Tendances des ITS et des comportements à risque connexes dans les FAC
 
 Téléchargez cet article en format PDF
 
    Téléchargez cet article en format PDF
    Publié par : L’Agence de la santé publique du Canada
Numéro : Volume 46–9 : Protection de la santé des Forces
Date de publication : 3 septembre 2020
ISSN : 1719-3109
Soumettre un article
À propos du RMTC
Naviguer
Volume 46–9, le 3 septembre 2020 : Protection de la santé des Forces
Rapport enqûete
Tendances des infections transmissibles sexuellement prémilitaires et des comportements à risque associés chez les recrues des Forces armées canadiennes
Heather McCuaig Edge1
Affiliation
1 Direction de la protection de la santé de la Force, Services de santé des Forces canadiennes, ministère de la Défense nationale, Ottawa, ON
Correspondance
Citation proposée
McCuaig Edge HJ. Tendances des infections transmissibles sexuellement prémilitaires et des comportements à risque associés chez les recrues des Forces armées canadiennes. Relevé des maladies transmissibles au Canada 2020;46(9):306–13. https://doi.org/10.14745/ccdr.v46i09a04f
Mots-clés : infections transmissibles sexuellement, Forces armées canadiennes, recrues militaires, comportements à risque, utilisation de condoms, nombre de partenaires sexuels
Résumé
Contexte : Les infections transmissibles sexuellement ont historiquement été un problème pour les militaires. Des rapports récents indiquant que les taux d’infections transmissibles sexuellement chez les jeunes hommes des Forces armées canadiennes (FAC) sont plus élevés que chez les civils, ont incité les membres des FAC à mieux comprendre les taux déclarés d’infections transmissibles sexuellement et leurs facteurs de risque comportementaux pour les infections transmissibles sexuellement. Cette étude a examiné la prévalence des comportements sexuels prémilitaires autodéclarés (i.e. le nombre de partenaires sexuels et la fréquence de l’utilisation du condom) et les antécédents d’un diagnostic d’infections transmissibles sexuellement chez les recrues des FAC qui suivent une instruction militaire de base à l’aide des données recueillies dans le questionnaire sur l’état de santé des recrues.
Méthodes : Les données proviennent de 50 603 recrues qui ont participé au questionnaire entre 2003 et 2018 (84,9 % d’hommes, 78,6 % de candidats de rang inférieur, 64,9 % entre 17 et 24 ans).
Résultats : Chez les recrues sexuellement actives, les proportions de celles qui avaient plus d’un partenaire sexuel au cours de l’année précédente sont passées de 30,5 % en 2003 (IC à 95 % : 27,8 à 33,4) à 35,5 % en 2018 (IC à 95 % : 34,0 à 37,0). Parmi les recrues qui n’étaient pas dans une relation exclusive à l’époque, les proportions de celles qui ont déclaré utiliser toujours un condom ont diminué, passant de 50,8 % en 2003 (IC à 95 % : 46,4 à 55,1) à 40,2 % en 2018 (IC à 95 % : 38,3 à 42,2). Dans l’ensemble, 5,5 % (IC à 95 % : de 5,3 à 5,7) ont déclaré avoir déjà reçu un diagnostic d’infections transmissibles sexuellement. Des différences démographiques selon l’âge et le sexe ont également été observées.
Conclusion : Ces observations donnent une idée de la base, des comportements à risque avant l’enrôlement concernant les infections transmissibles sexuellement et des antécédents d’infections transmissibles sexuellement chez les recrues des FAC, et peuvent fournir un aperçu des moyens d’interventions ciblées et de programmes de promotion de la santé, comme les initiatives d’éducation et de dépistage.
Introduction
Les infections transmissibles sexuellement ont historiquement été un problème pour les arméesNote de bas de page 1Note de bas de page 2. Par exemple, les taux déclarés d’infections transmissibles sexuellement ont été beaucoup plus élevés dans la population militaire des États-Unis que dans la population civileNote de bas de page 3Note de bas de page 4Note de bas de page 5. Des comparaisons récentes entre la population générale au Canada et le personnel des Forces armées canadiennes (FAC) ont révélé que, même si les taux d’infections transmissibles sexuellement étaient les mêmes ou inférieurs à ceux des civils dans la plupart des groupes démographiques, les taux d’infections transmissibles sexuellement chez les jeunes (i.e. de moins de 30 ans) hommes membres des FAC étaient presque le double de ceux de leurs homologues civilsNote de bas de page 6. Une étude qualitative a révélé que le personnel des FAC et les fournisseurs de soins de santé considéraient les infections transmissibles sexuellement comme un problème au sein des FAC, et beaucoup ont indiqué que les infections transmissibles sexuellement étaient tout aussi problématiques, voire plus, pour les FAC que pour la population générale au CanadaNote de bas de page 7.
