Rapport de virus des voies respiratoires, semaine 38 : se terminant le 19 septembre 2020
Le nombre de détections du coronavirus indiqué dans ce Rapport de virus des voies respiratoires correspond uniquement aux coronavirus humains saisonniers, pas au nouveau coronavirus (SARS-CoV2) à l’origine de la COVID-19. Vous trouverez de plus amples renseignements sur la COVID-19 en cliquant sur ce lien : Maladie à coronavirus (COVID-19) : Mise à jour sur l’éclosion.
Télécharger le format de rechange
(Format PDF, 1,6 Mo, 11 pages)
Organisation: Agence de la santé publique du Canada
Sur cette page
- Liste des abréviations
- Détection and isolement de virus des voies respiratoires
- Nombre de tests de laboratoire positifs pour les autres virus respiratoires
- Détection du virus grippal au Canada
- Détection du virus respiratoire syncytial
- Détection du virus parainfluenza
- Détection du virus adénovirus
- Détection du métapneumovirus humain
- Détection du virus entérovirus/rhinovirus
- Détection du virus coronavirus
Liste des abréviations
- A(H1N1)pdm09
- Virus de la grippe A(H1N1)pdm09
- A(H3)
- Virus de la grippe A(H3N2)
- A(non sous-typé)
- Virus de la grippe A (non sous-typé)
- Adéno
- Adénovirus
- CHEO
- Centre hospitalier pour enfants de l'est de l'Ontario
- Coron
- Coronavirus
- Entéro
- Entérovirus
- HSC
- Health Sciences Centre
- MPVh
- métapneumovirus humain
- N.D.
- non disponible
- P.H.L.
- Public Health Laboratory
- P.H.O.L.
- Public Health Ontario Laboratory
- P.H.O.L.
- Public Health Ontario Laboratory
- PIV
- virus parainfluenza
- Rhino
- Rhinovirus
- UHN
- University Health Network
- VRS
- virus respiratoire syncytial
Détection and isolement de virus des voies respiratoires
Tableau 1 : Détection/isolement de virus des voies respiratoires pour la semaine se terminant le 19 septembre 2020 (Code hebdomadaire 202038)
| Laboratoire rapporteur | Grippe Test | A(H1N1)pdm09 Positive | A(H3) Positive | A(non sous-typé) Positive | Grippe A Positive Total | Grippe B Positive Total | VRS Test | VRS Positive | PIV Test | PIV 1 Positive | PIV 2 Positive | PIV 3 Positive | PIV 4 Positive | Autre PIV Positive | Adéno Test | Adéno Positive | MPVh Test | MPVh Positive | Entéro/Rhino Test | Entéro/Rhino Positive | Coron Test | Coron Positive |
|---|---|---|---|---|---|---|---|---|---|---|---|---|---|---|---|---|---|---|---|---|---|---|
| Terre-Neuve | 447 | 0 | 0 | 0 | 0 | 0 | 447 | 0 | 447 | 0 | 0 | 0 | 0 | 0 | 447 | 3 | 447 | 0 | 447 | 216 | N.D. | N.D. |
| Île-du-Prince-Édouard | 0 | 0 | 0 | 0 | 0 | 0 | 0 | 0 | 0 | 0 | 0 | 0 | 0 | 0 | 0 | 0 | 0 | 0 | 0 | 0 | 0 | 0 |
| Nouvelle-Écosse | 10 | 0 | 0 | 0 | 0 | 0 | 10 | 0 | 10 | 0 | 0 | 0 | 0 | 0 | 10 | 0 | 10 | 0 | 10 | 2 | 10 | 0 |
| Nouveau-Brunswick | 8 | 0 | 0 | 0 | 0 | 0 | 8 | 0 | 8 | 0 | 0 | 0 | 0 | 0 | 8 | 1 | 8 | 0 | 8 | 0 | 8 | 0 |
