Évaluation préalable pour le Défi concernant les phosphates d'alkyl(de suif)amines éthoxylées
Numéro de registre du Chemical Abstracts Service 68308-48-5
Environnement Canada
Santé Canada
Août 2009
Table des matières
- Synopsis
- Introduction
- Identité de la substance
- Propriétés physiques et chimiques
- Sources
- Utilisations
- Rejets dans l'environnement
- Devenir dans l'environnement
- Persistance et potentiel de bioaccumulation
- Potentiel d'effets nocifs sur l'environnement
- Conclusion
- Références
- Annexe I - Tableau sommaire des intrants des modèles de la persistance, de la bioaccumulation et de la toxicité
Synopsis
En application de l'article 74 de la Loi canadienne sur la protection de l'environnement (1999) [LCPE (1999)], les ministres de l'Environnement et de la Santé ont effectué une évaluation préalable des phosphates d'alkyl(de suif)amines éthoxylées (ATAEP), dont le numéro de registre du Chemical Abstracts Service est 68308-48-5. Une priorité élevée a été accordée à l'évaluation préalable de cette substance inscrite au Défi, car elle répondait initialement aux critères de la catégorisation écologique relatifs à la persistance, au potentiel de bioaccumulation et à la toxicité intrinsèque pour les organismes non humains et l'on croit qu'elle est commercialisée au Canada.
L'évaluation des risques que présente l'ATAEP pour la santé humaine n'a pas été jugée hautement prioritaire à la lumière des résultats fournis par les outils simples de détermination du risque d'exposition et du risque pour la santé élaborés par Santé Canada aux fins de la catégorisation des substances de la Liste intérieure des substances. Par conséquent, la présente évaluation est axée sur les renseignements utiles à l'évaluation des risques pour l'environnement.
L'ATAEP est une substance organique qui est commercialisée au Canada. Une nouvelle utilisation de cette substance (le fabricant a demandé que l'utilisation et l'activité soient considérées comme confidentielles) a été constatée depuis 2005, c'est-à-dire depuis qu'elle est utilisée dans des produits de grande consommation de rejet dans l'égout, comme les savons et les lotions. La quantité fabriquée en 2006 au Canada se situait, selon les rapports, entre 100 et 1 000 kg. Ces renseignements sur la fabrication et l'utilisation indiquent que l'ATAEP pourrait être rejetée dans l'environnement canadien.
Certaines hypothèses comme les profils d'utilisation déclarés pour le Canada permettent de croire que la plus grande partie de la substance fabriquée au Canada aboutit dans le sol. D'après les estimations, de petites fractions sont transférées à des lieux d'élimination des déchets (2 %) ou rejetées dans l'eau (1,4 %), et la majorité est répandue dans le sol (96,6 %).
L'ATAEP est un ester phosphorique d'alkyle qui devrait avoir une charge nette de zéro à des valeurs de pH ambiantes. On considère donc que cette substance se comporte comme une molécule neutre, avec une faible solubilité dans l'eau, une faible volatilité et un Kco élevé. Elle aura par conséquent tendance à se distribuer dans la phase particulaire ou dans les lipides (gras) des organismes. Pour ces raisons, l'ATAEP est susceptible de se retrouver surtout dans le sol ou les sédiments. Elle ne devrait pas être transportée dans l'atmosphère sur de grandes distances.
D'après ses propriétés physiques et chimiques, l'ATAEP se dégrade rapidement dans l'environnement. Elle ne devrait donc pas être persistante dans l'air, l'eau, le sol ou les sédiments. L'ATAEP a un faible potentiel d'accumulation dans les organismes. Il a été déterminé que la substance ne répond pas aux critères de la persistance et de la bioaccumulation prévus dans le Règlement sur la persistance et la bioaccumulation. Les valeurs empiriques de la toxicité aquatique aiguë semblent cependant indiquer que la substance représente un potentiel de toxicité relativement élevé pour les organismes aquatiques.
Dans le cadre de la présente évaluation préalable, des scénarios d'exposition prudents ont été élaborés en vue d'estimer les rejets dans l'environnement aquatique attribuables à des activités industrielles et aux utilisations par les consommateurs et la concentration qui en découle dans l'eau. Les concentrations environnementales estimées dans l'eau sont inférieures aux concentrations environnementales estimées sans effet calculées pour les poissons, les daphnies et les algues. Ce résultat indique que la substance ne devrait pas avoir d'effets nocifs sur l'environnement aquatique. Par ailleurs, étant donné que la quantité commercialisée est relativement faible et la nature de son utilisation, on prévoit une faible exposition du biote vivant dans le sol. Donc, l'ATAEP est peu susceptible de présenter un risque important pour ces organismes.
D'après les renseignements inclus dans la présente ébauche d'évaluation préalable, il est proposé de conclure que l'ATAEP ne pénètre pas dans l'environnement en une quantité ou concentration ou dans des conditions de nature à avoir, immédiatement ou à long terme, un effet nocif sur l'environnement ou sa diversité biologique, ni à mettre en danger l'environnement essentiel pour la vie.
Cette substance fera partie de la prochaine mise à jour de l'inventaire de la Liste intérieure des substances (LIS). De plus, des activités de recherche et de surveillance viendront, le cas échéant, appuyer la vérification des hypothèses formulées au cours de l'évaluation préalable.
D'après les renseignements disponibles, l'ATAEP ne remplit aucun des critères prévus à l'article 64 de la LCPE (1999).
Introduction
La Loi canadienne sur la protection de l'environnement, 1999 [LCPE (1999)] (Canada, 1999) impose aux ministres de l'Environnement et de la Santé de faire une évaluation préalable des substances qui répondent aux critères de la catégorisation énoncés dans la Loi afin de déterminer si elles présentent ou sont susceptibles de présenter un risque pour l'environnement ou la santé humaine. Selon les résultats de cette évaluation, les ministres peuvent proposer de ne rien faire à l'égard de la substance, de l'inscrire sur la Liste des substances d'intérêt prioritaire en vue d'une évaluation plus détaillée ou de recommander son inscription sur la Liste des substances toxiques de l'annexe 1 de la Loi et, s'il y a lieu, sa quasi-élimination.
En se fondant sur l'information fournie dans le cadre de la catégorisation, les ministres ont jugé qu'une attention hautement prioritaire devait être accordée à un certain nombre de substances, à savoir :
- celles qui répondent à tous les critères environnementaux de la catégorisation, notamment la persistance (P), le potentiel de bioaccumulation (B) et la toxicité intrinsèque (Ti) pour les organismes aquatiques, et que l'on croit être commercialisées au Canada;
- celles qui répondent aux critères de la catégorisation pour le plus fort risque d'exposition (PFRE) ou qui présentent un risque d'exposition intermédiaire (REI) et qui ont été jugées particulièrement dangereuses pour la santé humaine, compte tenu du classement attribué par d'autres organismes nationaux ou internationaux quant à la cancérogénicité, à la génotoxicité ou à la toxicité sur le plan du développement ou de la reproduction.
