Évaluation préalable pour le Défi concernant les amines tert-alkyles en C18-22, (chlorométhyl) phosphonates (2:1)
Numéro de registre du Chemical Abstracts Service 79357-73-6
Environnement Canada
Santé Canada
Août 2009
Table des matières
- Synopsis
- Introduction
- Identité de la substance
- Propriétés physiques et chimiques
- Sources
- Utilisations
- Rejets dans l'environnement
- Devenir dans l'environnement
- Persistance et potentiel de bioaccumulation
- Potentiel d'effets nocifs sur l'environnement
- Conclusion
- Références
- Annexe I - Tableau sommaire des intrants des modèles de la persistance, de la bioaccumulation et de la toxicité
Synopsis
En application de l'article 74 de la Loi canadienne sur la protection de l'environnement, 1999 [LCPE (1999)], les ministres de l'Environnement et de la Santé ont effectué une évaluation préalable des amines, tert-alkyles en C18-22, (chlorométhyl)phosphonates (2:1) (ATACP), dont le numéro de registre du Chemical Abstracts Service est 79357-73-6. Une priorité élevée a été accordée à l'évaluation préalable de cette substance inscrite au Défi, car elle répondait initialement aux critères de la catégorisation écologique relatifs à la persistance, au potentiel de bioaccumulation et à la toxicité intrinsèque pour les organismes non humains et l'on croit qu'elle est commercialisée au Canada.
L'évaluation des risques que présente l'ATACP pour la santé humaine n'a pas été jugée hautement prioritaire à la lumière des résultats fournis par les outils simples de détermination du risque d'exposition et du risque pour la santé élaborés par Santé Canada aux fins de la catégorisation des substances de la Liste intérieure des substances. Par conséquent, la présente évaluation est axée sur les renseignements utiles à l'évaluation des risques pour l'environnement.
L'ATACP est une substance organique complexe qui n'est pas produite naturellement dans l'environnement. Bien qu'aucune entreprise n'ait déclaré la fabrication d'ATACP au Canada (seule, dans un produit ou dans un mélange), entre 100 kg et 1 000 kg de cette substance ont été importés au Canada en 2006. Toutes les utilisations de l'ATACP au pays sont considérées comme des renseignements confidentiels. Toutefois, ces utilisations ont été prises en compte dans le cadre de cette évaluation. Dans d'autres pays, l'ATACP est utilisée comme lubrifiant et additif. Les utilisations potentiellement dispersives de cette substance indiquent qu'il peut y avoir des rejets dans l'environnement au pays.
Certaines hypothèses comme les profils d'utilisation déclarés permettent de croire que la plus grande partie de la substance aboutit dans les décharges (96,8 %). Le reste devrait faire l'objet d'une transformation chimique durant l'incinération (3,0 %), ou être rejeté dans l'air (0,1 %) ou dans les égouts (0,1 %).
L'ATACP est un sel qui se dissocie dans l'eau, c'est pourquoi une évaluation de ses deux composants a été menée, une alkylamine chargée positivement et un contre-ion d'acide phosphonique chargé négativement. D'après ses propriétés physiques et chimiques modélisées, l'alkylamine devrait se dégrader relativement rapidement dans l'air, mais elle devrait être persistante dans l'eau, le sol et les sédiments. D'autre part, le contre-ion d'acide phosphonique est persistant dans l'air, mais il ne devrait pas l'être dans l'eau, le sol et les sédiments. Les deux contre-ions ne devraient pas non plus s'accumuler considérablement dans les organismes ni être bioamplifiés dans les chaînes trophiques. Bien que les composants de l'ATACP ne répondent pas aux critères de bioaccumulation, ils répondent à certains des critères de la persistance (dans l'air pour l'acide phosphonique et dans l'eau, le sol et les sédiments pour l'alkylamine) exposés dans le Règlement sur la persistance et la bioaccumulation. Les valeurs modélisées de la toxicité aquatique aiguë semblent indiquer que l'alkylamine présente un potentiel de toxicité modéré à fort pour les organismes aquatiques, tandis que le contre-ion d'acide phosphonique ne présente qu'un faible potentiel, voire aucun, de toxicité aquatique.
Étant donné qu'on s'attend à peu de rejets des exploitations industrielles ou d'autres sources dans le milieu aquatique, cette substance ne semble pas avoir d'effets écologiques nocifs sur l'environnement.
Les renseignements disponibles permettent de conclure que la quantité, la concentration et les conditions de pénétration de l'ATACP dans l'environnement ne sont pas de nature ni à avoir, immédiatement ou à long terme, un effet nocif sur l'environnement ou sur la diversité biologique, ni à mettre en danger l'environnement essentiel pour la vie.
Cette substance s'inscrira dans la prochaine mise à jour de l'inventaire de la Liste intérieure. De plus, des activités de recherche et de surveillance viendront, le cas échéant, appuyer la vérification des hypothèses formulées au cours de l'évaluation préalable
D'après les renseignements disponibles, l'ATACP ne remplit aucun des critères prévus à l'article 64 de la LCPE (1999).
Introduction
La Loi canadienne sur la protection de l'environnement, 1999 [LCPE (1999)] (Canada, 1999) impose aux ministres de l'Environnement et de la Santé de faire une évaluation préalable des substances qui répondent aux critères de la catégorisation énoncés dans la Loi afin de déterminer si elles présentent ou sont susceptibles de présenter un risque pour l'environnement ou la santé humaine. Selon les résultats de cette évaluation, les ministres peuvent proposer de ne rien faire à l'égard de la substance, de l'inscrire sur la Liste des substances d'intérêt prioritaire en vue d'une évaluation plus détaillée ou de recommander son inscription sur la Liste des substances toxiques de l'annexe 1 de la Loi et, s'il y a lieu, sa quasi-élimination.
En se fondant sur l'information obtenue dans le cadre de la catégorisation, les ministres ont jugé qu'une attention hautement prioritaire devait être accordée à un certain nombre de substances, à savoir :
- celles qui répondent à tous les critères environnementaux de la catégorisation, notamment la persistance (P), le potentiel de bioaccumulation (B) et la toxicité intrinsèque (Ti) pour les organismes aquatiques, et que l'on croit être commercialisées au Canada;
- celles qui répondent aux critères de la catégorisation pour le plus fort risque d'exposition (PFRE) ou qui présentent un risque d'exposition intermédiaire (REI) et qui ont été jugées particulièrement dangereuses pour la santé humaine, compte tenu du classement attribué par d'autres organismes nationaux ou internationaux quant à la cancérogénicité, à la génotoxicité ou à la toxicité sur le plan du développement ou de la reproduction.
Le 9 décembre 2006, les ministres ont donc publié un avis d'intention dans la Partie I de la Gazette du Canada(Canada, 2006), dans lequel ils priaient l'industrie et les autres parties intéressées de fournir, selon un calendrier déterminé, des renseignements précis qui pourraient servir à étayer l'évaluation des risques, ainsi qu'à élaborer et à évaluer les meilleures pratiques de gestion des risques et de bonne gestion des produits pour ces substances jugées hautement prioritaires.