L’Agence de la santé publique du Canada a déterminé les facteurs de risque comportementaux associés aux infections transmissibles sexuellement; y compris l’activité sexuelle chez les jeunes de moins de 25 ans, les nouveaux partenaires sexuels ou plus de deux partenaires sexuels au cours de l’année précédente, les rapports sexuels non protégés, la consommation d’alcool ou de drogues et les antécédents d’une infection transmissible sexuellement, entre autresNote de bas de page 8. Les militaires peuvent être exposés à un risque élevé de contracter une infection transmissible sexuellement étant donné l’âge plus jeune de la majorité du personnel, le temps fréquent et prolongé passé loin de la maison pour l’entraînement ou les opérations, le déploiement dans des zones où le taux d’infections transmissibles sexuellement est plus élevé ou le taux élevé d’attitudes et de comportements à risque associés aux infections transmissibles sexuellementNote de bas de page 9Note de bas de page 10Note de bas de page 11. Les comportements à risque autodéclarés chez les membres des FAC en service ont indiqué que près de 21 % ont déclaré avoir eu au moins deux partenaires sexuels au cours des 12 derniers mois, et que seulement 22 % d’entre eux ont déclaré utiliser toujours un condom, alors qu’environ 18 % ont déclaré ne jamais utiliser de condomNote de bas de page 12.
La détermination de la prévalence de base et des profils démographiques des comportements à risque et des antécédents d’infections transmissibles sexuellement chez les nouvelles recrues peut éclairer les pratiques d’éducation, de dépistage et d’intervention au début de la carrière militaire. Ainsi, cette étude a examiné la prévalence des comportements à risque d’infections transmissibles sexuellement (i.e. le nombre de partenaires sexuels et la fréquence de l’utilisation du condom) et les antécédents prémilitaires autodéclarés d’un diagnostic d’infections transmissibles sexuellement chez les recrues des FAC qui suivent un instruction militaire de base.
Méthodes
Les données de cette étude ont été recueillies entre juillet 2003 et décembre 2018 au moyen du questionnaire sur l’état de santé des recrues, administré pendant les premières semaines de l’instruction militaire de base à l’École de leadership et de recrues des Forces canadiennes à Saint-Jean-sur-Richelieu, Québec. Tous les militaires du rang de la Force régulière et tous les candidats aux postes d’officiers (ci-après collectivement appelés « recrues ») inscrits à l’instruction militaire de base ont été invités à remplir le questionnaire sur l’état de santé des recrues, une étude de surveillance continue à long terme qui fournit des renseignements de base sur la santé et le mode de vie des recrues. Le questionnaire est un sondage volontaire auquel les recrues donnent leur consentement écrit pour participer. Les données des participants sont liées par le numéro de service aux données sur la santé recueillies plus tard dans leur carrière; ainsi, les données sont confidentielles et non anonymes. Environ 75 % des recrues ont rempli le questionnaire. Le protocole d’étude du questionnaire a été approuvé par le Comité d’éthique de la recherche humaine de Recherche et développement pour la Défense Canada.
Le questionnaire comprend des éléments d’évaluation du nombre de partenaires sexuels au cours de l’année précédente, de la fréquence de l’utilisation du condom et des antécédents d’infections transmissibles sexuellement. Le nombre de partenaires sexuels a été évalué à l’aide de la question « Combien de partenaires sexuels différents avez-vous eu au cours des 12 derniers mois? » et des options de réponse « aucun », « un partenaire », « deux partenaires », « trois partenaires » ou « quatre partenaires ou plus ». La fréquence d’utilisation du condom a été évaluée en fonction de la question suivante : « Si vous n’étiez pas dans une relation exclusive à l’époque, à quelle fréquence avez-vous utilisé un condom au cours des 12 derniers mois? », avec des options de réponse « toujours », « habituellement », « occasionnellement », « jamais » et « Ne s’applique pas ». La proportion de répondants ayant déjà reçu un diagnostic d’infections transmissibles sexuellement a été estimée en fonction des réponses « oui/non » à la question « Avez-vous déjà été informé par un médecin ou une infirmière que vous aviez une infection transmissible sexuellement, comme la chlamydia, la gonorrhée, l’herpès génital ou la syphilis? » La procédure d’administration et les questions liées aux comportements sexuels et aux antécédents des infections transmissibles sexuellement n’ont pas changé au cours de la période de 16 ans.
