Évaluation préalable pour le Défi concernant
Archivée
les 3,3,3-trifluoropropyl(méthyl) et méthyl(vinyl)siloxanes et silicones, terminés par un groupe hydroxyle
Numéro de registre du Chemical Abstracts Service
68952-02-3
Environnement Canada
Santé Canada
Septembre 2011
Table des matières
- Sommaire
- Introduction
- Identité de la substance
- Propriétés physiques et chimiques
- Sources
- Utilisations
- Rejets dans l'environnement
- Devenir dans l'environnement
- Persistance et potentiel de bioaccumulation
- Potentiel d'effets nocifs sur l'environnement
- Potentiel d'effets nocifs sur la santé humaine
- Conclusion
- Références
- Annexe I : Rapport entre la viscosité, le degré de polymérisation et la masse moléculaire du PDMS
- Annexe II : Table de résumé des intrants des modèles de la persistance, de la bioaccumulation et de la toxicité (PBT)
- Annexe III : Information disponible sur la toxicité aiguë des siloxanes fluorés pour les mammifères
Conformément à l’article 74 de la Loi canadienne sur la protection de l’environnement (1999) [LCPE (1999)], les ministres de l’Environnement et de la Santé ont effectué une évaluation préalable sur les 3,3,3-trifluoropropyl(méthyl) et méthyl(vinyl)siloxanes et silicones, terminés par un groupe hydroxyle (MVTFS), dont le numéro de registre du Chemical Abstracts Service est 68952-02-3. Une priorité élevée a été accordée à l’évaluation préalable de cette substance inscrite au Défi ministériel, car elle répondait aux critères de la catégorisation écologique relatifs à la persistance, au potentiel de bioaccumulation et à la toxicité intrinsèque pour les organismes non humains et on croit qu’elle est commercialisée au Canada.
L’évaluation des risques que présente le MVTFS pour la santé humaine n’a pas été jugée hautement prioritaire à la lumière des résultats fournis par les outils simples de détermination du risque d’exposition et du risque pour la santé élaborés aux fins de la catégorisation des substances de la Liste intérieure des substances. Par conséquent, la présente évaluation est axée sur les renseignements utiles à l’évaluation des risques pour l’environnement.
À l’origine, cette substance a été classée dans la catégorie des UVCB organiques (substances de composition inconnue ou variable, produits de réactions complexes ou matières biologiques) au cours de la catégorisation de la Liste intérieure des substances (LIS). D’après les nouveaux renseignements reçus, la substance est considérée comme un polymère de siloxane organique.
La substance est utilisée au Canada principalement pour la fabrication d’adhésifs et de caoutchouc synthétique. Elle n’est pas produite naturellement dans l’environnement. Elle ne serait pas non plus fabriquée au Canada, cependant, on a importé entre 10 000 et 100 000 kg du polymère dans le pays en 2006.
D’après certaines hypothèses et les profils d’utilisation déclarés au Canada, la plus grande partie de cette substance devrait aboutir dans les sites d’enfouissement. On estime qu’une petite fraction est rejetée dans les eaux usées et, dans une moindre mesure, dans l’air et le sol, pendant la phase d’utilisation industrielle.
Selon les données disponibles, il est déterminé que la forme du MVTFS commercialisée au Canada satisfait aux critères des polymères à exigences réglementaires réduites précisés dans le Règlement sur les renseignements concernant les substances nouvelles (substances chimiques et polymères). Le MVTFS devrait être non volatil et insoluble dans l’eau, avec une masse volumique plus élevée que celle de l’eau. La substance devrait montrer une résistance à la chaleur, à certains liquides et à aux attaques chimiques, et elle devrait présenter une faible température de transition vitreuse. Le polymère devrait exister dans un état caoutchouteux à des températures ambiantes et demeurer fonctionnel sur une vaste plage de températures.
D’après les données déduites à partir d’analogues de ses propriétés physiques et chimiques, le MVTFS devrait être persistant dans l’environnement. Si l’on considère l’information déterminée récemment à propos de la bioaccumulation d’un polymère analogue, et compte tenu du poids moléculaire élevé du MVTFS, le polymère ne sera probablement pas biodisponible pour les organismes environnementaux et son potentiel de bioaccumulation ne devrait pas être significatif. Par conséquent, il est conclu que la substance répond aux critères de la persistance, mais pas à ceux de la bioaccumulation, énoncés dans le Règlement sur la persistance et la bioaccumulation. En outre, les données expérimentales de toxicité relevées récemment pour un polymère analogue et les prévisions modélisées sur les produits de l’hydrolyse indiquent que le polymère présente un danger faible pour les organismes dans l’environnement.
Aux fins de la présente évaluation préalable, un scénario d’exposition prudent a été élaboré; d’après celui-ci, une activité industrielle (utilisant le polymère) rejette du MVTFS dans le milieu aquatique. La concentration environnementale estimée (CEE) du polymère dans l’eau pour les organismes aquatiques était sensiblement inférieure à la concentration estimée sans effet (CESE). Par conséquent, d’après les renseignements contenus dans le présent rapport d’évaluation préalable, il est conclu que le MVTFS ne pénètre pas dans l’environnement en une quantité, à une concentration ou dans des conditions qui ont ou peuvent avoir un effet nocif immédiat ou à long terme sur l’environnement ou sa diversité biologique, ou qui constituent ou peuvent constituer un danger pour l’environnement essentiel pour la vie.
Aucune donnée empirique relative aux effets sur la santé n’a été relevée pour le MVTFS. D’après les données limitées relatives aux effets sur la santé de fluorosilicones ayant des structures similaires, on considère que le MVTFS ne présente pas un potentiel de risque élevé.
On s’attend à ce qu’une exposition négligeable pour l’ensemble de la population au MVTFS présent dans les milieux naturels (air, eau potable et sol) ou par les aliments et les boissons. On ne prévoit aucune exposition de l’ensemble de la population à partir de l’utilisation de produits de consommation contenant du MVTFS. Par conséquent, on considère que le risque pour la santé humaine découlant de l’exposition au MVTFS au Canada est faible. Il est donc conclu que le MVTFS ne pénètre pas dans l’environnement en une quantité, à une concentration ou dans des conditions de nature à constituer un danger au Canada pour la vie ou la santé humaines.
D’après les renseignements disponibles, il est proposé de conclure que la forme à exigences réglementaires réduites du MVTFS ne satisfait à aucun des critères de l’article 64 de laLoi canadienne sur la protection de l’environnement (1999).
En raison de la complexité associée à la formulation du polymère et des propriétés potentiellement dangereuses associées aux polymères ayant un faible poids moléculaire, on craint que les utilisations nouvelles du MVTFS qui ne sont ni décelées ni évaluées en vertu de la LCPE (1999) fassent en sorte que les substances répondent aux critères de l’article 64 de la Loi. Dès lors, on recommande la modification de la Liste intérieure des substances (LIS) pour indiquer que le MVTFS répond aux critères des polymères à exigences réglementaires réduites. Si d’autres formes du MVTFS ne répondant pas aux exigences réglementaires réduites sont introduites sur le marché canadien, ces formes seront soumises aux exigences du Règlement sur les renseignements concernant les substances nouvelles.
La Loi canadienne sur la protection de l’environnement (1999) [LCPE (1999)] (Canada, 1999) exige que les ministres de l’Environnement et de la Santé procèdent à une évaluation préalable des substances qui répondent aux critères de catégorisation énoncés dans la Loi afin de déterminer si elles présentent ou sont susceptibles de présenter un risque pour l’environnement ou la santé humaine.
Selon l’information obtenue dans le cadre de la catégorisation, les ministres ont jugé qu’une attention hautement prioritaire devait être accordée à un certain nombre de substances, à savoir :
- répondent à tous les critères environnementaux de catégorisation, notamment la persistance (P), le potentiel de bioaccumulation (B) et la toxicité intrinsèque pour les organismes aquatiques (Ti), et que l’on pense être commercialisées au Canada et/ou
- celles qui répondent aux critères de catégorisation pour le plus fort risque d’exposition (PFRE) ou qui présentent un risque d’exposition intermédiaire (REI) et qui ont été jugées particulièrement dangereuses pour la santé humaine, compte tenu des classifications qui ont été établies par d’autres organismes nationaux ou internationaux concernant leur cancérogénicité, leur génotoxicité ou leur toxicité pour le développement ou la reproduction.
Le 9 décembre 2006, les ministres ont donc publié un avis d’intention dans la Partie I de la Gazette du Canada(Canada, 2006) dans lequel ils priaient l’industrie et les autres intervenants de fournir, selon un calendrier déterminé, des renseignements précis qui pourraient servir à étayer l’évaluation des risques, ainsi qu’à élaborer et à évaluer les meilleures pratiques de gestion des risques et de bonne gestion des produits pour ces substances jugées hautement prioritaires.
On a décidé d’accorder une priorité élevée à l’évaluation des risques pour l’environnement des 3,3,3-trifluoropropyl(méthyl) et méthyl(vinyl)siloxanes et silicones, terminés par un groupe hydroxyle (MVTFS) au cours de la catégorisation visant la Liste intérieure des substances (LIS). D’après les prévisions modélisées, cette substance a été jugée persistante, bioaccumulable et intrinsèquement toxique pour les organismes aquatiques et il semble qu’elle soit commercialisée au Canada. Le volet du Défi portant sur cette substance a été publié dans la Gazette du Canada le 26 septembre 2009 (Canada, 2009). En même temps a été publié le profil de cette substance, qui présentait l’information technique (obtenue avant décembre 2005) sur laquelle a reposé sa catégorisation. Des renseignements sur les propriétés et les utilisations de cette substance ont été reçus en réponse au Défi.
Même si l’évaluation des risques que présente le MVTFS pour l’environnement est jugée hautement prioritaire, cette substance ne répond pas aux critères de catégorisation pour le PFRE ou le REI ni aux critères définissant un grave risque pour la santé humaine, compte tenu du classement attribué par d’autres organismes nationaux ou internationaux quant à sa cancérogénicité, à sa génotoxicité ou à sa toxicité sur le plan du développement ou de la reproduction.
Les évaluations préalables effectuées aux termes de la LCPE (1999) mettent l’accent sur les renseignements jugés essentiels pour déterminer si une substance répond aux critères définis à l’article 64 de la Loi. Les évaluations préalables visent à examiner des renseignements scientifiques et à tirer des conclusions fondées sur la méthode du poids de la preuve et le principe de prudence[1].
La présente évaluation préalable prend en considération les renseignements sur les propriétés chimiques, les dangers, les utilisations de la substance en question et l’exposition à celle-ci, y compris l’information supplémentaire fournie dans le cadre du Défi. Les données pertinentes pour l’évaluation préalable de cette substance sont tirées de publications originales, de rapports de synthèse et d’évaluation, de rapports de recherche de parties intéressées et d’autres documents consultés au cours de recherches documentaires menées récemment, jusqu’en mai 2010 dans le cas des sections du document portant sur la santé humaine, et jusqu’en décembre 2010 dans le cas des sections portant sur les aspects écologiques. Les études les plus importantes ont fait l’objet d’une évaluation critique. Il est possible que les résultats de modélisation aient servi à formuler des conclusions.
Lorsqu’ils étaient disponibles et pertinents, les renseignements contenus dans les évaluations des dangers effectués par d’autres instances ont été utilisés. La présente évaluation préalable ne constitue pas un examen exhaustif ou critique de toutes les données disponibles. Il s’agit plutôt d’un sommaire des renseignements essentiels qui appuient la conclusion proposée.
La présente évaluation préalable a été préparée par le personnel du Programme des substances existantes de Santé Canada et d’Environnement Canada et elle intègre les résultats d’autres programmes exécutés par ces ministères. La section écologique de la présente évaluation a fait l’objet d’une étude consignée par des pairs ou d’une consultation de ces derniers. De plus, l’ébauche de la présente évaluation préalable a fait l’objet d’une période de commentaires de 60 jours par le public. Bien que les commentaires venus de l’extérieur aient été pris en considération, Santé Canada et Environnement Canada sont seuls responsables du contenu final et des résultats de l’évaluation préalable. Les approches suivies lors des évaluations préalables dans le cadre du Défi ont été examinées par un groupe indépendant, soit le Groupe consultatif du Défi.
Les principales données et considérations sur lesquelles repose l’évaluation préalable sont résumées ci-après.
Aux fins du présent document, la substance dont il est question ici, les 3,3,3-trifluoropropyl(méthyl) et méthyl(vinyl)siloxanes et silicones, terminés par un groupe hydroxyle, est désignée par le sigle « MVTFS », qui provient du nom commun utilisé dans la LIS.
Le MVTFS a initialement été classé dans le cadre de la catégorisation visant la LIS comme un UVCB organique. Selon de nouveaux renseignements obtenus, la substance se caractérise par 1) la présence d’unités monomères de méthyl-trifluoropropyl-siloxy et de méthyl-vinyl-siloxy, et 2) la présence de deux groupes méthyles et d’un groupe hydroxyle qui sont fixés à l’atome de silicium et qui agissent comme les groupes terminaux du polymère (Environnement Canada, 2010a).
D’après les résultats de la chromatographie à perméation de gel (CPG), le MVTFS a une masse moléculaire moyenne en nombre (Mn) d’environ 358 000 g/mol (Environnement Canada, 2010a). Des polymères considérablement plus petits, de masse moléculaire d’environ 30 000 g/mol à peine, ont été décelés dans le produit polymérique, mais en très faibles concentrations seulement (< 1 % en poids). Les différences dans les masses moléculaires sont principalement dues aux différences dans le nombre d’unités. Par conséquent, le MVTFS respecte la définition d’un polymère (OCDE, 1994), résumée ci-dessous :
- molécules caractérisées par une séquence d’un ou de plusieurs types d’unités monomères;
- une simple majorité pondérale de molécules contenant au moins trois unités monomères liées par covalence à au moins une autre unité monomère ou à une autre substance réactive; une quantité inférieure à une simple majorité pondérale de molécules présentant la même masse moléculaire;
- molécules distribuées à l’intérieur d’un intervalle de masses moléculaires et dont la différence de masses moléculaires est attribuée essentiellement à des différences dans le nombre d’unités monomères.
L’identité du MVTFS est présentée dans le tableau 1 ci-dessous.
Tableau 1. Identité de la substance - MVTFS
| Numéro de registre du Chemical Abstracts Service (no CAS) | 68952-02-3 |
| Nom dans la LIS | 3,3,3-trifluoropropyl(méthyl) et méthyl(vinyl)siloxanes et silicones, terminés par un groupe hydroxyle |
| Noms relevés dans les National Chemical Inventories (NCI)[1] | Siloxanes and Silicones, Me 3,3,3-trifluoropropyl, Me vinyl, hydroxy-terminated (TSCA, LIS, REACH, ECL, PICCS, ASIA-PAC, NZIoC); Siloxanes and silicones, methyl 3,3,3-trifluoropropyl, methyl vinyl, hydroxy terminated (AICS) |
| Autres noms | Non disponible |
| Groupe chimique (groupe de la LIS) | Polymère |
| Principale classe chimique ou utilisation | Organosiliciums |
| Principale sous-classe chimique | Siloxanes |
| Formule chimique | Non disponible |
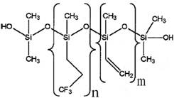
| Structure chimique représentative utilisée dans le modèle d’estimation[2] | ![]() |
| SMILES[3] | Non disponible |
| Masse moléculaire | Masse moléculaire moyenne en nombre : 358 000 g/mol (n = ~ 2 200, m = ~ 20) Plus faible masse moléculaire : 30 000 g/mol |
[2] Cette substance est un polymère organique défini, c’est-à-dire qu’elle n’est pas un composé chimique défini; elle peut donc être caractérisée par une structure représentative.
[3] Simplified Molecular Input Line Entry System.
Il convient de noter que le polymère pourrait contenir une petite fraction d’impuretés, c’est-à-dire des monomères ou des sous-produits résiduels qui ont une masse moléculaire beaucoup plus faible. La quantité et le type d’impuretés varient en fonction d’une série de facteurs, notamment les différents procédés de fabrication et d’exploitation, les conditions de réaction ainsi que l’utilisation de catalyseurs et de promoteurs. D’après les résultats de l’analyse par CPG, le plus petit polymère possède une masse moléculaire de 30 000 g/mol, ce qui indique que le MVTFS commercialisé au Canada ne renferme pas les impuretés de faible masse moléculaire (Environnement Canada, 2010a). Pour cette raison, ces impuretés ne sont pas prises en compte dans la présente évaluation.
Il existe très peu de données expérimentales faisant état des propriétés physiques et chimiques du MVTFS.
D’après certaines données fournies, le MVTFS commercialisé au Canada a une masse moléculaire moyenne élevée en nombre d’environ 358 000 g/mol (ce qui équivaut à environ 2 200 unités récurrentes de méthyl-trifluoropropyl-siloxy et environ 20 de méthyl-vinyl-siloxy, d’après la masse moléculaire des unités monomères et de la dominance de méthyl-trifluoropropyl-siloxy dans le polymère) (Environnement Canada, 2010a). La composante ayant la plus faible masse moléculaire fait approximativement 30 000 g/mol.
En ce qui concerne les groupements fonctionnels des unités récurrentes, on peut s’attendre à ce que le groupement trifluoropropyle soit fortement lié à l’atome de silicium, dans le squelette du polymère, et il est peu probable que l’unité récurrente perde ce groupement fonctionnel (voir les détails à ce sujet dans la section portant sur la persistance dans l’environnement). Le groupement vinyle de l’unité récurrente est, dans une certaine mesure, réactif, mais il n’est présent que dans moins de 1 % des unités récurrentes au total. Compte tenu de ce qui précède, le polymère répond aux critères définissant les polymères à exigences réglementaires réduites tels que définis dans le Règlement sur les renseignements concernant les substances nouvelles (substances chimiques et polymères).
Comme sa masse moléculaire dépasse largement la limite acceptable pour les modèles de relations quantitatives structure-activité (RQSA), on considère que le polymère ne fait pas partie du domaine d’applicabilité et qu’on ne peut utiliser aucun modèle de RQSA pour évaluer la substance. Par conséquent, on a utilisé l’information relative à deux polymères de siloxane analogues, le polyméthyltrifluoropropylsiloxane (PMTFPS) et le polydiméthylsiloxane (PDMS) pour combler les lacunes de connaissance et les données déduites à partir d’analogues ont été prises en considération au moment de l’évaluation du MVTFS.
Un analogue est un produit chimique dont la structure est proche de celle de la substance évaluée; il devrait donc présenter des similitudes en matière de propriétés physiques et chimiques, de comportement et de devenir dans l’environnement, ainsi que de toxicité. Lorsque ce sont des données expérimentales pour un paramètre donné d’une substance analogue, celles-ci peuvent être directement utilisées ou avec un ajustement, comme estimation de cette valeur de paramètre pour la substance en cours d’évaluation.
Les structures représentatives du PMTFPS et du PDMS sont présentées dans le tableau 2 ci-après.
Tableau 2. Propriétés physiques et chimiques du MVTFS, du PMTFPS et du PDMS
| Produit chimique | MVTFS | PMTFPS | PDMS |
|---|---|---|---|
| Structure chimique représentative | ![]() |
![]() |
![]() |
| Masse moléculaire moyenne en nombre (g/mol) | 358 000 | Non disponible | Non disponible |
| Plus faible masse moléculaire (g/mol) | 30 000 | Non disponible | Non disponible |
| État physique aux températures enregistrées dans l’environnement | Caoutchouc (analogie) |
Caoutchouc | Liquide |
| Masse volumique (kg/m3) | 1,350 à 1650 (analogie) |
1,350 à 1,650 (expérimental) |
960 (expérimental) |
| Température de transition vitreuse (oC) | Faible (analogie) |
-75 (expérimental) |
Non disponible |
En général, bien que le PMTFPS soit un analogue structurel plus proche que le PDMS, il y a plus de données relatives sur le deuxième analogue. Tel qu’il est mentionné ci-après, le PDMS a une masse moléculaire considérablement moins élevée que celle du MVTFS et demeure à l’état liquide aux températures enregistrées dans l’environnement; par conséquent, il sera probablement plus biodisponible que le MVTFS, et il constitue un choix d’analogue prudent et utile pour la caractérisation des risques.