Le 9 décembre 2006, les ministres ont donc publié un avis d'intention dans la Partie I de la Gazette du Canada(Canada, 2006), dans lequel ils priaient l'industrie et les autres parties intéressées de fournir, selon un calendrier déterminé, des renseignements précis qui pourraient servir à étayer l'évaluation des risques, ainsi qu'à élaborer et à évaluer les meilleures pratiques de gestion des risques et de bonne gestion des produits pour ces substances jugées hautement prioritaires.
L'évaluation des risques que comportent les phosphates d'alkyl(de suif)amines éthoxylées pour l'environnement a été jugée hautement prioritaire, car ce groupe de substances (considéré comme une substance dans le présent document) est persistant, bioaccumulable et intrinsèquement toxique pour les organismes aquatiques et l'on croit qu'il est commercialisé au Canada. Le volet du Défi portant sur les phosphates d'alkyl(de suif)amines éthoxylées a été lancé le 17 novembre 2007 au moyen d'un avis paru dans la Gazette du Canada (Canada, 2007). En même temps a été publié le profil de cette substance, qui présentait l'information technique (obtenue avant décembre 2005) sur laquelle a reposé sa catégorisation. Des renseignements portant sur les utilisations de la substance ont été transmis en réponse au Défi.
Même si l'évaluation des risques que présente les phosphates d'alkyl(de suif)amines éthoxylées pour l'environnement a été jugée hautement prioritaire, cette substance ne répond pas aux critères de la catégorisation pour le PFRE ou le REI, et on estime qu'elle ne pose pas un grave risque pour la santé humaine, compte tenu du classement attribué par d'autres organismes nationaux ou internationaux quant à sa cancérogénicité, à sa génotoxicité ou à sa toxicité sur le plan du développement ou de la reproduction. La présente évaluation est donc axée principalement sur les renseignements présentant de l'intérêt pour l'évaluation des risques touchant l'environnement.
Les évaluations préalables effectuées aux termes de la LCPE (1999) mettent l'accent sur les renseignements essentiels pour déterminer si une substance répond aux critères de toxicité des substances chimiques au sens de l'article 64 de la Loi :
« 64. [...] est toxique toute substance qui pénètre ou peut pénétrer dans l'environnement en une quantité ou concentration ou dans des conditions de nature à :
- avoir, immédiatement ou à long terme, un effet nocif sur l'environnement ou sur ladiversité biologique;
- mettre en dangerl'environnement essentiel pour la vie; ou
- constituer un danger au Canada pour la vie ou la santé humaines. »
Les évaluations préalables visent à examiner des renseignements scientifiques et à tirer des conclusions fondées sur la méthode du poids de la preuve et le principe de prudence.
La présente évaluation préalable prend en considération les renseignements sur les propriétés chimiques, les dangers, les utilisations et l'exposition, y compris ceux fournis dans le cadre du Défi. Les données pertinentes pour l'évaluation préalable de cette substance ont été relevées dans des publications originales, des rapports de synthèse et d'évaluation, des rapports de recherche de parties intéressées et d'autres documents consultés lors de recherches documentaires menées récemment, jusqu'en mars 2008. Les études importantes ont fait l'objet d'une évaluation critique et, en général, seuls les résultats des études de qualité ont été utilisés dans la formulation des conclusions, même si d'autres résultats d'études et de la modélisation peuvent avoir été pris en compte dans l'établissement du poids de la preuve. Lorsqu'ils étaient disponibles et pertinents, les renseignements contenus dans les évaluations des dangers effectuées par d'autres instances ont été pris en considération. L'évaluation préalable n'est pas un examen exhaustif ou critique de toutes les données disponibles. Elle fait plutôt état des études et des éléments d'information les plus importants pour appuyer la conclusion.
L'évaluation préalable a été préparée par le personnel du Programme des substances existantes de Santé Canada et d'Environnement Canada et elle intègre les résultats d'autres programmes de ces ministères. Cette évaluation a fait l'objet d'une étude consignée par les pairs. De plus, une ébauche de cette évaluation préalable a fait l'objet d'une période de commentaires du public de 60 jours. Bien que des commentaires externes aient été pris en considération, Santé Canada et Environnement Canada assument la responsabilité du contenu final et des résultats de l'évaluation préalable. Les principales données et considérations sur lesquelles repose la présente évaluation sont résumées ci-après.
Identité de la substance
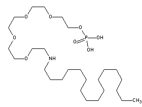
Aux fins du présent document, la substance dont il est question ici est appelée ATAEP, sigle provenant du nom utilisé dans la Liste intérieure des substances. Comme elle fait partie de la catégorie des UVCB (substances de composition inconnue ou variable, produits de réactions complexes ou matières biologiques), cette substance n'est pas un composé chimique défini et elle peut donc être représentée par différentes structures. Aux fins de la modélisation et des évaluations futures, la structure et le SMILES correspondant présentés ici ont été choisis pour la représenter.
| Numéro de registre du Chemical Abstracts Service (no CAS) | 68308-48-5 |
|---|---|
| Nom dans la Liste intérieure des substances (LIS) | Phosphates d'alkyl(de suif)amines éthoxylées |
| Nom dans les National Chemical Inventories (NCI)Note de bas de tableaua | Amines, tallow alkyl, ethoxylate, phosphates (TSCA, AICS, ECL, PICCS, ASIA-PAC, NZIoC) |
| Autres noms | Tallow amine, ethoxylated, phosphated; Tallowamine, ethoxylated, phosphate salt; Phosphates (catégorie chimique); Polyoxyalkylenes (catégorie chimique); Tallow (catégorie chimique) |
| Groupe chimique (Groupe de la LIS) | UVCB (substances de composition inconnue ou variable, produits de réaction complexes et matières biologiques) |
| Classe chimique ou utilisation principale | Surfactant |
| Sous-classe chimique | Alkyl phosphate ester |
| Formule chimique | C28H60N1O8P |
| Structure chimique représentative utilisée dans le modèle d'estimationNote de bas de tableaub | ![]() |
| Simplified Molecular Input Line Entry System (SMILES) représentatif utilisé dans le modèle d'estimationNote de bas de tableaub | |
| Masse moléculaire | 569,77 g/mol |
Propriétés physiques et chimiques
Aucune donnée expérimentale n'est disponible pour l'ATAEP.
Le tableau 2 résume les propriétés physiques et chimiques modélisées de l'ATAEP qui s'appliquent à son devenir dans l'environnement.
| Type | ValeurNote de bas de tableauc | Température (°C) | Références | |
|---|---|---|---|---|
| Point de fusion (°C) | modélisé | 90,27 | MPBPWIN, 2000 | |
| Point d'ébullition (°C) | modélisé | 480 | MPBPWIN, 2000 | |
| Masse volumique (kg/m3) | Non disponible | Non disponible | Non disponible | Non disponible |
| Pression de vapeur (Pa) | modélisé | 8,07 × 10-9 (6,06 × 10-11 mm Hg) |
25 | MPBPWIN, 2000 |
| Constante de la loi de Henry (Pa·m3/mol) | modélisé | 5,32 × 10-016 (5,25 × 10-21 atm m3/mol) |
25 | HENRYWIN, 2000 |
| Log Koe (coefficient de partage octanol-eau) [sans dimension] | modélisé | 6,02 | KOWWIN, 2000 ADME Boxes, 2008 | |
| Log Kco (coefficient de partage carbone organique-eau) [sans dimension] | modélisé | 3,95 | PCKOCWIN, 2000 | |
| Solubilité dans l'eau (mg/L) | modélisé | 0,018 (forme neutre) | 25 | WSKOWWIN, 2000 ADME Boxes, 2008 |
| pKa (constante de dissociation acide) [sans dimension] | modélisé | 1,2 (forme acide) 9,6 (forme élémentaire) | ADME Boxes, 2008 |
Sources
L'ATAEP n'est pas produite naturellement dans l'environnement.
