Rapport de surveillance des maladies transmises par les moustiques : du 11 au 17 août 2019 (semaine 33)

Télécharger le format de rechange
(Format PDF, 1.11 Mo, 4 page)

Organisation: Santé Canada

Publiée: 2019-08-27

Sujets connexes

Aperçu depuis le début de l'année
Aperçu depuis le début de l'année - Équivalent du texte

Entre le 1er janvier 2019 et le 17 août 2019, trois cas humains associés au virus du Nil occidental ont été signalés à l'Agence de la santé publique du Canada. Neuf oiseaux positifs au VNO, 20 groupes de moustiques positifs au VNO et un cheval porteur du VNO ont été rapportés à ce jour.

Nil occidental

Épidémiologie humaine

À la fin de la semaine de surveillance 33, qui s'est terminée le 17 août 2019, trois cas humains de virus du Nil occidental (VNO) ont été signalé à l'Agence de la santé publique du Canada (ASPC) (tableau 1). De ce nombre, un cas a été contracté à l'extérieur du Canada avant le début de la saison de transmission 2019.

Tableau 1. Cas humains de VNO depuis le début de l'année, selon la classification des maladies et la province (du 1er janvier au 17 août 2019)
Province Cas cliniques Nombre total de cas cliniques Note de bas de page 1 Infections asymptomatiques Note de bas de page 2 Total depuis le début de l'année Taux Note de bas de page 3

(pour 100 000 habitants)

Neurologique Non neurologique Non classé
Colombie-Britannique 0 1 0 1 0 1 0
Alberta 0 0 0 0 0 0 0
Saskatchewan 0 0 0 0 0 0 0
Manitoba 0 0 0 0 0 0 0
Ontario 0 1 0 1 1 2 0
Québec 0 0 0 0 0 0 0
Provinces maritimes 0 0 0 0 0 0 0
Territoires 0 0 0 0 0 0 0
Total 0 2 0 2 1 3 0
Note de bas de page 1

Le nombre total de cas cliniques est la somme des cas probables et confirmés de syndromes neurologiques et non neurologiques liés au VNO, auxquels s'ajoutent les cas non classés.

Retour à la référence de la note de bas de page 1

Note de bas de page 2

Répondent aux critères du test de diagnostic du VNO en l'absence de critères cliniques (p. ex. donneurs de sang asymptomatiques dont le sang est testé par la Société canadienne du sang ou Héma-Québec).

Retour à la référence de la note de bas de page 2

Note de bas de page 3

Calculé à partir du nombre total des cas cliniques et asymptomatiques, à l'aide des estimations démographiques de Statistique Canada pour 2018.

Retour à la référence de la note de bas de page 3

Figure 1. Répartition géographique des cas cliniques et des infections asymptomatiques chez l’humain associés au VNO au Canada, 2019
Figure 1 - Équivalent du texte

Entre le 1er janvier 2019 et le 17 août 2019, deux cas humains associés au virus du Nil occidental acquis au Canada ont été signalés à l'ASPC.

Épidémiologie des maladies des moustiques, des oiseaux sauvages et des équidés

À la semaine 33, 6 617 groupes de moustiques testés pour le VNO avaient été signalés à l'ASPC. Parmi eux, 20 groupes de moustiques positifs ont été identifiés au Québec (3), Ontario (15), et au Manitoba (2) (tableau 2).

À la semaine 33, 33 oiseaux sauvages morts avaient été testes pour le VNO. De ce nombre, neuf oiseaux positif ont été signalé à l'ASPC par le Réseau canadien pour la santé de la faune (RCSF) en Ontario (6) et au Québec (3) (tableau 3).

Depuis le début de la saison, l'Agence canadienne d'inspection des aliments (ACIA) a signalé un cheval domestiques infectés par le VNO (tableau 3).

