Interventions non pharmaceutiques pour réduire la SRAS-CoV-2 et la COVID-19 avec les taux d’hospitalisation relatifs


Publié par : L'Agence de la santé publique du Canada
Numéro : Volume 48-10, octobre 2022 : Équité, diversité et inclusion en santé publique
Date de publication : octobre 2022
ISSN : 1719-3109
Soumettre un article
À propos du RMTC
Naviguer
Volume 48-10, octobre 2022 : Équité, diversité et inclusion en santé publique
Science de la mise en œuvre
Efficacité des interventions non pharmaceutiques pour réduire la transmission du SRAS-CoV-2 au Canada et leur association avec les taux d'hospitalisation relatifs à la COVID-19
Erin E Rees1,2,3, Brent P Avery4, Hélène Carabin2,3,5, Carolee A Carson4, David Champredon1, Simon de Montigny2,6,7, Brendan Dougherty4, Bouchra R Nasri3,6, Nicholas H Ogden1,2,3
Affiliations
1 Division des sciences des risques pour la santé publique (DSRSP), Laboratoire national de microbiologie, Agence de la santé publique du Canada, Saint-Hyacinthe, QC et Guelph, ON
2 Groupe de recherche en épidémiologie des zoonoses et santé publique (GREZOSP), faculté de médecine vétérinaire, Université de Montréal, Saint-Hyacinthe, QC
3 Centre de recherche en santé publique (CReSP), Université de Montréal, Montréal, QC
4 Division de la surveillance des maladies d'origine alimentaire et de la résistance aux antimicrobiens, Centre des maladies infectieuses d'origine alimentaire, environnementale et zoonotique, Agence de la santé publique du Canada, Guelph, ON
5 Faculté de médecine vétérinaire, Université de Montréal, Montréal, QC
6 École de santé publique, Université de Montréal, Montréal, QC
7 Centre de recherche du CHU Sainte-Justine, Université de Montréal, Montréal, QC
Correspondance
Citation proposée
Rees EE, Avery BP, Carabin H, Carson CA, Champredon D, de Montigny S, Dougherty B, Nasri BR, Ogden NH. Efficacité des interventions non pharmaceutiques pour réduire la transmission du SRAS-CoV-2 au Canada et leur association avec les taux d'hospitalisation relatifs à la COVID-19. Relevé des maladies transmissibles au Canada 2022;48(10):484–95. https://doi.org/10.14745/ccdr.v48i10a04f
Mots-clés : interventions non pharmaceutiques, transmission du SRAS-CoV-2, taux d'hospitalisation relatif à la COVID-19, régression dynamique
Résumé
Contexte : Les interventions non pharmaceutiques (INP) visent à réduire l'incidence des infections causées par le coronavirus du syndrome respiratoire aigu sévère 2 (SRAS-CoV-2) en limitant principalement les contacts entre les personnes où la transmission du virus peut se produire. Cependant, les INP limitent les interactions sociales et entraînent des répercussions négatives sur le bien-être économique, physique, mental et social. Il est donc important d'évaluer l'incidence des INP sur la réduction du nombre de cas de maladie à coronavirus 2019 (COVID-19) et d'hospitalisations pour justifier leur utilisation.
Méthodes : Des modèles de régression dynamique qui tiennent compte de l'autocorrélation dans les données de séries chronologiques ont été utilisés avec des données provenant de six provinces canadiennes (Colombie-Britannique, Alberta, Saskatchewan, Manitoba, Ontario, Québec) pour évaluer 1) l'effet des INP (mesurés à l'aide d'un indice de rigueur) sur la transmission du SRAS-CoV-2 (mesurée par le taux de reproduction effectif) et 2) l'effet du nombre de patients hospitalisés en raison de la COVID-19 sur l'indice de rigueur.
Résultats : L'indice de rigueur croissant a été associé à une diminution statistiquement importante de la transmission du SRAS-CoV-2 en Alberta, en Saskatchewan, au Manitoba, en Ontario et au Québec. L'effet de la rigueur sur la transmission a été décalé dans toutes ces provinces, sauf en Ontario. Dans toutes les provinces, sauf en Saskatchewan, l'augmentation des taux d'hospitalisation était associée à une augmentation statistiquement importante de l'indice de rigueur. L'effet de l'hospitalisation sur la rigueur était décalé dans le temps.
Conclusion : Ces résultats suggèrent que les INP ont été efficaces dans les provinces canadiennes et que leur mise en œuvre a été, en partie, une réponse à l'augmentation des taux d'hospitalisation des patients atteints de la COVID-19.
Introduction
Des interventions non pharmaceutiques (INP) ont été mises en œuvre à l'échelle mondiale afin de réduire le coronavirus du syndrome respiratoire aigu sévère 2 (SRAS-CoV-2) et les niveaux d'infection, d'hospitalisation et de décès liés à la maladie à coronavirus 2019 (COVID-19). Les interventions non pharmaceutiques ont été utilisées avant que les vaccins ne soient largement disponibles et, au moment de la rédaction du présent rapport, elles continuent d'agrémenter les efforts de vaccination. Les interventions non pharmaceutiques comprennent la détection et l'isolement des cas, la recherche et la quarantaine des contacts, les restrictions de voyage, les fermetures restrictives (restrictions de rassemblement, fermetures d'entreprises non essentielles et fermetures d'écoles), les couvre-feux et les mesures personnelles, y compris la distanciation physique et le port du masque. Les interventions non pharmaceutiques agissent en réduisant le taux de contacts entre les personnes (e.g. fermeture d'entreprises non essentielles) et en réduisant la probabilité de transmission lorsque des contacts se produisent (e.g. port du masque et distanciation physique). Les taux de contact et la probabilité de transmission sont des déterminants du taux de reproduction effectif, Rt, (i.e. le nombre moyen de cas secondaires générés par un individu infectieux typique au moment t dans une population avec un mélange atypique résultant d'une certaine immunité et d'INP) Note de bas de page 1. Il a été démontré que la nature même des INP, qui visent à réduire les interactions sociales, a une incidence négative sur l'économie et le bien-être physique, mental et social de la population sous-jacente Note de bas de page 2 Note de bas de page 3 Note de bas de page 4. Par conséquent, l'évaluation de l'incidence des INP pour réduire la transmission du SRAS-CoV-2 est importante pour justifier et valider leur mise en œuvre. Une compréhension plus claire de l'efficacité des INP appuiera également les décisions à venir en matière de santé publique concernant leur utilisation en réponse aux potentielles vagues successives de COVID-19 et aux pandémies potentielles à venir avec des modes de transmission similaires.
Les articles précédents font état de données probantes sur l'efficacité des INP et sur leurs effets. Les interventions non pharmaceutiques sont associées à la réduction des taux de cas confirmés Note de bas de page 5 Note de bas de page 6 Note de bas de page 7 et la puissance de leur efficacité augmente avec la mise en œuvre précoce plutôt que plus tard Note de bas de page 8. Un examen récent suggère que la plupart des études indiquent que les INP sont efficaces Note de bas de page 9. Les données probantes sur l'efficacité des INP sont principalement axées sur les types de mesures des INP et la façon dont leur efficacité varie Note de bas de page 10 Note de bas de page 11 Note de bas de page 12. Par exemple, on n'a pas constaté que les restrictions des déplacements étaient associées à une réduction de l'incidence Note de bas de page 13. De plus, les confinements n'étaient pas associés à une réduction de la prévalence et de la mortalité liées à la COVID-19 Note de bas de page 14.
Même au Canada, les données probantes sur l'efficacité des INP varient. Les provinces et les territoires ont mis en œuvre les INP différemment au fil du temps en réponse à leur situation liée à la COVID-19. Les mesures prédominantes comprenaient les fermetures d'écoles et de lieux de travail, les annulations d'événements publics, les restrictions relatives aux rassemblements, les exigences relatives au séjour à la maison, les restrictions relatives aux déplacements internes et interprovinciaux, les politiques de dépistage et le port du masque. Deux articles récents évaluant l'efficacité des INP ont utilisé une série normalisée d'indicateurs et d'indices composites élaborés par la Blavatnik School of Government de l'Université d'Oxford pour quantifier les INP au niveau provincial pendant la durée de la pandémie de COVID-19 Note de bas de page 15. Dans une étude, on a constaté que l'indice de rigueur était associé à une diminution de la prévalence de la COVID-19 au cours des trois premières vagues en plus de l'incidence de la vaccination, mais qu'il n'était pas possible de démêler ces effets Note de bas de page 16. Une autre étude portait principalement sur la période de prévaccination de la pandémie et a constaté que l'effet de la rigueur à associer à une réduction de la croissance quotidienne des cas de COVID-19 était minime à inexistant, au cours des première et deuxième vagues Note de bas de page 17.