Les renseignements sur cette substance étaient présentés volontairement aux fins du Défi pour l'année civile 2006 (Environnement Canada, 2008b). La substance a été fabriquée en une quantité allant de 100 kg à 1 000 kg. Cinq entreprises ont montré un intérêt à son égard.
En réponse à l'avis émis en application de l'article 71 pour l'année civile 2005, moins de cinq entreprises ont déclaré avoir importé de l'ATAEP (seule ou dans un mélange, un produit ou un article manufacturé) en quantité supérieure ou égale à 100 kg. Au total, entre 100 kg et 1 000 kg de cette substance ont été importés au Canada en 2005 (Environnement Canada, 2007).
La quantité que les entreprises ont déclaré avoir fabriquée, importée ou commercialisée au Canada durant l'année civile 1986 se situait entre 10 000 et 100 000 kg (Environnement Canada, 1986). Le nombre de déclarants était inférieur à cinq.
Utilisations
En réponse à l'enquête menée en application de l'article 71 de la LCPE pour l'année civile 2006 (Environnement Canada, 2008), il a été établi que la substance ATAEP a été fabriquée au Canada. Cependant, l'utilisation de l'ATAEP est un renseignement commercial confidentiel.
Les renseignements fournis en réponse à l'avis émis en application de l'article 71 pour l'année 2005 (Environnement Canada, 2007) et les renseignements fournis volontairement dans le cadre du Défi (Environnement Canada, 2007) ont indiqué que l'ATAEP était importé au Canada pour des activités commerciales telles que la fabrication de savons, de produits nettoyants et d'articles de toilette, y compris la fabrication de parfums, de produits de rasage et capillaires, de crèmes pour le visage et de lotions comme des crèmes solaires au cours de l'année civile 2005. Les codes d'utilisation et leurs applications correspondantes notés par les entreprises comprennent : 60 - cosmétiques; et 93 - savons et produits de nettoyage. Compte tenu de ces utilisations, la substance peut être rejetée dans l'environnement d'une manière très dispersive.
Les codes d'utilisation de la LIS pour l'année 2005 correspondent à ceux qui ont été indiqués pour l'ATAEP en 1986.
En Suède et au Danemark, l'ATAEP aurait été utilisé comme composant de formules et dans l'industrie des cosmétiques (SPIN, 2006). La quantité totale qui a été utilisée en Suède et au Danemark s'élève à 1,6 tonne entre 1999 et 2003 et à 0,1 tonne en 2005.
Rejets dans l'environnement
Outil de débit massique
Un outil de débit massique a été créé pour estimer les rejets potentiels des substances dans l'environnement à différentes étapes de leur cycle de vie (Environnement Canada, 2008c). Les données empiriques sur les rejets de substances spécifiques dans l'environnement son rares. On estime donc, pour chaque type d'utilisation connue, la proportion et la quantité des rejets dans les différents milieux naturels, ainsi que la proportion de la substance qui est transformée chimiquement ou envoyée dans des lieux d'élimination des déchets. À moins qu'on ne possède des données concernant expressément le taux réel ou potentiel de rejet de la substance à partir des décharges et des incinérateurs, l'outil de débit massique ne permet pas de quantifier les rejets de ces sources.
Les hypothèses et les paramètres d'entrée utilisés pour faire les estimations des rejets sont fondés sur des renseignements obtenus de diverses sources dont les réponses aux enquêtes menées conformément à la réglementation, les données de Statistique Canada, les sites Web des fabricants et les bases de données et documents techniques. À cette fin, les facteurs d'émission sont particulièrement utiles; ils sont généralement exprimés comme la fraction de la substance rejetée dans l'environnement, notamment durant sa fabrication, sa transformation et son utilisation associées aux procédés industriels. Ces données découlent notamment de documents sur des scénarios d'émissions, souvent élaborés sous les auspices de l'Organisation de coopération et de développement économiques (OCDE), et d'hypothèses par défaut utilisées par différents organismes internationaux de réglementation des produits chimiques. Le degré d'incertitude associé à la masse de la substance en circulation et à la quantité rejetée dans l'environnement augmente généralement vers la fin du cycle de vie.
Vu l'utilisation qui été recensée en 2006, les résultats confidentiels de la modélisation au moyen de l'outil de débit massique indiquent que l'ATAEP qui est fabriqué au Canada devrait être rejeté en grand partie dans le sol (96,6 %) (tableau 3). D'après les renseignements contenus dans les documents sur les scénarios de l'OCDE concernant la transformation et les utilisations associées à ce type de substance, on estime que 1,4 %, 0,0 % et 96,6 % de l'ATAEP peuvent être rejetés dans l'eau, dans l'air et dans le sol respectivement.
| Devenir | Proportion massique (%)Note de bas de tableaud | Principale étape du cycle de vieNote de bas de tableaue |
|---|---|---|
| Rejets dans le sol | 96,6 | Utilisation par les consommateurs |
| Rejets dans l'air | 0,0 | Production |
| Rejets dans les égoutsNote de bas de tableauf | 1,4 | Production, formulation, utilisation par les consommateurs |
| Transformation chimique | 0,0 | |
| Envoi dans des lieux d'élimination des déchets (p. ex., les décharges, les incinérateurs) | 2,0 | Élimination des déchets |
Devenir dans l'environnement
D'après les propriétés chimiques et physiques de l'ATAEP (tableau 2) et les résultats de la modélisation de la fugacité de niveau III (tableau 4), l'ATAEP devrait demeurer principalement dans le sol ou les sédiments, selon le milieu de rejet, et en quantité moindre dans l'eau.
| Fraction de la substance répartie dans l'air (%) | Fraction de la substance répartie dans l'eau (%) | Fraction de la substance répartie dans le sol (%) | Fraction de la substance répartie dans les sédiments (%) | |
|---|---|---|---|---|
| Rejet de la substance dans l'air (100 %) | 1,4 | 1,4 | 80,9 | 16,3 |
| Rejet de la substance dans l'eau (100 %) | 1E-7 | 7,81 | 5,7E-6 | 92,2 |
| Rejet de la substance dans le sol (100 %) | 2E-8 | 4,0E--3 | 99,9 | 0,05 |
Vu sa constante de dissociation acide (pKa) de 1,2 et une constante de dissociation de base de 9,6 (tableau 2), l'ATAEP devrait avoir une charge nette de zéro à des pH ambiants (6-8). Même si l'on prédit qu'il aura des caractéristiques « zwitterion » (ADME Boxes, 2008), aux fins de la présente évaluation, on suppose que l'ATAEP se comportera comme une molécule hydrophobe neutre (log Koe = 6,02).