Les données sur les comportements sexuels et les antécédents d’infections transmissibles sexuellement sont autodéclarées et sont donc sujettes à des préjugés de rappel et de désirabilité sociale, ce qui peut entraîner une sous-déclaration ou une surdéclarationNote de bas de page 13. Comme on l’a vu ailleursNote de bas de page 14, bien que l’incidence de la désirabilité sociale sur l’autodéclaration des comportements sexuels soit difficile à quantifier, des études ont confirmé la fiabilité générale des réponses.
Une analyse descriptive des proportions brutes et des IC à 95 % a été examinée pour chaque année de cohorte. Des régressions logistiques séquentielles contrôlant l’âge et le sexe ont été effectuées pour identifier les tendances linéaires et non linéaires (i.e. quadratiques ou cubiques) au fil du temps, l’année de cohorte (ou sa valeur carrée ou cubique) étant entrée en tant que variable continue. Une tendance a été détectée si l’ajout de l’année de cohorte (ou de ses valeurs carrées ou cubiques) au modèle améliorait significativement l’ajustement du modèle, comme l’indique un chi carré significatif. Des tests de différenciation entre les années de cohortes ont été effectués à l’aide de tests z de proportions alors que des analyses chi carré ont été effectuées pour détecter les différences démographiques.
Résultats
Des données étaient disponibles sur 50 603 cas de recrues ayant participé au questionnaire entre juillet 2003 et décembre 2018. Les répondants étaient principalement des hommes (84,9 %), des candidats des militaires du rang (78,6 %), principalement des anglophones (72,7 %) et des jeunes de 17 à 24 ans lorsqu’ils ont rempli le questionnaire (64,9 %; M = 24,0; Écart-type = 5,9).
Tendances, de 2003 à 2018
Chez les recrues sexuellement actives, la proportion de personnes ayant eu au moins deux partenaires sexuels au cours de l’année précédente est passée de 30,5 % en 2003 (IC à 95 % : 27,8 à 33,4) à 35,5 % en 2018 (IC à 95 % : 34,0 à 37,0; p < 0,01; figure 1). Des tendances significatives, tenant compte de l’âge et du sexe, indiquent que le nombre de partenaires sexuels signalés par les recrues au cours de l’année précédente a fluctué entre 2003 et 2018 (χ2 (5) = 1 344,28; p < 0,001).
Figure 1 : Taux annuels globaux et selon le sexe du nombre de partenaires sexuels autodéclarés pour les recrues des Forces armées canadiennes, deux partenaires ou plus au cours de l’année précédente, de 2003 à 2018

Description textuelle : Figure 1
Figure 1 : Taux annuels globaux et selon le sexe du nombre de partenaires sexuels autodéclarés pour les recrues des Forces armées canadiennes, deux partenaires ou plus au cours de l’année précédente, de 2003 à 2018
Le graphique montre les taux annuels du nombre autodéclaré de partenaires sexuels parmi les recrues des Forces armées canadiennes (FAC) dans l’ensemble et selon le sexe (hommes vs femmes) de 2003 à 2018. Les barres d’erreur représentent des intervalles de confiance de 95 %. Les pourcentages représentent les personnes qui ont déclaré avoir deux partenaires sexuels ou plus au cours de l’année précédant la formation de base. La proportion globale de recrues sexuellement actives ayant deux partenaires sexuels ou plus au cours de la dernière année a augmenté de 2003 (30,5 %) à 2009 (44,3 %) et a diminué graduellement de 2010 (43,2 %) à 2018 (35,5 %). La tendance annuelle était semblable chez les hommes, où les taux ont augmenté de 2003 (33,0 %) à 2008 (45,3 %) et diminué de 2009 (44,9 %) à 2018 (36,8 %). La tendance annuelle pour les femmes varie davantage : la proportion a augmenté de 2003 (19,3 %) à 2010 (41,2 %), a diminué de 2011 (34,4 %) à 2012 (30,1 %), a augmenté de nouveau de 2013 (33,7 %) à 2014 (38,9 %) et a diminué de nouveau de 2015 (33,5 %) à 2018 (29,7 %). En général, la proportion globale de personnes ayant déclaré deux partenaires sexuels ou plus a augmenté de 2003 à 2018. À l’exception de 2014, plus d’hommes ont déclaré avoir deux partenaires sexuels ou plus au cours de la dernière année que les femmes, et ces différences selon le sexe n’étaient pas toujours statistiquement significatives.
