Évaluation préalable groupe des peroxydes organiques
Titre officiel : Évaluation préalable groupe des peroxydes organiques
Numéros de registre du chemical abstracts service
80-15-9, 80-43-3
Environnement et Changement climatique Canada
Santé Canada
Juin 2019
No de cat. En14-378/2019F-PDF
ISBN 978-0-660-30907-1
Résumé
En vertu de l’article 74 de la Loi canadienne sur la protection de l’environnement (1999) (LCPE), la ministre de l’Environnement et du Changement climatique et la ministre de la Santé ont procédé à l’évaluation préalable de deux des six substances appelées collectivement « Groupe des peroxydes organiques » dans le Plan de gestion des substances chimiques. Ces deux substances ont été désignées comme devant être évaluées en priorité, car elles satisfont aux critères de catégorisation du paragraphe 73(1) de la LCPE. Par la suite, d’autres approches ont permis d’établir que les quatre autres substances étaient peu préoccupantes. Les décisions concernant ces substances figurent dans un rapport distinct.Note de bas de page 1 C’est la raison pour laquelle la présente évaluation préalable ne porte que sur deux des substances énumérées, qui seront appelées ci‑après groupe des peroxydes organiques. Dans le tableau suivant, on trouvera leur numéro de registre du Chemical Abstract Service (NR CASNote de bas de page 2 ), leur nom sur la Liste intérieure des substances (LIS) et leur nom commun.
| NR CAS | Nom sur la LIS | Nom commun |
|---|---|---|
| 80-15-9 | Hydroperoxyde de α,α-diméthylbenzyle | Hydroperoxyde de cumène (HPC) |
| 80-43-3 | Peroxyde de bis(α,α-diméthylbenzyle) | peroxyde de di(2-phénylpropane-2‑yle) (DCUP) |
L’hydroperoxyde de cumène (HPC) et le peroxyde de di(2-phénylpropane-2 yle) (DCUP), ci‑après appelés HPC et DCUP, ne sont pas naturellement présents dans l’environnement. Selon les renseignements divulgués dans le cadre d’une collecte de données menée en vertu de l’article 71 de la LCPE, le HPC ou le DCUP n’ont pas été fabriqués au Canada en 2011. Au cours de la même année, 10 319 kg de CHP et entre 100 000 et 1 000 000 kg de DCUP ont été importés au Canada. Autant le CHP que le DCUP sont utilisés comme agents dans des procédés industriels et, à la fin du traitement, devraient être présents en quantités négligeables dans les produits finis. En réponse à un avis publié en vertu de l’article 71 de la LCPE, on a déclaré l’utilisation de HPC dans des produits commerciaux comme des adhésifs et des scellants, des matériaux de construction ainsi que des peintures et des revêtements. En réponse à un avis publié en vertu de l’article 71 de la LCPE, on a déclaré l’utilisation de DCUP dans des produits commerciaux comme des matériaux de construction et des matières plastiques et de caoutchouc, ainsi que dans des produits utilisés dans le domaine de l’automobile, des aéronefs et du transport.
Les risques pour l’environnement associés au CHP et au DCUP ont été caractérisés à l’aide de la classification du risque écologique (CRE) des substances organiques, une méthode fondée sur le risque qui tient compte de plusieurs paramètres évaluant à la fois le danger et l’exposition dans le but de catégoriser le risque en fonction d’une pondération des éléments de preuve. Les profils de danger sont principalement basés sur des paramètres comme le mode d’action toxique, la réactivité chimique, les seuils de toxicité internes dérivés du réseau trophique, la biodisponibilité et l’activité biologique et chimique. Les paramètres pris en compte pour produire les profils d’exposition sont le taux d’émission potentiel, la persistance globale et le potentiel de transport sur de grandes distances. À l’aide d’une matrice des risques, on attribue un niveau de préoccupation, soit faible, soit modéré soit élevé aux substances suivant leur profil de danger et d’exposition. La CRE a permis d’établir qu’il était improbable que le CHP et le DCUP aient des effets nocifs sur l’environnement.
Compte tenu de tous les éléments de preuve contenus dans l’évaluation préalable, le CHP et le DCUP présentent un faible risque d’effets nocifs pour l’environnement. Il est conclu que ces deux substances ne satisfont pas aux critères énoncés aux alinéas 64a) ou b) de la LCPE, car ils ne pénètrent pas dans l’environnement en une quantité ou concentration ou dans des conditions de nature à avoir, immédiatement ou à long terme, un effet nocif sur l’environnement ou sur la diversité biologique, ou à mettre en danger l’environnement essentiel pour la vie.
L’HPC a été examiné à l’échelle internationale : dans le groupe des hydroperoxydes par l’Organisation de coopération et de développement économiques (OCDE, 2008) et en tant que peroxydes organiques par le ministère de la Santé australien en 2016. Il a été établi que le groupe des hydroperoxydes présente une toxicité générale par voie orale et cutanée ainsi que par inhalation.
L’exposition de la population générale du Canada au CHP par les milieux naturels et les aliments devrait être négligeable. Toutefois, elle peut être exposée par l’utilisation d’adhésifs vendus aux consommateurs. La marge entre l’exposition estimée au CHP par voie cutanée et l’exposition estimée par inhalation ainsi que la dose sans effet nocif sur la santé tirée d’études en laboratoire est considérée comme étant adéquate pour tenir compte des incertitudes dans les bases de données sur les effets sur la santé et l’exposition.
Le DCUP entraîne des effets nocifs sur l’appareil reproducteur, mais on ne s’attend pas à une exposition de la population générale du Canada à cette substance par les milieux naturels, les aliments et les produits. Ainsi, le risque pour la santé humaine est jugé faible.
À la lumière des renseignements contenus dans la présente évaluation préalable, il est conclu que le CHP et le DCUP ne satisfont pas aux critères énoncés à la l’alinéa 64c) de la LCPE, car ils ne pénètrent pas dans l’environnement en une quantité ou concentration ou dans des conditions de nature à constituer un danger au Canada pour la vie ou la santé humaines.
Il est donc conclu que le CHP et le DCUP ne satisfont à aucun des critères énoncés à l’article 64 de la LCPE.
1. Introduction
En vertu de l’article 74 de la Loi canadienne sur la protection de l’environnement (1999) (LCPE) (Canada, 1999), la ministre de l’Environnement et du Changement climatique et la ministre de la Santé ont procédé à l’évaluation préalable de deux des six substances appelées collectivement « Groupe des peroxydes organiques » dans le Plan de gestion des substances chimiques, pour déterminer si ces deux substances présentent ou pourraient présenter un risque pour l’environnement ou la santé humaine. Les deux substances ont été désignées comme devant être évaluées en priorité, car elles satisfont aux critères de catégorisation énoncés au paragraphe 73(1) de la LCPE (ECCC et SC [modifié en 2017]).
Les quatre autres substances (énumérées au tableau 1‑1) ont été évaluées à l’aide du document sur l’approche scientifique intitulé Classification du risque écologique (CRE) des substances organiques (ECCC, 2016a) et du document d’évaluation scientifique intitulé Approche fondée sur le seuil de préoccupation toxicologique (ST) pour certaines substances (Santé Canada, 2016), et il a été établi qu’elles étaient faiblement préoccupantes pour la santé humaine et pour l’environnement. C’est la raison pour laquelle elles ne font pas l’objet du présent rapport. Les conclusions tirées pour ces quatre substances sont données dans l’évaluation préalable Substances jugées comme étant peu préoccupantes en utilisant l’approche de la Classification du risque écologique des substances organiques et l’approche fondée sur le seuil de préoccupation toxicologique (SPT) pour certaines substances (ECCC et SC, 2018).
| NR CASa | Nom sur la Liste intérieure des substances (LIS) | Approche utilisée pour évaluer la substance | Références |
|---|---|---|---|
| 133-14-2 | Peroxyde de bis(2,4-dichlorobenzoyle) | CRE/SPT | ECCC et SC 2018 |
| 614-45-9 | Perbenzoate de tert-butyle | CRE/SPT | ECCC et SC 2018 |
| 3006-86-8 | Peroxyde de cyclohexylidènebis(tert-butyle) | CRE/SPT | ECCC et SC 2018 |
| 3851-87-4 | Peroxyde de bis(3,5,5-triméthylhexanoyle) | CRE/SPT | ECCC et SC 2018 |
a Le numéro de registre du Chemical Abstracts Service (NR CAS) est la propriété de l’American Chemical Society. Toute utilisation ou redistribution, sauf si elle sert à répondre à des besoins législatifs ou si elle est nécessaire aux rapports destinés au gouvernement fédéral lorsque des renseignements ou des rapports sont exigés par la loi ou une politique administrative, est interdite sans l’autorisation écrite préalable de l’American Chemical Society.
