Archivée - Fréquence de dépistage et de diagnostic du VIH

Téléchargez cet article en format PDF (305 Ko - 9 pages) Publié par : L’Agence de la santé publique du Canada
Numéro : Volume 42-8 : Risques actuels associés aux voyages
Date de publication : 4 août 2016
ISSN : 1719-3109
Soumettre un article
À propos du RMTC
Naviguer
Volume 42-8, le 4 août 2016 : Risques actuels associés aux voyages
Examen systématique
Recommandations canadiennes et internationales sur la fréquence de dépistage et de diagnostic du VIH : Un examen systématique
Austin T1, Traversy GP1, Ha S1, Timmerman K1*
Affiliation
1 Centre de la lutte contre les maladies transmissibles et les infections, Agence de la santé publique du Canada, Ottawa (Ontario)
Correspondance
Citation proposée
Austin T, Traversy GP, Ha S, Timmerman K. Recommandations canadiennes et internationales sur la fréquence de dépistage et de diagnostic du VIH : Un examen systématique. Relevé des maladies transmissibles au Canada 2016;42:180-8. https://doi.org/10.14745/ccdr.v42i08a03f
Résumé
Contexte : En 2014, l'Agence de la santé publique du Canada estimait que 21 % des personnes vivant avec le virus de l'immunodéficience humaine (VIH) au Canada n'étaient pas au courant de leur infection. Une intensification du dépistage et du diagnostic du VIH est essentielle pour réduire le nombre d'infections non diagnostiquées. Afin d'assurer la meilleure utilisation des ressources disponibles, il est important de déterminer les intervalles optimaux pour le dépistage et le diagnostic du VIH.
Objectif : Effectuer un examen systématique des recommandations sur la fréquence de dépistage et de diagnostic du VIH dans différentes populations.
Méthodologie : Afin de déterminer les lignes directrices admissibles, une stratégie de recherche exhaustive des revues et sites Web des gouvernements et des organisations non gouvernementales à deux volets, et une stratégie de dépistage à trois volets (sélection par titre, résumé et contenu intégral) ont été employées. Les lignes directrices étaient admissibles si a) elles étaient publiées entre 2000 et 2015 en anglais ou en français, et b) fournissaient une orientation sur les intervalles de dépistage/diagnostic du VIH pour au moins une population.
Résultats : Parmi les 609 documents extraits dans le cadre de la recherche, 34 lignes directrices répondaient aux critères d'admissibilité. Les populations les plus souvent mentionnées étaient les femmes enceintes, les hommes ayant des relations sexuelles avec d'autres hommes (HARSAH) et la population générale. Dans l'ensemble, il y avait un consensus sur au moins un dépistage annuel pour les hommes ayant des relations sexuelles avec d'autres hommes, les utilisateurs de drogues injectables, les personnes ayant des partenaires sexuels séropositifs pour le VIH, les personnes ayant des partenaires multiples, des travailleurs du sexe et leurs clients, les migrants en provenance de pays où le VIH est endémique et les Autochtones. Parmi les 20 lignes directrices qui formulaient des recommandations pour les femmes enceintes, la recommandation la plus courante (n = 9) était d'établir un diagnostic le plus tôt possible durant la grossesse; quatre lignes directrices recommandaient un dépistage au cours de la première visite prénatale, trois recommandaient un dépistage systématique du VIH et quatre proposaient un nouveau test au cours du troisième trimestre, quel que soit le risque d'infection par le VIH de la mère. Il n'y avait pas de consensus sur le dépistage du VIH du grand public, des personnes incarcérées et des personnes ayant reçu un diagnostic d'autres infections transmissibles sexuellement (ITS). Quatre lignes directrices ne pouvaient pas fournir de recommandations précises au sein de la population générale en raison d'un manque de données.
Conclusions : Des preuves supplémentaires sont nécessaires pour peaufiner les recommandations pour les femmes enceintes et définir le moment optimal des tests de dépistage du VIH, en particulier au sein de la population générale, chez les personnes ayant reçu un diagnostic d'autres infections transmissibles sexuellement et chez les personnes incarcérées.
Introduction
L'infection au virus de l'immunodéficience humaine (VIH) diagnostiquée et traitée est considérée comme étant une maladie chroniqueNote de bas de page 1. La détection et le traitement précoces de l'infection au VIH sont importants non seulement pour les personnes qui sont infectées, mais aussi pour prévenir la transmission du virusNote de bas de page 2. Des essais cliniques ont montré que l'instauration précoce d'un traitement du VIH réduit la charge virale, réduisant ainsi l'infectivité et prévenant potentiellement la transmission du VIHNote de bas de page 3Note de bas de page 4.