L'évaluation des risques que comportent les amines, C18-22-tert-alkyl, (chloromethyl)phosphonates (2:1) pour l'environnement a été jugée hautement prioritaire pour l'environnement, car ce groupe de substances (considéré comme une substance dans le présent document) est persistant, bioaccumulable et intrinsèquement toxique pour les organismes aquatiques et l'on croit qu'il est commercialisé au Canada. Le volet du Défi portant sur les amines, C18-22-tert-alkyl, (chloromethyl)phosphonates (2:1) a été lancé le 17 novembre 2007 au moyen d'un avis paru dans la Gazette du Canada (Canada, 2007). En même temps a été publié le profil de cette substance, qui présentait l'information technique (obtenue avant décembre 2005) sur laquelle a reposé sa catégorisation. Des renseignements portant sur les utilisations de la substance ont été transmis en réponse au Défi.
Même si l'évaluation des risques que présentent les amines, C18-22-tert-alkyl, (chloromethyl)phosphonates (2:1) pour l'environnement a été jugée hautement prioritaire, cette substance ne répond pas aux critères de la catégorisation pour le PFRE ou le REI, et on estime qu'elle ne pose pas un grave risque pour la santé humaine, compte tenu du classement attribué par d'autres organismes nationaux ou internationaux quant à sa cancérogénicité, à sa génotoxicité ou à sa toxicité sur le plan du développement ou de la reproduction. La présente évaluation est donc axée principalement sur les renseignements d'intérêt pour l'évaluation des risques touchant l'environnement.
Les évaluations préalables effectuées aux termes de la LCPE (1999) mettent l'accent sur les renseignements essentiels pour déterminer si une substance répond aux critères de toxicité des substances chimiques au sens de l'article 64 de la Loi :
« 64. [...] est toxique toute substance qui pénètre ou peut pénétrer dans l'environnement en une quantité ou concentration ou dans des conditions de nature à :
- avoir, immédiatement ou à long terme, un effet nocif sur l'environnement ou sur ladiversité biologique;
- mettre en dangerl'environnement essentiel pour la vie; ou
- constituer un danger au Canada pour la vie ou la santé humaines. »
Les évaluations préalables visent à examiner des renseignements scientifiques et à tirer des conclusions fondées sur la méthode du poids de la preuve et le principe de prudence.
La présente évaluation préalable prend en considération les renseignements sur les propriétés chimiques, les dangers, les utilisations et l'exposition identifiés après décembre 2005, y compris ceux fournis dans le cadre du Défi. Les données pertinentes pour l'évaluation préalable de cette substance ont été relevées dans des publications originales, des rapports de synthèse et d'évaluation, des rapports de recherche de parties intéressées et d'autres documents consultés lors de recherches documentaires menées récemment, jusqu'en mars 2008. Les études importantes ont fait l'objet d'une évaluation critique et, en général, seuls les résultats des études de qualité ont été utilisés dans la formulation des conclusions, même si d'autres résultats d'études et de la modélisation peuvent avoir été pris en compte dans l'établissement du poids de la preuve. Lorsqu'ils étaient disponibles et pertinents, les renseignements contenus dans les évaluations des dangers effectuées par d'autres instances ont été pris en considération. La présente évaluation préalable ne constitue pas un examen exhaustif ou critique de toutes les données disponibles. Elle fait plutôt état des études et des éléments d'information les plus importants pour appuyer la conclusion.
La présente évaluation préalable a été préparée par le personnel des programmes des substances existantes de Santé Canada et d'Environnement Canada et elle intègre les résultats d'autres programmes exécutés par ces ministères. Cette évaluation préalable a fait l'objet d'une étude consignée par des pairs. Par ailleurs, une ébauche de cette évaluation a fait l'objet d'une période d'observation du public de 60 jours. Bien que des commentaires externes aient été pris en considération, Santé Canada et Environnement Canada assument la responsabilité du contenu final et des résultats de l'évaluation préalable. Les principales données et considérations sur lesquelles repose la présente évaluation sont résumées ci-après.
Identité de la substance
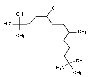
Aux fins du présent document, la substance dont il est question ici est appelée ATACP, sigle provenant du nom utilisé dans la Liste intérieure des substances. Elle fait partie de la catégorie des UVCB (substances de composition inconnue ou variable, produits de réactions complexes ou matières biologiques). En d'autres termes, cette substance n'est pas un composé chimique défini. On peut donc la représenter par une structure représentative et la notation SMILES correspondante, lesquelles ont ensuite servi aux modélisations et à la présente évaluation.
| Numéro de registre du Chemical Abstracts Service (no CAS) | 79357-73-6 |
|---|---|
| Nom dans la Liste intérieure des substances (LIS) | Amines tert-alkyles en C18-22, (chlorométhyl)phosphonates (2:1) |
| Noms dans les National Chemical Inventories (NCI)Note de bas de tableaua | Amines, C18-22- tert-alkyl, (chloromethyl)phosphonates (2:1) (TSCA, ASIA-PAC, NZIoC)Amines tert-alkyles en C18-22, (chlorométhyl)phosphonates (2:1)(EINECS) |
| Autres noms | Monochloromethyl phosphonic acid, tert C18-C22 alkyl amine salt |
| Groupe chimique (Groupe de la LIS) | UVCBNote de bas de tableaub |
| Principale classe chimique ou utilisation | Amines |
| Formule chimique représentative du composant alkylamine, partie chimique la plus préoccupante sur le plan écologique de cette UVCB | C18H39N |
| Formule chimique représentative du composant acide phosphonique | CH4ClO3 |
| Structure chimique des sels 2:1 du C18H39N | ![]() |
| Structure chimique représentative du composant alkylamine utilisée dans les modèles d'estimationNote de bas de tableaub | ![]() |
| Structure chimique représentative du composant acide phosphonique utilisée dans les modèles d'estimation | ![]() |
| Simplified Molecular Input Line Entry System (SMILES) pour les composants alkylamine et acide phosphonique utilisé dans les modèles d'estimationNote de bas de tableaub | CC(C)(C)CCC(C)CCC(C)CCCC(C)(C)N et [O-]P(O)(CCl)=O |
| Masse moléculaire des composants alkylamine et acide phosphonique | 269,52 g/mol (alkylamine) et 130,47 g/mol (acide phosphonique) |
Propriétés physiques et chimiques
Le tableau 2 présente les propriétés physiques et chimiques modélisées de l'ATACP qui se rapportent à son devenir dans l'environnement. Comme on ne disposait d'aucune donnée expérimentale pour l'ATACP, les propriétés ont été estimées au moyen de modèles principalement fondés sur les relations quantitatives structure-activité (RQSA), le cas échéant.
Deux contre-ions ont été choisis pour représenter l'ATACP, soit une alkylamine et un composant acide phosphonique. Un contre-ion est un ion qui se fixe à une autre espèce ionique pour maintenir la neutralité électrique d'une substance. L'ATACP est un sel qui se dissout dans l'eau en une alkylamine chargée positivement et en un composant acide phosphonique chargé négativement. L'ionisation de ces composants influe grandement sur les propriétés physiques et chimiques comme la solubilité dans l'eau, le log Koe et le log Kco(tableau 2).
| Type | ValeurNote de bas de tableauc pour l'alkylamine | Valeur pour le composant acide phosphonique | Température (°C) | Référence | |
|---|---|---|---|---|---|
| Point de fusion (°C) | Modélisé | 69,34 | 24,04 | MPBPWIN, 2000 | |
| Point d'ébullition (°C) | Modélisé | 299,34 | 292,26 | MPBPWIN, 2000 | |
| Masse volumique (kg/m3) | Non disponible | Non disponible | Non disponible | Non disponible | Non disponible |
| Pression de vapeur (Pa) | Modélisé | 0,103 (7,73 × 10-4 mm Hg) |
0,0164 | MPBPWIN, 2000 | |
| Constante de la loi de Henry (Pa·m3/mol) | Modélisé | 9,48 × 101 | 4,35 × 10-7 | 25 | HENRYWIN, 2000 |
| Log KoeNote de bas de tableaud (coefficient de partage octanol-eau) (sans dimension) | Modélisé | 3,5 | -4,9 | KOWWIN, 2000 | |
| Log Kco (coefficient de partage carbone organique-eau)(sans dimension) | Modélisé | 4,81 | 0,44 | PCKOCWIN, 2000 | |
| Solubilité dans l'eau (mg/L) | Modélisé | 192,1 | 1,0 × 106 | 25 | WSKOWWIN, 2000 |
| pKa (constante de dissociation acide) [sans dimension] | Modélisé | 10,6 (sous forme de base) | 1,2 (sous forme d'acide) | Environnement Canada, 2008a |
Sources
Les deux contre-ions ne sont pas produits naturellement dans l'environnement.