Les deux substances directement visées par la présente évaluation préalable sont désignées ci‑après comme le groupe des peroxydes organiques.
Les deux substances en cours d’évaluation ont été précédemment examinées à l’échelle internationale. L’hydroperoxyde de cumène, ci‑après appelé HPC, a été l’objet d’un examen réalisé par l’Organisation de coopération et de développement économiques (OCDE) en 2008 en tant que membre des hydroperoxydes et a été étudié par le ministère de la Santé du gouvernement australien en 2016 en tant que membre des peroxydes organiques. Le peroxyde de di(2-phénylpropane-2 yle), ci‑après désigné DCUP, a fait l’objet d’une évaluation à l’échelle internationale par l’OCDE en 2012 en tant que membre des peroxydes de dialkyle ayant un substituant aryle. Les évaluations de l’OCDE sont soumises à un examen rigoureux (notamment par des pairs) et à une approbation par les autorités gouvernementales de plusieurs pays. Santé Canada et Environnement et Changement climatique Canada prennent une part active à ce processus et considèrent que ces évaluations sont fiables. Les profils de l’évaluation initiale (SIAP) des ensembles de données d’évaluation (SIDS) de l’OCDE et le volet II de l’évaluation des effets sur la santé humaine du ministère de la Santé australien ont servi à éclairer la caractérisation des effets sur la santé de la présente évaluation préalable.
Les risques pour l’environnement associés au CHP et au DCUP ont été caractérisés à l’aide de la CRE (ECCC, 2016a). La CRE permet de décrire le danger associé à une substance à l’aide de paramètres clés comme le mode d’action toxique, la réactivité chimique, les seuils de toxicité interne dérivés du réseau trophique, la biodisponibilité et l’activité biologique et chimique et permet d’examiner l’exposition éventuelle d’organismes des milieux aquatique et terrestre en fonction de facteurs comme le taux d’émission potentiel, la persistance globale et le potentiel de transport à grande distance. Les divers éléments de preuve sont rassemblés pour rechercher les substances qui nécessitent une évaluation plus poussée du risque d’effets nocifs sur l’environnement ou qui présentent une faible probabilité d’effets nocifs sur l’environnement.
La présente évaluation préalable tient compte des données sur les propriétés chimiques, le devenir dans l’environnement, les dangers, les utilisations et les expositions, notamment les données supplémentaires fournies par les intervenants. Les données pertinentes ont été relevées jusqu’en août 2017. Des données empiriques d’études clés ainsi que certains résultats obtenus par modélisation ont servi à formuler les conclusions. Lorsqu’ils étaient disponibles et pertinents, les renseignements contenus dans les évaluations d’autres administrations ont été utilisés.
La présente évaluation préalable a été préparée par le personnel des programmes d’évaluation des risques de la LCPE travaillant à Santé Canada et à Environnement et Changement climatique Canada. Elle inclut des intrants d’autres programmes de ces ministères. La portion écologique de la présente évaluation repose sur document sur la CRE (publié le 30 juillet 2016) qui a fait l’objet d’un examen externe par des pairs et d’une période de consultation publique de 60 jours. En outre, l’ébauche de cette évaluation préalable (publiée en 28 avril 2018) a été soumise à une période de consultation du public de 60 jours. Bien que les commentaires de l’extérieur aient été pris en compte, le contenu définitif des résultats de la présente évaluation préalable demeure la responsabilité d’Environnement et Changement climatique Canada et de Santé Canada.
Le présent document repose sur des renseignements critiques permettant de déterminer si les substances satisfont aux critères énoncés à l’article 64 de la LCPE. Pour ce faire, nous avons examiné les renseignements scientifiques à la lumière d’une approche basée sur le poids de la preuve et le principe de précautionNote de bas de page 3 . Cette évaluation préalable présente les données critiques et les considérations sur lesquelles sont fondées les conclusions proposées.
2. Identité des substances
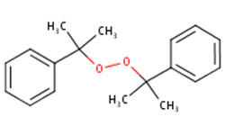
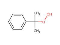
L’Hydroperoxyde de α,α-diméthylbenzyle, ci‑après désigné HPC, et le peroxyde de bis(α,α-diméthylbenzyle), ci‑après désigné DCUP, sont des substances chimiques organiques appartenant au groupe des « peroxydes organiques ». Le tableau 2‑1 présente le NR CAS et le nom sur la LIS de ces substances, ainsi que d’autres renseignements sur leur identité.
| NR CAS (abréviation) | Nom sur la LIS (nom commun) | Structure chimique et formule moléculaire | Poids moléculaire (g/mol) |
|---|---|---|---|
| 80-15-9 (HPC) | L’Hydroperoxyde de α,α-diméthylbenzyle (hydroperoxyde de cumène) |
C9H12O2 |
152,192 |
| 80-43-3 (DCUP) | Peroxyde de bis(α,α‑diméthylbenzyle) (peroxyde de di(2-phénylpropane-2 yle)) | C18H22O2 |
270,37 |
Les peroxydes organiques sont des substances organiques liquides ou solides qui contiennent une structure bivalente ‑O‑O et peuvent être considérés comme des dérivés du peroxyde d’hydrogène, dans lesquels l’un ou les deux atomes d’hydrogène ont été remplacés par des radicaux. Les peroxydes organiques sont des substances ou des mélanges instables à la chaleur qui peuvent subir une décomposition exothermique auto-accélérée. Par ailleurs, ils peuvent se décomposer de façon explosive, entrer rapidement en combustion, être sensibles à une collision ou à la friction et réagir dangereusement avec d’autres substances. Les peroxydes organiques sont généralement peu oxydants, voire non oxydants (ECHA 2017).
3. Caractérisation des risques pour l’environnement
Les risques pour l’environnement associés au CHP et au DCUP ont été caractérisés au moyen de CRE (ECCC, 2016a). La CRE est une approche fondée sur le risque qui tient compte de plusieurs paramètres liés au danger et à l’exposition et d’une pondération des différents éléments probants dans le but de classer le risque. Les divers éléments de preuve sont rassemblés pour que l’on puisse distinguer les substances présentant une toxicité faible ou élevée, et un risque d’exposition faible ou élevé dans divers milieux. Cette façon de faire permet de réduire l’incertitude globale liée à la caractérisation des risques, contrairement à une approche reposant sur un seul paramètre mesuré dans un seul milieu (p. ex., la dose létale médiane, CL50). La partie qui suit résume cette approche, qui est décrite en détail dans ECCC (2016a).
Les données sur les propriétés physico-chimiques (demi-vie de la substance chimique dans divers milieux et biotes, coefficients de partage et bioconcentration dans les poissons), l’écotoxicité aiguë chez les poissons et les quantités de substances chimiques importées ou fabriquées au Canada ont été colligées à partir de publications scientifiques, de bases de données empiriques (p. ex. boîte à outils de la RQSA de l’OCDE 2016) et des résultats des enquêtes menées en vertu de l’article 71 de la LCPE ou elles ont été produites à partir de certains résultats obtenus par modélisation de la relation quantitative structure activité (RQSA), ou de modèles du devenir du bilan massique et de la bioaccumulation. Ces données ont été utilisées comme intrants dans d’autres modèles de bilan massique ou pour compléter les profils de danger des substances et d’exposition à ces dernières.
Les profils de danger reposent principalement sur les paramètres que sont le mode d’action toxique, la réactivité chimique, les seuils de toxicité interne dans le réseau trophique, la biodisponibilité et l’activité chimique et biologique. Les profils d’exposition sont fondés sur plusieurs paramètres, soit le taux d’émission potentiel, la persistance globale et le potentiel de transport à grande distance. Les profils de danger et d’exposition ont été comparés aux critères de décision afin de classer le danger et le risque d’exposition de chaque substance comme étant faible, moyen ou élevé. D’autres règles ont été appliquées (p. ex. cohérence de la classification, marge d’exposition) pour améliorer les classifications préliminaires de danger ou d’exposition.
Une matrice des risques a été utilisée pour classer le risque associé à chaque substance comme étant faible, modéré ou élevé, suivant la classification du danger et de l’exposition. Les classifications du risque obtenues à l’aide de la CRE ont subi une vérification en deux étapes. La première étape consistait à modifier à la baisse la classification du risque (qui passe de modéré ou élevé à faible) des substances présentant une estimation faible du taux d’émission dans l’eau après le traitement des eaux usées, ce qui représente un faible risque d’exposition. La deuxième étape consistait à revoir les résultats de classification faible à la lumière de scénarios de risque relativement prudents à l’échelle locale (c.‑à‑d. dans la zone à proximité du point de rejet) conçus pour protéger l’environnement, afin de déterminer si la classification du risque devrait être reclassée à un niveau supérieur.
