Conseils sur l'utilisation de l'évaluation quantitative du risque microbien dans l'eau potable

Télécharger le rapport complet
(Format PDF, 1014 KB, 53 pages)
Organisation : Santé Canada
Type : Lignes directrices
Date publiée : 2019-07-12
Santé Canada
Juillet 2019
Table des matières
- Remerciements
- Sommaire
- Considérations internationales
- Partie A. Conseils sur l'utilisation de l'ÉQRM dans l'eau potable
- A.1 Introduction et contexte
- A.2 Déterminer une approche d'évaluation de risques
- A.3 Analyses de sensibilité : tenir compte de la variabilité et de l'incertitude dans l'évaluation de risques
- A.4 Hypothèses et limites associées aux évaluations de risques
- A.5 Comprendre les estimations de risques
- A.6 Application de l'ÉQRM dans la gestion de la salubrité de l'eau
- Partie B. Description du modèle d'ÉQRM de SC
- Partie C. Références et acronymes
Remerciements
L'élaboration du modèle d'ÉQRM de Santé Canada a mobilisé des personnes de différentes organisations à l'extérieur de Santé Canada. Nous tenons tout particulièrement à remercier Ian Douglas et Joshua Elliott, de la ville d'Ottawa, pour leur importante contribution.
Sommaire
L'évaluation quantitative du risque microbien (ÉQRM) est une approche à la disposition des organismes réglementaires et des autorités en matière d'eau potable pour la quantification des risques pour la santé associés aux microorganismes présents dans les sources d'eau. Elle utilise une approche courante qui comporte la détermination des dangers, l'évaluation de l'exposition, l'évaluation de la relation dose-réponse et la caractérisation des risques. L'ÉQRM permet d'examiner le système d'eau potable en entier, de la source d'eau jusqu'au consommateur, afin d'en comprendre les effets possibles sur la santé publique. Santé Canada a élaboré et utilise un modèle d'ÉQRM afin de faciliter l'établissement des recommandations pour la qualité de l'eau potable relatives aux virus et aux protozoaires entériques. Le modèle peut aussi être utilisé pour évaluer les risques propres à un site dans les installations de traitement d'eau potable.
L'ÉQRM peut s'avérer un outil très utile pour étayer les décisions liées à la gestion de la salubrité de l'eau. Une ÉQRM bien formulée et soignée peut offrir des renseignements importants sur l'établissement des priorités notamment en matière de dangers et des options en matière de gestion du risque, la sélection des interventions appropriées, l'analyse coût/bénéfice des mesures de gestion du risque et l'établissement d'objectifs de rendement en matière de santé. Il est important de se rappeler que l'ÉQRM ne calcule pas les résultats réels de maladies, mais qu'elle fournit une mesure de la probabilité d'une maladie selon les renseignements entrés sur la qualité de l'eau et le système de traitement.
Le but de ce document est de fournir aux intervenants de l'industrie, par exemple les autorités réglementaires provinciales et territoriales, aux décideurs, aux propriétaires de systèmes d'eau potable et aux consultants des conseils sur l'utilisation de l'ÉQRM pour les aider à comprendre les risques microbiologiques associés aux systèmes d'eau au Canada.
Considérations internationales
Les recommandations, normes ou directives relatives à la qualité de l'eau potable établies par des gouvernements étrangers ou des agences internationales peuvent varier en raison des connaissances scientifiques disponibles au moment de l'évaluation, ainsi que de l'utilisation de différentes politiques et approches.
L'ÉQRM est de plus en plus utilisé par les organisations internationales et tous les paliers de gouvernement comme fondement pour étayer une prise de décision informée sur les risques pour la santé associés aux microorganismes pathogènes présents dans l'eau potable. L'Organisation mondiale de la Santé, la Commission Européenne, les Pays-Bas, l'Australie et les États-Unis ont tous fait des progrès importants sur la validation et la méthodologie de l'ÉQRM. Ces organisations et gouvernements ont adopté des approches qui utilisent l'ÉQRM en vue d'élaborer des objectifs en matière de santé et de gestion des risques associés aux contaminants microbiologiques.
Partie A. Conseils sur l'utilisation de l'ÉQRM dans l'eau potable
A.1 Introduction et contexte
Les « Recommandations pour la qualité de l'eau potable au Canada » conseille l'adoption d'une approche à procédés multiples, de la source au robinet, afin de produire une eau potable salubre, sûre et fiable (Santé Canada, 2013a). L'évaluation quantitative du risque microbien (ÉQRM) peut faire partie de cette approche de la source au robinet. L'ÉQRM permet d'examiner le système d'eau potable au complet, de la concentration d'agents pathogènes dans la source d'eau jusqu'au consommateur, en passant par le procédé de traitement, afin de connaître les effets possibles sur la santé publique. Elle s'inscrit dans une stratégie commune qui comporte quatre volets : la détermination des dangers, l'évaluation de l'exposition, l'évaluation de la relation dose-réponse et la caractérisation des risques. Selon cette approche, Santé Canada a élaboré un modèle d'ÉQRM afin de fixer des valeurs recommandées relatives aux virus et aux protozoaires entériques présents dans l'eau potable et d'inciter la mise en œuvre d'évaluations de risques propres à chaque site au sein des installations de traitement d'eau potable. Le modèle d'ÉQRM de Santé Canada (ÉQRM de SC) n'évalue pas les risques liés au réseau de distribution. Pour obtenir un exemplaire du modèle, il suffit d'envoyer un courriel à hc.water-eau.sc@canada.ca.
L'objet du présent document comporte deux volets : donner un aperçu des facteurs, y compris les hypothèses et les limites, qui doivent être pris en considération aux fins des évaluations des risques propres à chaque site; et décrire les principes, les équations et les valeurs tirées de publications utilisées dans le modèle d'ÉQRM de SC. Le document est divisé en deux sections. La partie A offre des conseils généraux sur l'utilisation de l'ÉQRM et s'adresse aux personnes qui portent un intérêt ou ont une responsabilité envers la qualité et la salubrité de l'eau potable. La partie B fournit des renseignements détaillés sur le modèle d'ÉQRM de SC, ainsi que quelques scénarios d'application. Ces renseignements sont destinés aux personnes qui souhaitent mieux comprendre et éventuellement utiliser l'outil d'ÉQRM qui a été élaboré par SC. En exposant dans un seul document les facteurs généraux à prendre en considération (partie A) dans le cadre de l'ÉQRM ainsi que les renseignements sur l'élaboration du modèle de SC, l'objectif est de fournir un document qui peut servir à améliorer les connaissances sur l'ÉQRM et sa mise en œuvre dans le cadre d'une approche de la source au robinet au Canada. Le présent document ne fournit pas d'instructions détaillées sur la façon de réaliser des évaluations de risques propres à chaque site. Des exemples d'analyses de certaines sources d'approvisionnement en eau potable qui s'inscrivent dans le cadre d'une ÉQRM peuvent être consultés dans d'autres documents (OMS, 2016; Bartrand et coll., 2017a,b).
A.2 Déterminer une approche d'évaluation de risques
Il existe de nombreuses méthodes d'évaluation de risques qui peuvent faire partie d'une stratégie de la source au robinet ou d'un plan de salubrité de l'eau à l'égard de la gestion de l'eau potable. Ces méthodes vont des approches qualitatives au approches quantitatives. La publication de l'OMS sur l'évaluation de risques (OMS, 2016) présente un bon aperçu des forces et des limites de chacune des différentes méthodes d'évaluation de risques, ainsi que des conseils généraux sur la façon de déterminer quand et comment elles devraient être utilisées. Toutes les méthodes d'évaluation des risques, qu'elles soient qualitatives ou quantitatives, permettront aux sociétés de services publics d'acquérir une meilleure connaissance de leur réseau de distribution d'eau potable et des risques potentiels associés à l'approvisionnement. La mise en œuvre de ces méthodes ne doit pas se résumer à un exercice bureaucratique. Toutes les méthodes d'évaluation des risques nécessitent que des personnes compétentes fassent une inspection visuelle du système d'approvisionnement en eau afin de cerner les conditions qui pourraient mener à la présence d'agents pathogènes microbiens et de déterminer les mesures de contrôle en place qui permettent de gérer les risques.
Le type d'évaluation de risques nécessaire pour un système d'eau donné devrait être déterminé en fonction de chaque site, étant donné que le type et le degré de risque microbien varieront selon les systèmes. De façon générale, la méthode d'évaluation des risques utilisée devrait consister à trouver un équilibre entre le degré de détail et de complexité et la quantité de données probantes, et la nécessité d'avoir recours à des hypothèses et à des avis d'experts pour mettre en œuvre une méthode aussi complexe que nécessaire dans le but de prendre des décisions sur les options de gestion des risques (U.S. EPA, 2014; OMS, 2016).
La première étape d'une évaluation de risques vise à déterminer la portée de celle-ci en ciblant les questions auxquelles il faut répondre. Les évaluations de risques peuvent être entreprises pour diverses raisons (U.S. EPA, 2014), notamment pour :
- évaluer les risques pour les humains liés à l'exposition à un agent pathogène connu;
- déterminer les points de contrôle critiques dans le système d'eau potable;
- déterminer des procédés de traitement particuliers afin de diminuer la concentration des différents agents pathogènes;
- prévoir les conséquences qui pourraient découler des diverses options de gestion visant à réduire les risques;
- cerner les besoins en matière de recherche et les classer par ordre de priorité;
- appuyer les enquêtes épidémiologiques.
Une fois la portée du problème définie, les autres facteurs clés à prendre en compte lors de la détermination du type d'évaluation des risques qui convient sont les ressources humaines disponibles (p. ex. niveaux de connaissances et de compétences du personnel, soutien provenant de spécialistes de l'extérieur) et le type de système d'approvisionnement (système de petite taille ou éloigné comparativement à un service public d'envergure moyenne ou grande) (OMS, 2016).
L'évaluation pourrait être qualitative, comme une inspection sanitaire, ou semi-quantitative, comme l'utilisation de matrices de risques. Pour ce qui est des évaluations qualitatives, il peut s'agir d'une simple liste de vérification qui accompagne l'inspection sanitaire et dont le nombre de réponses « oui » et non » détermine un élément de risque élevé, moyen ou faible du système. Par exemple, selon la question posée, il se peut qu'un petit système utilisant une source souterraine protégée ne requière pas d'évaluation plus complexe qu'une évaluation qualitative. Cependant, si l'évaluation qualitative révèle des composants à risque élevé dans le système, des mesures correctives ou une enquête et une évaluation plus poussées pourraient s'avérer nécessaires. Tel qu'il a été précisé ci-dessus, la méthode d'évaluation de risques utilisée doit être seulement aussi complexe que nécessaire pour permettre de répondre aux questions posées. Il est néanmoins recommandé que toutes les évaluations de risques fournissent un certain niveau de quantification afin d'aider les gestionnaires de risque à établir les priorités en matière de tâches (OMS, 2016).
Les méthodes d'évaluations quantitatives des risques peuvent varier entre des évaluations préliminaires qui comportent des estimations ponctuelles simples et des évaluations probabilistes de risques qui comprennent une analyse d'incertitude. Les modèles d'ÉQRM qui utilisent des estimations ponctuelles des variables d'entrée, comme des valeurs de moyennes arithmétiques, sont reconnus comme étant des modèles déterministes. Les modèles probabilistes d'ÉQRM utilisent des distributions statistiques des variables d'entrée au lieu de valeurs uniques. Définir ces distributions statistiques pour chaque variable d'entrée nécessite des données et des connaissances plus exhaustives que l'utilisation d'une approche déterministe. De nombreux modèles d'évaluation de risques combinent des éléments déterministes et probabilistes au sein du même modèle.
Les évaluations quantitatives de risques peuvent également être appliquées sous la forme d'une approche progressive. À titre d'exemple, une évaluation préliminaire pourrait être réalisée afin de fournir des indications qui permettraient de savoir si le système est bien supérieur, est bien inférieur ou respecte tout juste les exigences permises relatives à l'eau potable. Ces renseignements pourraient alors aider à établir des priorités en matière de ressources. Dans le cas de données très limitées, les ressources pourraient être mises à meilleure contribution si elles mettaient en œuvre des mesures de contrôle du système fondées sur les résultats de l'évaluation préliminaire au lieu de recueillir les données nécessaires pour mener une évaluation probabiliste approfondie.
A.3 Analyses de sensibilité : tenir compte de la variabilité et de l'incertitude dans l'évaluation de risques
Les analyses de sensibilité qui comportent des évaluations de la variabilité et de l'incertitude devraient être intégrées, dans la mesure du possible, dans l'évaluation de risques. La variabilité correspond à la variation naturelle dans les éléments d'un système et ne peut être réduite. Il s'agit toutefois d'un facteur qui peut être mieux caractérisé en recueillant des données supplémentaires. Il existe une variabilité dans tous les éléments d'une évaluation de risques, dont les concentrations d'agents pathogènes, le rendement du traitement et les caractéristiques de la relation dose-réponse. D'autre part, l'incertitude reflète le manque de connaissances sur certains éléments qui ont une incidence sur le résultat d'une évaluation de risques ou l'incapacité de les mesurer de façon précise. L'incertitude peut découler de diverses sources, dont le manque d'information sur le système qui fait l'objet d'une évaluation; le manque de données locales, lesquelles pourraient ne pas être représentatives de l'éventail de valeurs attendues pour ce système; et les distributions statistiques qui ont été sélectionnées pour représenter les données du système (OMS, 2016). Il est possible de réduire l'incertitude grâce à une caractérisation plus poussée de paramètres d'entrée du modèle.
La variabilité et l'incertitude font régulièrement partie des évaluations probabilistes approfondies (c.-à-d., modèles stochastiques). Elles sont incorporées à l'aide des distributions statistiques des paramètres d'entrée dans le modèle d'évaluation de risques, en fonction des données disponibles sur le système. Cerner de façon appropriée la variabilité et l'incertitude dans les paramètres d'entrée aux fins d'utilisation dans les modèles probabilistes constitue l'obstacle le plus courant à l'utilisation d'une approche stochastique (U.S. EPA, 2014). La variabilité et l'incertitude peuvent également être comprises dans les évaluations préliminaires effectuées au moyen d'estimations ponctuelles (c.-à-d., modèles déterministes). Dans le cadre des modèles déterministes, la variabilité et l'incertitude sont habituellement incorporées à l'aide de scénarios (comme les hypothèses les plus optimistes et pessimistes), ce qui peut aider les gestionnaires de risques à connaître l'éventail probable de risques. Si une évaluation préliminaire était réalisée avec seulement la limite supérieure d'incertitude de chaque paramètre, le risque estimé qui en découlerait serait beaucoup trop prudent et ne serait pas vraiment représentatif du risque à la population. Le recours à des scénarios peut aider à déterminer les prochaines étapes à suivre, notamment pour déterminer si un système tirerait avantage de l'adoption d'une approche par modélisation stochastique plus complexe afin de peaufiner l'évaluation de risques, ou si les ressources seraient mises à meilleure contribution en atténuant les facteurs de risques qui ont été cernés lors de l'évaluation préliminaire. L'OMS (2016) donne des exemples de moyens d'intégrer la variabilité et l'incertitude aux évaluations de risques. Les modèles stochastiques et déterministes peuvent également comprendre une analyse de sensibilité (U.S. EPA, 2014; OMS, 2016). En général, on mène une analyse de sensibilité en variant un paramètre d'entrée (dans sa plage de valeurs prévue) tout en maintenant l'ensemble des autres variables statiques à leurs valeurs de base, et en en consignant l'incidence sur le risque sanitaire estimé. À mesure que ce processus est répété pour toutes les variables d'intérêt, il est possible de déterminer celles qui ont la plus grande incidence sur le risque sanitaire estimé, c'est-à-dire dans quelle mesure le modèle est sensible à l'égard de chaque variable d'entrée. Un tel processus aide à déterminer les facteurs de risque pour un système d'approvisionnement en eau donné.
A.4 Hypothèses et limites associées aux évaluations de risques
De nombreuses hypothèses et limites s'appliquent à la mise en œuvre des évaluations des risques dans le cadre de la gestion de l'eau potable. Les hypothèses sont formulées par les modélisateurs lorsque ces derniers mettent au point des modèles d'évaluation de risques, ainsi que par les analystes et les gestionnaires lorsqu'ils saisissent des données dans le cadre d'une évaluation de risques. Par exemple, les hypothèses formulées par les modélisateurs qui élaborent un modèle comprennent la sélection de la forme de la distribution à appliquer à un paramètre donné (p. ex., normal, log-normal, triangulaire) et la détermination du modèle dose-réponse qui sera utilisée pour chaque agent pathogène. Ces hypothèses ne sont habituellement pas modifiées dans le cadre d'évaluations individuelles des risques. La partie B du présent document renferme les hypothèses utilisées dans l'élaboration du modèle d'ÉQRM de SC. En ce qui concerne les saisies de données, il pourrait être nécessaire de formuler des hypothèses afin de pallier les données inconnues ou limitées ou de réduire au minimum le niveau de complexité de l'évaluation. De façon générale, les estimations des concentrations des agents pathogènes, l'efficacité du système de traitement et les renseignements sur l'exposition constituent les intrants de modèle qui font l'objet d'hypothèses par les analystes et les gestionnaires de risque. Afin de bien interpréter les estimations de risques, les limites et les hypothèses associées à une évaluation de risques doivent être bien documentées et comprises.