MVTFS par rapport au PMTFPS
Le MVTFS et le PMTFPS contiennent tous deux l’unité monomère de méthyl-trifluoropropyl-siloxy dans les molécules polymériques. Le MVTFS contient aussi une petite fraction (< 1 %) de l’unité monomère de méthyl-vinyl-siloxy dans la chaîne principale, et deux substituants méthyles et hydroxyles dans les groupes terminaux, tandis que le PMTFPS a trois substituants méthyles dans les groupes terminaux. En raison de l’importante masse moléculaire, les substituants vinyles et hydroxyles dans le MVTFS ne devraient pas sensiblement toucher les propriétés physiques et chimiques, c’est-à-dire la pression de vapeur, l’hydrosolubilité, le coefficient de partage octanol-eau, ou la toxicité. Les substituants vinyles et hydroxyles sont présents pour permettre la réticulation avec d’autres molécules, la production de molécules plus grosses et moins actives, qui rend à son tour le MVTFS moins biodisponible et moins potentiellement bioaccumulable.
À la différence d’une substance non polymère définie, qui peut passer d’un état solide à un état liquide à son point de fusion, les polymères de siloxane de masse moléculaire élevée se caractérisent habituellement par leur température de transition vitreuse, la température à laquelle le comportement mécanique du polymère change, par lequel il passe de rigide et cassant à dur et coriace. Les polymères de fluorosiloxane sont destinés à demeurer fonctionnels dans une vaste plage de températures (de -60 à 200 °C). Par exemple, le PMTFPS a une température de transition vitreuse à -75 °C et demeure à l’état caoutchouteux à température ambiante. Le polymère PMTFPS a une masse moléculaire de 1 350 à 1 650 kg/m3 (Drobny, 2001).
La plupart des polymères de siloxane ayant une masse moléculaire élevée (plus de 1 000 g/mol) sont non volatils (la pression de vapeur étant inférieure à 10-8 mm Hg) et démontrent une faible hydrosolubilité (USEPA, 2008). De plus, les substituants organiques fluorés liés au silicium devraient transmettre des propriétés uniques à ce groupe de polymères précis. Le PMTFPS, par exemple, résiste aux attaques des carburants et des huiles et est insoluble dans les solvants communs tels que le chloroforme, le toluène ou l’hexane (Kobayashi et Nishiumi, 1993; Cai et Weber, 2004). Cependant, on a mentionné que le polymère était soluble dans les solvants polaires tels que les cétones et les esters (Pagliani et al., 2008; Becerraet al., 1992).
D’après l’information sur le PMTFPS, le MVTFS devrait être résistant à la chaleur et avoir une faible température de transition vitreuse. Le polymère devrait être non volatil et être plus dense que l’eau. Il demeurerait à l’état caoutchouteux à des températures ambiantes. La substance devrait être insoluble dans l’eau et dans la plupart des solvants organiques communs.
MVTFS par rapport au PDMS
Il convient de noter qu’il y a plus de différences dans les structures chimiques du MVTFS et du PDMS qu’entre celles du MVTFS et du PMTFPS. Dans l’unité monomère et le groupe terminal, le PDMS ne contient qu’un substituant de méthyle lié aux atomes de silicium dans la chaîne principale ou le groupe terminal. Toutefois, pour le MVTFS, il y a différents groupes fonctionnels dans les deux unités monomères et le groupe terminal.
Pour les groupes fonctionnels de trifluoropropyle et de vinyle dans les monomères, les liaisons covalentes reliant les chaînes latérales (trifluoropropyle et vinyle) aux atomes de silicium dans la chaîne principale devraient être très fortes (Drobny, 2001). Des preuves expérimentales indiquent que le MVTFS peut subir le même mécanisme de dégradation que le PDMS, dans lequel la dégradation est due essentiellement à la rupture de la chaîne principale -Si-O-Si-, au lieu des unités monomères (Barrèreet al., 2001; Veith et Cohen, 1989). Le groupement hydroxyle de l’unité terminale pourrait accroître la solubilité du polymère; toutefois, vu la masse moléculaire élevée et l’état physique du MVTFS, cet effet devrait être mineur. Par conséquent, il est approprié d’utiliser le PDMS pour prévoir la persistance du MVTFS dans l’environnement.
Pour les polymères de siloxane, il existe un lien entre la viscosité et la masse moléculaire moyenne (Fendinger et al., 1997). La viscosité est une mesure de la résistance d’un liquide à l’écoulement lorsqu’une force est appliquée sur celui-ci. La viscosité d’un polymère augmente généralement avec la longueur de sa chaîne (Fendinger et al., 1997; Wacker, 1992) et la mesure de la viscosité, en centistokes (cSt[2]), peut être utilisée pour caractériser la masse moléculaire moyenne d’une macromolécule (voir l’annexe I). Lorsqu’un polymère de silicone a une masse moléculaire moyenne d’environ 358 000 g/mol ou plus, on prévoit qu’il va posséder une viscosité élevée, une faible pression de vapeur et une faible hydrosolubilité, et qu’il va exister à l’état caoutchouteux à des températures ambiantes.
Le PDMS, comme on l’appelle dans la présente évaluation, a une masse moléculaire moyenne allant jusqu’à 10 000 g/mol (soit l’équivalent d’une viscosité d’environ 12 500 cSt), un chiffre bien inférieur à la plus faible masse moléculaire du MVTFS (30 000 g/mol). Dans des conditions ambiantes, le PDMS reste liquide, tandis que le MVTFS est presque entièrement immobile sous la force de la gravité. On peut supposer que s’il est rejeté dans l’environnement, le PDMS sera plus biodisponible pour les organismes dans l’eau, le sol et les sédiments. Par conséquent, on a considéré que l’utilisation de données sur l’analogue PDMS pour évaluer le potentiel de bioaccumulation maximal et les effets écologiques du MVTFS était une démarche valable et prudente.
Comme il n’existe aucune donnée de toxicité pour le MVTFS et le PMTFPS et que les modèles RQSA ne sont pas applicables aux composés ayant une masse moléculaire élevée, les données de toxicité sur le PDMS sont utilisées pour évaluer les effets écologiques du MVTFS. L’évaluation tient également compte du potentiel de toxicité avec les produits de dégradation (surtout le groupe de trifluoropropyle). Les groupes terminaux vinyles et hydroxyles sont des groupes fonctionnels qui peuvent participer à la réticulation et on prévoit qu’ils ne montreront pas des effets toxiques significatifs.
Le MVTFS n’est pas produit naturellement dans l’environnement.
Des enquêtes menées en 2005 et 2006 par le truchement d’avis publiés dans la Gazette du Canada conformément à l’article 71 de la LCPE (1999) ont permis de recueillir des renseignements (Canada, 2006). Ces avis visaient à recueillir des données sur la fabrication et l’importation de MVTFS au Canada. Dans l’avis de 2006, on demandait également de fournir des données sur la quantité utilisée de cette substance.
Au Canada, aucune activité de fabrication de MVTFS n’a été déclarée en 2005 ou en 2006. En 2005, moins de quatre entreprises ont importé plus de 100 000 kg de MVTFS au Canada, tandis qu’en 2006, moins de quatre entreprises ont importé entre 10 000 et 100 000 kg du polymère. Au total, moins de quatre entreprises ont manifesté un intérêt pour cette substance en remplissant le formulaire Déclaration des parties intéressées dans le cadre de l’enquête de 2006 menée en application de l’article 71.
La quantité fabriquée, importée ou commercialisée au Canada au cours de l’année civile 1986 et déclarée pour la Liste intérieure des substances (LIS) se situe entre 200 000 et 2 000 000 kg.
Ailleurs, on a déclaré l’utilisation de MVTFS au Danemark en 2001 et en Suède en 2008; néanmoins, la quantité utilisée est confidentielle (SPIN, 2006).
Les avis publiés en application de l’article 71 de la LCPE (1999) ont permis de fournir des renseignements sur les utilisations de cette substance au cours des années civiles 2005 et 2006 (Canada, 2006 et 2009).
En 2005, du MVTFS a été employé dans la fabrication de produits et de préparations chimiques, notamment dans la fabrication de caoutchouc et de produits aérospatiaux.
En 2006, on a utilisé du MVTFS dans la fabrication de produits en caoutchouc et d’autres produits chimiques. La substance a aussi été utilisée dans le moulage et le coulage de wagons fermés ainsi que dans la préparation d’adhésifs et d’agents d’étanchéité.
Le MVTFS n’est pas un ingrédient utilisé dans des produits cosmétiques au Canada (SDC, 2010) et il ne figure pas sur la Liste critique des ingrédients dont l’utilisation est restreinte ou interdite dans les cosmétiques (Santé Canada, 2009). Actuellement au Canada, le MVTFS n’est pas utilisé comme principe actif, ni comme produit de formulation, dans les pesticides homologués pour une utilisation (PMRA, 2007). La substance n’est pas répertoriée comme additif alimentaire au titre 16 du Règlement sur les aliments et drogues(Canada, 1978). Elle n’est pas utilisée dans les emballages alimentaires ni comme additif indirect (courriel de la Direction des aliments de Santé Canada adressé au Bureau de gestion du risque de Santé Canada en avril 2010; source non citée). De plus, elle n’est inscrite ni dans la Base de données sur les produits pharmaceutiques (BDPP), ni dans la base de données sur les ingrédients non médicinaux interne de la Direction des produits thérapeutiques, ni dans la Base de données sur les ingrédients des produits de santé naturels (BDIPSN), ni dans la Base de données des produits de santé naturels homologués (BDPSNH) en tant qu’ingrédient médicinal ou non médicinal dans les produits pharmaceutiques finaux, les produits de santé naturels ou les médicaments vétérinaires (BDPP, 2010; BDIPSN, 2010; BDPSNH, 2010; courriel de la Direction des produits thérapeutiques de Santé Canada adressé au Bureau de gestion du risque de Santé Canada en avril 2010, source non citée).
Les codes d’utilisation suivants de la LIS ont été indiqués pour le MVTFS au cours de la période d’inscription sur la LIS (1984-1986) :
02 – Absorbant/adsorbant
36 – Polymère – composant d’une formulation
37 – Polymère, agent de réticulation
92 – Produits en caoutchouc.
On n’a pas obtenu de données récentes sur l’utilisation de cette substance, autres que celles qui sont présentées ci-dessus.
Environnement Canada a développé une méthode pour estimer les pertes d’une substance pendant différentes étapes de son cycle de vie, y compris son devenir après qu’elle a été incorporée à un produit ou un article fini (Environnement Canada, 2008). Cette méthode comprend une analyse du cycle de vie et un tableur (outil de débit massique) qui intègrent les renseignements sur la fabrication, l’importation et l’utilisation des données sur la substance. En commençant par une masse définie de la substance, chaque étape du cycle de vie est par la suite évaluée jusqu’à ce que toute la masse ait été comptabilisée. Les facteurs pertinents sont étudiés, les incertitudes sont déterminées et des hypothèses peuvent être faites pendant chaque étape, selon les renseignements disponibles. Les pertes estimées représentent le bilan massique complet de la substance au cours de son cycle de vie et elles comprennent les rejets dans les eaux usées et dans d’autres milieux récepteurs (sol, air), la transformation chimique, le transfert vers les activités de recyclage et le transfert vers les sites d’élimination des déchets (sites d’enfouissement, incinération). Toutefois, à moins de disposer de données précises sur le taux ou le potentiel de rejet de cette substance provenant des sites d’enfouissement et des incinérateurs, la méthode ne permet pas de quantifier les rejets dans l’environnement à partir de ces sources. En fin de compte, les pertes estimées fournissent le premier volet de l’analyse de l’exposition à une substance et aident à estimer les rejets dans l’environnement et à mettre l’accent sur la caractérisation de l’exposition dans l’évaluation.
En général, les rejets d’une substance dans l’environnement peuvent découler de différentes pertes de la substance lors de sa fabrication, de son utilisation industrielle, de son utilisation commerciale et de son utilisation par les consommateurs. Ces pertes peuvent être regroupées en sept types : 1) déversements dans les eaux usées; 2) émissions atmosphériques; 3) pertes dans le sol; 4) transformation chimique; 5) élimination sur les sites d’enfouissement; 6) perte par incinération; 7) élimination par recyclage (p. ex. le recyclage est jugé comme une perte et n’est plus pris davantage en compte). Ces pertes sont estimées à partir de données d’enquêtes réglementaires, de données de l’industrie et de données publiées par différents organismes. Les rejets dans les eaux usées font référence aux eaux usées brutes avant tout traitement par des systèmes d'assainissement publics ou privés. De la même manière, les pertes par transformation chimique font référence aux modifications de l’identité de la substance qui peuvent avoir lieu au cours des étapes de fabrication, d’utilisation industrielle ou d’utilisation commerciale ou par les consommateurs, mais elles excluent celles qui ont lieu pendant les opérations de gestion des déchets telles que l’incinération et le traitement des eaux usées. La perte dans le sol inclut le transfert accidentel ou les rejets dans le sol ou les surfaces pavées ou non pavées pendant l’utilisation de la substance et sa durée de vie utile (p. ex. à partir de l’utilisation de machinerie agricole ou d’automobiles). La perte dans le sol n’inclut toutefois pas les autres transferts vers l’utilisation de la substance et sa durée de vie utile (p. ex., application sur le sol des biosolides et dépôts atmosphériques).
Les pertes estimées pour le MVTFS au cours de son cycle de vie (fondées sur des hypothèses prudentes) sont présentées au tableau 3 (Environnement Canada, 2010b). Les pertes estimées de la substance sont calculées sur la base des utilisations recensées en 2006.
Tableau 3. Estimation des pertes de MVTFS pendant son cycle de vie
| Type de perte | Proportion (%) | Étapes pertinentes du cycle de vie |
|---|---|---|
| Eaux usées | 1,3 | Utilisation à des fins industrielles |
| Émissions atmosphériques | 0,2 | Utilisation à des fins industrielles |
| Sol | < 0,1 | Utilisation à des fins industrielles |
| Transformation chimique | - | - |
| Sites d’enfouissement | 95,5 | Utilisation industrielle, utilisation commerciale et par les consommateurs |
| Incinération | 3,0 | Utilisation industrielle, utilisation commerciale et par les consommateurs |
| Recyclage | - | - |
Les pertes estimées pour le MVTFS indiquent que la substance présente un potentiel de rejets dans l’environnement. Les pertes par les sites d’enfouissement et l’incinération représentent à peu près 98,5 % de la substance. De plus, les pertes dans les eaux usées peuvent se produire avec des pertes ultérieures potentielles dans les sols si des biosolides sont épandus sur les terres. D’après sa masse moléculaire élevée, les pertes par émission atmosphérique devraient être mineures pour ce polymère.
Lorsqu’une substance est transférée accidentellement vers les terres, elle peut pénétrer dans les égouts ou être entraînée par la pluie dans les secteurs environnants. Or, on n’a trouvé aucune activité de recyclage pour le polymère. Finalement, le potentiel de lixiviation de la substance à partir du site d’enfouissement dans les eaux souterraines est improbable en raison de sa très faible hydrosolubilité.
Il n’existe aucune donnée environnementale ayant trait au devenir du MVTFS dans l’environnement. L’évaluation est donc fondée sur une estimation des propriétés physiques et chimiques des polymères analogues.
En raison de la masse moléculaire élevée du MVTFS (la masse moléculaire moyenne en nombre de 358 000 g/mol et la plus faible masse moléculaire de 30 000 g/mol) commercialisé au Canada, le polymère devrait avoir une pression de vapeur extrêmement faible; par conséquent, on prévoit qu’il ne se répartira pas dans l’air.
S’il est rejeté dans l’eau, le MVTFS devrait résider dans les matières solides en suspension et les sédiments en raison de sa très faible hydrosolubilité, de sa masse volumique, et de son existence à l’état caoutchouteux à des températures ambiantes. D’après l’importante masse moléculaire et l’état physique du polymère, la volatilisation à partir de la surface de l’eau devrait être un processus négligeable dans le devenir de cette substance. Même si le groupement vinyle des unités récurrentes est dans une certaine mesure réactif, moins de 1 % d’entre elles comportent un tel groupement, si bien que l’incidence de la présence de ce groupement sur le comportement dans l’environnement est négligeable. Ainsi, si l’eau est le milieu récepteur, le MVTFS devrait surtout se loger dans les sédiments; là, il devrait en partie réticuler et former des espèces chimiques stables non réactives.
S’il est rejeté dans le sol, le MVTFS devrait être dans une large mesure immobile vu sa masse moléculaire élevée et son insolubilité dans l’eau. D’après l’importante masse moléculaire et l’état physique du polymère, la volatilisation à partir de la surface de sol humides est probablement un processus négligeable dans le devenir de cette substance. Cette substance ne se volatilisera probablement pas à partir des surfaces de sol sèches. Par conséquent, si le MVTFS est rejeté dans le sol, il demeurera principalement dans ce milieu naturel.
Persistance dans l’environnement
On n’a relevé aucune donnée expérimentale sur la dégradation du MVTFS.
Étant donné qu’aucun modèle RQSA n’est applicable pour prévoir la persistance dans l’environnement du polymère de masse moléculaire élevée, on a utilisé une structure simplifiée (contenant trois unités de méthyl-trifluoropropyl-siloxy) dans un modèle RQSA (CATABOL, c2004-2008) pour estimer le potentiel de dégradation de l’unité monomère (libération du groupement trifluoropropyle par rupture de la liaison entre le substituant trifluoropropyle et l’atome de silicium de la chaîne principale).
D’après les estimations du modèle CATABOL (c2004-2008), l’acide trifluoroacétique et le silanol devraient être les produits intermédiaires de la dégradation de la structure simplifiée; toutefois, la probabilité de ladite dégradation est inférieure à 0,0001 (une valeur de 1,0 indiquant une probabilité de 100 %), ce qui indique que le rejet de trifluoropropyle issu de la biodégradation au sein de l’unité monomère est hautement improbable, même pour une molécule aussi petite.
Des études ont montré que le PMTFPS peut se décomposer en oligomères cycliques dans des conditions acides et basiques avec des réactions de « transfert moléculaire » (Barrère et al., Veith et Cohen, 1989). En laboratoire, le PMTFPS peut se dégrader et produire une variété de cyclo-trifluoropropyl-siloxanes avec des tailles de noyau allant de trois à vingt, lorsqu’il est traité des solvants (acétone et acétate d’éthyle, dans lesquels le PMTFPS est soluble) et un non-solvant (méthanol, dans lequel le PMTFPS est insoluble) (Kählig et al., 2009. Les conditions utilisées lors de ces essais devraient cependant être assez différentes de celles qu’on trouve généralement dans l’environnement. Toutefois, ces études ont confirmé indirectement que lorsque le PMTFPS se décompose pendant la dégradation, la réaction chimique privilégiée n’a pas lieu entre le groupe de trifluoropropyle et l’atome de silicium auquel il est attaché. Bien que les conditions expérimentales soient assez différentes des conditions ambiantes habituelles (pH, traitement chimique), ces résultats de laboratoire semblent indiquer que le PMTFPS et le MVTFS peuvent être plutôt dégradables. La biodégradation du PMTFPS et du MVTFS a lieu de manière semblable à la dégradation du PDMS dans l’environnement, où la molécule se rompt de façon aléatoire le long de la chaîne principale. (Fendinger et al., 1997). Par conséquent, l’information concernant le PDMS sera utilisée pour évaluer le potentiel de biodégradation du MVTFS dans l’environnement.
La dégradation et la biodégradation du PDMS dans l’environnement ont fait l’objet d’un examen intensif (Graiver et al., 2003; Fendinger et al., 1997; ECETOC, 1994).
Air
Le PDMS (sa masse moléculaire est de 450 g/mol) est non volatil et ne devrait pas se loger dans l’atmosphère ou y subir une dégradation ultérieure (Graiver et al., 2003; ECETOC, 1994). À partir d’une substructure du MVTFS comportant quatre unités récurrentes méthyl-trifluoropropylées et une unité méthylvinylique (Mm = 877 g/mol), AOPWIN (2008) (sous-modèle d’EPIsuite, 2008) prédit une demi-vie de 3,2 heures pour la réaction avec les radicaux hydroxyles et une demi-vie de 6,5 jours pour la réaction avec l’ozone.
Il est à noter que le MVTFS commercialisé au Canada possède une masse moléculaire considérablement plus élevée que celle du PDMS; par conséquent, la substance ne devrait pas se loger dans l’air.