La CRE est une approche pondérée qui vise à réduire au minimum le risque d’une sur‑évaluation ou d’une sous-évaluation de la classe de danger, de l’exposition et du risque subséquent. Les approches équilibrées utilisées pour réduire les incertitudes sont décrites en détail dans ECCC, 2016a. Dans ce qui suit, nous décrivons deux phénomènes d’incertitude les plus importants. Les valeurs de toxicité aiguës empiriques ou modélisées erronées peuvent entraîner un changement de la classification du danger, en particulier dans le cas des paramètres reposant sur des valeurs de résidus dans les tissus (p. ex. mode d’action toxique), dont un grand nombre sont prédites à partir d’une modélisation de la RQSA. L’incidence de ce type d’erreur est toutefois atténuée par le fait qu’une surestimation de la CL50 donnera une valeur prudente (protectrice) de résidus dans les tissus utilisée dans l’analyse critiques des résidus corporels. L’erreur due à une sous-estimation de la toxicité aiguë sera atténuée par le recours à d’autres paramètres du danger tels que la structure associée au mode d’action, la réactivité ou l’affinité de liaison aux œstrogènes. Les changements ou les erreurs touchant les quantités de substances chimiques peuvent conduire à des classifications différentes de l’exposition, la classification de l’exposition et du risque étant très sensible au taux d’émission et aux quantités utilisées. Les classifications obtenues au moyen de la CRE reflètent donc l’exposition et le risque au Canada, compte tenu des quantités vraisemblablement utilisées actuellement, mais pourraient ne pas rendre compte des tendances futures.
4. Hydroperoxyde de cumène (HPC)
4.1 Propriétés physico-chimiques
Un résumé des propriétés physico-chimiques du CHP est présenté au tableau 4‑1. D’autres propriétés physico-chimiques figurent dans ECCC, 2016b.
| Propriété | Valeur | Type de données | Référence |
|---|---|---|---|
| État physique | Liquide à 25 °C | - | OCDE, 2008 |
| Point de fusion (°C) | -9 | expérimentales | ChemIDplus, 1993- |
| Pression de vapeur (Pa) | 2 à 25 °C | modélisées | OCDE, 2008 |
| Constante de la Loi de Henry (Pa m3/mol) | 4,77 × 10-3 | modélisées | ChemIDplus, 1993- |
| Solubilité dans l’eau (mg/L) | 13 900 à 25 °C | expérimentales | ChemIDplus, 1993- |
| log Koe (sans dimension) | 1,6 | expérimentales | OCDE, 2008 |
Abréviations : Koe = coefficient de partage octanol-eau
4.2 Sources et utilisations
L’HPC n’est pas présent naturellement dans l’environnement.
Cette substance a été l’objet d’une enquête menée en vertu de l’article 71 de la LCPE (Canada, 2012). Le tableau 4‑2 présente un résumé des quantités déclarées pour la fabrication et l’importation de CHP.
| Nom commun | Quantité totale fabriquéea (kg) | Quantité totale importéea (kg) | Année de déclaration |
|---|---|---|---|
| Hydroperoxyde de cumène (HPC) | Aucuneb | 10 319 | 2011 |
a Les valeurs reflètent les quantités déclarées dans le cadre d’une collecte de données menée en vertu de l’article 71 de la LCPE (Environnement Canada, 2013). Consulter la collecte de données pour connaître les inclusions et les exclusions particulières (annexes 2 et 3) (Canada, 2012).
b Aucune quantité supérieure au seuil de déclaration de 100 kg n’a été déclarée.
L’HPC est utilisé comme agent dans des procédés industriels, à savoir de matière brute dans la synthèse d’autres résines et peroxydes organiques, d’amorceur de la polymérisation et de modificateur pour certaines résines. On s’attend à des quantités négligeables de CHP dans les produits finaux, car les matières du procédé sont maintenues à une température de décomposition thermique pendant une longue durée (OCDE 2008). L’HPC joue aussi le rôle d’adjuvant de polymérisation dans des adhésifs anaérobiques et des polymères époxydes à deux composantes (OCDE 2008, Raftery et al. 1997). L’HPC pourrait entrer dans la composition de lubrifiants et de produits d’étanchéité pour raccords filetés qui n’entrent pas directement en contact avec les aliments, ainsi que de plastifiants utilisés dans les pellicules plastiques et les articles en PVC dans les matériaux d’emballage alimentaire à usage répété en contact direct avec divers aliments (communication personnelle, courriel de la Direction des aliments de Santé Canada au Bureau d’évaluation du risque des substances existantes de Santé Canada, juin 2015; sans référence).
Le tableau 4‑3 présente un résumé des principales utilisations du CHP selon les renseignements obtenus à la suite d’une collecte de données menée en vertu de l’article 71 de la LCPE (Canada, 2012). Parmi d’autres utilisations du CHP, on peut compter les matériaux d’emballage alimentaire (communication personnelle, courriel de la Direction des aliments de Santé Canada au Bureau d’évaluation du risque des substances existantes de Santé Canada, juin 2015; sans référence).
| Principales utilisationsa | HPC |
|---|---|
| Adhésifs et scellants | O |
| Matériaux de construction qui autrement ne figurent pas dans le présent tableau | O |
| Peintures et revêtements | O |
| Autre – amorceur de polymérisation | O |
Abréviations : O = utilisation signalée de cette substance, N = aucune utilisation de cette substance déclarée.
a Utilisations non confidentielles déclarées dans le cadre de collectes de données menées en vertu de l’article 71 de la LCPE (Environnement Canada, 2013). Consulter les collectes de données pour obtenir les inclusions et les exclusions particulières (annexes 2 et 3) (Canada, 2012).
Selon l’OCDE (2008), la production mondiale de CHP pur en 2006 était de l’ordre de 1 000 000 à 10 000 000 kg (déclaré comme étant entre 1 000 et 10 000 tonnes). Les quantités totales produites (quantités fabriquées et importées) aux États‑Unis se situaient entre 450 000 et 4 500 000 kg (déclarées comme étant 1 000 000 à 10 000 000 lb) par année, de 2012 à 2015 (USEPA, 2017a). Les quantités de CHP fabriqué ou importé dans l’espace économique européen étaient de 1 000 000 à 10 000 000 kg (déclarées comme étant 1 000 à 10 000 tonnes) par année (ECHA, c2007‑2017a).
L’HPC est inscrit sur la liste des additifs indirects utilisés dans les substances en contact avec les aliments de la FDA des États‑Unis, et est utilisé comme constituants d’adhésifs et de revêtements (21CFR175), de papier et de carton (21CFR176) et de polymères (21CFR177) (US eCFR, 2017). En Europe, on a déclaré les utilisations du HPC dans les produits suivants : adhésifs et scellants, produits d’assainissement de l’air, produits biocides (p. ex. désinfectants, produits antiparasitaires), revêtements, peintures, diluants et décapants, mastics, plâtres, argiles à modeler, peintures au doigt, encres et toners, polis et mélanges de cire, produits de lavage et de nettoyage, et cosmétiques et produits d’hygiène personnelle (ECHA, c2007‑2017a).
4.3 Risque de causer des effets nocifs sur l’environnement
Les données critiques et les considérations sur lesquelles nous avons élaboré les profils du CHP ainsi que les résultats de la classification du danger, de l’exposition et du risque sont présentés dans ECCC, 2016 b.
Considérant la catégorisation de faible danger et de faible exposition selon les renseignements considérés par la CRE, le CHP est catégorisé comme ayant un faible potentiel d’être un risque pour l’environnement. Il est peu probable que cette substance soit préoccupante pour l’environnement au Canada.
4.4 Risque de causer des effets nocifs sur la santé humaine
4.4.1 Évaluation de l’exposition
4.4.1.1 Milieux naturels et aliments
Il n’existe aucune donnée de surveillance environnementale sur le CHP, que ce soit dans l’air, l’eau ou le sol, au Canada. Compte tenu des usages, on ne s’attend pas à trouver des quantités importantes dans ces milieux. Les concentrations de CHP ont été prédites à partir d’estimations obtenues par modélisation dans ChemCAN (2003) et d’un scénario fondé sur une quantité importée au Canada, soit 10 319 kg (Environnement Canada, 2013). Les concentrations prédites de CHP dans l’air, l’eau et le sol étaient négligeables. L’HPC n’est pas fabriqué au Canada, mais il figure dans l’Inventaire national des rejets de polluants, avec un rejet total sur les lieux de 5 kg (déclaré comme étant 0,005 tonne) en 2014 et en 2015, après que les rejets ont été de zéro tonne de 2011 à 2013.
