Probability Program for Windows [modèle d'évaluation]. 2010. Version 4.10. Washington (DC) : Environmental Protection Agency des États-Unis, Office of Pollution Prevention and Toxics; Syracuse (NY) : Syracuse Research Corporation. Accès : www.epa.gov/oppt/exposure/pubs/episuite.htm
Boîte à outils QSAR de l'OCDE [outil de déduction à partir d'analogues]. 2011. Version 3.0. Paris (France) : Organisation de coopération et de développement économiques, Direction de l'environnement. [consulté en juin 2013]. Accès : http://www.oecd.org/fr/env/ess/risques/projetdelocdesurlesrelationsquantitativesdestructure-activiteqsars.htm
Brown, D., Hamburger, B. 1987. The degradation of dyestuffs: Part III - Investigations of their ultimate degradability. Chemosphere 16(7):1539-1553.
Canada. 1978. Règlement sur les aliments et drogues. C.R.C., ch. 870. Accès : http://www.canlii.org/fr/ca/legis/regl/crc-c-870/derniere/crc-c-870.html
Canada. 1994. Rapport d'évaluation pour le chrome et ses composés [en ligne]. Ottawa (Ont.) : Environnement Canada; Santé Canada. (Liste des substances d'intérêt prioritaire - Rapport d'évaluation). Accès : http://www.hc-sc.gc.ca/ewh-semt/pubs/contaminants/psl1-lsp1/chromium_chrome/index-fra.php
Canada. 1999. Loi canadienne sur la protection de l'environnement (1999). L.C., 1999, ch. 33, Partie III, vol. 22, no 3. Accès : http://laws-lois.justice.gc.ca/fra/lois/C-15.31/
Canada. Ministère de l'Environnement. 2011. Loi canadienne sur la protection de l'environnement (1999) : Avis concernant certaines amines aromatiques et certaines substances azoïques aromatiques et à base de benzidines aromatiques. Gazette du Canada, Partie I, vol. 145, no 51, Supplément à la Gazette du Canada. Accès : http://www.gazette.gc.ca/rp-pr/p1/2011/index-fra.html
CATALOGIC [modèle informatique]. 2012. Version 5.11.6. Bourgas (Bulgarie) : Bourgas Prof. Assen Zlatarov University, Laboratory of Mathematical Chemistry. Accès : www.oasis-lmc.org/?section=software&swid=1
[Crechem] Crechem Technologies Inc. 2003. Release scenarios for Canadian coating facilities. Préparé pour Environnement Canada, Gatineau (Qc). Ottawa (Ont.) : Crechem Technologies Inc. Le 31 mars 2003.
Deb, T., Choudhury, D., Guin, P.S., Saha, M.B., Chakrabarti, G., Das, S. 2011. A complex of Co(II) with 2-hydroxyphenyl-azo-2'-naphthol (HPAN) is far less cytotoxic than the parent compound on A549-lung carcinoma and peripheral blood mononuclear cells: reasons for reduction in cytotoxicity. Chem. Biol. Interact. 189:206-214.
Dimitrov, S., Dimitrova, N., Parkerton, T., Comber, M., Bonnell, M., Mekenyan, O. 2005. Base-line model for identifying the bioaccumulation potential of chemicals. SAR QSAR Environ. Res. 16(6):531-554.
Dimitrov, S., Dimitrova, N., Walker, J., Veith, G., Mekenyan, O. 2002. Predicting bioconcentration potential of highly hydrophobic chemicals. Effect of molecular size. Pure Appl. Chem. 74(10):1823-1830.
[DS TOPKAT] Discovery Studio TOxicity Prediction by Komputer Assisted Technology [module de prévision]. ©2005-2009. Version 2.5.0.9164. San Diego (CA) : Accelrys Software Inc. Accès : www.accelrys.com/products/
[ECHA] Agence européenne des produits chimiques. 2012. Guidance on information requirements and chemical safety assessment. Chapter R.11: PBT assessment. Guidance for the implementation of REACH. Version 1.1. Helsinki (Finlande) : Agence européenne des produits chimiques. 97 p. Accès : http://echa.europa.eu/documents/10162/13632/information_requirements_r11_en.pdf
Environnement Canada. 2007. Guidance for conducting ecological assessments under CEPA, 1999: Science resource technical series, technical guidance module: QSARs. Document de travail préliminaire révisé. Gatineau (Qc) : Environnement Canada, Division des évaluations écologiques.
Environnement Canada. 2012. Données sur certaines amines aromatiques et certaines substances azoïques aromatiques et à base de benzidines aromatiques recueillies en vertu de l'article 71 de la Loi canadienne sur la protection de l'environnement (1999) : Avis concernant certaines amines aromatiques et certaines substances azoïques aromatiques et à base de benzidines aromatiques. Données préparées par Environnement Canada, Division de la mobilisation et de l'élaboration des programmes.