| Atlantique | 465 | 0 | 0 | 0 | 0 | 0 | 465 | 0 | 465 | 0 | 0 | 0 | 0 | 0 | 465 | 4 | 465 | 0 | 465 | 218 | 18 | 0 |
| Région Nord-Est | 16 | 0 | 0 | 0 | 0 | 0 | 16 | 0 | 0 | 0 | 0 | 0 | 0 | 0 | 0 | 0 | 0 | 0 | N.D. | N.D. | 0 | 0 |
| Québec-Chaudière-Appalaches | 2 | 0 | 0 | 0 | 0 | 0 | 2 | 0 | 0 | 0 | 0 | 0 | 0 | 0 | 0 | 0 | 0 | 0 | N.D. | N.D. | 0 | 0 |
| Centre-du-Québec | 8 | 0 | 0 | 0 | 0 | 0 | 8 | 0 | 5 | 0 | 0 | 0 | 0 | 0 | 3 | 0 | 5 | 0 | N.D. | N.D. | 5 | 0 |
| Montréal-Laval | 82 | 0 | 0 | 0 | 0 | 0 | 82 | 0 | 47 | 0 | 0 | 0 | 0 | 0 | 47 | 0 | 42 | 0 | N.D. | N.D. | 42 | 0 |
| Ouest du Québec | 15 | 0 | 0 | 0 | 0 | 0 | 15 | 0 | 0 | 0 | 0 | 0 | 0 | 0 | 0 | 0 | 0 | 0 | N.D. | N.D. | 0 | 0 |
| Montérégie | 0 | 0 | 0 | 0 | 0 | 0 | 0 | 0 | 0 | 0 | 0 | 0 | 0 | 0 | 0 | 0 | 0 | 0 | N.D. | N.D. | 0 | 0 |
| Province de Québec | 123 | 0 | 0 | 0 | 0 | 0 | 123 | 0 | 52 | 0 | 0 | 0 | 0 | 0 | 50 | 0 | 47 | 0 | N.D. | N.D. | 47 | 0 |
| P.H.O.L. - Ottawa | 4 | 0 | 0 | 0 | 0 | 0 | 4 | 0 | 4 | 0 | 0 | 0 | 0 | 0 | 4 | 0 | 4 | 0 | 4 | 0 | 4 | 0 |
| CHEO - Ottawa | 90 | 0 | 0 | 1 | 1 | 5 | 90 | 2 | 27 | 0 | 0 | 0 | 0 | 0 | 27 | 0 | 27 | 0 | 27 | 5 | 27 | 0 |
| P.H.O.L. - Kingston | 22 | 0 | 0 | 0 | 0 | 0 | 22 | 0 | 22 | 0 | 0 | 0 | 0 | 0 | 22 | 1 | 22 | 0 | 22 | 11 | 22 | 0 |
| UHN / Mount Sinai Hospital | 0 | 0 | 0 | 0 | 0 | 0 | 0 | 0 | 0 | 0 | 0 | 0 | 0 | 0 | 0 | 0 | 0 | 0 | 0 | 0 | 0 | 0 |
| P.H.O.L. - Toronto | 113 | 0 | 0 | 0 | 0 | 0 | 113 | 1 | 113 | 0 | 0 | 0 | 0 | 0 | 113 | 1 | 113 | 0 | 113 | 6 | 113 | 0 |
| Sick Kids Hospital - Toronto | 0 | 0 | 0 | 0 | 0 | 0 | 0 | 0 | 0 | 0 | 0 | 0 | 0 | 0 | 0 | 0 | 0 | 0 | 0 | 0 | 0 | 0 |
| Sunnybrook & Women's College HSC | 0 | 0 | 0 | 0 | 0 | 0 | 0 | 0 | 0 | 0 | 0 | 0 | 0 | 0 | 0 | 0 | 0 | 0 | 0 | 0 | 0 | 0 |
| P.H.O.L. - Sault Ste. Marie | 1 | 0 | 0 | 0 | 0 | 0 | 1 | 0 | 1 | 0 | 0 | 0 | 0 | 0 | 1 | 0 | 1 | 0 | 1 | 0 | 1 | 0 |
| P.H.O.L. - Timmins | 18 | 0 | 0 | 0 | 0 | 0 | 18 | 0 | 18 | 0 | 0 | 0 | 0 | 0 | 18 | 0 | 18 | 0 | 18 | 4 | 18 | 0 |
| St. Joseph's - London | 0 | 0 | 0 | 0 | 0 | 0 | 0 | 0 | 0 | 0 | 0 | 0 | 0 | 0 | 0 | 0 | 0 | 0 | 0 | 0 | 0 | 0 |
| P.H.O.L. - London | 11 | 0 | 0 | 0 | 0 | 0 | 11 | 0 | 11 | 0 | 0 | 0 | 0 | 0 | 11 | 0 | 11 | 0 | 11 | 0 | 11 | 0 |
| P.H.O.L. - Orillia | 3 | 0 | 0 | 0 | 0 | 0 | 3 | 0 | 3 | 0 | 0 | 0 | 0 | 0 | 3 | 0 | 3 | 0 | 3 | 0 | 3 | 0 |
| P.H.O.L. - Thunder Bay | 30 | 0 | 0 | 0 | 0 | 0 | 30 | 0 | 30 | 0 | 0 | 0 | 0 | 0 | 30 | 0 | 30 | 0 | 30 | 15 | 30 | 0 |
| P.H.O.L. - Sudbury | 9 | 0 | 0 | 0 | 0 | 0 | 9 | 0 | 9 | 0 | 0 | 0 | 0 | 0 | 9 | 0 | 9 | 0 | 9 | 0 | 9 | 0 |
| P.H.O.L. - Hamilton | 25 | 0 | 0 | 0 | 0 | 0 | 25 | 0 | 25 | 0 | 0 | 0 | 0 | 0 | 25 | 0 | 25 | 0 | 25 | 4 | 25 | 0 |