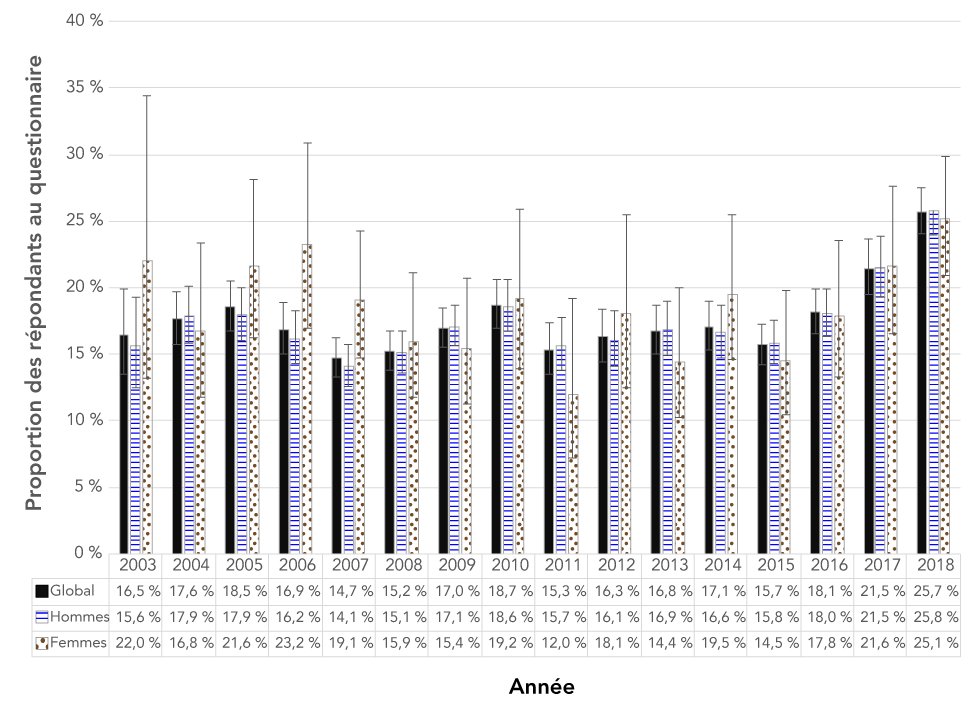
Parmi les recrues qui n’étaient pas dans une relation exclusive à l’époque, la proportion de celles qui ont déclaré toujours utiliser un condom a diminué, passant de 50,8 % en 2003 (IC à 95 % : 46,4 à 55,1) à 40,2 % en 2018 (IC à 95 % : 38,3 à 42,2; p < 0,001; données non affichées). Comme le montre la figure 2, la proportion de celles qui ont déclaré ne jamais utiliser un condom a augmenté, passant de 16,5 % en 2003 (IC à 95 % : 13,5 à 20,0) à 25,7 % en 2018 (IC à 95 % : 24,0 à 27,5; p < 0,001). Les répondants qui ont choisi « Ne s’applique pas » ont été exclus de ces analyses, ce qui a entraîné une réduction de n = 27 783 pour ce comportement à risque d’infections transmissibles sexuellement. Des tendances significatives de contrôle pour l’âge et le sexe ont été observées, ce qui indique que les taux d’utilisation du condom signalés par les recrues au cours de l’année précédente ont varié considérablement au cours de la période de 16 ans (χ2 (5) = 400,70; p < 0,001).
Figure 2 : Taux annuels globaux et selon le sexe des taux autodéclarés de n’avoir jamais utilisé de condom au cours de l’année précédente, pour les recrues des Forces armées canadiennes qui ne sont pas en couple, de 2003 à 2018

Description textuelle : Figure 2
Figure 2 : Taux annuels globaux et selon le sexe des taux autodéclarés de n’avoir jamais utilisé de condom au cours de l’année précédente, pour les recrues des Forces armées canadiennes qui ne sont pas en couple, de 2003 à 2018
Le graphique montre les taux annuels globaux et par sexe d’utilisation du condom chez les recrues des Forces armées canadiennes (FAC) de 2003 à 2018, avec des barres d’erreur représentant des intervalles de confiance de 95 %. Les pourcentages représentent les personnes qui ne sont pas dans une relation exclusive et qui ont déclaré n’avoir jamais utilisé de condom au cours de l’année précédant la formation de base. La proportion globale de personnes qui ont déclaré ne jamais utiliser de condom a augmenté de 2003 (16,5 %) à 2018 (25,7 %). Cette tendance était constante lorsqu’on l’a analysée selon le sexe. Chez les hommes, les taux sont passés de 15,6 % en 2003 à 25,8 % en 2018. Chez les femmes, les taux sont passés de 22,0 % en 2003 à 25,1 % en 2018.