En réponse à l'enquête menée en application de l'article 71 de la LCPE (1999) pour l'année civile 2006 (Environnement Canada, 2008a), moins de cinq entreprises ont déclaré avoir importé une quantité globale variant entre 100 et 1 000 kg d'ATACP au Canada, soit comprise dans un produit, un mélange ou un article manufacturé. Aucune entreprise n'a déclaré avoir fabriqué cette substance dans une quantité (inférieure ou supérieure au seuil prescrit) au Canada en 2006. Moins de cinq entreprises ont montré un intérêt pour cette substance (Environnement Canada, 2008b).
D'après une enquête antérieure effectuée en vertu de l'article 71 de la LCPE (1999) pour 2005 (Environnement Canada, 2007), il semble que l'ATACP n'a pas été fabriquée ou importée au Canada en 2005 en quantité égale ou supérieure au seuil de déclaration de 100 kg. Toutefois, moins de cinq entreprises ont montré un intérêt pour cette substance.
La quantité déclarée comme ayant été fabriquée, importée ou commercialisée au Canada au cours de l'année civile 1986 se situait entre 0 et 1 000 kg. Le nombre de déclarants pour les années civiles 1984 à 1986 était inférieur à cinq (Environnement Canada, 1988).
Ailleurs, l'ATACP figure dans l'Inventaire européen des substances chimiques commerciales existantes (EINECS) [ESIS, 2007]. L'industrie de l'Union européenne ne l'a pas classée parmi les substances chimiques produites en grandes quantités ou en faibles quantités. On a également déclaré avoir utilisé l'ATACP au Danemark et en Norvège entre 2001 et 2005; cependant, l'utilisation et les quantités ne sont pas connues (SPIN 2008).
Utilisations
Les renseignements déclarés sur l'utilisation en réponse à l'avis émis en vertu de l'article 71 pour l'année civile 2006 (Environnement Canada, 2008b) sont considérés comme des renseignements commerciaux confidentiels. Toutefois, ces utilisations ont été prises en compte dans le cadre de cette évaluation.
Moins de cinq entreprises ont déclaré avoir utilisé cette substance durant l'année civile 1986 (Environnement Canada, 1988) pour les utilisations suivantes : lubrifiant/additif au lubrifiant/démoulant.
Selon la base de données des pays nordiques sur les substances dans les préparations (SPIN, 2008), en 2004, ce produit chimique a été utilisé en Finlande dans des lubrifiants et comme additif ainsi que dans le transport aérien.
Rejets dans l'environnement
Outil de débit massique
Un outil basé sur le débit massique a été élaboré pour estimer les rejets potentiels de la substance dans l'environnement à différentes étapes de son cycle de vie (Environnement Canada, 2008c). Les données empiriques sur les rejets de substances spécifiques dans l'environnement son rares. On estime donc, pour chaque type d'utilisation connue, la proportion et la quantité des rejets dans les différents milieux naturels, ainsi que la proportion de la substance qui est transformée chimiquement ou envoyée dans les lieux d'élimination des déchets. À moins qu'on ne possède des données concernant expressément le volume réel ou potentiel des rejets des décharges et des incinérateurs, l'outil de débit massique ne permet pas de quantifier les rejets de ces sources.
Les hypothèses et les paramètres d'entrée employés pour faire les estimations des rejets sont fondés sur des renseignements obtenus de diverses sources dont les réponses à des enquêtes menées conformément à la réglementation, les données de Statistique Canada, les sites Web des fabricants et les bases de données et documents techniques. À cette fin, les facteurs d'émission sont particulièrement utiles; ils sont habituellement exprimés comme la fraction de la substance rejetée dans l'environnement, notamment durant sa fabrication, sa transformation et son utilisation associées aux procédés industriels. Ces données découlent notamment de documents sur les scénarios d'émission, souvent produits sous les auspices de l'Organisation de coopération et de développement économiques (OCDE), et d'hypothèses par défaut utilisées par différents organismes internationaux de réglementation des produits chimiques. Il est à noter que le degré d'incertitude associé à la masse de la substance en circulation et à la quantité rejetée dans l'environnement augmente généralement vers la fin du cycle de vie.
Les résultats de l'outil de débit massique (tableau 3) indiquent que la majeure partie de l'ATACP devrait être envoyée dans les décharges (96,8 %), en raison de l'élimination d'articles manufacturés qui en contiennent. Une petite fraction de déchets solides est incinérée, ce qui devrait causer une transformation chimique de la substance (3,0 %). D'après les renseignements contenus dans les documents sur les scénarios d'émissions de l'OCDE concernant la transformation et les utilisations associées à ce type de substance, on estime que 0,1 % de l'ATACP peut être rejeté aussi bien dans l'air que dans l'eau (soit à partir des égouts pour ce dernier milieu).
| Devenir | Proportion massique (%)Note de bas de tableaue | Principale étape du cycle de vieNote de bas de tableauf |
|---|---|---|
| Rejets dans le sol | 0,0 | Utilisation par les consommateurs |
| Rejets dans l'air | 0,1 | Durée de vie utile |
| Rejets dans les égoutsNote de bas de tableaug | 0,1 | Durée de vie utile |
| Transformation chimique | 3,0 | |
| Envoi dans des lieux d'élimination des déchets (p. ex., les décharges, les incinérateurs) | 96,8 | Élimination des déchets |
Les résultats indiquent que la majeure partie de l'ATACP devrait être envoyée dans les décharges (96,8 %), en raison de l'élimination éventuelle d'articles manufacturés qui en contiennent. Une petite fraction de déchets solides est incinérée, ce qui devrait causer une transformation chimique de la substance (3 %). D'après les renseignements contenus dans les documents sur les scénarios d'émissions de l'OCDE concernant la transformation et les utilisations associées à ce type de substance, on estime que 0,1 % de l'ATACP peut être rejeté aussi bien dans l'air que dans l'eau (soit à partir des égouts pour ce dernier milieu).
Devenir dans l'environnement
Étant donné que l'ATACP est un sel, elle se dissout dans l'eau en une alkylamine chargée positivement (basique) et en un composant acide phosphonique chargé négativement (acide). L'ionisation a une incidence sur le log Koe, le log Kco et la solubilité dans l'eau de la substance (tableau 2). Par exemple, le log Koe de l'alkylamine ionisée, estimé à environ 3,5 à un pH de 7 (tableau 2), est inférieur à celui de la forme neutre.