Eau
Aucune donnée n’indique que les polymères de siloxane diffuseraient ou se dégraderaient rapidement dans le milieu aquatique (ECETOC, 1994). Il s’est avéré que le PDMS ne se dégradait pas ou ne se décomposait pas au cours du processus de traitement des eaux usées (Graiver et al., 2003). Sur la base de ces considérations (qui concernent le milieu aquatique), le MVTFS ne devrait pas se décomposer rapidement dans les eaux de surface non plus, et sa demi-vie devrait être supérieure à 182 jours.
Sol
Pour ce qui est de la dégradation dans le sol, plusieurs études rapportent que la dépolymérisation et l’hydrolyse rapide du PDMS dans le sol produisent la fragmentation du polymère en oligomères ayant une faible masse moléculaire.
Buch et Ingebrigtson (1979) ont rapporté une demi-vie d’environ 30 jours pour le PDMS (1 000 centistokes [cSt], équivalant à une masse moléculaire d’environ 15 000 g/mol), présent à une concentration de 6 000 mg/kg dans une terre végétale sèche de l’État de l’Iowa (cité dans Fendingeret al., 1997). La réaction était inhibée même avec un taux d’humidité de seulement 1 %. La même étude a indiqué également la perte importante du polymère (50 cSt) par dégradation au cours de l’essai de 53 jours.
On recense plusieurs études sur le comportement du PDMS dans le sol (résumées dans Graiver et al., 2003). Les résultats de ces études indiquent que ce polymère se dépolymérise rapidement par hydrolyse; ce phénomène brise les liaisons siloxanes et produit du PDMS oligomérique de masse moléculaire plus faible. Ladite dégradation hydrolytique catalysée par le sol s’est avérée aléatoire, c’est-à-dire qu’elle n’est pas propre à certaines liaisons en particulier et qu’elle ne commence pas par l’extrémité de la chaîne. De plus, l’hydrolyse catalysée par des minéraux argileux dans le sol ne se produit dans aucun autre milieu (l’air, l’eau ou les sédiments) de façon importante.
Lehmann et al. (1994a) et Carpenter et al. (1995) ont également étudié la dégradation polymérique dans des conditions pédologiques plus réalistes en analysant le produit de dégradation extrait avec du CaCl2 à 0,01 M ou du tétrahydrofurane. Les résultats ont indiqué que la dégradation du PDMS (204 cSt) a eu lieu dans le sol qui a séché progressivement et est passé de 12 à 3 % d’humidité, plus rapidement que la dégradation de la substance lorsqu’on a maintenu une humidité constante du sol (12 à 13 % d’humidité) dans des chambres d’incubation.
Dans une autre expérience, Lehmann et al. (1994b) ont étudié plus en profondeur 7 sols dont les propriétés étaient très différentes. Le PDMS (350 cSt) était ajouté à un sol humide qu’on laissait sécher pendant 2 semaines. Le PDMS s’est grandement dégradé au cours de cette période en produits ayant une masse moléculaire plus faible. Bien que la dégradation ait eu lieu lorsque le sol était encore humide, les taux de dégradation étaient supérieurs dans le sol le plus altéré. Toutefois, aucune corrélation n’a pu être établie entre le taux de dégradation du PDMS et les propriétés du sol mesurées (pH, % de matière organique et % d’argile) autres que le taux d’humidité.
Le taux de dépolymérisation par dégradation hydrolytique dans le sol est rapide, mais il dépend de plusieurs facteurs tels que le taux d’humidité et la température. Lehmann et al.(1995) ont rapporté que les taux globaux de dégradation du PDMS étaient plus lents dans un sol humide que dans un sol qui séchait graduellement pendant deux semaines, ce qui indique qu’une perpétuelle humidité pourrait constituer un facteur déterminant, mais que le taux d’humidité est inversement proportionnel au taux de dégradation (Lehmann et al., 1998b). De plus, les résultats de l’étude ont démontré que les températures élevées augmentaient le taux de dégradation au cours d’un cycle météorologique annuel.
Dans une autre étude (Xu, 1998), aucun PDMS n’a été décelé après 30 jours d’incubation dans la goethite et on a observé une dégradation plus rapide encore lorsque le polymère était incubé dans la montmorillonite. Quant aux répercussions de la teneur en eau, l’étude a indiqué un taux de dépolymérisation plus rapide à une humidité relative de 32 % qu’à une humidité relative de 100 %. Compte tenu des données de terrain pour différents types de sol obtenues dans l’étude, on s’attend à ce que la demi-vie de dépolymérisation du PDMS soit inférieure à trois semaines.
Les preuves recueillies dans le cadre d’études expérimentales sur le PDMS portent à croire que la substance devrait rapidement subir une hydrolyse catalysée par l’argile dans le sol avec une demi-vie de quelques semaines. Le MVTFS devrait se dégrader par le même mécanisme et toute rupture du polymère dans le sol devrait se produire sur la chaîne principale -Si-O-Si-, mais à un taux de dégradation différente. L’hydrolyse du MVTFS dans le sol peut produire des intermédiaires, c’est-à-dire des oligomères de longueur aléatoire, et elle rejetterait finalement du méthyl(3,3,3-trifluoropropyl)silanediol (no CAS 660-78-6) et du méthylvinylsilanediol (no CAS 3959-12-4) en tant que produits finaux de l’hydrolyse. Seules de très petites quantités de diméthylsilanediol (DMSD, no CAS 1066-42-8) pourraient être produites, car les précurseurs du DMSD dans le MVTFS représentent une minuscule proportion de la molécule. En raison de la masse moléculaire élevée du MVTFS et de son existence à l’état caoutchouteux à des températures ambiantes, on peut supposer que cette substance se dégradera plus lentement que le PDMS dans le sol vu sa plus faible biodisponibilité; par contre, la demi-vie ne devrait pas dépasser 182 jours.
Sédiments
On a également observé une dégradation du PDMS dans les sédiments; cependant, le taux de dégradation semble beaucoup plus lent que dans le sol, puisque la demi-vie est de plus d’un an (Environnement Canada, 2010a). Une expérience menée par Christensen (1994) étudiait le potentiel de dégradation du PDMS dans les sédiments d’eau douce. On a ajouté une concentration de 500 ppm de PDMS radiomarqué au carbone14 (350 cSt) à des colonnes de sédiments et d’eau, et pour prouver la dégradation, on a surveillé les matières hydrosolubles et les gaz dégagés. Après 56 jours, on n’a pas décelé de14CO2 ou de 14C hydrosoluble, ce qui indiquait qu’aucune dégradation n’avait eu lieu pendant la période d’essai.
Dans d’autres études d’incubation de plus longue durée, la dégradation du PDMS dans les sédiments était évidente également (Fendinger et al., 1997). À la suite d’une période d’incubation d’une année dans des conditions aérobies, 5 à 10 % du PDMS (350 cSt) a été hydrolysé en DMSD, et environ 0,25 % du 14C a été oxydé en dioxyde de carbone (Carpenter et al., 1995). Le taux et l’ampleur de la formation de DMSD ainsi que la production de dioxyde de carbone à partir des sédiments correspondent à peu de chose près aux taux observés par Lehmann et al. (1994a, 1994b) dans les sols humides (3 % pour le DMSD et 0,13 % pour le dioxyde de carbone en 6 mois). En raison de son adsorption élevée et de son immobilité dans les sédiments, de concert avec la teneur en eau du substrat, le PDSM devrait se dégrader très lentement dans les sédiments, et la demi-vie du polymère dans ce milieu devrait être supérieure à 365 jours. On peut extrapoler la prévision au polymère soumis à l’évaluation, de telle sorte que le MVTFS ne devrait pas se dégrader rapidement dans les sédiments non plus, et la demi-vie dans ce milieu naturel devrait aussi être supérieure à 365 jours.
De manière générale, on s’attend à ce que le MVTFS ait une solubilité dans l’eau et une pression de vapeur plus faibles que celles du PDMS. La différence de structure chimique est notée; cependant, les deux polymères devraient avoir un profil de décomposition semblable, c’est-à-dire que la dégradation se produit à un endroit aléatoire le long du squelette de -Si-O-Si-.
D’après les prévisions du modèle pour une substructure du PMTFPS, le MVTFS ne devrait pas être persistant dans l’air (demi-vie dans l’air ≤ 2 jours). D’après des données issues d’études expérimentales sur le PDMS, le MVTFS devrait se décomposer rapidement dans le sol (demi-vie dans le sol ≤ 182 jours). Cependant, comme la substance répond aux critères de persistance dans l’eau et les sédiments (demi-vie dans l’air ≥ 2 jours, demi-vie dans l’eau ≥ 182 jours et demi-vie dans les sédiments ≥ 365 jours) qui sont énoncés dans leRèglement sur la persistance et la bioaccumulation(Canada, 2000), on conclut donc à sa persistance dans l’environnement.
Potentiel de bioaccumulation
Il n’existe pas de données expérimentales sur le potentiel de bioaccumulation du MVTFS.
Les modèles RQSA disponibles ne sont pas en mesure de prévoir de façon fiable un facteur de bioaccumulation (FBA) ou un facteur de bioconcentration (FBC) pour le MVTFS, étant donné que sa masse moléculaire est supérieure à 1 000 g/mol.
La taille moléculaire d’une substance est essentielle pour déterminer si elle peut physiquement passer par une membrane biologique et être biodisponible pour les organismes (Gobas et Morrison, 2000). Les études menées par Dimitrov et al.(2002) et Dimitrov et al. (2005) et le Baseline Bioaccumulation Model (BBM, 2008) semblent indiquer que la probabilité pour qu’une molécule traverse des membranes cellulaires à la suite d’une diffusion passive diminue de façon importante lorsque le diamètre transversal maximal (Dmax) augmente. Ainsi, la probabilité pour que cette diffusion passive se produise diminue de façon notable lorsque le diamètre transversal est supérieur à environ 1,5 nm et de façon encore plus importante dans le cas des molécules ayant un diamètre transversal supérieur à 1,7 nm. Sakurataniet al. (2008) ont également étudié l’effet du diamètre transversal sur la diffusion passive à l’aide d’un ensemble d’essais comptant environ 1 200 substances chimiques nouvelles et existantes. Ils ont aussi observé que les substances dont le potentiel de bioconcentration n’était pas très élevé avaient souvent un Dmax supérieur à 2,0 nm ainsi qu’un diamètre effectif (Deff) supérieur à 1,1 nm.
En raison de sa masse moléculaire élevée, le MVTFS dépasse la limite d’utilisation des modèles disponibles pour calculer son diamètre transversal. Cependant, l’utilisation d’un petit PDMS contenant cinq unités monomères de diméthyle-siloxy (masse moléculaire d’environ 500 g/mol et diamètre maximal de 1,46 à 2,18 nm) comme indicateur, le MVTFS (masse moléculaire minimale de 30 000 g/mol) devrait avoir un Dmax qui sera sensiblement inférieur à 2 nm. Par conséquent, on prévoit que le MVTFS, qui est insoluble, sera très faiblement absorbé à partir de l’eau, et qu’il ne sera donc pas biodisponible pour les organismes aquatiques.
Comme il est mentionné précédemment dans la section sur la caractérisation des propriétés physiques et chimiques, on a choisi le PDMS comme polymère analogue pour réaliser une évaluation prudente des caractéristiques du MVTFS.
Des données empiriques sur la bioaccumulation et la bioconcentration du PDMS dans les organismes aquatiques et d’autres espèces dans l’environnement sont compilées au tableau 4a ci-dessous.
Tableau 4a. Données empiriques sur la bioaccumulation et la bioconcentration du PDMS
| Nature du polymère (masse moléculaire, viscosité ou émulsion) |
Organisme d’essai | Concentration expérimentale (mg/L) et/ou source d’exposition | Paramètre (FBA/FBC, L/kg) (FBAm, sans dimension) |
Référence |
|---|---|---|---|---|
| Émulsion à 15 %, 300 cSt | Crapet arlequin (Lepomis macrochirus) |
1,5 | FBC = 0,16 à 0,5 (après 2 semaines) |
Hobbs et al., 1975 |
| MD15-17M | Guppy (Poecilia reticulate) |
Saturation | FBC < 10 | Opperhuizen et al., 1987 |
| Approximativement 32 mg/kg de nourriture sèche | FBA < 0,01 | |||
| PDMS commercial Mm (g/mol): 1 200 6 000 25 000 56 000 |
Carp sp. | Concentrations mesurées dans les solutions à saturation 1,330 0,486 0,135 0,060 |
FBC = 2,9 FBC = 7,1 FBC = 386 FBC = 1 250 |
Watanabe et al., 1984a |
| Émulsion à 35 %, 50 cSt | Niveau 1 : phytoplancton (Tetraselmis sp.) Niveau 2 : mollusque (Mytilus edulis) |
70 Exposition directe par l’eau Exposition par l’eau et la nourriture |
FBC = 2,08 FBAm = 0,12 |
Aubert et al., 1985 Guillemaut et al., 1987 |
| Niveau 1 : plancton (Tatreselmis sp. Artemia salina) Niveau 2 : poisson (Carassius auratus) |
70 Exposition directe par l’eau Exposition par l’eau et la nourriture |
FBC = 1,9 FBAm = 0,05 |
||
| Niveau 1 : annélide (Nereis diversicolor) Niveau 2 : poisson (Scorpaena porcus) |
70 Exposition directe par l’eau Exposition par l’eau et la nourriture |
FBC = 0,036 FBAm = 1,4 |
||
| Niveau 1 : annélide (Nereis diversicolor) Niveau 2 : crabe (Carcinus maenas) | 70 Exposition directe par l’eau Exposition par l’eau et la nourriture | FBC = 0,036 FBAm = 1,09 | ||
| 50 cSt | Poisson-chat (Ictalurus melas) |
Exposition par la nourriture | < seuil de détection | Annelin, 1979 |
Généralement, le PDMS de masses moléculaires variées (Mm = 1 200 g/mol et plus) s’est montré faiblement bioaccumulable et bioconcentrable chez les organismes aquatiques et les espèces terrestres.
Opperhuizen et al. (1987) ont quant à eux effectué une étude sur la bioaccumulation, chez Poecilla reticulate (guppy), du PDMS (5 cSt, MD15-17M). Au bout de 12 semaines d’exposition, on ne détectait pas de polymères de siloxane dans les poissons entiers.
Dans une autre étude, on a soumis des crapets arlequins (Lepomis macrochirus) à une exposition à un PDMS ayant une masse moléculaire supérieure à 5 000 g/mol pendant une période de 30 jours (Hobbs et al., 1975). On n’a trouvé aucun lien entre les taux du polymère dans les tissus et la durée ou le niveau d’exposition. On a découvert cependant que le polymère était adsorbé sur des surfaces du poisson, mais qu’il n’est pas absorbé par les cellules.
En outre, des études ont été réalisées concernant l’absorption de PDMS par d’autres espèces dans d’autres milieux environnementaux. Au cours d’une étude de 28 jours dirigée par Garvey et al. (1996), on a exposé des vers de terre (Eisenia foetida) à 100 et 1 000 mg/kg de PDMS dans une matrice de sol artificiel. Au terme de la phase d’exposition, les vers de terre de chaque réplicat ont été transférés aux milieux d’exposition qui ne contenaient pas de PDMS pendant la phase de dépuration de 14 jours de l’étude. On a prélevé des échantillons au cours de la phase d’exposition de 28 jours; toutefois, on n’a pas relevé de différence statistique dans les concentrations de résidus tissulaires parmi les échantillons prélevés aux points d’essai. En outre, le PDMS ingéré par les vers de terre et présent dans l’intestin a été rapidement dépuré pendant la période de 14 jours qui a suivi.
Kukkonen et Landrum (1995) ont examiné les vers aquatiques vivant dans les sédiments et ils ont conclu qu’on n’observait pas de bioaccumulation du PDMS chez ces vers.
Les résultats d’études relatives à d’autres organismes benthiques et terrestres (Putt, 1994; Putt et Mihaich, 1996) ont aussi indiqué un potentiel de bioaccumulation très limité pour le PDMS.
Une étude sur la carpe argentée a fait état de résultats contradictoires, selon lesquels les matériaux de PDMS ayant une masse moléculaire plus élevée subissaient une bioaccumulation supérieure à celle des composés ayant une masse moléculaire inférieure (Watanabe et al., 1984). Le fait que le rapport entre la bioaccumulation et la masse moléculaire soit l’inverse des résultats escomptés pourrait être le résultat de la contamination de la surface, et aucune indication n’était donnée pour préciser si on avait analysé les poissons entiers ou les filets. Par conséquent, ces résultats sont d’une qualité incertaine.
On a étudié la bioamplification ou les transferts par la chaîne alimentaire d’une émulsion PDMS (50 cSt) dans le milieu marin (Aubert et al., 1985; Guillemaut et al., 1987). Les organismes du premier niveau trophique étaient exposés au PDMS en émulsion (50 cSt) à une concentration de 70 mg/L dans l’eau. Soit le PDMS ne subissait pas de bioconcentration dans l’eau, soit le FBC était inférieur à 2 au premier niveau trophique. La bioaccumulation entre les deux niveaux trophiques était faible, elle était comprise entre 0,05 et 1,4, ce qui indique que la bioamplification du PDMS entre deux niveaux trophiques n’est pas significative dans la chaîne alimentaire aquatique soumise à l’essai.
Pendant la décomposition du MVTFS, la rupture du polymère devrait se produire principalement sur la chaîne principale -Si-O-Si- et générer des intermédiaires et des oligomères de différentes longueurs. La décomposition finira par libérer les monomères méthyl(3,3,3-trifluoropropyl)silanediol (no CAS 660-78-6) et méthylvinylsilanediol (no CAS 3959-12-4) en tant que produits finaux de l’hydrolyse. Pour caractériser le potentiel de bioaccumulation après la dégradation, on a évalué les monomères à l’aide d’un modèle RQSA (BCFBAF, 2008) afin d’estimer le potentiel de bioaccumulation des produits finaux de l’hydrolyse.
Les données modélisées sont résumées dans le tableau 4b ci-dessous. Elles indiquent que les produits finaux de l’hydrolyse ne devraient pas être bioaccumulables chez les organismes aquatiques.
Tableau 4b. Données modélisées pour la bioaccumulation des produits de l’hydrolyse du MVTFS (à l’aide du modèle BCFBAF, 2008)
| Nom chimique et no CAS | Facteur de bioaccumulation (FBA) (L/kg poids humide) | Facteur de bioconcentration (FBC) (L/kg poids humide) |
|---|---|---|
| Méthyl(3,3,3-trifluoropropyl)silanediol (660-78-6) |
1,80 | 3,16 |
| Méthylvinylsilanediol (3959-12-4) |
0,96 | 3,16 |
D’après l’information expérimentale relative au MVTFS présentée ci-avant, on prévoit qu’en raison de son importante taille moléculaire et de sa faible hydrosolubilité, le MVTFS n’est pas biodisponible pour les organismes dans l’environnement, et il ne subit donc pas de bioaccumulation chez ces organismes. Par conséquent, on a conclu que le MVTFS et ses produits de dégradation ne répondent pas aux critères de bioaccumulation (FBA ou FBC égal ou supérieur à 5 000) énoncés dans le Règlement sur la persistance et la bioaccumulation (Canada, 2000).
Évaluation des effets écologiques
A - Dans le milieu aquatique
On n’a relevé aucune donnée expérimentale de toxicité pour le MVTFS.
Il est à noter que le PDMS et le MVTFS ne contiennent aucun groupement fonctionnel préoccupant en matière d’écotoxicité du polymère (amines, époxydes, etc.). Le groupement vinyle est plus réactif, et on ne considère pas qu’il a des effets toxiques notables. Selon les prévisions du modèle CATABOL (c2004-2008), le groupement trifluoropropyle est fortement lié à l’atome de silicium sur la chaîne principale, et il est peu probable que l’unité récurrente perde ce groupement fonctionnel. Par conséquent, le MVTFS devrait avoir une toxicité comparable à celle du PDMS, et l’information concernant ce dernier a donc été employée pour évaluer la toxicité du MVTFS.
Il existe un certain nombre d’études de toxicité faisant état des effets du PDMS sur les organismes aquatiques; ces études sont résumées dans le tableau 5a ci-dessous. Comme on le mentionnait dans la section précédente, le PDMS (et le MCTFS) n’est pas absorbé par les organismes aquatiques (Annelin et Frye, 1989; Bruggeman et al., 1984); par conséquent, on ne s’attend pas à ce que des effets systémiques se produisent. Comme le PDMS est extrêmement hydrophobe et tend à s’adsorber fortement sur les particules solides, on a employé ce polymère en émulsion dans de nombreuses études pour maintenir des concentrations d’exposition nominales constantes, bien supérieures à ce que permet la solubilité du PDMS dans l’eau.