On vise ici à améliorer la compréhension de l'efficacité—ou de l'inefficacité—des INP au Canada en évaluant individuellement les données de six provinces, compte tenu des variations régionales dans les vagues de COVID-19 au Canada. On s'est concentré sur les deux premières vagues de la pandémie. On a tenu compte des effets de confusion possibles qui auraient pu découler du déploiement de la première dose de vaccins et du premier variant préoccupant au cours des derniers mois de la période d'étude. On a évalué les associations avec les INP, mesurées à l'aide d'un indice de rigueur, en fonction de deux perspectives. Tout d'abord, on s'attendait à ce que 1) les INP réduisent la fréquence des contacts infectieux, mesurée par les taux de reproduction effectif (Rt) et 2) que l'incidence des INP soit retardée en fonction de la durée de la période d'incubation et des activités de surveillance (dépistage et signalement). Deuxièmement, on a évalué les données probantes disant que le renforcement des INP était en réponse à l'augmentation des taux d'hospitalisation, dans l'intention d'empêcher que les systèmes de soins de santé ne soient dépassés. Par conséquent, les objectifs de cette étude étaient de mesurer les associations, au niveau provincial, entre 1) l'indice de rigueur des INP, l'indice de rigueur (sidx) et la transmission du SRAS-CoV-2 (mesuré par le taux de reproduction effectif, Rt), et 2) le nombre de patients hospitalisés en raison de la COVID-19 et l'intensité des INP mises en œuvre, mesurée par le sidx.
Méthodes
Conception de l'étude et population
Il s'agit d'une étude écologique qui utilise la province comme unité d'analyse. La période visée par l'étude était du 1er avril 2020 au 31 mars 2021. Cette période exclut les trois premiers mois de 2020, avant que l'Organisation mondiale de la Santé ne déclare une pandémie mondiale, alors que les autorités sanitaires provinciales étaient encore en train d'établir des protocoles de surveillance. De plus, la période d'étude comprend la période au cours de laquelle les INP ont été la principale méthode de contrôle de la COVID-19 — avant que la vaccination ait pu avoir une incidence importante sur la transmission du SRAS-CoV-2 au Canada (moins de 2 % de la population était entièrement vaccinée au 31 mars 2021), même si on en a tenu compte comme on le verra plus loin. La période d'étude a également comporté les deux premières vagues de la pandémie au Canada et une partie importante de la troisième vague. Dans cette analyse, les données de la Colombie-Britannique, de l'Alberta, de la Saskatchewan, du Manitoba, de l'Ontario et du Québec ont été utilisées parce que ces provinces avaient la majorité des cas Note de bas de page 18.
Mesure et définition de la transmission du SRAS-CoV-2
La transmission du SRAS-CoV-2 a été estimée à l'aide du taux de reproduction effectif Rt. Le Rt est le nombre moyen d'infections secondaires générées par un cas dans une population où certaines personnes sont immunisées et des mesures de contrôle peuvent être en place Note de bas de page 1. La limite inférieure du Rt est de 0 avec un Rt < 1 indiquant une diminution de la transmission (i.e. que le nombre quotidien de nouveaux cas diminue), un Rt = 1 indiquant un taux de transmission stable (i.e. que l'infection est endémique) et un Rt > 1 indiquant une augmentation de la transmission (i.e. que l'infection se propage). Le Rt a été calculé à partir du nombre de nouvelles infections au SRAS-CoV-2 détectées et signalées par les provinces, comme il a été mentionné temporairement à la date de signalement. La bibliothèque R EpiEstim (version 2.2.3), avec une fenêtre mobile de 10 jours sur les infections signalées, a été utilisée pour estimer le Rt Note de bas de page 19. L'intervalle en série a été réglé à une moyenne de quatre jours et à un écart-type de 4,75 jours Note de bas de page 20.
Mesure et définition de l'indice de rigueur
Une version adaptée de la méthodologie élaborée à la Blavatnik School of Government a été utilisée pour produire un ensemble de données infranationales canadiennes pour les INP mis en œuvre en réponse à la COVID-19. Les données ont été recueillies à partir de sources accessibles au public, comme des articles de presse, des communiqués de presse et des séances d'information du gouvernement. Ces sources ont été identifiées et codées à l'aide des indicateurs et du cahier de codes élaborés par l'Oxford Covid-19 Government Response Tracker, avec un indicateur supplémentaire en cours d'élaboration et encodé pour saisir les restrictions de voyage interprovinciales : 0 — Aucune restriction; 1 — Recommander de ne pas voyager entre les provinces ou les territoires; 2 — L'entrée dans la province ou le territoire en provenance de certaines provinces ou de certains territoires est restreinte (y compris la période de quarantaine requise); 3 — L'entrée dans la province ou le territoire de toutes les provinces ou de tous les territoires est restreinte (y compris la période de quarantaine requise). Chaque semaine, deux membres de l'équipe ont encodé les INP de façon indépendante pour chaque province et territoire. Les données encodées provenant des deux codeurs ont ensuite été comparées et tout écart a été corrigé par un troisième membre de l'équipe.
La version infranationale canadienne de l'indice de rigueur d'Oxford comprenait les modifications suivantes. Premièrement, les indicateurs qui ne variaient pas dans le temps ou entre les provinces (i.e. les restrictions de voyage internationales, les campagnes fédérales d'information sur la santé publique, les fermetures de transports publics) ont été éliminés. Deuxièmement, on a ajouté des indicateurs qui peuvent influer sur la transmission des infections au Canada (restrictions des déplacements interprovinciaux, politique de dépistage et politique sur le port du masque). Le sidx modifié a été calculé à l'aide de la même formule élaborée pour calculer l'indice de rigueur d'Oxford, mais avec un ensemble différent d'indicateurs (tableau 1).
Nom de l'indicateur | Indice de rigueur d'Oxford | Indice de rigueur modifié |
---|---|---|
C1_Fermeture des écoles | Oui | Oui |
C2_Fermeture du lieu de travail | Oui | Oui |
C3_Annulation des événements publics | Oui | Oui |
C4_Restrictions sur les rassemblements | Oui | Oui |
C5_Fermeture des transports publics | Oui | Non |
C6_Exigences en matière de maintien à domicile | Oui | Oui |
C7_Restrictions pour les déplacements internes | Oui | Oui |
C8_Contrôle des voyages internationaux | Oui | Non |
H1_Campagnes d'information publique | Oui | Non |
H2_Stratégie de dépistage | Non | Oui |
H6_Couvre-visages | Non | Oui |
X1 : Restriction des déplacements interprovinciaux | Non | Oui |
|
Mesure et définition du nombre de patients hospitalisés en raison de la COVID-19
Le nombre de patients hospitalisés en raison de la COVID-19, H, était le nombre quotidien déclaré publiquement par les provinces : Ontario, Alberta, Québec, Colombie-Britannique, Saskatchewan et Manitoba.
Modèle statistique
Une approche de régression dynamique a été utilisée pour mesurer les associations entre le sidx et le Rt (i.e. l'objectif de l'étude 1) et le sidx et le H (i.e. l'objectif de l'étude 2). Les résultats, le Rt ou le sidx, ont été modélisés par des processus non stationnaires avec la moyenne dépendante du temps ainsi que la variance et l'information provenant d'observations antérieures. Étant donné que l'analyse de régression classique des données non stationnaires peut donner lieu à des estimations des paramètres de modèle non stationnaires, cette étude a utilisé une approche de modélisation autorégressive à moyenne mobile intégrée (ARIMA) Note de bas de page 21. Plus précisément, une version étendue du modèle ARIMA (ARIMAX) a été utilisée de telle sorte que les résultats de la série dépendante du temps, yt, a été modélisée en fonction de variables explicatives k (x1t,...xkt) en tenant compte des renseignements provenant de l'observation antérieure :
∇dyt = ∇dyt-1 * θ1 + ∇dyt-2 * θ2 + … +∇dyt-p * θp + β1 * x1t + β2 * x2t +…+ βk * xkt + εt + α1 * εt-1 +…+ αq * εt-q,
où le terme de bruit de fond εt est Gaussien avec la moyenne 0 et la variance σ2, et ∇d est l'opérateur de différenciation et d est le degré de différenciation. Lorsque d = 1, le modèle est ∇1yt = yt – yt-1 et lorsque d = 2, ∇2yt = ∇1(∇1yt) = ∇1(yt – yt-1) = (yt – yt-1) – (yt-1 – yt-2) = yt – 2 * yt-1+ yt-2. De plus, p est le nombre de termes autorégressifs (AR) de ∇dyt et q est le nombre de termes de moyenne mobile (MM). Enfin, θ1, θ2,…,θp, β1,…, βkt, α1,…, αq,σ sont les paramètres du modèle. Dans l'ensemble, le modèle est représenté par ARIMAX (p, d, q), respectivement. Les modèles ARIMAX ont été élaborés à l'aide de la fonction auto.arima du progiciel de prévision pour le logiciel statistique R Note de bas de page 22 Note de bas de page 23 Note de bas de page 24. Cette fonction trouve le meilleur modèle approprié tout en tenant compte de l'autocorrélation à l'aide des termes d'AR, des termes de différenciation et des termes de MM. La fonction auto.arima sélectionne le modèle qui convient le mieux aux modèles candidats dont le nombre de termes d'AR et de MM diffère en réduisant au minimum le critère d'information d'Akaike pour les échantillons de petite taille.