A.4.1 Estimations des concentrations d'agents pathogènes
Les modèles d'évaluation de risques utilisent les concentrations d'agents pathogènes pour évaluer le risque microbien; des données sur les pathogènes sont donc requises. De façon générale, les estimations des concentrations d'agents pathogènes d'une source d'eau sont limitées par la quantité de renseignements qui sont disponibles concernant l'incertitude et la variabilité des données recueillies sur les agents pathogènes. Tout d'abord, les ensembles de données concernant les agents pathogènes ont tendance à être de petite taille et, par conséquent, ne permettent pas nécessairement de bien cerner la variabilité inhérente à un système. La faible densité des agents pathogènes et la nature épisodique de la charge en agents pathogènes ajoutent à la difficulté de saisir cette variabilité (U.S. EPA, 2014). En outre, plusieurs systèmes ne comportent aucune donnée sur les agents pathogènes et doivent plutôt s'appuyer sur des hypothèses, des publications, l'avis de spécialistes ou une combinaison de ceux-ci. Ensuite, les méthodes disponibles pour détecter les agents pathogènes ne récupèrent pas la totalité des agents pathogènes dans les échantillons, et la récupération varie entre les échantillons, ce qui doit être pris en considération dans le cadre de l'estimation des concentrations. Pour certains agents pathogènes, les données sur la récupération associée à la méthode ne sont pas régulièrement recueillies et, par conséquent, une estimation prudente de la récupération pourrait être requise afin de ne pas sous-estimer le risque. Troisièmement, une foule de types de méthodes de détection peuvent être utilisés, ce qui vient s'ajouter à la complexité des données tirées de publications, car les résultats des différentes méthodes peuvent ne pas être directement comparables. Enfin, de nombreuses méthodes de détection ne font pas la distinction entre les agents pathogènes qui peuvent ou non causer des maladies chez les humains. Cela peut comprendre la détection d'agents pathogènes viables et non viables (p. ex., à l'aide de méthodes moléculaires) ou la détection de souches non connues pour causer des maladies chez les humains. Ces deux situations peuvent mener à une surestimation du risque.
En raison des limites associées, les données sur les agents pathogènes devraient être utilisées en parallèle avec tous les autres renseignements connus sur le système lors d'une évaluation de risques. Les autres renseignements potentiellement utiles sont les données tirées des enquêtes sanitaires, de la surveillance des indicateurs fécaux, des recherches qui retracent les sources microbiennes, de la modélisation du devenir et du transport des sources fécales ou les publications sur un bassin hydrographique donné ou sur d'autres bassins hydrographiques ayant eu un apport de matières fécales similaire (Ashbolt et coll., 2010; U.S. EPA, 2014; OMS, 2016). Toutes ces sources de renseignements devraient prises en considération dans le cadre du processus décisionnel touchant les estimations de la concentration d'agents pathogènes du système, y compris la variabilité et l'incertitude qui y sont associées. D'autres renseignements sont fournis à ce sujet à la section B.2.1.
A.4.2 Efficacité des procédés de traitement
Les renseignements propres à chaque site sur le rendement des procédés de traitement fournissent la meilleure estimation des risques. Les services publics devraient déployer tous les efforts nécessaires pour recueillir le plus de renseignements possible sur leur propre système en utilisant toutes les données qu'ils ont à leur disposition, comme des paramètres de conception ou des évaluations de rendement. Comme beaucoup de systèmes ne détiendront pas suffisamment de renseignements pour que soit pleinement caractérisé le rendement des traitements, il faut, par conséquent, formuler quelques hypothèses. Plusieurs types et configurations de procédés de traitement sont utilisés pour produire de l'eau potable sûre et fiable. La plupart des procédés de traitement couramment utilisés ont fait l'objet d'études approfondies, et il existe des publications sur leur efficacité à diminuer la concentration des contaminants microbiologiques. Malheureusement, la fourchette d'élimination d'un même type de procédé peut varier jusqu'à six ordres de grandeur, en fonction de nombreux facteurs comme les caractéristiques de la qualité de l'eau (p. ex., la température, le contenu organique, le prétraitement), la conception et le fonctionnement de l'usine de traitement (p. ex., la géométrie, les milieux, les taux de charge, l'hydrodynamisme) et les facteurs climatiques (p. ex., la température, les précipitations) (OMS, 2016). Cette variabilité du rendement des procédés peut ajouter une incertitude considérable dans l'estimation des risques lorsqu'un système d'eau potable doit s'appuyer uniquement sur des valeurs tirées de publications. On trouvera de plus amples détails sur le rendement des procédés de traitement à la section B.3.
Il est important de prendre en considération le niveau de détail requis pour le système de traitement et de consigner ensuite toutes les hypothèses qui ont été formulées. Les décisions liées au rendement des procédés de traitement devraient également être prises à la lumière des données qui sont régulièrement publiées, comme les données sur la qualité générale d'une source d'eau et les données sur l'exploitation de l'usine de traitement.
A.4.3 Analyse de l'exposition
Lors de la détermination de l'exposition des personnes à des fins de calcul des risques, des hypothèses sont habituellement formulées afin de simplifier l'évaluation de risques ainsi que d'appliquer l'estimation des risques à toute la population qui utilise la source d'eau potable. En règle générale, on considère que la voie d'exposition se limite à celle qui sert à la consommation de l'eau potable. Il est donc nécessaire d'estimer le volume d'eau consommé par une personne sur une base quotidienne. Selon le modèle d'évaluation de risques, le volume d'eau potable peut être consigné comme une estimation ponctuelle ou une distribution de valeurs. L'hypothèse selon laquelle toutes les personnes sont vulnérables de manière égale à une infection fait partie des autres hypothèses formulées. Certaines des évaluations complexes des risques peuvent comprendre des variables de l'état immunitaire de la population ainsi que la possibilité d'une propagation secondaire des agents pathogènes à d'autres personnes dans la communauté. Ce niveau de détail n'est toutefois typiquement pas disponible. En outre, lorsqu'on s'attend à ce que l'exposition environnementale soit faible, comme ce serait le cas pour l'eau potable traitée, il a été démontré que des risques similaires sont estimés avec ou sans l'ajout de variables liées à la sensibilité ou la propagation secondaire (Soller et Eisenberg, 2008). Ces variables supplémentaires ne sont donc pas intégrées à la plupart des modèles de risques liés à l'eau potable.
A.5 Comprendre les estimations de risques
Les estimations de risques et les objectifs de santé peuvent être exprimés selon différents calendriers et paramètres. Les risques microbiologiques sont habituellement estimés pour les expositions quotidiennes. Les risques quotidiens sont alors combinés pour donner une estimation annuelle des risques. Les objectifs de risque à la santé tolérable sont habituellement exprimés en objectifs annuels de risque au lieu d'objectifs quotidiens de risque. Les objectifs annuels ont pour avantage de permettre une certaine variabilité en matière de qualité de l'eau. À titre d'exemple, des expositions élevées peu fréquentes sont acceptables tant qu'elles sont compensées par des expositions beaucoup plus faibles, de manière que le total combiné pour l'année n'excède pas l'objectif annuel. Si l'on utilise un objectif annuel, il est important qu'il soit établi à un niveau qui ne permet pas que la variabilité de la qualité de l'eau excède une valeur tolérable à court terme. D'autre part, un objectif quotidien peut être utilisé afin d'éviter les risques associés à un pic de présence (Signor et Ashbolt, 2009).
Les paramètres qui sont généralement utilisés pour exprimer les risques comprennent le risque d'infection ou de maladie, ou l'estimation du fardeau sanitaire comme les années de vie corrigées de l'incapacité (AVCI). Les Recommandations pour la qualité de l'eau potable au Canada utilisent une cible annuelle de risque de 1 × 10−6 AVCI par personne par année. L'OMS a adopté cette approche (2004). Les AVCI tiennent compte de la gravité et de la durée des effets de santé associés à chaque agent pathogène. Les agents pathogènes associés à des résultats graves de santé feront l'objet d'une pondération AVCI plus importante, ce qui se traduira par une concentration tolérable réduite qui permettra d'atteindre la cible de risque. D'autres pays, comme les Pays-Bas, utilisent un risque annuel d'infection de 1 × 10−4 comme paramètre de comparaison de l'objectif sanitaire. L'estimation du fardeau sanitaire en AVCI (nombre d'AVCI par personne par année) comprend une étape pour le calcul du risque annuel d'infection.
Plusieurs facteurs doivent être pris en considération dans le cadre de l'interprétation des estimations des risques. Tout d'abord, il faut connaître la qualité des données qui figurent dans l'évaluation, ce qui comprend les hypothèses qui ont été formulées, la manière dont celles-ci ont une incidence sur les estimations des risques et la mesure à laquelle la variabilité et l'incertitude ont été reflétées lors de l'évaluation (y compris relever les lacunes de données et les biais d'échantillonnage). Chaque entrée dans une ÉQRM peut s'appuyer, au besoin, sur des hypothèses et des avis de spécialistes, tant que les questions auxquelles il faut répondre s'inscrivent bien dans le cadre de cette approche. Cependant, si les questions auxquelles il faut répondre par l'évaluation de risques nécessitent une évaluation probabiliste approfondie, les coûts liés à la collecte des données requises pour l'analyse doivent être comparés aux coûts du processus décisionnel fondé sur des hypothèses.
A.6 Application de l'ÉQRM dans la gestion de la salubrité de l'eau
L'ÉQRM peut s'avérer un outil très utile pour appuyer les décisions liées à la gestion de la salubrité de l'eau. Il est important de se rappeler que l'ÉQRM ne calcule pas les résultats réels de maladies, mais qu'elle fournit une mesure de probabilité d'une maladie liée au système d'eau (OMS, 2016). Une ÉQRM bien formulée et soignée peut offrir des renseignements importants sur l'établissement des priorités en matière de dangers, la détermination des autres priorités et options en matière de gestion du risque, la sélection des interventions appropriées, l'analyse coût/bénéfice des mesures de gestion du risque et l'établissement d'objectifs de rendement en matière de santé. Cependant, l'inclusion d'une ÉQRM dans le cadre d'une approche de la source au robinet ou d'un plan de salubrité de l'eau nécessitera un appui de la plupart des services publics pour ce qui est des formations, du partage de données et de la transmission de connaissances par les individus ou les organisations les plus expérimentés. Il est important de connaître les hypothèses sous-jacentes des modèles, les objectifs des calculs ainsi que les limites des résultats pour que l'ÉQRM soit mise en œuvre de façon adéquate (Petterson et Ashbolt, 2016). Dans l'ensemble, l'ÉQRM aide à connaître votre système d'eau et, par conséquent, peut fournir des renseignements précieux sur la gestion des risques.
Partie B. Description du modèle d'ÉQRM de SC
B.1 Aperçu du modèle d'ÉQRM de SC
Le modèle d'ÉQRM de SC a été élaboré il y a plus de dix ans pour faciliter l'établissement de recommandations pour l'eau potable. Depuis qu'il a été élaboré pour la première fois, il a fait l'objet de plusieurs examens et mises à jour. Ces mises à jour visent notamment à fournir un outil qui peut aider les intervenants à évaluer, site par site, les répercussions potentielles de changements de qualité de l'eau à la source et de conditions de traitement, sur l'estimation des risques pour la santé associés à la contamination microbiologique. Les risques associés au réseau de distribution sont absents de la plupart des modèles d'ÉQRM et n'ont pas été inclus dans le présent modèle. Afin d'assurer l'accessibilité du modèle à un grand nombre d'utilisateurs, celui-ci a été élaboré au moyen d'une plateforme logicielle largement utilisée (Microsoft Excel). Des exemples d'autres modèles d'ÉQRM ayant été élaborés sont présentés dans la case B1. Bien qu'il soit largement accessible et relativement facile à utiliser, le modèle d'ÉQRM de SC nécessite tout de même une connaissance approfondie et une prise en compte réfléchie des entrées qui seront utilisées pour un site en particulier. La collecte initiale de données et l'évaluation sur place d'une source d'approvisionnement en eau sont des premières étapes essentielles à la mise en application réussie du modèle.
Case B1 : Modèles mathématiques de l'ÉQRM
Des organisations internationales (U.S. EPA, 2005a, 2006a; Smeets et coll., 2008; Teunis et coll., 2009; Schijven et coll., 2011, 2015), ainsi que d'autres groupes au sein du Canada (Barbeau et coll., 2000; Jaidi et coll., 2009; Pintar et coll., 2012; Murphy et coll., 2016), ont élaboré des modèles mathématiques afin d'évaluer, sur le plan quantitatif, les risques microbiologiques potentiels associés à un système d'eau potable. Ces modèles comprennent les risques potentiels associés aux agents pathogènes bactériologiques, protozoaires et viraux. La plupart des modèles ne sont pas accessibles dans un format téléchargeable et convivial. Cependant, le modèle d'ÉQRM élaboré pour être utilisé à des fins de réglementation aux Pays-Bas (QMRAspot) peut être téléchargé et utilisé par toutes les personnes désirant étudier les risques liés leur système d'approvisionnement en eau potable (Schijven et coll., 2011).
Tel qu'il a été mentionné à la partie A, la première étape d'une évaluation de risques consiste à définir sa portée en déterminant les questions auxquelles il faut répondre et, par conséquent, le type d'évaluation de risques requis. S'il est déterminé qu'une évaluation quantitative des risques est nécessaire, le modèle d'ÉQRM de SC peut être utilisé à titre d'évaluation préliminaire, ainsi que d'outil d'enquête afin d'estimer l'éventail de risques en fonction de nombreux scénarios ou de réaliser une analyse de sensibilité. Le modèle d'ÉQRM de SC ne fournit pas une évaluation probabiliste approfondie où chaque composant du système est inclus en tant qu'élément stochastique et où le niveau d'incertitude est indiqué. Un tel niveau d'évaluation requiert une connaissance approfondie du système d'approvisionnement en eau faisant l'objet d'un examen, et on devrait l'utiliser seulement lorsque les questions étudiées nécessitent un degré de précision très poussé. Par exemple, si une évaluation préliminaire (dont l'examen de scénarios) révèle que les risques pour la santé humaine se rapprochent des cibles de risque sanitaire, une caractérisation plus poussée du système pourrait être justifiée afin d'assurer une meilleure compréhension de la variabilité et de l'incertitude. Un autre modèle devra être utilisé si ce niveau d'analyse est requis.
Le modèle d'ÉQRM de SC utilise les données sur la concentration des agents pathogènes dans une source d'eau et le système de traitement qui ont été saisies par l'utilisateur, ainsi que des renseignements tirés de publications sur l'ingestion et la dose-réponse des différents agents pathogènes microbiens. Ces renseignements servent à estimer le risque quotidien et annuel d'infection, le risque annuel de maladie ainsi que les années de vie corrigées de l'incapacité (AVCI) par personne et par année qui sont associées aux paramètres d'entrée. Les quatre paramètres sont affichés afin de comparer non seulement la cible de 1 × 10−6 AVCI de Santé Canada par personne par année, mais également les niveaux acceptables de risque exprimés à l'aide d'autres paramètres comme le risque annuel d'infection. La figure B1 présente un survol des principales étapes de calcul.

Figure B1 - Équivalent textuel
La figure B1 présente un survol des principales étapes de calcul sont indiquées comme suite : La concentration d’agents pathogènes dans l’eau brute; L’élimination logarithmique au cours du traitement; La concentration d’agents pathogènes dans l’eau traitée; Le nombres d’agents pathogènes ingérée par jour; L’impact sur la santé en AVCI par année; Le nombres de maladies par année dans une population; La probabilité d’une maladie étant donné un infection; Le nombre d’infection par année dans une population, et; La probabilité d’infection étant donné la dose ingérée.
Le modèle d'ÉQRM de SC vise à fournir de la souplesse aux utilisateurs afin de leur permettre d'utiliser plusieurs moyens d'analyser leur système d'eau potable. Les utilisateurs peuvent saisir des données qui reflètent leur système d'eau potable ou établir des scénarios afin d'examiner les incidences potentielles de modifications aux divers aspects de leur système d'eau potable, comme des modifications de la qualité de l'eau à la source ou du type de traitement utilisé. Les calculs du modèle sont effectués à l'aide de valeurs moyennes pour la plupart des paramètres au lieu d'une estimation plus prudente de la valeur, comme le 95e percentile. Afin de saisir l'éventail des estimations de risques qui sont possibles dans un système d'eau, les utilisateurs devraient établir plusieurs scénarios variant entre les conditions prévues et les situations qui représentent des estimés conservateurs. Des ÉQRM fondées sur des scénarios qui utilisent le modèle de SC ont été publiées (Hamouda et coll., 2016; Bartrand et coll., 2017a).
Le modèle d'ÉQRM de SC peut être utilisé avec des données propres à un site, ou en fonction de plusieurs hypothèses et d'avis de spécialistes pour les paramètres inconnus. En raison de cette souplesse, il est important de bien documenter les renseignements qui sont saisis dans le système, y compris l'origine de l'information (p. ex. données de surveillance, matériel de référence pour les hypothèses, individus/équipe donnant des avis de spécialiste, etc.). L'évaluateur des risques peut ainsi acquérir une meilleure connaissance de l'incertitude entourant les entrées de données pour interpréter de façon précise les estimations des risques obtenues. Les sections B.2 à B.5 donnent un aperçu des renseignements qui doivent être saisis dans le modèle d'ÉQRM de SC, des facteurs à considérer pour obtenir ces renseignements et des hypothèses sous-jacentes ainsi que des calculs réalisés pour produire des estimations du fardeau que représente une maladie. La section B.6 comporte des exemples de scénarios générés à l'aide de la version du modèle - V15_05 Final.
B.2 Concentrations d'agents pathogènes dans les sources d'eau
Les pathogènes bactériologiques et protozoaires utilisés dans ce modèle sont Cryptosporidium spp, Giardia lamblia, E. coli O157:H7 et Campylobacter spp. En ce qui concerne les virus, aucun n'a rempli les critères d'un agent pathogène de référence (voir la case B2). Par conséquent, les données sur le rotavirus, le virus de l'hépatite A et le poliovirus ont été utilisées. Elles ont été choisies à la suite d'un examen approfondi de microorganismes candidats.