Les faibles taux de dépistage et de diagnostic du VIH sont un facteur limitant le potentiel de réussite des stratégies de prévention du VIHNote de bas de page 5Note de bas de page 6. Environ 30 à 50 % des nouvelles infections sont causées par des personnes qui ne sont pas au courant de leur infectionNote de bas de page 7Note de bas de page 8. Les recherches chez les hommes ayant des relations sexuelles avec d'autres hommes (HARSAH), les utilisateurs de drogues injectables et les hommes et femmes hétérosexuels indiquent qu'une fois que les personnes apprennent leur séropositivité pour le VIH, elles sont plus susceptibles de prendre les mesures nécessaires pour réduire au minimum le risque de transmissionNote de bas de page 9. Toutefois, on a estimé qu'à la fin de l'année 2014, environ 21 % des personnes vivant avec le VIH au Canada ignoraient qu'elles étaient infectéesNote de bas de page 10.
Le Guide pour le dépistage et le diagnostic de l'infection par le VIH de l'Agence de la santé publique du Canada (ASPC) recommande le dépistage du VIH dans le cadre des soins de santé courants et le dépistage annuel des personnes ayant des pratiques à risque élevéNote de bas de page 2. En plus des hommes ayant des relations sexuelles avec d'autres hommes et des utilisateurs de drogues injectables, les autres groupes à risque couramment identifiés pour l'infection au VIH comprennent les personnes ayant des partenaires sexuels séropositifs pour le VIH et les personnes avec de multiples partenaires ou des partenaires anonymesNote de bas de page 2Note de bas de page 11Note de bas de page 12Note de bas de page 13Note de bas de page 14Note de bas de page 15.
Toutefois, les avantages et la fréquence du dépistage du VIH doivent être soupesés par rapport aux coûts, et il y a un manque de clarté quant à la fréquence de dépistage idéale chez d'autres populations.
L'objectif du présent examen systématique visait à répondre à la question suivante : Quels sont les intervalles recommandés pour le dépistage et le diagnostic du VIH parmi divers groupes de population au Canada et ailleurs?
Méthodologie
Stratégie de recherche
Une recherche exhaustive conçue par un bibliothécaire dans les bases de données électroniques a déterminé les lignes directrices publiées dans les revues examinées par les pairs. Les sites Web du gouvernement et des organisations non gouvernementales dépouillés afin de déterminer des lignes directrices qui pourraient avoir été publiées, mais pas dans la documentation scientifique. Les bases de données électroniques consultées incluaient MEDLINE, Embase, Scopus, la bibliothèque Cochrane et la Bibliothèque numérique canadienne. Veuillez consulter l'annexe 1 pour obtenir une liste complète des sites Web du gouvernement et des organisations non gouvernementales consultés.
Les termes de recherche ont été les mêmes pour les deux types de recherche : « fréquence du dépistage du VIH », « intervalle de dépistage du VIH », « ligne directrice sur le VIH », « ligne directrice sur le dépistage du VIH », « ligne directrice sur le dépistage et le diagnostic du VIH », « recommandations sur le dépistage et le diagnostic du VIH », « recommandations sur le diagnostic du VIH », « lignes directrices sur les ITS », « intervalles de diagnostic des ITS » et « fréquence de diagnostic des ITS ». Les chaînes de recherche pour les différentes bases de données sont répertoriées à l'annexe 2.
Les critères d'inclusion et d'exclusion sont énumérés dans le tableau 1. La recherche a été limitée aux lignes directrices publiées ou émises au cours des 15 dernières années afin de rendre compte de l'influence de nouvelles méthodes de prévention du VIH (p. ex. traitement comme mesure de prévention).
| Item | Critères d'inclusion | Critères d'exclusion |
|---|---|---|
Nature de la recommandation |
Fournit une position, des recommandations ou une orientation sur les intervalles de dépistage du VIH ou la fréquence du dépistage (toutes les populations et tous les sous-groupes) Plusieurs recommandations publiées par la même organisation (p. ex. mises à jour ou addendas) |
Aucune mention des intervalles de dépistage ou de la fréquence des tests de dépistage du VIH Recommandations liées à des personnes déjà atteintes d'une infection au VIH (p. ex. la co-infection tuberculose-VIH ou le traitement/la prise en charge du VIH) |
Langue de publication |
Anglais, français |
Langues autres que l'anglais et le français |
Date de publication |
Recommandations publiées entre janvier 2000 et août 2015 |
Lignes directrices publiées avant janvier 2000 |
Sélection des lignes directrices
Nous avons suivi un processus de sélection à trois volets : sélection par titre, sélection par résumé et sélection par contenu intégral. Trois auteurs (TA, GT et SH) ont passé en revue les titres de façon indépendante. Les titres contenant les termes « ligne directrice », « stratégie », « directive », « recommandation », « orientation » ou « position » ont été inclus. Les lignes directrices sur le traitement du VIH ou la prise en charge des infections opportunistes et des populations co-infectées ont été exclues. Deux auteurs (TA, GT) ont évalué de façon indépendante les résumés et ont exclu ceux qui ne concernaient pas le dépistage et le test du VIH. Les désaccords entre les examinateurs durant les différentes étapes ont été réglés au moyen de discussions avec un troisième examinateur (KT) et une quatrième personne, au besoin. Deux auteurs (TA, GT) ont ensuite passé en revue le contenu intégral. Les lignes directrices qui ne donnaient pas de renseignements précis sur la fréquence ou les intervalles recommandés de dépistage et de diagnostic du VIH pour tous les groupes de population ont été exclues. Seules les lignes directrices provenant de sources principales ont été incluses. Les lignes directrices étaient considérées comme étant des doublons si la même recommandation était publiée à de nombreux endroits ou si un article résumait ou approuvait une ligne directrice.