Création et sélection de modèles
Après le décalage temporel des variables explicatives (i.e. le sidx et le H; voir ci-dessous), la moyenne des données a été calculée pour des périodes de sept jours sans chevauchement. Cela réduit le bruit qui peut se produire dans les données sur la santé pour les facteurs sociaux (e.g. organisation de la surveillance et de l'hôpital) au niveau hebdomadaire tel qu'observé dans les données et ne provoque pas plus d'autocorrélation en utilisant une approche moyenne mobile avec des périodes de chevauchement Note de bas de page 25. L'analyse statistique a été effectuée au niveau provincial. La formulation générale des modèles candidats pour l'objectif 1 était la suivante : Rt ~ sidx, et pour l'objectif 2, elle était la suivante : sidx ~ H. Dans les deux cas, les effets des variables explicatives ont également été évalués avec des décalages temporels aux septième et 14e jours. La variation de la durée des délais permet de déterminer le temps pendant lequel un changement dans le sidx a une incidence plus élevée sur le Rt (modèle pour l'objectif 1) ou le temps pendant lequel un changement dans les hospitalisations influe le plus sur la puissance des INP (modèle pour l'objectif 2). La variation de la durée des décalages permet également de tenir compte des différences probables entre les administrations quant à la vitesse à laquelle les cas et les hospitalisations sont signalés. Les modèles ajustés ont été ignorés si l'hétéroscédasticité conditionnelle autorégressive restait dans les résidus, comme analysés à l'aide du test de McLeod-Li, et permettait jusqu'à deux violations pour une évaluation sur cinq périodes de décalage Note de bas de page 26.
Pour l'élaboration du modèle, on envisage également la possibilité d'effets de confusion du variant préoccupant Alpha ayant un taux de transmission plus élevé (B.1.1.7), les mois d'hiver entraînant des contacts plus étroits à mesure que les gens passent plus de temps à l'intérieur Note de bas de page 27 ainsi que le début de la vaccination qui peuvent tous être associés aux expositions d'intérêt (sidx ou H) et aux résultats (Rt et sidx). En effet, une augmentation du Rt et du H a été observée à la fin de la période d'étude. La période d'étude n'a pas été assez longue pour démêler les effets de confusion potentiels qui ne se chevauchent pas entièrement (i.e. la vaccination de janvier à mars 2021 et l'augmentation de la dominance du variant Alpha principalement en mars 2021) et la période d'étude ne contient qu'un hiver allant de la fin de décembre 2020 à mars 2021. On a donc décidé d'utiliser une période de temps comme indicateur combinant les trois effets et le temps réparti entre la période précédant la vaccination, le variant Alpha et l'hiver (d'avril à décembre 2020; codée C = 0) et la période où la vaccination, le variant Alpha et l'hiver étaient présents (de janvier à mars 2021; codée C = 1). On a effectué une analyse en fonction de la confusion en évaluant si le changement du coefficient bêta de sidx était supérieur à 10 % entre les formules de modèle Rt ~ sidx et Rt ~ sidx + C, pour chaque décalage temporel du sidx. S'il y avait confusion, on a conservé le modèle avec C, sinon on a conservé le modèle univariable avec le sidx. On a ensuite classé les modèles retenus selon les décalages temporels, et sans décalage temporel, selon la taille décroissante du coefficient bêta pour le sidx, qui représente la taille de l'effet variable sur la variable de résultat. Les modèles finaux ont été sélectionnés si l'effet de sidx était important à une valeur p de 0,05 (figure 1). Pour le deuxième objectif, nous utilisons la même approche en fonction des formules du modèle de sidx ~ H et de sidx ~ H + C. Dans les résultats du modèle des deux objectifs, on présente le critère d'information bayésienne (CIB), qui a été calculé en fonction de la probabilité maximale pour chaque modèle, afin de permettre des comparaisons entre plusieurs modèles de la même province Note de bas de page 28. Les valeurs inférieures de CIB indiquent un modèle plus parcimonieux adapté aux données. Une différence dans le CIB (∆CIB) de deux ou moins indique que les deux modèles sont également efficaces pour appuyer le meilleur modèle Note de bas de page 29.

Figure 1 - Description textuelle
Ce graphique présente un résumé des étapes et des décisions utilisées pour élaborer les modèles de régression et sélectionner un modèle supérieur aux fins d'interprétation. La première étape consiste à adapter les modèles candidats à chaque objectif de l'étude. La deuxième étape consiste à supprimer les modèles candidats qui ne réussissent pas le test de McLeod-Li pour évaluer l'autocorrélation. La troisième étape consiste à évaluer la confusion en comparant les modèles du même décalage, avec et sans le substitut pour la confusion, C. S'il y a confusion, le modèle avec C est conservé, sinon le modèle sans C est conservé. La quatrième étape consiste à classer les autres modèles candidats, pour l'objectif donné, de la plus grande taille à la plus petite taille absolue, le coefficient bêta pour la rigueur, le sidx (objectif 1) et le nombre de patients hospitalisés en raison de la COVID-19, H (objectif 2). À la cinquième étape, le modèle supérieur est identifié comme étant le modèle ayant un effet important sur le sidx ou le H, conformément à l'objectif, et ayant la plus grande ampleur de l'effet selon la valeur absolue du coefficient bêta.
Résultats
Les variations temporelles de Rt, de sidx et de H étaient semblables dans les provinces au cours de la période étudiée (figure 2). Sur le plan visuel, le sidx et le Rt étaient associés négativement (figure 3), tandis que le H et le sidx semblaient associés positivement (figure 4). Pour l'objectif 1, on a constaté que le sidx était associé de manière importante et négative au Rt dans toutes les provinces, sauf en Colombie-Britannique. L'Alberta, la Saskatchewan, l'Ontario et le Québec avaient un dernier modèle sélectionné, tandis que le Manitoba en avait trois, le modèle le plus sélectionné ayant un décalage de sept jours pour le sidx. Pour les autres provinces, les effets du sidx ont été décalés à 14 jours pour l'Alberta et le Québec, de sept jours pour la Saskatchewan, mais sans décalage pour l'Ontario (tableau 2).

Figure 2 - Description textuelle
Cette figure montre les tracés respectifs pour la série chronologique provinciale du taux de transmission, Rt, la rigueur des interventions non pharmaceutiques, le sidx et le nombre par habitant de patients hospitalisés en raison de la COVID-19, H. La moyenne de la série chronologique est établie à des périodes hebdomadaires sans chevauchement. Même s'il y a une variation au niveau provincial, les provinces partagent les grandes tendances en matière de Rt, en sidx et en H. Le taux de transmission a atteint son sommet à l'été et à l'automne de 2020, puis descend à un creux en février et en mars 2021, avant de reprendre à la hausse d'ici la fin de la période d'étude. La rigueur et le H sont semblables les uns par rapport aux autres et tendent à tenir compte des tendances du Rt. La rigueur et le H diminuent à l'été 2020, puis atteignent leur sommet en hiver. Ces variables semblent ensuite diminuer à la fin de la période étudiée.
- Figure 2 - abbréviations
-
Abréviations : AB, Alberta; BC, Colombie-Britannique; H, nombre de patients hospitalisés en raison de la COVID-19; MB, Manitoba; ON, Ontario; QC, Québec; Rt, taux de reproduction effectif; SK, Saskatchewan
- Footnote a
-
Série chronologique de la période d'étude au niveau provincial pour a) le taux de reproduction effectif, Rt, b) la rigueur des INP, sidx, et c) le nombre de patients hospitalisés en raison de la COVID-19, H, par habitant, aux fins de comparaison visuelle. Les données sont présentées selon une moyenne par semaine

Figure 3 - Description textuelle
Cette figure présente les tracés respectifs au niveau provincial pour l'association entre la rigueur des interventions non pharmaceutiques, le sidx et le taux de transmission, Rt. La ligne bleue présente l'ajustement linéaire et la zone ombragée présente les erreurs-types de l'ajustement. Toutes les provinces affichent la même tendance générale d'une association négative entre le sidx et le Rt, en ce sens que des valeurs plus élevées de sidx sont associées à des valeurs plus faibles du Rt.