Environnement Canada, Santé Canada. 2007. Substances chimiques : Catégorisation [en ligne]. Ottawa (Ont.) : Gouvernement du Canada. [mis à jour le 20 avril 2007; consulté le 10 juin 2014]. Accès : http://www.chemicalsubstanceschimiques.gc.ca/approach-approche/categor-fra.php
Environnement Canada, Santé Canada. 2013a. The Chemicals Management Plan Substance Grouping Initiative. Subgrouping Approach and Background Information for the Screening Assessment of Aromatic Azo and Benzidine-based Substances. Mai 2013. Environnement Canada, Santé Canada. Disponible sur demande.
Canada. 2013b. Examen préalable rapide des substances peu préoccupantes pour l'environnement. Résultats de l'évaluation préalable. Ottawa (Ont.) : Environnement Canada, Santé Canada. Accès : http://www.ec.gc.ca/ese-ees/default.asp?lang=Fr&n=2A7095CD-1
Environnement Canada, Santé Canada. 2013c. Évaluation préalable : groupe de substances azoïques aromatiques et à base de benzidine. Certains colorants avec solvant azoïques. Ottawa (Ont.) : Environnement Canada, Santé Canada. (l’évaluation préalable finale sera publiée plus tard).
Canada. 2014. Examen préalable rapide des substances de la phase un de la mise à jour de l'inventaire de la Liste intérieure. Ottawa (Ont.) : Environnement Canada, Santé Canada. Accès : http://www.ec.gc.ca/ese-ees/default.asp?lang=Fr&n=7340E1B7-1
[EPI Suite] Estimation Programs Interface Suite for Microsoft Windows [modèle d'évaluation]. 2012. Version 4.1. Washington (DC) : Environmental Protection Agency des États-Unis, Office of Pollution Prevention and Toxics; Syracuse (NY) : Syracuse Research Corporation. Accès : www.epa.gov/oppt/exposure/pubs/episuite.htm
[EQC] Equilibrium Criterion Model. 2011. Version 1.0 (Beta). Peterborough (Ont) : Université Trent, Canadian Centre for Environmental Modelling and Chemistry. Accès : www.trentu.ca/academic/aminss/envmodel/models/NewEQCv100.html
[ETAD] The Ecological and Toxicological Association of Dyes and Organic Pigments Manufacturers. 1995. Health and environmental information on dyes used in Canada. An overview to assist in the implementation of the New Substances Notification Regulations under the Canadian Environmental Protection Act. Préparé par les associations canadiennes affiliées de l'ETAD. Report No.: 7/21/95.
Freeman, H.S., Lye, J., Sokolowska-Gajda, J. 1999. Iron complex dyes in pollution prevention. In: Proceedings of the Colour Science Conference. Harrogate (Royaume-Uni). p. 61-71.
[HSDB] Hazardous Substances Data Bank [base de données sur Internet]. 1983- . Bethesda (MD) : National Library of Medicine (États-Unis). [consulté en année/mois/jour]. Accès : www.toxnet.nlm.nih.gov/cgi-bin/sis/htmlgen? HSDB
Hunger, K. (éd.). 2003. Industrial dyes: chemistry, properties, applications. Weinheim (Allemagne) : Wiley-VCH Verlag GmbH & Co. KGaA. 685 p. ISBN 3-527-30426-6.
[HYDROWIN] Hydrolysis Rates Program for Microsoft Windows [modèle d'évaluation]. 2010. Version 2.00. Washington (DC) : Environmental Protection Agency des États-Unis, Office of Pollution Prevention and Toxics; Syracuse (NY) : Syracuse Research Corporation. Accès : www.epa.gov/oppt/exposure/pubs/episuite.htm
[INRP] Inventaire national des rejets de polluants [base de données sur Internet]. 2006. Gatineau (Qc) : Environnement Canada. [consulté le 16 mai 2013]. Accès : http://www.ec.gc.ca/inrp-npri/default.asp?lang=Fr&n=4A577BB9-1
Kundu, D. 1977. Effects of diazo compounds on chromosomes and spindle. Biologia (Bratisl.) 32(6):423-430.
Little, L.W., Lamb, J.C. III. 1973. Acute toxicity of 46 selected dyes to the fathead minnow, Pimephales promelas. In: Dyes and the environment - Reports on selected dyes and their effects. Vol. 1. American Dye Manufacturers Institute, Inc. 130 p.
Little, L.W., Lamb, J.C. III, Chillingworth, M.A., Durkin, W.B. 1974. Acute toxicity of selected commercial dyes to the fathead minnow and evaluation of biological treatment for reduction of toxicity. In: Proceedings of the 29th Industrial Waste Conference, Purdue University, West Lafayette (IN). p. 524-534.