L’HPC est utilisé comme un constituant de lubrifiants et de produits d’étanchéité pour raccords filetés qui n’entrent pas en contact direct avec les aliments, et de plastifiants dans les pellicules plastifiées et les articles en PVC et pour les matériaux d’emballage alimentaire à usage répété entrant en contact direct avec divers aliments. L’estimation de l’exposition par voie alimentaire de la population générale découlant de ces usages du CHP est négligeable (communication personnelle, courriel de la Direction des aliments de Santé Canada au Bureau d’évaluation des risques des substances existantes de Santé Canada, juin 2015; sans référence).
L’exposition de la population générale du Canada au CHP présent dans les milieux naturels et les aliments devrait être négligeable.
4.4.1.2 Produits de consommation
L’HPC est utilisé dans des adhésifs comme amorceur de polymérisation, car une principale voie de décomposition produit des radicaux libres (Raftery et al. 1997; OCDE 2008). Les produits de consommation comprennent les polymères époxydes à deux composantes (fiche signalétique, 2014) et les produits d’étanchéité pour raccords filetés (fiche signalétique, 2015). Les deux types d’adhésifs durcissent rapidement et sont par la suite capables de résister à des pressions élevées.
Les produits d’étanchéité pour raccords filetés contenant du CHP sont des adhésifs anaérobiques vendus aux consommateurs pour rendre étanches les raccords filetés des conduites en métal et des tuyaux à filetage conique (p. ex. utilisations dans le domaine automobile et en plomberie) (FT, 2008). L’HPC est généralement présent dans les produits d’étanchéité pour raccords filetés à une concentration variant entre 1 % et 5 % p/p (fiche signalétique, 2015). La décomposition du CHP par oxydoréduction en présence d’ions métalliques, et par conséquent l’amorce de la polymérisation, nécessite des conditions anaérobies. La polymérisation débute donc lorsque les raccords sont vissés (Raftery, 1997). Ces adhésifs sont généralement complètement durcis après 24 heures à température ambiante (FT, 2008).
Les polymères époxydes à deux composantes contenant du CHP sont vendus aux consommateurs pour être utilisées dans des matériaux liants rigides, notamment des plastiques, des composites et du bois (FT, 2002). L’HPC entre dans la composition des adhésifs à une concentration variant entre 1 % et 10 % p/p (fiche signalétique, 2014), et est mélangé avec un activateur pendant 1 à 3 minutes (étape du mélange et de la charge) pour amorcer la polymérisation. Le polymère époxyde est alors appliqué sur les surfaces à accoler ensemble, et le temps de manipulation est généralement d’environ 5 à 6 minutes. À la température ambiante, le durcissement complet du polymère époxyde requiert environ 4 heures (FT, 2002).
Le tableau 4‑5 résume le scénario sentinelle utilisé pour l’exposition au CHP découlant de l’utilisation de colle époxyde à deux composantes. La fiche d’information de la colle à deux composantes (RIVM, 2007) dans ConsExpo Web (2017) a servi à estimer l’exposition au CHP par voie cutanée et par inhalation (les paramètres utilisés sont résumés à l’annexe A). L’absorption cutanée de CHP a été estimée, et cette valeur a permis de calculer l’exposition par événement externe à l’aide du modèle ConsExpo (voir l’annexe B pour plus de détails).
| Concentration de CHP dans le produit (% p/p) | Inhalation – concentration moyenne par événementb (mg/m3) | Exposition généralec (mg/kg p.c.) |
|---|---|---|
| 0,5 à 5 (dans 1 composante sur 2) | 5,20 × 10-2 à 2,86 ×10-1 | 9,27 × 10-3 |
a En fonction de l’utilisation par des adultes de 20 ans et plus, ayant un poids corporel de 70,9 kg (Santé Canada, 1998).
b L’HPC devrait être facilement absorbé après une exposition par inhalation (AGDH, 2016). Par conséquent, dans l’estimation de l’exposition par inhalation, on présume une absorption de 100 %.
c L’estimation de l’exposition par voie cutanée a été corrigée à l’aide des valeurs calculées d’absorption par voie cutanée, comme il est présenté en détail à l’annexe B.
4.4.2 Évaluation des effets sur la santé
L’OCDE a procédé à l’évaluation à l’échelle internationale du CHP en tant que membre du groupe des hydroperoxydes, et le ministère de la Santé australien l’a étudié en tant que membre du groupe des peroxydes organiques. L’OCDE a publié en 2008 un profil de l’évaluation initiale des ensembles de données d’évaluation. Il a été déterminé que les propriétés des deux classes de substances chimiques impliquaient un danger pour la santé humaine. Par conséquent, nous avons utilisé le profil d’évaluation initiale de l’OCDE (2008) et le volet II de l’évaluation des effets sur la santé humaine du ministère de la Santé australien (2016) pour éclairer l’évaluation des effets nocifs du CHP. Nous avons recensé les publications datant de l’année précédant l’évaluation de l’OCDE jusqu’en juillet 2017. Les nouvelles études d’importance sur le CHP menées après les examens susmentionnés ont aussi été prises en compte dans l’évaluation.
La réactivité de l’entité hydroperoxyde du CHP devrait contribuer davantage à sa toxicité que le groupe fonctionnel aryle. LOCDE (2008) estime que l’entité hydroperoxyde serait la principale cause des effets biologiques observés du CHP. La principale voie métabolique empruntée par les hydroperoxydes organiques est la réduction biélectronique induite par des glutathion peroxydases pour donner l’alcool correspondant (AGDH, 2016). L’alcool de cumyle est donc le métabolite du CHP qui est attendu (OCDE, 2008).
4.4.2.1 Génotoxicité et cancérogénécité
L’OCDE considère le CHP (2008) comme potentiellement génotoxique in vitro. Dans une étude in vivo, des injections répétées de CHP par voie intrapéritonéale ont entraîné une augmentation importante des lésions à l’ADN dans les tissus des testicules de souris mâles à la dose de 23 mg/kg p.c./jour et aux doses supérieures (OCDE, 2008). Toutefois, dans une récente étude menée par voie cutanée, le CHP n’a pas augmenté le nombre de micronoyaux dans les érythrocytes périphériques de souris ou de rats, après l’application de CHP sur la peau de leur dos à une dose pouvant aller jusqu’à 100 mg/kg p.c./jour pendant 14 jours ou jusqu’à la dose de 12 mg/kg p.c./jour durant 90 jours (Rider et al. 2016).
Il existe peu d’études menées à long terme sur le CHP administré par voie cutanée, mais l’OCDE (2008) ne juge pas que ces études (de cancérogénicité) soient fiables. Le profil prédit par la RQSA versé dans la base de données danoise de RQSA (2015) indique une prédiction positive chez les souris femelles dans les essais RCA sur le cancer de la FDA réalisés à l’aide du modèle CASE Ultra. Cependant, dans le même rapport, les prédictions de cancers obtenus avec d’autres modèles ont surtout donné des résultats négatifs, non concluants ou positifs, non pertinents au domaine d’étude.
4.4.2.2 Toxicité pour la reproduction et le développement
Aucune donnée sur les effets toxiques du CHP sur le développement ou la reproduction n’existait au moment de l’examen effectué par l’OCDE (2008) ou le ministère de la Santé australien (2016). Deux études non publiées sur la toxicité pour le développement ont été présentées à l’ECHA (c2007‑2017 b) à la suite des évaluations susmentionnées. Une étude préliminaire d’établissement de la dose ayant des effets sur le développement a été menée en 2015. Dans cette étude, des rats femelles Wistar gravides ont reçu du CHP par gavage à la dose de 0, 15, 30, 60 ou 120 mg/kg p.c./jour du 6e au 19e jour de la gestation. On a signalé des effets toxiques chez la mère (mortalité, signes cliniques, diminution du poids corporel et de la consommation d’aliments) et une toxicité chez l’embryon (fréquence accrue de la perte d’embryon en début de gestation) dans le groupe ayant reçu la dose la plus élevée. Le demandeur avait déterminé une dose minimale avec effet nocif observé (DMENO) de 120 mg/kg p.c./jour et une dose sans effet nocif observé (DSENO) de 60 mg/kg p.c./jour, fondées sur des effets chez la mère et sur le développement. Cela dit, les effets sur le développement n’ont été observés qu’en présence d’une toxicité chez la mère. Une étude de suivi sur le développement a été menée de 2015 à 2016. Dans cette étude, la même espèce de rates gravides a reçu du CHP à une dose de 0, 5, 13,3 ou 33,3 mg/mL par gavage (équivalente à 0, 15, 40 et 100 mg/kg p.c./jour) du 6e au 19e jour de la gestation. On n’a relevé aucun effet sur la reproduction ou le développement et aucun effet général chez la mère. À la nécropsie, l’examen des mères a révélé des effets locaux clairement liés au traitement, comme un épaississement multifocal ou diffus de la muqueuse de la partie non glandulaire de l’estomac dans tous les groupes traités. Ces effets ont été jugés nocifs dans les groupes ayant reçu la dose élevée et la dose moyenne. Considérant les effets chez les mères, on a donc déterminé que la DMENO était de 40 mg/kg p.c./jour et que la DSENO était de 15 mg/kg p.c./jour (ECHA, c2007‑2017a).