Case B2 : Agents pathogènes de référence
Même si tous les agents pathogènes entériques qui sont préoccupants pour la santé humaine devraient être relevés lors d'une évaluation des dangers liés à une source d'eau potable, les modèles d'évaluation de risques ne peuvent prendre en considération chaque agent pathogène entérique. Les modèles comprennent plutôt seulement des agents pathogènes entériques spécifiques qui constituent, du fait de leurs caractéristiques, de bons représentants d'un groupe plus vaste d'agents pathogènes. Ceux-ci sont désignés comme étant des agents pathogènes de référence. On considère que si le risque lié aux agents pathogènes de référence est réduit à un niveau acceptable, le risque lié à tous les agents pathogènes du groupe plus vaste sera également réduit. Idéalement, un agent pathogène de référence fournit une estimation prudente d'un risque en représentant une combinaison de pires scénarios : une grande fréquence, une concentration élevée et une longue période de survie dans l'eau à la source, ainsi qu'un faible enlèvement et (ou) inactivation au cours du traitement et un pouvoir pathogène élevé pour tous les groupes d'âge. Des méthodes de détection idéalement normalisées devront également être disponibles pour les agents pathogènes de référence choisis.
Cryptosporidium spp. et Giardia lamblia ont été sélectionnés à titre de protozoaire de référence. Il s'agit du type de protozoaire entérique d'origine hydrique le plus préoccupant pour la santé humaine au Canada. Ils présentent des taux de fréquence élevés, peuvent causer des maladies et posent un défi sur le plan du traitement en raison de leur résistance au chlore. En outre, des modèles dose-réponse sont disponibles pour les deux organismes.
De nombreux virus entériques ont été considérés comme virus de référence, notamment des adénovirus, des norovirus et des rotavirus. Cependant, comme aucun virus ne comporte toutes les caractéristiques d'un virus de référence idéal, l'évaluation de risques liés aux virus entériques s'appuie sur les caractéristiques de différents virus. Puisque le rotavirus constitue une cause courante d'infection, qu'il a été associé à des répercussions graves sur la santé et qu'il comporte un modèle dose-réponse, l'évaluation de risques associés aux virus utilise les renseignements sur les effets sur la santé du rotavirus, mais présuppose que tous les groupes d'âge sont vulnérables à une infection. Les norovirus sont également une cause importante de gastroentérite virale dans tous les groupes d'âge, mais il existe toujours une controverse à propos des modèles dose-réponse publiés disponibles (Schmidt, 2015). C'est pourquoi le norovirus n'a pas été inclus dans le modèle pour l'instant, mais son inclusion sera examinée lors de futures mises à jour. En ce qui concerne le traitement de l'eau potable, les adénovirus représentent la plus grande difficulté à l'égard de l'inactivation par les rayons UV; cependant, ils sont moins répandus au sein de la population humaine. Par conséquent, les données sur l'inactivation par les rayons UV du rotavirus ont été utilisées, alors que les données sur le virus de l'hépatite A et le poliovirus ont été utilisées pour les désinfectants chimiques (U.S. EPA, 1999) afin de tenir compte des virus dont la concentration est plus difficile à réduire au cours d'un traitement d'eau potable. En raison des limites associées aux méthodes de surveillance existantes des virus entériques, les estimations de concentration dans une source d'eau peuvent également reposer sur le nombre total de virus entériques cultivables et non seulement sur le rotavirus.
E. coli O157:H7 et Campylobacter spp. ont été choisis comme agents pathogènes bactériens de référence de ce modèle de risque pour plusieurs raisons. Ils sont la cause de maladie gastro-intestinale et de troubles beaucoup plus graves, ont des modèles dose-réponse bien établis, et leurs concentrations peuvent être réduites par l'application d'un traitement à un degré semblable à celui d'autres agents pathogènes bactériens. En outre, Campylobacter spp. présente des taux élevés de fréquence. Les deux agents pathogènes constituent également une grande source de préoccupation pour la santé humaine au Canada. La plupart des services publics de distribution d'eau potable disposent davantage de données sur la concentration totale d'E. coli qui peuvent servir à estimer la concentration d'E. coli O157:H7 dans une source d'eau, bien que cette valeur soit entachée par un niveau d'incertitude élevé.
B.2.1 Déterminer la qualité de l'eau à la source
Dans la mesure du possible, les fournisseurs d'eau sont priés de mettre en œuvre un programme de surveillance des sources d'eau qui comporte une surveillance des agents pathogènes de référence afin de fournir des renseignements propres à chaque site sur la qualité microbiologique de l'eau. D'autres renseignements sur les méthodes d'échantillonnage des agents pathogènes de référence sont fournis ailleurs (Santé Canada, 2019a,b). Les renseignements sur la surveillance des agents pathogènes aideront les évaluateurs des risques à fournir des informations de la plus grande qualité aux gestionnaires des risques lorsqu'ils auront à prendre des décisions au sujet de l'eau potable.
L'élaboration d'un programme de surveillance approprié dépendra des caractéristiques propres au site de la source d'approvisionnement en eau potable, et les plans de surveillance peuvent donc différer d'un lieu à l'autre. L'objectif d'un programme de surveillance des organismes d'intérêt est de prélever des échantillons à un degré et à une fréquence qui tiennent compte des sources les plus importantes de variation de la qualité microbiologique de l'eau à la source. Tel que mentionné précédemment, la faible densité des agents pathogènes dans de nombreuses sources d'eau et leur nature épisodique complexifient cette tâche. Les échantillons prélevés devraient être identifiés comme étant des échantillons de référence (de routine) ou des échantillons d'événement (incident). Les échantillons d'événement sont des échantillons qui sont prélevés lors de périodes qui devraient avoir une mauvaise incidence sur la qualité de l'eau, comme lors d'inondations ou d'orages. Les renseignements qui définissent l'échantillon d'événement devraient être pris en compte de manière à ce que les conditions ayant constitué l'événement soient claires. Les évaluateurs des risques peuvent se servir de ces renseignements pour les aider à faire la distinction entre des conditions de référence et des périodes difficiles et à mener une enquête sur l'incidence que ces changements de la qualité de l'eau ont sur les estimations des risques.
Case B3 : Fréquences de surveillance des agents pathogènes
Aux Pays-Bas, où une ÉQRM doit être réalisée au moins tous les trois ans, les concentrations de quatre agents pathogènes de référence font l'objet d'une surveillance dans les eaux de surface : Cryptosporidium, Giardia, les entérovirus et Campylobacter. La fréquence de surveillance dépend du volume de production de l'usine et varie entre neuf et 35 échantillons sur trois ans, ce qui comprend des échantillons de routine ainsi que des échantillons liés à un incident. Tous les échantillons peuvent être prélevés sur un an afin de mieux saisir la variabilité (Schijven et coll., 2011). Aux États-Unis, la Long-Term 2 Surface Water Treatment Rule exige que les services publics analysent leurs sources d'eau de surface afin de détecter la présence de Cryptosporidium et de Giardia, et de déterminer le niveau de traitement requis. Les échantillons ont été prélevés le plus près possible des prises d'eau, avant un traitement, et sur une base mensuelle pendant deux ans ou toutes les deux semaines pendant un an selon la population desservie et le calendrier d'échantillonnage qui a été approuvé au préalable.
Il se peut qu'il soit impossible pour beaucoup des systèmes d'eau potable d'obtenir des données sur certains ou l'ensemble des agents pathogènes de référence du modèle. L'avis de spécialistes peut donc être utilisé afin de compenser les données manquantes sur des agents pathogènes. Un large éventail de personnes pourrait fournit des avis de spécialistes. Un spécialiste doit avoir une connaissance approfondie de la source d'approvisionnement en eau concernée afin de pouvoir prendre des décisions éclairées sur les sources et les répercussions potentielles des agents pathogènes microbiens. Les avis de spécialistes peuvent s'appuyer sur des valeurs tirées de publications qui portent sur des types similaires de sources d'eau, ou sur des données non publiées concernant des services d'eau avoisinants, le cas échéant. Ils doivent tenir compte d'autres renseignements propres à chaque site comme des données sur les indicateurs fécaux. Bien que les données sur les indicateurs fécaux ne soient pas directement liées aux concentrations d'agents pathogènes, la taille habituellement accrue des ensembles de données sur les indicateurs fécaux peut fournir un cadre inestimable pour l'évaluation de risques, car ils montrent l'ampleur et les fluctuations de la contamination fécale (OMS, 2016). Ces connaissances peuvent aider les évaluateurs de risques à estimer la quantité d'agents pathogènes à l'aide de données provenant des sources de documentation. Les sources de données sur les agents pathogènes que les spécialistes pourraient utiliser comprennent les résumés des concentrations dans les sources d'eau des bassins hydrographiques canadiens publiés par Santé Canada (2019a,b). Des publications présentant des données sur les agents pathogènes d'autres pays existent également (US EPA, 2005b; Dechesne et Soyeux, 2007; Medema et coll., 2009; Petterson et coll., 2015; Santé Canada, 2019b). Bien qu'elles n'y soient pas liées directement, certaines études ont utilisé les données sur les indicateurs fécaux pour estimer les concentrations d'agents pathogènes. Par exemple, des données de surveillance sur E. coli ont été utilisées, conjointement avec des connaissances propres aux sites, pour estimer les concentrations de Cryptosporidium aux fins d'utilisation dans l'évaluation des risques (Medema et coll., 2009; Hunter et coll., 2011). Il importe de mentionner que toutes les estimations de concentrations d'agents pathogènes fondées sur les données sur les indicateurs ou les avis de spécialistes comprennent un haut degré d'incertitude; la portée et la complexité de l'évaluation de risques qui est menée doivent donc pouvoir utiliser ce type d'approche. Si une évaluation vise à générer des réponses quantitatives précises, il ne conviendrait pas d'utiliser des estimations.
L'une des contraintes associées au manque de renseignements sur des agents pathogènes est la tendance à utiliser des hypothèses de pires scénarios et, par conséquent, les estimations des concentrations entraînent plus souvent une surestimation des risques. Cette surestimation pourrait donner lieu à des décisions très onéreuses ou à la diversion des ressources qui pourraient mieux être utilisées ailleurs afin de protéger la santé publique. Il est donc important d'inclure des scénarios qui représentent l'éventail de conditions qui pourraient se présenter outre les hypothèses de pires scénarios, ce qui devrait fournir des réponses plus éclairées aux questions posées au début du processus d'évaluation de risques. En ayant recours à divers scénarios, les évaluateurs de risques peuvent également déterminer les paramètres qui ont la plus grande incidence sur le risque global, et par conséquent, fournir une certaine orientation sur le plus grand avantage qu'il y aurait en diminuant le degré d'incertitude d'un paramètre.
B.2.2 Estimer les concentrations d'agents pathogènes de référence
Les concentrations moyennes des agents pathogènes (par 100 L d'eau) et les écarts-types sont saisis dans le modèle et utilisés pour s'intégrer dans une distribution log-normale (voir la section B.2.3). On a choisi de saisir les concentrations des agents pathogènes comme des moyennes arithmétiques et des écarts-types afin de rendre le modèle accessible à divers utilisateurs. Lorsqu'ils déterminent des moyennes et des écarts-types, les évaluateurs de risques devraient tenir compte de la manière d'intégrer la récupération de la méthode et de déterminer la façon dont les données des cas de non-détection (c'est-à-dire les échantillons dans lesquels aucun organisme n'a été détecté dans le volume analysé) seront incluses dans le calcul. Le modèle suppose que les agents pathogènes sont répartis au hasard dans l'eau et ne tient donc pas compte des agglutinations d'organismes qu'il pourrait y avoir dans l'eau.
Le facteur de récupération d'une méthode est important, car les méthodes ne sont jamais entièrement efficaces et l'efficacité de la récupération sert à corriger les estimations de concentrations d'agents pathogènes. Prélever et analyser les grands volumes d'échantillon d'eau nécessaires pour détecter des microorganismes pathogènes nécessitent de nombreuses étapes. Chaque étape de la méthode peut provoquer une perte de certains organismes cibles, bien qu'à l'occasion l'efficacité de la récupération puisse aussi dépasser 100 %. L'efficacité de la récupération peut varier de façon considérable entre les matrices d'eau, même si une méthode normalisée est employée; par conséquent, l'efficacité de la récupération devrait idéalement être évaluée pour chaque échantillon. Il est admis que cela n'est pas toujours très pratique. En ce qui concerne les ensembles de données sur Cryptosporidium et Giardia, la plupart des échantillons sont analysés à l'aide de la méthode 1622/23/23.1 de la U.S. EPA. Cette méthode comprend des exigences nécessaires pour déterminer la récupération dans la matrice d'eau analysée. Bien que les méthodes normales utilisées pour détecter les agents pathogènes d'origine hydrique dans le modèle ne comportent pas les mêmes exigences, il est toutefois recommandé, dans la mesure du possible, d'évaluer la récupération de ces méthodes. En l'absence de renseignements sur l'efficacité de la récupération, les récupérations estimées d'agents pathogènes devront soit être corrigées à l'aide de valeurs publiées dans la documentation, soit être considérées comme étant entièrement efficaces (Schijven, 2011). En ce qui concerne les modèles déterministes, la récupération est intégrée dans les modèles de risque à l'aide d'une estimation ponctuelle. Dans le cadre d'un modèle stochastique, on suppose habituellement que la variabilité de la récupération d'une méthode donnée suit une distribution bêta (Teunis et coll., 1997; Makri et coll., 2004; Pouillot et coll., 2004; Signor et Ashbolt, 2006; U.S. EPA, 2014). À l'heure actuelle, le modèle de SC ne comprend pas de récupération. Il suppose que l'évaluateur des risques a tenu compte de la récupération (soit à l'aide d'une estimation ponctuelle ou d'une approche stochastique) avant de saisir les valeurs de moyenne et d'écart-type.
Les méthodes de détection ne peuvent pas nécessairement faire la distinction entre des organismes infectieux viables chez l'humain et ceux qui ne présentent pas de risque pour la santé humaine, par exemple des organismes non viables ou des espèces qui n'ont jamais été associés à des infections humaines, ce qui aurait pour effet de surestimer les effets potentiels sur la santé. Par exemple, en ce qui concerne la détection de Giardia et de Cryptosporidium, la méthode de routine détecte tous les kystes ou les oocystes qui sont récupérés, et on suppose que tous ceux détectés dans les sources d'eau sont viables et sont également infectieux pour l'homme, jusqu'à preuve du contraire (p.ex., des résultats de génotypage). En ce qui concerne les autres agents pathogènes de référence, comme les virus entériques, les méthodes habituelles avec culture cellulaire permettent de détecter des organismes infectieux, mais elles sont difficiles à appliquer. Ce sont plutôt les méthodes moléculaires qui ne font pas la distinction entre des organismes viables et non viables sont souvent employées. Si on a recours à une ÉQRM pour faciliter la priorisation des décisions en matière de gestion des risques, la surestimation des effets sur la santé potentiels pourrait mener à des dépenses inutiles. Ainsi, lorsque c'est possible, on recommande d'évaluer la viabilité et l'infectiosité des agents pathogènes de référence. Bien que le modèle d'ÉQRM de SC permet à l'utilisateur de modifier la proportion d'organismes infectieux lorsqu'il saisit des données sur la concentration des agents pathogènes dans la source d'eau, la valeur par défaut est 1,0 (c.-à-d. tous les organismes peuvent causer une infection) afin de fournir une estimation prudente en l'absence d'autres données.
Théoriquement, pour obtenir les meilleures estimations de la concentration des agents pathogènes dans des sources d'eau, il faudrait que le volume de l'échantillon analysé contienne une moyenne d'au moins 10 organismes (Emelko et coll., 2008). Cependant, dans la plupart des sources d'eau et pour la majeure partie des agents pathogènes, il est tout simplement impossible de prélever et d'analyser le très grand volume d'eau requis pour récupérer une moyenne de 10 organismes par échantillon. C'est pourquoi les ensembles de données sur les agents pathogènes peuvent contenir un nombre important de résultats comportant une faible numération d'agents pathogènes et des données de cas de non-détection. Même si aucun organisme n'est récupéré dans des échantillons de cas de non-détection, cela ne signifie pas que la source d'eau ne contient aucun agent pathogène (la concentration n'est pas nécessairement nulle). Si un plus gros volume d'eau était analysé ou si l'efficacité de récupération de la méthode était meilleure, il se pourrait que la présence d'un agent pathogène soit détectée. Lors du calcul de l'écart-type et de l'écart moyen, on peut adopter diverses approches pour y inclure les données de cas de non-détection (voir la case B4). Même dans le cas d'échantillons où des agents pathogènes sont détectés, les données observées ne sont qu'une estimation de la concentration. Pour fournir la meilleure estimation possible de la concentration, il faudrait tenir compte des erreurs de mesure (Schmidt et Emelko, 2011); toutefois, la prise en compte de ces erreurs nécessite des calculs plus complexes que ceux actuellement inclus dans le modèle de SC. Les utilisateurs doivent décider de la façon dont ils incluront leurs données de cas de non-détection dans le calcul de l'estimation de la concentration des agents pathogènes avant de calculer l'écart moyen et l'écart-type pour la source d'eau.
Case B4 : Transformer les valeurs des cas de non-détection
De nombreuses méthodes ont été utilisées dans les publications afin de transformer des valeurs de cas de non-détection en des valeurs numériques. La méthode la plus couramment utilisée pour mener des évaluations de risques préliminaires est de transformer les valeurs de cas de non-détection en des valeurs numériques en présupposant qu'elles correspondent toutes à une concentration fixe comme la LD, la moitié de la LD ou zéro. Bien que cette méthode soit très simple et directe, elle faussera l'estimation de la concentration. Par exemple, le fait de supposer que tous les échantillons de cas de non-détection présentent des concentrations à la limite de détection pourrait se traduire par une estimation trop prudente de la concentration de l'agent pathogène. On peut également employer des méthodes statistiques pour transformer des données de cas de non-détection, telles que l'estimation du maximum de vraisemblance ou la régression basée sur des statistiques d'ordre. Ces méthodes font appel aux données d'échantillons présentant des dénombrements observés pour estimer les valeurs des données de cas de non-détection. La méthode choisie aura une incidence sur l'estimation des concentrations. Par exemple, une étude ayant utilisé des données de surveillance du Royaume-Uni sur l'eau traitée a transformé les résultats inférieurs à la limite de détection à l'aide de trois méthodes différentes : on a présupposé que toutes les valeurs de LD étaient à zéro (valeurs minimales), à la LD (valeurs maximales) ou extrapolées de façon linéaire sur les détections positives (meilleure estimation). On a démontré que le risque variait d'un facteur de 4 (0,6 log), des hypothèses de valeurs minimales à maximales (Smeets et coll., 2007). La méthode choisie pour la transformation des données de cas de non-détection aura une incidence plus marquée sur l'estimation des risques lorsque les concentrations globales d'agents pathogènes sont faibles (Smeets et coll., 2007; Jaidi et coll., 2009) et lorsque les ensembles de données sont petits (Jaidi et coll., 2009).