| P.H.O.L. - Peterborough | 11 | 0 | 0 | 0 | 0 | 0 | 11 | 0 | 11 | 0 | 0 | 0 | 0 | 0 | 11 | 0 | 11 | 0 | 11 | 0 | 11 | 0 |
| St. Joseph's - Hamilton | 60 | 0 | 0 | 0 | 0 | 0 | 60 | 0 | 60 | 0 | 0 | 0 | 0 | 0 | 60 | 0 | 60 | 0 | 60 | 12 | 0 | 0 |
| Province de l'Ontario | 397 | 0 | 0 | 1 | 1 | 5 | 397 | 3 | 334 | 0 | 0 | 0 | 0 | 0 | 334 | 2 | 334 | 0 | 334 | 57 | 274 | 0 |
| Manitoba | 535 | 0 | 0 | 0 | 0 | 0 | 535 | 2 | 67 | 0 | 0 | 0 | 0 | 0 | 67 | 5 | 59 | 0 | 67 | 7 | 59 | 0 |
| Regina | 60 | 0 | 0 | 0 | 0 | 0 | 60 | 1 | 69 | 0 | 0 | 0 | 0 | 0 | 69 | 0 | 69 | 0 | 69 | 12 | 69 | 0 |
| Saskatoon | 0 | 0 | 0 | 0 | 0 | 0 | 0 | 0 | 0 | 0 | 0 | 0 | 0 | 0 | 0 | 0 | 0 | 0 | 0 | 0 | 0 | 0 |
| Saskatchewan | 60 | 0 | 0 | 0 | 0 | 0 | 60 | 1 | 69 | 0 | 0 | 0 | 0 | 0 | 69 | 0 | 69 | 0 | 69 | 12 | 69 | 0 |
| Alberta | 2299 | 0 | 0 | 0 | 0 | 0 | 2298 | 0 | 2298 | 0 | 0 | 0 | 0 | 0 | 2298 | 4 | 2298 | 0 | 2298 | 189 | 2298 | 0 |
| Prairies | 2894 | 0 | 0 | 0 | 0 | 0 | 2893 | 3 | 2434 | 0 | 0 | 0 | 0 | 0 | 2434 | 9 | 2426 | 0 | 2434 | 208 | 2426 | 0 |
| Province de la Colombie-Britannique | 1045 | 0 | 0 | 0 | 0 | 0 | 1046 | 0 | 246 | 0 | 0 | 0 | 0 | 0 | 240 | 6 | 246 | 1 | 236 | 33 | 236 | 0 |
| Yukon | 314 | 0 | 0 | 0 | 0 | 0 | 314 | 0 | N.D. | N.D. | N.D. | N.D. | N.D. | N.D. | N.D. | N.D. | N.D. | N.D. | N.D. | N.D. | N.D. | N.D. |
| Territoires du Nord-Ouest | 25 | 0 | 0 | 0 | 0 | 0 | 25 | 0 | 25 | 0 | 0 | 0 | 0 | 0 | 25 | 0 | 25 | 0 | 25 | 2 | 25 | 0 |
| Nunavut | 130 | 0 | 0 | 0 | 0 | 0 | 130 | 0 | 130 | 1 | 0 | 0 | 0 | 0 | 130 | 0 | 130 | 0 | 130 | 28 | 1 | 0 |
| Territoires | 469 | 0 | 0 | 0 | 0 | 0 | 469 | 0 | 155 | 1 | 0 | 0 | 0 | 0 | 155 | 0 | 155 | 0 | 155 | 30 | 26 | 0 |
| CANADA | 5393 | 0 | 0 | 1 | 1 | 5 | 5393 | 6 | 3686 | 1 | 0 | 0 | 0 | 0 | 3678 | 21 | 3673 | 1 | 3624 | 546 | 3027 | 0 |
"Les échantillons du Yukon (Yn), des Territoires du Nord-Ouest (T.N.-O.) et du Nunavut (Nt) sont envoyés à des laboratoires de référence dans d'autres provinces. Les résultats soumis reflètent les données des spécimens des provinces et territoires suivants : Yn, T.N.-O. et Nt." Les résultats de la Colombie-Britannique comprennent des spécimens provenant des sites suivants: BC Children's and Women's Hospital, Children's and Women's Hospital Laboratory, Fraser Health Medical Microbiology Laboratory, Island Health, Providence Health Care, Powell River Hospital, St. Paul's Hospital, Vancouver General Hospital, Victoria General Hospital, Victoria Coastal Health, BCCDC Public Health Laboratory, Interior Health Authority sites et Northern Health Authority sites. Certains délais quant à la soumission des rapports peuvent affecter les données de façon rétrospective. Pour la Colombie-Britannique, seuls les chiffres des échantillons de grippe A sous-typés sont inclus dans le nombre hebdomadaire de détections de la grippe ainsi, la somme des résultats positifs pour A (H1N1) pdm09, A (H3) et A (UnS) peut ne pas correspondre à la somme des résultats positifs pour la grippe A totale. |