4.4.2.3 Autre toxicité à doses répétées
L’OCDE (2008) n’a repéré aucune étude valide de toxicité du CHP administré à doses répétées par voie orale. Dans une étude non publiée sur l’administration de doses répétées par inhalation citée dans le rapport initial de l’OCDE (2008), on a vaporisé du CHP en aérosol à des rats sur l’ensemble de leur corps durant 6 heures par jour, 5 jours par semaine et 3 mois, à la dose de 0, 1, 6 ou 31 mg/m3 (dose équivalente à 0, 0,008, 0,46 et 2,4 mg/kg p.c./jour, respectivement). Les signes cliniques de l’exposition étaient une irritation cutanée respiratoire (groupes traités non précisés dans OCDE 2008). La DSENO déterminée par l’OCDE (2008) et le ministère de la Santé australien (2016) était de 31 mg/m3 (2,4 mg/kg p.c./jour), car aucun effet toxicologique pertinent n’a été observé dans l’étude.
Dans une étude menée sur la voie cutanée et publiée après les examens susmentionnés effectués à l’échelle internationale, des rats F344/N et des souris B6C3F1/N des deux sexes ont reçu différentes doses de CHP appliquées par voie topique durant 14 ou 90 jours (Rider et al., 2016). Dans l’étude d’une durée de 14 jours, on a appliqué le CHP sur la peau du dos des animaux à une dose de 0, 6,25, 12,5, 25, 50 ou 100 mg/kg p.c./jour, 5 fois par semaine, durant 12 jours pour les rats et 13 jours pour les souris. Dans les études d’une durée de 90 jours, on a administré une dose de 0, 0,75, 1,5, 3, 6 ou 12 mg/kg p.c./jour de CHP à la fois aux souris et aux rats. On n’a observé aucun changement important dans la survie et le poids corporel des souris et des rats après 14 jours d’exposition (DSENO = 100 mg/kg p.c./jour). Dans les études d’une durée de 90 jours, la dose la plus élevée a induit une diminution importante (15 %) du poids corporel chez les rats mâles uniquement. À la fois dans les études de 14 et de 90 jours, les observations histopathologiques se limitaient au point d’application chez les rats et les souris et étaient caractérisées par une inflammation et une hyperplasie cutanée. Les auteurs de l’étude ont conclu que l’application de CHP par voie topique n’a causé des lésions cutanées qu’au point d’application et n’a pas entraîné d’effets généraux. Par ailleurs, le ministère de la Santé australien (2016) n’a répertorié aucun effet général lié au traitement qui était associé à l’exposition par voie cutanée aux peroxydes organiques.
4.4.3 Caractérisation des risques pour la santé humaine
L’OCDE (2008) et le ministère de la Santé australien (2016) ont décelé une toxicité générale du CHP après l’exposition par voie orale, cutanée ou par inhalation.
L’exposition de la population générale au CHP par les milieux naturels et les aliments (p. ex. des matériaux d’emballage alimentaire) devrait être négligeable. Par conséquent, on ne prévoit aucun risque découlant de ces sources.
L’exposition de la population générale devrait principalement être attribuable à l’utilisation intermittente d’adhésifs vendus aux consommateurs, comme les polymères époxydes à deux composantes et les produits d’étanchéité pour raccords filetés, et se produire par voie cutanée et par inhalation. On n’a relevé aucun effet général du CHP jusqu’à la dose de traitement la plus élevée, qui était de 100 mg/kg/jour, au cours d’une étude sur la toxicité par voie cutanée de 14 jours ou jusqu’à la dose de traitement la plus élevée, qui était de 31 mg/m3 utilisée dans une étude par inhalation d’une durée de 3 mois. L’estimation de l’exposition générale au CHP présent dans les polymères époxydes à deux composantes par voie cutanée est inférieure de quatre ordres à la dose de traitement la plus élevée dans l’étude par voie cutanée. Après avoir comparé l’estimation de l’exposition par inhalation au CHP contenu dans les polymères époxydes à deux composantes à la dose de traitement la plus élevée de l’étude par inhalation, on a obtenu des marges d’exposition variant entre 108 et 596. La dose de traitement la plus élevée dans l’étude par voie cutanée et celle par inhalation n’a pas induit d’effets nocifs sur la santé. Par conséquent, le risque découlant d’une exposition intermittente par voie cutanée et par inhalation au CHP devrait être faible.
Compte tenu des paramètres prudents utilisés lors de la modélisation de l’exposition au CHP présent dans les produits de consommation et des DSENO du CHP provenant des études pertinentes de toxicité, les marges associées à l’utilisation intermittente de ces produits sont jugées adéquates pour tenir compte des incertitudes liées aux bases de données sur les effets sur la santé et l’exposition.
4.4.4 Incertitudes liées à l’évaluation des risques pour la santé humaine
Il existe des incertitudes quant à l’exposition de la population générale du Canada au CHP par les milieux naturels et les aliments, car on n’a trouvé aucune étude sur les concentrations de CHP dans ces milieux au Canada.
Le scénario élaboré avec les polymères époxydes à deux composantes contenant du CHP absorbé par inhalation comporte des incertitudes. Le modèle utilisé pour estimer l’exposition par inhalation est très prudent, car on y présume que 100 % du CHP présent dans le produit s’évapore et qu’aucune trace ne demeure dans la partie appliquée. Par ailleurs, le modèle présume que tout le CHP demeure dans l’air ambiant de la pièce après l’application du polymère époxyde, même si le CHP se décompose en radicaux dans ce type de produit, et qu’il est donc épuisé. En outre, les matières résultantes durcissent généralement en 10 minutes, ce qui limite la période durant laquelle le CHP pourrait s’évaporer.
En dépit de l’incertitude liée à l’utilisation d’une dose critique obtenue dans une étude subchronique par inhalation dans les scénarios d’exposition intermittente, l’approche est prudente, et la marge est jugée adéquate pour tenir compte de cette incertitude.
5. Peroxyde de di(2-phénylpropane-2 yle) (DCUP)
5.1 Propriétés physico-chimiques
Un résumé des propriétés physico-chimiques du DCUP est présenté au tableau 5‑1. Vous trouverez d’autres propriétés physico-chimiques dans ECCC, 2016 b.
| Propriété | Valeur | Type de données | Référence |
|---|---|---|---|
| État physique | Solide à 25 °C | - | OCDE, 2012 |
| Point de fusion (°C) | 39,8 | expérimentales | OCDE, 2012 |
| Pression de vapeur (Pa) | 1 × 10−3 à 25 °C | expérimentales | ECHA, c2007-2017b |
| Constante de la Loi de Henry (Pa m3/mol) | 4,48 | modélisées | ChemIDplus, 1993- |
| Solubilité dans l’eau (mg/L) | 0,43 à 20 °C | expérimentales | OCDE, 2012 |
| log Koe (sans dimension) | 5,6 | expérimentales | OCDE, 2012 |
Abréviations : Koe = coefficient de partage octanol-eau
5.2 Sources et utilisations
Le DCUP n’est pas naturellement présent dans l’environnement.
Cette substance a été l’objet d’une enquête menée en vertu de l’article 71 de la LCPE (Canada, 2012). Le tableau 5‑2 présente un résumé des quantités déclarées de DCUP fabriquées et importées.
| Nom commun | Quantité totale fabriquéea (kg) | Quantité totale importéea (kg) | Année de déclaration |
|---|---|---|---|
| Peroxyde de di(2-phénylpropane-2 yle) (DCUP) | Aucuneb | 100 000 à 1 000 000 | 2011 |
a Les valeurs reflètent les quantités déclarées dans le cadre d’une collecte de données menée en vertu de l’article 71 de la LCPE (Environnement Canada, 2013). Consulter la collecte de données pour connaître les inclusions et les exclusions particulières (annexes 2 et 3) (Canada, 2012).
b Aucune fabrication supérieure au seuil de déclaration de 100 kg n’a été déclarée.