Extraction des données
Les données ont été extraites en fonction du pays de publication, de la population faisant l'objet du dépistage et de la fréquence de dépistage. Les lignes directrices ont été classées par catégorie : canadiennes, étrangères ou internationales (touchant plusieurs pays, telles que celles de l'Organisation mondiale de la Santé). Les groupes de population visés initialement dans cet examen étaient la population générale, les hommes ayant des relations sexuelles avec d'autres hommes et les utilisateurs de drogues injectables, mais d'autres groupes de population ont également été observés.
Résultats
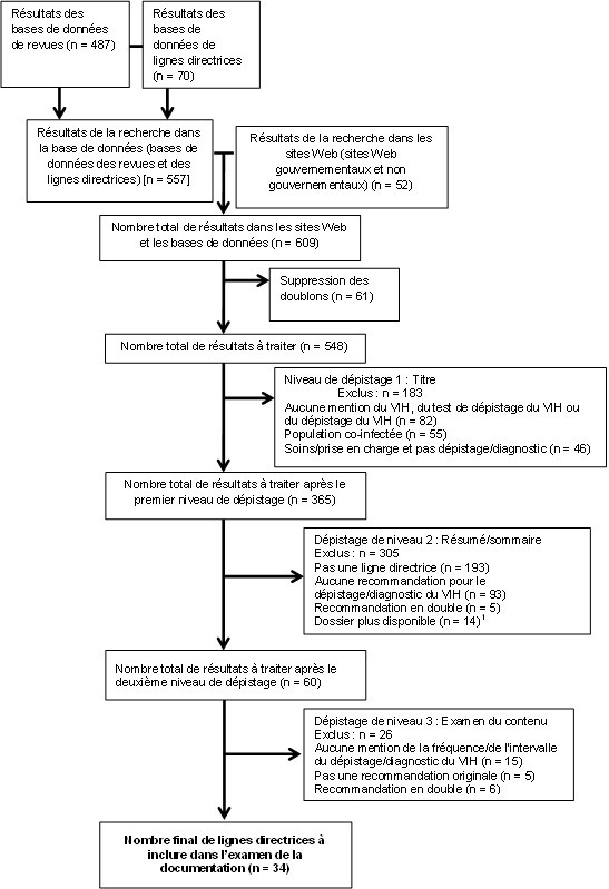
Au total, 609 documents ont été extraits de la recherche. Après suppression des doublons et application des critères d'inclusion et d'exclusion, l'examen final comprenait 34 lignes directrices (figure 1).
Figure 1 : Diagramme de la méthodologie de dépistage et des résultats définitifs

Description textuelle : Figure 1
Figure 1 : Diagramme de la méthodologie de dépistage et des résultats définitifs
La figure 1 est un organigramme illustrant la méthode utilisée pour la récupération et l’évaluation des documents visant à déterminer les lignes directrices relatives à l’étude. Les deux encadrés dans la partie supérieure indiquent les sources des recherches et les résultats. L’encadré 1 présente les résultats des bases de données de revues (n = 487) et l’encadré 2 présente les résultats des bases de données de lignes directrices (n = 70). L’encadré 3 présente les résultats combinés de la recherche des bases de données, soit les bases de données de revues et de lignes directrices (n = 557). L’encadré 3 est relié à l’encadré 4, qui présente les résultats de la recherche dans les sites Web gouvernementaux et non gouvernementaux (n = 52). L’encadré 5 présente les résultats combinés de la recherche dans les sites Web et la base de données (n = 609). L’encadré 6 présente la suppression des doublons (n = 61), puis l’encadré 7 présente le nombre total de résultats à traiter (n = 548). L’encadré 8 présente le premier niveau de dépistage du titre, qui exclut n = 183 en raison de : aucune mention du VIH, du test de dépistage du VIH ou du dépistage du VIH (n = 82), la population co-infectée (n = 55) ou les soins/prise en charge et pas dépistage/diagnostic (n = 46). L’encadré 9 présente le nombre total de résultats à traiter après le premier niveau de dépistage (n = 365). L’encadré 10 présente le dépistage de niveau 2 du résumé ou du sommaire, qui exclut n = 305 en raison de : pas une ligne directrice (n = 193) et aucune recommandation de dépistage et de diagnostic pour le VIH (n = 93). Recommandation en double (n = 5). Dossier plus disponible (n = 14). L’encadré 11 présente le nombre total de résultats à traiter après le deuxième niveau de dépistage (n = 60). L’encadré 12 présente le dépistage de niveau 3 pour l’examen du contenu qui exclut n = 26 en raison de : aucune mention de la fréquence/de l’intervalle du dépistage/diagnostic du VIH (n = 15), pas une recommandation originale (n = 5) ou une recommandation en double (n = 6). L’encadré 13 présente le nombre final de lignes directrices à inclure dans l’examen de la documentation (n = 34).