Lorsqu'il est rejeté dans le sol, l'ATAEP devrait avoir une adsorption très élevée dans le sol (c.-à-d. qu'il devrait être relativement immobile) d'après un log Kco estimé de 3,95. La volatilisation à partir des surfaces de sol humides ne serait pas un processus important dans le devenir de cette substance d'après la constante de la loi de Henry. Ce produit chimique ne devrait pas se volatiliser des surfaces de sol sèches d'après sa pression de vapeur. Par conséquent, sil est rejeté dans le sol, l'ATAEP demeurera principalement dans ce milieu environnemental, ce qu'illustrent les résultats de la modélisation de la fugacité de niveau III (tableau 4).
Lorsqu'il est rejeté dans l'eau, l'ATAEP devrait s'adsorber fortement dans les solides suspendus et les sédiments, d'après la valeur très élevée du log Koc estimée de 3,95. La volatilisation des surfaces de l'eau ne devrait pas être un processus de devenir important d'après cette constante de la loi de Henry de 5,32 × 10-16Pa·m3/mol. Donc, si l'eau est un milieu récepteur, l'ATAEP devrait principalement se répartir en sédiments et en quantité beaucoup moindre dans l'eau (tableau 4).
Lorsque l'ATEP est rejeté dans l'air, le modèle de fugacité de niveau III indique qu'une quantité négligeable demeure dans l'air (tableau 4). La pression de vapeur modélisée de 8,07,07×10-9 Pa et la constante de la loi de Henry de 5,32 × 1010 Pa·m3/mol indiquent que l'ATAEP n'est pas volatil. Par conséquent, lorsqu'il est rejeté uniquement dans l'air, il ne devrait pas demeurer dans ce milieu. Les deux principaux milieux où cette substance se répartira sont le sol et les sédiments (tableau 4).
La constante de dissociation acide (pKa) de 1,2 pour l'ATAEP indique que la substance sera entièrement ionisée à pH 7 d'après le groupement acide et donc de la forme ionique du log Koe de 2,3, qui est basée sur la pKaacide. Le log Koe pour la forme neutre de l'ATAEP est 6,02, et la forme ionique a un log Koe estimé à 2,3. L'ionisation touche également l'hydrosolubilité et le potentiel de bioaccumulation de l'ATAEP.
Persistance et potentiel de bioaccumulation
Persistance dans l'environnement
Aucune donnée expérimentale sur la dégradation de l'ATAEP n'a été trouvée. Le tableau 5 résume les résultats des modèles de relations quantitatives structure-activité (RQSA) disponibles sur la dégradation dans divers milieux naturels.
| Processus du devenir | Modèle et et base du modèle | Résultats et estimation du modèle | Demi-vie extrapolée (jours) |
|---|---|---|---|
| Oxydation atmosphérique | AOPWIN, 2000 | t½ = 0,052 jours | inférieure à 2 |
| réaction avec l'ozone | AOPWIN, 2000 | s.o.Note de bas de tableaug | s.o. |
| Processus du devenir | Modèle et et base du modèle | Résultats et estimation du modèle | Demi-vie extrapolée (jours) |
|---|---|---|---|
| Hydrolyse | HYDROWIN, 2000 | s.o.Note de bas de tableauh | s.o. |
| Biodégradation (aérobie) | BIOWIN, 2000 Sous-modèle 3 : Enquête d'expert (biodégradation ultime) |
2,23Note de bas de tableaui « mois » | inférieure à 182Note de bas de tableauk |
| Biodégradation (aérobie) | BIOWIN, 2000 Sous-modèle 4 : Enquête d'expert (biodégradation primaire) |
3,29Note de bas de tableaui « semaines » | inférieure à 182Note de bas de tableauk |
| Biodégradation (aérobie) | BIOWIN, 2000 Sous-modèle 5 : Probabilité linéaire MITI |
0,39Note de bas de tableauj | inférieure à 182Note de bas de tableauk |
| Biodégradation (aérobie) | BIOWIN, 2000 Sous-modèle 6 : Probabilité non linéaire MITI |
0,04Note de bas de tableauj « Ne se biodégrade pas rapidement » |
supérieure à 182Note de bas de tableauk |
| Biodégradation (aérobie) | CATABOL, 2004-2008 % DBO (demande biologique en oxygène) |
% BOD = 80 « Se biodégrade rapidement » |
inférieure à 182Note de bas de tableauk |
La demi-vie de 0,05 jour, prévue lors de l'oxydation atmosphérique (voir le tableau 5 ci-dessus), montre que cette substance est susceptible de s'oxyder rapidement dans l'air. Ce composé ne devrait pas réagir dans l'atmosphère avec d'autres espèces photooxydantes, comme O3. Par conséquent, des réactions avec des radicaux hydroxyles devraient constituer le plus important processus régissant le devenir de l'ATAEP dans l'atmosphère. Sa demi-vie de 0,05 jour sous l'effet des réactions avec des radicaux hydroxyles permet de conclure que l'ATAEP n'est pas persistant dans l'air.
En ce qui concerne l'ATAEP, les résultats obtenus avec les sous-modèles BIOWIN 3 et 4 (dégradation ultime et primaire) montrent que la demi-vie du composé par biodégradation est inférieure à 182 jours. Quant au sous-modèle BIOWIN 5, le résultat de 0,39 équivaudrait à une demi-vie de moins de 60 jours (Aronson et al., 2006). De même, selon les résultats du modèle Catabol, la demi-vie dans l'eau serait nettement inférieure à 182 jours (environ 12 jours, en supposant une dégradation cinétique de premier ordre). Seul le résultat du sous-modèle BIOWIN 6 indique que la demi-vie de l'ATAEP pourrait être supérieure à 182 jours. Par conséquent, à la lumière des prédictions découlant des sous-modèles BIOWIN 3, 4 et 5 et du résultat du modèle Catabol, le poids de la preuve montre que la demi-vie par dégradation ultime dans l'eau de l'ATAEP est vraisemblablement nettement inférieure à 182 jours.
Il est possible d'extrapoler la demi-vie dans le sol et les sédiments à partir de la demi-vie dans l'eau à l'aide des facteurs de Boethling; la formule appliquée est : t½ eau : t½ sol : t½ sédiments = 1: 1: Boethling et al., 1995). Par conséquent, comme la demi-vie dans l'eau est sans doute nettement inférieure à 182 jours (et sans doute inférieure à 90 jours; voir l'argument ci-dessus), la demi-vie de l'ATAEP devrait être inférieure à 182 jours dans le sol et la demi-vie dans les sédiments devrait être inférieure à 365 jours.