On peut calculer les moyennes et les écarts-types après avoir décidé et documenté la façon dont les données des cas de non-détection et l'efficacité de récupération de la méthode seront traitées. Il existe plusieurs manières d'analyser les mêmes données afin d'estimer les paramètres de concentration moyenne des agents pathogènes et l'écart-type. Ces valeurs pourraient représenter les concentrations moyennes de chaque agent pathogène d'une année donnée afin de montrer une évaluation à l'état d'équilibre, ou bien les concentrations moyennes pour chaque mois afin d'évaluer les effets saisonniers. Les utilisateurs pourraient aussi saisir des concentrations provenant de la plage de valeurs qui peut être associée à un scénario donné, ce qui pourrait comprendre des valeurs de pires scénarios ou des valeurs définies de la distribution des valeurs comme les 75e ou 90e centiles. Une estimation ponctuelle d'une concentration d'agents pathogènes peut également servir lorsqu'on saisit un écart-type très faible relatif à la concentration moyenne d'agents pathogènes (p. ex., si la moyenne = 1,0 organisme /100 L, établir un écart-type = 0,001 organisme/100 L).
Les moyennes et les écarts-types sont saisis dans la feuille de calcul « Input_output » du modèle (voir la figure B2). Toutes les concentrations des agents pathogènes, y compris E. coli, sont saisies en nombre d'organismes pour 100 L d'eau. Le modèle de Santé Canada estime la concentration de l'E. coli pathogène à l'aide des données sur la concentration totale d'E. coli de la ou des sources d'eau en présupposant qu'une valeur par défaut de 3,4 % de la concentration totale d'E. coli détectée correspond à une souche pathogène (Martins et coll., 1992). Cette estimation repose sur des échantillons d'eau brute prélevés à partir d'un mélange de sources d'eau du projet sur le fleuve du Colorado et de sources du projet sur des plans d'eau du nord de la Californie. Cette estimation ne représentera pas toutes les sources d'eau et comporte un degré élevé d'incertitude. Par conséquent, il ne s'agit pas d'une valeur fixe. Elle peut être modifiée dans la feuille de calcul de référence du modèle afin de mieux refléter la qualité de la source d'eau à l'étude. Si pour un système d'eau potable, l'utilisateur dispose de données sur E. coli O157:H7 et qu'il les saisit directement, le pourcentage de 3,4 % devra passer à 100 %. Les paramètres d'entrée et les résultats correspondants calculés par le modèle devront être consignés ailleurs, puisque le modèle n'entrepose pas les données pour l'utilisateur.

Figure B2 - Équivalent textuel
Une section du modèle AQRM pour la saisie des données de l’utilisateur est affichée. L'utilisateur peux ajouter des données dans les zones de saisie suivantes: population; consommation journalière (litres par jour); et la moyenne, l'écart-type et la fraction infectieuse pour Cryptosporium, Giardia, rotavirus, Campylobacter et E. coli. L'utilisateur peut également entrer la valeur du pourcentage de E. coli qui est E.coli O157.
B.2.3 Calculs du modèle
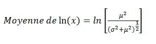
À l'aide de la moyenne et de l'écart-type des concentrations des agents pathogènes dans l'eau brute qui ont été saisis dans la feuille de calcul « Input_output », le modèle intègre une distribution log-normale. La distribution log-normale utilise un logarithme naturel et, comme il est impossible de tirer un logarithme naturel d'une valeur nulle, une distribution log-normale ne peut contenir de valeurs nulles. Une distribution log-normale prend la forme d'une distribution normale (c.-à-d. une forme en cloche) lorsque vous prenez le logarithme naturel de la variable (x); dans ce cas-ci, il s'agit de la concentration d'agents pathogènes dans l'eau brute. Le modèle utilise les valeurs de moyenne arithmétique (μ) et d'écart-type (σ) qui ont été saisies dans la feuille de calcul « Input_output », puis estime la moyenne et l'écart-type de ln(x) à l'aide des équations suivantes :
(1)

(2)

où,
- x = concentration des agents pathogènes dans l'eau brute
- μ = concentration moyenne des agents pathogènes qui a été saisie dans la feuille de calcul « Input_output »
- σ = écart-type saisi dans la feuille de calcul « Input_output »
La moyenne et l'écart-type de ln(x) décrivent la forme de la distribution log-normale. Le modèle divise la courbe de distribution log-normale en environ 500 tranches d'intégration, dont chacune est associée à une probabilité et à une concentration moyenne, ce qui donne une estimation moyenne pondérée des risques. Les probabilités ont été sélectionnées afin de diviser la fonction de distribution cumulative en des segments égaux (des tranches), totalisant l'ensemble de la zone comprise sous la courbe de distribution. La seule exception concerne la partie initiale de la courbe, qui est divisée en des sections plus petites afin de fournir une meilleure résolution à l'extrémité inférieure de la distribution. Pour chaque tranche d'intégration, le modèle utilise la probabilité de cette tranche et la fonction log-normale inverse afin de calculer la concentration moyenne associée d'eau brute. La concentration d'eau traitée est alors déterminée pour chacune des 500 tranches en fonction de l'élimination logarithmique et de l'inactivation logarithmique globales qui sont réalisées au cours d'un traitement (voir la section B.3). Le risque subséquent d'infection est calculé pour chaque tranche en fonction de la bonne équation de dose-réponse, puis est multiplié par la probabilité associée à cette tranche de distribution. Les estimations des risques sont alors résumées afin de donner le risque moyen pondéré d'infection (voir la section B.4).
Case B5 : Distributions servant à décrire les concentrations des agents pathogènes
Les distributions log-normales servent couramment à décrire la distribution des microorganismes dans des échantillons environnementaux (Westrell et coll., 2003; Jaidi et coll., 2009; Ongerth, 2013) On les utilise pour diverses raisons. Tout d'abord, la distribution log-normale est l'approche utilisée dans le cas de données biaisées. C'est souvent le cas avec les données sur la concentration des agents pathogènes dans l'eau brute lorsqu'un grand nombre d'échantillons ont atteint la LD ou s'en approchent, et que le nombre de concentrations élevées est plus faible. Ensuite, il a été démontré qu'elle s'ajuste bien aux données sur les concentrations dans des sources d'eau (Smeets et coll., 2008; Ongerth, 2013). D'autres distributions ont été utilisées dans différentes publications, comme la distribution gamma, afin de décrire les données sur les agents pathogènes environnementaux (Schijven et coll., 2011, 2015). À l'instar de la distribution log-normale, la distribution gamma est également utilisée lorsque des données sont biaisées et peut également bien s'ajuster avec les données sur les concentrations d'agents pathogènes dans des sources d'eau. En fait, aucune distribution ne correspondra parfaitement aux données observées, puisque les distributions constituent de simples approximations d'une relation plus complexe, ce qui signifie que plusieurs distributions différentes peuvent tout aussi bien s'agencer avec des données observées et que le choix de distribution est déterminé par les chercheurs concernés.
B.3 Détermination des effets du traitement
Les procédés de traitement dans le modèle d'ÉQRM sont séparés en deux types : 1) des méthodes d'élimination physique et 2) des méthodes de désinfection. Un exemple de cellules d'entrée de renseignements sur les procédés de traitement est fourni à la figure B3. L'élimination physique de chaque agent pathogène est exprimée en élimination de log10, alors que la désinfection est exprimée en inactivation de log10. La détermination des valeurs de réduction logarithmique repose généralement sur des données tirées de paramètres de substitution à un traitement à échelle réelle, ou en utilisant des études au banc d'essai ou des études pilotes utilisant des souches d'agents pathogènes d'intérêt adaptées en laboratoire. On suppose que ces réductions sont comparables à celles que l'on réalise à l'usine de traitement. Les données sur l'élimination des agents pathogènes à partir d'un traitement à échelle réelle ne sont habituellement pas disponibles pour les calculs de réduction logarithmique, puisque les concentrations d'agents pathogènes qui sont présents naturellement dans une source d'eau sont habituellement faibles et variables.

Figure B3 - Équivalent textuel
Cette figure affiche à la fois la section d'entrée de l'utilisateur pour les barrières de traitement et les conditions d'exploitation, et le résumé des valeurs logarithmiques de traitement et d'inactivation, à partir du modèle AQRM de SC. La section de saisie des données sur les barrières de traitement et des conditions de fonctionnement propose les options suivantes: un menu déroulant des options de coagulation; un menu déroulant des options pour la filtration; un menu déroulant des options pour la désinfection n ° 1; un menu déroulant d'options pour la désinfection n ° 2; boîtes de saisie pour le temps de contact en minutes, facteur de déflection en T10 sur T, concentration initiale en mg / L, facteur de décroissance k (par minute), température en degrés Celsius et pH pour chacune de désinfection n ° 1 et n ° 2; un menu déroulant des options pour la désinfection n ° 3, avec une boîte de saisie pour la dose UV en mJ par cm2. Deux graphiques sont également affichés dans cette section, représentant les informations de désinfection entrées par l'utilisateur pour la désinfection n ° 1 et n ° 2. Chaque graphique affiche le temps de séjour hydraulique en minutes sur l'axe des x et il y a deux axes y, résiduels de désinfection en mg / L et FDC (de 0 à 1). Cette section comprend également 2 boîtes de sortie qui affichent un contrôle du facteur de déflection et le N-RCAC calculé. La deuxième section de cette figure présente le résumé en log de l’élimination et l’inactivation par traitement pour Cryptosporidium, Giardia, rotavirus, Campylobacter et E. coli O157. Les valeurs affichées reflètent les barrières de traitement et les conditions de fonctionnement sélectionnées par l'utilisateur. La réduction log globale et l'écart type (basé sur les informations de suppression physique) sont également affichés.
B.3.1 Méthodes d'élimination physique
Les options d'élimination physique sont séparées en une étape de coagulation (Log RemC&S) et une étape de filtration (Log RemFiltr.) afin d'offrir une plus grande souplesse dans le cadre de la représentation d'un système de traitement. Les étapes de coagulation se résument comme suit :
- coagulation seulement;
- coagulation et floculation;
- coagulation, floculation et sédimentation;
- aucun; ou
- prescrit par l'utilisateur.
Les méthodes de filtration consistent en une filtration :
- rapide granulaire (aucune coagulation);
- rapide granulaire (coagulation en ligne / filtration directe);
- rapide granulaire (avec coagulation/sédimentation);
- à sable lent;
- sur membrane (micro);
- sur membrane (ultra);
- aucune; ou
- identifiée par l'utilisateur.
En ce qui concerne les étapes de coagulation, la seule sélection qui fournit une élimination logarithmique est l'option de coagulation/floculation/sédimentation. Comme les procédés de coagulation résiduelle ne comportent pas d'étape d'élimination de particules, leurs contributions à l'élimination sont donc considérées comme faisant partie de l'étape de filtration. En ce qui concerne un traitement classique, les options de coagulation/floculation/ sédimentation et de filtration granulaire (avec coagulation/sédimentation) doivent donc être sélectionnées afin de représenter un traitement classique complet. En outre, pour ce qui est des systèmes de traitement d'eau potable qui utilisent la flottation à l'air dissous, l'élimination fournie par la coagulation/floculation/sédimentation est considérée comme une estimation raisonnable de ce procédé.
Les données sur l'élimination logarithmique intégrées dans le modèle de ces procédés de traitement sont tirées de publications. Sauf en ce qui concerne l'élimination par filtration sur membrane, les données incluses pour chaque étape de traitement correspondent aux valeurs moyennes pondérées issues d'un vaste examen des publications existantes (Hijnen et Medema, 2007). Afin de déterminer les valeurs moyennes pondérées de chaque procédé de traitement, les auteurs ont utilisé un facteur de pondération sur une échelle de 1 à 5 en fonction de la qualité de l'étude afin de calculer l'élimination logarithmique moyenne pondérée. À titre d'exemple, les études qui étaient réalisées à pleine échelle ont subi une plus grande pondération que les études pilotes. Une pondération plus élevée a également été attribuée aux études dans lesquelles on a utilisé des agents pathogènes au lieu de substituts. En ce qui concerne la filtration sur membrane, la moyenne arithmétique et l'écart-type ont été calculés en fonction des études disponibles; aucun facteur de pondération n'a été appliqué. Le tableau des valeurs tirées de publications figure dans la feuille de calcul « Treatment » du modèle. Ces données peuvent être modifiées afin de mettre à jour les nouveaux résultats de recherche tirés d'études pilotes ainsi que d'études à échelle réelle au fur et à mesure qu'ils seront accessibles.
Comme l'indiquent les valeurs tirées de publications, l'éventail de taux d'élimination logarithmique associé à un type de traitement peut varier jusqu'à 6 ordres de grandeur selon les conditions du traitement. Les procédés de traitement n'ayant pas été optimisés ou offrant un rendement sous-optimal n'atteindront peut-être pas les valeurs d'élimination logarithmique par défaut incluses dans le modèle. De nombreux facteurs peuvent influencer la capacité d'élimination logarithmique des procédés de filtration, et ils varieront selon le type de filtration. Parmi ces facteurs, on trouve la qualité de la source d'eau, la vitesse de filtration, l'efficacité des prétraitements chimiques, la taille et le type du milieu filtrant, l'état du filtre, la longueur du filtre, la maturation du filtre, la température de l'eau, l'intégrité du filtre et les procédures de lavage à contre-courant. Le niveau de variabilité inhérent au rendement du traitement souligne l'importance de bien connaître le système de traitement qui fait l'objet d'une évaluation. D'autres renseignements sont fournis sur la filtration et l'élimination d'agents pathogènes à Santé Canada (2013b). Comme il a été mentionné auparavant, un des principaux avantages de l'utilisation d'une approche d'ÉQRM est que cette dernière nécessite une évaluation sur place du système d'approvisionnement en eau. S'appuyer sur les valeurs tirées de publications qui sont incluses dans ce modèle peut sous-estimer ou surestimer le rendement d'un site en particulier. Les évaluateurs et les gestionnaires de risques doivent tenir compte de ce facteur dans le cadre de leurs processus décisionnels liés à la gestion de l'eau potable.
L'option de préciser des valeurs d'élimination/d'inactivation logarithmique au lieu d'utiliser les valeurs tirées de publications est disponible en sélectionnant « user specified » et en définissant l'élimination logarithmique moyenne et l'écart-type de chaque agent pathogène de référence (Cryptosporidium, Giardia, rotavirus, E. coli et Campylobacter), ce qui doit être fait dans la feuille de calcul « Treatment » du modèle. Comme l'élimination logarithmique peut varier, même dans les usines de traitement bien exploitées, il est préférable d'avoir accès, dans la mesure du possible, à des renseignements propres à chaque site (Smeets et coll., 2007) au lieu de valeurs tirées de publications. Cette option s'avère très utile pour les usines de traitement qui ont mené une surveillance interne minutieuse et qui ont donc à leur disposition des données sur l'élimination de pathogènes qui montrent que le rendement de leur système diffère de celui qui est décrit dans les publications. Cette option fournit également l'occasion d'étudier les améliorations possibles par l'optimisation des procédés ou, inversement, l'incidence des conditions comme la coagulation sous-optimale ou les conditions de la fin du cycle de filtration. Toutefois, comme plusieurs usines de traitement ne disposeront pas de renseignements propres à un site, le système d'eau potable devra s'appuyer sur les valeurs prédéterminées d'élimination logarithmique dans le modèle.
B.3.2 Méthodes de désinfection
Le modèle comprend sept options :
- le chlore libre;
- les chloramines;
- l'ozonation;
- le dioxyde de chlore;
- la désinfection par rayonnement ultraviolet (UV);
- aucune;
- précisée par l'utilisateur.
Le modèle permet deux étapes de désinfection chimique (Log InactDésinf1 et Log InactDésinf2). Pour calculer l'inactivation logarithmique des désinfectants chimiques (le chlore libre, les chloramines, l'ozone et le dioxyde de chlore), six paramètres doivent être saisis afin de décrire le procédé de désinfection (voir la Figure B3) :
- le temps de contact (min);
- le facteur de déflexion (T10/T);
- la concentration initiale de désinfectant (mg/L);
- le facteur de décomposition du désinfectant (min−1);
- le pH;
- la température (°C).
En ce qui concerne la désinfection par rayonnement UV, seule la dose efficace de rayons UV ou la fluence (mJ/cm2) doit être saisie pour l'usine de traitement. De nombreux facteurs peuvent influencer la dose administrée, notamment le profil hydraulique du réacteur, la vitesse du flux, la transmittance UV de l'eau, l'intensité des rayons UV, la puissance lumineuse des lampes, l'endroit où les lampes sont placées ainsi que l'âge et les salissures des lampes (U.S. EPA, 2006b; Bolton et Cotton, 2008), et il faut tenir compte de ces éléments avant de saisir des données dans le modèle. Comme il a été mentionné précédemment, les équations d'inactivation logarithmique ont généralement été élaborées à l'aide de souches d'agents pathogènes adaptées en laboratoire, ce qui ajoute un certain degré d'incertitude aux calculs, puisque les souches environnementales pourraient ne pas réagir de la même manière que les souches de laboratoire.
Le modèle utilise six paramètres (lesquels sont énumérés ci-dessus) ainsi que des réacteurs à réservoir sous agitation continue reliés en série (N-CSTR, N étant le nombre de réacteurs [continuously stirred tank reactors] en série) pour réaliser les calculs d'inactivation de CT de tous les désinfectants chimiques (voir les détails ci-dessous). Cette méthode a été choisie afin de fournir une estimation précise de l'inactivation logarithmique réalisée dans un bassin de contact du désinfectant à échelle réelle. Il s'agissait d'un facteur particulièrement important dans le cas de l'inactivation à l'ozone en raison de la vitesse de décomposition rapide associée à ce désinfectant.