Dans l’ensemble, 5,5 % (IC à 95 % : 5,3 à 5,7) des recrues ont déclaré avoir déjà reçu un diagnostic d’infection transmissible sexuellement (figure 3). Ces proportions n’étaient pas significativement différentes pour les cohortes de recrues de 2003 ou de 2018. On a constaté une tendance significative dans le nombre de recrues ayant déclaré n’avoir jamais eu de diagnostic d’infection transmissible sexuellement (χ2 (5) = 445,18; p < 0,001) après avoir déterminé l’âge et le sexe, ce qui indique que les taux de diagnostics d’infections transmissibles sexuellement déclarés varient sur la période de 16 ans.
Figure 3 : Taux annuels globaux et selon le sexe des antécédents de diagnostic d’infection transmissible sexuellement autodéclarés dans les recrues des Forces armées canadiennes, de 2003 à 2018

Description textuelle : Figure 3
Figure 3 : Taux annuels globaux et selon le sexe des antécédents de diagnostic d’infection transmissible sexuellement autodéclarés dans les recrues des Forces armées canadiennes, de 2003 à 2018
Le graphique montre les taux annuels globaux et par sexe des antécédents d’infections transmissibles sexuellement autodéclarées chez les recrues des Forces armées canadiennes (FAC) de 2003 à 2018, avec des barres d’erreur représentant des intervalles de confiance à 95 %. Les proportions représentent les personnes qui ont déclaré des antécédents de diagnostic d’infections transmissibles sexuellement avant la formation de base. La proportion globale de ceux qui ont déclaré des antécédents d’infections transmissibles sexuellement a augmenté de 2003 (5,6 %) à 2018 (6,0 %), mais pas de manière statistiquement significative. Chez les hommes, les taux ont diminué, passant de 6,1 % en 2003 à 5,2 % en 2018, tandis que chez les femmes, les taux ont augmenté, passant de 3,9 % en 2003 à 10,0 % en 2018. De 2004 à 2018, les femmes ont signalé plus de diagnostics d’infections transmissibles sexuellement que les hommes.
Différences démographiques
On a aussi trouvé des différences démographiques selon le sexe et l’âge pour le nombre de partenaires sexuels, l’utilisation du condom et les antécédents d’infections transmissibles sexuellement. Comme le montre la figure 4, plus de recrues de sexe masculin que de sexe féminin ont déclaré avoir eu au moins deux partenaires sexuels au cours de l’année précédente (χ2 (2) = 716,75; p < 0,001), alors qu’un plus grand nombre de femmes que d’hommes ont signalé un diagnostic antérieur d’ITS (χ2 (1) = 43,44; p < 0,001). Parmi les recrues qui n’étaient pas dans une relation exclusive à l’époque, plus de femmes que d’hommes ont déclaré toujours utiliser un condom (données non présentées; χ2 (2) = 84,93; p < 0,001); toutefois, il n’y a pas de différence dans les proportions de recrues masculines et féminines qui ont déclaré ne jamais utiliser de condom.
Figure 4 : Antécédents d’infection transmise sexuellement et comportements à risque associés chez les recrues des Forces armées canadiennes, par sexe

Description textuelle : Figure 4
Figure 4 : Antécédents d’infection transmise sexuellement et comportements à risque associés chez les recrues des Forces armées canadiennes, par sexe
Le graphique montre les taux d’infections transmissibles sexuellement autodéclarées selon le sexe et les comportements à risque associés (i.e. deux partenaires sexuels ou plus et ne jamais utiliser de condom) chez les recrues des Forces armées canadiennes (FAC). Les proportions représentent les données regroupées recueillies de 2003 à 2018, avec des barres d’erreur représentant des intervalles de confiance de 95 %. Un nombre significativement plus élevé de recrues féminines (8,6 %) que de recrues masculines (5,0 %) ont déclaré des antécédents d’infections transmissibles sexuellement, mais un nombre significativement plus élevé de recrues masculines (40,1 %) ont eu deux partenaires sexuels ou plus au cours de la dernière année que les recrues féminines (32,2 %). Il n’y avait pas de différence significative entre les hommes (17,6 %) et les femmes (18,7 %) qui ont déclaré ne jamais utiliser de condom.