MIPA AG. 2012. Fiche signalétique : Brilliant Design [en ligne]. Essenbach (Allemagne) : MIPA AG. [consulté le 10 avril 2013]. Accès : www.mipa-paints.com/gb/sdb/auto/Brillant_Design_GB.pdf
[NCI] National Chemical Inventories [base de données sur CD-ROM]. 2012. 2e éd. Columbus (OH) : American Chemical Society, Chemical Abstracts Service. [consulté le 1er mai 2011]. Accès : www.cas.org/products/other-cas-products/nci-on-cd
[OCDE] Organisation de coopération et de développement économiques. 2009. Emission scenario document on coating industry (paints, lacquers, varnishes). Paris (France) : Organisation de coopération et de développement économiques, Direction de l'environnement. (Series on Emission Scenario Documents No. 22). Report No. ENV/JM/MONO(2009)24. Accès : www.oecd.org/officialdocuments/displaydocument/?cote=env/jm/mono(2009)24&doclanguage=en
[OCDE] Organisation de coopération et de développement économiques. 2014. Guidance on Grouping of Chemicals. Second Edition. Series on Testing & Assessment No. 194. Accès : http://www.oecd.org/officialdocuments/publicdisplaydocumentpdf/? cote=env/jm/mono(2014)4&doclanguage=en
Øllgaard, H., Frost, L., Galster, J., Hansen, O.C. 1998. Survey of azo-colorants in Denmark: Consumption, use, health and environmental aspects. Copenhague (Danemark) : Ministry of Environment and Energy, Environmental Protection Agency du Danemark. Accès : www2.mst.dk/udgiv/publications/1999/87-7909-548-8/pdf/87-7909-546-1.pdf
PPG Industries Inc. 2012. Fiche signalétique : teinture RED (YELLOW SHADE) [en ligne]. Pittsburgh (PA) : PPG Industries Inc. [consulté le 10 avril 2013]. Accès : buyat.ppg.com/EHSDocumentManagerPublic/documentSearch.aspx? CodeValue=DMX212&CodeCondition=BeginsWith&Language=en-US
Présentation de projet. 2012. Projets non publiés et confidentiels présentés à Environnement Canada dans le cadre du Plan de gestion des produits chimiques. Gatineau (Qc) : Environnement Canada, Santé Canada; Programme des substances existantes.
Razo-Flores, E., Luijten, M., Donlon, B., Lettinga, G., Field, J. 1997. Biodegradation of selected azo dyes under methanogenic conditions. Water Sci. Technol. 36(6-7):65-72.
Sakuratani, Y., Noguchi, Y., Kobayashi, K., Yamada, J., Nishihara, T. 2008. Molecular size as a limiting characteristic for bioconcentration in fish. J. Environ. Biol. 29(1):89-92.
Santé Canada. 2011. Liste critique des ingrédients dont l'utilisation est restreinte ou interdite dans les cosmétiques - Mars 2011 [en ligne]. Ottawa (Ont.) : Santé Canada, Sécurité des produits de consommation. [consulté le 26 avril 2013]. Accès : http://www.hc-sc.gc.ca/cps-spc/cosmet-person/indust/hot-list-critique/hotlist-liste-fra.php
[Sherwin-Williams] The Sherwin-Williams Company. 2013. Fiche signalétique : SHER-WOOD® Simplicity Stain Concentrate, Red [en ligne]. Cleveland (OH) : The Sherwin-Williams Company. [consulté le 10 avril 2013]. Accès : http://www.paintdocs.com/webmsds/webPDF.jsp?SITEID=STORECAT&lang=F&doctype=MSDS&prodno=S81R2
Smyth, S.A. 2012. Wastewater 101: for CMP monitoring. Présentation à la Direction des sciences et de l'évaluation des risques d'Environnement Canada, Gatineau (Qc), le 16 octobre 2012.
Tikkurila Oyj. 2010. Fiche signalétique : DICCO COLOR [en ligne]. Vantaa (Finlande) : Tikkurila Oyj. [consulté le 10 avril 2013]. Accès : www.tikkurila.com/files/3482/DICCO_COLOR_GB-ENG_.PDF
[UE] Union européenne. 2006. Règlement (CE) no 1907/2006 du Parlement européen et du Conseil du 18 décembre 2006 concernant l'enregistrement, l'évaluation et l'autorisation des substances chimiques, ainsi que les restrictions applicables à ces substances (REACH), instituant une agence européenne des produits chimiques, modifiant la directive 1999/45/CE et abrogeant le règlement (CEE) no 793/93 du Conseil et le règlement (CE) no 1488/94 de la Commission ainsi que la directive 76/769/CEE du Conseil et les directives 91/155/CEE, 93/67/CEE, 93/105/CE et 2000/21/CE de la Commission [en ligne]. Journal officiel de l'Union européenne L 396:1-849. Accès : http://eur-lex.europa.eu/LexUriServ/LexUriServ.do?uri=oj:l:2006:396:0001:0849:fr:pdf
Zollinger, H. (éd.). 2003. Azo dyes and pigments. In: Color chemistry: syntheses, properties, and applications of organic dyes and pigments. 3e éd. rév. Zurich (Suisse) : Verlag Helvetica Chimica Acta. p. 165-253.