B.3.2.1 Calculs d'inactivation de CT
En ce qui concerne la désinfection chimique, le modèle fait appel à l'analyse de flux distincts pour estimer l'inactivation globale d'agents pathogènes réalisée dans le bassin de contact. Selon cette méthode, le volume d'eau qui entre dans le bassin de contact est divisé en 1 000 segments ou « tranches » fondés sur la distribution des temps de séjour (DTS). L'inactivation logarithmique de chaque segment de flux est calculée individuellement à l'aide de la concentration du désinfectant, du facteur de décomposition du désinfectant, du pH et de la température. Chaque tranche est ensuite additionnée sur l'ensemble du bassin afin qu'on puisse déterminer l'inactivation logarithmique globale. En tenant compte de tous les segments d'eau qui entrent dans le bassin, notamment de ceux qui quittent rapidement le bassin et de ceux qui y restent plus longtemps, on peut obtenir une estimation plus précise de l'inactivation des agents pathogènes. Il est important de noter que l'inactivation des agents pathogènes calculée par le modèle ne correspondra pas aux valeurs obtenues au moyen de la méthode conservatrice T10 couramment utilisée à des fins réglementaires et opérationnelles.
Étant donné que la plupart des usines de traitement ne présentent pas de DTS détaillée, le modèle utilise la méthode N-CSTR (voir la case B6 pour obtenir de plus amples détails). On détermine la DTS en fonction de deux valeurs définies par l'utilisateur : le temps de contact (aussi appelé temps de rétention hydraulique) T et le facteur de déflexion, que l'on définit par T10/T. Ces deux paramètres sont généralement connus pour une usine de traitement donnée, puisqu'on les utilise souvent pour déterminer l'inactivation des agents pathogènes à partir des tableaux de CT publiés.
Le temps de rétention hydraulique T (en minutes) se calcule ainsi : V/Q, soit le volume d'eau V (m3) contenu dans le bassin divisé par le débit volumétrique Q (m3/min) qui traverse le bassin. Cette valeur représente le temps de rétention total du liquide dans le bassin, étant entendu qu'une partie de l'eau traversera rapidement le bassin alors qu'une autre y restera plus longtemps.
Le facteur de déflexion (T10/T) est un rapport sans dimension qui caractérise l'étalement relatif des temps de rétention d'un bassin donné. La valeur T10 représente le moment où 10 % de l'influent a traversé le bassin comparativement au temps de rétention hydraulique global T. Les facteurs de déflexion se situent entre 0 et 1; une valeur basse (p. ex. 0,1) correspond à un flux dispersé avec court-circuit, alors qu'une valeur élevée (p. ex. 0,9) représente des conditions correspondant presque complètement à un « écoulement piston ». Les bassins de contact de la plupart des usines de traitement présentent des facteurs de déflexion compris entre 0,3 et 0,7. On peut mesurer les facteurs de déflexion de manière précise à l'aide d'études par traceurs chimiques (Teefy, 1996), ou les estimer en fonction de la géométrie de la chambre d'exposition. Des descriptions de la disposition des bassins sont à la disposition des exploitants de systèmes d'approvisionnement en eau pour les aider à estimer leurs facteurs de déflexion selon les caractéristiques de leur réseau. On peut trouver ces descriptions ainsi que des renseignements additionnels dans des documents de la U.S. EPA (2003) et du MOE (2006).
Le modèle d'ÉQRM utilise la concentration initiale de désinfectant et le facteur de décomposition des désinfectants pour produire un profil de concentration décroissante basé sur la cinétique de décomposition de premier ordre. Dans la plupart de leurs calculs de CT, les exploitants de systèmes d'approvisionnement en eau supposent que la concentration de désinfectants chimiques dans l'ensemble de la chambre d'exposition est fixe. Cependant, l'approche utilisée dans le modèle reflète mieux les conditions d'exploitation réelles des usines de traitement et permet d'obtenir une estimation plus précise de l'inactivation des agents pathogènes. Pour les utilisateurs qui ne connaissent pas leur facteur de décomposition, celui-ci peut être estimé à l'aide de l'équation suivante :
(3)

La concentration initiale de désinfectant (Conc.initiale) est la concentration (mg/L) restante à la suite de la demande immédiate en oxydant. La concentration finale du désinfectant (Conc.finale) représente la concentration (mg/L) après que le temps de contact est écoulé, alors que le temps représente la durée de l'exposition (min). De façon générale, les facteurs de décomposition ont tendance à se situer dans la plage de 0,001 à 0,2 min−1, selon les caractéristiques de l'eau et le désinfectant chimique utilisé. Le facteur de décomposition du désinfectant peut être évalué à l'aide d'études dans un contenant ou de mesures à l'usine, ou être déterminé par essai et erreur en sachant le profil de concentration résiduelle dans le bassin. L'utilisateur peut saisir une valeur et examiner le profil résiduel correspondant affiché à droite (voir la figure B3). Lorsque la concentration résiduelle d'un désinfectant à la sortie correspond aux conditions d'exploitation observées, le facteur estimé de décomposition des désinfectants est raisonnable. Par ailleurs, pour une estimation plus prudente de l'inactivation logarithmique, l'utilisateur peut saisir sa concentration finale de désinfectants comme concentration initiale de désinfectant et fixer le facteur de décomposition à 0 afin de conserver la concentration finale de désinfectant tout au long des calculs de la méthode N-CSTR.
Case B6 : La méthode N-CSTR
La distribution ou l'étalement des temps de rétention dans une chambre d'exposition peut être représentée de façon mathématique par un nombre de CSTR (réacteurs avec réservoir sous agitation continue reliés en série). À chaque extrémité du spectre, les bassins de contact peuvent varier d'entièrement mélangés ou dispersés (= 1 CSTR) à presque identiques à un « écoulement piston » (un long tuyau par exemple) représenté par un nombre infini de CSTR en série. Les bassins de contact des usines de traitement se situent quelque part entre ces deux extrêmes. Une équation élaborée par Nauman et Buffham (1983) présente certains « N » CSTR qui sont fonction du facteur de déflexion T10/T, ce qui permet d'obtenir une distribution estimée des temps de séjour pour les bassins de contact. La distribution des temps de séjour qui en résulte est divisée en 1 000 « tranches » d'intégration. On calcule l'inactivation chimique de façon individuelle pour chaque tranche en utilisant les équations de désinfection de CT. La concentration de désinfectant de chaque tranche d'intégration est estimée à partir de la concentration initiale et du facteur de décomposition au temps t. La fraction restante d'organismes est calculée pour chaque tranche puis est additionnée sur tout le bassin afin de calculer la proportion globale des organismes restants à la suite du procédé de désinfection. On peut trouver de plus amples détails sur les calculs de la méthode N-CSTR dans d'autres publications (Bartrand et coll., 2017b).
B.3.3 Réduction globale résultant d'un traitement
Lorsque les taux d'élimination et d'inactivation logarithmiques sont déterminés pour les procédés de traitement, on calcule la réduction logarithmique globale de chaque agent pathogène précis en ajoutant les crédits d'élimination et d'inactivation logarithmiques issus des différentes étapes de traitement.
(4)
Réd logTrait = Élim logC&S + Élim logFiltr + Inact logDésinf 1 + InactDésinf 2
Un sommaire des valeurs d'élimination et d'inactivation logarithmiques figure dans la feuille de calcul « Input_output » du modèle (voir la figure B3). Le modèle présente également la réduction résultant d'un procédé de traitement pour chacun des agents pathogènes de référence dans un graphique à barres (non illustré). On utilise ensuite la réduction logarithmique globale pour déterminer la concentration de chaque agent pathogène de référence dans l'eau potable traitée.
B.4 Calculs de dose-réponse
Le calcul de dose-réponse vise à estimer la probabilité d'infection associée à une source d'approvisionnement en eau potable. Pour ce faire, le modèle utilise les doses moyennes des cinq agents pathogènes de référence, calcule la probabilité d'ingestion de doses définies (entre 0 et 100 organismes) compte tenu de la dose moyenne, et finalement utilise l'intégration numérique pour estimer la probabilité d'infection. Le processus est décrit en détail ci-après.
B.4.1 Déterminer une dose d'agents pathogènes
Comme il a été mentionné à la section B.2, le modèle suppose que les données sur la concentration d'agent pathogène dans l'eau brute suivent une distribution log-normale. Le modèle divise cette distribution en plus de 500 tranches d'intégration afin de représenter la plage totale de la courbe de distribution. Pour chacune des tranches, le modèle estime la concentration d'agents pathogènes dans la source d'eau et utilise la réduction globale du traitement pour déterminer la concentration dans l'eau potable traitée pour chaque tranche d'intégration comme suit :
(5)
Conc. pathogènesTraitée = Conc. pathogènesSource × −Réduction log. du traitement
La dose moyenne d'agents pathogènes qui peut être consommée par une personne est alors calculée pour chaque concentration potentielle d'eau traitée décrite par la distribution log-normale comme suit :
(6)
Dose ingéréeJour = Conc. agents pathogènesTraitée × Consommation d'eauJour
La valeur par défaut de la consommation moyenne d'eau par jour (Consommation d'eauJour) du modèle est de 1,0 L d'eau du robinet non bouillie. Au sein d'une population, il y aura une distribution de valeurs de consommation qui ne sera pas saisie par cette estimation ponctuelle (Statistique Canada, 2004, 2008). Les données tirées de récentes enquêtes sur l'utilisation de l'eau au Canada sont fournies dans la feuille de calcul « Reference » du modèle. La valeur par défaut de 1,0 L peut être modifiée dans la feuille de calcul « Input_output » afin de tenir compte des populations associées à d'autres consommations moyennes (figure B2).
B.4.2 Déterminer la probabilité d'infection
La probabilité d'infection est calculée à l'aide du modèle dose-réponse et des paramètres de chaque agent pathogène, tel qu'indiqué dans le tableau B1. On a sélectionné le modèle exponentiel pour Cryptosporidium et Giardia, alors qu'on utilise le modèle bêta-Poisson pour le rotavirus, E. coli O157:H7 et Campylobacter.
Agent pathogène | Modèle dose-réponse | Constantes | Référence |
---|---|---|---|
Cryptosporidium | Exponentiel | r = 0,018 | (Messner et coll., 2001) |
Giardia | Exponentiel | r = 0,01982 | (Rose et Gerba, 1991) |
Rotavirus | Bêta-Poisson | α = 0,265 β = 0,4415 |
(Haas et coll., 1999) |
E. coli O157 :H7Note de bas de page 1 | Bêta-Poisson | α = 0,0571 β =2,2183 |
(Strachan et coll., 2005) |
Campylobacter | Bêta-Poisson | α = 0,145 β = 7,59 |
(Medema et coll., 1996) |
|
Case B7 : Modèles dose-réponse
Les modèles dose-réponse sont élaborés en fonction d'essais d'alimentation, d'enquêtes à la suite d'une éclosion ou une combinaison de ceux-ci. Bien que plusieurs modèles puissent être utilisés pour décrire les résultats des études dose-réponse, les modèles qui se sont avérés décrire le mieux les données observées sont le modèle exponentiel ou le modèle bêta-Poisson. Ces deux modèles reposent sur la théorie de cible unique selon laquelle chaque organisme agit indépendamment des autres et il est seulement nécessaire qu'un seul organisme survive à l'interaction hôte-pathogène pour causer une infection (Haas et coll., 1999).
B.4.2.1 Modèle exponentiel (pour Cryptosporidium et Giardia)
Le modèle exponentiel comporte deux principales hypothèses qui sous-tendent son calcul. Il suppose tout d'abord que le nombre d'agents pathogènes causant une infection est réparti de façon binomiale et que l'effet est le même si un seul agent pathogène ou plusieurs agents pathogènes sont responsables de l'infection. Selon cette hypothèse, la probabilité qu'au moins un agent pathogène cause une infection, dans le cas d'un nombre défini d'agents pathogènes, peut être déterminée à l'aide de l'équation suivante :
(7)

Dans cette équation, j représente un nombre distinct et exact d'agents pathogènes, alors que r représente une constante propre à chaque agent pathogène, calculée à partir d'études dose-réponse (tableau B1).
Le modèle exponentiel suppose également que l'on peut décrire la probabilité d'ingestion d'une dose définie et exacte d'organismes (j) selon une concentration moyenne d'agents pathogènes consommée par jour dans l'eau potable (Dose ingéréequot) par l'équation suivante (c.-à-d. une distribution de Poisson) :
(8)

Dans le modèle d'ÉQRM de SC, on utilise des nombres définis d'agents pathogènes (j) qui varient entre zéro et un maximum de 100 organismes par incréments d'un (1) organisme supplémentaire par dose. Le produit des équations (7) et (8) fournit la probabilité d'infection des paramètres saisis. La section B.4.3 décrit la façon d'utiliser ces probabilités.
B.4.2.2 Modèle bêta-Poisson (pour le rotavirus, E. coli O157:H7, Campylobacter)
Le calcul du modèle bêta-Poisson est similaire à celui du modèle exponentiel, mais le modèle bêta-Poisson présuppose que la probabilité d'un nombre exact connu d'agents pathogènes (j) qui n'induit pas d'effet est distribuée de façon bêta-binomiale et non de façon binomiale. Par conséquent, la probabilité qu'au moins un agent pathogène cause une infection sur un nombre connu d'agents pathogènes peut être déterminée à l'aide de l'équation suivante :
(9)

où,
- α et β sont des paramètres précis d'agents pathogènes utilisés pour décrire la capacité d'un agent pathogène à survivre et à causer une infection chez une personne, calculés à partir d'études dose-réponse (tableau B1); et
- Γ représente une fonction gamma et log est un logarithme naturel
La deuxième hypothèse du modèle bêta-Poisson est la même que celle du modèle exponentiel : la dose réelle ingérée par une personne est distribuée selon la loi Poisson et peut être décrite par l'équation (8). Le produit des équations (8) et (9) donne la probabilité d'infection des paramètres saisis. L'approximation du modèle bêta-Poisson est souvent utilisée dans les différentes publications, puisqu'elle simplifie l'équation. Elle n'a pas été utilisée dans le présent modèle, car les hypothèses à l'égard de son utilisation ne sont pas applicables pour les agents pathogènes sélectionnés. Cependant, en raison des limites de la plateforme logicielle choisie (Microsoft Excel), on n'a pas pu y inclure le modèle bêta-Poisson exact (comprenant la fonction hypergéométrique confluente de Kummer). On a plutôt décomposé le modèle bêta-Poisson en sa valeur bêta-bionomiale et en distributions de Poisson tel qu'il est expliqué plus haut. La section B.4.3 décrit la façon d'utiliser les probabilités d'infection.
B.4.3 Probabilité d'infection
Les calculs de dose-réponse à la section B.4.2 déterminent la probabilité d'infection de chaque tranche de distribution log-normale à chaque dose définie variant entre 0 et 100 organismes. Une telle méthode (c.-à-d. de dose-réponse conditionnelle) est employée en raison des limites que présente la plateforme logicielle choisie lorsqu'on utilise des modèles dose-réponse complexes tels que le modèle bêta-Poisson exact. Il en résulte une grande matrice de données qui doit être additionnée par le modèle afin que l'on obtienne une probabilité finale d'infection. Tout d'abord, pour chaque tranche de distribution log-normale, le modèle calcule la probabilité d'ingérer chaque dose définie (entre 0 et 100) en tenant compte du nombre moyen d'organismes ingérés pour cette tranche. La probabilité d'ingestion est alors multipliée par la probabilité correspondante d'infection, puis additionnée pour obtenir la probabilité d'infection d'une tranche de la distribution log-normale. Ce processus est réalisé pour chacune des quelque 500 tranches d'intégration de la distribution log-normale. Chaque tranche de distribution est alors pondérée à l'aide de la probabilité de la concentration d'agents pathogènes présente dans la distribution log-normale. Les probabilités d'infection pondérées sont alors additionnées afin d'obtenir la probabilité globale d'infection par jour (Pinfection, jour). Cette valeur est affichée dans la feuille de calcul « Input_Output » (voir la figure B4).
Afin de diminuer la durée de cycle du modèle, on a appliqué la limite de 100 organismes comme compromis dans les scénarios réalistes de traitement et de contamination de l'eau potable canadienne. Il est à prévoir que la concentration de tout agent pathogène donné présent dans l'eau potable traitée au Canada soit bien inférieure à 100 organismes par litre comme dose moyenne. Puisque la limite supérieure de la dose définie a été établie à 100 organismes, ce modèle ne peut être utilisé pour examiner les scénarios selon lesquels la dose ingérée moyenne est supérieure à cette valeur. À titre d'exemple, si un utilisateur saisit des données qui représentent une source d'eau potable qui n'est pas traitée et que la source d'eau est si contaminée que la dose moyenne d'agents pathogènes ingérée est supérieure à 100, le modèle estimera à tort de très faibles taux de probabilité d'infection et de maladie, car la concentration d'agents pathogènes sort du cadre de l'analyse. Un tel scénario déclenche alors une alerte visant l'utilisateur du modèle.

Figure B4 - Équivalent textuel
Les résultats des calculs pour le modèle AQRM de SC sont affichés. Cela inclut les valeurs calculées suivantes pour Cryptosporium, Giardia, rotavirus, Campylobacter et E. coli: la probabilité journalière d'infection pour un individu; la probabilité d'infection par an pour un individu; la probabilité de maladie par année pour un individu; le nombre total de maladies par an dans la population; les DALY pour 1000 cas de maladie, présentés comme les YLD, les LYL, et la contribution totale (respectivement); le risque annuel DALY pour un individu; et le nombre total de DALY par année dans la population.