L'ATACP est peu susceptible de se bioaccumuler comme le Koe est 4,00 (modéré).
D'après les propriétés physiques et chimiques des contre-ions de l'ATACP (tableau 2), les résultats de la modélisation de la fugacité de niveau III (tableau 4) semblent indiquer que l'acide phosphonique devrait demeurer principalement dans l'eau et le sol, selon le milieu récepteur. L'alkylamine demeurera principalement dans l'eau, les sédiments ou le sol, selon le milieu récepteur.
| Forme | Fraction de la substance répartie dans l'air (%) | Fraction de la substance répartie dans l'eau (%) | Fraction de la substance répartie dans le sol (%) | Fraction de la substance répartie dans les sédiments (%) | |
|---|---|---|---|---|---|
| Rejet de la substance dans l'air (100 %) | Alkylamine | 77,1 | 2,2 | 10,1 | 10,6 |
| Rejet de la substance dans l'eau (100 %) | Alkylamine | 0,3 | 17,4 | 0,004 | 82,3 |
| Rejet de la substance dans le sol (100 %) | Alkylamine | 0 | 0 | 100 | 0,03 |
| Rejet de la substance dans l'air (100 %) | Acide phosphique | 0 | 31,1 | 68,8 | 0,1 |
| Rejet de la substance dans l'eau (100 %) | Acide phosphique | 0 | 99,8 | 0 | 0,2 |
| Rejet de la substance dans le sol (100 %) | Acide phosphique | 0 | 27,8 | 72,1 | 0,1 |
L'alkylamine montre une volatilité modérée et, en cas de rejet dans l'air, elle demeurerait largement dans ce milieu (77,1 %). En cas de rejet dans l'air, le contre-ion acide phosphonique se répartirait surtout dans l'eau et le sol (voir le tableau 4).
Lorsqu'elle est rejetée dans l'eau, l'ATACP devrait surtout y demeurer. La volatilisation à partir de la surface de l'eau ne devrait pas être un processus important de son devenir d'après la constante de la loi de Henry. Si l'eau est le milieu récepteur, le contre-ion acide phosphonique devrait principalement y demeurer (voir le tableau 4 plus haut).
Lorsqu'elle est rejetée dans le sol, l'alkylamine devrait s'y adsorber fortement (c'est-à-dire qu'elle devrait être relativement immobile) d'après le log Kco estimé, alors que le composant acide phosphonique devrait être très mobile. La volatilisation à partir des surfaces de sol humides ne serait pas un processus important dans le devenir de cette substance d'après la constante estimée de la loi de Henry. La volatilisation modérée à partir des surfaces de sol sèches est possible d'après la pression de vapeur du composant acide phosphonique. Par conséquent, lorsqu'ils sont rejetés dans le sol, les deux contre-ions demeureront principalement dans ce milieu et, dans le cas du composant acide phosphonique, il se répartira dans l'eau, ce qu'illustrent les résultats de la modélisation multiespèces (voir le tableau 4).
Persistance et potentiel de bioaccumulation
Persistance dans l'environnement
Aucune donnée expérimentale sur la dégradation de ces deux contre-ions n'a été trouvée. Le tableau 5 résume les résultats des modèles prédictifs RQSA disponibles sur la dégradation dans divers milieux naturels.
| Processus du devenir | Modèle et fondement du modèle | Résultat et prévision du modèle | Demi-vie extrapolée (jours) |
|---|---|---|---|
| Oxydation atmosphérique | AOPWIN, 2000 | t½ = 0,282 jours | inférieure à 2 |
| Réaction avec l'ozone | AOPWIN, 2000 | s.o.Note de bas de tableauh | s.o. |
| Processus du devenir | Modèle et fondement du modèle | Résultat et prévision du modèle | Demi-vie extrapolée (jours) |
|---|---|---|---|
| Hydrolyse | HYDROWIN, 2000 | s.o.Note de bas de tableaui | s.o. |
| Biodégradation (aérobie) | BIOWIN, 2000 Sous-modèle 3 : enquête d'expert (biodégradation ultime) | 2,2Note de bas de tableauj « mois » | inférieure à 182Note de bas de tableaul |
| Biodégradation (aérobie) | BIOWIN, 2000 Sous-modèle 4 : enquête d'expert (biodégradation primaire) | 3,19Note de bas de tableauj « semaines » | inférieure à 182Note de bas de tableaul |
| Biodégradation (aérobie) | BIOWIN, 2000 Sous-modèle 5 : MITI probabilité linéaire | 0,32Note de bas de tableauk « ne se biodégrade pas rapidement » | inférieure à 182Note de bas de tableaul |
| Biodégradation (aérobie) | BIOWIN, 2000 Sous-modèle 6 : probabilité non linéaire du MITI | 0,14Note de bas de tableauk « ne se biodégrade pas rapidement » | supérieure à 182Note de bas de tableaul |
| Biodégradation (aérobie) | CATABOL 2004-2008 % DBO (demande biochimique en oxygène) | % DBO = 24.86.4 « se biodégrade lentement » | supérieure à 182Note de bas de tableaul |
| Processus du devenir | Modèle et fondement du modèle | Résultat et prévision du modèle | Demi-vie extrapolée (jours) |
|---|---|---|---|
| Oxydation atmosphérique | AOPWIN, 2000 | t½ = 16,8 jours | inférieure à 2 |
| Réaction avec l'ozone | AOPWIN, 2000 | s.o.Note de bas de tableaum | s.o. |
| Processus du devenir | Modèle et fondement du modèle | Résultat et prévision du modèle | Demi-vie extrapolée (jours) |
|---|---|---|---|
| Hydrolyse | HYDROWIN, 2000 | s.o.Note de bas de tableaun | s.o. |
| Biodégradation (aérobie) | BIOWIN, 2000 Sous-modèle 3 : enquête d'expert (biodégradation ultime) | 2,73Note de bas de tableauo « semaines à mois » | inférieure à 182Note de bas de tableauq |
| Biodégradation (aérobie) | BIOWIN, 2000 Sous-modèle 4 : enquête d'expert (biodégradation primaire) | 3,55Note de bas de tableauo « jours à semaines » | inférieure à 182Note de bas de tableauq |
| Biodégradation (aérobie) | BIOWIN, 2000 Sous-modèle 5 : MITI probabilité linéaire | 0,37Note de bas de tableaup « ne se biodégrade pas rapidement » | inférieure à 182Note de bas de tableauq |
| Biodégradation (aérobie) | BIOWIN, 2000 Sous-modèle 6 : probabilité non linéaire du MITI | 0,19Note de bas de tableaup « ne se biodégrade pas rapidement » | supérieure à 182Note de bas de tableauq |
| Biodégradation (aérobie) | CATABOL 2004-2008 % DBO (demande biochimique en oxygène) | % DBO = 0,6 « se biodégrade lentement » | supérieure à 182Note de bas de tableauq |
Dans l'air, ces substances devraient surtout réagir avec des radicaux hydroxyles. Elles ne devraient pas réagir dans l'atmosphère avec d'autres espèces photooxydantes, comme O3. Sa demi-vie de 0,28 jour sous l'effet des réactions avec des radicaux hydroxyles permet de conclure que l'ATACP n'est pas persistant dans l'air. Toutefois, le composant acide phosphonique est assez persistant dans l'air, sa demi-vie étant de 16,8 jours.