Donc, les données modélisées (voir le tableau 5 ci-dessus) montrent que l'ATAEP ne répond pas aux critères de persistance dans l'air, dans l'eau, dans le sol ou dans les sédiments] (demi-vie dans l'air supérieure ou égale à2 jours, demi-vies dans le sol et dans l'eau supérieure à 182 jours et demi-vie dans les sédiments supérieure ou égale à 365 jours énoncés dans le Règlement sur la persistance et la bioaccumulation (Canada, 2000).]
On a utilisé le modèle de transport et de persistance de niveau III (TaPL3) [TaPL3, 2000] pour estimer la distance de transport caractéristique (DTC), définie comme la distance maximale parcourue dans l'air par 63 % de la substance. Beyer et al. (2000) ont proposé de considérer le potentiel de transport atmosphérique à grande distance comme étant élevé si la DTC est supérieure à 2 000 km, modéré si elle est de 700 à 2 000 km et faible si elle est inférieure à 700 km. D'après une DTC estimée à 469 km, le potentiel de transport atmosphérique à grande distance de l'ATAEP est considéré comme faible. C'est donc dire que l'ATAEP ne devrait pas être transporté dans l'atmosphère à une grande distance à partir de ses sources d'émission.
Potentiel de bioaccumulation
Une valeur modélisée du log Koe d'environ 6,02 pour l'ATAEP laisse supposer que ce produit chimique a un potentiel de bioaccumulation.
Faute de données expérimentales sur les facteurs de bioaccumulation (FBA) ou de bioconcentration (FBC) pour l'ATAEP, une méthode prédictive a été appliquée au moyen des modèles du FBA et du FBC disponibles, comme l'indique le tableau 5 ci-dessous. Selon le Règlement sur la persistance et la bioaccumulation (Canada 2000), la mesure des FBA constitue la méthode privilégiée pour évaluer le potentiel de bioaccumulation des substances, et ce, parce que les FBC ne tiennent pas suffisamment compte du potentiel de bioaccumulation des substances par l'alimentation, ce qui prédomine pour des substances ayant un log Koe supérieur à ~4,0 (Arnot et Gobas, 2003). La modélisation cinétique du bilan massique devrait constituer la méthode de prédiction la plus fiable pour déterminer le potentiel de bioaccumulation de l'ATAEP, car elle permet une correction du métabolisme lorsque ces données sont disponibles. Bien qu'aucune substance telle que l'ATAEP ne se trouve dans la base d'apprentissage du modèle cinétique de bilan massique de Gobas (elle contient principalement des composés halogénés et des HAP), l'ATAEP se situe à l'intérieur du domaine mécaniste (diffusion passive) et du paramètre global du modèle (log Koe). Ces estimations ont été établies à partir de modèles Log Koe de 6,02.
| Organisme d'essai | Paramètre | Valeur en poids humide (L/kg) | Références |
|---|---|---|---|
| Poissons | FBA | 1278 | Gobas, FBA, niveau trophique intermédiaire (Arnot et Gobas, 2003) |
| Poissons | FBC | 654 | Gobas, FBA, niveau trophique intermédiaire (Arnot et Gobas, 2003) |
| Poissons | FBC | 5 | Modèle de bioaccumulation avec facteurs atténuants (Dimitrov et al., 2005) |
| Poissons | FBC | 185 | BCFWIN, 2000 |
D'après les résultats des modèles de la bioaccumulation qui utilisent les fragments structurels et le log Koe pour la forme ionique présente dans l'environnement, l'ATAEP n'est pas susceptible de se bioconcentrer ni de se bioamplifier dans l'environnement à des niveaux importants. Comme on ne disposait pas de données sur le métabolisme de cette substance, on n'en a pas tenu compte dans les modèles du FBA ou du FBC. Toutefois, d'après la structure chimique de cette substance, le métabolisme se fait probablement par l'oxydation de carbone aliphatique.
D'après les valeurs modélisées disponibles, l'ATAEP ne répond pas aux critères de la bioaccumulation (FBA ou FBC supérieur ou égal à 5 000) énoncés dans le Règlement sur la persistance et la bioaccumulation (Canada, 2000).
Potentiel d'effets nocifs sur l'environnement
Évaluation des effets sur l'environnement
A - Dans le milieu aquatique
Comme aucune donnée expérimentale sur l'écotoxicité n'a été trouvée pour l'ATAEP, des modèles RQSA et la méthode du poids de la preuve ont été utilisés pour estimer le potentiel de toxicité de cette substance en milieu aquatique.
Le tableau 7 présente les valeurs écotoxicologiques modélisées obtenues en utilisant ECOSAR (surfactants non ioniques) pour l'ATAEP. La valeur de la CL50 aiguë de 0,192 mg/L est choisie comme valeur critique de la toxicité (VCT). Même si, selon les prévisions, le degré de solubilité dans l'eau se situe sous cette valeur de CL50, la différence est acceptable, compte tenu de l'incertitude qui entoure les prévisions obtenues au moyen du modèle RQSA, en ce qui a trait à la solubilité et à la toxicité, car la valeur de la CL50 représente environ un ordre de grandeur de la solubilité dans l'eau. Un facteur de 100I est appliqué à la VCT pour tenir compte de l'extrapolation de la toxicité allant de aiguë à chronique (longue durée) et, à partir des résultats de tests en laboratoire menés sur d'autres espèces potentiellement sensibles sur le terrain, ce qui donne une concentration environnementale estimée sans effet (CESE) dans l'eau de 0,00192 mg/L.
| Organisme | Type d'essai | Paramètre | Valeur | Références |
|---|---|---|---|---|
| Daphnie | 48 heures | La concentration qu'on estime létale pour 50 % des organismes d'essai (CL50) | 0,192 | ECOSAR, 2004 |
| Poissons | 96 heures | CL50 | 0,192 | ECOSAR, 2004 |
D'après les données, l'ATAEP présente un potentiel de nocivité pour les organismes aquatiques (c.-à-d. que le rapport CL50/CE50 associé à l'exposition aiguë est inférieur à 1 mg/L).
B - Dans d'autres milieux
Aucune donnée expérimentale ou estimée avec effets sur les organismes non aquatiques autres que les mammifères dans les autres milieux n'a été relevée pour l'ATAEP.
Évaluation de l'exposition de l'environnement et estimation du quotient de risque
Aucune donnée de surveillance de la présence de l'ATAEP dans les milieux environnementaux (air, sol ou sédiments) n'a été trouvée.
Eau : effluents industriels
Aucune donnée sur les concentrations de cette substance dans l'eau au Canada n'a été retracée. Les concentrations dans l'environnement ont donc été évaluées sur la base des renseignements disponibles, y compris les estimations relatives aux quantités de la substance, aux taux de rejets et aux cours d'eau récepteurs.