||||||||||||||||||||||
Tableau 2 : Détection/isolement de virus des voies respiratoires pour la période du 23 août 2019 - 19 septembre 2020 (Code hebdomadaire 202035-202038)
| Laboratoire rapporteur | Grippe Test | A(H1N1)pdm09 Positive | A(H3) Positive | A(non sous-typé) Positive | Grippe A Positive Total | Grippe B Positive Total | VRS Test | VRS Positive | PIV Test | PIV 1 Positive | PIV 2 Positive | PIV 3 Positive | PIV 4 Positive | Autre PIV Positive | Adéno Test | Adéno Positive | MPVh Test | MPVh Positive | Entéro/Rhino Test | Entéro/Rhino Positive | Coron Test | Coron Positive |
|---|---|---|---|---|---|---|---|---|---|---|---|---|---|---|---|---|---|---|---|---|---|---|
| Terre-Neuve | 901 | 0 | 0 | 0 | 0 | 0 | 901 | 0 | 901 | 0 | 0 | 0 | 0 | 0 | 901 | 3 | 901 | 0 | 901 | 230 | N.D. | N.D. |
| Île-du-Prince-Édouard | 5 | 0 | 0 | 0 | 0 | 0 | 5 | 0 | 5 | 0 | 0 | 0 | 0 | 0 | 5 | 0 | 5 | 0 | 5 | 1 | 5 | 0 |
| Nouvelle-Écosse | 37 | 0 | 0 | 0 | 0 | 0 | 37 | 0 | 35 | 0 | 0 | 0 | 0 | 0 | 35 | 0 | 35 | 0 | 35 | 3 | 35 | 0 |
| Nouveau-Brunswick | 74 | 0 | 0 | 0 | 0 | 0 | 74 | 0 | 66 | 0 | 0 | 0 | 0 | 0 | 57 | 2 | 57 | 0 | 57 | 3 | 41 | 0 |
| Atlantique | 1017 | 0 | 0 | 0 | 0 | 0 | 1017 | 0 | 1007 | 0 | 0 | 0 | 0 | 0 | 998 | 5 | 998 | 0 | 998 | 237 | 81 | 0 |
| Région Nord-Est | 56 | 0 | 0 | 0 | 0 | 0 | 48 | 0 | 0 | 0 | 0 | 0 | 0 | 0 | 0 | 0 | 0 | 0 | N.D. | N.D. | 0 | 0 |
| Québec-Chaudière-Appalaches | 47 | 0 | 0 | 0 | 0 | 0 | 57 | 0 | 43 | 0 | 0 | 0 | 0 | 0 | 45 | 2 | 41 | 0 | N.D. | N.D. | 41 | 0 |
| Centre-du-Québec | 21 | 0 | 0 | 0 | 0 | 0 | 21 | 0 | 23 | 0 | 0 | 0 | 0 | 0 | 21 | 0 | 23 | 0 | N.D. | N.D. | 23 | 0 |
| Montréal-Laval | 364 | 0 | 0 | 0 | 0 | 0 | 362 | 1 | 287 | 0 | 0 | 0 | 0 | 0 | 341 | 5 | 281 | 0 | N.D. | N.D. | 281 | 0 |
| Ouest du Québec | 32 | 0 | 0 | 0 | 0 | 0 | 31 | 0 | 0 | 0 | 0 | 0 | 0 | 0 | 0 | 0 | 0 | 0 | N.D. | N.D. | 0 | 0 |
| Montérégie | 0 | 0 | 0 | 0 | 0 | 0 | 0 | 0 | 0 | 0 | 0 | 0 | 0 | 0 | 0 | 0 | 0 | 0 | N.D. | N.D. | 0 | 0 |
| Province de Québec | 520 | 0 | 0 | 0 | 0 | 0 | 519 | 1 | 353 | 0 | 0 | 0 | 0 | 0 | 407 | 7 | 345 | 0 | N.D. | N.D. | 345 | 0 |
| P.H.O.L. - Ottawa | 24 | 0 | 0 | 0 | 0 | 0 | 24 | 0 | 24 | 0 | 0 | 0 | 0 | 0 | 24 | 0 | 24 | 0 | 24 | 0 | 24 | 0 |
| CHEO - Ottawa | 394 | 0 | 0 | 1 | 1 | 10 | 191 | 2 | 89 | 0 | 0 | 0 | 0 | 0 | 89 | 0 | 89 | 0 | 89 | 8 | 89 | 0 |
| P.H.O.L. - Kingston | 70 | 0 | 0 | 0 | 0 | 0 | 70 | 0 | 70 | 0 | 0 | 0 | 0 | 0 | 70 | 2 | 70 | 0 | 70 | 34 | 70 | 0 |
| UHN / Mount Sinai Hospital | 0 | 0 | 0 | 0 | 0 | 0 | 0 | 0 | 40 | 0 | 1 | 0 | 0 | 0 | 0 | 0 | 0 | 0 | 0 | 0 | 40 | 0 |