Les caractéristiques des lignes directrices incluses sont résumées dans le tableau 2. Deux tiers (65 %) provenaient des États-Unis et de l'Europe. En plus de la population générale, des hommes ayant des relations sexuelles avec d'autres hommes et des utilisateurs de drogues injectables, plusieurs autres populations clés sont ressorties : les femmes enceintes, les migrants provenant de régions où le VIH est endémique, les Autochtones, les adolescents, les personnes incarcérées, les partenaires dont l'état sérologique était inconnu et d'autres personnes.
| Type | Caractéristique | Nombre (%) |
|---|---|---|
| Région géographique | États-Unis | 12 (35) |
| Europe | 10 (29) | |
| Canada | 5 (15) | |
| Afrique | 2 (6) | |
| Australie | 2 (6) | |
| Organisation mondiale de la Santé | 2 (6) | |
| Asie | 1 (3) | |
| Principales populations mentionnées | Femmes enceintes | 20 (59) |
| HARSAH | 19 (56) | |
| Population générale | 14 (41) | |
| UDI | 13 (38) | |
| Plusieurs partenaires | 7 (21) | |
| Partenaire sexuel séropositif pour le VIH | 7 (21) | |
| Autre diagnostic d'ITS | 5 (15) | |
| Travailleurs du sexe et leurs clients | 4 (12) | |
| Migrants provenant de pays où le VIH est endémique | 4 (12) | |
| Autochtones | 3 (9) | |
| Adolescents | 3 (9) | |
| Personnes incarcérées | 3 (9) | |
| Hommes et femmes transgenres | 2 (6) | |
| Partenaire dont l'état sérologique est inconnu | 2 (6) | |
L'ensemble des 34 lignes directrices canadiennes, étrangères et internationales est résumé dans le tableau 3. Parmi celles-ci, 9 formulaient des recommandations seulement pour les groupes à risque élevé et les 25 autres formulaient des recommandations pour d'autres groupes à risque (p. ex. les femmes enceintes et la population générale). Cinq lignes directrices étaient des mises à jour de lignes directrices précédentes.
| Source | Population générale | Femmes enceintes | Plusieurs partenaires | Partenaire séropositif pour le VIH | HARSAH/ partenaire sexuel étant un HARSAH |
UDI/ partenaire sexuel UDI |
Personnes incarcérées | Adolescents | Hommes/ femmes transgenres |
Partenaire dont l'état sérologique est inconnu | Travailleurs du sexe et leurs clients | Migrants provenant de pays où le VIH est endémique | Autochtones | Autres ITS | |
|---|---|---|---|---|---|---|---|---|---|---|---|---|---|---|---|
| Canadien | Québec (2011)Note de bas de page 19 | ARP | Première visite prénatale | Plus fréquent | AMA | AMA | AMA | Évaluation du risque annuel | Évaluation du risque annuel | ARP | ARP | ARP | ARP | Évaluation du risque annuel | 3 à 6 mois |
| ASPC (2012)Note de bas de page 2 | Diagnostic normalisé | Première visite prénatale; répéter en cas de risque élevé | ARPTableau 3 - Note de bas de page 2 | ARPTableau 3 - Note de bas de page 2 | ARPTableau 3 - Note de bas de page 2 | ARPTableau 3 - Note de bas de page 2 | ARPTableau 3 - Note de bas de page 2 | ARP | ARP | ARP | ARPTableau 3 - Note de bas de page 2 | ARP | ARP | ARP | |
| Ontario (2012)Note de bas de page 32 | À la suite d'une exposition présentant un risque élevé | ARP | AMA | AMA | AMA | AMA | ARP | ARP | ARP | AMA | ARP | AMA | AMA | ARP | |
| Saskatchewan (2014)Note de bas de page 22 | Tous les 5 ans | Soins prénatals de routine | ARP | ARP | ARP | ARP | ARP | ARP | ARP | ARP | ARP | ARP | ARP | ARP | |
| Colombie-Britannique (2014)Note de bas de page 20 | Systématique; tous les 5 ans | Première visite prénatale; répéter en cas de risque élevé | AMA | AMA | AMA | AMA | Après incarcération | ARP | ARP | ARP | AMA | AMA | AMA | ARP | |
| Étrangères | CDC (plusieurs années)Note de bas de page 13Note de bas de page 17Note de bas de page 24Note de bas de page 25Note de bas de page 31Note de bas de page 33Note de bas de page 34 | Systématique; nouveau diagnostic en fonction du risqueNote de bas de page 13Note de bas de page 17Note de bas de page 25 | Chaque grossesseNote de bas de page 31; nouveau diagnostic au 3e trimestreNote de bas de page 13Note de bas de page 17Note de bas de page 25Note de bas de page 31 | AMANote de bas de page 13 | AMANote de bas de page 13 | AMANote de bas de page 13Note de bas de page 17Note de bas de page 31 | AMANote de bas de page 13 | SystématiqueNote de bas de page 34 | Nouveau diagnostic en fonction du risqueNote de bas de page 17 | Nouveau diagnostic en fonction des antécédents comportementauxNote de bas de page 17 | ARP | AMANote de bas de page 13 | ARP | ARP | Nouveau diagnostic avec nouvelle plainteNote de bas de page 13 |
| Seattle/comté de King (2001)Note de bas de page 35 | ARP | ARP | ARP | ARP | AMA | AMA | ARP | ARP | ARP | ARP | ARP | ARP | ARP | ARP | |