Comme le montre la figure 5, les proportions de rapports indiquant avoir eu deux partenaires sexuels ou plus au cours de l’année précédente étaient significativement différentes pour chaque groupe d’âge (χ2 (6) = 3 183,48; p < 0,001), la proportion la plus élevée étant parmi les recrues âgées de 20 à 24 ans. Les recrues âgées de 30 ans ou plus qui n’étaient pas dans une relation exclusive avaient la proportion la plus élevée de rapports indiquant qu’elles n’utilisaient jamais de condom, les proportions étant significativement plus faibles dans chaque groupe d’âge descendant (χ2 (6) = 365,01; p < 0,001). Il y avait proportionnellement plus de recrues âgées de 25 ans ou plus qui ont déclaré avoir des antécédents de diagnostic d’infection transmissible sexuellement que de jeunes recrues (χ2 (3) = 512,67; p < 0,001), le plus jeune groupe de recrues (i.e. âgés de 17 à 19 ans) ayant déclaré la plus faible proportion d’antécédents de diagnostics d’infection transmissible sexuellement.
Figure 5 : Antécédents d’infection transmise sexuellement et comportements à risque associés par groupe d’âge chez les recrues des Forces armées canadiennes

Description textuelle : Figure 5
Figure 5 : Antécédents d’infection transmise sexuellement et comportements à risque associés par groupe d’âge chez les recrues des Forces armées canadiennes
Le graphique montre les taux d’infections transmissibles sexuellement) autodéclarées selon l’âge et les comportements à risque associés (i.e. deux partenaires sexuels ou plus et ne jamais utiliser de condom) chez les recrues des Forces armées canadiennes (FAC). Les proportions représentent les données regroupées recueillies de 2003 à 2018, avec des barres d’erreur représentant des intervalles de confiance de 95 %. Les analyses ont été divisées en quatre groupes d’âge (17 à 19 ans, 20 à 24 ans, 25 à 29 ans et 30 ans et plus). L’historique des infections transmissibles sexuellement différait sensiblement selon l’âge, les recrues âgées de 17 à 19 ans déclarant la plus faible proportion (1,9 %) et les recrues âgées de 25 ans et plus déclarant les plus fortes proportions (8,3 % à 8,7 %). Les recrues âgées de 25 à 29 ans et de 30 ans et plus ne présentaient pas de différence significative en fonction des antécédents en matière d’infections transmissibles sexuellement. Les déclarations sur les rapports avec deux partenaires sexuels ou plus différaient également selon l’âge : les recrues âgées de 20 à 24 ans ont déclaré la plus forte proportion (46,3 %), suivies des recrues âgées de 17 à 19 ans (40,0 %), de 25 à 29 ans (36,2 %) et de 30 ans et plus (21,7 %). Le fait de ne jamais utiliser de condom a également augmenté de manière significative en fonction de l’âge, les recrues âgées de 17 à 19 ans ayant déclaré la plus faible proportion (13,5 %) et les recrues âgées de 30 ans et plus ayant déclaré la plus forte proportion (27,2 %).
Discussion
Les observations du questionnaire au sujet du nombre de partenaires sexuels, de la fréquence de l’utilisation du condom et des antécédents d’infections transmissibles sexuellement indiquent que la majorité des recrues ne se livraient pas à des comportements sexuels à risque. Cependant, au moins un tiers des recrues ont déclaré avoir eu au moins deux partenaires sexuels au cours de l’année précédant le début de l’instruction militaire de base. Plus récemment, parmi ceux qui n’étaient pas dans une relation exclusive à l’époque, un quart des recrues ont déclaré ne jamais utiliser de condom. De 2003 à 2018, la proportion de recrues signalant de multiples partenaires sexuels et ne portant jamais de condom a augmenté. Ces tendances dans les comportements à risque d’infections transmissibles sexuellement reflètent les récentes augmentations des taux d’infections transmissibles sexuellement signalés dans la population générale du CanadaNote de bas de page 15Note de bas de page 16Note de bas de page 17 et dans d’autres pays à revenu élevéNote de bas de page 18Note de bas de page 19, et sont également cohérentes avec l’augmentation des comportements sexuels à risque chez les adolescents et les adultes dans la population générale au CanadaNote de bas de page 14Note de bas de page 20Note de bas de page 21Note de bas de page 22.