| P.H.O.L. - Toronto | 469 | 0 | 0 | 0 | 0 | 0 | 469 | 1 | 469 | 0 | 0 | 0 | 0 | 0 | 470 | 1 | 469 | 0 | 469 | 8 | 469 | 1 |
| Sick Kids Hospital - Toronto | 0 | 0 | 0 | 0 | 0 | 0 | 0 | 0 | 0 | 0 | 0 | 0 | 0 | 0 | 0 | 0 | 0 | 0 | 0 | 0 | 0 | 0 |
| Sunnybrook & Women's College HSC | 0 | 0 | 0 | 0 | 0 | 0 | 0 | 0 | 0 | 0 | 0 | 0 | 0 | 0 | 0 | 0 | 0 | 0 | 0 | 0 | 0 | 0 |
| P.H.O.L. - Sault Ste. Marie | 3 | 0 | 0 | 0 | 0 | 0 | 3 | 0 | 3 | 0 | 0 | 0 | 0 | 0 | 3 | 0 | 3 | 0 | 3 | 0 | 3 | 0 |
| P.H.O.L. - Timmins | 19 | 0 | 0 | 0 | 0 | 0 | 19 | 0 | 19 | 0 | 0 | 0 | 0 | 0 | 19 | 0 | 19 | 0 | 19 | 4 | 19 | 0 |
| St. Joseph's - London | 0 | 0 | 0 | 0 | 0 | 0 | 0 | 0 | 0 | 0 | 0 | 0 | 0 | 0 | 0 | 0 | 0 | 0 | 0 | 0 | 0 | 0 |
| P.H.O.L. - London | 63 | 0 | 0 | 0 | 0 | 0 | 63 | 0 | 63 | 0 | 0 | 0 | 0 | 0 | 63 | 0 | 59 | 0 | 63 | 1 | 59 | 0 |
| P.H.O.L. - Orillia | 10 | 0 | 0 | 0 | 0 | 0 | 10 | 0 | 10 | 0 | 0 | 0 | 0 | 0 | 10 | 0 | 10 | 0 | 10 | 0 | 10 | 0 |
| P.H.O.L. - Thunder Bay | 109 | 0 | 0 | 0 | 0 | 0 | 109 | 0 | 109 | 0 | 0 | 0 | 0 | 0 | 109 | 1 | 109 | 0 | 109 | 52 | 109 | 0 |
| P.H.O.L. - Sudbury | 25 | 0 | 0 | 0 | 0 | 0 | 25 | 0 | 25 | 0 | 0 | 0 | 0 | 0 | 25 | 0 | 25 | 0 | 25 | 0 | 25 | 0 |
| P.H.O.L. - Hamilton | 80 | 0 | 0 | 0 | 0 | 0 | 76 | 0 | 76 | 0 | 0 | 0 | 0 | 0 | 76 | 0 | 76 | 0 | 76 | 5 | 76 | 0 |
| P.H.O.L. - Peterborough | 43 | 0 | 0 | 0 | 0 | 0 | 43 | 0 | 43 | 0 | 0 | 0 | 0 | 0 | 43 | 0 | 43 | 0 | 43 | 0 | 43 | 0 |
| St. Joseph's - Hamilton | 250 | 0 | 0 | 0 | 0 | 0 | 250 | 0 | 250 | 0 | 0 | 0 | 0 | 0 | 250 | 0 | 250 | 0 | 250 | 21 | 0 | 0 |
| Province de l'Ontario | 1559 | 0 | 0 | 1 | 1 | 10 | 1352 | 3 | 1290 | 0 | 1 | 0 | 0 | 0 | 1251 | 4 | 1246 | 0 | 1250 | 133 | 1036 | 1 |
| Manitoba | 1985 | 0 | 0 | 0 | 0 | 0 | 1985 | 3 | 321 | 0 | 1 | 0 | 0 | 0 | 321 | 7 | 296 | 0 | 321 | 33 | 296 | 1 |
| Regina | 227 | 0 | 0 | 0 | 0 | 0 | 227 | 1 | 221 | 0 | 0 | 0 | 0 | 0 | 221 | 1 | 221 | 0 | 221 | 32 | 221 | 0 |
| Saskatoon | 0 | 0 | 0 | 0 | 0 | 0 | 0 | 0 | 0 | 0 | 0 | 0 | 0 | 0 | 0 | 0 | 0 | 0 | 0 | 0 | 0 | 0 |
| Saskatchewan | 227 | 0 | 0 | 0 | 0 | 0 | 227 | 1 | 221 | 0 | 0 | 0 | 0 | 0 | 221 | 1 | 221 | 0 | 221 | 32 | 221 | 0 |
| Alberta | 10142 | 0 | 0 | 0 | 0 | 0 | 10138 | 0 | 10138 | 1 | 10 | 0 | 1 | 0 | 10138 | 21 | 10138 | 4 | 10138 | 808 | 10138 | 2 |
| Prairies | 12354 | 0 | 0 | 0 | 0 | 0 | 12350 | 4 | 10680 | 1 | 11 | 0 | 1 | 0 | 10680 | 29 | 10655 | 4 | 10680 | 873 | 10655 | 3 |
| Province de la Colombie-Britannique | 3473 | 0 | 0 | 0 | 0 | 0 | 3474 | 0 | 638 | 0 | 0 | 0 | 0 | 0 | 632 | 7 | 638 | 3 | 581 | 56 | 581 | 0 |
| Yukon | 827 | 0 | 0 | 0 | 0 | 0 | 656 | 2 | N.D. | N.D. | N.D. | N.D. | N.D. | N.D. | N.D. | N.D. | N.D. | N.D. | N.D. | N.D. | N.D. | N.D. |