Afin de tenir compte des rejets possibles dans l'eau à partir d'unités de production, on a élaboré un scénario d'exposition en milieu aquatique. Pour ce faire, l'outil générique d'estimation de l'exposition attribuable à des rejets industriels en milieu aquatique (IGETA) d'Environnement Canada a servi à estimer la concentration de la substance dans un cours d'eau générique qui reçoit des effluents industriels (Environnement Canada, 2008d). Le scénario générique vise à fournir ces estimations fondées sur des hypothèses prudentes quant à la quantité de substance traitée et rejetée, au nombre de jours de traitement, au taux d'élimination à la station d'épuration des eaux usées et à la taille du cours d'eau récepteur. Le scénario de rejets industriels modélisé par l'outil tient compte des données sur la charge obtenues de sources telles que des enquêtes industrielles, ainsi que des connaissances sur la distribution des rejets industriels au pays. L'outil calcule la concentration environnementale estimée (CEE). L'équation et les paramètres utilisés pour la calculer dans le cours d'eau récepteur sont décrits dans le rapport sur l'IGETA concernant l'ATAEP (Environnement Canada, 2008e). En supposant une quantité de fabrication égale à celle qui a été déclarée lors de l'enquête menée en 2006 en vertu de l'article 71 (remarque : la quantité exacte et les utilisations constituent des renseignements commerciaux confidentiels), la CEE dans l'eau selon un scénario prudent (c.-à-d. une unité de production ayant un taux de rejet dans les égouts de 5 % et un taux nul de récupération durant le traitement des eaux usées, les rejets dans un petit plan d'eau de surface générique) ne dépasse pas la concentration environnementale estimée sans effet (CESE = 0,0019 mg/L), car le quotient de risque (CEE/CESE) est inférieur à 1. Par conséquent, les rejets industriels dans l'eau de l'ATAEP ne devraient pas avoir d'effets nocifs sur les organismes aquatiques.
Eau : utilisation par le consommateur
Selon de récentes données sur l'utilisation (Environnement Canada, 2006), l'ATAEP a été employé dans des produits de grande consommation comme des parfums, des produits de rasage, des produits capillaires, des crèmes pour le visage et des lotions comme des crèmes solaires au cours de l'année civile 2005. Pour évaluer les rejets dans l'eau attribuables à ces utilisations dans « l'égout » par les consommateurs, on a utilisé l'outil MegaFlush d'Environnement Canada (Environnement Canada, 2008d). Comme pour la séquence d'utilisation du modèle de l'IGETA, on a eu recours à des hypothèses prudentes (p. ex., la quantité totale d'ATAEP est de 1000 kg - soit l'équivalent de la tranche supérieure du seuil de déclaration en vertu de l'article 71 fixé pour 2006 - dont la totalité est rejetée dans les égouts sans élimination de STP). Les résultats de l'outil MegaFlush pour l'ATAEP (Environnement Canada, 2008f) indiquent que les quotients de risque de tous les scénarios sont inférieurs à un, ce qui indique que l'utilisation de l'ATEP au Canada risque peu d'avoir des effets nocifs sur les organismes aquatiques.
Sol
Même si presque tout l'ATAEP produit au Canada était rejeté dans le sol, vu la faible quantité en cause et le type d'utilisation (renseignements confidentiels), on s'attend à ce que les organismes vivant dans le sol soient peu exposés. Même s'il est possible que de faibles quantités de déchets contenant de l'ATAEP soient déposées sur le sol, de telles pratiques risquent peu d'être nocives pour l'environnement lorsque les lignes directrices provinciales à cet égard sont respectées. Par conséquent, l'ATAEP ne devrait pas poser un risque important pour les organismes vivant dans le sol au Canada.
Caractérisation des risques pour l'environnement
Les quantités d'ATAEP importées ou fabriquées au Canada ne sont pas particulièrement importantes et les quantités utilisées semblent avoir diminué depuis le milieu des années 1980. Cependant, en raison des utilisations dispersives de l'ATAEPpar les consommateurs, celui-ci pourrait être rejeté sur une grande superficiedans l'environnement au Canada. L'ATAEP n'est cependantpas persistant dans l'environnement et il est peu susceptible de se bioaccumuler en grandes quantités. Il a aussi été démontré que cette substance présentait une toxicité relativement élevéepour les organismes aquatiques.
Ces renseignements, jumelés aux renseignements contenus dans les scénarios sur l'exposition qui sont présentés ci-dessus, indiquent que l'ATAEP est peu susceptible de causer des effets écologiques nocifs au Canada.
Incertitudes dans l'évaluation des risques pour l'environnement
Vu que l'ATAEP est une substance de composition variable, on a cherché et utilisé une structure représentative pour en déterminer les propriétés physiques et chimiques, la persistance, la bioaccumulation et la toxicité ainsi que dans la modélisation subséquente au cours de l'évaluation. Des incertitudes règnent quant à la structure choisie et aux estimations faites au moyen de la RQSA concernant les propriétés de la substance; afin de compenser ces incertitudes, on a émis des hypothèses prudentes.
Des incertitudes sont aussi associées aux scénarios qui ont été élaborés concernant l'exposition, ce qui résulte de l'application d'un degré moyen à relativement élevé de conservatisme.
Pour ce qui est de l'écotoxicité, le comportement de répartition prévu de ce produit chimique montre que les données disponibles sur les effets ne permettent pas d'évaluer comme il se doit l'importance du sol et des sédiments comme milieu d'exposition. En effet, les seules données sur les effets qui ont été trouvées s'appliquent principalement aux expositions aquatiques pélagiques, même si la colonne d'eau peut ne pas être le moyen le plus préoccupant d'après les estimations sur la répartition et les rejets.
Conclusion
D'après les renseignements contenus dans le rapport d'évaluation préalable, les ATACP ne pénètrent pas dans l'environnement en une quantité, à une concentration ou dans des conditions qui ont ou peuvent avoir un effet nuisible immédiat ou à long terme sur l'environnement ou sa diversité biologique, ou qui constituent ou peuvent constituer un danger pour l'environnement essentiel pour la vie.
Il est donc proposé de conclure que l'ATAEP ne correspond pas à la définition de « substance toxique » au sens de l'article 64 de la LCPE (1999). De plus, cette substance ne répond pas aux critères de la persistance et du potentiel de bioaccumulation énoncés dans le Règlement sur la persistance et la bioaccumulation (Canada, 2000).
Références
[ADME Boxes] [module logiciel de bureau]. 2008. Version 3.5. Toronto (Ont.) : Pharma Algorithms. http://pharma-algorithms.com/adme_boxes.htm
[AOPWIN] Atmospheric Oxidation Program for Windows [modèle d'estimation]. 2000. Version 1.91. Washington (DC) : U.S. Environmental Protection Agency, Office of Pollution Prevention and Toxics; Syracuse (NY) : Syracuse Research Corporation. http://www.epa.gov/oppt/exposure/pubs/episuite.htm
Arnot, J.A., Gobas, F.A.P.C. 2003. A generic QSAR for assessing the bioaccumulation potential of organic chemicals in aquatic food webs. QSAR Comb. Sci. 22(3):337-345.
Aronson, D., Howard, P.H. 1999. Evaluating potential POP/PBT compounds for environmental persistence. North Syracuse (NY) : Syracuse Research Corp., Environmental Science Centre. Report No.: SRC-TR-99-020.
Aronson, D., Boethling R.., Howard, P.W., Stiteler, W. 2006. Estimating biodegradation half-lives for use in chemical screening. Chemosphere63(11):1953-1960.