Les résultats obtenus pour l'alkylamine indiquent généralement un faible taux de biodégradation ultime. Le sous-modèle 6 BIOWIN et le modèle Catabol indiquent tous deux que la demi-vie de biodégradation ultime serait supérieure à 182 jours. Le résultat de 0,32 du modèle BIOWIN 5 montre que cette substance « ne se biodégrade pas rapidement ». D'après les résultats obtenus avec le modèle BIOWIN 3 qui sont de l'ordre de « mois », la demi-vie primaire devrait être de 120 jours, indiquant que la demi-vie de dégradation ultime pourrait être supérieure à 182 jours. Bien que la dégradation primaire pourrait se produire relativement rapidement, l'identité des produits de dégradation est inconnue.
Les résultats des sous-modèles 3, 4 et 5 BIOWIN pour le composant acide phosphonique montrent que la demi-vie de biodégradation est de moins de 182 jours. Les résultats des modèles BIOWIN 6 et Catabol semblent toutefois indiquer que la demi-vie dans l'eau serait supérieure à 182 jours. Or, compte tenu des prévisions des modèles BIOWIN 3, 4 et 5 et du fait que les données empiriques montrent qu'un éthéphon connexe se dégrade rapidement dans le sol (Etoxnet, 2009), on peut conclure que la demi-vie de dégradation ultime du composant acide phosphonique est largement inférieure à 182 jours.
En utilisant un ratio d'extrapolation de 1:1:4 pour la demi-vie associée à la biodégradation dans l'eau, le sol et les sédiments (Boethling et al., 1995), la dégradation ultime dans le sol devrait être de plus de 182 jours et la demi-vie dans les sédiments, de plus de 365 jours pour l'alkylamine. Cela indique que l'alkylamine est persistant dans le sol et les sédiments. La demi-vie de l'acide phosphonique dans le sol devrait être bien inférieure à 182 jours (principalement d'après les données sur la dégradation pour la substance connexe, éthéphon, mentionnée précédemment) et, par conséquent, la demi-vie dans les sédiments devrait être inférieure à 365 jours.
D'après les données modélisées disponibles (voir le tableau 5), l'alkylamine répond aux critères de la persistance dans l'eau, le sol (c.-à-d. demi-vies dans le sol et dans l'eau supérieurs ou égals à 182 jours) et les sédiments (demi-vie dans les sédiments supérieur ou égal à 365 jours), mais ne répond pas aux critères de la persistance dans l'air (demi-vie dans l'air supérieur ou égal à 2 jours) énoncés dans le Règlement sur la persistance et la bioaccumulation (Canada, 2000). D'après les données modélisées pour le contre-ion acide phosphonique, cette substance ne répond pas aux critères de la persistance dans l'eau, le sol et les sédiments, mais répond aux critères de persistance dans l'air énoncés dans le Règlement sur la persistance et la bioaccumulation (Canada, 2000).
Potentiel de bioaccumulation
Une valeur de log Koe modélisée, qui a été estimée pour la forme ionisée de l'acide phosphonique (-4,9), laisse supposer que ce produit chimique a un potentiel de bioaccumulation relativement faible dans l'environnement (voir le tableau 2). Le log Koe qui a été estimé pour la forme ionisée du composant alkylamine (3,5) laisse supposer un potentiel de bioaccumulation modéré.
Faute de données expérimentales sur les facteurs de bioaccumulation (FBA) ou de bioconcentration (FBC) pour les contre-ions, une méthode prédictive a été appliquée au moyen des modèles du FBA et du FBC disponibles, comme l'indique le tableau 6. On a utilisé les log Koe (ajustés pour l'ionisation) de 3,5 et de -4,9 pour les composants alkylamine et acide phosphonique, respectivement.
| Organisme d'essai | Paramètre ultime | Valeur en poids humide (L/kg) (alkylamine) | Valeur en poids humide (L/kg) (acide phosphonique) | Références |
|---|---|---|---|---|
| Poissons | FBC pour le niveau trophique intermédiaire chez les poissons | 171,8 | 0,95 | (Arnot et Gobas, 2003) |
| Poissons | FBA pour le niveau trophique intermédiaire chez les poissons | 172,3 | 0,95 | (Arnot et Gobas, 2003) |
| Poissons | FBC | 94,69 | 3,162 | BCFWIN (2000) |
Les résultats des calculs de modélisation des FBA et FBC démontrent que ces substances ont un faible potentiel de bioaccumulation ou de bioconcentration dans l'environnement.
Comme on ne disposait pas de données sur le métabolisme de ces substances, on n'en a pas tenu compte dans ces modèles. On suppose que les données sur le métabolisme, si on en disposait, diminueraient les FBA et FBC prévus.
D'après les valeurs modélisées disponibles, aucun de ces deux composants de l'ATACP ne répond aux critères de la bioaccumulation (FBC ou FBA supérieur ou égal à 5000) énoncés dans le Règlement sur la persistance et la bioaccumulation (Canada, 2000).
Potentiel d'effets nocifs sur l'environnement
Évaluation des effets sur l'environnement
A - Dans le milieu aquatique
Aucune donnée expérimentale sur l'écotoxicité n'a été trouvée pour les deux contre-ions. La modélisation RQSA et la méthode du poids de la preuve ont été utilisées pour estimer le potentiel de toxicité aquatique de l'ATACP.
Aux pH enregistrés dans l'environnement (6 à 9), les composants de l'ATACP se trouveront presque exclusivement sous leur forme ionisée dans les écosystèmes aquatiques. Le modèle ECOSAR a été appliqué pour l'alkylamine en utilisant le log Koe de 3,5 et la solubilité dans l'eau de 192 mg/L (tableau 7). Cette substance est une substance narcotique toxique (amine narcotique) et les résultats du modèle laissent supposer que l'alkylamine sous cette forme présente un potentiel de toxicité modéré à élevé pour les organismes aquatiques. Toutefois, en raison de son faible facteur de bioaccumulation, elle ne devrait pas s'accumuler considérablement dans les tissus des organismes exposés.
Lorsque le modèle ECOSAR a été appliqué au composant acide phosphonique de l'ATACP, en utilisant le log Koe estimé de la forme ionisée de cette substance (-4,9), les valeurs de toxicité étaient généralement supérieures aux valeurs de saturation (1,0 × 106 mg/L), indiquant que cette substance a un faible, voire aucun, potentiel de toxicité aquatique.
| Organisme d'essai | Type d'essai | Paramètre | Valeur (mg/L) Alkylamine | Références |
|---|---|---|---|---|
| Poissons | 96 h | Concentration d'une substance qu'on estime létale pour 50 % des organismes d'essai (CL50) | 5,9 | ECOSAR, 2004 |
| Poissons | 96 h | CL50 | 3,57 | ECOSAR, 2004 |
| Daphnie | 48 h | CL50 | 0,82 | AIES, 2003-2005 |
| Daphnies | 48 h | CL50 | 0,36 | ECOSAR, 2004 |
| Algues vertes | 96 h | Concentration d'une substance qu'on estime susceptible de causer un effet sublétal toxique chez 50 % des organismes d'essai (CE50) | 0,57 | AIES, 2003-2005 |
| Algues vertes | 96 h | Toxicité chronique (TCh) | 0,15 | ECOSAR, 2004 |
B - Dans d'autres milieux
On n'a trouvé aucune étude concernant les effets de l'ATACP sur l'environnement dans d'autres milieux que l'eau (par exemple les sols ou les sédiments). Il n'existe pas de modèle RQSA pouvant générer des données sur la toxicité de l'ATACP ou de ses composants dans ces autres milieux.