| Royaume-Uni (2006, 2008)Note de bas de page 21Note de bas de page 36 | Systématique; nouveau diagnostic après délaiNote de bas de page 21Note de bas de page 36 | Début de la grossesseNote de bas de page 21 | ARP | ARP | AMANote de bas de page 21 | AMANote de bas de page 21 | ARP | ARP | ARP | ARP | ARP | ARP | ARP | ARP | |
| Libéria (2007)Note de bas de page 37 | Nouveau diagnostic après délai | Nouveau diagnostic au 3e trimestre | ARP | ARP | ARP | ARP | ARP | ARP | ARP | ARP | ARP | ARP | ARP | ARP | |
| Afghanistan (2008)Note de bas de page 28 | Recherche supplémentaire nécessaire | ARP | 6 à 12 mois | 6 à 12 mois | 6 à 12 mois | 6 à 12 mois | ARP | ARP | ARP | ARP | 6 à 12 mois | ARP | ARP | ARP | |
| ACP/HIV Medicine Association (2009)Note de bas de page 38 | Systématique | Chaque grossesse | ARP | ARP | ARP | ARP | ARP | ARP | ARP | ARP | ARP | ARP | ARP | ARP | |
| France (2009)Note de bas de page 29 | Systématique; recherche supplémentaire nécessaire | ARP | ARP | ARP | Annuelle (si plusieurs partenaires) | Annuelle | ARP | ARP | ARP | ARP | ARP | Annuelle (si le partenaire sexuel vient d'une région où le VIH est endémique) | ARP | ARP | |
| République centrafricaine (2010)Note de bas de page 39 | Dépistage systématique à des cliniques de traitement des ITS | Début et fin de chaque grossesse | ARP | ARP | ARP | ARP | ARP | ARP | ARP | ARP | ARP | ARP | ARP | ARP | |
| STIs in Gay Men Action Group (2010, 2014)Note de bas de page 40Note de bas de page 41 | ARP | ARP | ARP | ARP | AMANote de bas de page 40Note de bas de page 41 | 3 à 6 mois (si HARSAH)Note de bas de page 41 | ARP | ARP | ARP | ARP | ARP | ARP | ARP | ARP | |
| NICE (2011)Note de bas de page 27Note de bas de page 42 | Systématique dans les cliniques spécialiséesNote de bas de page 27 | ARP | ARP | SystématiqueNote de bas de page 27 | Chaque annéeNote de bas de page 42; systématiqueNote de bas de page 27 | SystématiqueNote de bas de page 27 | ARP | ARP | ARP | ARP | ARP | SystématiqueNote de bas de page 27 | ARP | Systéma-tiqueNote de bas de page 27 | |
| New York (2011)Note de bas de page 43 | ARP | Nouveau diagnostic au 3e trimestre | ARP | ARP | ARP | ARP | ARP | ARP | ARP | ARP | ARP | ARP | ARP | ARP | |
| USPSTF (2014)Note de bas de page 18 | Pas de nouveau diagnostic lorsque le risque est faibleTableau 3 - Note de bas de page 3 | Chaque grossesse | ARPTableau 3 - Note de bas de page 3 | ARPTableau 3 - Note de bas de page 3 | ARPTableau 3 - Note de bas de page 3 | ARPTableau 3 - Note de bas de page 3 | ARPTableau 3 - Note de bas de page 3 | Dépistage des risques | ARP | ARP | ARPTableau 3 - Note de bas de page 3 | ARPTableau 3 - Note de bas de page 3 | ARPTableau 3 - Note de bas de page 3 | ARP | |
| ACOG (2015)Note de bas de page 44 | ARP | Début de la grossesse; nouveau dépistage au 3e trimestre | ARP | ARP | ARP | ARP | ARP | ARP | ARP | ARP | ARP | ARP | ARP | ARP | |
| InternationalesTableau 3 - Note de bas de page 1 | Europe (2008, 2014)Note de bas de page 16Note de bas de page 30 | Systématique; recherche supplémen-taire nécessaireNote de bas de page 16Note de bas de page 30 | SystématiqueNote de bas de page 16 | ARP | ARP | ARP | ARP | ARP | ARP | ARP | ARP | ARP | ARP | ARP | ARP |
| OMS (2009, 2010)Note de bas de page 15Note de bas de page 45 | ARP | Début de la grossesse; répéter si risque élevéNote de bas de page 15Note de bas de page 45 | ARP | AMANote de bas de page 45 | AMANote de bas de page 15Note de bas de page 45 | AMANote de bas de page 15Note de bas de page 45 | ARP | ARP | AMANote de bas de page 45 | AMANote de bas de page 45 | AMANote de bas de page 15Note de bas de page 45 | ARP | ARP | Nouveau diagnostic avec nouvelle plainteNote de bas de page 45 | |
| OEDT (2010)Note de bas de page 14 | ARP | ARP | ARP | ARP | ARP | 6 à 12 mois | ARP | ARP | ARP | ARP | ARP | ARP | ARP | ARP | |
| ECDC (2010, 2015)Note de bas de page 23Note de bas de page 26 | ARP | SystématiqueNote de bas de page 23 | ARP | ARP | SystématiqueNote de bas de page 23Note de bas de page 26 | ARP | ARP | ARP | ARP | ARP | ARP | ARP | ARP | SystématiqueNote de bas de page 23 | |
Les lignes directrices plus récentes ont mis l'accent sur le dépistage systématique (p. ex. ne recommandent pas un intervalle de dépistage précis, mais émettent une recommandation pour tester tout le monde) avec un dépistage plus fréquent chez les personnes qui adoptent des comportements à haut risqueNote de bas de page 2Note de bas de page 16Note de bas de page 17Note de bas de page 18.