Même si les rapports sur les recrues ayant fait l’objet d’un diagnostic d’infection transmissible sexuellement avant l’instruction militaire de base sont demeurés relativement faibles, un nombre constamment plus élevé de femmes que d’hommes signalent un diagnostic d’infection transmissible sexuellement. Cela n’est pas surprenant étant donné que, dans le cas de certaines infections transmissibles sexuellement (e.g. la chlamydia), les femmes ont tendance à avoir des taux d’infection plus élevés que les hommesNote de bas de page 16 et ont tendance à être dépistées ou à demander des soins de santé plus régulièrement, et qu’elles seraient donc plus susceptibles d’avoir été diagnostiquées que les hommesNote de bas de page 23Note de bas de page 24Note de bas de page 25. De plus, en raison de leur physiologie, les femmes sont plus susceptibles que les hommes de contracter des infections transmissibles sexuellementNote de bas de page 24.
Les différences dans le nombre de partenaires sexuels entre les hommes et les femmes concordent avec les constatations selon lesquelles les hommes ont tendance à déclarer avoir plus de partenaires sexuels que les femmesNote de bas de page 14Note de bas de page 21Note de bas de page 22. Cette différence peut être causée par la socialisation, aux rôles de genre ou aux normes socioculturelles qui entourent les comportements sexuels et leur signalementNote de bas de page 26. Conformément aux conclusions provenant de la population générale au CanadaNote de bas de page 21Note de bas de page 22, la proportion de recrues ayant déclaré avoir plusieurs partenaires était plus faible dans les groupes d’âge plus âgés, probablement en raison de la probabilité accrue que les recrues plus âgées aient des relations monogames à plus long terme. La plus grande proportion de recrues ayant déclaré avoir plusieurs partenaires faisait partie du groupe des 20 à 24 ans, c’est-à-dire du groupe d’âge ayant les taux les plus élevés de gonorrhéeNote de bas de page 17 et de chlamydiaNote de bas de page 16, et du troisième plus élevé de syphilis infectieuse dans la population générale au Canada en 2015Note de bas de page 15.
Conformément aux résultats provenant de la population générale au Canada qui ont constaté que l’utilisation régulière de condoms diminue avec l’âgeNote de bas de page 14Note de bas de page 20Note de bas de page 23, une proportion plus élevée de recrues plus âgées qui n’étaient pas dans une relation exclusive à l’époque ont déclaré ne jamais utiliser de condoms, comparativement aux jeunes recrues. Cela pourrait être en raison de l’utilisation accrue d’autres méthodes contraceptives pour prévenir la grossesse à l’âge adulteNote de bas de page 21; toutefois, ces méthodes n’empêchent pas les infections transmissibles sexuellement.
Les résultats provenant des recrues sont conformes aux taux et aux comportements constatés dans la population générale au Canada; cela n’a rien de surprenant puisque les recrues provenaient de la population générale au Canada et n’avaient pas encore commencé leur carrière militaire lorsque le questionnaire a été rempli. L’importance de cette recherche pour les FAC dans leurs efforts de prévention des infections transmissibles sexuellement est soulignée par l’augmentation des taux observés de comportements à risque d’infections transmissibles sexuellement, les taux plus élevés d’infections transmissibles sexuellement et de risque chez les militairesNote de bas de page 3Note de bas de page 4Note de bas de page 5Note de bas de page 6Note de bas de page 9Note de bas de page 27 et la perception que les infections transmissibles sexuellement posent un problème pour les FACNote de bas de page 7. Ces efforts peuvent être particulièrement importants pour les recrues, qui n’ont pas encore connu certaines situations militaires qui peuvent exposer le personnel militaire à un risque accru d’acquisition d’infections transmissibles sexuellement, comme les déploiementsNote de bas de page 9Note de bas de page 11, ou qui présentent un risque plus élevéNote de bas de page 28. Bien que le risque d’infections transmissibles sexuellement puisse être élevé pour les militaires, les FAC offrent aussi aux membres l’occasion d’accéder plus facilement aux soins de santé pour les programmes de prévention primaire et secondaire et de promotion de la santé. D’autres militaires ont mis en œuvre des programmes qui ont réduit les taux d’infections transmissibles sexuellement, comme dans les centres d’entraînement des recrues aux États-Unis, et se sont révélés efficaces pour accroître les connaissances en matière d’infections transmissibles sexuellement et les normes perçues en matière de relations sexuelles protégéesNote de bas de page 29Note de bas de page 30Note de bas de page 31Note de bas de page 32Note de bas de page 33. Ces programmes comprenaient un dépistage de masse et des programmes qui comprenaient des présentations et des activités de sensibilisation à la transmission, aux symptômes et à la prévention des infections transmissibles sexuellement, ou qui mettaient l’accent sur les capacités de prise de décision adaptative et les stratégies de communication. D’autres programmes destinés à la population générale utilisant les interventions numériques, les programmes en ligne et les médias sociaux ont permis d’accroître l’utilisation du condom, les connaissances et les normes perçues en matière de sexualité sans risque, en particulier chez les jeunesNote de bas de page 34Note de bas de page 35Note de bas de page 36. Des programmes et des interventions semblables pourraient être mis en œuvre dans le cadre du programme d’instruction militaire de base des FAC ou dans d’autres activités courantes de formation ou de promotion de la santé tout au long de la carrière militaire.