- Figure 3 - abbréviations
-
Abréviations : AB, Alberta; BC, Colombie-Britannique; MB, Manitoba; ON, Ontario; QC, Québec; Rt, taux de reproduction effectif; sidx, indice de rigueur; SK, Saskatchewan
- Footnote a
-
Les données sont présentées selon une moyenne par semaine. Une droite d'ajustement tracée entre le sidx et le Rt avec des erreurs-types est incluse pour mettre en évidence la tendance entre les deux variables

Figure 4 - Description textuelle
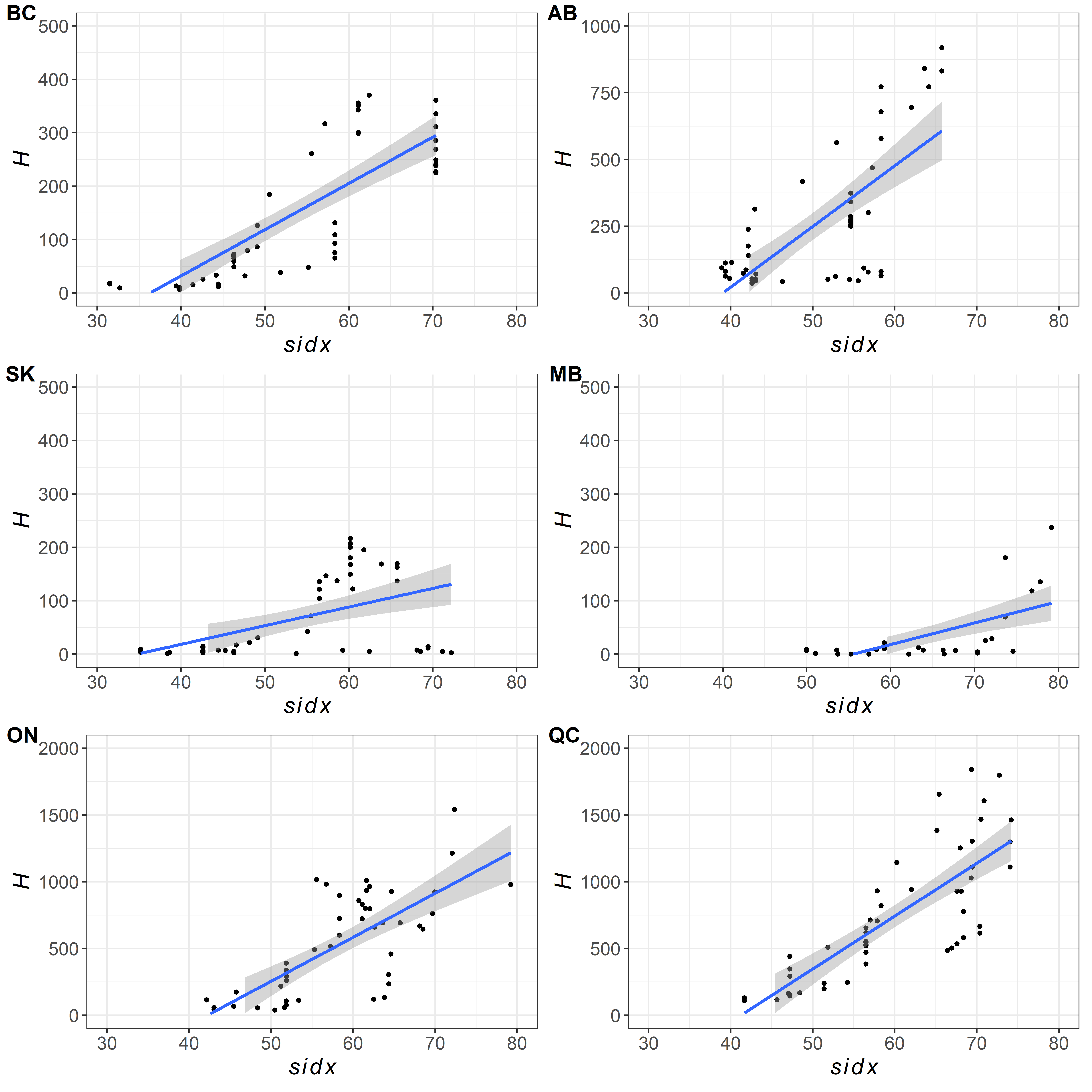
Cette figure présente les tracés respectifs au niveau provincial pour l'association entre la rigueur des interventions non pharmaceutiques, le sidx et le nombre de patients hospitalisés en raison de la COVID-19, le H. La ligne bleue montre l'ajustement linéaire et la zone ombragée montre les erreurs-types de l'ajustement. Toutes les provinces affichent la même tendance générale d'une association positive entre le sidx et le H, en ce sens que des valeurs plus élevées de sidx sont associées à des valeurs plus élevées du H.
- Figure 4 - abbréviations
-
Abréviations : AB, Alberta; BC, Colombie-Britannique; H, nombre de patients hospitalisés en raison de la COVID-19; MB, Manitoba; ON, Ontario; QC, Québec; sidx, indice de rigueur; SK, Saskatchewan
- Footnote a
-
Les données sont présentées selon une moyenne par semaine. Une droite d'ajustement tracée entre le sidx et le H avec des erreurs-types est incluse pour mettre en évidence la tendance entre les deux variables
Province | Variables du modèle | CIB | M-Li | nV | sidx | C | nObs | ||||||
---|---|---|---|---|---|---|---|---|---|---|---|---|---|
β | IC bas | IC élevé | valeur p | β | IC bas | IC élevé | valeur p | ||||||
Colombie-Britannique | sidx_décalage14 | -116,8 | 0 | 5 | -6,06E-03 | -1,37E-02 | 1,54E-03 | 1,18E-01 | s.o. | s.o. | s.o. | s.o. | 50 |
sidx_décalage7 | -115.6 | 1 | 2 | -3,83E-03 | -1,07E-02 | 3,02E-03 | 2,73E-01 | s.o. | s.o. | s.o. | s.o. | 50 | |
sidx | -115,2 | 1 | 1 | -3,23E-03 | -1,02E-02 | 3,70E-03 | 3,61E-01 | s.o. | s.o. | s.o. | s.o. | 50 | |
Alberta | sidx + C | -114,9 | 1 | 2 | -9,16E-04 | -7,94E-03 | 6,11E-03 | 7,98E-01 | -2,80E-02 | -1,27E-01 | 7,08E-02 | 5,78E-01 | 51 |
sidx_décalage14 | -125,2 | 1 | 0 | -7,30E-03 | -1,19E-02 | -2,66E-03 | 2,04E-03 | s.o. | s.o. | s.o. | s.o. | 51 | |
sidx_décalage7 + C | -115,1 | 1 | 0 | 2.70E-03 | -6,74E-03 | 1,21E-02 | 5,75E-01 | -4,04E-02 | -1,42E-01 | 6,10E-02 | 4,34E-01 | 51 | |
Saskatchewan | sidx_décalage14 | -17,1 | 1 | 2 | -2.78E-03 | -1,06E-02 | 5,03E-03 | 4,85E-01 | s.o. | s.o. | s.o. | s.o. | 51 |
sidx | -18,24 | 1 | 1 | -4,98E-03 | -1,25E-02 | 2,55E-03 | 1,95E-01 | s.o. | s.o. | s.o. | s.o. | 51 | |
sidx_décalage7 | -20,61 | 1 | 0 | -7,83E-03 | -1,55E-02 | -1,80E-04 | 4,48E-02 | s.o. | s.o. | s.o. | s.o. | 51 | |
Manitoba | sidx_décalage7 | -8,776 | 1 | 0 | -8,14E-03 | -1,49E-02 | -1,40E-03 | 1,80E-02 | s.o. | s.o. | s.o. | s.o. | 51 |
sidx | -8,04 | 1 | 0 | -7,62E-03 | -1,44E-02 | -8,74E-04 | 2,68E-02 | s.o. | s.o. | s.o. | s.o. | 51 | |
sidx_décalage14 | -7,489 | 1 | 0 | -7,12E-03 | -1,40E-02 | -2,86E-04 | 4,11E-02 | s.o. | s.o. | s.o. | s.o. | 51 | |
Ontario | sidx + C | -148,5 | 1 | 0 | -4,30E-03 | -8,51E-03 | -8,79E-05 | 4,54E-02 | -9,67E-02 | -1,92E-01 | -1,18E-03 | 4,72E-02 | 51 |
sidx_décalage7 + C | -149,6 | 1 | 0 | -2,20E-03 | -6,25E-03 | 1,84E-03 | 2,86E-01 | -3,72E-02 | -1,20E-01 | 4,53E-02 | 3,77E-01 | 51 | |
sidx_décalage14 + C | -145,5 | 1 | 0 | -1,01E-03 | -5,32E-03 | 3,30E-03 | 6,46E-01 | -4,83E-02 | -1,33E-01 | 3,66E-02 | 2,65E-01 | 51 | |
Québec | sidx_décalage14 | -149,2 | 1 | 0 | -7,66E-03 | -1,30E-02 | -2,29E-03 | 5,20E-03 | s.o. | s.o. | s.o. | s.o. | 51 |
sidx_décalage7 + C | -138,6 | 1 | 0 | -2,42E-03 | -8,34E-03 | 3,50E-03 | 4,22E-01 | -1,63E-02 | -8,34E-02 | 5,08E-02 | 6,33E-01 | 51 | |
sidx | -141,9 | 1 | 0 | -2,15E-03 | -7,75E-03 | 3,46E-03 | 4,53E-01 | s.o. | s.o. | s.o. | s.o. | 51 | |
|
Pour l'objectif 2, on a constaté que H était important et associé de manière positive au sidx dans toutes les provinces, sauf en Saskatchewan. En Colombie-Britannique, deux modèles avaient en fait un soutien égal pour les effets décalés de H à sept et 14 jours, bien que la taille de l'effet de H soit plus importante à 14 jours. L'Alberta avait également deux modèles avec un soutien tout aussi efficace pour H à 0 et à sept jours. La taille de l'effet était plus importante à sept jours. Pour le Manitoba, il n'y avait qu'un seul modèle avec un effet important du H, qui était décalé à sept jours. L'Ontario et le Québec avaient deux modèles avec des effets importants de H. Pour l'Ontario, H était décalé à sept et 14 jours, la taille de l'effet étant plus importante à 14 jours. Au Québec, la taille de l'effet était la plus élevée dans le modèle sans décalage temporel de H, comparativement à un modèle avec décalage de sept jours (tableau 3).