L'équation suivante sert à calculer la probabilité d'au moins une (1) infection par année, en tenant compte d'un risque d'infection quotidien (Pinfection, jour) (OMS, 2016) :
(10)
Pinfection par année = 1 − (1 − Pinfection, jour)365
Cette équation présuppose que le risque d'infection est le même chaque jour de l'année et que la population ne développe aucune résistance ou immunité. En fait, le risque d'infection variera d'un jour à l'autre selon les variations de la qualité de la source d'eau, l'efficacité de traitement et le volume d'eau consommée. En outre, une infection antérieure par certains agents pathogènes entériques fournit une immunité protectrice des infections subséquentes. Il faut également mentionner que même si l'équation (10) donne une bonne estimation de la probabilité annuelle moyenne d'infection, elle peut surestimer l'éventail de probabilités d'infection, puisqu'on suppose que le risque d'infection est le même chaque jour (Petterson et coll., 2015). Le modèle d'ÉQRM de SC ne vise toutefois pas à prédire le nombre d'infections ou de maladies dans une population, mais à fournir une probabilité d'occurrence d'une maladie en fonction des renseignements sur la qualité de la source d'eau et le système de traitement. Les hypothèses ci-dessus sont considérées comme raisonnables aux fins d'examen des risques relatifs associés à un système.
B.5 Estimer les effets sur la santé
L'étape finale du modèle d'ÉQRM de SC consiste à déterminer la charge de morbidité exprimée en AVCI qui est associée au scénario d'entrée de chacun des agents pathogènes de référence. Les AVCI sont utilisées dans ce modèle d'évaluation de risques comme paramètre commun pour permettre de comparer des maladies avec différents effets sur la santé. Elles servent également à faire des comparaisons avec l'objectif sanitaire établi. Dans ce cas-ci, il s'agit de la concentration de référence de 10−6 AVCI par personne par année. Le fardeau calculé des valeurs de maladie figure dans la feuille de calcul « Input_Output » (voir la figure B4).
B.5.1 Déterminer la probabilité d'une maladie
Afin de déterminer le fardeau de la maladie associé à chaque agent pathogène de référence, il est d'abord nécessaire de calculer la probabilité de tomber malade une fois qu'une infection est établie, puisque ce ne sont pas toutes les infections qui mènent à la maladie. Certaines personnes infectées peuvent éliminer l'infection sans jamais développer de symptômes. D'autres peuvent être des transporteurs asymptomatiques d'infection. Ces personnes ne présentent aucun symptôme, mais continuent de transmettre l'agent pathogène dans leurs matières fécales.
La probabilité d'une maladie liée à une infection (Pmal/inf) varie entre chaque agent pathogène de référence. Les valeurs utilisées par le modèle de Pmal/inf sont tirées de publications et sont fournies dans le tableau B2. Elles figurent également dans la feuille de calcul « Reference » du modèle. En ce qui concerne E. coli O157:H7, le modèle dose-réponse estime la probabilité de tomber malade, ce qui donne une Pmal/inf de 1,0 dans les calculs de risque. Pour ce qui est de Campylobacter, les études actuelles ne fournissent pas de valeur cohérente pour Pmal/inf. La relation semble dépendre des doses, et certaines doses sont associées à une Pmal/inf de 1,0. D'autres études sont donc requises. Dans l'intervalle, la Pmal/inf a également été établie à 1,0 comme estimation prudente.
Agent Pathogène | P(mal/inf) | Référence |
---|---|---|
Cryptosporidium | 0,70 | Casmen et coll., 2000 |
Giardia | 0,40 | Nash et coll., 1987 |
Rotavirus | 0,88 | Havelaar et Melse, 2003 |
E. coli O157:H7 | 1,0 | Strachan et coll., 2005 |
Campylobacter | 1,0 | Suppose que toutes les infections mènent à une maladie |
La probabilité de tomber malade par année d'une personne (Pmaladie, an) est calculée à l'aide de l'équation suivante. Ce calcul est effectué pour chacun des cinq agents pathogènes de référence.
(11)
Pmaladie, an = Pinfection par année × Pmal/inf
Le nombre total de maladies dans une population peut être calculé pour chaque agent pathogène en multipliant le risque annuel de cas de maladie dans une population.
(12)
Maladies par annéepop = Pmaladie, an Population
B.5.2 Calcul des AVCI
Bien qu'il soit éclairant d'estimer la probabilité de tomber malade par personne par année, cette valeur ne fournit pas une indication claire du fardeau sanitaire associé à une source d'eau potable, puisque l'importance des effets sur la santé varie selon chaque agent pathogène de référence. Comme il a été mentionné précédemment, les AVCI sont utilisées comme paramètre commun afin de comparer les maladies ayant différents effets sur la santé. Les AVCI comprennent les années de vie perdues (AVP) visant à calculer l'incidence d'un décès précoce en raison d'une maladie, ainsi que les années vécues avec une incapacité (AVI) visant à calculer la morbidité associée à une maladie.
B.5.2.1 Calcul des AVP
Puisqu'un décès précoce élimine des années potentielles de vie saine, les AVP sont calculées comme étant la différence entre l'âge au décès et l'espérance de vie de la population, multipliée par le poids de la gravité associé à une perte de vie et la proportion de toutes les personnes qui subissent l'effet (appelée proportion de l'effet).
(13)
AVI = (espérance de vie-âge au décès) × poids de la gravité × proportion de l'effet
Le modèle utilise l'espérance de vie combinée (c.-à-d. l'espérance de vie moyenne des hommes et des femmes - 80,88 ans (Statistique Canada, 2012)), puisque les agents pathogènes de référence n'entraînent pas d'effets sanitaires propres au genre. En ce qui concerne Cryptosporidium, Giardia, le rotavirus et E. coli O157, l'âge médian pondéré (38,98 ans) est utilisé comme étant l'âge au moment du décès, ce qui présuppose qu'il n'y a aucune différence en matière de taux de mortalité entre les catégories d'âge. Pour ce qui est de Campylobacter, la mortalité survient principalement au sein d'une population âgée. Par conséquent, l'âge au moment du décès est présumé être l'âge médian de la catégorie de population la plus âgée (72,94 ans). Des tableaux complets des valeurs d'espérance de vie et d'âge de la population canadienne figurent dans la feuille de calcul « Reference » du modèle. Dans tous les cas, un poids de la gravité de 1,0 est attribué à une perte de vie. Le tableau B3 fournit les poids de la gravité et les renseignements sur les proportions de l'effet pour chaque agent pathogène de référence. On présuppose que les fractions de l'effet pour la mort sont de 1 sur 100 000 pour Cryptosporidium et Giardia, et que le rotavirus et Campylobacter ont un taux de létalité de 1 sur 10 000. Pour ce qui est de E. coli O157:H7, le risque de décès est plus élevé, de 1 sur 4 000 (Havelaar et Melse, 2003).
B.5.2.2 Calcul des AVI
Pour calculer les années vécues avec une incapacité (AVI), la proportion de l'effet est multipliée par le poids de la gravité (tableau B3) et la durée de la maladie (tableau B4) pour chaque effet de maladie qui est attribué à l'agent pathogène. Ces produits sont alors additionnés afin de donner l'AVI par cas de maladie.
(10)
AVI par cas = Σ Proportion de l'effet(durée de la maladie×poids de la gravité)
Maladie | Poids de la gravitéNote de bas de page e | Proportions de l'effet | ||||
---|---|---|---|---|---|---|
CryptosporidiumNote de bas de page c | GiardiaNote de bas de page a | RotavirusNote de bas de page a | CampylobacterNote de bas de page b | E. coli O157Note de bas de page b | ||
Diarrhée bénigne | 0,067 | 0,99999 | 0,99999 | 0,50 | 1,00 | 0,53 |
Diarrhée sanglante | 0,39 | 0,50 | 0,06 | 0,47 | ||
Syndrome de Guillain-Barré (SGB) clinique et résiduel | 0,0002 | |||||
SGB résiduel | 0,0002 | |||||
Arthrite réactionnelle | 0,023 | |||||
Syndrome hémolytique et urémique (SHU) | 0,93 | 0,01000 | ||||
Insuffisance rénale au stade ultime (IRSU) | 0,95Note de bas de page d | 0,00118 | ||||
Décès (SGB) | 1,0 | 0,0000046 (1 dans 217 000) |
||||
Décès | 1,0 | 0,00001 (1 dans 100 000) |
0,00001 (1 dans 100 000) |
0,0001 (1 dans 10 000) |
0,0001 (1 dans 10 000) |
0,00025 (1 dans 4 000) |
|
Maladie | Cryptosporidium | Giardia | Rotavirus | Campylobacter | E. coli O157 |
---|---|---|---|---|---|
diarrhée bénigne | 0,01918 (7 jours) |
0,01918 (7 jours) |
0,01918 (7 jours) |
0,01397 (5,1 jours) |
0,00932 (3,4 jours) |
diarrhée grave (c.-à-d. sanglante) | - | - | 0,01918 (7 jours) |
0,0230 (8,4 jours) |
0,01534 (5,6 jours) |
SHU | - | - | - | - | 0,0575 (21 jours) |
IRSU | - | - | - | - | 9,35 |
clinique (SGB) résiduel (SGB) arthrite réactionnelle |
0,29Note de bas de page a 5,8Note de bas de page a 0,115 (42 jours) |
||||
décès (SGB) décès |
(e* - adécès) | (e* - adécès) | (e* - adécès) | (e* - adécès) (e* - adécès) |
(e* - adécès) |
|
B.5.2.3 Nombre total d'AVCI
Le nombre total d'AVCI par cas de maladie constitue la somme de l'AVI et de l'AVP. Dans le cas d'un agent pathogène d'origine hydrique causant une maladie gastro-intestinale bénigne et ayant un faible taux de létalité, il est courant d'observer que le fardeau de la maladie est exprimé en AVCI pour 1 000 cas afin d'illustrer plus clairement l'effet sur la santé. La figure B4 montre les AVCI estimées par cas de maladie pour chaque agent pathogène de référence, y compris la contribution de la morbidité (AVP) et de la mortalité (AVI). Sauf en ce qui concerne le rotavirus, ces valeurs d'AVCI sont très similaires aux valeurs comparables qui sont tirées de publications (Gibney et coll., 2014). Les AVCI pour 1 000 cas qui sont calculées à l'aide de ce modèle de rotavirus sont environ trois fois plus importantes que celles de l'étude tirée des publications en raison des hypothèses divergentes formulées au sujet de la population sensible et de la durée de la maladie.
Les AVCI par personne par année sont alors calculés en multipliant la probabilité de maladie par personne par année par les AVCI par cas de maladie pour chaque agent pathogène. Ces valeurs peuvent être alors comparées à l'objectif sanitaire de 1 × 10−6 AVCI par personne par année conformément aux Recommandations pour la qualité de l'eau potable au Canada. Les AVCI par personne par année (risque annuel [individuel] en AVCI) sont affichées dans la feuille de calcul « Input_output » du modèle (figure B4). Le modèle affiche également le nombre total d'AVCI par année dans la population en fonction de celle qui est ajoutée par l'utilisateur dans la feuille de calcul « Input_output ».
B.6 Utiliser le modèle - un exemple illustratif
Les sections suivantes présentent un bref exemple de la façon dont le modèle d'ÉQRM peut être utilisé. Cet exemple ne vise pas à fournir une procédure par étapes pour réaliser une évaluation de risques à l'aide du modèle. Il s'agit d'une approche simplifiée, présentée aux fins d'illustration seulement, afin de montrer la façon dont le modèle d'ÉQRM peut faciliter le processus décisionnel lié à un système d'eau potable. Il est possible de trouver d'autres exemples d'évaluation de risques dans d'autres publications (U.S. EPA, 2005a, 2006a; Medema et coll., 2009; Schijven et coll., 2011; OMS, 2016; Bartrand et coll., 2017a,b).
B.6.1 Portée de l'évaluation de risques
Le système d'eau potable municipal dans cette étude de cas fictive est approvisionné par une usine de traitement d'eau de surface qui tire son eau brute d'une grande rivière. Une population de 200 000 personnes est desservie par ce système. Depuis deux ans, la municipalité effectue une surveillance mensuelle des agents pathogènes (voir les détails ci-dessous). Les échantillons ont été prélevés selon un horaire préétabli. Les conditions d'échantillonnage (c.-à-d. de référence ou d'incident) n'ont pas été consignées. Avec son ensemble de données sur les résultats de surveillance des agents pathogènes, et des renseignements sur les procédés de traitement en place, la municipalité souhaite réaliser une évaluation de risques préliminaire afin de comparer les risques avec le niveau de risque acceptable de 1 × 10−6 AVCI par personne par année (estimation du risque de référence). En outre, la municipalité souhaiterait examiner la façon dont ce niveau de risque pourrait être touché 1) par des conditions d'eau difficiles, 2) par la modification d'un procédé de désinfection dans des conditions de référence et dans des conditions difficiles, 3) par la perte d'un procédé de traitement pendant un certain temps, ainsi que 4) par l'efficacité de l'utilisation d'une autre méthode d'élimination physique. Ces analyses feront partie des données probantes utilisées pour aider à appuyer les décisions à venir au sujet des modifications qui seront apportées au système de traitement actuel, ainsi qu'aux futures expansions de celui-ci.
Le système utilisera les données de surveillance des agents pathogènes qu'il a recueillies afin d'estimer les moyennes et les écarts-types de chaque agent pathogène de référence. Puisqu'il n'y a aucun renseignement propre au site sur la réduction logarithmique des agents pathogènes, le modèle n'utilisera les valeurs tirées de publications. On suppose que l'ingestion d'eau du robinet non bouillie est la seule voie d'exposition, avec une consommation moyenne par habitant de 1,0 litre d'eau du robinet non bouillie par jour.
B.6.2 Estimation des risques de fond
La rivière est entourée d'un bassin hydrographique principalement sauvage, a une turbidité généralement faible (3-5 UTN), est très colorée (35 unités de couleur vraie) et contient de l'oxygène dissous (6,5 mg/L). Seules quelques petites collectivités vivent en amont de la ville, et les rejets d'eaux usées sont minimaux. Un grand nombre d'oiseaux aquatiques (bernaches du Canada, goélands et mouettes, et oiseaux de rivage) fréquentent le cours d'eau durant la migration, et certains de ces oiseaux passent l'hiver dans les zones qui ne gèlent pas complètement. Quelques affluents principaux drainent les zones agricoles, ce qui peut contribuer à un apport en nutriments et en agents pathogènes provenant des déchets d'origine animale dans le cours d'eau. Les données sur la surveillance des divers agents pathogènes dans l'eau brute ont été recueillies sur deux ans. Les ensembles de données de tous les agents pathogènes, sauf celles d'E. coli, contenaient des échantillons qui étaient inférieurs à la LD de la méthode. Tous les échantillons inférieurs à la LD ont été intégrés aux estimations de concentration en présupposant que les concentrations étaient à la LD. Ils étaient également corrigés en fonction de la récupération et des renseignements reçus du laboratoire (le cas échéant).
La concentration d'agents pathogènes n'indiquait pas de tendances saisonnières claires, et puisque les échantillons n'ont pas été identifiés comme étant des échantillons de référence ou d'incident, les données tirées d'une surveillance de deux ans (24 échantillons) ont été combinées pour donner une estimation unique de la moyenne et de l'écart-type (tableau B5). Ces estimations, qui tiennent compte de la variabilité des concentrations d'agents pathogènes, seront associées à une certaine incertitude en raison du nombre limité d'échantillons prélevés et des limites des méthodes de détection des agents pathogènes, dont celle consistant à déterminer si les agents pathogènes comportent des risques infectieux pour l'humain. L'incertitude liée à ces valeurs ne sera toutefois pas explorée de façon plus approfondie aux fins des scénarios examinés par le service public.
Agent pathogène | Cryptosporidium (nbre/100 L) |
Giardia (nbre/100 L) |
Rotavirus (nbre/100 L) |
Campylobacter (ufc/100 mL) |
E. coli (ufc/100 mL) |
---|---|---|---|---|---|
Moyenne | 8,0 | 34,0 | 56,0 | 10,0 | 55,0 |
Écart-type | 12,0 | 72,0 | 62,0 | 22,0 | 100,0 |
ufc : unité formatrice de colonies |
L'usine de traitement d'eau dispose d'un procédé de traitement classique qui comprend les étapes suivantes : tamisage grossier, coagulation, floculation, sédimentation, filtration sur lit double, désinfection au chlore (désinfection primaire), ajustement du pH et chloration (désinfection secondaire). On suppose que l'eau du robinet ne subira pas d'autre traitement ou désinfection avant la consommation, et que la qualité de l'eau traitée ne se détériorera pas dans le réseau de distribution.
Comme le rendement de l'élimination physique du procédé de traitement est inconnu, on utilisera les efficacités moyennes pondérées de la coagulation/sédimentation et de la filtration - rapide granulaire (avec coagulation/sédimentation) du modèle d'ÉQRM. On additionne les valeurs de ces deux étapes pour obtenir l'élimination logarithmique globale. L'utilisation des valeurs du modèle d'ÉQRM ajoutera de l'incertitude aux risques estimés, puisque les ordres de grandeur de l'élimination logarithmique propre à un site pourraient être différents des valeurs moyennes comprises dans le modèle. Le service public a toutefois décidé, à titre d'évaluation préliminaire, que les valeurs moyennes tirées de publications étaient acceptables pour les scénarios qu'ils veulent examiner.
En ce qui concerne la désinfection primaire, le résidu de chlore suivant immédiatement la demande initiale est de 0,50 mg/L suivi d'un temps de contact de 60 minutes (pH = 6,0, température =10 °C). Le temps de contact repose sur le temps de rétention moyen, plutôt que sur la valeur T10, puisque cette évaluation vise à estimer la réduction moyenne par le procédé de traitement. Les bassins de contact ont été construits adéquatement et de façon à réduire au minimum les courts-circuits, et le facteur de déflexion a été établi à 0,65. Le facteur de décomposition de désinfectant du chlore est de 0,002 dans ce système.
À l'aide du modèle d'ÉQRM et des réductions logarithmiques indiquées dans le tableau B6, les estimations moyennes du fardeau de la maladie associé aux agents pathogènes de référence ont été calculées (tableau B7). La distribution des estimations est illustrée à la figure B5. Les niveaux de maladie dans cette plage ne seraient pas décelés, sauf à l'extrémité de la courbe de la giardiase, et sont bien inférieurs au niveau de risque de référence de 10−6 AVCI/personne par année.