Points forts et limites
Ce rapport de surveillance, basé sur des données d’observation, donne une indication de base des comportements à risque avant l’enrôlement et des antécédents d’infections transmissibles sexuellement chez les recrues. Il fournit des renseignements sur les tendances pour 16 années de cohortes de recrues et décrit les différences démographiques dans les rapports sur les antécédents d’infections transmissibles sexuellement, le nombre de partenaires sexuels au cours des 12 mois précédents et la fréquence de l’utilisation de condom. Ces résultats mettent en évidence les tendances croissantes des comportements à risque associés à l’acquisition d’infections transmissibles sexuellement dans la population générale au Canada et dans les recrues des FAC, et donnent un aperçu de l’information démographique sur les groupes de personnes à risque particulier pour les infections transmissibles sexuellement. Ces données pourraient éclairer l’élaboration d’outils de dépistage pour identifier les segments de la population de recrues qui pourraient bénéficier d’interventions ciblées et de programmes de promotion de la santé.
Cette étude et le questionnaire ne sont pas sans limites. Les données du questionnaire étaient autodéclarées; une technique qui est sujette à un biais de désirabilité sociale, à un biais de rappel et à la subjectivitéNote de bas de page 13Note de bas de page 37. De plus, il n’y avait aucun moyen d’évaluer l’exactitude des réponses. Puis, nous avions des mesures d’un seul élément pour poser des questions sensibles. Par conséquent, certaines recrues ont peut-être été réticentes à divulguer des renseignements personnels sur leurs antécédents sexuels et leurs comportements sexuels, ce qui a peut-être entraîné une sous-déclaration. L’obligation pour une personne d’être dans une « relation exclusive » dans la question de la fréquence de l’utilisation du condom peut avoir entraîné l’exclusion de personnes qui avaient eu des relations monogames en série. Ces personnes n’ont peut-être pas répondu, car elles se considéraient comme étant dans une « relation exclusive », mais la nature de ces relations peut les exposer à un nombre important de partenaires sexuels en peu de temps. De plus, le questionnaire actuel ne tient pas compte de l’identité sexuelle ou de la préférence sexuelle, ce qui peut avoir une incidence sur les comportements à risque pour les infections transmissibles sexuellement et les stratégies d’intervention. Les recherches futures sur les comportements à risque d’infections transmissibles sexuellement auprès des membres des FAC devraient tenir compte de la préférence sexuelle. Enfin, le questionnaire est facultatif, de sorte que les résultats sont fondés sur le sous-groupe de recrues qui ont choisi de répondre plutôt que sur l’ensemble de la population de recrues qui se sont entraînées pendant cette période. Bien que le taux de réponse global ait été élevé (75,6 %), il peut y avoir des différences démographiques entre les répondants et les non-répondants.
Conclusion
Depuis 2003, les comportements à risque pour l’acquisition d’infections transmissibles sexuellement ont augmenté chez les recrues, mais ces taux sont en accord avec les augmentations similaires observées dans la population générale au Canada. Les résultats de cette étude fournissent des renseignements de base sur les comportements sexuels à risque pour les infections transmissibles sexuellement dans la population des FAC et un profil démographique des personnes à risque plus élevé pour les infections transmissibles sexuellement. Ces résultats pourraient permettre, en particulier pour les FAC, de mieux comprendre les possibilités d’interventions ciblées et de programmes de promotion de la santé, comme l’éducation, la prévention primaire et secondaire et les initiatives de dépistage.
Déclaration de l’auteur
H. J. M. E. a conçu et écrit l’article.
Intérêts concurrents
Aucun.
Remerciements
L’auteur tient à remercier les membres suivants du Groupe des services de santé des Forces canadiennes et le Directeur général – Personnel militaire et analyse pour leur aide précieuse et leurs commentaires sur cet article : Dre D. Lu; Capf K. Barnes; Dr J. Lee; G. Ivey; S. Carlucci; Lcol C. Rossi et Col P. Morissette.
Financement
Ce projet a été financé par le ministère de la Défense nationale du Canada.
 
 Cette œuvre est mise à disposition selon les termes de la Licence Creative Commons Attribution 4.0 International