| Territoires du Nord-Ouest | 120 | 0 | 0 | 0 | 0 | 0 | 120 | 0 | 120 | 0 | 0 | 0 | 0 | 0 | 120 | 0 | 120 | 0 | 120 | 40 | 120 | 0 |
| Nunavut | 489 | 0 | 0 | 0 | 0 | 0 | 489 | 0 | 489 | 1 | 1 | 0 | 0 | 0 | 489 | 5 | 489 | 4 | 489 | 112 | 67 | 0 |
| Territoires | 1436 | 0 | 0 | 0 | 0 | 0 | 1265 | 2 | 609 | 1 | 1 | 0 | 0 | 0 | 609 | 5 | 609 | 4 | 609 | 152 | 187 | 0 |
| CANADA | 20359 | 0 | 0 | 1 | 1 | 10 | 19977 | 10 | 14577 | 2 | 13 | 0 | 1 | 0 | 14577 | 57 | 14491 | 11 | 14118 | 1451 | 12885 | 4 |
"Les échantillons du Yukon (Yn), des Territoires du Nord-Ouest (T.N.-O.) et du Nunavut (Nt) sont envoyés à des laboratoires de référence dans d'autres provinces. Les résultats soumis reflètent les données des spécimens des provinces et territoires suivants : Yn, T.N.-O. et Nt." Certains délais quant à la soumission des rapports peuvent affecter les données de façon rétrospective. Par conséquent, en raison des retards des rapports, la somme des totaux hebdomadaires ne correspond pas au total cumulatif. Les résultats de la Colombie-Britannique comprennent des spécimens provenant des sites suivants: BC Children's and Women's Hospital, Children's and Women's Hospital Laboratory, Fraser Health Medical Microbiology Laboratory, Island Health, Providence Health Care, Powell River Hospital, St. Paul's Hospital, Vancouver General Hospital, Victoria General Hospital, Victoria Coastal Health, BCCDC Public Health Laboratory, Interior Health Authority sites et Northern Health Authority sites. Pour la Colombie-Britannique, seuls les chiffres des échantillons de grippe A sous-typés sont inclus dans le nombre hebdomadaire de détections de la grippe ainsi, la somme des résultats positifs pour A (H1N1) pdm09, A (H3) et A (UnS) peut ne pas correspondre à la somme des résultats positifs pour la grippe A totale. |
||||||||||||||||||||||
Nombre de tests de laboratoire positifs pour les autres virus respiratoires
Figure 1 : Nombre de tests de laboratoire positifs pour les autres virus respiratoires, par semaine de surveillance, Canada, 2020-2021

Figure 1 - Équivalent textuel
| Semaine | ParaInfluenza | Adénovirus | Métapneumovirus humain | Entérovirus/Rhinovirus | Coronavirus | Virus respiratoire syncytial |
|---|---|---|---|---|---|---|
| 35 | 3 | 10 | 6 | 319 | 2 | 1 |
| 36 | 7 | 13 | 2 | 277 | 0 | 2 |
| 37 | 5 | 13 | 2 | 309 | 2 | 1 |
| 38 | 1 | 21 | 1 | 546 | 0 | 6 |
Détection du virus grippal au Canada
Figure 2 : Détection du virus grippal au Canada, specimens positifs (%) par région et par semaine de déclaration

Figure 2 - Équivalent textuel
| Semaine | Fin de la semaine | Can Tests | Can A % |
Can B % |
Atl Tests | Atl A % |
Atl B % |
QC Tests | QC A % |
QC B % |
ON Tests | ON A % |
ON B % |
Pr Tests | Pr A % |
Pr B % |
CB Tests | CB A % |
CB B % |