Figure B2 - Équivalent textuel
Un graphique qui montre la distribution du fardeau sanitaire annuel estimé qui est associé à la consommation d'eau potable produite au moyen des procédés de traitement de base. La distribution du fardeau estimé est montrée pour chaque pathogène, à savoir le Cryptosporidium, le Giardia, les rotavirus, le Campylobacter et E. coli O157:H7. L'axe des x du graphique correspond au risque exprimé en AVCI/personne par année. Il est présenté sur une échelle logarithmique, et les valeurs sur l'axe des x se situent entre 10−15 et 1. L'axe des y du graphique correspond à la fonction de distribution de probabilités normalisée. Il est présenté sur une échelle logarithmique, et les valeurs sur l'axe des y se situent entre 0 et 1. Le niveau de risque de référence de 10−6 AVCI/personne par année est illustré sur le graphique par une ligne pointillée verticale. La distribution du fardeau sanitaire annuel estimé pour chaque pathogène est normale. La courbe de distribution va d'environ un peu moins de 10−11 à 10−9 pour le Cryptosporidium; un peu moins de 10−12 à 10−9 pour le Giardia; 10−15 à 10−13 pour les rotavirus; un peu plus de 10−11 à un peu moins de 10−8 pour le Campylobacter; et un peu moins de 10−11 à 10−9pour E. coli O157:H7. Le pic de chaque distribution de probabilités est normalisé à 1.
B.6.3 Modifications aux procédés de traitement
À l'aide des mêmes données sur les agents pathogènes (tableau B5), le modèle d'ÉQRM a servi pour examiner comment la modification des procédés de traitement pourrait avoir une incidence sur la qualité de l'eau produite. Comme le modèle d'ÉQRM calcule l'estimation des risques en fonction de l'exposition annuelle, il suppose que les valeurs utilisées reflètent les valeurs du système d'eau chaque jour de l'année. Bien qu'un risque quotidien constant soit peu probable, puisque la qualité de l'eau et le rendement de traitement varieront tout au long de l'année, cette hypothèse permet de comparer les scénarios de traitement (c.-à-d. d'examiner les risques relatifs). Cette valeur sert également aux fins de comparaison avec les cibles acceptables de risque sanitaire. Le modèle affiche aussi le risque individuel quotidien d'infection, lequel peut servir à étudier les risques relatifs associés aux interruptions de traitement à court terme. Le système fictif de ce scénario permet d'examiner l'effet des variations de traitement possibles dans trois scénarios distincts : 1) l'efficacité de la désinfection au chlore dans des conditions difficiles (c.-à-d. des températures d'eau froide et un temps de contact réduit), 2) la perte de la désinfection au chlore pour une période prolongée (p. ex. 2 heures), 3) l'utilisation d'ozone comme solution de rechange au désinfectant au chlore, et 4) l'efficacité d'une usine avec filtration sur membrane par rapport au traitement classique.
En ce qui concerne le premier scénario, les entrées du modèle d'ÉQRM ont été établies afin de représenter des conditions de désinfection difficiles. Les températures d'eau dans le réseau varient entre 1 °C et 21 °C tout au long de l'année. Le réseau s'appuie sur le chlore pour tuer les agents pathogènes, et le taux d'inactivation de ce produit chimique dépend de la température. Par conséquent, le modèle d'ÉQRM a été utilisé avec les mêmes paramètres dans l'estimation de base, et comprenait les modifications suivantes : la température de l'eau a été établie à 1 °C et le temps de contact utilisé était de 20 minutes afin de représenter une estimation prudente de l'inactivation au chlore. La réduction logarithmique dans ces conditions est indiquée dans le tableau B6, et les risques sanitaires calculés sont illustrés au tableau B7. Puisque l'inactivation au chlore est inefficace contre Cryptosporidium, les conditions de désinfection difficiles n'ont aucune incidence sur la baisse de la concentration de cet agent pathogène par le traitement. Inversement, les bactéries pathogènes sont extrêmement vulnérables à l'inactivation au chlore. Par conséquent, même en utilisant des estimations prudentes, l'inactivation maximale appliquée par le modèle (> 8,0 log) est quand même atteinte. La plus grande incidence sur les risques estimés vient de Giardia et du rotavirus. Le risque estimé de Giardia a augmenté d'environ 1 log, alors que le risque estimé annuel lié au rotavirus a augmenté d'environ 1,7 log. Les deux valeurs sont encore inférieures à la cible annuelle, bien que celle de Giardia soit maintenant inférieure à un ordre de grandeur et qu'il serait probablement justifié de déterminer le degré d'incertitude entourant les réductions logarithmiques réalisées.
Processus (log10) | Cryptosporidium | Giardia | Rotavirus | Campylo-bacter | E. coli |
---|---|---|---|---|---|
Conditions de base | |||||
Coagulation/sédimentation | 1,86 | 1,61 | 1,76 | 1,55 | 1,55 |
Filtration - rapide granulaire (avec coag./séd.) | 2,41 | 1,92 | 1,11 | 0,87 | 0,87 |
Inactivation au chlore (10°C, 60 min) |
0,0 | 1,15 | > 8,0 | > 8,0 | > 8,0 |
Traitement modifié | |||||
Inactivation au chlore (1°C, 20 min) | 0,0 | 0,23 | 6,3 | > 8,0 | > 8,0 |
Inactivation à l'ozone (10°C, 20 min) |
0,25 | 4,0 | 4,0 | 8,0 | 8,0 |
Inactivation à l'ozone (1°C, 20 min) |
0,10 | 3,79 | 4,0 | 8,0 | 8,0 |
Filtre sur membrane (microfiltration) | 6,13 | 6,62 | 1,10 | 4,60 | 4,60 |
Défaillance du dispositif de chloration (élimination physique seulement) | 4,27 | 3,53 | 2,87 | 2,42 | 2,42 |
En ce qui a trait au deuxième scénario, le service public fictif souhaitait mener une étude sur le risque accru associé à une perte complète à court terme de désinfection au chlore. Une période de 2 heures a été choisie pour représenter le temps nécessaire pour découvrir la perte et y remédier. On a supposé que les agents pathogènes présents durant les 2 heures où l'eau n'était pas chlorée se sont répartis uniformément dans le réseau de distribution et se sont mélangés au reste de l'eau chlorée produite cette journée-là. Cela simule une exposition de toute la population aux agents pathogènes libérés durant la défaillance du dispositif de chloration, mais à une concentration diluée. Une autre approche serait de supposer que l'eau n'ayant pas été chlorée durant la période de 2 heures ne s'est pas dispersée et, par conséquent, qu'un nombre réduit de personnes aurait été exposé à une concentration beaucoup plus élevée d'agents pathogènes. Cependant, la première approche fournit une estimation plus conservatrice, étant donné que l'exposition de la population en entier (bien qu'à une concentration diluée) se traduira par un fardeau accru d'AVCI puisqu'un plus grand nombre de gens tomberaient malades, comparativement à l'exposition d'un nombre réduit de personnes à une concentration élevée d'agents pathogènes. Pour calculer le risque à court terme, on a utilisé le risque quotidien d'infection plutôt que le risque sanitaire annuel. Tout d'abord, les concentrations d'eau traitée dans les conditions de référence et les conditions de défaillance du dispositif de chloration ont été calculées pour chaque agent pathogène à l'aide de l'équation (5) ainsi que de la concentration dans la source d'eau et des données sur la réduction résultant du traitement dans les tableaux B5 et B6. Ensuite, on a utilisé les concentrations d'eau traitée pour les conditions de référence (CB) et de défaillance du dispositif de chloration (CCF) pour estimer la concentration diluée globale (CD) de chaque agent pathogène de référence dans l'eau traitée (équation (15).
(15)
CD = CB (22 h/24 h) + CCF (2 h/24 h)
La concentration d'eau traitée (CD) pour chaque pathogène de référence a ensuite été entrée en tant que concentration moyenne d'eau brute à l'écran de saisie du modèle de SC et tous les choix de traitement ont été mis à « aucun », puisqu'une concentration d'eau traitée est utilisée. L'écart-type a été maintenu aux valeurs d'origine. La probabilité quotidienne d'infection calculée pour ce scénario est indiquée au tableau B7. Si on compare la probabilité quotidienne d'infection de ce scénario avec les valeurs de référence, il apparaît évident que la perte de désinfection au chlore pendant 2 heures a une influence considérable sur les risques quotidiens présentés par les virus, Campylobacter et E. coli. Dans une population de 200 000 personnes, cette augmentation du risque se traduirait en théorie par 4, 61 et 20 infections, respectivement. Par comparaison, l'eau traitée produite dans des conditions de référence se traduirait par 0,0001, 0,0005 et 0,0008 infection, respectivement (ce qui est négligeable). Cette information a poussé le service public à examiner plus à fond les répercussions de la perte de chloration pendant différentes périodes afin d'étayer les décisions critiques aux points de contrôle (non illustré).
En ce qui concerne le troisième scénario, le service public fictif souhaitait mener une étude sur l'utilisation d'un autre désinfectant primaire, soit l'ozone. Pour ce scénario, on a supposé que la coagulation/sédimentation et la filtration sont demeurées inchangées, alors que le désinfectant primaire ajouté est de l'ozone, plutôt que du chlore. Les conditions d'eau difficiles et de référence ont été considérées aux fins de comparaison. La concentration d'ozone suivant immédiatement la demande initiale a été établie à 0,50 mg/L, suivi d'un temps de contact de 20 minutes [pH = 6,0, température = 10 °C (référence) ou 1 °C (difficile)]. Puisque l'ozone est reconnu pour réagir très rapidement dans l'eau, le temps de contact a été établi à la valeur T10 des deux scénarios. Le facteur de déflexion était encore à 0,65. On a supposé que le facteur de décomposition du désinfectant de l'ozone dans ce système était de 0,2.
Les estimations du fardeau sanitaire moyen sont indiquées dans le tableau B7. La distribution des estimations est montrée (pour les conditions de référence) dans la figure B6. Pour les conditions de qualité d'eau difficiles, seules les estimations du fardeau moyen de la maladie associée à Cryptosporidium et à Giardia ont été modifiées, avec un risque estimé ayant augmenté d'environ 0,1 et 0,2 log, respectivement. Le service public a alors utilisé les valeurs estimées de réduction logarithmique d'ozone pour l'eau froide afin de les comparer avec les estimations de désinfection au chlore de référence. Cette comparaison a révélé que le risque estimé lié à Cryptosporidium, à Campylobacter et à E. coli O157:H7 est demeuré environ le même. L'inactivation de Cryptosporidium a atteint un niveau très bas en utilisant l'ozone (0,1 log), alors qu'il n'y en avait aucune avec le chlore. Les deux bactéries de référence ont atteint l'inactivation maximale allouée par le modèle, puisqu'elles sont très vulnérables aux deux désinfectants. Giardia, d'autre part, était plus facilement inactivée avec l'ozone et le risque estimé a diminué d'environ 3 log. Inversement, bien que le risque estimé lié au rotavirus a augmenté d'environ 4 log, selon les études publiées, le modèle limite l'inactivation logarithmique au moyen de l'ozone à 4 log de moins que le chlore (limitée à 8 log), ce qui complexifie la comparaison directe. Tous les risques estimés étaient inférieurs à l'objectif sanitaire annuel.

Figure B6 - Équivalent textuel
Un graphique montrant la distribution des estimations annuelles du fardeau de la maladie à partir de la consommation d'eau potable produite par désinfection à l'ozone au moyen des procédés de traitement de base. La répartition des estimations de la charge de morbidité est indiquée pour Cryptosporidium, Giardia, rotavirus, Campylobacter et E. coli O157: H7. L'axe des x du graphique représente le risque AVCI/personne par année. Il est présenté sur une échelle logarithmique et les valeurs de l'axe vont de 10−15 à 1. L'axe des y du graphique est la fonction de distribution de probabilité normalisée. Il est présenté sur une échelle linéaire et les valeurs de l'axe vont de 0 à 1. Le niveau de risque de référence de 10−6 AVCI/personne par année est illustré sur le graphique par une ligne verticale en pointillés. Les estimations annuelles de la maladie pour chaque agent pathogène sont normalement distribuées. Les courbes de distribution s'étendent approximativement de: un peu moins de 10−10 à presque 10−6 pour Cryptosporidium; un peu moins de 10−13 à 10−9 pour Giardia; un peu plus de 10−10 à un peu moins de 10−6 pour le rotavirus; 10−13 à un peu plus de 10−9 pour Campylobacter, et un peu plus de 10−13 à presque 10−8 pour E. coli O157: H7. Le pic de chaque distribution de probabilité est normalisé à 1.
Dans le quatrième scénario, le service public fictif souhaitait mener un examen du recours à une solution de rechange au procédé d'élimination physique dans le cadre d'un projet d'expansion d'une usine de traitement d'eau. Pour ce scénario, on a supposé que la désinfection au chlore était réalisée dans les conditions des estimations de référence (10 °C, 60 min) de l'usine actuelle. On supposait que l'autre procédé d'élimination physique était la microfiltration (tableau B6). Les estimations du fardeau moyen de la maladie sont indiquées au tableau B7. La distribution des estimations est illustrée à la figure B7. Sauf en ce qui concerne le rotavirus, le scénario de microfiltration a permis d'obtenir des risques estimés équivalents ou inférieurs à ceux associés à une usine de traitement classique. Les risques liés au rotavirus étaient plus élevés, mais quand même bien inférieurs à l'objectif sanitaire annuel.
Scénario/brève description | Cryptosporidium | Giardia | Virus | Campylobacter | E. coli | |||||
---|---|---|---|---|---|---|---|---|---|---|
AVCI / p-a | Pinf, jour | AVCI/ p-a | Pinf, jour | AVCI/ p-a | Pinf, jour | AVCI/ p-a |
Pinf, jour | AVCI/ p-a |
Pinf, jour | |
Référence | 3,3 × 10−8 | 7,6 × 10−8 | 3,6 × 10−8 | 1,5 × 10−7 | 7,6 × 10−12 | 2,9 × 10−12 | 1,2 × 10−10 | 7,4 × 10−11 | 1,6 × 10−10 | 1,8 × 10−11 |
1/ 1°C, 20 min | 3,3 × 10−8 | 7,7 × 10−8 | 3,0 × 10−7 | 1,2 × 10−6 | 3,8 × 10−10 | 1,4 × 10−10 | 1,2 × 10−10 | 7,4 × 10−11 | 1,6 × 10−10 | 1,8 × 10−11 |
2/ perte de chloration de 2 heures | S.O. | 5,5 × 10−8 | S.O. | 2,1 × 10−7 | S.O. | 2,0 × 10−5 | S.O. | 3,0 × 10−4 | S.O. | 1,0 × 10−6 |
3/ Ozone, 10°C | 1,9 × 10−8 | 4,4 × 10−8 | 5,0 × 10−11 | 2,0 × 10−10 | 7,6 × 10−8Note de bas de page * | 2,9 × 10−8Note de bas de page * | 1,3 × 10−10 | 7,4 × 10−11 | 1,6 × 10−10 | 1,8 × 10−11 |
3/ Ozone, 1°C | 2,6 × 10−8 | 6,1 × 10−8 | 8,1 × 10−11 | 3,3 × 10−10 | 7,6 × 10−8Note de bas de page * | 2,9 × 10−8Note de bas de page * | 1,3 × 10−10 | 7,4 × 10−11 | 1,6 × 10−10 | 1,8 × 10−11 |
4/ Filtration sur membrane | 4,5 × 10−10 | 1,1 × 10−9 | 2,9 × 10−11 | 1,2 × 10−10 | 4,5 × 10−10 | 1,7 × 10−10 | 8,3 × 10−13 | 4,9 × 10−13 | 1,1 × 10−12 | 1,2 × 10−13 |
|

Figure B2 - Équivalent textuel
Graphique montrant la distribution des estimations annuelles de la charge de morbidité à partir de la consommation d'eau potable produite par filtration membranaire selon le scénario 3. La répartition des estimations de la charge de morbidité est indiquée pour Cryptosporidium, Giardia, rotavirus, Campylobacter et E. coli O157: H7. L'axe des x du graphique représente le risque annuel exprimés en AVCI/personne par année. Il est présenté sur une échelle logarithmique et les valeurs de l'axe vont de 10−15 à 1. L'axe des y du graphique est la fonction de distribution de probabilité normalisée. Il est présenté sur une échelle linéaire et les valeurs de l'axe vont de 0 à 1. Le niveau de risque de référence de 10−6 AVCI/personne par année est illustré sur le graphique par une ligne verticale en pointillés. Les estimations annuelles de la maladie pour chaque agent pathogène sont normalement distribuées. Les courbes de distribution s'étendent approximativement de: un peu plus de 10−12 à un peu plus de 10−8 pour Cryptosporidium; un peu plus de 10−14 à un peu plus de 10−9 pour Giardia; un peu plus de 10−12 à un peu plus de 10−9 pour le rotavirus; 10−9 pour Campylobacter, et un peu plus de 10−15 à presque 10−10 pour E. coli O157: H7. Le pic de chaque distribution de probabilité est normalisé à 1.