En général, le PDMS s’est avéré peu toxique pour les poissons. Hill et al. (1984) ont rapporté une concentration sans effet observé (CSEO) de 91 mg/L de PDMS (émulsion de 50 cSt) chez le méné tête-de-mouton. Lors d’une autre étude, Hill a fait état d’une CL50 de 350 mg/L de PDMS (émulsion de 50 cSt) chez la plie (Hill et al., 1980). Il a été démontré que les effets toxiques des émulsions de PDMS en forte concentration étaient attribuables à l’émulsifiant utilisé (Hobbs et al., 1975; Aubertet al., 1985).
Le PDMS a également montré une faible toxicité pour les invertébrés aquatiques (voir le tableau 5a ci-dessous). Une étude réalisée sur les moules Mytilus sp. (Hill et al., 1984) a permis d’établir une CL50 de 1 980 mg/L de PDMS (émulsion de 50 cSt) après 96 heures. Cependant, les effets secondaires sont quelque peu difficiles à interpréter. Les formes liquides du PDMS sont insolubles dans l’eau et ont une masse volumique inférieure à 1 000 kg/m3. Par conséquent, le polymère forme une pellicule de surface dans laquelle les crustacés aquatiques ont tendance à se retrouver pris au piège. Ce piégeage peut se produire et donc interférer avec l’évaluation de la toxicité chimique du polymère.
On a aussi étudié la toxicité pour les microorganismes aquatiques et il s’est avéré que le PDMS n’était pas très dangereux pour lesdits organismes non plus (voir le tableau 5a).
Comme les concentrations d’exposition au PDMS sont largement supérieures à la solubilité maximale attendue pour le polymère dans les études disponibles sur la toxicité en milieu aquatique, le polymère présente probablement un risque faible pour les organismes aquatiques dans les conditions ambiantes. Le PDMS utilisé dans les études de toxicité se présentait sous forme d’émulsions et était bien plus biodisponible que ne le serait le MVTFS. Par ailleurs, les masses moléculaires du PDMS indiquées dans les études de toxicité étaient généralement bien inférieures aux masses moléculaires moyennes du MVTFS. Les résultats obtenus pour le PDMS sont donc considérés comme des substituts utiles et prudents des données de toxicité du MVTFS.
Parmi les diverses espèces aquatiques utilisées dans les études toxicologiques, c’est Daphnia magna qui s’est montrée la plus sensible, et une CL50 sur 48 h de 73,4 mg/L a été indiquée par Hill et al. (1977) pour une émulsion de PDMS à 35 % (350 cSt). Pour les besoins de la caractérisation des risques posés par le MVTFS pour les organismes aquatiques, on a employé cette CL50 comme valeur critique de toxicité (VCT) afin d’obtenir la concentration estimée sans effet (CESE).
Tableau 5a. Données de toxicité du PDMS pour les organismes aquatiques
| Nature du polymère (viscosité et/ou émulsion) |
Organisme d’essai | Type d’essai | Paramètre | Valeur (mg/L) | Référence |
|---|---|---|---|---|---|
| Poisson | |||||
| Non précisé | Poisson | Toxicité aiguë | CL50[1] | > 1 000 | Annelin et Humble, 1978; Hobbs et al., 1975 |
| Non précisé | Méné (Phoxinus phoxinus) | Toxicité semi-chronique | TL40[2] | 3 000 (8 jours) | Cabridenc, 1978 |
| 100, 350, 12 500 cSt | Pomatoschistus minutus Gasterosteus aculeatus |
Toxicité aiguë (96 heures) |
CL0[3] | À saturation | Maggi et Alzieu, 1977 |
| Émulsion à 20 %, 50 cSt | Plie (Pleuronetes platessa) |
Toxicité aiguë (96 heures) |
CE[4] | 88 | Firmin, 1984 |
| Émulsion à 35 %, 50 cSt | Scorpène Scorpaena poreus Carassius auratus |
Toxicité aiguë | TL50[5] | 1 000 (12 heures) 2 000 (50 heures) 10 000 (4 heures) 700 (50 heures) 3 500 (24 heures) |
Aubert et al., 1985 |
| Émulsion non précisée, 50 cSt | Plie | Toxicité aiguë (96 heures) | CL50 | 350 > 10 000 à la surface de l’eau (5 mg/L dans l’eau) |
Hill et al., 1984 Hill (1980) |
| Émulsion à 35 %, 50 cSt | Méné tête-de-mouton (Cyprinodon variegatus) | Toxicité chronique (33 jours) | CSEO[6] CE | 91 235 (effets mineurs observés) |
Hill et al., 1984 |
| 350 cSt | Truite arc-en-ciel (Oncorhynchus mykiss) (Salmo gairdneri) |
Toxicité subchronique, nourriture modifiée (28 jours) | DSEO[7] | 10 000 mg/kg p.c. par jour | Mann et al., 1977 |
| Émulsion à 30 %, 350 cSt | Crapet arlequin (Lepomis macrochiras) Truite arc-en-ciel (Salmo gairdneri) |
Toxicité aiguë (96 heures) | CL50 Hypoactivité |
> 10 000 À 1 000 et 10 000 |
Hobbs et al., 1975 |
| Invertébrés aquatiques et mollusques | |||||
| Émulsion à 66 %, 10 à 60 000 cSt | Daphnie | Toxicité aiguë | CSEO | > 200 | Annelin et al., 1994 |
| Émulsion, 350 cSt | Daphnia magna | Toxicité aiguë (48 heures) |
CL50 | 1 000 | Spacie, 1972 |
| 100, 350 et 12 500 cSt | Huître plate (Ostrea edulis) Moule bleue (Mytilus edulis) Bigorneau (Littorina littorea) |
Toxicité aiguë (96 heures) |
CL0 | Saturation dans l’eau de mer | Maggi et Alzieu, 1977 |
| Émulsion à 35 %, 50 cSt | Moule (Mytilus edulis) Crabe (Artemia salma Carcinus maenas) |
Toxicité aiguë Toxicité semi-chronique (10 jours) Toxicité semi-chronique |
TL50 TL50 CL0 CL50 Mortalité |
3 500 (96 heures) 10 000 (80 heures) (émulsifiant seulement) 700 7 000 (9 jours) 3 500 (10 jours) |
Aubert et al., 1985 |
| Émulsion à 20 %, 50 cSt | Mytilus sp. | Toxicité aiguë (96 heures) | CL50 | 1 980 | Hill et al., 1984 |
| 50 cSt | Mytilus sp. | Toxicité aiguë (96 heures) | CL50 | 1 020 | Hill et al., 1984 |
| 100 cSt Émulsion à 30 %, 100 cSt Émulsion à 30 %, 350 cSt |
Daphnia magna Daphnia magna Coques (Prothaca spaminea) Choquemort (Fundulus heteroclitus) Crabe des rivages (Pachygrapsus crassipes) Crevette brune (Penaeus oxtecus) |
Toxicité aiguë (48 heures) Toxicité aiguë (48 heures) Toxicité aiguë (96 heures) |
TL50[8] TL50 TL50 |
44,5 (le polymère a formé une couche à la surface) 73,4[*] > 1 000 |
Hobbs et al., 1975 |
| Microorganismes aquatiques (bactéries, champignons et phytoplancton) | |||||
| PDMS avec groupe terminal hydroxyle, 55 cSt | Bactéries, algues et protozoaires aérobies et anaérobies | Toxicité chronique (24 semaines) |
CSEO | > 0,26 | Gettings et Lane, 1982 |
| 100, 350 et 12 500 cSt | Algues marines (diatomées et flagellés) | Toxicité semi-chronique (9 jours) | CSEO | Saturation dans l’eau de mer | Maggi et Alzieu, 1977 |
| Émulsion à 35 %, 50 cSt | Phytoplancton marin (Tetraselmis sp.) | Non précisé | CMEO[9] | 350 | Maggi et Alzieu, 1977 |
[2] TL40 – Temps requis en heures pour que 40 % des organismes d’essai meurent à concentration donnée.
[3] CL0 – Concentration d’une substance que l’on estime sans effet létal sur les organismes d’essai.
[4] CE – Concentration d’une substance que l’on estime avoir un effet toxique sur les organismes d’essai; cependant, le pourcentage d’organismes d’essai touchés ne peut être établi dans l’étude.
[5] TL50 – Temps requis en heures pour que 50 % des organismes d’essai meurent à concentration donnée.
[6] CSEO – Concentration sans effet observé, soit la concentration d’exposition la plus élevée ne causant pas d’effet statistiquement significatif par rapport aux témoins dans un essai de toxicité.
[7] DSEO – Dose sans effet observé, soit la dose d’exposition la plus élevée ne causant pas d’effet statistiquement significatif par rapport aux témoins dans un essai de toxicité.
[8] TL50 – Limite de tolérance correspondant à la survie de 50 % des organismes d’essai.
[9] CMEO – Concentration minimale avec effet observé, soit la concentration la plus faible d’une substance causant des effets statistiquement significatifs par rapport au groupe témoin dans un essai de toxicité.
[*] VCT – Valeur critique de toxicité. On l’utilise pour dériver la concentration estimée sans effet (CESE).
On n’a trouvé aucune donnée de toxicité pour les produits de l’hydrolyse du MVTFS. On a utilisé le modèle ECOSAR pour estimer les effets toxiques potentiels associés aux produits de l’hydrolyse, et les estimations sont résumées dans les tableaux 5b et 5c ci-dessous. Les prévisions modélisées indiquent que les deux produits de l’hydrolyse du MVTFS peuvent prouver des effets de toxicité faibles à modérés chez les organismes aquatiques.
Tableau 5b. Données modélisées sur la toxicité du méthyl(3,3,3-trifluoropropyl)silanediol (noCAS 660-78-06) pour les organismes aquatiques
| Organisme d’essai | Type d’essai | Paramètre | Valeur (mg/L) |
|---|---|---|---|
| Poisson | Toxicité aiguë (96 heures) | CL50[1] | 1 038 |
| Toxicité aiguë (14 jours) | 1 032 | ||
| Poisson (eau de mer) | Toxicité aiguë (96 heures) | CL50 | 1 558 |
| Daphnie | Toxicité aiguë (48 heures) | CL50 | 504 |
| Algues vertes | Toxicité aiguë (96 heures) | CE50[2] | 154 |
| Poisson | Toxicité chronique (30 jours) | Vtc[3] | 101 |
| Daphnie | Toxicité chronique | Vtc | 50 |
| Algues vertes | Toxicité chronique | Vtc | 50 |
| Mysis effilée | Toxicité aiguë (96 heures) | CL50 | 2 126 |
| Poisson (eau de mer) | Toxicité chronique | Vtc | 85 |
| Mysis effilée (eau de mer) | Toxicité chronique | Vtc | 248 |
[2] CE50- Concentration d’une substance qu’on estime susceptible de causer un effet chez 50 % des organismes d’essai.
[3] Vtc - Valeur de toxicité chronique.
Tableau 5c. Données modélisées sur la toxicité du méthylvinylsilanediol (no CAS 3959-12-4) pour les organismes aquatiques
| Organisme d’essai | Type d’essai | Paramètre | Valeur (mg/L) |
|---|---|---|---|
| Poisson | Toxicité aiguë (96 heures) | CL50[1] | 5 137 |
| Toxicité aiguë (14 jours) | 5 025 | ||
| Poisson (eau de mer) | Toxicité aiguë (96 heures) | CL50 | 8 347 |
| Daphnie | Toxicité aiguë (48 heures) | CL50 | 2 139 |
| Algues vertes | Toxicité aiguë (96 heures) | CE50[2] | 416 |
| Poisson | Toxicité chronique (30 jours) | Vtc[3] | 466 |
| Daphnie | Toxicité chronique | Vtc | 179 |
| Algues vertes | Toxicité chronique | Vtc | 113 |
| Mysis effilée | Toxicité aiguë (96 heures) | CL50 | 22 149 |
| Poisson (eau de mer) | Toxicité chronique | Vtc | 230 |
| Mysis effilée (eau de mer) | Toxicité chronique | Vtc | 3 517 |
[2] CE50- Concentration d’une substance qu’on estime susceptible de causer un effet chez 50 % des organismes d’essai.
[3] Vtc - Valeur de toxicité chronique.
D’après l’information expérimentale susmentionnée relative au PDMS et les prévisions modélisées sur les produits de l’hydrolyse du MVTFS, il est conclu que le MVTFS et ses produits de dégradation sont faiblement toxiques pour les organismes aquatiques.
B - Dans d’autres milieux naturels
Étant donné que la voie d’exposition principale du MVTFS dans un milieu aquatique serait par contact avec le polymère absorbé par les sédiments, les effets toxiques du polymère sur les organismes vivant dans les sédiments sont également pris en considération dans cette évaluation des risques. De plus, comme les biosolides issus des boues traitées provenant des réseaux d’assainissement peuvent être utilisées pour amender les terrains agricoles et régénérer des terres, et même si la proportion des pertes dans les eaux usées, et donc vers les boues, devraient être faibles (environ 1,3 %), on a étudié aussi les répercussions potentielles de l’interaction entre les organismes terrestres et les boues contenant les polymères.
Il n’existe pas de données expérimentales sur la toxicité du MVTFS dans les sédiments ou le sol. Par conséquent, l’information relative au PDMS est utilisée pour évaluer la toxicité du MVTFS dans ces deux milieux naturels.
Le tableau 5d ci-après résume les données expérimentales sur la toxicité du PDMS pour les organismes vivant dans les sédiments et le sol. En résumé, le polymère montre une faible toxicité pour les espèces biologiques vivant dans ces deux milieux naturels.
Tableau 5d. Données relatives à la toxicité du PDMS pour les organismes vivant dans les sédiments ou les sols
| Nature du polymère (viscosité et/ou émulsion) |
Organisme d’essai | Milieu et type d’essai | Paramètre | Concentration (mg/kg, sauf indication contraire) | Référence |
|---|---|---|---|---|---|
| Organismes vivant dans les sédiments | |||||
| 350 cSt | Amphipode marin (Ampelisca abdita) | Sédiments Toxicité semi-chronique (10 jours) |
CL0[1] | > 2 300 | Putt et Mihaich, 1996 |
| 350 cSt | Amphipode d’eau douce (Hyalella azteca) | Sédiments Toxicité chronique (28 jours) |
CE0[2] | > 2 200 | Putt et Mihaich, 1996 |
| PDMS (caractéris-tiques de viscosité/ émulsion non indiquées) | Ver polychète (Nereis diversicolor) | Sédiments Toxicité chronique (28 jours) |
CE0 | 1 000 | Craig et al., 1984 |
| 50 cSt | Annélides | Sédiments Toxicité aiguë (96 heures) Toxicité chronique (28 jours) |
CE0 | >1 0 000 | Craig et Caunter, 1990 |
| Émulsion à 35 %, 50 cSt (eau de mer) | Ver polychète (Nereis diversicolor) | Sédiments Toxicité semi-chronique (9 jours) |
CL0 CE0 | 350 700 | Aubert et al., 1985 |
| 350 cSt | Invertébrés benthiques (H. azteca et C. tentans) | Sédiments Toxicité semi-chronique (10 jours) Cycle de vie (28 jours pour le H. azteca et 50 à 65 jours pour le C. tentans) |
CL0 CE0 | > 1 000 | Henry et al., 2001 |
| Organismes vivant dans le sol | |||||
| Liquide, 350 cSt | Lombric (Eisenia fœtida) | Sol Toxicité chronique (21 jours) |
CE0 | 1 100 | Garvey et al., 1996 |
| Liquide, 350 cSt | Collembole (Folsomia candida) | Sol Toxicité chronique (21 jours) |
CSEO[3] | 250 | Garvey et al., 1996 |
| Végétaux | |||||
| Émulsion à 10 %, 10 cSt | Plantation de conifères | Sol Toxicité aiguë (tout de suite après le traitement) Toxicité chronique (1 an) |
DSEO[4] | 30 mL/m3 | Belt et al., 1977 |
| Organismes terrestres | |||||
| 100 cSt | Canard colvert (Anas platorhynchus) Colin de Virginie (Colinus virgianus) |
Toxicité semi-chronique (5 jours) | CL0 | > 5 000 | Hobbs et al., 1975 (cité dans ECETOC, 1994) |
| 100 cSt | Poule Leghorn blanche | Toxicité chronique (24 semaines) |
CE0 | > 5 000 | Hobbs et al., 1975 |
[2] CE0- Concentration d’une substance dont on estime qu’elle n’a aucun effet secondaire sur les organismes d’essai.
[3] CSEO – Concentration sans effet observé, soit la concentration la plus élevée ne causant pas d’effet statistiquement significatif par rapport au groupe témoin dans un essai de toxicité.
[4] DSEO – Dose sans effet observé, soit la dose d’exposition la plus élevée ne causant pas d’effet statistiquement significatif par rapport aux témoins dans un essai de toxicité.
En raison de la dégradation probable du MVTFS dans le sol, on a également estimé la toxicité des produits de l’hydrolyse du polymère en utilisant un modèle RQSA (ECOSAR, 2008). Les résultats sont présentés dans le tableau 5f ci-après. D’après les prévisions modélisées, les deux produits de l’hydrolyse démontrent une faible toxicité pour le lombric.
Tableau 5f. Données modélisées sur la toxicité des produits de l’hydrolyse du MVTFS pour le lombric (ECOSAR, 2008)
| Noms chimiques et no CAS | Type d’essai | Paramètre | Valeur (mg/L) |
|---|---|---|---|
| Méthyl(3,3,3-trifluoropropyl)silanediol 660-78-6 |
Toxicité aiguë (14 jours) | CL50[1] | 385 |
| Méthylvinylsilanediol 3959-12-4 |
Toxicité aiguë (14 jours) | CL50 | 296 |
D’après les résultats de l’étude sur le PDMS et les estimations modélisées des produits de l’hydrolyse du MVTFS, on prévoit que le potentiel de toxicité du MVTFS ne sera pas significatif pour les organismes vivant dans les sédiments ou le sol.
Évaluation de l’exposition de l’environnement
A – Rejets industriels
On n’a relevé aucune donnée sur les concentrations de MVTFS dans les milieux naturels au Canada. On estime donc les concentrations dans l’environnement en fonction de l’analyse de l’exposition pour le PDMS en tenant compte des quantités de MVTFS importées au Canada.
L’outil de débit massique a utilisé des hypothèses réalistes correspondant au scénario le plus défavorable pour les rejets de MVTFS dans l’eau (par les effluents d’eaux usées) associés aux utilisations industrielles (tableau 3). Pour examiner la question des rejets issus des activités industrielles, un scénario propre au site a servi à estimer une concentration prudente de la substance dans un cours d’eau recevant des effluents industriels (Environnement Canada, 2010c). Le scénario vise à fournir des estimations fondées sur la quantité de la substance traitée et rejetée, le nombre de jours de traitement, le taux d’élimination de l’usine de traitement des eaux usées (UTEE) et la taille du cours d’eau récepteur.
Le scénario propre au site des rejets industriels tient compte des données sur la charge obtenues de sources telles que des enquêtes industrielles, ainsi que des connaissances sur la distribution des rejets industriels au pays, et calcule la concentration environnementale estimée (CEE).
L’exposition aquatique au MVTFS est prévue si la substance est rejetée par les utilisations industrielles vers une usine de traitement des eaux usées qui évacue ensuite son effluent dans des eaux réceptrices. La concentration de la substance dans les eaux réceptrices près du point de rejet de l’usine de traitement des eaux usées est utilisée comme la CEE dans l’évaluation du risque que pose la substance en milieu aquatique. On peut la calculer à l’aide de l’équation
Ceau-ind = [1000 × Q × L × (1 - R)] / [N × F × D]
où
Ceau-ind : concentration en milieu aquatique due aux rejets industriels, en mg/L
Q : quantité de substance totale utilisée chaque année sur un site industriel, en kg/an
L : pertes dans les eaux usées, fraction
R : taux d’élimination de l’usine de traitement des eaux usées, fraction
N : nombre de jours de rejets annuels, en jour/an
F : débit de l’effluent de l’usine de traitement des eaux usées, en m3/jour
D : facteur de dilution dans l’eau réceptrice, sans dimension
D’après l’information donnée par l’enquête menée en application de l’article 71, on a déterminé qu’une installation industrielle en particulier utilisait la plus grande quantité du polymère (Environnement Canada, 2010a). La portion supérieure de la gamme de valeurs déclarées (1 000 à 10 000 kg/an), dans laquelle se range la quantité de polymère utilisée au site, a été employée pour estimer la concentration dans l’environnement.