Annexe A : Tableaux de données supplémentaires
| N° CAS Nom dans le C.I. |
Structure chimique et formule | Similarité (%)Note de bas de page Annexe A Tableau A1a[a].4 | Données déduites à partir d'analogues de |
|---|---|---|---|
| 1787-61-7 Mordant Black 11 |
![]() |
60-70; 70-80; 80-90 |
85029-57-8 a; 94276-35-4 a; 72391-06-1 a |
| 5610-64-0 Acid Black 52 |
![]() |
60-70; 70-80; 80-90 |
85029-57-8 a; 94276-35-4 a; 72391-06-1 a |
| N° CAS Nom dans le C.I. |
Structure chimique et formule | Similarité (%)Note de bas de page Annexe A Tableau A1b[a].5 | Données déduites à partir d'analogues de |
|---|---|---|---|
| Disperse Yellow 7 6300-37-4 |
![]() |
n.d. | 6708-61-8 et 63224-47-5 |
| Identité de la substance | Propriété | Valeur | Scénario de référence |
|---|---|---|---|
| Substance A | Point de fusion (°C) | supérieur(e) à 269 | Données confidentielles |
| Substance A | Solubilité dans l'eau (mg/L) | 20 | Données confidentielles |
| Substance A | Log Koe (sans dimension) | −2,8 | Données confidentielles |
| Substance A | Masse moléculaire (g/mol) | n.d. | Données confidentielles |
| Substance B | Point de fusion (°C) | inférieur(e) à 300 | Données confidentielles |
| Substance B | Solubilité dans l'eau (mg/L) | 0,5 | Données confidentielles |
| Substance B | Log Koe (sans dimension) | −1,4 | Données confidentielles |
| Substance B | Masse moléculaire (g/mol) | n.d. | Données confidentielles |
| Substance C | Point de fusion (°C) | inférieur(e) à 300 | Données confidentielles |
| Substance C | Solubilité dans l'eau (mg/L) | 0,002 | Données confidentielles |
| Substance C | Log Koe (sans dimension) | n.d. | Données confidentielles |
| Substance C | Masse moléculaire (g/mol) | n.d. | Données confidentielles |
| Propriété | Valeurs ou variation (pour plus de trois points de données) | Valeur(s) déterminante(s) pour cette évaluation (base de la sélection) |
|---|---|---|
| Point de fusion et point de décomposition (°C) | 211 | 211 (seule valeur expérimentale) |
| Solubilité dans l'eau (mg/L) | 0,0096 à 0,35 | 0,18 (valeur moyenne) |
| Log Koe (sans dimension) | n.d. | n.d. |
| Dmin (nm) | 0,92 | 0,92 (seule valeur estimée) |
| Dmax (nm) | 1,10 | 1,10 (seule valeur estimée) |
| pKa (sans dimension) | n.d. | n.d. |
| Propriété | Valeurs ou variation (pour plus de trois points de données) | Valeur(s) déterminante(s) pour cette évaluation (base de la sélection) |
|---|---|---|
| Point de fusion et point de décomposition (°C) | n.d. | n.d. |
| Solubilité dans l'eau (mg/L) | n.d. | n.d. |
| Log Koe (sans dimension) | n.d. | n.d. |
| Dmin (nm) | 1,54 | 1,54 (seule valeur estimée) |
| Dmax (nm) | 1,54 | 1,54 (seule valeur estimée) |
| pKa (sans dimension) | n.d. | n.d. |
| Propriété | Substance | Type de données | Valeurs ou variation (pour plus de trois points de données) | Valeur(s) déterminante(s) pour cette évaluation (base de la sélection) |
|---|---|---|---|---|
| Point de fusion et point de décomposition (°C) | 72391-06-1 a et analogues | Expérimental | n.d. | n.d. |
| Point de fusion et point de décomposition (°C) | 72391-06-1 b | Modélisé | 248,14 | 248,14 (seule valeur estimée) |
| Solubilité dans l'eau (mg/L) | 72391-06-1 a et analogues | Expérimental | n.d. | n.d. |
| Solubilité dans l'eau (mg/L) | 72391-06-1 b | Modélisé | 2,80 × 10−4 | 2,80 × 10−4 (seule valeur estimée) |
| Log Koe (sans dimension) | 72391-06-1 a et analogues | Expérimental | n.d. | n.d. |
| Log Koe (sans dimension) | 72391-06-1 b | Modélisé | 6,63 | 6,63 (seule valeur estimée) |
| Dmin (nm) | 72391-06-1 a et analogues | Expérimental | 1,25 | 1,25 (seule valeur estimée) |
| Dmax (nm) | 72391-06-1 a et analogues | Expérimental | 1,25 | 1,25 (seule valeur estimée) |