Terr Tests | Terr A % |
Terr B % |
|---|---|---|---|---|---|---|---|---|---|---|---|---|---|---|---|---|---|---|---|---|---|---|
| 35 | 29-08-2020 | 4822 | 0,00 | 0,02 | 151 | 0,00 | 0,00 | 104 | 0,00 | 0,00 | 400 | 0,00 | 0,25 | 3032 | 0,00 | 0,00 | 812 | 0,00 | 0,00 | 323 | 0 | 0 |
| 36 | 05-09-2020 | 5007 | 0,00 | 0,04 | 169 | 0,00 | 0,00 | 133 | 0,00 | 0,00 | 349 | 0,00 | 0,57 | 3163 | 0,00 | 0,00 | 839 | 0,00 | 0,00 | 354 | 0 | 0 |
| 37 | 12-09-2020 | 5137 | 0,00 | 0,04 | 232 | 0,00 | 0,00 | 160 | 0,00 | 0,00 | 413 | 0,00 | 0,48 | 3265 | 0,00 | 0,00 | 777 | 0,00 | 0,00 | 290 | 0 | 0 |
| 38 | 19-09-2020 | 5393 | 0,02 | 0,09 | 465 | 0,00 | 0,00 | 123 | 0,00 | 0,00 | 397 | 0,25 | 1,26 | 2894 | 0,00 | 0,00 | 1045 | 0,00 | 0,00 | 469 | 0 | 0 |
Détection du virus respiratoire syncytial
Figure 3 : Détection du virus respiratoire syncytial (VRS) au Canada, spécimens positifs (%) par région et par semaine de déclaration

Figure 3 - Équivalent textuel
| Semaine | Fin de la semaine | Can Tests | VRS % |
Atl Tests | VRS % |
QC Tests | VRS % |
ON Tests | VRS % |
Pr Tests | VRS % |
CB Tests | VRS % |
Terr Tests | VRS % |
|---|---|---|---|---|---|---|---|---|---|---|---|---|---|---|---|
| 35 | 29-08-2020 | 4641 | 0,02 | 151 | 0 | 100 | 1 | 396 | 0 | 3030 | 0 | 812 | 0 | 152 | 0 |
| 36 | 05-09-2020 | 4934 | 0,04 | 169 | 0 | 139 | 0 | 271 | 0 | 3162 | 0 | 839 | 0 | 354 | 0,56 |
| 37 | 12-09-2020 | 5009 | 0,02 | 232 | 0 | 157 | 0 | 288 | 0 | 3265 | 0,03 | 777 | 0 | 290 | 0 |
| 38 | 19-09-2020 | 5393 | 0,11 | 465 | 0 | 123 | 0 | 397 | 0,76 | 2893 | 0,1 | 1046 | 0 | 469 | 0 |
Détection du virus parainfluenza
Figure 4 : Détection du virus parainfluenza (PIV) au Canada, spécimens positifs (%) par région et par semaine de déclaration

Figure 4 - Équivalent textuel
| Semaine | Fin de la semaine | Canada Tests | PIV % |
Atl Tests | PIV % |
QC Tests | PIV % |
ON Tests | PIV % |
Pr Tests | PIV % |
CB Tests | PIV % |
|---|---|---|---|---|---|---|---|---|---|---|---|---|---|
| 35 | 29-08-2020 | 3557 | 0,08 | 154 | 0 | 81 | 0 | 344 | 0 | 2672 | 0,11 | 154 | 0 |
| 36 | 05-09-2020 | 3456 | 0,2 | 156 | 0 | 110 | 0 | 300 | 0 | 2617 | 0,23 | 122 | 0 |
| 37 | 12-09-2020 | 3866 | 0,13 | 232 | 0 | 110 | 0 | 300 | 0,33 | 2957 | 0,14 | 115 | 0 |
| 38 | 19-09-2020 | 3686 | 0,03 | 465 | 0 | 52 | 0 | 334 | 0 | 2434 | 0 | 245 | 0 |
Détection du virus adénovirus
Figure 5 : Détection du virus adénovirus au Canada, spécimens positifs (%) par région et par semaine de déclaration

Figure 5 - Équivalent textuel
| Semaine | Fin de la semaine | Can Tests | Adéno % |
Atl Tests | Adéno % |
QC Tests | Adéno % |
ON Tests | Adéno % |
Pr Tests | Adéno % |
CB Tests | Adéno % |
|---|---|---|---|---|---|---|---|---|---|---|---|---|---|