Évaluation de l'exposition de l'environnement
Aucune donnée de surveillance de la présence de l'ATACP ou des deux contre-ions dans les milieux environnementaux (air, sol et sédiments) n'a été trouvée.
D'après les renseignements sur les profils d'utilisation transmis à titre confidentiel en application de l'article 71 de la LCPE (1999) pour l'ATACP, 96,8 % de la substance devraient se retrouver dans les installations d'élimination des déchets et 3 % devraient subir une transformation chimique. Les rejets de la substance durant sa durée de vie utile devraient être faibles (0,1 % dans l'air et 0,1 % dans l'eau) et dispersés.
Comme cette substance n'est pas fabriquée au Canada et qu'elle est très peu utilisée par l'industrie canadienne, on peut conclure qu'il devrait y avoir peu ou pas de rejets industriels d'ATACP
Caractérisation des risques pour l'environnement
La caractérisation des risques écologiques est fondée sur l'évaluation de données scientifiques et d'autres renseignements suivant la méthode du poids de la preuve et le principe de prudence. Une attention particulière est donnée au potentiel des rejets, à la persistance et à la bioaccumulation dans l'environnement ainsi qu'au potentiel de toxicité pour les organismes aquatiques.
Compte tenu des profils d'utilisation qui indiquent une faible exposition et de faibles rejets, une analyse du quotient de risque (QR) aurait pu être réalisée, mais ce n'est pas le cas. Les quantités d'ATACP importées au Canada (entre 100 et 1 000 kg en 2006) sont peu élevées et la proportion de l'ATACP importé qui est rejetée (0,2 %) est très faible.
Une fois rejetée dans l'environnement, l'alkylamine persiste dans l'eau, le sol et les sédiments, alors que le composant acide phosphonique devrait persister dans l'air. Il ne devrait pas exister de risque de bioaccumulation ni de bioamplification dans les chaînes alimentaires pour aucun des composants de l'ATACP. Bien que la partie alkylamine ait un potentiel de toxicité modéré à élevé pour les organismes aquatiques, le composant acide phosphonique présente un potentiel de toxicité négligeable.
Par conséquent, si l'on se fonde principalement sur la nature disperse des rejets et de leur très faible quantité attendue, l'ATACP ne devrait pas être nocif pour les organismes du Canada.
Incertitudes dans l'évaluation des risques pour l'environnement
La modélisation des propriétés physiques et chimiques d'une substance ainsi que les caractéristiques P, B et Ti sont fondées sur les structures chimiques. Cette substance fait partie de la catégorie des UVCB (substances de composition inconnue ou variable, produits de réactions complexes ou matières biologiques), particulièrement en raison de sa composition inconnue ou variable. On ne peut donc pas la représenter par une seule structure chimique distincte. Par conséquent, aux fins de la modélisation, une « structure représentative » qui fournit des estimations prudentes a été trouvée. Deux contre-ions ont été relevés dans sa structure représentative, soit une akylamine et une partie acide phosphonique. Lorsque cela était possible, les deux contre-ions ont été pris en considération dans l'évaluation, et il a été déterminé que l'alkylamine présentait le potentiel le plus élevé de provoquer des effets nocifs sur l'environnement. Étant donné que plus d'une structure représentative peut être obtenue de la même UVCB, il est reconnu que les incertitudes liées à la structure existent pour cette substance.
Comme aucune donnée empirique n'a été trouvé pour les composants de l'ATACP, les propriétés physiques et chimiques, la persistance, la bioaccumulation et les effets écologiques ont été déterminés à l'aide de modèles. Les valeurs estimées peuvent ajouter une source d'incertitude relativement à l'évaluation du devenir et de la toxicité des composants de l'ATACP.
Il existe des incertitudes quant aux rejets estimés à l'aide de l'outil de débit massique, mais il est certain que les rejets dans l'environnement sont faibles.
Conclusion
D'après les renseignements contenus dans le rapport d'évaluation préalable, l'ATACP ne pénètre pas dans l'environnement en une quantité ou concentration ou dans des conditions de nature à avoir, immédiatement ou à long terme, un effet nocif sur l'environnement ou sur la diversité biologique, ni à mettre en danger l'environnement essentiel pour la vie.
Par conséquent, il est conclu que l'ATACP ne correspond pas à la définition de « substance toxique » au sens de l'article 64 de la LCPE (1999). De plus, même si l'alkylamine répond aux critères de persistance, ce n'est pas le cas de l'acide phosphonique, et aucun des deux contre-ions ne répond aux critères de potentiel de bioaccumulation énoncés dans le Règlement sur la persistance et la bioaccumulation(Canada, 2000).
Références
[ADME/Tox Web]. 2009. Version 4.0. Pharma Algorithms. http://www.pharma-algorithms.com/webboxes/
[AIEPS] Artificial Intelligence Expert Predictive System. 2003-2007. Version 2.05. Ottawa (Ont.) : Environnement Canada, Division des substances existantes, Division des nouvelles substances. Modèle conçu par Stephen Niculescu. Accès : Environnement Canada, Division des substances existantes, Division des nouvelles substances, Ottawa, K1A 0H3.
[AOPWIN] Atmospheric Oxidation Program for Windows [modèle d'estimation]. 2000. Version 1.91. Washington (DC) : U.S. Environmental Protection Agency, Office of Pollution Prevention and Toxics; Syracuse (NY) : Syracuse Research Corporation. http://www.epa.gov/oppt/exposure/pubs/episuite.htm
Arnot, J.A., Gobas, F.A.P.C. 2003. A generic QSAR for assessing the bioaccumulation potential of organic chemicals in aquatic food webs. QSAR Comb. Sci. 22(3):337-345.
Aronson, D., Howard, P.H. 1999. Evaluating potential POP/PBT compounds for environmental persistence. North Syracuse (NY) : Syracuse Research Corp., Environmental Science Centre. Report No.: SRC-TR-99-020.
Aronson, D., Boethling B., Howard, P.W., Stiteler, W. 2006. Estimating biodegradation half-lives for use in chemical screening. Chemosphere 63: 1953-1960.
[BIOWIN] Biodegradation Probability Program for Windows [modèle d'estimation]. 2000. Version 4.02. Washington (DC) : U.S. Environmental Protection Agency, Office of Pollution Prevention and Toxics; Syracuse (NY) : Syracuse Research Corporation. http://www.epa.gov/oppt/exposure/pubs/episuite.htm
Beyer, A., Mackay, D., Matthies, M., Wania, F., Webster, E. 2000. Assessing long-range transport potential of persistent organic pollutants. Environ. Sci. Technol.34(4):699-703.
Boethling, R.S., Howard, P.H., Beauman, J.A., Larosche, M.E. 1995. Factors for intermedia extrapolations in biodegradability assessment. Chemosphere 30(4):741-752.
Boethling, R.S.; Lynch, D.G.; Thom, G.C. Predicting ready biodegradability of premanufacture notice chemicals. 2003.Environ. Toxicol. Chem.22(4):837-844.