Province | Variables du modèle | CIB | M-Li | nV | H | C | nObs | ||||||
---|---|---|---|---|---|---|---|---|---|---|---|---|---|
β | IC bas | IC élevé | valeur p | β | IC bas | IC élevé | valeur p | ||||||
Colombie-Britannique | H_décalage14 | 260,3 | 1 | 0 | 6,44E-02 | 1,41E-02 | 1,15E-01 | 1,21E-02 | s.o. | s.o. | s.o. | s.o. | 51 |
H_décalage7 | 261,9 | 1 | 0 | 5,41E-02 | 1,87E-03 | 1,06E-01 | 4,23E-02 | s.o. | s.o. | s.o. | s.o. | 51 | |
H | 265,2 | 1 | 0 | 2,34E-02 | -2,73E-02 | 7,40E-02 | 3,66E-01 | s.o. | s.o. | s.o. | s.o. | 51 | |
Alberta | H_décalage7 + C | 233,8 | 1 | 0 | 2,70E-02 | 1,50E-02 | 3,90E-02 | 1,02E-05 | -4,48 | -8,97 | 1,17E-02 | 5,06E-02 | 50 |
H | 231,1 | 1 | 0 | 2,60E-02 | 1,42E-02 | 3,78E-02 | 1,58E-05 | s.o. | s.o. | s.o. | s.o. | 50 | |
H_décalage14 | 242,5 | 1 | 0 | 1,45E-02 | 1,26E-03 | 2,77E-02 | 3,18E-02 | s.o. | s.o. | s.o. | s.o. | 50 | |
Saskatchewan | H_décalage7 + C | 278,7 | 1 | 0 | 2,35E-02 | -7,84E-02 | 1,25E-01 | 6,51E-01 | 2,12 | -3,93 | 8,18 | 4,91E-01 | 50 |
H + C | 278,8 | 1 | 0 | 1,88E-02 | -7,87E-02 | 1,16E-01 | 7,05E-01 | 2,68 | -3,26 | 8,63 | 3,76E-01 | 50 | |
H_décalage14 + C | 278,9 | 1 | 0 | 1,63E-03 | -1,01E-01 | 1,04E-01 | 9,75E-01 | 2,47E | -3,49 | 8,43 | 4,16E-01 | 50 | |
Manitoba | H_décalage7 | 233,4 | 1 | 0 | 2,88E-02 | 2,70E-04 | 5,73E-02 | 4,79E-02 | s.o. | s.o. | s.o. | s.o. | 51 |
H_décalage14 | 236,1 | 1 | 0 | 1,49E-02 | -1,45E-02 | 4,42E-02 | 3,20E-01 | s.o. | s.o. | s.o. | s.o. | 51 | |
H + C | 254 | 1 | 0 | 7,63E-03 | -2,26E-02 | 3,79E-02 | 6,21E-01 | -2,04 | -5,96 | 1,88 | 3,08E-01 | 51 | |
Ontario | H_décalage14 | 266 | 1 | 0 | 1,55E-02 | 7,74E-03 | 2,32E-02 | 8,77E-05 | s.o. | s.o. | s.o. | s.o. | 51 |
H_décalage7 | 269,1 | 1 | 0 | 1,40E-02 | 5,78E-03 | 2,23E-02 | 8,52E-04 | s.o. | s.o. | s.o. | s.o. | 51 | |
H | 273,8 | 1 | 0 | 1,02E-02 | -4,22E-04 | 2,08E-02 | 5,98E-02 | s.o. | s.o. | s.o. | s.o. | 51 | |
Québec | H + C | 243,5 | 1 | 0 | 8,36E-03 | 1,29E-03 | 1,54E-02 | 2,05E-02 | -2,48 | -5,29 | 3,36E-01 | 8,44E-02 | 51 |
H_décalage7 | 229,9 | 1 | 0 | 6,90E-03 | 4,02E-04 | 1,34E-02 | 3,74E-02 | s.o. | s.o. | s.o. | s.o. | 51 | |
H_décalage14 + C | 247,5 | 1 | 0 | 3,13E-03 | -3,51E-03 | 9,77E-03 | 3,55E-01 | -2,34 | -4,84 | 1,68E-01 | 6,75E-02 | 51 | |
|
L'analyse suggère qu'il y a peu de données probantes pour confondre les effets de la vaccination, du variant Alpha et de l'hiver, comme le modélise le C, sur les variables de résultat. Pour l'objectif 1, il n'y avait qu'un seul modèle, comme on l'a constaté pour l'Ontario, avec une marge d'effet importante sur le Rt qui comprenait également un effet important de C. Tous les autres modèles avec des effets importants du sidx n'ont pas retenu le C (tableau 2). Pour l'objectif 2, il n'y avait que deux modèles, comme ceux de l'Alberta et du Québec, qui avaient un effet important du H sur le sidx et qui ont conservé la variable pour le C (tableau 3). Toutefois, dans les deux cas, l'effet du C n'était pas important.
Les résultats complets du modèle, avec les termes d'AR et de MM, sont fournis dans la documentation supplémentaire pour les modèles finaux qui contiennent un effet important du sidx sur le Rt pour l'objectif 1 et du H sur le sidx pour l'objectif 2, à une valeur de p ≤ 0,05 (annexe).
Discussion
Cette étude a utilisé une approche de régression dynamique pour évaluer l'incidence des INP mesurée par l'indice infranational de sévérité canadien, le sidx, afin de réduire la transmission du SRAS-CoV-2 mesurée par le Rt et d'examiner la possibilité que le nombre de patients hospitalisés en raison de la COVID-19, H, dirige le niveau du sidx. Les résultats fournissent des données empiriques sur les associations que le sidx a avec le Rt et le H au niveau provincial au Canada. Il existe déjà des données empiriques sur l'effet des INP pour réduire le fardeau de la COVID-19 dans d'autres pays Note de bas de page 5 Note de bas de page 6 Note de bas de page 7 Note de bas de page 9, mais au moment de la rédaction du présent rapport, cet effet était moins compris au Canada, les études faisant état de variations par rapport à l'absence d'effet des INP Note de bas de page 16 Note de bas de page 17 Note de bas de page 30 Note de bas de page 31.
La stratification de l'analyse par province a facilité l'interprétation des effets de sidx et de H, compte tenu des différences interprovinciales dans les activités de dépistage et les stratégies d'atténuation. À l'échelle provinciale, les résultats statistiques suggèrent que, pour la plupart des provinces, l'augmentation de sidx a eu un effet important et décalé dans le temps pour la réduction du Rt. Même si l'effet de sidx était négatif, il n'est pas associé de manière importante au Rt pour la Colombie-Britannique (où le sidx et le Rt ont une relation globalement négative pour toutes les provinces [figure 3]). Pour le deuxième objectif, l'augmentation de H était associée de manière importante à l'augmentation de sidx, avec un effet décalé dans le temps, dans toutes les provinces, à l'exception de la Saskatchewan. Pour la Saskatchewan, l'effet de H sur le sidx était positif, mais sans importance (lorsque le sidx et le H présentaient une association globalement positive pour toutes les provinces [figure 4]). Pour les deux objectifs, il y a eu des incohérences interprovinciales dans la longueur des effets décalés de sidx (objectif 1) et de H (objectif 2). Il est possible que les incohérences soient liées aux différences provinciales dans les rapports et la conformité aux INP. La proportion de cas déclarés peut varier d'une province à l'autre et parmi les provinces Note de bas de page 32. Cela peut être causé par 1) des différences dans les critères et les taux de dépistage et 2) une sous-déclaration en raison de facteurs sociodémographiques qui influent à la fois sur la volonté de se faire dépister et l'accès aux centres de dépistage provinciaux Note de bas de page 33 Note de bas de page 34. Les critères de dépistage ont changé au fil du temps et ils diffèrent d'une province à l'autre. Proportionnellement, peu de personnes asymptomatiques étaient susceptibles de subir un test de dépistage, sauf celles œuvrant dans les soins de santé, les soins de longue durée et à certains moments où les ressources permettaient d'élargir les critères de dépistage de la population par le retraçage des contacts Note de bas de page 32. Les incohérences dans les rapports réduiraient la précision du Rt pour représenter le niveau réel de transmission et réduiraient ainsi la capacité de détecter une association entre le sidx et le Rt. L'absence d'effet détectable du H sur le sidx pour la Saskatchewan peut être liée à la variation interprovinciale de l'éclosion, en ce sens que le nombre réel de cas était surtout plus faible en Saskatchewan pour la période étudiée, comparativement aux autres provinces plus grandes.
L'interprétation des effets décalés dans le temps de sidx sur le Rt exige également la prise en compte du calcul du Rt, qui a utilisé la date des signalements de cas. La période d'incubation combinée de l'infection Note de bas de page 35, le temps écoulé entre le début des symptômes et l'obtention d'un résultat positif au moyen du test de réaction en chaîne de la polymérase, puis le temps écoulé entre la détection du cas et le signalement du cas, ont été estimés à l'interne par l'Agence de la santé publique du Canada pour une période atteignant jusqu'à 14 jours. Cela signifie que le Rt utilisé dans cette étude est une mesure décalée du taux de transmission pour un jour donné. Par conséquent, les effets décalés dans le temps de sidx sur le Rt que nous avons constatés dans cette étude, soit de sept à 14 jours, pourraient en fait être la détermination des effets plus rapides des mesures de santé publique sur la transmission.
Les études de modélisation suggèrent que la mise en œuvre précoce des INP restrictives est optimale pour maximiser leur effet et réduire au minimum leur durée Note de bas de page 36. Cependant, l'effet décalé de H sur le sidx suggère que les provinces ont mis en œuvre et renforcé les INP en réponse à un nombre croissant de patients hospitalisés en raison de la COVID-19 plutôt qu'à titre préventif.