[BCFWIN] BioConcentration Factor Program for Windows [modèle d'estimation]. 2000. Version 2.15. Washington (DC) : U.S. Environmental Protection Agency, Office of Pollution Prevention and Toxics; Syracuse (NY) : Syracuse Research Corporation. http://www.epa.gov/oppt/exposure/pubs/episuite.htm
Beyer, A., Mackay, D., Matthies, M., Wania, F, Webster, E. 2000. Assessing long-range transport potential of persistent organic pollutants. Environ. Sci. Technol. 34(4):699-703.
[BIOWIN] Biodegradation Probability Program for Windows [modèle d'estimation]. 2000. Version 4.02. Washington (DC) : U.S. Environmental Protection Agency, Office of Pollution Prevention and Toxics; Syracuse (NY) : Syracuse Research Corporation. http://www.epa.gov/oppt/exposure/pubs/episuite.htm
Boethling, R.S., Howard, P.H., Beauman, J.A., Larosche, M.E. 1995. Factors for intermedia extrapolations in biodegradability assessment. Chemosphere 30(4):741-752.
Canada. 1999. Loi canadienne sur la protection de l'environnement (1999), L.C. 1999, chap. 33. Gazette du Canada , Partie III, vol. 22, no 3. http://canadagazette.gc.ca/partIII/1999/g3-02203.pdf
Canada. 2000. Loi canadienne sur la protection de l'environnement (1999) : Règlement sur la persistance et la bioaccumulation, C.P. 2000-348, 23 mars 2000, DORS/2000-107, Gazette du Canada, Partie II, vol. 134, no 7, p. 607-612. http://canadagazette.gc.ca/partII/2000/20000329/pdf/g2-3407.pdf
Canada. Ministère de l'Environnement, ministère de la Santé. 2007. Loi canadienne sur la protection de l'environnement, 1999 : Avis de quatrième divulgation d'information technique concernant les substances identifiées dans le Défi. Gazette du Canada, Partie I, vol. 141. no 46, p. 3192-3197. http://canadagazette.gc.ca/partI/2007/20071117/pdf/g1-14146.pdf
[CATABOL] Probabilistic assessment of biodegradability and metabolic pathways [modèle informatique]. c2004-2008. Version 5.10.2. Bourgas (Bulgarie) : Bourgas Prof. Assen Zlatarov University, Laboratory of Mathematical Chemistry. http://oasis-lmc.org/?section=software&swid=1
Dimitrov, S., Dimitrova, N., Parkerton, T., Comber, M., Bonnell, M., Mekenyan, O. 2005. Base-line model for identifying the bioaccumulation potential of chemicals. SAR QSAR Environ Res 16(6):531-554.
Di Toro, D.M., Zarba, C.S., Hansen, D. J., Berry, W. J., Swartz, R. C., Cowan. C.E., Pavlou, S.P., Allen, H.E., Thomas, N.A., Paquin, P.R. 1991. Technical basis for establishing sediment quality criteria for nonionic organic chemicals using equilibrium partitioning. 1991. Environ. Toxicol. Chem.10(2):1541-1583.
[ECOSAR] Ecological Structural Activity Relationships [Internet]. 2004. Version 0.99h. Washington (DC) : U.S. Environmental Protection Agency, Office of Pollution Prevention and Toxics; Syracuse (NY) : Syracuse Research Corporation. http://www.epa.gov/oppt/exposure/pubs/episuite.htm
Environnement Canada. 1986. Rapport sur la Liste intérieure des substances. Basé sur des données recueillies pour l'enquête sur la Liste intérieure des substances de 1984 à 1986. Gatineau (Qc) : Environnement Canada, Division des substances nouvelles. Disponible sur demande auprès de : Division des substances nouvelles, Environnement Canada. Ottawa, K1A 0H3.
Environnement Canada. 2001. Screening level ecological risk assessments for existing substances under the Canadian Environmental Protection Act, 1999: Guidance manual.
Environnement Canada. 2007. Données sur certaines substances recueillies en vertu de l'article 71 de la Loi canadienne sur la protection de l'environnement (1999) : Avis concernant certaines substances considérées comme priorités pour suivi.. Données préparées par : Environnement Canada, Santé Canada, Programme des substances existantes.
Environnement Canada. 2008a. Données sur l'ionisation pour les substances du lot 4. Document provisoire interne. Gatineau (Qc) : Environnement Canada, Division des substances existantes. Disponible sur demande.
Environnement Canada. 2008b. Données sur les substances du lot 4 recueillies en vertu de l'article 71 de la Loi canadienne sur la protection de l'environnement (1999), : Avis concernant certaines substances identifiées dans le Défi, publié le 9 décembre 2006 dans l'Avis d'intention d'élaborer et de mettre en uvre des mesures d'évaluation et de gestion des risques que certaines substances présentent pour la santé des Canadiens et leur environnement. Préparées par : Environnement Canada, Santé Canada, Programme des substances existantes.
Environnement Canada. 2008c. Assumptions, limitations and uncertainties of the Mass Flow Tool for ATAEP, CAS RN 68308-48-5. Document provisoire interne. Gatineau (Qc) : Environnement Canada, Division des substances existantes. Disponible sur demande.
Environnement Canada. 2008d. Guidance for conducting ecological assessments under CEPA, 1999 : science resource technical series, technical guidance module : Mega Flush consumer release scenario. Document de travail préliminaire. Gatineau (Qc) : Environnement Canada, Division des substances existantes.
Environnement Canada. 2008e. IGETA report : CAS RN 68308-48-5, 2008-07-31. Rapport inédit. Gatineau (Qc) : Environnement Canada, Division des substances existantes.
Environnement Canada. 2008f. MegaFlush report : CAS RN 68308-48-5, 2008-09-05. Rapport inédit. Gatineau (Qc) : Environnement Canada, Division des substances existantes.
[EPIWIN] Estimation Programs Interface for Microsoft Windows [modèle d'estimation]. 2004. (Version 3.12) Washington (DC) : U.S. Environmental Protection Agency, Office of Pollution Prevention and Toxics; Syracuse (NY) : Syracuse Research Corporation. http://www.epa.gov/oppt/exposure/pubs/episuite.htm
[HENRYWIN] Henry's Law Constant Program for Microsoft Windows [modèle d'estimation]. 2000. Version 3.10. Washington (DC) : U.S. Environmental Protection Agency, Office of Pollution Prevention and Toxics; Syracuse (NY) : Syracuse Research Corporation. http://www.epa.gov/oppt/exposure/pubs/episuite.htm
[HYDROWIN] Hydrolysis Rates Program for Microsoft Windows [modèle d'estimation]. 2000. Version 1.67. Washington (DC) : U.S. Environmental Protection Agency, Office of Pollution Prevention and Toxics; Syracuse (NY) : Syracuse Research Corporation. http://www.epa.gov/oppt/exposure/pubs/episuite.htm
[KOWWIN] Octanol-Water Partition Coefficient Program for Microsoft Windows [modèle d'estimation]. 2000. Version 1.67. Washington (DC) : U.S. Environmental Protection Agency, Office of Pollution Prevention and Toxics; Syracuse (NY) : Syracuse Research Corporation. http://www.epa.gov/oppt/exposure/pubs/episuite.htm
[MPBPWIN] Melting Point Boiling Point Program for Microsoft Windows [modèle d'estimation]. 2000. Version 1.41. Washington (DC) : U.S. Environmental Protection Agency, Office of Pollution Prevention and Toxics; Syracuse (NY) : Syracuse Research Corporation. http://www.epa.gov/oppt/exposure/pubs/episuite.htm
Mekenyan, G., Dimitrov, S.D., Pavlov, T.S., Veith, G.D. 2005. POPs: A QSAR system for creating PBT profiles of chemicals and their chemicals and their metabolites. SAR QSAR Environ Res, 16(1-2):103-133.