Canada. 1999. Loi canadienne sur la protection de l'environnement (1999), L.C. 1999, chap. 33., Gazette du Canada. Partie III. vol. 22, no 3. http://canadagazette.gc.ca/partIII/1999/g3-02203.pdf
Canada. 2000. Loi canadienne sur la protection de l'environnement (1999) : Règlement sur la persistance et la bioaccumulation, C.P. 2000-348, 23 mars 2000, DORS/2000-107, Gazette du Canada , Partie II, vol. 134, no 7, p. 607-612. http://canadagazette.gc.ca/partII/2000/20000329/pdf/g2-13407.pdf
Canada. Ministère de l'Environnement, ministère de la Santé. 2006. Loi canadienne sur la protection de l'environnement(1999) : Avis concernant certaines substances considérées comme priorités pour suivi. Gazette du Canada, Partie I, vol. 140, no 9, p. 435-459. http://canadagazette.gc.ca/partI/2006/20060304/pdf/g1-14009.pdf
Canada. Ministère de l'Environnement, ministère de la Santé. 2007. Loi canadienne sur la protection de l'environnement, 1999 : Avis de quatrième divulgation d'information technique concernant les substances identifiées dans le Défi. Gazette du Canada, Partie I, vol. 141. no 46, p. 3192-3197. http://canadagazette.gc.ca/partI/2007/20071117/pdf/g1-14146.pdf
[CATABOL] Probabilistic assessment of biodegradability and metabolic pathways [modèle informatique]. c2004-2008. Version 5.10.2. Bourgas (Bulgarie) : Bourgas Prof. Assen Zlatarov University, Laboratory of Mathematical Chemistry. http://oasis-lmc.org/?section=software&swid=1
Di Toro, D.M., Zarba, C.S., Hansen, D. J., Berry, W. J., Swartz, R. C., Cowan. C.E., Pavlou, S.P., Allen, H.E., Thomas, N.A., Paquin, P.R. 1991. Technical basis for establishing sediment quality criteria for nonionic organic chemicals using equilibrium partitioning. 1991. Environ. Toxicol. Chem.10(2):1541-1583.
[ECOSAR] Ecological Structural Activity Relationships [Internet]. 2004. Version 0.99h. Washington (DC) : U.S. Environmental Protection Agency, Office of Pollution Prevention and Toxics; Syracuse (NY) : Syracuse Research Corporation. http://www.epa.gov/oppt/exposure/pubs/episuite.htm
Environment Canada. 2007a. Données recueillies en vertu de l'article 71 de la Loi canadienne sur la protection del'environnement (1999) : Avis concernant les substances du lot 4. Données préparées par Environnement Canada, Programme des substances existantes.
Environnement Canada. 2008a. Données sur les substances du lot 4 recueillies en vertu de l'article 71 de la Loi canadienne sur la protection de l'environnement (1999) : Avis concernant certaines substances identifiées dans le Défi, publié le 17 novembre 2007 dans l'Avis d'intention d'élaborer et de mettre en œuvre des mesures d'évaluation et de gestion des risques que certaines substances présentent pour la santé des Canadiens et leur environnement. Préparé par : Environnement Canada, Santé Canada, Programme des substances existantes.
Environnement Canada. 2008b. Assumptions, limitations and uncertainties of the Mass Flow Tool for amines, C18-22-tert-alkyl, (chloromethyl)phosphonates (2:1), CAS RN 79357-73-6. Document provisoire interne. Gatineau (Qc) : Environnement Canada, Division des substances existantes. Disponible sur demande.
Environment Canada. 2008c. Guidance for conducting ecological assessments under CEPA, 1999 : science resource technical series, technical guidance module : the Industrial Generic Exposure Tool - Aquatic(IGETA). Document de travail. Gatineau (Qc) : Environnement Canada, Division des substances existantes.
Environnement Canada. 2008d. Multispecies model input and output for C18 moiety as a worst-case scenario batch 4 ionizing substances, CAS no. 79357073-6. Division des substances existantes, Environnement Canada, Gatineau (Qc). Document de travail interne disponible sur demande.
Environnement Canada. 2009. Determining the persistence of a chemical from biodegradation data. Mini guidance module. Division des substances existantes, Environnement Canada. Document provisoire interne. Disponible sur demande.
[EPIsuite] Estimation Programs Interface Suite for Microsoft Windows [modèle d'estimation]. 2007. Version 3.2 Washington (DC) : U.S. Environmental Protection Agency, Office of Pollution Prevention and Toxics; Syracuse (NY) : Syracuse Research Corporation. http://www.epa.gov/oppt/exposure/pubs/episuite.htm
[EPIWIN] Estimation Programs Interface for Microsoft Windows [modèle d'estimation]. 2004. Version 3.12 Washington (DC) : U.S. Environmental Protection Agency, Office of Pollution Prevention and Toxics; Syracuse (NY) : Syracuse Research Corporation. http://www.epa.gov/oppt/exposure/pubs/episuite.htm
[ESIS] European Substances Information System [base de données sur Internet]. 2007. Version 5. European Chemical Bureau (ECB). [Mise à jour le 2006 08 18]. http://ecb.jrc.it/esis
[ETOXNET]. 2009. Extension Toxicology Network. http://extoxnet.orst.edu/pips/ethephon.htm
[HENRYWIN] Henry's Law Constant Program for Microsoft Windows [modèle d'estimation]. 2000. Version 3.10 Washington (DC) : U.S. Environmental Protection Agency, Office of Pollution Prevention and Toxics; Syracuse (NY) : Syracuse Research Corporation. http://www.epa.gov/oppt/exposure/pubs/episuite.htm
[HYDROWIN] Hydrolysis Rates Program for Microsoft Windows [modèle d'estimation]. 2000. Version 1.67. Washington (DC) : U.S. Environmental Protection Agency, Office of Pollution Prevention and Toxics; Syracuse (NY) : Syracuse Research Corporation. http://www.epa.gov/oppt/exposure/pubs/episuite.htm
[KOWWIN] Octanol-Water Partition Coefficient Program for Microsoft Windows [modèle d'estimation]. 2000. Version 1.67. Washington (DC) : U.S. Environmental Protection Agency, Office of Pollution Prevention and Toxics; Syracuse (NY) : Syracuse Research Corporation. http://www.epa.gov/oppt/exposure/pubs/episuite.htm
[MPBPWIN] Melting Point Boiling Point Program for Microsoft Windows [modèle d'estimation]. 2000. Version 1.41. Washington (DC) : U.S. Environmental Protection Agency, Office of Pollution Prevention and Toxics; Syracuse (NY) : Syracuse Research Corporation. http://www.epa.gov/oppt/exposure/pubs/episuite.htm
[NCI] National Chemical Inventories [base de données sur CD-ROM]. 2006. Columbus (OH) : American Chemical Society. [consulté le 11 déc. 2006]. http://www.cas.org/products/cd/nci/index.html
[OASIS Forecast] Optimized Approach based on Structural Indices Set [Internet]. 2005. Version 1.20. Bourgas (BG) : Bourgas Prof. Assen Zlatarov University, Laboratory of Mathematical Chemistry. [consulté le 2006 08 18]. http://oasis-lmc.org/?section=software
[PCKOCWIN] Organic Carbon Partition Coefficient Program for Windows [modèle d'estimation]. 2000. Version 1.66. Washington (DC) : U.S. Environmental Protection Agency, Office of Pollution Prevention and Toxics; Syracuse (NY) : Syracuse Research Corporation. http://www.epa.gov/oppt/exposure/pubs/episuite.htm
[SPIN] Substances in Products in Nordic Countries [base de données sur Internet]. 2008. Financé par le Conseil des ministres des pays nordiques, Groue chimique. [Consulté en décembre 2006]. http://195.215.251.229/Dotnetnuke/Home/tabid/58/Default.aspx
[TaPL3] Long Range Transport and Persistence Level III model [Internet]. 2000. Version 2.10. Peterborough (Ont.) : Université Trent, Canadian Environmental Modelling Centre. http://www.trentu.ca/academic/aminss/envmodel/models/TaPL3.html
[TOPKAT] Toxicity Prediction Program [Internet]. 2004. Version 6.2. San Diego (CA): Accelrys Software Inc. http://www.accelrys.com/products/topkat/index.html
U.S. EPA. 2000. Aquatox for windows. A modular fate and effects model for aquatic ecosystems. Release 1. Volume 3: model validation reports. U.S. Environmental Protection Agency, Office of Water. Office of Science and Technology. Washington. DC. 20460.