Les études de modélisation ont d'abord suggéré que des fermetures restrictives ne seraient pas nécessaires pour contrôler l'éclosion de COVID-19 au Canada avec détection de cas et isolement, suivi du retraçage des contacts et de la mise en quarantaine (dépistage et retraçage), combinées à des mesures de distanciation physique Note de bas de page 37 Note de bas de page 38 Note de bas de page 39. Manifestement, la résurgence répétée de l'épidémie, combinée aux résultats présentés ici, suggère que la capacité de dépistage et de retraçage n'a pas été suffisante et que des fermetures restrictives (qui comprennent la plupart des composantes de sidx) ont dû être mises en œuvre pour contrôler la pandémie.
On n'a pas trouvé de données probantes solides de confusion. Cela peut être dû en partie à la variable de substitution combinant des effets qui devaient différer dans la direction de leur association, de sorte que la vaccination devrait réduire le Rt, tandis que le variant Alpha et le fait de passer plus de temps passé à l'intérieur pendant l'hiver devraient être associés à une augmentation du Rt. L'analyse a été effectuée à l'aide de données antérieures la vaccination importante de la population canadienne, de sorte qu'il est probable que les relations élucidées fournissent des données probantes d'associations véritables entre les cas, les hospitalisations et les INP.
Points forts et limites de l'étude
Le point fort de l'étude repose en grande partie sur l'approche statistique et la structure du modèle. Une étude semblable évaluant l'incidence des INP utilisant la rigueur comme mesure composite sur le taux de croissance quotidien des cas n'a pas permis de déterminer une association significative au cours d'une période d'étude similaire allant de février 2020 à février 2021 Note de bas de page 17. On fait valoir que la structure du modèle est mieux adaptée aux données non stationnaires dépendantes du temps en tenant compte de la dynamique temporelle complexe des séries chronologiques à l'aide des termes de MM et d'AR Note de bas de page 40. Vickers et al. Note de bas de page 17 ont utilisé un effet aléatoire qui ne peut tenir compte que de l'autocorrélation au cours de périodes définies. En utilisant des fonctions autorégressives, on a pu tenir compte de toute dépendance sérielle dans les données tout au long de la période d'étude. Le test de McLeod-Li a validé l'efficacité de la structure du modèle Note de bas de page 26. De plus, au moyen de cette structure de modèle, on pourrait utiliser des effets fixes pour évaluer les effets décalés dans le temps de sidx, contrairement à l'approche de Vickers et al. Note de bas de page 17. Enfin, il s'agit de la première étude qui met explicitement à l'épreuve l'effet que H peut avoir sur la mise en œuvre de sidx au niveau des points forts et du temps.
L'une des limites importantes de notre étude est que les indices de rigueur, tels qu'ils ont été élaborés par la Blavatnik School of Government, et comme ils ont été adaptés pour cette étude, ne tiennent pas compte de la conformité du public Note de bas de page 15, dont dépend le succès des INP à réduire le fardeau de la COVID-19. Des différences interprovinciales dans le niveau de conformité du public aux INP étaient présentes pendant la période d'étude. L'analyse des données de l'enquête au cours de la période visée par la présente étude indique que la conformité aux INP a tendance à être plus faible en Alberta et en Saskatchewan et plus élevée en Ontario et au Québec Note de bas de page 41 Note de bas de page 42. De plus, le niveau de conformité du public est influencé par la capacité des gouvernements à communiquer clairement l'importance d'avoir des INP, la rapidité de leur mise en œuvre, la clarté et l'uniformité de l'application de la loi, ainsi que la compréhension et les attitudes du public à l'égard des INP Note de bas de page 43 Note de bas de page 44 Note de bas de page 45 Note de bas de page 46. Au Canada, les soins de santé publique sont le mandat des gouvernements provinciaux et les caractéristiques sociodémographiques varient d'une province à l'autre, de sorte que la prise en compte des différences dans les rapports et de la conformité au niveau provincial devrait renforcer les associations de sidx avec le Rt et de sidx avec le H.
Une autre limite découle du fait que sidx est un indice composite dérivé de multiples INP sans pondération de la puissance de leur contribution à limiter les contacts infectieux. L'analyse des données canadiennes démontre que l'efficacité des INP dépend du type de mesure Note de bas de page 30 Note de bas de page 31. Une meilleure compréhension de la mesure des INP au niveau individuel serait bénéfique à l'élaboration et à la mise en œuvre à venir de politiques pour l'utilisation d'une mesure contre la COVID-19 ou d'autres maladies respiratoires entraînant des répercussions semblables ou importantes sur la santé publique.
Conclusion
Les résultats de cette étude montrent que les INP, mesurées par un indice de rigueur composite, sont associées à la réduction des cas au Canada; alors que la puissance de la rigueur des INP était en partie attribuable au nombre de patients hospitalisés en raison de la COVID-19. Le calendrier des INP, mesuré par le décalage latéral à 0, 7 et 14 jours, pour réduire la transmission du SRAS-CoV-2, mesuré par le nombre de reproductions efficace, n'était pas uniforme dans les provinces étudiées. Cela peut être causé par des différences interprovinciales dans la déclaration des cas de COVID-19 et le niveau de conformité de la population aux INP. Les travaux à venir devraient mettre l'accent sur ces facteurs, en particulier l'effet des INP sur la réduction de la transmission du SRAS-CoV-2 tel que modifié par des mesures de conformité et l'évaluation des effets variables des INP individuelles.
Déclaration des auteurs
E. E. R. — Conception de l'étude, analyse des données, interprétation des résultats, rédaction et révision du manuscrit, examen critique du manuscrit
B. P. A. — Conception de l'étude, élaboration de l'indice de rigueur adapté au contexte canadien, interprétation des résultats, rédaction et révision du manuscrit
H. C. — Interprétation des résultats, rédaction et révision du manuscrit, examen critique du manuscrit
C. A. C. — Élaboration de l'indice de rigueur adapté au contexte canadien, interprétation des résultats, rédaction et révision du manuscrit
D. C. — Conception de l'étude, calcul de la mesure du taux de transmission du SRAS-CoV-2, analyse des données, interprétation des résultats, rédaction et révision du manuscrit
S. M. — Fourniture des conseils statistiques, interprétation des résultats, rédaction et révision du manuscrit, examen critique du manuscrit
B. D. — Conception de l'étude, élaboration de l'indice de rigueur adapté au contexte canadien, interprétation des résultats, rédaction et révision du manuscrit
B. R. N. — Fourniture des conseils statistiques, interprétation des résultats, rédaction et révision du manuscrit, examen critique du manuscrit
N. H. O. — Conception de l'étude, interprétation des résultats, rédaction et révision du manuscrit, examen critique du manuscrit
Tous les auteurs ont approuvé la version finale du manuscrit.
Intérêts concurrents
Aucun.
Remerciements
Nous remercions les organismes de santé publique des grandes provinces qui ont fourni les données de surveillance. Nous tenons également à remercier C. Primeau, L. Sherk, C. Uhland, K. Young et H. Ziraldo pour leur contribution à la collecte et à l'encodage des données afin de générer l'ensemble de données infranationales canadiennes pour les INP au cours de la période visée par l'étude. Merci beaucoup à l'équipe de synthèse des connaissances de la Division de la science des risques pour la santé publique du Laboratoire national de microbiologie pour son appui à l'analyse documentaire.
Financement
Ces travaux ont été soutenus par l'Agence de la santé publique du Canada.