| pKa (sans dimension) | 72391-06-1 a et analogues | Expérimental | n.d. | n.d. |
| Propriété | Valeurs ou variation (pour plus de trois points de données) | Valeur(s) déterminante(s) pour cette évaluation (base de la sélection) |
|---|---|---|
| Point de fusion et point de décomposition (°C) | n.d. | n.d. |
| Solubilité dans l'eau (mg/L) | n.d. | n.d. |
| Log Koe (sans dimension) | n.d. | n.d. |
| Dmin (nm) | 0,96 | 0,96 (seule valeur estimée) |
| Dmax (nm) | 1,30 | 1,30 (seule valeur estimée) |
| pKa (sans dimension) | n.d. | n.d. |
| Propriété | Substance | Type de données | Valeurs ou variation (pour plus de trois points de données) | Valeur(s) déterminante(s) pour cette évaluation (base de la sélection) |
|---|---|---|---|---|
| Point de fusion et point de décomposition (°C) | 94276-35-4 a et analogues | Expérimental | 165 | 165 (valeur unique) |
| Solubilité dans l'eau (mg/L) | 94276-35-4 a et analogues | Expérimental | 1,2 × 104 | 1,2 × 104 (seule valeur) |
| Log Koe (sans dimension) | 94276-35-4 a et analogues | Expérimental | 1,95 | 1,95 (valeur unique) |
| Dmin (nm) | 94276-35-4 a et analogues | Expérimental | 0,89 | 0,89 (seule valeur estimée) |
| Dmax (nm) | 94276-35-4 a et analogues | Expérimental | 1,14 | 1,14 (seule valeur estimée) |
| pKa (sans dimension) | 94276-35-4 a et analogues | Expérimental | n.d. | n.d. |
| Point de fusion et point de décomposition (°C) | 94276-35-4 b et analogues | Expérimental | 217,85 | 217,85 (seule valeur expérimentale) |
| Point de fusion et point de décomposition (°C) | 94276-35-4 b | Modélisé | 217,85 | 217,85 (seule valeur estimée) |
| Solubilité dans l'eau (mg/L) | 94276-35-4 b et analogues | Expérimental | 1,946 | 1,946 (seule valeur expérimentale) |
| Solubilité dans l'eau (mg/L) | 94276-35-4 b | Modélisé | 1,946 | 1,946 (seule valeur estimée) |
| Log Koe (sans dimension) | 94276-35-4 b et analogues | Expérimental | 4,81 | 4,81 (seule valeur expérimentale) |
| Log Koe (sans dimension) | 94276-35-4 b (989-38-8) |
Modélisé | 4,81 | 4,81 (seule valeur estimée) |
| Dmin (nm) | 94276-35-4 b et analogues | Expérimental | n.d. | n.d. |
| Dmax (nm) | 94276-35-4 b et analogues | Expérimental | n.d. | n.d. |
| pKa (sans dimension) | 94276-35-4 b et analogues | Expérimental | n.d. | n.d. |
Tableau A3 : Résumé des données modélisées sur la dégradation des complexes métalliques azoïques contenant du chromeNote de bas de page Annexe A Tableau A3[a].6
| Processus du devenir | Modèle et base du modèle | Résultat et prévision du modèle | Demi-vie extrapolée (jours) |
|---|---|---|---|
| Oxydation atmosphérique (air) | AOPWIN, 2010Note de bas de page Annexe A Tableau A3[b] | t½ = 0,01 - 0,73 jour | supérieur(e) ou égal(e) à 2 |
| Réaction avec l'ozone (air) | AOPWIN, 2010[b] | s.o.Note de bas de page Annexe A Tableau A3[c] | s.o. |
| Biodégradation primaire (aérobie) (eau) | BIOWIN, 2010[b] Sous-modèle 4 : Enquête d'expert (résultats qualitatifs) |
2,7859-3,5638Note de bas de page Annexe A Tableau A3[d] (limite) |
supérieur(e) ou égal(e) à 182 |
| Biodégradation ultime (aérobie) (eau) | BIOWIN, 2010[b] Sous-modèle 3 : Enquête d'expert (résultats qualitatifs) |
1,5815-2,47[d] (limite) |
supérieur(e) ou égal(e) à 182 |
| Biodégradation (aérobie) (eau) | BIOWIN, 2010[b] Sous-modèle 5 : Probabilité linéaire MITI |
−0,7244 à 0,1139Note de bas de page Annexe A Tableau A3[e] (se biodégrade lentement) |
supérieur(e) ou égal(e) à 182 |
| Biodégradation (aérobie) (eau) | BIOWIN, 2010[b] Sous-modèle 6 : Probabilité non linéaire MITI |
0-0,0038[e] (se biodégrade lentement) |
supérieur(e) ou égal(e) à 182 |
| Biodégradation (aérobie) (eau) | DS TOPKAT ©2005-2009 Probabilité |
s.o. | s.o. |