Les populations les plus souvent mentionnées étaient les femmes enceintes, les hommes ayant des relations sexuelles avec d'autres hommes et la population générale. Parmi les 20 lignes directrices qui formulaient des recommandations pour les femmes enceintes, la recommandation la plus courante (n = 9) était d'établir un diagnostic le plus tôt possible durant chaque grossesse; quatre lignes directrices recommandaient un dépistage au cours de la première visite prénataleNote de bas de page 2Note de bas de page 19FNote de bas de page 20Note de bas de page 21, trois recommandaient un dépistage systématique du VIHNote de bas de page 16Note de bas de page 22Note de bas de page 23 et quatre proposaient un nouveau test au cours du troisième trimestre, quel que soit le risque d'infection par le VIH de la mèreNote de bas de page 13Note de bas de page 17Note de bas de page 24Note de bas de page 25.
Parmi les 19 lignes directrices qui concernaient les hommes ayant des relations sexuelles avec d'autres hommes, 14 ont fourni une fréquence de dépistage précise, trois recommandaient le dépistage systématique sans intervalles de dépistage précisNote de bas de page 23Note de bas de page 26Note de bas de page 27 et deux mentionnaient qu'elles n'avaient pas suffisamment de données pour établir un intervalle de dépistage, mais recommandaient que les hommes ayant des relations sexuelles avec d'autres hommes soient dépistés plus souventNote de bas de page 2Note de bas de page 18. Au total, 14 recommandaient le dépistage du VIH au moins une fois par an.
Le dépistage du VIH au moins une fois par an était également la recommandation la plus courante des lignes directrices pour les utilisateurs de drogues injectables (11 sur 13 lignes directrices), les personnes ayant des partenaires sexuels séropositifs pour le VIH (6 sur 7), les personnes qui ont des partenaires multiples (4 sur 7), les travailleurs du sexe et leurs clients (4 sur 4), les migrants provenant de pays où le VIH est endémique (3 sur 4) et les Autochtones (2 sur 3). Dans l'ensemble, les recommandations sur la fréquence de dépistage chez les populations à risque élevé variaient peu.
Les recommandations pour la population générale variaient légèrement. Certaines (2 sur 14) mettaient l'accent sur un moment précis, alors que la majorité (8 sur 14) mettait l'accent sur le dépistage systématique ou normalisé sans fournir d'intervalle précis (p. ex. ASPC, Union européenne, République centrafricaine). Quatre lignes directrices ne pouvaient pas fournir de recommandations précises au sein de la population générale en raison d'un manque de donnéesNote de bas de page 16Note de bas de page 28Note de bas de page 29Note de bas de page 30.
Les lignes directrices n'étaient pas d'accord sur le fait d'avoir suffisamment de données probantes pour formuler des recommandations sur la fréquence de dépistage chez certaines populationsNote de bas de page 2Note de bas de page 18Note de bas de page 28Note de bas de page 29. C'est le cas pour les deux populations pour lesquelles il y a eu uniformité parmi les recommandations des lignes directrices (p. ex. hommes ayant des relations sexuelles avec d'autres hommes et utilisateurs de drogues injectables) et pour les populations pour lesquelles il y avait une certaine uniformité ou aucune ligne directrice (p. ex. les personnes incarcérées).
Les lignes directrices pour les personnes ayant reçu un diagnostic d'infection transmissible sexuellement recommandaient souvent le dépistage systématique du VIH (n = 3) ou un nouveau test pour chaque nouveau diagnostic d'infection transmissible sexuellement (n = 2). L'émergence de cette population dans le présent examen met l'accent sur les diagnostics d'infections transmissibles sexuellement à titre de possible substitut aux comportements sexuels à risque élevé et sur la détermination des personnes plus à risque d'infection par le VIH.