U.S. EPA U.S. Environmental Protection Agency. 2002. PBT Profiler Methodology [Internet]. Washington (DC) : U.S. EPA, Office of Pollution Prevention and Toxics. [cité en juillet 2008]. http://www.pbtprofiler.net/methodology.asp
[WSKOWWIN] Water Solubility for Organic Compounds Program for Microsoft Windows [modèle d'estimation]. 2000. Version 1.41 Washington (DC) : U.S. Environmental Protection Agency, Office of Pollution Prevention and Toxics; Syracuse (NY) : Syracuse Research Corporation. http://www.epa.gov/oppt/exposure/pubs/episuite.htm
Annexe I - Tableau sommaire des intrants des modèles de la persistance, de la bioaccumulation et de la toxicité
| Propriétés physico-chimiques et devenir | Devenir | Devenir | Devenir | Devenir | Profils de persistance, bioaccumulation et toxicité | Écotoxicité | |
|---|---|---|---|---|---|---|---|
| Paramètres d'entrée des modèles | Suite EPIWIN (tous les modèles, notamment : AOPWIN, KOCWIN, BCFWIN BIOWIN et ECOSAR) | STP (1) ASTreat (2) SimpleTreat (3) (différents intrants requis selon le modèle) | EQC (différents intrants requis selon le type de substances - type I ou II) | TaPL3 (différents intrants requis selon le type de substances - type I ou II) | Modèle d'Arnot et Gobas pour le FBC/FBA Modèle | Canadian-POPs (incluant : Catabol, FBC Mitigating Factors Model, OASIS Toxicity Model) | Artificial Intelligence Expert System (AIES)/ TOPKAT/ ASTER |
| Code SMILES | Alkylamine : CC(CCCC(C) CCCC(C)CC CC([NH3+]) (C)C)(C)C Acide phosphonique : [O-]P(O)(CCl)=O |
Alkylamine : CC(CCCC(C) CCCC(C)CC CC([NH3+]) (C)C)(C)C Acide phosphonique : [O-]P(O)(CCl)=O |
Alkylamine : CC(CCCC(C) CCCC(C)CC CC([NH3+]) (C)C)(C)C Acide phosphonique : [O-]P(O)(CCl)=O |
Alkylamine : CC(CCCC(C) CCCC(C)CC CC([NH3+]) (C)C)(C)C Acide phosphonique : [O-]P(O)(CCl)=O |
|||
| Masse moléculaire (g/mol) | 269,52 g/mol (alkylamine) et 130,47 g/mol (acide phosphonique) | 269,52 g/mol (alkylamine) et 130,47 g/mol (acide phosphonique) | 269,52 g/mol (alkylamine) et 130,47 g/mol (acide phosphonique) | ||||
| Point de fusion (°C) | Alkylamine : 69,34 Acide phosphonique : 24,04* |
x Alkylamine : 69,34 Acide phosphonique : 24,04* ( |
Alkylamine : 69,34 Acide phosphonique : 24,04* |
||||
| Point d'ébullition (°C) | Alkylamine : 299,34 Acide phosphonique : 292,26* |
||||||
| Température des données (°C) | 20 | 20 | 20 | ||||
| Masse volumique (kg/m3) | données non disponibles | ||||||
| Pression de vapeur (Pa) | Alkylamine : 0,101 Acide phosphonique : 0,0164* |
Alkylamine : 0,101 Acide phosphonique : 0,0164* |
Alkylamine : 0,101 Acide phosphonique : 0,0164 (I) |
Alkylamine : 0,101 Acide phosphonique : 0,0164 (I) |
|||
| Constante de la loi de Henry (Pa·m3/mol) | *Alkylamine : 9,48 × 1001 Acide phosphonique : 4,53 × 10-7 |
||||||
| Log Kae(coefficient de partage air-eau; sans dimension) | |||||||
| Log Koe (coefficient de partage octanol-eau, sans dimension) | Alkylamine : 3,5 Acide phosphonique : -4,9* |
Alkylamine : 3,5 Acide phosphonique : -4,9* |
Alkylamine : 3,5 Acide phosphonique : -4,9* |
Alkylamine : 3,5 Acide phosphonique : -4,9* |
Alkylamine : 3,5 Acide phosphonique : -4,9* |
||
| Koe (coefficient de partage octanol-eau, sans dimension) | |||||||
| Log Kco (coefficient de partage carbone organique/eau - L/kg) | Alkylamine : 4,81 Acide phosphonique : 0,44* |
||||||
| Solubilité dans l'eau (mg/L) | Alkylamine : 192,1 Acide phosphonique : 1,0 × 106* |
Alkylamine : 192,1 Acide phosphonique : 1,0 × 106* |
Alkylamine : 192,1 Acide phosphonique : 1,0 × 106* (I) |
Alkylamine : 192,1 Acide phosphonique : 1,0 × 106* |
|||
| Log Koa (coefficient de partage octanol-air, sans dimension) | |||||||
| Coefficient de partage sol-eau (L/kg)Note de bas de tableaur | |||||||
| Coefficient de partage sédiments-eau (L/kg)Note de bas de tableaur | |||||||
| Coefficient de partage particules en suspension-eau (L/kg)Note de bas de tableaur | |||||||
| Coefficient de partage poisson-eau (L/kg)Note de bas de tableaus | |||||||
| Coefficient de partage aérosol-eau (sans dimension)Note de bas de tableaut | |||||||
| Coefficient de partage végétation-eau (sans dimension)Note de bas de tableaur | |||||||
| Enthalpie (Koe) | |||||||
| Enthalpie (Kae) | |||||||
| Demi-vie dans l'air (jours) | |||||||
| Demi-vie dans l'eau (jours) | |||||||
| Demi-vie dans les sédiments (jours) | |||||||
| Demi-vie dans le sol (jours) | |||||||
| Demi-vie dans la végétation (jours)Note de bas de tableauu | |||||||
| Constante cinétique de métabolisme (1/jours) | Alkylamine : 0,4796 Acide phosphonique : 29,1 | ||||||
| Constante cinétique de biodégradation (jour-1 ou heure-1) - préciser | |||||||
| Demi-vie de biodégradation en clarificateur primaire (t½-p; h) | Alkylamine : 5 587,93 Acide phosphonique : 17,42 |
||||||
| Demi-vie de biodégradation en bassin d'aération (t½-s; h) | Alkylamine : 5 587,93 Acide phosphonique : 17,42 |
||||||
| Demi-vie de biodégradation en bassin de décantation (t½-s; h) | Alkylamine : 5 587,93 Acide phosphonique : 17,42 |