Le DCUP est un agent utilisé dans des procédés industriels (catalyseur de polymérisation ou agent de vulcanisation dans les produits en plastique ou en caoutchouc) (Lewis, 1993). Il sert à la réticulation du polyéthylène et des résines acryliques ainsi qu’à la production de câbles électriques (Arkema Innovative Chemistry, 2017). Il joue aussi le rôle d’activateur ignifuge dans le polystyrène (AkzoNobel Polymer Chemistry, 2017). En raison de la température élevée et de la durée prolongée du procédé de fabrication de ces matières, on s’attend à ce qu’il y ait des quantités négligeables de DCUP à la fin du procédé (OCDE, 2012).
Au tableau 5‑3, on trouvera un résumé des principales utilisations du DCUP déclarées lors de la collecte de données menée en vertu de l’article 71 de la LCPE (Canada, 2012). On n’a pas relevé d’autres utilisations du DCUP au Canada.
| Principales utilisationsa | DCUP |
|---|---|
| Matériaux de construction qui ne figurent pas dans le présent tableau | O |
| Matériaux en plastique et en caoutchouc qui ne figurent pas dans le présent tableau | O |
| Autre – amorceur de la polymérisation | O |
| Automobile, aéronef et transport | O |
| Autre – intermédiaire ayant complètement réagi | O |
| Matériaux métalliques qui ne figurent pas dans le présent tableau | O |
Abréviations : O = oui, N = non
a Données non confidentielles sur les utilisations déclarées dans le cadre de collectes de données menées en vertu de l’article 71 de la LCPE (Environnement Canada, 2013). Voir les collectes de données pour obtenir les inclusions et les exclusions particulières (annexes 2 et 3) (Canada, 2012).
Selon l’OCDE (2008), la production mondiale de DCUP en 2010 se situait entre 10 000 000 et 50 000 000 kg (déclaré comme étant 10 à 50 kilotonnes). Aux États-Unis, le volume annuel total de production (la somme des volumes fabriqués et importés) se situe de 450 000 à 4 500 000 kg (déclaré comme étant 1 000 000 à 10 000 000 lb) entre 2012 et 2015 (USEPA, 2017b). La quantité annuelle de DCUP fabriquée ou importée se situe entre 10 000 000 et 100 000 000 kg (déclaré comme étant 10 000 à 100 000 tonnes) dans l’Espace européen (ECHA, c2007-2017b).
Aux États-Unis, le DCUP est inscrit sur la liste de la FDA sur les additifs indirects utilisés dans les substances en contact avec des produits alimentaires (US eCFR, 2017), notamment les adhésifs et les composantes des revêtements (21CFR175) et des polymères (21CFR177). En Europe, il n’y a eu aucune déclaration sur l’utilisation du DCUP par des consommateurs (ECHA, c2007-2017b), mais les déclarations indiquent qu’il est présent dans des produits composés de matières comme le plastique (p. ex. emballage alimentaire et conservation des aliments, jouets, téléphones cellulaires), le bois (p. ex. planchers, meubles, jouets) et la pierre, le plâtre, le ciment, le verre ou la céramique (p. ex. vaisselle, casseroles et marmites) (ECHA, 2017).
5.3 Risque de causer des effets nocifs sur l’environnement
Les données critiques et les considérations sur lesquelles nous avons élaboré les profils du DCUP ainsi que les résultats de la classification du danger, de l’exposition et du risque sont présentés dans ECCC, 2016 b.
À partir des renseignements pris en compte par la CRE, on peut attribuer un risque modéré d’exposition au DCUP, étant donné sa grande persistance globale et les quantités modérées actuellement utilisées (ECCC, 2016b). Le DCUP a aussi été caractérisé comme présentant un faible potentiel de danger et posant un faible risque global d’effet sur l’environnement. Il est peu probable que cette substance soit préoccupante pour l’environnement au Canada.
5.4 Risque de causer des effets nocifs sur la santé humaine
5.4.1 Évaluation de l’exposition
5.4.1.1 Milieux naturels et aliments
Il n’existe aucune donnée de surveillance environnementale du DCUP dans l’air, l’eau ou le sol au Canada. Étant donné ses propriétés physico-chimiques et ses utilisations, le DCUP ne devrait pas être présent dans ces milieux. Les concentrations de DCUP ont été prédites à partir d’estimations obtenues par modélisation à l’aide de ChemCAN (2003), modélisation dans laquelle on a utilisé un scénario basé sur une quantité maximale d’importation au Canada d’environ 1 000 000 kg (intervalle de quantité importée présentée dans le tableau 5‑2; Environnement Canada, 2013). Les concentrations prédites de DCUP dans l’air, l’eau et le sol étaient minimales.
Il n’existe aucune donnée sur la présence de DCUP dans les aliments ou des matériaux d’emballage alimentaire au Canada.
Il ne devrait donc pas y avoir d’exposition de la population générale au DCUP par les milieux naturels ou les aliments.
5.4.1.2 Produits de consommation
Le DCUP sert d’agent par des procédés industriels. Le DCUP n’ayant pas réagi se décompose à la chaleur après avoir servi à polymériser des plastiques ou des caoutchoucs et ne devrait donc plus être présent dans les produits de consommation (OCDE, 2012). On ne s’attend donc à aucune exposition de la population générale attribuable à des produits de consommation.
5.4.2 Évaluation des effets sur la santé
L’Agence norvégienne de l’environnement a proposé pour le DCUP une classification harmonisée de la toxicité pour la reproduction fondée sur une nouvelle étude sur ce type toxicité reçue au cours de la période d’inscription (ECHA 2017). Le comité pour l’évaluation du risque a récemment adopté la classification proposée (Repr. 1B) de l’ECHA (2018). Puisque le DCUP est un peroxyde de dialkyle substitué avec un aryle, avec d’autres substances il a fait l’objet d’une évaluation par l’OCDE (2012) qui a servi à éclairer l’évaluation du danger du DCUP. Une recension de la littérature a été menée l’année précédant l’examen de l’OCDE jusqu’en juillet 2017. De nouvelles études d’importance menées après l’examen de l’OCDE ont aussi été prises en considération dans l’évaluation.
5.4.2.1 Toxicité pour la reproduction et le développement
Au cours de la période de l’examen de l’OCDE (2012), aucune donnée sur la toxicité pour le développement ou la reproduction du DCUP n’était existante. Dans une étude non publiée sur la toxicité pour le développement réalisée après la réunion du programme d’évaluation coopératif des produits chimiques de l’OCDE (OCDE, 2012), on a administré par gavage à des rates gravides Wistar du DCUP à la dose de 0, 50, 150 ou 450 mg/kg p.c./jour du 5e au 19e jour de la gestation. Les effets sur la mère observés dans le groupe ayant reçu la dose la plus élevée étaient les suivants : mortalité, saignements vaginaux et utérins, glandes surrénales et rates hypertrophiées, réduction importante de la consommation d’aliments et du gain de poids corporel. On a observé chez les embryons du groupe ayant reçu la dose la plus élevée, les effets sur la santé suivant : une augmentation très importante de la perte postimplantation, une diminution du poids fœtal, des membres postérieurs et antérieurs présentant une rotation anormale et un nombre beaucoup plus élevé de malformations et de variations du squelette. Une DMENO de 450 mg/kg p.c./jour et une DSENO de 150 mg/kg p.c./jour fondées sur des effets sur le développement des petits et des effets chez la mère ont été établies par un demandeur de l’ECHA (c2007-2017b). L’Agence européenne de Norvège a évalué de façon plus poussée le lien qui existe entre chaque mère et les symptômes de toxicité de la mère ainsi que les symptômes de toxicité pour le développement de chaque petit (ECHA, 2017). Dans l’évaluation, on a conclu que les effets sur le développement observés à la suite de l’exposition au DCUP n’étaient pas des effets non spécifiques découlant de la toxicité maternelle.
5.4.3 Caractérisation des risques pour la santé humaine
Si, d’une part, le DCUP a des effets nocifs sur l’appareil reproducteur, d’autre part, on ne s’attend à aucune exposition au DCUP de la population générale du Canada par les milieux naturels, les aliments ou l’utilisation des produits de consommation. Le risque pour la santé humaine est donc considéré comme étant faible.
L’exposition de la population générale au DCUP n’est pas préoccupante au niveau actuel, mais cette substance est considérée comme ayant des effets préoccupants sur la santé, compte tenu de son potentiel de danger. Par conséquent, la substance pourrait être préoccupante pour la santé humaine si l’exposition venait à augmenter.