Les populations les moins mentionnées étaient les personnes incarcérées, les adolescents, les personnes avec des partenaires dont l'état sérologique était inconnu, les hommes et les femmes transgenres.
Discussion
Le présent examen a identifié 34 lignes directrices sur la fréquence du dépistage du VIH. En plus des recommandations sur la fréquence de dépistage pour les groupes à risque élevé, plusieurs lignes directrices comprenaient également des recommandations pour la population générale et les femmes enceintes, mettant en évidence un passage d'une tendance axée sur les risques et le dépistage cibléNote de bas de page 13Note de bas de page 24Note de bas de page 33Note de bas de page 46 à une tendance visant à intégrer le dépistage du VIH dans les soins courantsNote de bas de page 2Note de bas de page 13Note de bas de page 16Note de bas de page 18Note de bas de page 21Note de bas de page 32Note de bas de page 39. Il y a eu un bon consensus sur le fait que le dépistage au moins une fois par an est recommandé chez les populations à risque plus élevé.
La majorité des lignes directrices proposent un dépistage en début de grossesse, et certaines recommandent un nouveau dépistage au cours du troisième trimestre. Il y a un manque de consensus sur certains sous-groupes (p. ex. les personnes incarcérées, la population générale et les personnes ayant reçu un diagnostic d'autres infections transmissibles sexuellement), et il semble ne pas y avoir suffisamment de données pour formuler des recommandations pour la population générale et les personnes incarcérées. Les différences dans les recommandations pour les groupes de population peuvent provenir des divers types de données utilisées pour documenter les lignes directrices.
Plusieurs facteurs doivent être pris en compte lors de l'interprétation de ces résultats. Les points forts de cet examen comprennent une stratégie de recherche approfondie, une évaluation et extraction des données uniformes et objectives des études. Il y a également un certain nombre de limites. Les lignes directrices qui pourraient avoir été publiées dans des langues autres que le français et l'anglais n'ont pas été incluses dans le présent examen. Il convient de noter qu'il y avait peu de lignes directrices publiées de l'Asie et de l'Afrique. Étant donné que ces régions ont des taux d'incidence et de prévalence du VIH élevés, les lignes directrices de ces régions n'étaient pas prises en compte par nos paramètres de recherche ou il y avait un manque de directives sur les intervalles optimaux pour le dépistage et le diagnostic du VIH dans ces régions.
Des recherches sont nécessaires pour examiner et évaluer de manière critique les données probantes sur les recommandations relatives à la fréquence du dépistage du VIH dans diverses populations. Des recherches précises pourraient être axées sur l'intervalle de dépistage optimal pour la population générale, pour les adolescents, pour les hommes et les femmes transgenres et les personnes incarcéréesNote de bas de page 47Note de bas de page 48, ainsi que sur la fréquence optimale de dépistage des peuples autochtones, des communautés ethnoculturelles ayant de fortes incidences du VIH et des travailleurs migrants à l'échelle nationale.
En résumé, le dépistage et le diagnostic du VIH est un outil extrêmement important dans le continuum des soins liés au VIH. Bien que de nombreuses lignes directrices aient été créées pour déterminer la fréquence idéale de dépistage pour différentes populations, il y a un manque d'uniformité parmi elles et la base de données probantes pour certaines populations semble être insuffisante. D'autres données probantes visant à déterminer la fréquence optimale de dépistage et de diagnostic du VIH dans différentes populations pourraient renforcer les efforts mondiaux d'éradication de cette maladie.
Remerciements
Nous tenons à remercier Jun Wu et Margaret Gale-Rowe pour leurs commentaires constructifs sur l'article. Nous aimerions remercier également Ella Westhaver, la bibliothécaire de recherche qui nous a aidés à concevoir et à réaliser notre recherche systématique sur les lignes directrices, et Jessica Yau pour sa contribution à la révision de cet article.
Conflit d’intérêts
Aucun déclaré.
Financement
Cette étude a été appuyée par l'Agence de la santé publique du Canada. Les auteurs n'ont aucune source de financement extérieure supplémentaire à déclarer.