Les pertes dans une UTEE locale sont estimées à 1,3 % de la quantité totale provenant du nettoyage de contenants de produits chimiques et d’équipement de traitement. On a déterminé que le débit de l’effluent de l’UTEE était de 56 747 m3/jour pour le scénario propre au site.
Le scénario présume également que 1) le rejet a lieu 250 jours par année, 2) le taux d’élimination de l’UTEE (adsorption aux boues) est de 95 % pour le polymère (USEPA, 2008), et 3) le débit du plan d’eau récepteur en aval est de 144 460 m3/jour avec un facteur de dilution de 3,5.
D’après les hypothèses susmentionnées, la concentration environnementale estimée (CEE) est de 1,3 × 10-4 mg/L pour le polymère (Environnement Canada, 2010c).
Il est à noter que la voie prédominante de rejet de MVTFS dans l’environnement est l’amendement du sol avec des boues. D’après la masse moléculaire élevée de la substance et sa très faible solubilité dans l’eau, et d’après les données toxicologiques concernant l’analogue (PDMS), on peut présumer que les boues enfouies ou incinérées qui contiennent du MVTFS ne seront pas dispersées dans l’environnement. Dans le sol, la substance devrait être immobile et subir une dégradation rapide; elle n’occasionnera donc pas une exposition significative pour les organismes aquatiques ou terrestres.
B – Rejets par les consommateurs
On estime que les produits de consommation et les produits commerciaux contenant du MVTFS sont enfouis ou incinérés, tandis que les rejets dans l’atmosphère ou l’eau devraient être insignifiants et l’exposition dans ces milieux environnementaux devrait être faible.
Caractérisation du risque écologique
La démarche suivie dans la présente évaluation préalable consistait à examiner les divers renseignements à l’appui et à tirer des conclusions suivant la méthode du poids de la preuve et le principe de prudence requis par la LCPE (1999). Les éléments de preuve pris en compte comprennent les résultats d’un calcul du quotient de risque prudent ainsi que des renseignements sur la persistance, la bioaccumulation, la toxicité, les sources et le devenir de la substance dans l’environnement.
En raison de sa masse moléculaire élevée, le MVTFS ne devrait pas se loger dans l’air. Le polymère devrait être persistant dans l’eau et les sédiments et devrait présenter un faible potentiel de bioaccumulation. Les volumes modérés de MVTFS qui sont importés au Canada, combinés aux utilisations de cette substance, indiquent un potentiel de rejet dans l’environnement au Canada. En raison de la masse moléculaire élevée de la substance, celle-ci est insoluble dans l’eau et demeure à l’état caoutchouteux à des températures ambiantes. Lorsque le MVTFS est rejeté dans l’eau, il finira par se répartir dans les sédiments. Le potentiel de toxicité du polymère pour les organismes aquatiques devrait être faible.
Une analyse du quotient de risque, intégrant des estimations prudentes de l’exposition aux renseignements liés à la substance, a été réalisée pour le milieu aquatique, afin de déterminer si la substance pourrait avoir des effets nocifs sur l’environnement au Canada. Le scénario industriel propre aux sites présenté ci-dessus a produit une CEE de 1,3 × 104 mg/L (Environnement Canada, 2010c). On a obtenu une CESE pour le MVTFS à partir d’une CL50 sur 48 heures de 73,4 mg/L (en tant que valeur expérimentale valable la plus sensible pour le PDMS), en divisant cette valeur par un facteur d’évaluation de 100 (pour tenir compte de la variabilité interspécifique et intraspécifique de la sensibilité, et de l’extrapolation des résultats d’une étude de toxicité aiguë en laboratoire à la toxicité chronique sur le terrain), pour produire une valeur de 0,73 mg/L. Le quotient de risque obtenu (CEE/CESE) est d’environ 1,7 × 10-4. Par conséquent, les effets nocifs pour les organismes aquatiques sont improbables.
Toute cette information porte à croire que le MVTFS ne causera probablement pas d’effets nocifs pour les organismes aquatiques au Canada d’un point de vue écologique.
Lorsque le MVTFS est rejeté dans un plan d’eau, il devrait se répartir dans les matières particulaires en suspension et les sédiments benthiques, où les organismes vivant dans les sédiments seront exposés à la substance. Néanmoins, on ne dispose d’aucune donnée de surveillance environnementale ou de toxicité propre aux organismes vivant dans les sédiments pour cette substance. En raison de l’importante masse moléculaire du MVTFS, des données de toxicité pour l’analogue (PDMS) et des produits de l’hydrolyse de la substance, on prévoit que le MVTFS montrera une faible toxicité pour les espèces benthiques. Par conséquent, compte tenu de l’éventuelle exposition au polymère, on estime que les effets nocifs découlant d’une exposition au MVTFS au Canada pour les organismes vivant dans les sédiments sont improbables.
Incertitudes dans l’évaluation des risques pour l’environnement
Une incertitude majeure dans l’évaluation est due à la complexité liée au polymère. À la différence d’une substance chimique distincte, on peut décrire le polymère uniquement par une répartition de structures homologues ayant une masse moléculaire variable. La masse moléculaire moyenne, le contenu des fractions aux diverses masses moléculaires ainsi que les impuretés varient en fonction des différentes formulations du polymère. Il est à noter que l’évaluation a seulement tenu compte des préoccupations relatives au polymère commercialisé au Canada en tenant compte de l’information disponible.
Un autre domaine d’incertitude pour l’évaluation du MVTFS est lié au manque de données expérimentales sur les propriétés physiques et chimiques, la persistance, la bioaccumulation et la toxicité intrinsèque. En raison de l’importante masse moléculaire du polymère, on a estimé que tous les modèles RQSA n’étaient pas applicables pour l’évaluation du polymère. On a défini des analogues du polymère et on a utilisé des renseignements pertinents pour l’évaluation du MVTFS. La comparaison des compositions chimiques du MVTFS et de ses analogues semble indiquer que la différence dans les unités récurrentes et les unités terminales n’influencera pas significativement leurs propriétés physiques et chimiques ou leur écotoxicité, mais qu’elle pourrait avoir des conséquences sur le devenir de l’environnement dans les sols. Il existe aussi des différences majeures dans les masses moléculaires des analogues, qui sont bien inférieures au MVTFS. Les analogues devraient alors être plus biodisponibles aux organismes dans l’environnement. Donc, il est considéré comme valide et prudent d’utiliser de tels analogues pour évaluer le MVTFS.
Il est à noter que les concentrations d’exposition au polymère analogue (PDMS), dans les études de toxicité, sont largement supérieures à la solubilité prévue en milieu aquatique. Les résultats des études toxicologiques sur le polymère en émulsion indiquent que ce dernier présente vraisemblablement un risque faible pour les organismes aquatiques dans les conditions enregistrées dans l’environnement. Cependant, on considère les données sur la toxicité du PDMS comme des substituts valables et prudents pour l’évaluation des effets du MVTFS sur les organismes aquatiques.
Il existe également une autre incertitude liée au manque de données sur les concentrations de MVTFS dans l’environnement canadien. Toutefois, la majorité du polymère importé devrait se retrouver dans un site d’enfouissement aux sites d’élimination des déchets, et les rejets dans l’environnement canadien devraient être faibles.
On ne saisit pas complètement le métabolisme du polymère dans les organismes de l’environnement. Bien que l’analogue PDMS ait démontré une clairance rapide chez le poisson, on n’a pas déterminé clairement s’il existe un métabolisme définitif pour les polymères de siloxane tels que le PDMS et le MVTFS.
Étant donné que le MVTFS est utilisé dans d’autres pays, il est possible que cette substance entre sur le marché canadien comme composant d’articles manufacturés ou de produits de consommation autres que ceux déclarés. Cependant, les renseignements obtenus dans le cadre de l’enquête menée en application de l’article 71 n’indiquent pas qu’elle est présente dans ces types de produits au Canada. Les renseignements disponibles ne sont pas suffisants actuellement pour calculer une estimation quantitative permettant de définir l’importance de cette source. Toutefois, on estime que les stades du cycle de vie et les pertes proportionnelles découlant de l’utilisation de ces autres produits ne se distingueront pas significativement de ce qui a été pris en compte et estimé dans le cadre de l’évaluation. Par conséquent, on s’attend à ce que la quantité de MVTFS rejetée dans les divers milieux environnementaux ne soit pas significative.
Bien que d’autres articles manufacturés et produits de consommation contenant du MVTFS puissent être importés au Canada en plus de ceux que l’industrie déclare dans le cadre des enquêtes dont elle fait l’objet, en application de l’article 71 de la LCPE (1999), on ne dispose d’aucune information sur la quantité ainsi importée. On s’attend à ce que les stades du cycle de vie et les pertes proportionnelles découlant de l’utilisation de ces autres produits ne se distinguent pas significativement de ce qui a été pris en compte et estimé ci-dessus. Toutefois, on pourrait s’apercevoir que la masse réelle de substance rejetée à chacun des stades du cycle de vie est supérieure aux estimations fournies précédemment, si on disposait des renseignements pertinents à cet égard.
Évaluation de l’exposition
Milieux naturels
Aucune donnée empirique sur les concentrations de MVTFS dans les milieux naturels au Canada n’a été relevée. On n’a pas pu prédire les propriétés physicochimiques pour le MVTFS, car il s’agit d’un polymère dont la masse moléculaire moyenne est de 358 000 g/mol (équivalant à environ 2 200 unités récurrentes de méthyl-trifluoropropyl-siloxy et à environ 20 unités récurrentes de méthyl-vinyl-siloxy) ce qui ne relève pas du champ d’application des modèles RQSA disponibles. En raison de son importante masse moléculaire, le polymère devrait montrer une volatilité et une hydrosolubilité négligeables. Le MVTFS devrait exister à l’état caoutchouteux pur à des températures ambiantes et résister aux substances chimiques; l’exposition de l’ensemble de la population à la substance dans les milieux naturels devrait être négligeable.
Produits de consommation
Aucun produit de consommation contenant ou ayant été manufacturé à l’aide de MVTFS n’a été identifié. On a relevé du MVTFS dans quelques utilisations industrielles en 2006 au Canada; on considère que l’exposition potentielle au MVTFS découlant de ces utilisations est de nature professionnelle uniquement (Environnement Canada, 2010a).
Évaluation des effets sur la santé
Aucune donnée empirique relative aux effets sur la santé n’a été relevée pour le MVTFS. À l’heure actuelle, on estime que les modèles de relations quantitatives structure-activité (RQSA) disponibles ne sont pas adaptés à la prévision de la toxicité des polymères.
Les fluorosilicones (PMTFPS), qui ont des structures semblables au MVTFS (présentées dans le tableau 2 de la section Caractérisation des propriétés physiques et chimiques) ont été utilisés dans des applications médicales, notamment des tamponnades intraoculaires (Heimann et al., 2008). Plusieurs études ont étudié les effets secondaires éventuels des utilisations médicales des fluorosilicones. Dans certaines études, l’injection intravitréenne de fluorosilicones (1 000, 5 000 ou 10 000 cSt) dans les yeux de lapins pendant deux à six mois a provoqué une inflammation intravitréenne, un œdème rétinien, un œdème cornéen, une néovascularisation, ainsi qu’une réponse immune (augmentation des immunoglobulines et des fractions complémentaires) (Miyamoto et al., 1986; Gabelet al., 1987; Pastor et al., 1992; Versura et al., 2001). La kératopathie, définie comme un épaississement ou un œdème cornéen, a été observée également chez certains des patients en clinique à la suite d’une injection intravitréenne de fluorosilicone (Gremillionet al., 1990). Il a été proposé que la toxicité oculaire était provoquée par les composés de faible masse moléculaire ou les impuretés des matières injectées. On a démontré que les composés de faible masse moléculaire favorisent la croissance de fibroblastes in vitro chez le lapin d’élevage et des cellules de l’épithélium pigmentaire rétinien chez l’homme (Sparrow et al., 1990; Friberget al., 1991) et qu’ils provoquent une inflammation et des œdèmes oculaires chez le lapin après une injection intravitréenne (Nakamura et al., 1991).
Rien ne prouve que les monomères ou les polymères de siloxane peuvent présenter un potentiel de génotoxicité (JACC, 1994; Environnement Canada, Santé Canada, 2008a, 2008b, 2008c).
Le degré de confiance à l’égard de la base de données relative aux effets sur la santé est faible, étant donné qu’on n’a relevé aucune donnée expérimentale précise sur la substance et que l’information relative aux effets sur la santé concernant les monomères ou les polymères de siloxane fluoré et la substitution du vinyle est très limitée.
Caractérisation du risque pour la santé humaine
Aucune donnée empirique relative aux effets sur la santé n’a été relevée pour le MVTFS. D’après les données limitées relatives à ses effets sur la santé de fluorosilicones ayant des structures similaires, on considère que le MVTFS ne présente pas un potentiel de risque élevé.
On s’attend à une exposition négligeable pour l’ensemble de la population au MVTFS présent dans les milieux naturels (air, eau potable et sol) ou dans les aliments et les boissons. On ne prévoit aucune exposition de l’ensemble de la population à partir de l’utilisation de produits de consommation contenant du MVTFS. Par conséquent, on considère que le risque pour la santé humaine découlant de l’exposition au MVTFS au Canada est faible.
Incertitudes de l’évaluation des risques pour la santé humaine
Aucune donnée empirique n’a été relevée concernant les concentrations du MVTFS dans les milieux naturels. Néanmoins, l’étude de ses propriétés physiques et chimiques ainsi que de ses utilisations déclarées en application de l’article 71 de la LCPE (1999) indique que l’exposition s’avère négligeable pour l’ensemble de la population.
En raison de l’absence de données sur les effets du MVTFS pour la santé, l’évaluation de la santé humaine pour le MVTFS est fondée sur des données limitées relatives aux effets des monomères ou polymères de siloxane fluoré sur la santé. Toutefois, le degré de confiance en la détermination des effets critiques sur la santé pour cette substance est faible, et ce, d’après les propriétés physiques et chimiques du polymère de siloxane (c.-à-d. masse et taille moléculaires élevées, faible solubilité dans l’eau et faible pression de vapeur). On s’attend donc à ce que cette substance ait une faible biodisponibilité, ce qui limite toute concentration efficace pouvant être associée à un effet nocif quelconque dans le corps.
Selon l’information présentée dans la présente évaluation préalable, il est déterminé que la forme du MVTFS commercialisée au Canada satisfait aux critères des polymères à exigences réglementaires réduites précisés dans leRèglement sur les renseignements concernant les substances nouvelles (substances chimiques et polymères). D’après les renseignements disponibles, il est conclu que le MVTFS ne pénètre pas dans l’environnement en une quantité, à une concentration ou dans des conditions de nature à avoir, immédiatement ou à long terme, un effet nocif sur l’environnement ou sur la diversité biologique, ou à mettre en danger l’environnement essentiel pour la vie. De plus, cette substance répond aux critères de persistance, mais ne répond pas aux critères de bioaccumulation énoncés dans le Règlement sur la persistance et la bioaccumulation (Canada, 2000).
À la lumière des renseignements disponibles, il est conclu que le MVTFS ne pénètre pas dans l’environnement en une quantité, à une concentration ou dans des conditions de nature à constituer un danger au Canada pour la vie ou la santé humaines.
Par conséquent, il est conclu que le MVTFS ne satisfait à aucun des critères énoncés à l’article 64 de la LCPE (1999).
En raison de la complexité associée à la formulation du polymère et des propriétés potentiellement dangereuses associées aux polymères de faible masse moléculaire, on craint que les utilisations nouvelles du MVTFS qui ne sont ni décelées ni évaluées en vertu de la LCPE (1999) fassent en sorte que la substance réponde aux critères de l’article 64 de laLoi. Dès lors, on recommande la modification de la LIS pour indiquer que le MVTFS répond aux critères des polymères à exigences réglementaires réduites. Si d’autres formes du MVTFS ne répondant pas aux exigences réglementaires réduites sont introduites sur le marché canadien, ces formes seront soumises aux exigences du Règlement sur les renseignements concernant les substances nouvelles.
Annelin, R.B. 1979. Rapport interne no I-0005-0669 de la Dow Corning. Cité dans Fendinger et al., 1997.
Annelin, R.B., Frye, C.L. 1989. The piscine bioconcentration characteristics of cyclic and linear oligomeric permethylsiloxane.The Science of the Total Environment 83:1.
Annelin, R.B., Humble, D.A. 1978. Rapport noI-0005-0596 de la Dow Corning. Cité dans Fendinger et al., 1997.
Annelin, R.B., Klein, R., Varaprath, S. 1994. Rapport interne no 1994-I-0000 de la Dow Corning Corp. Cité dans Fendinger et al., 1997.
[AOPWIN] Atmospheric Oxidation Program for Windows [modèle d’estimation]. 2008. Version 1.92a. Washington (DC) : US Environmental Protection Agency, Office of Pollution Prevention and Toxics; Syracuse (NY) : Syracuse Research Corporation. Outils d'évaluation de l'exposition et des modèles.
[ARLA] Agence de réglementation de la lutte antiparasitaire. 2007. Note réglementaire REG 2007-04 : Liste des produits de formulation de l’ARLA. Ottawa (Ont.) : Santé Canada, Agence de réglementation de la lutte antiparasitaire. [consulté le 14 mai 2010].
Aubert, M., Aubert, J., Augier, H., Guillemaut, C. 1985. Study of the toxicity of some silicone compounds in relation to marine biological chains. Chemosphere 14:127-138.
Barrère, M., Maitre, C., Dourges, M.A., Hémery, P. 2001. Anionic polymerization of 1,3,5-tris(trifluoropropylmethyl)cyclotrisiloxane (F3) in miniemulsion. Macromolecules 34:7276-80.
Battelle. 1992. Fate and effects of PDMS: Soil amendment sludge disposal. Rapport pour la Dow Corning Corporation, no d’étude SC 900090 du Battelle. 8 mai 1992. Battelle, Columbus Lab., Ohio, États-Unis. Cité dans ECETOC, 1994.
[BBM] Baseline Bioaccumulation Model. 2008. Gatineau (Qc) : Environnement Canada, Division des substances existantes. [Modèle basé sur celui de Dimitrov et al., 2005]. Disponible sur demande.
[BCFBAF] Bioaccumulation Program for Windows [modèle d’estimation]. 2008. Version 3.00. Washington (DC) : US Environmental Protection Agency, Office of Pollution Prevention and Toxics; Syracuse (NY) : Syracuse Research Corporation. Outils d'évaluation de l'exposition et des modèles.
[BDIPSN]. Base de données sur les ingrédients des produits de santé naturels [en ligne]. 2010. Ottawa (Ont.) : Santé Canada. Accès : Base de données des produits de santé naturels homologués [consultée en avril 2010].
[BDPP] Base de données sur les produits pharmaceutiques [en ligne]. 2010. Ottawa (Ont.) : Santé Canada. Recherche de produits pharmaceutiques en ligne [consultée en avril 2010].
[BDPSNH] Base de données d’ingrédients de produits de santé naturels homologués [en ligne]. 2010. Ottawa (Ont.) : Santé Canada. [consultée en avril 2010].
Becerra, M.R., Fernandez-Sanchez, E., Fernandez-Torres, A., Garcia-Domiguez, J.A., Santiuste, J.M. 1992. Thermodynamic characterization by inverse gas chromatography of a 50% methyl, 50% trifluoropropyl polysiloxane. Macromolecules25:4665-70.
Belt, G.H., King, J.G., Haupt, H.F. 1977. Augmenting summer stream flow by use of silicone antitranspirant. Cité dans West KF, 1992. Water Resource Research 13: 267-272. Cité dans ECETOC, 1994.
Buch, R.R., Ingebrigtson, D.N. 1979. Rearrangement of Polydimethylsiloxane Fluids on Soil. Environmental Science and Technology 13:676.
Cabridenc, R. 1978. Polydimethylsiloxanes, IRNS. Cité dans le rapport no U/83/208(605) de la TNO à la CEE.Evaluation of the impact of Organo Silicone Compounds on the Aquatic Environment. TNO, La Haye, Pays-Bas. Cité dans ECETOC, 1994
Cai, G., Weber, W.P. 2004. Synthesis of terminal Si-H irregular tetra-branched star polysiloxanes. Pt-catalyzed hydrosilylation with unsaturated epoxides. Polysiloxane films by photo-acid catalyzed crosslinking. Polymer 45:2941-8.