5.4.4 Incertitudes liées à l’évaluation des risques pour la santé humaine
Bien que la base de données sur l’exposition au DCUP comporte certaines limites (p. ex. aucune donnée sur la concentration dans les milieux naturels ou les aliments au Canada), comme on ne prévoit aucune exposition de la population générale, l’approche qualitative à la caractérisation des risques est considérée comme adéquate pour cette substance.
6. Conclusion
Compte tenu de tous les éléments de preuve contenus dans la présente évaluation préalable, le CHP et le DCUP présentent un faible risque d’effet nocif pour l’environnement. Il est conclu que le CHP et le DCUP ne satisfont pas aux critères énoncés aux alinéas 64a) ou b) de la LCPE, car ils ne pénètrent pas dans l’environnement en une quantité ou concentration ou dans des conditions de nature à avoir, immédiatement ou à long terme, un effet nocif sur l’environnement ou sur la diversité biologique, et à mettre en danger l’environnement essentiel pour la vie.
À la lumière des renseignements contenus dans la présente évaluation préalable, il est conclu que le CHP et le DCUP ne satisfont pas aux critères énoncés à l’alinéa 64c) de la LCPE, car ils ne pénètrent pas dans l’environnement en une quantité ou concentration ou dans des conditions de nature à constituer un danger au Canada pour la vie ou la santé humaine.
Par conséquent, il est conclu que le CHP et le DCUP ne satisfont à aucun des critères énoncés à l’article 64 de la LCPE.
Références
[AGDH] Australian Government Department of Health. 2016. Sydney (AU): Department of Health, National Industrial Chemicals Notification and Assessment Scheme (NICNAS). Human Health Tier II Assessment for selected organic hydroperoxides. [Consulté le 13 juin 2017.] (Disponible en anglais seulement.)
AkzoNobel Polymer Chemistry. 2017. Flame retardant & Synergists. [Consulté le 20 février 2018.] (Disponible en anglais seulement.)
Arkema Innovative Chemistry. 2017. DiCup® R / Luperox® DCP dicumyl peroxide. [Consulté le 9 août 2017.] (Disponible en anglais seulement.)
[BDIPSN] Base de données d’ingrédients de produits de santé naturels [base de données]. [Modifiée le 21 juin 2017.] Ottawa (Ont.), Santé Canada. [Consultée en juin 2015.]
[BDPP] Recherche de produits pharmaceutiques en ligne [base de données]. [Modifiée le 17 février 2017.] Ottawa (Ont.), Santé Canada. [Consultée en juin 2015.]
[BDPSNH] Base de données des produits de santé naturels homologués [base de données]. [Modifiée le 10 août 2016.] Ottawa (Ont.), Santé Canada. [Consultée en juin 2015.]
Canada. 1999. Loi canadienne sur la protection de l’environnement (1999). L.C. 1999, ch. 33. Gazette du Canada partie III, vol. 22, no 3.
Canada, min. de l’Environnement. 2012. Loi canadienne sur la protection de l’environnement (1999) : Avis concernant certaines substances de la Liste intérieure [PDF]. Gazette du Canada, partie I, vol. 146, no 48, supplément.
ChemCAN [level III fugacity model of 24 regions of Canada]. 2003. Version 6.00. Peterborough (ON): Trent University, Canadian Centre for Environmental Modelling and Chemistry. (Disponible en anglais seulement.)
ChemIDplus [database]. 1993- . Bethesda (MD): US National Library of Medicine. [Actualisé le 6 août 2017, consulté le 17 août 2017.] (Disponible en anglais seulement.)
[ConsExpo Web] Consumer Exposure Web Model. 2017. Ver. 1.0.1. Bilthoven (NL): Rijksinstituut voor Volksgezondheid en Milieu [Institut national pour la santé publique et l’environnement]. (Disponible en anglais seulement.)
Danish (Q)SAR Database [database]. 2015. Division of Diet, Disease Prevention and Toxicology, National Food Institute, Technical University of Denmark. [Consulté le 13 juin 2017.] (Disponible en anglais seulement.)
[ECCC et SC] Environnement et Changement climatique Canada, Santé Canada. [Modifié le 12 mars 2017.] Catégorisation de substances chimiques. Ottawa (Ont.), gouvernement du Canada. [Consulté le 1er juin 2017.]
[ECCC et SC ] Environnement et Changement climatique Canada, Santé Canada. 2018. Évaluation préalable substances jugées comme étant peu préoccupantes au moyen de l’approche de la Classification du risque écologique des substances organiques et de l’approche fondée sur le seuil de préoccupation toxicologique (SPT) . Ottawa (Ont.), Gouvernement du Canada.
[ECCC] Environnement et Changement climatique Canada. 2016a. Document sur l’approche scientifique : Classification du risque écologique des substances organiques. Ottawa (Ont.), gouvernement du Canada.
[ECCC] Environment and Climate Change Canada. 2016b. Data used to create substance-specific hazard and exposure profiles and assign risk classifications in the Ecological Risk Classification of organic substances. Gatineau (QC). Disponibles auprès de substances@ec.gc.ca. (Disponible en anglais seulement.)
[ECHA] European Chemicals Agency. 2017. CLH report, Proposal for Harmonised Classification and Labelling Based on Regulation (EC) No 1272/2008 (CLP Regulation), Annex VI, Part 2. International Chemical Identification: Bis(α,α-dimethylbenzyl) peroxide. CAS Number: 80-43-3 [PDF]. (Disponible en anglais seulement.)
[ECHA] European Chemicals Agency. c2007-2017a. Registered substances database; search results for CAS RN 80-15-9 [base de donnneés]. Helsinki (FI): ECHA. [Actualisée le 30 août 2017; consultée en mai 2017.] (Disponible en anglais seulement.)
[ECHA] European Chemicals Agency. c2007-2017b. Registered substances database; search results for CAS RN 80-43-3 [base de données]. Helsinki (FI): ECHA. [Actualisée le 30 août 2017; consultée en mai 2017.] (Disponible en anglais seulement.)
[ECHA] European Chemicals Agency. 2018. Annex to a news release. [PDF] Helsinki, 15 juin 2018. [Consultée en juillet 2017.] (Disponible en anglais seulement.)
Environnement Canada. 2013. Données de la mise à jour de l’inventaire de la LIS recueillies en vertu de l’article 71 de la Loi canadienne sur la protection de l’environnement, 1999 : Avis concernant certaines substances de la Liste intérieure. Données préparées par : Environnement Canada, Santé Canada; Programme des substances existantes.
[FS] Fiche signalétique. 2015. Permatex® High Performance Thread Sealant [PDF]. Halton Hills, ON, Canada: ITW Permatex Canada. [ Consulté le 19 juin 2017.] (Disponible en anglais seulement.)
[FS] Fiche signalétique. 2014. PC perma poxy 5 minute plastic weld. Halton Hills (ON): ITW Permatex Canada. [Consultée le 19 juin 2017.] (Disponible en anglais seulement.)
[FT] Fiche technique. 2002. Permatex® PermaPoxy™ Plastic Weld [PDF.] Hartford, CT, USA: Permatex, Inc. [Consulté le 19 juin 2017.] (Disponible en anglais seulement.)
[FT] Fiche technique. 2008. High Performance Thread Sealant [PDF]. Hartford, CT, USA: Permatex, Inc. [Consulté le 19 juin 2017.] (Disponible en anglais seulement.)
Gimenez-Conti I, Viaje A, Chesner J, Conit C, Slaga TJ. 1991. Induction of short-term markers of tumor promotion by organic peroxides. Carcinogenesis. 12(4), 563-569. (Cité dans le dossier ECHA c2007‑2017b.) (Disponible en anglais seulement.)
Gimenez-Conti IB, Binder RL, Johnston D, Slaga TJ. 1998. Comparison of the skin tumor-promoting potential of different organic peroxides in SENCAR mice. Toxicol Appl Pharmacol. 149:73-79 (Cité dans le dossier ECHA c2007‑2017b.) (Disponible en anglais seulement.)
Guy RH. 2010. Predicting the rate and extent of fragrance chemical absorption into and through the skin. Chem Res Toxicol. 23:864-870. (Disponible en anglais seulement.)
[HSDB] Hazardous Substances Data Bank [base de données]. 1983-2017. Bethesda (MD): National Library of Medicine (US). [Mise à jour en juillet 2017; consulté le 12 avril 2017.] (Disponible en anglais seulement.)
[INRP] Inventaire national des rejets de polluants. 2011-2015. Recherche des données INRP. Ottawa (Ont.), gouvernement du Canada. Résultats de la recherche pour l’hydroperoxide de cumène, CAS RN 80-15-9. [Modifiée le 15 juin 2017, consultée en août 2017.]
Lewis RJ Sr, dir.. 1993. Hawley’s condensed chemical dictionary, 12e éd. New York (NY): Van Nostrand Rheinhold Co., p. 386. [Cité dans HSDB 1983-2017.] (Disponible en anglais seulement.)