| Biodégradation (aérobie) (eau) | CATALOGIC, 2012 Pourcentage de la DBO |
s.o. | s.o. |
| N° CAS Nom dans le C.I. |
Organisme d'essai | Durée de l'essai (en h) | Paramètre | Valeur (mg/L) | Référence |
|---|---|---|---|---|---|
| 1787-61-7 Mordant Black 11 |
Tête-de-boule Pimephales promelas | 24 | CL50 | 10 | Little et al., 1974 |
| 1787-61-7 Mordant Black 11 |
Tête-de-boule Pimephales promelas | 48 | CL50 | 6 | Little et al., 1974 |
| 1787-61-7 Mordant Black 11 |
Tête-de-boule Pimephales promelas | 96 | CL50 | 6 | Little et al., 1974 |
| 1787-61-7 Mordant Black 11 |
Tête-de-boule Pimephales promelas | 96 | CL50 | 6 | Little et Lamb, 1973 |
| 5610-64-0 Acid Black 52 |
Tête-de-boule Pimephales promelas | 24 | CL50 | 7 | Little et al., 1974 |
| 5610-64-0 Acid Black 52 |
Tête-de-boule Pimephales promelas | 48 | CL50 | 6.2 | Little et al., 1974 |
| 5610-64-0 Acid Black 52 |
Tête-de-boule Pimephales promelas | 96 | CL50 | 6.2 | Little et al., 1974 |
| 5610-64-0 Acid Black 52 |
Tête-de-boule Pimephales promelas | 96 | CL50 | 7 | Little et Lamb, 1973 |
| Substance A | Daphnia magna | 24 | CE50 (immobilisation) | 480,7 | Renseignements confidentiels |
| Substance A | Carpe commune (Cyprinus carpio) | 96 | CL50 | supérieur(e) à 1 200 | Renseignements confidentiels |
| Substance B | Daphnia magna | 48 | CE50 (immobilisation) | supérieur(e) à 100 | Renseignements confidentiels |
| Substance B | Truite arc-en-ciel Oncorhynchus mykiss | 48 | CL50 | 100 | Renseignements confidentiels |
| Substance C | Daphnia magna | 72 | CE50 (immobilisation) | 1,7 | Renseignements confidentiels |
| Substance C | Truite arc-en-ciel Oncorhynchus mykiss | 96 | CL50 | 0,4 | Renseignements confidentiels |
| Substance C | Tête-de-boule Pimephales promelas | 96 | CL50 | 37,0 | Renseignements confidentiels |
| N° CAS Nom dans le C.I. |
Organisme d'essai | Paramètre | Référence |
|---|---|---|---|
| Disperse Yellow 7 6300-37-4 |
Hyalella | CL50 après 7 jours = 0,18 mg/L CL50 après 14 jours = 0,16 mg/L CL50 après 20 jours = 0,025 mg/L CL50 après 21 jours = 0,12 mg/L CL50 après 28 jours = 0,12 mg/L CE50 après 28 jours = 0,2 mg/L |
Bartlett, 2013 |
Annexe B : Calculs de l'exposition écologique en milieu aquatique concernant le NE CAS 85029-57-8 du complexe métallique azoïque
Les concentrations environnementales estimées (CEE) de la seule substance commercialisée (n° CAS 85029-57-8) ont été estimées dans l'eau pour les dix sites de formulation de peintures et de revêtements répertoriés. Les estimations étaient fondées sur plusieurs paramètres : la quantité utilisée annuellement, le facteur d'émission pour les émissions dans les eaux usées, l'élimination par le traitement des eaux usées sur place et la dilution en fonction des eaux usées et des eaux réceptrices.
La quantité de la substance utilisée annuellement dans chaque installation a été obtenue à partir d'une enquête publiée en vertu de l'article 71 de la LCPE (1999) (Canada, 2011). Cette quantité était comprise entre 10 et 1 000 kg pour l'année civile 2010 :
Quantité utilisée annuellement dans une installation de la substance portant le n° CAS 85029-57-8
= Quantité réelle annuelle tirée de l'enquête menée en vertu de l'article 71 de la LCPE (Canada, 2011).
= 10 à 1 000 kg/an
L'utilisation des quantités réelles tirées de l'enquête pour calculer l'exposition devrait fournir des estimations des rejets et de l'exposition plus précises avec les données disponibles, dans la mesure du possible. Cela permettrait d'améliorer la certitude de la caractérisation des risques et d'éviter de tirer de fausses conclusions des risques. Cependant, des hypothèses prudentes, par mesure de précaution, sont encore nécessaires dans le cas de lacunes et d'incertitudes dans les données.