Canada. 1978. Règlement sur les aliments et drogues. C.R.C., ch. 870 Règlement sur les aliments et drogues.
Canada. 1999. Loi canadienne sur la protection de l’environnement (1999). L.C. 1999, ch. 33, Gazette du Canada, Partie III, vol. 22, n° 3.
Canada. 2000. Loi canadienne sur la protection de l’environnement (1999) : Règlement sur la persistance et la bioaccumulation, C.P. 2000-348, 23 mars 2000, DORS/2000-107.Gazette du Canada, Partie II, vol. 134, n° 7.
Canada. Ministère de l’Environnement, ministère de la Santé. 2006. Loi canadienne sur la protection de l’environnement (1999) : Avis d’intention d’élaborer et de mettre en œuvre des mesures d’évaluation et de gestion des risques que certaines substances présentent pour la santé des Canadiens et leur environnement. Gazette du Canada, Partie I, vol. 140, n° 49.
Canada. Ministère de l’Environnement. 2009. Loi canadienne sur la protection de l’environnement (1999) : Avis concernant les substances du groupe 11 du Défi. Gazette du Canada, Gazette du Canada, Partie I, vol. 143, n° 39.
Carpenter, J.C., Cella, J.A., Dorn, S.B. 1995. Study of the degradation of polydimethylsiloxanes on soil. Environmental Science and Technology 29:864-868.
[CATABOL] Probabilistic assessment of biodegradability and metabolic pathways [modèle informatique]. c2004-2008. Version 5.10.2. Bourgas (Bulgarie) : Prof. Assen Zlatarov University, Laboratory of Mathematical Chemistry. CATALOGIC.
Christensen, K. 1994. Silicone Environmental Health and Safety Council Study Report, Document ID no. 47. Cité dans Fendingeret al., 1997.
Craig, N.C.D., Caunter, J.E., Eales, G.J. 1984. ICI Let, Brixham (Royaume-Uni). Document rédigé pour le Centre européen des silicones. Rapport no I-9039-0004 de la Dow Corning.
Craig, N.C.D., Caunter, J.E. 1990. The effects of polydimethylsiloxane (PDMS) in sediment on the polychaete worm Nereis diversicolor. Chemosphere 21(6):751-759. Cité dans Fendinger et al., 1997.
Dimitrov, S.D., Dimitrova, N.C., Walker, J.D., Veith, G.D., Mekenyan, O.G. 2002. Predicting bioconcentration factors of highly hydrophobic chemicals. Effects of molecular size. Pure and Applied Chemistry 74(10):1823-1830.
Dimitrov, S., Dimitrova, N., Parkerton, T., Comber, M., Bonnell, M., Mekenyan, O. 2005. Base-line model for identifying the bioaccumulation potential of chemicals. SAR QSAR Environ. Res. 16(6):531-554.
Dow Corning Corporation. 1961. The results of range finding studies on several Dow Corning siloxane monomers, polymers and cyclic intermediates with letter dated 042094. Présentation au Document Processing Center, Office of Toxic Substances. U.S. Environmental Protection Agency. Washington, DC. OTS0556497; Old Doc ID: 86940001043.
Dow Corning Corporation. 1972. Continuing chemical structure-biological activity-relationship of selected cyclotetrasiloxane on the make reproductive system. Présentation au Document Processing Center, Office of Toxic Substances. U.S. Environmental Protection Agency. Washington, DC. OTS0572454; Old Doc ID: 86940000351.
Drobny, J.G. 2001. Technology of fluoropolymers. CRC Press LLC, 2000 NW Corporate Blvd., Boca Raton (FL), 33431.
Eales, G.J. Taylor, D. 1983. A study of the movement of a polydimethylsiloxane fluid in sediment columns – Phase 2. Rapport I-9039-002 de la Dow Corning. Cité dans ECETOC, 1994.
[ECETOC] Centre d’écologie et de toxicologie de l’industrie chimique européenne. 1994. Joint Assessment of Commodity Chemicals No. 26: Linear Polymethylsiloxanes (viscosity 10 – 100 000 centistokes) CAS No. 63148-62-9. Centre d’écologie et de toxicologie de l’industrie chimique européenne, Bruxelles, Belgique. Rapports JACC.
[ECOSAR] Ecological Structural Activity Relationships [en ligne]. 2008. Version 1.00. Washington (DC) : US Environmental Protection Agency, Office of Pollution Prevention and Toxics; Syracuse (NY) : Syracuse Research Corporation. Outils d'évaluation de l'exposition et des modèles.
Environnement Canada. 2008. Guidance for Conducting Ecological Assessments under CEPA, 1999, Science Resource Technical Series, Technical Guidance Module: Mass Flow Tool. Document de travail. Gatineau (Qc) : Environnement Canada, Division des évaluations écologiques. Disponible sur demande.
Environnement Canada. 2010a. Données sur les substances du lot 11 recueillies en vertu de l’article 71 de la Loi canadienne sur la protection de l’environnement (1999) : Avis concernant certaines substances identifiées dans le onzième lot du Défi. Données recueillies par Environnement Canada, Division de la mobilisation et de l’élaboration des programmes.
Environnement Canada. 2010b. Assumptions, limitations and uncertainties of the Mass Flow Tool for MVTFS. No CAS 68952-02-3. Document provisoire interne. Gatineau (Qc) : Environnement Canada, Division des évaluations écologiques. Disponible sur demande.
Environnement Canada. 2010c. Rapport inédit sur les rejets industriels : no CAS 68952-02-3. Le 19 mai 2010. Gatineau (Qc) : Environnement Canada, Division de l’évaluation écologique. Disponible sur demande.
Environnement Canada, Santé Canada. 2008a. Évaluation préalable pour le Défi concernant l’octaméthylcyclotétrasiloxane(D4), n° CAS 556-67-2 [en ligne]. Ottawa (Ont.) : Environnement Canada, Santé Canada. [consulté en mai 2010].
Environnement Canada, Santé Canada. 2008b. Évaluation préalable pour le Défi concernant le décaméthylcyclopentasiloxane (D5), n° CAS 541-02-6 [en ligne]. Ottawa (Ont.) : Environnement Canada, Santé Canada. [consulté en mai 2010].
Environnement Canada, Santé Canada. 2008c. Évaluation préalable pour le Défi concernant le décaméthylcyclopentasiloxane (D6), n° CAS 540-97-6 [en ligne]. Ottawa (Ont.) : Environnement Canada, Santé Canada. [consulté en mai 2010].
[EPIsuite] Estimation Programs Interface Suite for Microsoft Windows [modèle d’estimation]. 2008. Version 4.00. Washington (DC) : US Environmental Protection Agency, Office of Pollution Prevention and Toxics; Syracuse (NY) : Syracuse Research Corporation. Outils d'évaluation de l'exposition et des modèles.
Fendinger, N.J., Lehmann, R.G., Mihaich, E.M. 1997. Polydimethylsiloxane. Organosilicon Materials. The Handbook of Environmental Chemistry. Berlin, Heidelberg (Allemagne) : Springer-Verlag.
Firmin, R. 1984. Les composés organosiliciés et l’environnement aquatique. Mémoire, Sciences Environnement, Université Libre de Bruxelles. Cité dans le rapport no U/83/208(605) de la TNO à la CEE. Evaluation of the Impact of Organo Silicon Compouns on the Aquatic Environment. TNO, La Haye, Pays-Bas. Cité dans ECETOC, 1994.
Friberg, T.R., Verstraeten T.C., Wilcox D.K. 1991. Effects of emulsification, purity and fluorination silicone oil on human retinal pigment epithelial cells. Invest. Ophthalmol. Vis. Sci. 32:2030-2034.
Gabel, V.P., Kampik, A., Gabel, C.H., Spiegel, D. 1987. Silicone oil with high specific gravity for intraocular use. Br. J. Ophthalmol. 71:262-267.
Garvey, N., Collins, M.K., Mihaich, E.M. 1996. Abs no. 256, SETAC 17th Annual Meeting, Washington (DC). Cité dans Graiver et al., 2003.
Gettings, R.L., Lane, T.H. 1982. Dow Corning Corp, rapport interne no I0005-10957. Cité dans Fendinger et al., 1997 et ECETOC, 1994.
Gobas, F.A.P.C., Morrison, H.A. 2000. Bioconcentration and biomagnification in the aquatic environment. In : Boethling, R.S., Mackay, D. (éditeurs). Handbook of property estimation methods for chemicals. Boca Raton (FL) : Lewis Publishers.
Graiver, D., Farminer, K.W., Narayan, R. 2003. A review of the fate and effects of silicones in the environment. Journal of Polymers and the Environment 11(4):129-136.
Gremillion, C.M. Jr., Peyman, G.A., Liu, K.R., Naguib, K.S. 1990. Fluorosilicone oil in the treatment of retinal detachment.Br. J. Ophthalmol. 74:643-646.
Guillemaut, G., Aubert, J., Augier, H. 1987. Study on organosilicon contamination and toxicity in relation to the marine biomass. Revue internationale d’océanographie médicale85/86:88 [cité dans Fendinger et al., 1997]
Hayden, J.F., Barlow, S.A. 1972. Structure-activity relationships of organosiloxanes on the female reproductive system.Toxicol. Appl. Pharmacol. 21:68-79.
Heimann, H., Stappler, T., Wong, D. 2008. Heavy tamponade 1: a review of indications, use, and complications. Eye22:1342-1359.
Henry, K.S., Wieland, W.H., Powell, D.E., Giesy, J.P. 2001. Laboratory analyses of the potential toxicity of sediment-associated polydimethylsiloxne to benthic macroinvertebrates. Environmental Toxicology and Chemistry20(11):2611-2616.
Hill RW. 1980. Determination of acute toxicity of DC 561 and DC X2-3168 to mussel (Mytilus edulis), rapport 19039 (6 et 8) de la DC. Cité dans le rapport no U/83/208(605)de la TNO à la CEE. Evaluation of the Impact of Organo Silicone Compounds on the Aquatic Environment. TNO, La Haye, Pays-Bas. Cité dans ECETOC, 1994.
Hill, R.W., Young, B.E., Eales, G.J. 1980. Imperial Chemical Industries Ltd., Brixham, TQ58BA, Angleterre. Determination of acute toxicity of Dow Corning DC 561 to the plaice (Pleuronectes platessa). Rapport no BL/B/2052 rédigé pour la Dow Corning (rapport no I-9030-5 de la DC). Cité dans Fendinger et al., 1997.
Hill, R.W., Caunter, J.E., Eales, G.J. 1984. Imperial Chemical Industries Ltd., Brixham, TQ58BA, Angleterre. Effect of an organosilicon formulation on embryos and larvae of the sheepshead minnow (Cyprinodon variegates). Rapport no BL/B/2392A rédigé pour le Centre européen des silicones. 34 p. (rapport no I-9039-0003 de la DC). Cité dans Fendinger et al., 1997 et ECETOC, 1994.
Hobbs, E.J., Keplinger, M.L., Calandra, J.C. 1975. Toxicity of polydimethylsiloxanes in certain environmental systems.Environmental Research 10:397-406.
[JACC] Joint Assessment of Commodity Chemicals No. 26. 1994. Linear Polymethylsiloxanes (viscosity 10 - 100 000 centistokes) CAS No. 63148-62-9. Bruxelles (Belgique) : European Centre for Ecotoxicology and Toxicology of Chemicals. Rapports JACC.
Kählig, H., Zöllner, P., Mayer-Helm, B.X. 2009. Characterization of degradation product of poly[(3,3,3-trifluoropropyl)methylsiloxane] by nuclear magnetic resonance spectroscopy, mass spectrometry and gas chromatography.Polymer Degradation and Stability 94:1254-1260.
Kobayashi, H., Nishiumi, W. 1993. Preparation and characterization of poly (methyl-3,3,3-trifluoropropylsiloxanes-co-dimethylsiloxane).Makromol. Chem. 194:1403-10.
Kukkonen, J., Landrum, P.F. 1995. Effects of sediment-bound polydimethylsiloxane on the bioavailability and distribution of benzo[a]pyrene in lake sediment to Lumbriculus variegatus.Environmental Toxicology and Chemistry 14:523-531.
Le Fevre, R., Coulston, F., Golberg, L. 1972. Action of a copolymer of mixed phenylmethylcyclosiloxanes on reproduction in rats and rabbits. Toxicol. Appl. Pharmacol. 21:29-44.
Lehmann, R.G., Varaprath, S., Frye, C.L. 1994a. Degradation of silicone polymers in soil. Environmental Toxicology and Chemistry 13:1061-1064.
Lehmann, R.G., Varaprath, S., Frye, C.L. 1994b. Fate of silicone degradation products (silanols) in soil. Environmental Toxicology and Chemistry 13:1753-1759.
Lehmann, R.G., Varaprath, S., Annelin, R.B., Arndt, J. 1995. Degradation of silicone polymer in a variety of soils.Environmental Toxicology and Chemistry 14:1299-1305.
Lehmann, R.G., Miller, J.R., Xu, S., Singh, U.B., Reece, C.F. 1998. Degradation of silicone polymer at different soil moistures.Environmental Science and Technology 32:1260-1264.
Levier RR. 1988. Permethylated siloxane insect toxicants. Silicon chemistry. COREY-GASPAR – Ellis Howood Publishers – Chap. 15 : 153-160. Cité dans ECETOC, 1994.
Maggi, P., Alzieu, C. 1977. Étude de la nocivité d’huiles polydiméthyl-siloxane à l’égard d’organismes marins.Science et Pêches, Bulletin de l’Institut des pêches maritimes 269:1-3. Cité dans Stevens et al., 2001.
Mann, H., Ollenschlager, B., Reichenback-Klinke, H.H. 1977. Reichenbach-Klinke, Untersuchunger zur Wirkung von Siliconölen auf Regenbogenforellen. Fisch. Umwelt. 3:19. Cité dans Fendinger et al., 1997 et ECETOC, 1994.
Miyamoto, L., Refojo, M.F., Tolentino, F.I., Flournier, S.A. 1986. Fluorinate oils as experimental vitreous substitutes.Arch. Ophthalmol. 104:1053-1056.
Nakamura, K., Refojo, M.F., Crabtree, D.V., Pastor, J., Leong, F.L. 1991. Ocular toxicity of low-molecular-weight components of silicone and fluorosilicone oils. Invest. Ophthalmol. Vis. Sci. 32:3007-3020.
[NCI] National Chemical Inventories [base de données sur CD-ROM]. 2009. Issue 2. Columbus (OH) : American Chemical Society.Inventaires chimiques nationaux [consulté en mai 2010].
Nielson WR, Heinlein JP et Haigh WG. 1975. Acaridical and insectisidal activity of various silicone fluids. TSCA 8(c) Submission 87-8215084. Cité dans ECETOC, 1994.
Noll, W. 1968. Chemistry and Technology of Silicones. New York (NY) : Academic Press. Cité dans USEPA, 2008.
Opperhuizen, A., Van Der Velde, E.W., Gobas, F.A.P.C., Liem, D.A.K., Van Der Steen, J.M.D., Hutzinger, O. 1985. Relationship between bioconcentration in fish and steric factors of hydrophobic chemicals. Chemosphere 14:1871.
[OCDE] Organisation de coopération et de développement économiques. 1994. Groupe des produits chimiques et Comité de gestion. Rapport du président lors de la IIIe Réunion des experts de l’OCDE sur les polymères à Tokyo, du 14 au 16 avril 1993.
Pagliani, M., Bravais, E., Tonge, L. 2008. 100% fluoro liquid silicone rubber: fuel and oil resistance achieved in an LSR.Rubber World 237(5):22-5.
Pastor, J.C., Lopez, M.I., Saornil, M.A., Refojo, M.F. 1992. Intravitreal silicone and fluorosilicone oils: pathologic findings in rabbit eyes. Acta Ophthalml. 70:651-656.
Putt, A.E. 1994. Polydimethylsiloxane (PDMS) - the subchronic toxicity to midge larvae (Chironomus tentans) under flow-through conditions. Wareham (MA) : Springborn Laboratories, Inc. Rapport du SLI no 94-4-5235. Cité dans Fendingerat al., 1997.
Putt, A.E., Mihaich, E.M. 1996. Effect of sediment-bound polydimethyl-siloxane (PDMS) to aquatic invertebrates. Abs no. 257, 17e réunion annuelle de la SETAC, Washington (DC). Cité dans Stevens et al., 2001.
Sakuratani, Y., Noguchi, Y., Kobayashi, K., Yamada, J., Nishihara, T. 2008. Molecular size as a limiting characteristic for bioconcentration in fish. Journal of Environmental Biology29(1):89-92.
Santé Canada. 2009. Liste critique des ingrédients dont l’utilisation est restreinte ou interdite dans les cosmétiques - septembre 2009 [en ligne]. Ottawa (Ont.) : Santé Canada, Sécurité des produits de consommation [consultée le 14 mai 2010].
[SDC] Système de déclaration des cosmétiques [base de données exclusive]. 2010. Disponible auprès de Santé Canada, Division des cosmétiques.
Spacie A. 1972. Acute toxicity of SAG 10 and SAG 350 silicone antifoam to aquatic organisms. Rapport interne, Union Carbide Chemicals Corp,. Danbury, États-Unis. Cité dans ECETOC, 1994.
Sparrow, J.R., Ortiz, R., Macleish, P.R., Chang, D. 1990. Fibroblast behaviour at aqueous interfaces with perfluorocarbon, silicone and fluorosilicone liquids. Invest. Ophthalmol. Vis. Sci. 31:638-646.
[SPIN] Substances in Preparations in Nordic Countries [base de données sur Internet]. 2006. Copenhague (Danemark) : Conseil des ministres des pays nordiques. Substances dans les préparations dans les pays nordiques [consulté en mai 2010].
Stevens, C., Powell, D.E., Mäkelä, P., Karman, C. 2001. Fate and effects of polydimethylsiloxane (PDMS) in marine environments.Marine Pollution Bulletin 42(7):536-543.
USEPA. 2008. Interpretive assistance document for assessment of polymers. United States Environmental Protect Agency.
Veith, C.A., Cohen, R.E. 1989. Kinetic modelling and optimization of the trifluoropropylmethylsiloxane polymerization.Journal of Polymer Science, Part 1: Polym Chem.27:1241-58.
Versura, P., Cellini, M., Torreggiani, A., Bernabini, B., Rossi, A., Moretti, M., Caramazza, R. 2001. The biocompatibility of silicone, fluorosilicone and perfluorocarbon liquids as vitreous tamponades: an ultrastructural and immunohistochemical study.Ophthalmologica 215:276-83.
Wacker. 1992. Wacker-Broschüre: Silicone Fluids AK, Wacker Chemie AG, Munich, Allemagne. Cité dans ECETOC, 1994.
Watanabe, N., Nakamura, T., Watanabe, E., Sato, E., Ose, Y. 1984a. Bioconcentration potential of polydimethylsiloxane (PDMS) fluids by fish. Science of the Total Environment38:167.
Watanabe, N., Yasuda, Y., Kato, K., Nakanura, T., Funasaka, R., Shimokawa, K., Sato, E., Ose, Y. 1984b. Determination of trace amounts of siloxanes in water, sediments and fish tissues by inductively coupled plasma emission spectrometry. Science of the Total Environment 34(1-2):169-176.
Xu, S. 1998. Hydrolysis of poly(dimethylsiloxanes) on clay minerals as influenced by exchangeable cations and moisture.Environmental Science and Technology 32(20):3162-3168.