[OCDE] Organisation de coopération et de développement économiques. 2008. SIDS Initial Assessment Profile [PDF]: hydroperoxide, 1-methyl -1-phenylethyl (CHP); hydroperoxide, 1,1-dimethylpropyl (TAHP). Réunion 27 d’évaluation initial du SIDS, 14-16 octobre 2008, Ottawa, Canada. [Consulté en juin2017.] (Disponible en anglais seulement.)
[OCDE] Organisation de coopération et de développement économiques. 2012. SIDS Initial Assessment Profile [PDF]: Aryl Substituted Dialkyl Peroxides. CoCAM [Cooperative Chemicals Assessment Meeting] 3, 16 au 18 octobre 2012: Lucerne, Suisse. [Consulté en juin 2017.] (Disponible en anglais seulement.)
Potts RO, Guy RH. 1992. Predicting skin permeability. Pharm Res. 9(5):663-669. (Disponible en anglais seulement.)
Raftery D, Smyth MR, Leonard RG. 1997. Investigations into the cumene hydroperoxide-based cure chemistry of anaerobic adhesives. Int J Adhes Adhes. 17(4):349-352. (Disponible en anglais seulement.)
Rider CV, Chan P, Herbert RA, Kissling GE, Fomby LM, Hejtmancik MR, Witt KL, Waidyanatha S, Travlos GS, Kadiiska MB. 2016. Dermal exposure to cumene hydroperoxide: assessing its toxic relevance and oxidant potential. Toxicol Pathol. 44(5):749-762. (Disponible en anglais seulement.)
[RIVM] Rijksinstituut voor Volksgezondheid en Milieu [National Institute for Public Health and the Environment]. 2007. Do-it-yourself products fact sheet: to assess the risks for the consumer [PDF]. Bilthoven (NL): RIVM. Rapport no 320104007/2007. [Consulté le 21 juin 2017.] (Disponible en anglais seulement.)
Santé Canada. 1998. Exposure factors for assessing total daily intake of priority substances by the general population of Canada. Rapport non publié. Ottawa (ON): Gouvernement du Canada . (Disponible en anglais seulement.)
Santé Canada. [modification 3 mai 2017]. Listes des additifs alimentaires autorisés . Ottawa (Ont.), gouvernement du Canada. [Consulté le 31 mars 2017.]
Santé Canada. 2016. Document sur l’approche scientifique : Approche fondée sur le seuil de préoccupation toxicologique (SPT) pour certaines substances . Ottawa (Ont.), gouvernement du Canada.
[US eCFR] US Electronic Code of Federal Regulations. 2017. Title 21, vol. 3, c I, part 175, Indirect food additives: adhesives and components of coatings; part 176, Indirect food additives: paper and paperboard components; and part 177, Indirect food additives: polymers.. Washington (DC): National Archives and Records Administration’s Office of the Federal Register (OFR); Government Publishing Office. [Consulté le 3 octobre 2017.] (Disponible en anglais seulement.)
[USEPA] US Environmental Protection Agency 2017a. 2016 Chemical Data Reporting Results [database]. Search results for CAS RN 80-15-9.Washington (DC): USEPA, Office of Chemical Safety and Pollution Prevention. [Actualisée le 17 août 2017, consultée le 17 août 2017.] (Disponible en anglais seulement.)
[USEPA] US Environmental Protection Agency 2017b. 2016 Chemical Data Reporting Results [database]. Search results for CAS RN 80-43-3.Washington (DC): USEPA, Office of Chemical Safety and Pollution Prevention. [Actualisée le 17 août 2017, consultée le 17 août 2017.] (Disponible en anglais seulement.)
Annexe A. Paramètres du scénario d’exposition basé sur des polymères époxydes à deux composantes
ConsExpo Web (2017) a été utilisé pour estimer l’exposition par inhalation et l’exposition cutanée au CHP présent dans des polymères époxydes à deux composantes. Nous nous sommes inspirés de la fiche d’information des produits de bricolage (RIVM, 2007) pour estimer l’exposition par absorption, estimation qui a été améliorée grâce à certains renseignements sur le produit. Les résultats de chacune des deux étapes de l’utilisation (mélange et chargement, application) ont été combinés pour obtenir une estimation prudente de l’exposition d’un consommateur réalisant les deux étapes.
| Paramètre | Colle époxyde à deux composantes – mélange et chargement | Colle époxyde à deux composantes –application |
|---|---|---|
| Exposition aux vapeurs | Rejet constant par évaporation | Évaporation à partir d’une surface grandissante |
| Durée de l’exposition (min.) | 5 | 20 |
| Durée de l’application (min.) | 5 | 10 |
| Quantité de produit (g) | 20 | 20 |
| Volume de la pièce (m3) | 1 | 20 |
| Taux de renouvellement de l’air (h-1) | 0,6 | 0,6 |
| Surface du rejet (cm2) | 20 | 500 |
| Température (°C) | 20 | 20 |
| Taux de transfert massique | 14,7 | 14,7 |
| Poids moléculaire de la matrice (g/mol) | 3 000 | 3 000 |
| Paramètre | Colle époxyde à deux composantes – mélange et chargement | Colle époxyde à deux composantes – application |
|---|---|---|
| - | Application instantanée | Application instantanée |
| Surface (cm2) | 2 | 43 |
| Quantité de produit (mg) | 50 | 100 |
Annexe B. Calcul de l’absorption cutanée de CHP
Le flux maximal (Jmax) est la limite supérieure de la vitesse théorique à laquelle une substance chimique est absorbée à travers la peau à partir d’un véhicule donné. Ce flux a été calculé à l’aide des propriétés physico-chimiques du CHP (voir section 4.1, Tableau 4‑1) et du total des paramètres des deux scénarios élaborés avec le polymère époxyde à deux composantes décrits à l’annexe A (c.‑à‑d. l’étape du mélange et du chargement, et l’étape de l’application ont été considérées comme étant une seule exposition). Les prochaines étapes ont servi à calculer Jmax, puis à estimer l’absorption cutanée de CHP.
| Calcul | Résultat |
|---|---|
| log Kp = -2,71 + 0,71 (log Kow) – 0,0061 (MW) a | -2,502 |
| Kp = 10logKp | 3,145 × 10-3 cm/h |
| Jmax = Kp × WS b | 4,372 × 10-2 mg/(cm2·h) |
| Qmax = Jmax × SA × ED b,c | 6,557 × 10-1 mg |
| Qapp = PA × C b,d | 0,75 mg (pour 0,5 % p/p de CHP) 7,5 mg (pour 5 % p/p de CHP) |
| DA = (Qmax / Qapp) ×100% b | 87 % (pour 0,5 % p/p de CHP) 8,7 % (pour 5 % p/p de CHP) |
Abréviations : Kp, coefficient de perméabilité (cm/h); Koe, coefficient de partage octanol-eau; PM, poids moléculaire (g/mol); Jmax, flux maximal (mg/[cm2·h]); SE, solubilité dans l’eau (mg/cm3); Qmax, quantité maximale d’une substance qui peut être absorbée à saturation (mg); S, surface (cm2); DE, durée de l’exposition (h); QP, quantité de produit (g); Qapp, quantité totale de substance sur la peau (mg); C, concentration (mg/g); AC, absorption cutanée (%)
a Potts et Guy, 1992.
b Guy 2010.
c Total des surfaces (S) pour l’utilisation du polymère époxyde en deux étapes (45 cm2, tableau A-2); On a présumé une durée d’exposition (DE) de 20 minutes, compte tenu du temps de polymérisation des polymères époxydes
d Total des quantités de produit (QP) utilisées aux deux étapes (0,15 g, Tableau A-2); l’intervalle déclaré des concentrations (C) de CHP présent dans un échantillon de polymère époxyde a été utilisé comme concentration minimale et maximale (0,5 % p/p et 5 % p/p dans la préparation finale)
| Concentration de CHP dans le produit (% p/p)a | Voie cutanée – dépôt cutané (mg/kg p.c.)b | Exposition généralec (mg/kg p.c./événement) |
|---|---|---|
| 0,5 | 1,06 × 10-2 | 9,27 × 10-3 |
| 5 | 1,06 × 10-1 | 9,27 × 10-3 |
a Fiche signalétique, 2014.
b Calculé à l’aide de ConsExpo Web (2017), comme il est précisé à l’annexe A.
c On a utilisé des valeurs d’absorption cutanée en fonction de la concentration (tableau B-1) pour estimer les doses externes par événement et ainsi obtenir l’absorption cutanée.

C9H12O2
C18H22O2