Le nombre de jours d'exploitation annuels relatifs à la substance dans chaque installation n'était pas connu. On a présumé, en toute prudence que ce paramètre correspondait à 1 jour/an :
Nombre de jours d'exploitation annuels = 1 jour/an
La quantité de la substance utilisée quotidiennement dans chaque installation a ensuite été calculée en divisant la quantité utilisée annuellement par le nombre de jours d'exploitation annuels. Par exemple, pour une quantité utilisée annuellement de 100 kg/an, la quantité utilisée quotidiennement a été calculée comme suit :
Quantité de la substance portant le no CAS 85029-57-8 utilisée quotidiennement dans une installation
= Quantité de la substance portant le no CAS 85029-57-8 utilisée annuellement dans une installation/nombre de jours d'exploitation annuels
= 100 kg/année/1 jour/année
= 100 kg/année
Le facteur d'émission pour les émissions dans les eaux usées provenant du nettoyage d'installations de formulation de peintures et de revêtements a été obtenu à partir d'une analyse des données de l'industrie (Environnement Canada, 2012). Ce paramètre s'est révélé être de 0,3 % :
Facteur d'émission dans les eaux usées : 0,3 %
La quantité de la substance rejetée quotidiennement dans les eaux usées d'une installation a été estimée en multipliant la quantité de la substance utilisée quotidiennement dans une installation par le facteur d'émission dans les eaux usées. Par exemple, pour une quantité utilisée quotidiennement de 100 kg/jour, la quantité de la substance rejetée quotidiennement dans les eaux usées à partir d'une installation a été estimée de la manière suivante :
Quantité de la substance portant le no CAS 85029-57-8 rejetée quotidiennement dans les eaux usées d'une installation
= Quantité de la substance portant le no CAS 85029-57-8 rejetée quotidiennement dans une installation x le facteur d'émission dans les eaux usées
= 100 kg/jour x 0,3 %
= 0,3 kg/jour
Plusieurs visites aux sites des installations de formulation de peintures et de revêtements ont indiqué que des bassins de décantation étaient utilisés pour le traitement des eaux usées sur place pour l'élimination de matières solides (Crechem, 2003). Ces visites de sites ont aussi révélé que les eaux usées traitées subissaient d'autres traitements par l'intermédiaire de systèmes de traitement des eaux usées locaux hors site avant d'être rejetées dans le milieu aquatique. On a donc supposé que le traitement des eaux usées sur place et hors site avait lieu et on l'a pris en compte dans les calculs de l'exposition.
Les colorants affichant une hydrosolubilité inférieure à 1 mg/L devraient être éliminés à 90 % par des bassins de décantation (OCDE, 2009). Le mécanisme d'élimination est une précipitation lorsqu'une substance est présente dans l'eau à des concentrations supérieures à son hydrosolubilité. Étant donné que la substance portant le n° CAS 85029-57-8 a une hydrosolubilité inférieure à 1 mg/L (0,002 à 0,5 mg/L) et que les systèmes de traitement des eaux usées sur place devraient être équipés de bassins de décantation, l'efficacité de l'élimination devrait être de 90 % en ce qui concerne le traitement sur place.
Traitement et élimination des eaux usées sur place = 90 %
La quantité de la substance rejetée dans les égouts d'une installation a ensuite été déterminée à partir de la quantité rejetée quotidiennement dans les eaux usées et de l'élimination par le traitement des eaux usées sur place. Par exemple, pour une quantité de 0,3 kg/jour rejetée quotidiennement dans les eaux usées, la quantité rejetée quotidiennement dans les égouts a été estimée comme suit :
Quantité de la substance portant le no CAS 85029-57-8 rejetée quotidiennement dans les égouts d'une installation
= Quantité de la substance portant le no CAS 85029-57-8 rejetée quotidiennement dans les eaux usées d'une installation x (1 - élimination par le traitement des eaux usées sur place)
= 0,3 kg/jour × (1 − 0,9)
= 0,03 kg/jour
La concentration de la substance dans les influents allant vers un système local de traitement des eaux usées appartenant au secteur public dépend du débit de l'influent. La concentration de la substance dans l'influent a été estimée en divisant la quantité rejetée quotidiennement dans les égouts d'une installation par le débit de l'influent. L'exemple ci-dessous est utilisé pour illustrer les calculs d'une quantité de 0,03 kg/jour rejetée quotidiennement dans les égouts et d'un débit d'influent de 200 000 L/jour.
Concentration de la substance portant le no CAS 85029-57-8 dans les influents
= Quantité de la substance portant le no CAS 85029-57-8 rejetée quotidiennement dans les égouts d'une installation/débit d'influent
= 0,03 kg/jour / 200 000 L/jour
= 1,5 × 10−7 kg/L
= 150 µg/L
Il convient de noter que l'on est parti du principe que les flux des influents et des effluents d'un système de traitement des eaux usées local étaient égaux dans tous les calculs de la concentration. Par souci de commodité, on les a simplement désignés en tant que flux d'un système de traitement des eaux usées.