Références
- Note de bas de page 1
-
Mercer GN, Glass K, Becker NG. Effective reproduction numbers are commonly overestimated early in a disease outbreak. Stat Med 2011;30(9):984–94. https://doi.org/10.1002/sim.4174
- Note de bas de page 2
-
Harling G, Gómez-Olivé FX, Tlouyamma J, Mutevedzi T, Kabudula CW, Mahlako R, Singh U, Ohene-Kwofie D, Buckland R, Ndagurwa P, Gareta D, Gunda R, Mngomezulu T, Nxumalo S, Wong EB, Kahn K, Siedner MJ, Maimela E, Tollman S, Collinson M, Herbst K. Protective behaviors and secondary harms resulting from nonpharmaceutical interventions during the COVID-19 epidemic in South Africa: Multisite, prospective longitudinal study. JMIR Public Heal Surveill 2021;7(5):1–17. https://doi.org/10.2196/26073
- Note de bas de page 3
-
Nicola M, Alsafi Z, Sohrabi C, Kerwan A, Al-Jabir A, Iosifidis C, Agha M, Agha R. The socio-economic implications of the coronavirus pandemic (COVID-19): A review. Int J Surg 2020;78:185–93. https://doi.org/10.1016/j.ijsu.2020.04.018
- Note de bas de page 4
-
Pierce M, Hope H, Ford T, Hatch S, Hotopf M, John A, Kontopantelis E, Webb R, Wessely S, McManus S, Abel KM. Mental health before and during the COVID-19 pandemic: a longitudinal probability sample survey of the UK population. Lancet Psychiatry 2020;7(10):883–92. https://doi.org/10.1016/S2215-0366(20)30308-4
- Note de bas de page 5
-
Yang C, Chen X, Chang C-P, Chen D, Hao Y. What is the relationship between government response and COVID-19 pandemics ? Global evidence of 118 countries. Struct Chang Econ Dyn 2021;59:98–107. https://doi.org/10.1016/j.strueco.2021.08.007
- Note de bas de page 6
-
García-García D, Herranz-Hernández R, Rojas-Benedicto A, León-Gómez I, Larrauri A, Peñuelas M, Guerrero-Vadillo M, Ramis R, Gómez-Barroso D. Assessing the effect of non-pharmaceutical interventions on COVID-19 transmission in Spain, 30 August 2020 to 31 January 2021. Euro Surveill 2022;27(19):2100869. https://doi.org/10.2807/1560-7917.ES.2022.27.19.2100869
- Note de bas de page 7
-
Wong MC, Huang J, Teoh J, Wong SH. Evaluation on different non-pharmaceutical interventions during COVID-19 pandemic: An analysis of 139 countries. J Infect 2020;81:e70–1. https://doi.org/10.1016/j.jinf.2020.06.044
- Note de bas de page 8
-
Amuedo-Dorantes C, Kaushal N, Muchow AN. Is the Cure Worse than the Disease? County-Level Evidence from the COVID-19 Pandemic in the United States. Germany: IZA Institute of Labor Economics; Sept 2020. https://www.iza.org/publications/dp/13695/is-the-cure-worse-than-the-disease-county-level-evidence-from-the-covid-19-pandemic-in-the-united-states
- Note de bas de page 9
-
Mendez-Brito A, El Bcheraoui C, Pozo-Martin F. Systematic review of empirical studies comparing the effectiveness of non-pharmaceutical interventions against COVID-19. J Infect 2021;83(3):281–93. https://doi.org/10.1016/j.jinf.2021.06.018
- Note de bas de page 10
-
Huy LD, Nguyen NTH, Phuc PT, Huang C-C. The Effects of Non-Pharmaceutical Interventions on COVID-19 Epidemic Growth Rate during Pre- and Post-Vaccination Period in Asian Countries. Int J Environ Res Public Health 2022;19(1139). https://doi.org/10.3390/ijerph19031139
- Note de bas de page 11
-
Goscé L, Phillips A, Spinola P, Gupta RK, Abubakar I. Modelling SARS-COV2 Spread in London: Approaches to Lift the Lockdown. J Infect 2020;81:260–5. https://doi.org/10.1016/j.jinf.2020.05.037
- Note de bas de page 12
-
Pozo-Martin F, Weishaar H, Cristea F, Hanefeld J, Bahr T, Schaade L, El Bcheraoui C. The impact of non-pharmaceutical interventions on COVID-19 epidemic growth in the 37 OECD member states. Eur J Epidemiol 2021;36:629–40. https://doi.org/10.1007/s10654-021-00766-0
- Note de bas de page 13
-
García-García D, Herranz-Hernández R, Rojas-Benedicto A, León-Gómez I, Larrauri A, Peñuelas M, Guerrero-Vadillo M, Ramis R, Gómez-Barroso D, Gomez-Barrosa D. Perimeter confinements of basic health zones and COVID-19 incidence in Madrid, Spain. BMC Public Health 2022;22(216):216. https://doi.org/10.1186/s12889-022-12626-x
- Note de bas de page 14
-
Meo SA, Abukhalaf AA, Alomar AA, Al Mutairi FJ, Usmani AM, Klonoff DC. Impact of lockdown on COVID - 19 prevalence and mortality during 2020 pandemic: observational analysis of 27 countries. Eur J Med Res 2020;25(56):1–7. https://doi.org/10.1186/s40001-020-00456-9
- Note de bas de page 15
-
University of Oxford. Blavatnik School of Government. Hale T, Petherick A, Anania J, de Mello BA, Angrist N, Barnes R, Boby T, Cameron-Blake E, Cavalieri A, Di Folco M, Edwards B, Ellen L, Elms J, Furst R, Green K, Goldszmidt R, Hallas L, Kira B, Luciano M, Majumdar S, Marques Oliveira T, Nagesh R, Phillips T, Pott A, Sampaio J, Tatlow H, Wade A, Webster S, Wood A, Zha H, Zhang Y. Variation in government responses to COVID-19. Blavatnik School of Government Working Paper. 2021. https://www.bsg.ox.ac.uk/research/publications/variation-government-responses-covid-19
- Note de bas de page 16
-
Adeyinka DA, Neudorf C, Camillo CA, Marks WN, Muhajarine N. COVID-19 Vaccination and Public Health Countermeasures on Variants of Concern in Canada: Evidence From a Spatial Hierarchical Cluster Analysis. JMIR Public Heal Surveill 2022;8(5):e31968. https://doi.org/10.2196/31968
- Note de bas de page 17
-
Vickers DM, Baral S, Mishra S, Kwong JC, Sundaram M, Katz A, Calzavara A, Maheu-Giroux M, Buckeridge DL, Williamson T. Stringency of containment and closures on the growth of SARS-CoV-2 in Canada prior to accelerated vaccine roll-out. Int J Infect Dis 2022;118:73–82. https://doi.org/10.1016/j.ijid.2022.02.030
- Note de bas de page 18
-
Agence de la santé publique du Canada. Maladie à coronavirus (COVID-19). Ottawa, ON : ASPC; (modified 2022; accédé 2021-09-24). https://www.canada.ca/fr/sante-publique/services/maladies/maladie-coronavirus-covid-19.html
- Note de bas de page 19
-
Cori A, Ferguson NM, Fraser C, Cauchemez S. A new framework and software to estimate time-varying reproduction numbers during epidemics. Am J Epidemiol 2013;178(9):1505–12. https://doi.org/10.1093/aje/kwt133
- Note de bas de page 20
-
Nishiura H, Linton NM, Akhmetzhanov AR. Serial interval of novel coronavirus (COVID-19) infections. Int J Infect Dis 2020;93:284–6. https://doi.org/10.1016/j.ijid.2020.02.060
- Note de bas de page 21
-
Pankratz A. Forecasting with Dynamic Regression Models. New Jersey: John Wiley & Sons; 2012. ISBN: 1118150783, 9781118150788
- Note de bas de page 22
-
Hyndmann R, Athanasopoulos G, Bergmeir C, Caceres G, Chhay L, Kuroptev K, O'Hara-Wild M, Petropoulos F, Razbash S, Wang E, Yasmeen F, Reid D, Shaub D, Garza F, R Core Team, Ihaka R, Wang Xm Tang Y, Zhou Z. Forecasting functions for time series and linear models. R package version 8.15. 2021. http://sunsite.icm.edu.pl/packages/cran/web/packages/forecast/forecast.pdf
- Note de bas de page 23
-
Hyndman RJ, Khandakar Y. Automatic Time Series Forecasting: The forecast Package for R. J Stat Softw 2008;27(3):1–22. https://doi.org/10.18637/jss.v027.i03
- Note de bas de page 24
-
R Core Team. R: A language and environment for statistical computing. Vienna (Austria): R Foundation for Statistical Computing; 2020. https://www.r-project.org/
- Note de bas de page 25
-
Masselot P, Chebana F, Bélanger D, St-Hilaire A, Abdous B, Gosselin P, Ouarda TBMJ. Aggregating the response in time series regression models, applied to weather-related cardiovascular mortality. Sci Total Environ 2018;628–629:217–25. https://doi.org/10.1016/j.scitotenv.2018.02.014
- Note de bas de page 26
-
McLeod AI, Li WK. Diagnostic checking ARMA time series models using squared residual autocorrelations. J Time Ser Anal 1983;4(4):269–73. http://fisher.stats.uwo.ca/faculty/aim/vita/pdf/SquaredRACF.pdf
- Note de bas de page 27
-
Davies NG, Abbott S, Barnard RC, Jarvis CI, Kucharski AJ, Munday JD, Pearson CAB, Russell TW, Tully DC, Washburne AD, Wenseleers T, Gimma A, Waites W, Wong KLM, van Zandvoort K, Silverman JD; CMMID COVID-19 Working Group; COVID-19 Genomics UK (COG-UK) Consortium, Diaz-Ordaz K, Keogh R, Eggo RM, Funk S, Jit M, Atkins KE, Edmunds WJ. Estimated transmissibility and impact of SARS-CoV-2 lineage B.1.1.7 in England. Science 2021;372(6538):eabg3055. https://doi.org/10.1126/science.abg3055