[NCI] National Chemical Inventories [base de données sur CD-ROM]. 2006. Columbus (OH) : American Chemical Society, Chemical Abstracts Service. [consulté le 11 décembre 2006]. http://www.cas.org/products/cd/nci/require.html
[PCKOCWIN] Organic Carbon Partition Coefficient Program for Windows [modèle d'estimation]. 2000. Version 1.66. Washington (DC) : U.S. Environmental Protection Agency, Office of Pollution Prevention and Toxics; Syracuse (NY) : Syracuse Research Corporation. http://www.epa.gov/oppt/exposure/pubs/episuite.htm
[SPIN] Substances in Products in Nordic Countries [base de données sur Internet]. 2006. Financé par le Conseil des ministres des pays nordiques, Groupe chimique. [consulté en décembre 2006]. http://195.215.251.229/Dotnetnuke/Home/tabid/58/Default.aspx
[TaPL3] Long Range Transport and Persistence Level III model [Internet]. 2000. Version 2.10. Peterborough (Ont.) : Université Trent, Canadian Environmental Modelling Centre. http://www.trentu.ca/academic/aminss/envmodel/models/TaPL3.html
[TOPKAT] Toxicity Prediction by Komputer Assisted Technology [Internet]. 2004. Version 6.2. San Diego (CA): Accelrys Software Inc. [consulté le 11 août 2006]. http://www.accelrys.com/products/topkat/index.html
[WSKOWWIN] Water Solubility for Organic Compounds Program for Microsoft Windows[modèle d'estimation]. 2000. Version 1.41 Washington (DC) : U.S. Environmental Protection Agency, Office of Pollution Prevention and Toxics; Syracuse (NY) : Syracuse Research Corporation. http://www.epa.gov/oppt/exposure/pubs/episuite.htm
[U.S. EPA] U.S. Environmental Protection Agency. 2002. PBT Profiler Methodology [Internet]. Washington (DC): U.S. EPA, Office of Pollution Prevention and Toxics. [consulté en juillet 2008]. http://www.pbtprofiler.net/methodology.asp
Annexe I - Tableau sommaire des intrants des modèles de la persistance, de la bioaccumulation et de la toxicité
| Propriétés physico-chimiques /devenir | Devenir | Devenir | Devenir | Devenir | Profil de persistance, bioaccumulation et toxicité | Écotoxicité | |
|---|---|---|---|---|---|---|---|
| Paramètres d'entrée des modèles | Suite EPIWIN (tous les modèles, notamment : AOPWIN, KOCWIN, BCFWIN BIOWIN et ECOSAR) | STP (1) ASTreat (2) SimpleTreat (3) (différents intrants requis selon le modèle) | EQC (différents intrants requis selon le type de substances - type I ou II) | TaPL3 (différents intrants requis selon le type de substances - type 1 ou 2) | Modèle d'Arnot et Gobas pour le FBC/FBA | Modèle de POP canadien (incluant : Catabol, modèle du FBC avec facteurs atténuants, modèle de toxicité OASIS) | Artificial IntelligenceExpert System (AIES)/ TOPKAT/ASTER |
| Code SMILES | CCCCC CCCCC CCCCC CCCNC COCCO CCOCC OCCOP (=O)(O) O |
CCCCC CCCCC CCCCC CCCNC COCCO CCOCC OCCOP (=O)(O) O |
CCCCC CCCCC CCCCC CCCNC COCCO CCOCC OCCOP (=O)(O) O |
CCCCC CCCCC CCCCC CCCNC COCCO CCOCC OCCOP (=O)(O) O |
|||
| Masse moléculaire (g/mol) | 569,77 g/mol | 569,77 g/mol | 569,77 g/mol | ||||
| Point de fusion (°C) | 90,27 | 90,27 | 90,27 | ||||
| Point d'ébullition (°C) | 480 | ||||||
| Température des données (ºC) | 20 | 20 | 20 | ||||
| Masse volumique (kg/m3) | données non disponibles | ||||||
| Pression de vapeur (Pa) | 8,07 × 10-9 | 8,07 × 10-9 | 8,07 × 10-9 | 8,07 × 10-9 | |||
| Constante de la loi de Henry (Pa·m3/mol) | 2,27 × 10-16 | ||||||
| Log Koe (coefficient de partage octanol-eau) [sans dimension] | |||||||
| Log Koe (coefficient de partage octanol-eau, sans dimension) | 6,02 | 6,02 | 6,02 | 6,02 | 6,02 | ||
| Koe (coefficient de partage octanol-eau, sans dimension) | |||||||
| Log Kco (coefficient de partage carbone organique/eau - L/kg) | 3,95 | ||||||
| Solubilité dans l'eau (mg/L) | 0,0185 | 0,0185 | 0,0185 | 0,0185 | |||
| Log Koe (coefficient de partage octanol-eau, sans dimension) | |||||||
| Coefficient de partage sol-eau (L/kg)Note de bas de tableaul | |||||||
| Coefficient de partage sédiments-eau (L/kg)Note de bas de tableaul | |||||||
| (Coefficient de partage particules en suspension/eau - L/kg)Note de bas de tableaul | |||||||
| Coefficient d partage poisson-eau (L/kg)Note de bas de tableaum | |||||||
| Coefficient de partage aérosol-eau (sans dimension)Note de bas de tableaun | |||||||
| Coefficient de partage végétation-eau (sans dimension)Note de bas de tableaul | |||||||
| Enthalpie (Koe) | |||||||
| Enthalpie (Kae) | |||||||
| Demi-vie (jours) | |||||||
| Demi-vie (jours) | |||||||
| Demi-vie (jours) | |||||||
| Demi-vie dans le sol (jours) | |||||||
| Demi-vie dans la végétation (jours)Note de bas de tableauo | |||||||
| Constante cinétique de métabolisme (1/jour) | 0,0256 | ||||||
| Constante cinétique de biodégradation (1/jour) ou (1/heure) -préciser | |||||||
| Demi-vie de biodégradation en clarificateur primaire (t½-p)(h) | 6930 | ||||||
| Demi-vie de biodégradation en bassin d'aération (t½-s) (h) | 693 | ||||||
| Demi-vie de biodégradation en bassin de décantation (t½-s) (h) | 693 |