B.6.4 Interpréter les estimations des risques
À l'aide des scénarios de l'ÉQRM dans cette étude de cas, l'usine de traitement d'eau potable semble produire de l'eau potable d'une qualité microbiologique acceptable, en supposant que les conditions saisies dans le modèle d'ÉQRM reflètent le système d'eau potable. Si l'on tient compte des réductions de traitement appliquées dans le modèle (voir le tableau B6), il est évident que les réductions logarithmiques attribuables aux procédés d'élimination physique sont essentielles au contrôle du risque lié à Cryptosporidium. Les taux de chlore et d'ozone dans les conditions saisies offrent un niveau d'inactivation négligeable. La concentration de Giardia, d'autre part, est réduite par l'élimination physique et la désinfection. Toutefois, dans des conditions de désinfection difficiles, comme la désinfection au chlore dans l'eau froide, le risque lié à Giardia pourrait s'approcher du niveau cible d'après les données saisies dans le modèle. Ce résultat devrait inciter ce service public fictif à mener des études plus approfondies afin de mieux caractériser le risque probable lié à Giardia et de déterminer si le système respecte les objectifs sanitaires dans toutes les conditions d'eau. En ce qui concerne les agents pathogènes bactériens et viraux (Campylobacter, E. coli O157:H7 et le rotavirus), la désinfection est le principal procédé de réduction de ces organismes à des concentrations acceptables. En cas de défaillance prolongée du dispositif de désinfection au chlore, comme dans le scénario 2, le risque quotidien lié aux agents pathogènes bactériens et viraux augmente considérablement. Les résultats du scénario 3 ont montré que les agents pathogènes viraux résistent davantage à la désinfection que les agents pathogènes bactériens. Les conditions d'eau difficiles avec la désinfection au chlore ont fourni un taux de probabilité de risque qui était presque de deux ordres de grandeur supérieur aux conditions de référence, bien qu'il soit bien inférieur au niveau de risque acceptable. La température plus basse utilisée dans le cadre de cette étude de cas ne semble toutefois pas avoir influencé la désinfection par ozone L'ozone était également plus efficace pour contrôler les risques liés à Giardia. Le scénario 4 de ce service public fictif, qui menait une étude sur l'utilisation de la microfiltration au lieu de la filtration classique, a révélé que la microfiltration pourrait être utilisée pour produire une qualité d'eau acceptable dans les conditions du modèle.
Les scénarios ci-dessus présentent les effets relatifs sur la réduction des agents pathogènes en fonction des paramètres d'entrée et des hypothèses utilisés. Il est essentiel de connaître les hypothèses formulées dans le modèle pour bien interpréter les résultats des scénarios. Par exemple, le scénario de ce service public fictif suppose que les procédés d'élimination physique atteignent les réductions moyennes logarithmiques pondérées déclarées dans les publications scientifiques, ce qui peut sous-estimer ou surestimer par plusieurs ordres de grandeur les réductions logarithmiques. Bien qu'il s'agisse d'un exemple d'hypothèse qui pourrait avoir une grande incidence sur les résultats du scénario, d'autres paramètres affichent une variabilité moindre et, par conséquent, auraient peu d'impact. Connaître ces impacts fait partie de l'interprétation des résultats des scénarios analysés. Les scénarios ci-dessus seraient utilisés comme point de départ pour que le service public fictif exécute d'autres analyses qui explorent l'éventail de conséquences à prévoir par la modification du rendement des traitements. Le service public pourrait également souhaiter explorer davantage la variabilité des concentrations d'agents pathogènes afin de déterminer l'incidence sur les risques estimés. Les niveaux de risque relatif pourraient alors être utiles lors de la prise de décisions sur des procédés de traitement de rechange ou pour déterminer les paramètres d'entrée qui mériteraient une exploration approfondie de la variabilité propre à un site dans le but de diminuer le degré d'incertitude liée aux résultats.
Partie C. Références et acronymes
C.1 Références
Ashbolt, N.J., Schoen, M.E., Soller, J.A. et Roser, D.J. (2010). Predicting pathogen risks to aid beach management: The real value of quantitative microbial risk assessment (QMRA). Water Res., 44(16): 4692-4703.
Barbeau, B., Payment, P., Coallier, J., Clément, B. et Prévost, M. (2000). Evaluating the risk of infection from the presence of Giardia and Cryptosporidium in drinking water. Quant. Microbiol., 2(1): 37-54.
Bartrand, T.A., Hargy, T., McCuin, R. et Rodriguez del Rey, Z. (2017a). Demonstration of the Health Canada quantitative microbial risk assessment tool for two drinking water plants in the United Kingdom. Water Research Foundation, U.S.A.
Bartrand, T.A., Hargy, T., McCuin, R., Rodriguez del Rey, Z., Douglas, I., Elliot, J., Andrews, R. et McFadyen, S. (2017b). Using QMRA to estimate health risks of pathogens in drinking water. Water Research Foundation, U.S.A.
Bolton, J.R. et Cotton, C.A. (2008). The ultraviolet disinfection handbook. American Water Works Association, Denver, Colorado.
Casman, E.A., Fischhoff, B., Palmgren, C., Small, M.J. et Wu, F. (2000). An integrated risk model of a drinking-water - borne cryptosporidiosis outbreak. Risk Anal., 20(4): 495-511.
Dechesne, M. et Soyeux, E. (2007). Assessment of source water pathogen contamination. J. Water Health, 5 Suppl 1: 39-50.
Emelko, M.B., Schmidt, P.J. et Roberson, J.A. (2008). Quantification of uncertainty in microbial data - reporting and regulatory implications. J. Am. Water Works Assoc., 100(3): 94-104.
Gibney, K.B., O'Toole, J., Sinclair, M. et Leder, K. (2014). Disease burden of selected gastrointestinal pathogens in Australia, 2010. Int. J. Infect. Dis., 28: e176-e185.
Haas, C.N., Rose, J.B. et Gerba, C.P. (1999). Quantitative microbial risk assessment. John Wiley & Sons, Inc, New York, New York.
Hamouda, M.A., Anderson, W.B., Van Dyke, M.I., Douglas, I.P., McFadyen, S.D. et Huck, P.M. (2016). Scenario-based quantitative microbial risk assessment to evaluate the robustness of a drinking water treatment plant. Water Qual. Res. J. Can., 51(2): 81-96.
Havelaar, A.H. et Melse, J.M. (2003). Quantifying public health risk in the WHO Guidelines for drinking-water quality: a burden of disease approach. Rijkinstituut voor Volskgezondheid en Milieu, RIVM 734301022, Bilthoven, Pays Bas.
Hijnen, W.A.M. et Medema, G. (2007). Elimination of micro-organisms by drinking water treatment process: A review. Kiwa Water Research, Nieuwegein, Pays-Bas.
Hunter, P.R., De Sylor, M.A., Risebro, H.L., Nichols, G.L., Kay, D. et Hartemann, P. (2011). Quantitative microbial risk assessment of cryptosporidiosis and giardiasis from very small private water supplies. Risk Anal., 31(2): 228-236.
Jaidi, K., Barbeau, B., Carrière, A., Desjardins, R. et Prévost, M. (2009). Including operational data in QMRA model: Development and impact of model inputs. J. Water Health, 7(1): 77-95.
Macler, B.A. et Regli, S. (1993). Use of microbial risk assessment in setting US drinking water standards. Int. J. Food Microbiol., 18(4): 245-256.
Makri, A., Modarres, R. et Parkin, R. (2004). Cryptosporidiosis susceptibility and risk: A case study. Risk Anal., 24(1): 209-220.
Martins, M.T., Rivera, I.G., Clark, D.L. et Olson, B.H. (1992). Detection of virulence factors in culturable Escherichia coli isolates from water samples by DNA probes and recovery of toxin-bearing strains in minimal o-nitrophenol-ß-D-galactopyranoside-4-methylumbelliferyl-ß-D- glucuronide media. Appl. Environ. Microbiol., 58(9): 3095-3100.
Medema, G., Teunis, P., Blokker, M., Deere, D., Davison, A., Charles, P., et Loret, J-F. (2009). Risk assessment of Cryptosporidium in drinking water. Éditions de l'OMS, Organisation mondiale de la Santé, Genève, Suisse.
Medema, G.J., Teunis, P.F.M., Havelaar, A.H., Haas, C.N. (1996). Assessment of the dose-response relationship of Campylobacter jejuni. Int. J. Food Microbiol., 30: 101-111.
Messner, M.J., Chappell, C.L. et Okhuysen, P.C. (2001). Risk assessment for Cryptosporidium: A hierarchical bayesian analysis of human dose response data. Water Res., 35(16): 3934-3940.
MEO. Marche à suivre pour désinfecter l'eau potable en Ontario - Document adopté par référence (Procedure for Disinfection of Drinking Water in Ontario) au moyen du Règlement de l'Ontario 170/03, pris en application de la Loi sur la salubrité de l'eau potable. Ministère de l'Environnement de l'Ontario, PIBS 4448f01, Toronto (Ontario), 2006.
Murphy, H.M., Thomas, M.K., Medeiros, D.T., McFadyen, S. et Pintar, K.D.M. (2016). Estimating the number of cases of acute gastrointestinal illness (AGI) associated with Canadian municipal drinking water systems. Epidemiol. Infect., 144(7): 1371-1385.
Murray, C. et Lopez, A. (1996a). Global health statistics. Harvard School of Public Health, Cambridge, Massachusetts.
Murray, C.J.L. et Lopez, A.D. (1996b). The global burden of disease: A comprehensive assessment of mortality and disability from disease, injury and risk factors in 1990 and projected to 2020. Harvard University Press, Cambridge, Massachusetts.
Nash, T.E., Herrington, D.A., Losonsky, G.A. et Levine, M.M. (1987). Experimental human infections with Giardia lamblia. J. Infect. Dis., 156(6): 974-984.
Nauman, E.B., et Buffham, B.A. (1983). Mixing in continuous flow systems. Wiley, New York.
OMS. Directives de qualité pour l'eau de boisson, 3e édition. Organisation mondiale de la santé, Genève, Suisse, 2004.
OMS (2016). Quantitative microbial risk assessment: Application for water safety management. Organisation mondiale de la Santé, Genève, Suisse.
Ongerth, J.E. (2013). ICR SS protozoan data site-by-site: A picture of Cryptosporidium and Giardia in U.S. surface water. Environ. Sci. Technol., 47(18): 10145-10154.
Petterson, S., Roser, D. et Deere, D. (2015). Characterizing the concentration of Cryptosporidium in Australian surface waters for setting health-based targets for drinking water treatment. J. Water Health, 13(3): 879-896.
Petterson, S.R. et Ashbolt, N.J. (2016). QMRA and water safety management: Review of application in drinking water systems. J. Water Health, 14(4): 571-589.
Pintar, K.D.M., Fazil, A., Pollari, F., Waltner-Toews, D., Charron, D.F., Mcewen, S.A. et Walton, T. (2012). Considering the risk of infection by Cryptosporidium via consumption of municipally treated drinking water from a surface water source in a southwestern Ontario community. Risk Anal., 32(7): 1122-1138.
Pouillot, R., Beaudeau, P., Denis, J. et Derouin, F. (2004). A quantitative risk assessment of waterborne cryptosporidiosis in France using second-order Monte Carlo simulation. Risk Anal., 24(1): 1-17.
Rose, J.B. et Gerba, C.P. (1991). Use of risk assessment for development of microbial standards. Water Sci. Technol., 24(2): 29-34.
Santé Canada (2013a). Conseils sur l'utilisation des recommandations sur la qualité microbiologique de l'eau potable. Bureau de la qualité de l'eau et de l'air, Santé Canada, Ottawa (Ontario), Canada. Disponible à : www.canada.ca/fr/sante-canada/services/sante-environnement-milieu-travail/rapports-publications/qualite-eau/conseils-utilisation-recommandations-qualite-microbiologique-eau-potable-sante-canada-2013.html
Santé Canada (2013b). Recommandations pour la qualité de l'eau potable au Canada : document technique - La turbidité. Santé Canada, Ottawa (Ontario), Canada. Disponible à : https://www.canada.ca/fr/sante-canada/services/publications/vie-saine/recommandations-pour-qualite-eau-potable-canada-turbidite.html.
Santé Canada (2019a). Recommandations pour la qualité de l'eau potable au Canada : document technique - Protozoaires entériques : Giardia et Cryptosporidium. Bureau de l'eau, de l'air et des changements climatiques, Santé Canada, Ottawa (Ontario), Disponible à : www.canada.ca/fr/sante-canada/services/sante-environnement-milieu-travail/rapports-publications/qualite-eau/protozoaires-enteriques-giardia-cryptosporidium.html
Santé Canada (2019b). Recommandations pour la qualité de l'eau potable au Canada : document technique - Les virus entériques. Santé Canada, Ottawa (Ontario), Disponible à : www.canada.ca/fr/sante-canada/services/publications/vie-saine/recommandations-pour-qualite-eau-potable-canada-document-technique-virus-enteriques.html
Schijven, J., Derx, J., de Roda Husman, A.M., Blaschke, A.P. et Farnleitner, A.H. (2015). QMRAcatch: Microbial quality simulation of water resources including infection risk assessment. J. Environ. Qual., 44(5): 1491-1502.
Schijven, J.F., Teunis, P.F.M., Rutjes, S.A., Bouwknegt, M. et de Roda Husman, A.M. (2011). QMRAspot: A tool for quantitative microbial risk assessment from surface water to potable water. Water Res., 45(17): 5564-5576.
Schmidt, P.J. (2015). Norovirus dose-response: Are currently available data informative enough to determine how susceptible humans are to infection from a single virus? Risk Anal., 35(7): 1364-1383.
Schmidt, P.J. et Emelko, M.B. (2011). QMRA and decision-making: are we handling measurement errors associated with pathogen concentration data correctly? Water Research, 45: 427-438.
Signor, R.S. et Ashbolt, N.J. (2006). Pathogen monitoring offers questionable protection against drinking-water risks: A QMRA (quantitative microbial risk analysis) approach to assess management strategies. Water Sci. Techol. 54(3): 261-268.
Signor, R.S. et Ashbolt, N.J. (2009). Comparing probabilistic microbial risk assessments for drinking water against daily rather than annualised infection probability targets. J. Water Health, 7(4): 535-543.
Smeets, P.W.M.H., van Dijk, J.C., Stanfield, G., Rietveld, L.C. et Medema, G.J. (2007). How can the UK statutory Cryptosporidium monitoring be used for quantitative risk assessment of Cryptosporidium in drinking water? J. Water Health, 5(SUPPL. 1): 107-118.
Smeets, P.W.M.H., Dullemont, Y.J., Van Gelder, P.H.A.J.M., Van Dijk, J.C. et Medema, G.J. (2008). Improved methods for modelling drinking water treatment in quantitative microbial risk assessment; a case study of Campylobacter reduction by filtration et ozonation. J. Water Health, 6(3): 301-314.
Soller, J.A. et Eisenberg, J.N.S. (2008). An evaluation of parsimony for microbial risk assessment models. Environmetrics, 19(1): 61-78.
Statistique Canada. (2004). Source de données : Enquête sur la santé dans les collectivités canadiennes, cycle 2.2 - nutrition (phase 3) : Volet général sur la santé et rappel alimentaire de 24 heures. (Dossier de partage). Statistique Canada, Ottawa (Ontario).
Statistique Canada.(2008) Guide d'utilisation : Enquête sur la santé dans les collectivités canadiennes (ESCC), cycle 2.2, nutrition - volet général sur la santé (y compris les vitamines et les suppléments minéraux) et volets sur les rappels alimentaires de 24 heures, Statistique Canada, Ottawa (Ontario.
Statistique Canada. (2013).Tables de mortalité, Canada, provinces et territoires 2007 à 2009. Ministère de l'Industrie. ISBN : 978-1-100-99991-3. Disponible à https://www150.statcan.gc.ca/n1/pub/84-537-x/84-537-x2013003-fra.pdf
Strachan, N.J.C., Doyle, M.P., Kasuga, F., Rotariu, O. et Ogden, I.D. (2005). Dose response modelling of Escherichia coli O157 incorporating data from foodborne and environmental outbreaks. Int. J. Food Microbiol., 103(1): 35-47.
Teefy, S. (1996). Tracer studies in water treatment facilities: a protocol and case studies. Water research Foundation, Denver, CO.
Teunis, P.F.M., Medema, G.J., Kruidenier, L. et Havelaar, A.H. (1997). Assessment of the risk of infection by Cryptosporidium or Giardia in drinking water from a surface water source. Water Res., 31(6): 1333-1346.
Teunis, P.F.M., Rutjes, S.A., Westrell, T. et de Roda Husman, A.M. (2009). Characterization of drinking water treatment for virus risk assessment. Water Res., 43(2): 395-404.
U.S. EPA (1999). Disinfection profiling and benchmarking guidance manual. U.S. Environmental Protection Agency, Washington, DC (Report No. EPA/815/R-99/013).
U.S. EPA (2003). LT1ESWTR disinfection profiling and benchmarking technical guidance manual. Office of Water, U.S. Environmental Protection Agency, Washington, DC.
U.S. EPA (2005a). Economic analysis for the final Long Term 2 Enhanced Surface Water Treatment Rule. U.S. Environmental Protection Agency, EPA 815-R-06-001.
U.S. EPA (2005b). Occurrence and exposure assessment for the final Long Term 2 Enhanced Surface Water Treatment Rule. Office of Water, EPA 815-R-06-002.
U.S. EPA (2006a). Economic analysis for the final Groundwater Rule. U.S. Environmental Protection Agency, EPA 815-R-06-014.
U.S. EPA (2006b). Ultraviolet disinfection guidance manual. Office of Water, U.S. Environmental Protection Agency, Washington, DC (Report No. EPA/815/R-06/007).
U.S. EPA (2014). Microbiological risk assessment (MRA) tools, methods, and approaches for water media. Office of Water, Office of Science and Technology. U.S. Environmental Protection Agency, EPA-820-R-14-009, Washington, DC.
Westrell, T., Bergstedt, O., Stenström, T.A. et Ashbolt, N.J. (2003). A theoretical approach to assess microbial risks due to failures in drinking water systems. Int. J. Environ. Health Res., 13(2): 181-197.
C.2 Acronymes
- AVCI
- années de vie corrigées de l'incapacité
- AVI
- années vécues avec une incapacité
- AVP
- années de vie perdues
- CT
- concentration × temps
- DTS
- distribution des temps de séjour
- ÉQRM
- évaluation quantitative du risque microbien
- EPA
- Environmental Protection Agency (États-Unis)
- ÉQRM
- de SC évaluation quantitative du risque microbien (modèle) de Santé Canada
- IRSU
- insuffisance rénale chronique au stade ultime
- LD
- limite de détection
- OMS
- Organisation mondiale de la Santé
- SGB
- syndrome de Guillain-Barré
- SHU
- syndrome hémolytique et urémique
- UV
- ultraviolet