- Note de bas de page 28
-
Burnham KP, Anderson DR. Model Selection and Multimodel Inference: A Practical Information-Theoretic Approach. 2nd ed. New York: Springer-Verlag; 2002. https://caestuaries.opennrm.org/assets/06942155460a79991fdf1b57f641b1b4/application/pdf/burnham_anderson2002.pdf
- Note de bas de page 29
-
Kass RE, Raftery AE. Bayes Factors. J Am Stat Assoc 1995;90(430):773–95. https://doi.org/10.2307/2291091
- Note de bas de page 30
-
Id FN, Id YY, Archer N. The effect of the Ontario stay-at-home order on Covid-19 third wave infections including vaccination considerations: An interrupted time series analysis. PLoS One 2022;17(4):e0265549. https://doi.org/10.1371/journal.pone.0265549
- Note de bas de page 31
-
Karaivanov A, Lu SE, Shigeoka H, Chen C, Pamplona S. Face masks, public policies and slowing the spread of COVID-19: Evidence from Canada. J Health Econ 2021;78:102475. https://doi.org/10.1016/j.jhealeco.2021.102475
- Note de bas de page 32
-
Dougherty BP, Smith BA, Carson CA, Ogden NH. Exploring the percentage of COVID-19 cases reported in the community in Canada and associated case fatality ratios. Infect Dis Model 2021;6:123–32. https://doi.org/10.1016/j.idm.2020.11.008
- Note de bas de page 33
-
Lawless JF, Yan P. On testing for infections during epidemics, with application to Covid-19 in Ontario, Canada. Infect Dis Model 2021;6:930–41. https://doi.org/10.1016/j.idm.2021.07.003
- Note de bas de page 34
-
Parker MRP, Li Y, Elliott LT, Ma J, Cowen LLE. Under-reporting of COVID-19 in the Northern Health Authority region of British Columbia. Can J Stat 2021;49(4):1018–38. https://doi.org/10.1002/cjs.11664
- Note de bas de page 35
-
He X, Lau EHY, Wu P, Deng X, Wang J, Hao X, Lau YC, Wong JY, Guan Y, Tan X, Mo X, Chen Y, Liao B, Chen W, Hu F, Zhang Q, Zhong M, Wu Y, Zhao L, Zhang F, Cowling BJ, Li F, Leung GM. Temporal dynamics in viral shedding and transmissibility of COVID-19. Nat Med 2020;26(5):672–5. https://doi.org/10.1038/s41591-020-0869-5
- Note de bas de page 36
-
Ng V, Fazil A, Waddell LA, Turgeon P, Otten A, Ogden NH. Modelling the impact of shutdowns on resurging SARS-CoV-2 transmission in Canada. R Soc Open Sci 2021;8(5):210233. https://doi.org/10.1098/rsos.210233
- Note de bas de page 37
-
Ng V, Fazil A, Waddell LA, Bancej C, Turgeon P, Otten A, Atchessi N, Ogden NH. Projected effects of nonpharmaceutical public health interventions to prevent resurgence of SARS-CoV-2 transmission in Canada. CMAJ 2020;192(37):E1053–64. https://doi.org/10.1503/cmaj.200990
- Note de bas de page 38
-
Ludwig A, Berthiaume P, Orpana H, Nadeau C, Diasparra M, Barnes J, Hennessy D, Otten A, Ogden N. Évaluation de l'impact de divers niveaux de détection des cas et de recherche des contacts sur la transmission de la COVID-19 au Canada pendant la levée des fermetures imposées à l'aide d'un modèle à compartiments dynamique. Relevé des maladies transmissibles au Canada 2020;46(11/12):461–74. https://doi.org/10.14745/ccdr.v46i1112a08f
- Note de bas de page 39
-
Wu J, Scarabel F, McCarthy Z, Xiao Y, Ogden NH. Possibilité d'intensification des efforts de dépistage et de recherche de contacts pour prévenir les nouvelles éclosions de COVID-19 attribuables à des variants plus transmissibles. Relevé des maladies transmissibles au Canada 2021;47(7/8):363–72. https://doi.org/10.14745/ccdr.v47i78a06f
- Note de bas de page 40
-
Barnes SJ. Stuck in the past or living in the present? Temporal focus and the spread of COVID-19. Soc Sci Med 2021;280:114057. https://doi.org/10.1016/j.socscimed.2021.114057
- Note de bas de page 41
-
Angus Reid Institute. COVID-19 Compliance: One-in-five Canadians making little to no effort to stop coronavirus spread. Vancouver, BC: ARI; 2020; (accédé 2022-01-27). https://angusreid.org/covid-compliance
- Note de bas de page 42
-
Lang R, Atabati O, Oxoby RJ, Mourali M, Shaffer B, Sheikh H, Fullerton MM, Tang T, Leigh JP, Manns BJ, Marshall DA, Ivers NM, Ratzan SC, Hu J, Benham JL. Characterization of non-adopters of COVID-19 non-pharmaceutical interventions through a national cross-sectional survey to assess attitudes and behaviours. Sci Rep 2021;11(1):21751. https://doi.org/10.1038/s41598-021-01279-2
- Note de bas de page 43
-
Doogan C, Buntine W, Linger H, Brunt S. Public perceptions and attitudes toward COVID-19 nonpharmaceutical interventions across six countries: A topic modeling analysis of Twitter data. J Med Internet Res 2020;22(9):e21419. https://doi.org/10.2196/21419
- Note de bas de page 44
-
Moran C, Campbell DJT, Campbell TS, Roach P, Bourassa L, Collins Z, Stasiewicz M, McLane P. Predictors of attitudes and adherence to COVID-19 public health guidelines in Western countries: a rapid review of the emerging literature. J Public Health (Oxf). 2021;43(4):739–753. https://doi.org/10.1093/pubmed/fdab070
- Note de bas de page 45
-
Al-Hasan A, Yim D, Khuntia J. Citizens' Adherence to COVID-19 mitigation recommendations by the government: A 3-country comparative evaluation using web-based cross-sectional survey data. J Med Internet Res 2020;22(8):e20634. https://doi.org/10.2196/20634
- Note de bas de page 46
-
Wang D, Marmo-Roman S, Krase K, Phanord L. Compliance with preventative measures during the COVID-19 pandemic in the USA and Canada: Results from an online survey. Soc Work Health Care 2021;60(3):240–55. https://doi.org/10.1080/00981389.2020.1871157
Appendice
Le présent document fournit les estimations complètes des paramètres du modèle pour les modèles les mieux classés, par province et par objectif, pour les modèles comportant un effet important de sidx (objectif 1) ou de H (objectif 2).
Province | Formulation de modèle | ARIMAX (p, d, q)Note de bas de page a |
Paramètre | Coefficient bêta | valeur p | |
---|---|---|---|---|---|---|
n | IC à 95 % | |||||
Colombie-Britannique | sidx ~ H_décalage14 | ARIMAX (2, 0, 0) | ar1 | 1,22 | 0,969 à 1,48 | 4,86e-21 |
ar2 | -0,352 | -0,647 à -0,057 | 1,93e-02 | |||
interception | 44,6 | 35,3 à 53,9 | 7,71e-21 | |||
H_décalage14 | 0,0644 | 0,0141 à 0,115 | 1,21e-02 | |||
Alberta | Rt ~ sidx_décalage14 | ARIMAX (2, 0, 0) | ar1 | 1,19 | 0,917 à 1,45 | 5,06e-18 |
ar2 | -0,567 | -0,841 à -0,294 | 4,79e-05 | |||
interception | 1,38 | 1,15 à 1,61 | 6,19e-31 | |||
sidx_décalage14 | -0,0073 | -0,0119 à -0,00266 | 2,04e-03 | |||
sidx ~ H_décalage7 + C | ARIMAX (0, 1, 0) | H_décalage7 | 0,027 | 0,015 à 0,039 | 1,02e-05 | |
C | -4,48 | -8,97 à 0,0117 | 5,06e-02 | |||
Saskatchewan | Rt ~ sidx_décalage7 | ARIMAX (0, 0, 1) | mm1 | 0,76 | 0,55 à 0,97 | 1,32e-12 |
interception | 1,46 | 1,04 à 1,88 | 1,00e-11 | |||
sidx_décalage7 | -0,00783 | -0,0155 à -0,00018 | 4,48e-02 | |||
Manitoba | Rt ~ sidx_décalage7 | ARIMAX (0, 0, 1) | mm1 | 0,584 | 0,361 à 0,806 | 2,65e-07 |
interception | 1,61 | 1,14 à 2,08 | 2,71e-11 | |||
sidx_décalage7 | -0,00814 | -0,0149 à -0,0014 | 1,80e-02 | |||
sidx ~ H_décalage7 | ARIMAX (0, 1, 1) | mm1 | 0,456 | 0,181 à 0,731 | 0,00115 | |
H_décalage7 | 0,0288 | 0,00027 à 0,0573 | 0,04790 | |||
Ontario | Rt ~ sidx + C | ARIMAX (0, 1, 0) | sidx | -0,0043 | -0,00851 à -8,79e-05 | 0,0454 |
C | -0,0967 | -0,192 à -0,00118 | 0,0472 | |||
sidx ~ H_décalage14 | ARIMAX (1, 0, 1) | ar1 | 0,698 | 0,413 à 0,982 | 1,59e-06 | |
mm1 | 0,487 | 0,156 à 0,818 | 3,96e-03 | |||
interception | 51,4 | 45,7 à 57,1 | 1,05e-70 | |||
H_décalage14 | 0,0155 | 0,00774 à 0,0232 | 8,77e-05 | |||
Québec | Rt ~ sidx_décalage14 | ARIMAX (1, 0, 1) | ar1 | 0,744 | 0,527 à 0,962 | 2,02e-11 |
mm1 | 0,775 | 0,566 à 0,984 | 3,88e-13 | |||
interception | 1,48 | 1,14 à 1,83 | 2,11e-17 | |||
sidx_décalage14 | -0,00766 | -0,013 à -0,00229 | 5,20e-03 | |||
sidx ~ H + C | ARIMAX (1, 0, 1) | ar1 | 0,899 | 0,778 à 1,02 | 6,17e-48 | |
mm1 | 0,75 | 0,48 à 1,02 | 5,15e-08 | |||
interception | 56,6 | 46,4 à 66,8 | 1,52e-27 | |||
H | 0,00836 | 0,00129 à 0,0154 | 2,05e-02 | |||
C | -2,48 | -5,29 à 0,336 | 8,44e-02 | |||
|

Cette œuvre est mise à disposition selon les termes de la Licence Creative Commons Attribution 4.0 International