Annexe 1 : Sites Web ayant fait l'objet de la recherche
La recherche sur les sites Web a été divisée entre les sites nationaux et internationaux, et les sites gouvernement et non gouvernementaux/sites des intervenants.
| Type de site Web | Organisation |
|---|---|
Gouvernement national |
|
Gouvernements internationaux |
|
Non gouvernementale nationale/intervenants |
|
Non gouvernementales internationales/intervenants |
|
Annexe 2 : Chaînes de recherche dans la base de données
Chaînes de recherche dans MEDLINE
Base(s) de données : Ovid MEDLINE(R) In-Process & Other Non-Indexed Citations, Ovid MEDLINE(R) Daily, Ovid MEDLINE(R) et Ovid OLDMEDLINE(R) de 1946 à aujourd'hui
| N | Recherches | Résultats |
|---|---|---|
| 1 | (hiv ou human immunodeficiency ou human immune deficiency ou vih).ti. | 188 944 |
| 2 | exp *HIV Infections/ ou exp *HIV/ ou exp HIV Infections/ep | 246 368 |
| 3 | (hiv positive* ou hiv+ ou vih positi* ou vih+).ti. | 161 297 |
| 4 | 1 ou 2 ou 3 | 272 101 |
| 5 | exp Mass Screening/ | 106 834 |
| 6 | (frequency ou schedule ou interval?).mp. [mp=title, abstract, original title, name of substance word, subject heading word, keyword heading word, protocol supplementary concept word, rare disease supplementary concept word, unique identifier] | 1 348 682 |
| 7 | (guideline? ou recommendation? ou policy).mp. [mp=title, abstract, original title, name of substance word, subject heading word, keyword heading word, protocol supplementary concept word, rare disease supplementary concept word, unique identifier] | 614 880 |
| 8 | [(Testing ou screening) adj5 (frequency ou interval ou guideline? ou recommendation?)].ti,hw. | 2 834 |
| 9 | 4 et 7 et 8 | 178 |
| 10 | 4 et 5 et 6 et 7 | 94 |
| 11 | 9 ou 10 | 265 |
| 12 | 10 pas 9 | 87 |
| 13 | [(Testing ou screening) adj6 (frequency ou interval ou guideline? ou recommendation?)].ti,hw. | 4 611 |
| 14 | 4 et 7 et 13 | 238 |
| 15 | 14 pas 9 | 60 |
| 16 | limit 14 to [yr="2000 -Current" et (english ou french)] | 182 |
| Abréviation : N, Nombre | ||
Chaîne de recherche dans Scopus
Scopus OECD ( TITLE ( hiv OU aids OU vih) ET ( TITLE-ABS-KEY ( ( hiv OU aids OU vih) W/6 ( testing OU screening) W/6 ( frequency OU interval* OU guidelin* OU recommendation*))) ET TITLE-ABS-KEY ( guidelin* OU recommendation*) PUBYEAR > 2000) ET ( TITLE-ABS-KEY ( spain OU slovakia OU poland OU portugal OU greece OU germany OU france OU finland OU denmark OU "Czech Republic" OU canad* OU belgium OU austria OU australia OU norway OU "New Zealand" OU netherlands OU mexico OU luxembourg OU korea OU japan OU italy OU iceland OU hungary OU ireland OU "United States" OU great-britain OU "United Kingdom" OU turkey OU switzerland OU sweden)) ET( LIMIT-TO ( LANGUAGE, "English") OU LIMIT-TO ( LANGUAGE, "French")) 284
Chaîne de recherche dans Embase
Base(s) de données : Embase 1974 au 21 septembre 2015
| N | Recherches | Résultats |
|---|---|---|
| 1 | (Spain ou Slovakia ou Poland ou Portugal ou Greece ou Germany ou France ou Finland ou Denmark ou Czech-Republic ou Canada ou Belgium ou Austria ou Australia ou Norway ou New-Zealand ou Netherlands ou Mexico ou Luxembourg ou Korea ou Japan ou Italy ou Iceland ou Hungary ou Ireland ou United-States ou Great-Britain ou Turkey ou Switzerland ou Sweden).mp. | 3 697 234 |
| 2 | (hiv ou human immunodeficiency ou human immune deficiency ou vih).ti. | 213 771 |
| 3 | exp *Human immunodeficiency virus/ | 75 032 |
| 4 | Human immunodeficiency virus infection/ep | 32 614 |
| 5 | *Human immunodeficiency virus infection/ | 154 397 |
| 6 | 2 ou 3 ou 4 ou 5 | 258 779 |
| 7 | exp mass screening/ | 174 825 |
| 8 | (frequency ou schedule ou interval?).mp. | 1 558 540 |
| 9 | (guideline? ou recommendation? ou policy).mp. | 917 993 |
| 10 | 6 et 7 et 8 et 9 | 62 |
| 11 | [(Testing ou screening) adj6 (frequency ou interval ou guideline? ou recommendation?)].ti,hw. | 6 001 |
| 12 | 6 et 9 et 11 | 313 |
| 13 | 1 et 12 | 123 |
| 14 | 12 pas 13 | 190 |
| 15 | limit 12 to ((english ou french) rt yr="2000 -Current") | 245 |
| Abréviation : N, Nombre | ||
Chaîne de recherche dans la bibliothèque Cochrane
"hiv".ti et "interval".ti et "guideline".ti et "recommendation".ti Année de publication de 2000 à 2015 (les variations du mots ont aussi été saisies)
Chaîne de recherche dans la bibliothèque numérique canadienne
Bibliothèque numérique canadienne : La collection des éditeurs canadiens, La collection des politiques publiques canadiennes, La collection de la recherche canadienne dans le domaine de la santé
Titre : HIV ET all:screening OU Testing