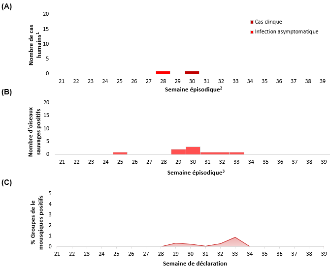
Figure 2. (A) Cas cliniques et infections asymptomatiques chez l'humain associés au VNO, (B) oiseaux positifs au VNO, et (C) pourcentage de groupes de moustiques positifs par épisode ou semaine de déclaration au Canada, 2019
Figure 2 - Équivalent du texte

Entre le 1er janvier 2019 et le 17 août 2019, deux cas humains associés au virus du Nil occidental acquis au Canada ont été signalés à l'ASPC. Au total, neuf oiseaux et 0,30 % groupes de moustiques ont été testés positifs au VNO au Canada et ont été signalés à l'ASPC.

Figure 2 - Notes de bas de page

Note de bas de page 1

Les cas humains comprennent les cas cliniques et les infections asymptomatiques.

Return to footnote 1 referrer

Note de bas de page 2

La semaine épisodique est fondée sur la date d'apparition des symptômes ou la meilleure date disponible, dont la date du diagnostic, la date de l'analyse de l'échantillon en laboratoire ou la date de déclaration.

Return to footnote 2 referrer

Note de bas de page 3

La semaine épisodique est basée sur la date du décès ou la meilleure date disponible, dont la date de découverte, de soumission ou de réception.

Return to footnote 3 referrer

Tableau 2. Groupes positifs au VNO depuis le début de l'année et pourcentage positif par province et à l'échelle nationale (du 1er janvier au 17 août 2019)
Province Note de bas de page 1 Groupes positifs Nombre total de groupes testés Pourcentage positif
Saskatchewan 0 116 0,00 %
Manitoba 2 1117 0,18 %
Ontario 15 4293 0,35 %
Québec 3 1091 0,28 %
Total 20 6617 0,30 %
Note de bas de page 1

Les données de surveillance des moustiques sont déclarées par les quatre provinces suivantes : Saskatchewan, Manitoba, Ontario et Québec.

Retour à la référence de la note de bas de page 1

Tableau 3. Nombre de cas d'animaux positifs au VNO pour la semaine et l'année en cours à ce jour (du 1er janvier au 17 août 2019)
Province Oiseaux sauvages Note de bas de page 1 Équidés
Semaine 33 Total depuis le début de l'année Semaine 33 Total depuis le début de l'année
Colombie-Britannique 0 0 0 1
Alberta 0 0 0 0
Saskatchewan 0 0 0 0
Manitoba 0 0 0 0
Ontario 1 6 0 0
Québec 0 3 0 0
Provinces maritimes 0 0 0 0
Territoires 0 0 0 0
Total 1 9 0 1
Note de bas de page 1

Les provinces ne surveillent pas tous les oiseaux sauvages morts dans le cadre de leur programme de surveillance du VNO. Il est cependant possible d'obtenir des données sur les oiseaux morts infectés par le VNO auprès du Programme national de surveillance des maladies de la faune du Canada, du RCSF ou de certaines provinces.

Retour à la référence de la note de bas de page 1

Sérogroupe de la Californie

Au 17 août 2019, aucune exposition humaine au virus du sérogroupe de la Californie n'avait été signalée par le Laboratoire national de microbiologie.

Encéphalite équine de l'Est

Aucun cas humain d'EEE n'a été signalé à l'ASPC depuis le début de la saison de transmission 2019.

L’ACIA a signalé un cheval ayant obtenu un résultat positif au test de dépistage de l’encéphalite équine de l’Est (EEE) en Ontario.

Liens de surveillance provinciaux, territoriaux et internationaux

Les données communiquées à l'ASPC sont sujettes à modification et peuvent différer des pages Web des provinces en raison des délais de production des rapports. Pour obtenir les plus récentes données de surveillance des arbovirus, veuillez consulter les pages Web provinciales, territoriales et régionales suivantes :

Notes

Merci à tous nos partenaires d'avoir participé au programme national de surveillance de la VNO/MTM.

Détails de la page

2024-03-11