| 35 | 29-08-2020 | 3611 | 0,28 | 154 | 0 | 135 | 1,48 | 344 | 0 | 2672 | 0,15 | 154 | 0,65 |
| 36 | 05-09-2020 | 3441 | 0,38 | 156 | 0,64 | 110 | 2,73 | 285 | 0,35 | 2617 | 0,31 | 122 | 0 |
| 37 | 12-09-2020 | 3847 | 0,34 | 223 | 0 | 112 | 1,79 | 288 | 0,35 | 2957 | 0,27 | 115 | 0 |
| 38 | 19-09-2020 | 3678 | 0,57 | 465 | 0,86 | 50 | 0 | 334 | 0,6 | 2434 | 0,37 | 239 | 2,51 |
Détection du métapneumovirus humain
Figure 6 : Détection de métapneumovirus (MPVh) au Canada, spécimens positifs (%) par région et par semaine de déclaration

Figure 6 - Équivalent textuel
| Semaine | Fin de la semaine | Can Tests | MPVh % |
Atl Tests | MPVh % |
QC Tests | MPVh % |
ON Tests | MPVh % |
Pr Tests | MPVh % |
CB Tests | MPVh % |
|---|---|---|---|---|---|---|---|---|---|---|---|---|---|
| 35 | 29-08-2020 | 3547 | 0,17 | 154 | 0,00 | 80 | 0 | 344 | 0 | 2663 | 0,04 | 154 | 1,3 |
| 36 | 05-09-2020 | 3429 | 0,06 | 156 | 0,00 | 108 | 0 | 281 | 0 | 2611 | 0,04 | 122 | 0 |
| 37 | 12-09-2020 | 3842 | 0,05 | 223 | 0,00 | 110 | 0 | 287 | 0 | 2955 | 0,07 | 115 | 0 |
| 38 | 19-09-2020 | 3673 | 0,03 | 465 | 0,00 | 47 | 0 | 334 | 0 | 2426 | 0 | 245 | 0,41 |
Détection du virus entérovirus/rhinovirus
Figure 7 : Détection du virus entérovirus/rhinovirus (entéro/rhino) au Canada, specimens positifs (%) par région et par semaine de déclaration

Figure 7 - Équivalent textuel
| Semaine | Fin de la semaine | Canada Tests | Entéro/rhino % |
Atl Tests | Entéro/rhino % |
QC Tests | Entéro/rhino % |
ON Tests | Entéro/rhino % |
Pr Tests | Entéro/rhino % |
CB Tests | Entéro/rhino % |
|---|---|---|---|---|---|---|---|---|---|---|---|---|---|
| 35 | 29-08-2020 | 3465 | 9,21 | 154 | 1,95 | N.D. | N.D. | 344 | 4,65 | 2672 | 9,09 | 143 | 7,69 |
| 36 | 05-09-2020 | 3316 | 8,35 | 156 | 7,05 | N.D. | N.D. | 284 | 9,15 | 2617 | 7,49 | 108 | 4,63 |
| 37 | 12-09-2020 | 3713 | 8,32 | 223 | 2,24 | N.D. | N.D. | 288 | 11,81 | 2957 | 7,64 | 93 | 7,53 |
| 38 | 19-09-2020 | 3624 | 15,07 | 465 | 46,88 | N.D. | N.D. | 334 | 17,07 | 2434 | 8,55 | 235 | 13,62 |
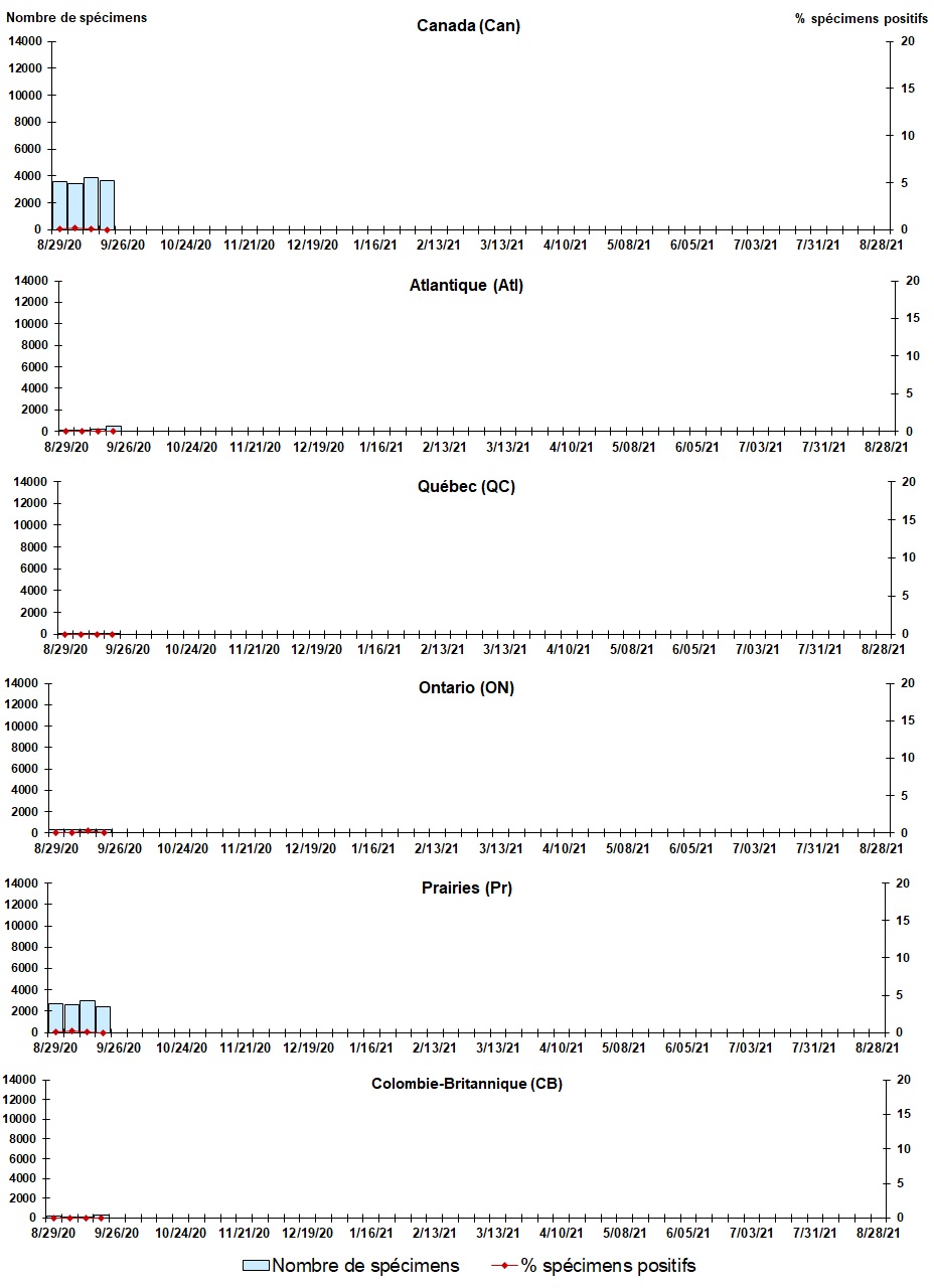
Détection du virus coronavirus
Figure 8 : Détection du virus coronavirus (coron) au Canada, spécimens positifs (%) par région et par semaine de déclaration

Figure 8 - Équivalent textuel
| Semaine | Fin de la semaine | Canada Tests | Coron % |
Atl Tests | Coron % |
QC Tests | Coron % |
ON Tests | Coron % |
Pr Tests | Coron % |
CB Tests | Coron % |
|---|---|---|---|---|---|---|---|---|---|---|---|---|---|
| 35 | 29-08-2020 | 3233 | 0,06 | 29 | 0 | 80 | 0 | 268 | 0 | 2663 | 0,08 | 143 | 0 |
| 36 | 05-09-2020 | 3127 | 0 | 8 | 0 | 108 | 0 | 246 | 0 | 2611 | 0 | 108 | 0 |
| 37 | 12-09-2020 | 3486 | 0,06 | 26 | 0 | 110 | 0 | 236 | 0,42 | 2955 | 0,03 | 93 | 0 |
| 38 | 19-09-2020 | 3027 | 0 | 18 | 0 | 47 | 0 | 274 | 0 | 2426 | 0 | 235 | 0 |