L'efficacité d'élimination des systèmes locaux de traitement des eaux usées hors site des dix sites de formulation de peintures et de revêtements est supposée négligeable. Cela est dû à la faible affinité de la substance pour les solides en raison de son coefficient de partage octanol-eau peu élevé (log Koe = −2,8 à -1,4). Ainsi, l'élimination par la sorption des boues devrait être insignifiante. En outre, la substance n'est pas volatile. L'élimination par volatilisation est donc négligeable. On présume que la substance n'est pas biodégradable dans des conditions de traitement des eaux usées en raison du manque de données sur la biodégradation. L'élimination globale est donc estimée à 0 %.
Deux des systèmes locaux de traitement des eaux usées hors site ont été désignés comme des lagunes. Les lagunes contiennent des volumes d'eau importants et affichent de longues périodes de rétention hydraulique. Le temps de rétention d'une lagune allait de quelques semaines à quelques mois, selon les données recueillies sur le terrain par l'intermédiaire du programme de suivi et de surveillance de l'environnement lié au Plan de gestion des produits chimiques d'Environnement Canada (Smyth, 2012). Les répercussions d'un temps de rétention prolongé sont qu'une substance qui entre dans une lagune en l'espace d'une période de temps relativement courte est assujettie à une dilution, bien que l'élimination soit négligeable. Par conséquent, la concentration de la substance dans les effluents de la lagune est réduite par une telle dilution. La durée de déversement de la substance en milieu aquatique au cours d'une année était de 1 jour, comme cela a été estimé dans cette analyse :
Durée des rejets de la substance portant le no CAS 85029-57-8 en milieu aquatique dans une installation = 1 jour
Cette durée était relativement courte par rapport au temps de résidence d'une lagune. La dilution était donc justifiée. Cette dilution ne devait toutefois pas se produire dans les systèmes de traitement primaires et secondaires des eaux usées, en raison de leurs courts temps de rétention hydraulique, généralement mesurés en heures.
Nous ne disposions d'aucune méthode quantitative pour déterminer le degré de dilution de la lagune. Néanmoins, le rapport entre le temps de rétention d'une lagune et la durée de déversement d'une substance pouvait être utilisé comme une approximation de la dilution de la lagune, étant donné qu'il représentait la dilution complète ou le rapport volumique entre l'ensemble de l'eau de la lagune et les eaux usées contenant une substance précise. À titre estimatif, le temps de rétention d'une lagune allant de quelques semaines à quelques mois varie de 42 jours (6 semaines) à 84 jours (12 semaines), avec une moyenne de 63 jours. On a déterminé la dilution complète en divisant cette moyenne par la durée de déversement (1 jour) :
Dilution de la lagune
= Temps moyen de rétention hydraulique de la lagune/durée de déversement
= 63 jours/1 jour
= 63
La concentration de la substance dans les effluents de la lagune a été estimée en prenant en considération la dilution de la lagune. Par exemple, pour une concentration de 150 µg/L dans les influents, la concentration de la substance dans les effluents était estimée comme suit :
Concentration de la substance portant le no CAS 85029-57-8 dans les effluents de la lagune
= Concentration de la substance portant le no CAS 85029-57-8 dans les influents de la lagune/dilution de la lagune
= 150 µg/L/63
= 2,4 µg/L
Pour les systèmes de traitement primaires et secondaires, la concentration de la substance dans les effluents équivaut à la concentration dans les influents.
La CEE en milieu aquatique a été déterminée par l'application de la dilution dans les eaux réceptrices à la concentration dans les effluents. Étant donné que la concentration environnementale estimée pour le milieu aquatique a été évaluée près du point de déversement, la dilution dans l'eau réceptrice sélectionnée devrait également être applicable à cette condition. Le plein potentiel de dilution d'une rivière était considéré comme approprié s'il se situait entre un et dix, en fonction de son débit au 10e centile. Sinon, la dilution était maintenue à dix pour les grandes rivières et les eaux calmes.
Par exemple, pour une concentration de 2,4 µg/L dans des effluents se déversant dans une rivière à un débit de 200 000 L/jour avec un débit au 10e centile de 34 000 000 L/jour, la dilution complète des eaux réceptrices a été estimée à 170 (34 000 000 L/jour / 200 000 L/jour). Le facteur de dilution de 10 a donc été choisi pour déterminer la concentration près du point de rejet.
CEE en milieu aquatique
= Concentration de la substance portant le no CAS 85029-57-8 dans les effluents / Facteur de dilution dans les eaux réceptrices
= 2,4 µg par litre/10
= 0,24 µg/L