Annexe Ia. Données relatives au PDMS (Wacker, 1992, et Fendinger et al., 1997)
| Viscosité (cSt) | Nombre moyen d’unités D[*] | Masse moléculaire moyenne en nombre (g/mol) |
|---|---|---|
| 10 | 15 | 1 300 |
| 50 | 40 | 3 000 |
| 100 | 70 | 5 000 |
| 1 000 | 200 | 15 000 |
| 10 000 | 500 | 37 000 |
| 100 000 | 1 000 | 74 000 |
Annexe Ib. Données relatives au PDMS, tirées de Noll (1968) (citées dans USEPA, 2008)
| Viscosité (cSt) | Nombre moyen d’unités D | Masse moléculaire moyenne en nombre (g/mol) |
|---|---|---|
| 60 | 50 | 3 600 |
| 140 | 110 | 8 000 |
| 440 | 230 | 17 000 |
| 680 | 280 | 21 000 |
| 1 440 | 400 | 30 000 |
| 10 000 | 800 | 60 000 |
| 50 000 | 1 200 | 88 000 |
| 100 000 | 1 400 | 103 000 |
| 300 000 | 1 900 | 143 000 |
Annexe II : Table de résumé des intrants des modèles de la persistance, de la bioaccumulation et de la toxicité (PBT)
Le polymère de siloxane MVTFS a une masse moléculaire élevée et on considère qu’il se trouve en dehors du champ d’application des modèles RQSA disponibles. Par conséquent, aucun modèle n’est utilisé dans l’évaluation du MVTFS.
| Substance | DL50 par voie orale (rats) |
Irritation oculaire (lapins) | Irritation cutanée (lapins) | Exposition unique de rats à des atmosphères saturées | ||
|---|---|---|---|---|---|---|
| Temp. (°C) | Durée de l’exposition (heures) | Réponse | ||||
| Polymère de siloxane (trifluoropropylméthyl) (250 cSt)[1] |
AR | AR | AR | 300 | 1,25 | Mort de tous les rats |
| 250 | 1,25 | Aucun rat mort | ||||
| Polymère de siloxane (trifluoropropylméthyl) (1 000 cSt) |
AR | AR | AR | 375 | 1,25 | Mort de tous les rats |
| 350 | 1,25 | Aucun rat mort | ||||
| Siloxane (trifluoropropylméthyl), trimère cyclique[2] | AR | AR | AR | 150 | 1,25 | Mort des 3/4 des rats |
| 100 | 7,0 | Mort de tous les rats | ||||
| 100 | 4,0 | Mort de tous les rats | ||||
| Siloxane (trifluoropropylméthyl), trimère cyclique | DL50 environ 180 mg/kg p.c.[3], avec pathologie rénale | Faible | Faible | La brume qui s’est formée à 100 °C est relativement toxique, une exposition de sept heures2 à la vapeur seule n’a pas eu d’effets, pour l’essentiel. | ||
| Siloxane (trifluoropropylméthyl), tétramère cyclique | AR | Faible | Faible | 100 | 7,0 | Pas de réponse pour l’essentiel, aucune formation de brouillard |
| Siloxane (trifluoropropylméthyl), pentamère cyclique | DL50 = 2 000 mg/kg p.c., aucun autre effet | Faible | Faible | 100 | 7,0 | Pas de réponse pour l’essentiel, aucune formation de brouillard |
[2] Le numéro de code accordé à cette substance par Dow Corning diffère de celui de la substance se trouvant dans la rangée ci-dessous.
[3] Les résultats cités sont fondés sur la meilleure interprétation lorsque la réimpression du document original était difficile à lire.
Notes de bas de page
[2] cSt : centistokes; unité de mesure de la viscosité cinématique d’un polymère. La viscosité d’un polymère peut habituellement être trouvée dans des publications scientifiques; elle est employée pour caractériser la taille des polymères et leur masse moléculaire.
Cette page Web a été archivée dans le Web
L'information dont il est indiqué qu'elle est archivée est fournie à des fins de référence, de recherche ou de tenue de documents. Elle n'est pas assujettie aux normes Web du gouvernement du Canada et elle n'a pas été modifiée ou mise à jour depuis son archivage. Pour obtenir cette information dans un autre format, veuillez communiquer avec nous.
Archivée
les 3,3,3-trifluoropropyl(méthyl) et méthyl(vinyl)siloxanes et silicones, terminés par un groupe hydroxyle
Numéro de registre du Chemical Abstracts Service
68952-02-3
Environnement Canada
Santé Canada
Septembre 2011
Table des matières
- Sommaire
- Introduction
- Identité de la substance
- Propriétés physiques et chimiques
- Sources
- Utilisations
- Rejets dans l'environnement
- Devenir dans l'environnement
- Persistance et potentiel de bioaccumulation
- Potentiel d'effets nocifs sur l'environnement
- Potentiel d'effets nocifs sur la santé humaine
- Conclusion
- Références
- Annexe I : Rapport entre la viscosité, le degré de polymérisation et la masse moléculaire du PDMS
- Annexe II : Table de résumé des intrants des modèles de la persistance, de la bioaccumulation et de la toxicité (PBT)
- Annexe III : Information disponible sur la toxicité aiguë des siloxanes fluorés pour les mammifères
Conformément à l’article 74 de la Loi canadienne sur la protection de l’environnement (1999) [LCPE (1999)], les ministres de l’Environnement et de la Santé ont effectué une évaluation préalable sur les 3,3,3-trifluoropropyl(méthyl) et méthyl(vinyl)siloxanes et silicones, terminés par un groupe hydroxyle (MVTFS), dont le numéro de registre du Chemical Abstracts Service est 68952-02-3. Une priorité élevée a été accordée à l’évaluation préalable de cette substance inscrite au Défi ministériel, car elle répondait aux critères de la catégorisation écologique relatifs à la persistance, au potentiel de bioaccumulation et à la toxicité intrinsèque pour les organismes non humains et on croit qu’elle est commercialisée au Canada.
L’évaluation des risques que présente le MVTFS pour la santé humaine n’a pas été jugée hautement prioritaire à la lumière des résultats fournis par les outils simples de détermination du risque d’exposition et du risque pour la santé élaborés aux fins de la catégorisation des substances de la Liste intérieure des substances. Par conséquent, la présente évaluation est axée sur les renseignements utiles à l’évaluation des risques pour l’environnement.
À l’origine, cette substance a été classée dans la catégorie des UVCB organiques (substances de composition inconnue ou variable, produits de réactions complexes ou matières biologiques) au cours de la catégorisation de la Liste intérieure des substances (LIS). D’après les nouveaux renseignements reçus, la substance est considérée comme un polymère de siloxane organique.
La substance est utilisée au Canada principalement pour la fabrication d’adhésifs et de caoutchouc synthétique. Elle n’est pas produite naturellement dans l’environnement. Elle ne serait pas non plus fabriquée au Canada, cependant, on a importé entre 10 000 et 100 000 kg du polymère dans le pays en 2006.
D’après certaines hypothèses et les profils d’utilisation déclarés au Canada, la plus grande partie de cette substance devrait aboutir dans les sites d’enfouissement. On estime qu’une petite fraction est rejetée dans les eaux usées et, dans une moindre mesure, dans l’air et le sol, pendant la phase d’utilisation industrielle.
Selon les données disponibles, il est déterminé que la forme du MVTFS commercialisée au Canada satisfait aux critères des polymères à exigences réglementaires réduites précisés dans le Règlement sur les renseignements concernant les substances nouvelles (substances chimiques et polymères). Le MVTFS devrait être non volatil et insoluble dans l’eau, avec une masse volumique plus élevée que celle de l’eau. La substance devrait montrer une résistance à la chaleur, à certains liquides et à aux attaques chimiques, et elle devrait présenter une faible température de transition vitreuse. Le polymère devrait exister dans un état caoutchouteux à des températures ambiantes et demeurer fonctionnel sur une vaste plage de températures.
D’après les données déduites à partir d’analogues de ses propriétés physiques et chimiques, le MVTFS devrait être persistant dans l’environnement. Si l’on considère l’information déterminée récemment à propos de la bioaccumulation d’un polymère analogue, et compte tenu du poids moléculaire élevé du MVTFS, le polymère ne sera probablement pas biodisponible pour les organismes environnementaux et son potentiel de bioaccumulation ne devrait pas être significatif. Par conséquent, il est conclu que la substance répond aux critères de la persistance, mais pas à ceux de la bioaccumulation, énoncés dans le Règlement sur la persistance et la bioaccumulation. En outre, les données expérimentales de toxicité relevées récemment pour un polymère analogue et les prévisions modélisées sur les produits de l’hydrolyse indiquent que le polymère présente un danger faible pour les organismes dans l’environnement.
Aux fins de la présente évaluation préalable, un scénario d’exposition prudent a été élaboré; d’après celui-ci, une activité industrielle (utilisant le polymère) rejette du MVTFS dans le milieu aquatique. La concentration environnementale estimée (CEE) du polymère dans l’eau pour les organismes aquatiques était sensiblement inférieure à la concentration estimée sans effet (CESE). Par conséquent, d’après les renseignements contenus dans le présent rapport d’évaluation préalable, il est conclu que le MVTFS ne pénètre pas dans l’environnement en une quantité, à une concentration ou dans des conditions qui ont ou peuvent avoir un effet nocif immédiat ou à long terme sur l’environnement ou sa diversité biologique, ou qui constituent ou peuvent constituer un danger pour l’environnement essentiel pour la vie.
Aucune donnée empirique relative aux effets sur la santé n’a été relevée pour le MVTFS. D’après les données limitées relatives aux effets sur la santé de fluorosilicones ayant des structures similaires, on considère que le MVTFS ne présente pas un potentiel de risque élevé.
On s’attend à ce qu’une exposition négligeable pour l’ensemble de la population au MVTFS présent dans les milieux naturels (air, eau potable et sol) ou par les aliments et les boissons. On ne prévoit aucune exposition de l’ensemble de la population à partir de l’utilisation de produits de consommation contenant du MVTFS. Par conséquent, on considère que le risque pour la santé humaine découlant de l’exposition au MVTFS au Canada est faible. Il est donc conclu que le MVTFS ne pénètre pas dans l’environnement en une quantité, à une concentration ou dans des conditions de nature à constituer un danger au Canada pour la vie ou la santé humaines.
D’après les renseignements disponibles, il est proposé de conclure que la forme à exigences réglementaires réduites du MVTFS ne satisfait à aucun des critères de l’article 64 de laLoi canadienne sur la protection de l’environnement (1999).
En raison de la complexité associée à la formulation du polymère et des propriétés potentiellement dangereuses associées aux polymères ayant un faible poids moléculaire, on craint que les utilisations nouvelles du MVTFS qui ne sont ni décelées ni évaluées en vertu de la LCPE (1999) fassent en sorte que les substances répondent aux critères de l’article 64 de la Loi. Dès lors, on recommande la modification de la Liste intérieure des substances (LIS) pour indiquer que le MVTFS répond aux critères des polymères à exigences réglementaires réduites. Si d’autres formes du MVTFS ne répondant pas aux exigences réglementaires réduites sont introduites sur le marché canadien, ces formes seront soumises aux exigences du Règlement sur les renseignements concernant les substances nouvelles.
La Loi canadienne sur la protection de l’environnement (1999) [LCPE (1999)] (Canada, 1999) exige que les ministres de l’Environnement et de la Santé procèdent à une évaluation préalable des substances qui répondent aux critères de catégorisation énoncés dans la Loi afin de déterminer si elles présentent ou sont susceptibles de présenter un risque pour l’environnement ou la santé humaine.
Selon l’information obtenue dans le cadre de la catégorisation, les ministres ont jugé qu’une attention hautement prioritaire devait être accordée à un certain nombre de substances, à savoir :
- répondent à tous les critères environnementaux de catégorisation, notamment la persistance (P), le potentiel de bioaccumulation (B) et la toxicité intrinsèque pour les organismes aquatiques (Ti), et que l’on pense être commercialisées au Canada et/ou
- celles qui répondent aux critères de catégorisation pour le plus fort risque d’exposition (PFRE) ou qui présentent un risque d’exposition intermédiaire (REI) et qui ont été jugées particulièrement dangereuses pour la santé humaine, compte tenu des classifications qui ont été établies par d’autres organismes nationaux ou internationaux concernant leur cancérogénicité, leur génotoxicité ou leur toxicité pour le développement ou la reproduction.
Le 9 décembre 2006, les ministres ont donc publié un avis d’intention dans la Partie I de la Gazette du Canada(Canada, 2006) dans lequel ils priaient l’industrie et les autres intervenants de fournir, selon un calendrier déterminé, des renseignements précis qui pourraient servir à étayer l’évaluation des risques, ainsi qu’à élaborer et à évaluer les meilleures pratiques de gestion des risques et de bonne gestion des produits pour ces substances jugées hautement prioritaires.
On a décidé d’accorder une priorité élevée à l’évaluation des risques pour l’environnement des 3,3,3-trifluoropropyl(méthyl) et méthyl(vinyl)siloxanes et silicones, terminés par un groupe hydroxyle (MVTFS) au cours de la catégorisation visant la Liste intérieure des substances (LIS). D’après les prévisions modélisées, cette substance a été jugée persistante, bioaccumulable et intrinsèquement toxique pour les organismes aquatiques et il semble qu’elle soit commercialisée au Canada. Le volet du Défi portant sur cette substance a été publié dans la Gazette du Canada le 26 septembre 2009 (Canada, 2009). En même temps a été publié le profil de cette substance, qui présentait l’information technique (obtenue avant décembre 2005) sur laquelle a reposé sa catégorisation. Des renseignements sur les propriétés et les utilisations de cette substance ont été reçus en réponse au Défi.
Même si l’évaluation des risques que présente le MVTFS pour l’environnement est jugée hautement prioritaire, cette substance ne répond pas aux critères de catégorisation pour le PFRE ou le REI ni aux critères définissant un grave risque pour la santé humaine, compte tenu du classement attribué par d’autres organismes nationaux ou internationaux quant à sa cancérogénicité, à sa génotoxicité ou à sa toxicité sur le plan du développement ou de la reproduction.
Les évaluations préalables effectuées aux termes de la LCPE (1999) mettent l’accent sur les renseignements jugés essentiels pour déterminer si une substance répond aux critères définis à l’article 64 de la Loi. Les évaluations préalables visent à examiner des renseignements scientifiques et à tirer des conclusions fondées sur la méthode du poids de la preuve et le principe de prudence[1].
La présente évaluation préalable prend en considération les renseignements sur les propriétés chimiques, les dangers, les utilisations de la substance en question et l’exposition à celle-ci, y compris l’information supplémentaire fournie dans le cadre du Défi. Les données pertinentes pour l’évaluation préalable de cette substance sont tirées de publications originales, de rapports de synthèse et d’évaluation, de rapports de recherche de parties intéressées et d’autres documents consultés au cours de recherches documentaires menées récemment, jusqu’en mai 2010 dans le cas des sections du document portant sur la santé humaine, et jusqu’en décembre 2010 dans le cas des sections portant sur les aspects écologiques. Les études les plus importantes ont fait l’objet d’une évaluation critique. Il est possible que les résultats de modélisation aient servi à formuler des conclusions.
Lorsqu’ils étaient disponibles et pertinents, les renseignements contenus dans les évaluations des dangers effectués par d’autres instances ont été utilisés. La présente évaluation préalable ne constitue pas un examen exhaustif ou critique de toutes les données disponibles. Il s’agit plutôt d’un sommaire des renseignements essentiels qui appuient la conclusion proposée.
La présente évaluation préalable a été préparée par le personnel du Programme des substances existantes de Santé Canada et d’Environnement Canada et elle intègre les résultats d’autres programmes exécutés par ces ministères. La section écologique de la présente évaluation a fait l’objet d’une étude consignée par des pairs ou d’une consultation de ces derniers. De plus, l’ébauche de la présente évaluation préalable a fait l’objet d’une période de commentaires de 60 jours par le public. Bien que les commentaires venus de l’extérieur aient été pris en considération, Santé Canada et Environnement Canada sont seuls responsables du contenu final et des résultats de l’évaluation préalable. Les approches suivies lors des évaluations préalables dans le cadre du Défi ont été examinées par un groupe indépendant, soit le Groupe consultatif du Défi.
Les principales données et considérations sur lesquelles repose l’évaluation préalable sont résumées ci-après.
Aux fins du présent document, la substance dont il est question ici, les 3,3,3-trifluoropropyl(méthyl) et méthyl(vinyl)siloxanes et silicones, terminés par un groupe hydroxyle, est désignée par le sigle « MVTFS », qui provient du nom commun utilisé dans la LIS.
Le MVTFS a initialement été classé dans le cadre de la catégorisation visant la LIS comme un UVCB organique. Selon de nouveaux renseignements obtenus, la substance se caractérise par 1) la présence d’unités monomères de méthyl-trifluoropropyl-siloxy et de méthyl-vinyl-siloxy, et 2) la présence de deux groupes méthyles et d’un groupe hydroxyle qui sont fixés à l’atome de silicium et qui agissent comme les groupes terminaux du polymère (Environnement Canada, 2010a).
D’après les résultats de la chromatographie à perméation de gel (CPG), le MVTFS a une masse moléculaire moyenne en nombre (Mn) d’environ 358 000 g/mol (Environnement Canada, 2010a). Des polymères considérablement plus petits, de masse moléculaire d’environ 30 000 g/mol à peine, ont été décelés dans le produit polymérique, mais en très faibles concentrations seulement (< 1 % en poids). Les différences dans les masses moléculaires sont principalement dues aux différences dans le nombre d’unités. Par conséquent, le MVTFS respecte la définition d’un polymère (OCDE, 1994), résumée ci-dessous :
- molécules caractérisées par une séquence d’un ou de plusieurs types d’unités monomères;
- une simple majorité pondérale de molécules contenant au moins trois unités monomères liées par covalence à au moins une autre unité monomère ou à une autre substance réactive; une quantité inférieure à une simple majorité pondérale de molécules présentant la même masse moléculaire;
- molécules distribuées à l’intérieur d’un intervalle de masses moléculaires et dont la différence de masses moléculaires est attribuée essentiellement à des différences dans le nombre d’unités monomères.
L’identité du MVTFS est présentée dans le tableau 1 ci-dessous.
Tableau 1. Identité de la substance - MVTFS
| Numéro de registre du Chemical Abstracts Service (no CAS) | 68952-02-3 |
| Nom dans la LIS | 3,3,3-trifluoropropyl(méthyl) et méthyl(vinyl)siloxanes et silicones, terminés par un groupe hydroxyle |
| Noms relevés dans les National Chemical Inventories (NCI)[1] | Siloxanes and Silicones, Me 3,3,3-trifluoropropyl, Me vinyl, hydroxy-terminated (TSCA, LIS, REACH, ECL, PICCS, ASIA-PAC, NZIoC); Siloxanes and silicones, methyl 3,3,3-trifluoropropyl, methyl vinyl, hydroxy terminated (AICS) |
| Autres noms | Non disponible |
| Groupe chimique (groupe de la LIS) | Polymère |
| Principale classe chimique ou utilisation | Organosiliciums |
| Principale sous-classe chimique | Siloxanes |
| Formule chimique | Non disponible |
| Structure chimique représentative utilisée dans le modèle d’estimation[2] | ![]() |
| SMILES[3] | Non disponible |
| Masse moléculaire | Masse moléculaire moyenne en nombre : 358 000 g/mol (n = ~ 2 200, m = ~ 20) Plus faible masse moléculaire : 30 000 g/mol |
[2] Cette substance est un polymère organique défini, c’est-à-dire qu’elle n’est pas un composé chimique défini; elle peut donc être caractérisée par une structure représentative.
[3] Simplified Molecular Input Line Entry System.
Il convient de noter que le polymère pourrait contenir une petite fraction d’impuretés, c’est-à-dire des monomères ou des sous-produits résiduels qui ont une masse moléculaire beaucoup plus faible. La quantité et le type d’impuretés varient en fonction d’une série de facteurs, notamment les différents procédés de fabrication et d’exploitation, les conditions de réaction ainsi que l’utilisation de catalyseurs et de promoteurs. D’après les résultats de l’analyse par CPG, le plus petit polymère possède une masse moléculaire de 30 000 g/mol, ce qui indique que le MVTFS commercialisé au Canada ne renferme pas les impuretés de faible masse moléculaire (Environnement Canada, 2010a). Pour cette raison, ces impuretés ne sont pas prises en compte dans la présente évaluation.
Il existe très peu de données expérimentales faisant état des propriétés physiques et chimiques du MVTFS.
D’après certaines données fournies, le MVTFS commercialisé au Canada a une masse moléculaire moyenne élevée en nombre d’environ 358 000 g/mol (ce qui équivaut à environ 2 200 unités récurrentes de méthyl-trifluoropropyl-siloxy et environ 20 de méthyl-vinyl-siloxy, d’après la masse moléculaire des unités monomères et de la dominance de méthyl-trifluoropropyl-siloxy dans le polymère) (Environnement Canada, 2010a). La composante ayant la plus faible masse moléculaire fait approximativement 30 000 g/mol.
En ce qui concerne les groupements fonctionnels des unités récurrentes, on peut s’attendre à ce que le groupement trifluoropropyle soit fortement lié à l’atome de silicium, dans le squelette du polymère, et il est peu probable que l’unité récurrente perde ce groupement fonctionnel (voir les détails à ce sujet dans la section portant sur la persistance dans l’environnement). Le groupement vinyle de l’unité récurrente est, dans une certaine mesure, réactif, mais il n’est présent que dans moins de 1 % des unités récurrentes au total. Compte tenu de ce qui précède, le polymère répond aux critères définissant les polymères à exigences réglementaires réduites tels que définis dans le Règlement sur les renseignements concernant les substances nouvelles (substances chimiques et polymères).
Comme sa masse moléculaire dépasse largement la limite acceptable pour les modèles de relations quantitatives structure-activité (RQSA), on considère que le polymère ne fait pas partie du domaine d’applicabilité et qu’on ne peut utiliser aucun modèle de RQSA pour évaluer la substance. Par conséquent, on a utilisé l’information relative à deux polymères de siloxane analogues, le polyméthyltrifluoropropylsiloxane (PMTFPS) et le polydiméthylsiloxane (PDMS) pour combler les lacunes de connaissance et les données déduites à partir d’analogues ont été prises en considération au moment de l’évaluation du MVTFS.
Un analogue est un produit chimique dont la structure est proche de celle de la substance évaluée; il devrait donc présenter des similitudes en matière de propriétés physiques et chimiques, de comportement et de devenir dans l’environnement, ainsi que de toxicité. Lorsque ce sont des données expérimentales pour un paramètre donné d’une substance analogue, celles-ci peuvent être directement utilisées ou avec un ajustement, comme estimation de cette valeur de paramètre pour la substance en cours d’évaluation.
Les structures représentatives du PMTFPS et du PDMS sont présentées dans le tableau 2 ci-après.
Tableau 2. Propriétés physiques et chimiques du MVTFS, du PMTFPS et du PDMS
| Produit chimique | MVTFS | PMTFPS | PDMS |
|---|---|---|---|
| Structure chimique représentative | ![]() |
![]() |
![]() |
| Masse moléculaire moyenne en nombre (g/mol) | 358 000 | Non disponible | Non disponible |
| Plus faible masse moléculaire (g/mol) | 30 000 | Non disponible | Non disponible |
| État physique aux températures enregistrées dans l’environnement | Caoutchouc (analogie) |
Caoutchouc | Liquide |
| Masse volumique (kg/m3) | 1,350 à 1650 (analogie) |
1,350 à 1,650 (expérimental) |
960 (expérimental) |
| Température de transition vitreuse (oC) | Faible (analogie) |
-75 (expérimental) |
Non disponible |
En général, bien que le PMTFPS soit un analogue structurel plus proche que le PDMS, il y a plus de données relatives sur le deuxième analogue. Tel qu’il est mentionné ci-après, le PDMS a une masse moléculaire considérablement moins élevée que celle du MVTFS et demeure à l’état liquide aux températures enregistrées dans l’environnement; par conséquent, il sera probablement plus biodisponible que le MVTFS, et il constitue un choix d’analogue prudent et utile pour la caractérisation des risques.
MVTFS par rapport au PMTFPS
Le MVTFS et le PMTFPS contiennent tous deux l’unité monomère de méthyl-trifluoropropyl-siloxy dans les molécules polymériques. Le MVTFS contient aussi une petite fraction (< 1 %) de l’unité monomère de méthyl-vinyl-siloxy dans la chaîne principale, et deux substituants méthyles et hydroxyles dans les groupes terminaux, tandis que le PMTFPS a trois substituants méthyles dans les groupes terminaux. En raison de l’importante masse moléculaire, les substituants vinyles et hydroxyles dans le MVTFS ne devraient pas sensiblement toucher les propriétés physiques et chimiques, c’est-à-dire la pression de vapeur, l’hydrosolubilité, le coefficient de partage octanol-eau, ou la toxicité. Les substituants vinyles et hydroxyles sont présents pour permettre la réticulation avec d’autres molécules, la production de molécules plus grosses et moins actives, qui rend à son tour le MVTFS moins biodisponible et moins potentiellement bioaccumulable.
À la différence d’une substance non polymère définie, qui peut passer d’un état solide à un état liquide à son point de fusion, les polymères de siloxane de masse moléculaire élevée se caractérisent habituellement par leur température de transition vitreuse, la température à laquelle le comportement mécanique du polymère change, par lequel il passe de rigide et cassant à dur et coriace. Les polymères de fluorosiloxane sont destinés à demeurer fonctionnels dans une vaste plage de températures (de -60 à 200 °C). Par exemple, le PMTFPS a une température de transition vitreuse à -75 °C et demeure à l’état caoutchouteux à température ambiante. Le polymère PMTFPS a une masse moléculaire de 1 350 à 1 650 kg/m3 (Drobny, 2001).
La plupart des polymères de siloxane ayant une masse moléculaire élevée (plus de 1 000 g/mol) sont non volatils (la pression de vapeur étant inférieure à 10-8 mm Hg) et démontrent une faible hydrosolubilité (USEPA, 2008). De plus, les substituants organiques fluorés liés au silicium devraient transmettre des propriétés uniques à ce groupe de polymères précis. Le PMTFPS, par exemple, résiste aux attaques des carburants et des huiles et est insoluble dans les solvants communs tels que le chloroforme, le toluène ou l’hexane (Kobayashi et Nishiumi, 1993; Cai et Weber, 2004). Cependant, on a mentionné que le polymère était soluble dans les solvants polaires tels que les cétones et les esters (Pagliani et al., 2008; Becerraet al., 1992).
D’après l’information sur le PMTFPS, le MVTFS devrait être résistant à la chaleur et avoir une faible température de transition vitreuse. Le polymère devrait être non volatil et être plus dense que l’eau. Il demeurerait à l’état caoutchouteux à des températures ambiantes. La substance devrait être insoluble dans l’eau et dans la plupart des solvants organiques communs.
MVTFS par rapport au PDMS
Il convient de noter qu’il y a plus de différences dans les structures chimiques du MVTFS et du PDMS qu’entre celles du MVTFS et du PMTFPS. Dans l’unité monomère et le groupe terminal, le PDMS ne contient qu’un substituant de méthyle lié aux atomes de silicium dans la chaîne principale ou le groupe terminal. Toutefois, pour le MVTFS, il y a différents groupes fonctionnels dans les deux unités monomères et le groupe terminal.
Pour les groupes fonctionnels de trifluoropropyle et de vinyle dans les monomères, les liaisons covalentes reliant les chaînes latérales (trifluoropropyle et vinyle) aux atomes de silicium dans la chaîne principale devraient être très fortes (Drobny, 2001). Des preuves expérimentales indiquent que le MVTFS peut subir le même mécanisme de dégradation que le PDMS, dans lequel la dégradation est due essentiellement à la rupture de la chaîne principale -Si-O-Si-, au lieu des unités monomères (Barrèreet al., 2001; Veith et Cohen, 1989). Le groupement hydroxyle de l’unité terminale pourrait accroître la solubilité du polymère; toutefois, vu la masse moléculaire élevée et l’état physique du MVTFS, cet effet devrait être mineur. Par conséquent, il est approprié d’utiliser le PDMS pour prévoir la persistance du MVTFS dans l’environnement.
Pour les polymères de siloxane, il existe un lien entre la viscosité et la masse moléculaire moyenne (Fendinger et al., 1997). La viscosité est une mesure de la résistance d’un liquide à l’écoulement lorsqu’une force est appliquée sur celui-ci. La viscosité d’un polymère augmente généralement avec la longueur de sa chaîne (Fendinger et al., 1997; Wacker, 1992) et la mesure de la viscosité, en centistokes (cSt[2]), peut être utilisée pour caractériser la masse moléculaire moyenne d’une macromolécule (voir l’annexe I). Lorsqu’un polymère de silicone a une masse moléculaire moyenne d’environ 358 000 g/mol ou plus, on prévoit qu’il va posséder une viscosité élevée, une faible pression de vapeur et une faible hydrosolubilité, et qu’il va exister à l’état caoutchouteux à des températures ambiantes.
Le PDMS, comme on l’appelle dans la présente évaluation, a une masse moléculaire moyenne allant jusqu’à 10 000 g/mol (soit l’équivalent d’une viscosité d’environ 12 500 cSt), un chiffre bien inférieur à la plus faible masse moléculaire du MVTFS (30 000 g/mol). Dans des conditions ambiantes, le PDMS reste liquide, tandis que le MVTFS est presque entièrement immobile sous la force de la gravité. On peut supposer que s’il est rejeté dans l’environnement, le PDMS sera plus biodisponible pour les organismes dans l’eau, le sol et les sédiments. Par conséquent, on a considéré que l’utilisation de données sur l’analogue PDMS pour évaluer le potentiel de bioaccumulation maximal et les effets écologiques du MVTFS était une démarche valable et prudente.
Comme il n’existe aucune donnée de toxicité pour le MVTFS et le PMTFPS et que les modèles RQSA ne sont pas applicables aux composés ayant une masse moléculaire élevée, les données de toxicité sur le PDMS sont utilisées pour évaluer les effets écologiques du MVTFS. L’évaluation tient également compte du potentiel de toxicité avec les produits de dégradation (surtout le groupe de trifluoropropyle). Les groupes terminaux vinyles et hydroxyles sont des groupes fonctionnels qui peuvent participer à la réticulation et on prévoit qu’ils ne montreront pas des effets toxiques significatifs.
Le MVTFS n’est pas produit naturellement dans l’environnement.
Des enquêtes menées en 2005 et 2006 par le truchement d’avis publiés dans la Gazette du Canada conformément à l’article 71 de la LCPE (1999) ont permis de recueillir des renseignements (Canada, 2006). Ces avis visaient à recueillir des données sur la fabrication et l’importation de MVTFS au Canada. Dans l’avis de 2006, on demandait également de fournir des données sur la quantité utilisée de cette substance.
Au Canada, aucune activité de fabrication de MVTFS n’a été déclarée en 2005 ou en 2006. En 2005, moins de quatre entreprises ont importé plus de 100 000 kg de MVTFS au Canada, tandis qu’en 2006, moins de quatre entreprises ont importé entre 10 000 et 100 000 kg du polymère. Au total, moins de quatre entreprises ont manifesté un intérêt pour cette substance en remplissant le formulaire Déclaration des parties intéressées dans le cadre de l’enquête de 2006 menée en application de l’article 71.
La quantité fabriquée, importée ou commercialisée au Canada au cours de l’année civile 1986 et déclarée pour la Liste intérieure des substances (LIS) se situe entre 200 000 et 2 000 000 kg.
Ailleurs, on a déclaré l’utilisation de MVTFS au Danemark en 2001 et en Suède en 2008; néanmoins, la quantité utilisée est confidentielle (SPIN, 2006).
Les avis publiés en application de l’article 71 de la LCPE (1999) ont permis de fournir des renseignements sur les utilisations de cette substance au cours des années civiles 2005 et 2006 (Canada, 2006 et 2009).
En 2005, du MVTFS a été employé dans la fabrication de produits et de préparations chimiques, notamment dans la fabrication de caoutchouc et de produits aérospatiaux.
En 2006, on a utilisé du MVTFS dans la fabrication de produits en caoutchouc et d’autres produits chimiques. La substance a aussi été utilisée dans le moulage et le coulage de wagons fermés ainsi que dans la préparation d’adhésifs et d’agents d’étanchéité.
Le MVTFS n’est pas un ingrédient utilisé dans des produits cosmétiques au Canada (SDC, 2010) et il ne figure pas sur la Liste critique des ingrédients dont l’utilisation est restreinte ou interdite dans les cosmétiques (Santé Canada, 2009). Actuellement au Canada, le MVTFS n’est pas utilisé comme principe actif, ni comme produit de formulation, dans les pesticides homologués pour une utilisation (PMRA, 2007). La substance n’est pas répertoriée comme additif alimentaire au titre 16 du Règlement sur les aliments et drogues(Canada, 1978). Elle n’est pas utilisée dans les emballages alimentaires ni comme additif indirect (courriel de la Direction des aliments de Santé Canada adressé au Bureau de gestion du risque de Santé Canada en avril 2010; source non citée). De plus, elle n’est inscrite ni dans la Base de données sur les produits pharmaceutiques (BDPP), ni dans la base de données sur les ingrédients non médicinaux interne de la Direction des produits thérapeutiques, ni dans la Base de données sur les ingrédients des produits de santé naturels (BDIPSN), ni dans la Base de données des produits de santé naturels homologués (BDPSNH) en tant qu’ingrédient médicinal ou non médicinal dans les produits pharmaceutiques finaux, les produits de santé naturels ou les médicaments vétérinaires (BDPP, 2010; BDIPSN, 2010; BDPSNH, 2010; courriel de la Direction des produits thérapeutiques de Santé Canada adressé au Bureau de gestion du risque de Santé Canada en avril 2010, source non citée).
Les codes d’utilisation suivants de la LIS ont été indiqués pour le MVTFS au cours de la période d’inscription sur la LIS (1984-1986) :
02 – Absorbant/adsorbant
36 – Polymère – composant d’une formulation
37 – Polymère, agent de réticulation
92 – Produits en caoutchouc.
On n’a pas obtenu de données récentes sur l’utilisation de cette substance, autres que celles qui sont présentées ci-dessus.
Environnement Canada a développé une méthode pour estimer les pertes d’une substance pendant différentes étapes de son cycle de vie, y compris son devenir après qu’elle a été incorporée à un produit ou un article fini (Environnement Canada, 2008). Cette méthode comprend une analyse du cycle de vie et un tableur (outil de débit massique) qui intègrent les renseignements sur la fabrication, l’importation et l’utilisation des données sur la substance. En commençant par une masse définie de la substance, chaque étape du cycle de vie est par la suite évaluée jusqu’à ce que toute la masse ait été comptabilisée. Les facteurs pertinents sont étudiés, les incertitudes sont déterminées et des hypothèses peuvent être faites pendant chaque étape, selon les renseignements disponibles. Les pertes estimées représentent le bilan massique complet de la substance au cours de son cycle de vie et elles comprennent les rejets dans les eaux usées et dans d’autres milieux récepteurs (sol, air), la transformation chimique, le transfert vers les activités de recyclage et le transfert vers les sites d’élimination des déchets (sites d’enfouissement, incinération). Toutefois, à moins de disposer de données précises sur le taux ou le potentiel de rejet de cette substance provenant des sites d’enfouissement et des incinérateurs, la méthode ne permet pas de quantifier les rejets dans l’environnement à partir de ces sources. En fin de compte, les pertes estimées fournissent le premier volet de l’analyse de l’exposition à une substance et aident à estimer les rejets dans l’environnement et à mettre l’accent sur la caractérisation de l’exposition dans l’évaluation.
En général, les rejets d’une substance dans l’environnement peuvent découler de différentes pertes de la substance lors de sa fabrication, de son utilisation industrielle, de son utilisation commerciale et de son utilisation par les consommateurs. Ces pertes peuvent être regroupées en sept types : 1) déversements dans les eaux usées; 2) émissions atmosphériques; 3) pertes dans le sol; 4) transformation chimique; 5) élimination sur les sites d’enfouissement; 6) perte par incinération; 7) élimination par recyclage (p. ex. le recyclage est jugé comme une perte et n’est plus pris davantage en compte). Ces pertes sont estimées à partir de données d’enquêtes réglementaires, de données de l’industrie et de données publiées par différents organismes. Les rejets dans les eaux usées font référence aux eaux usées brutes avant tout traitement par des systèmes d'assainissement publics ou privés. De la même manière, les pertes par transformation chimique font référence aux modifications de l’identité de la substance qui peuvent avoir lieu au cours des étapes de fabrication, d’utilisation industrielle ou d’utilisation commerciale ou par les consommateurs, mais elles excluent celles qui ont lieu pendant les opérations de gestion des déchets telles que l’incinération et le traitement des eaux usées. La perte dans le sol inclut le transfert accidentel ou les rejets dans le sol ou les surfaces pavées ou non pavées pendant l’utilisation de la substance et sa durée de vie utile (p. ex. à partir de l’utilisation de machinerie agricole ou d’automobiles). La perte dans le sol n’inclut toutefois pas les autres transferts vers l’utilisation de la substance et sa durée de vie utile (p. ex., application sur le sol des biosolides et dépôts atmosphériques).
Les pertes estimées pour le MVTFS au cours de son cycle de vie (fondées sur des hypothèses prudentes) sont présentées au tableau 3 (Environnement Canada, 2010b). Les pertes estimées de la substance sont calculées sur la base des utilisations recensées en 2006.
Tableau 3. Estimation des pertes de MVTFS pendant son cycle de vie
| Type de perte | Proportion (%) | Étapes pertinentes du cycle de vie |
|---|---|---|
| Eaux usées | 1,3 | Utilisation à des fins industrielles |
| Émissions atmosphériques | 0,2 | Utilisation à des fins industrielles |
| Sol | < 0,1 | Utilisation à des fins industrielles |
| Transformation chimique | - | - |
| Sites d’enfouissement | 95,5 | Utilisation industrielle, utilisation commerciale et par les consommateurs |
| Incinération | 3,0 | Utilisation industrielle, utilisation commerciale et par les consommateurs |
| Recyclage | - | - |
Les pertes estimées pour le MVTFS indiquent que la substance présente un potentiel de rejets dans l’environnement. Les pertes par les sites d’enfouissement et l’incinération représentent à peu près 98,5 % de la substance. De plus, les pertes dans les eaux usées peuvent se produire avec des pertes ultérieures potentielles dans les sols si des biosolides sont épandus sur les terres. D’après sa masse moléculaire élevée, les pertes par émission atmosphérique devraient être mineures pour ce polymère.
Lorsqu’une substance est transférée accidentellement vers les terres, elle peut pénétrer dans les égouts ou être entraînée par la pluie dans les secteurs environnants. Or, on n’a trouvé aucune activité de recyclage pour le polymère. Finalement, le potentiel de lixiviation de la substance à partir du site d’enfouissement dans les eaux souterraines est improbable en raison de sa très faible hydrosolubilité.
Il n’existe aucune donnée environnementale ayant trait au devenir du MVTFS dans l’environnement. L’évaluation est donc fondée sur une estimation des propriétés physiques et chimiques des polymères analogues.
En raison de la masse moléculaire élevée du MVTFS (la masse moléculaire moyenne en nombre de 358 000 g/mol et la plus faible masse moléculaire de 30 000 g/mol) commercialisé au Canada, le polymère devrait avoir une pression de vapeur extrêmement faible; par conséquent, on prévoit qu’il ne se répartira pas dans l’air.
S’il est rejeté dans l’eau, le MVTFS devrait résider dans les matières solides en suspension et les sédiments en raison de sa très faible hydrosolubilité, de sa masse volumique, et de son existence à l’état caoutchouteux à des températures ambiantes. D’après l’importante masse moléculaire et l’état physique du polymère, la volatilisation à partir de la surface de l’eau devrait être un processus négligeable dans le devenir de cette substance. Même si le groupement vinyle des unités récurrentes est dans une certaine mesure réactif, moins de 1 % d’entre elles comportent un tel groupement, si bien que l’incidence de la présence de ce groupement sur le comportement dans l’environnement est négligeable. Ainsi, si l’eau est le milieu récepteur, le MVTFS devrait surtout se loger dans les sédiments; là, il devrait en partie réticuler et former des espèces chimiques stables non réactives.
S’il est rejeté dans le sol, le MVTFS devrait être dans une large mesure immobile vu sa masse moléculaire élevée et son insolubilité dans l’eau. D’après l’importante masse moléculaire et l’état physique du polymère, la volatilisation à partir de la surface de sol humides est probablement un processus négligeable dans le devenir de cette substance. Cette substance ne se volatilisera probablement pas à partir des surfaces de sol sèches. Par conséquent, si le MVTFS est rejeté dans le sol, il demeurera principalement dans ce milieu naturel.
Persistance dans l’environnement
On n’a relevé aucune donnée expérimentale sur la dégradation du MVTFS.
Étant donné qu’aucun modèle RQSA n’est applicable pour prévoir la persistance dans l’environnement du polymère de masse moléculaire élevée, on a utilisé une structure simplifiée (contenant trois unités de méthyl-trifluoropropyl-siloxy) dans un modèle RQSA (CATABOL, c2004-2008) pour estimer le potentiel de dégradation de l’unité monomère (libération du groupement trifluoropropyle par rupture de la liaison entre le substituant trifluoropropyle et l’atome de silicium de la chaîne principale).
D’après les estimations du modèle CATABOL (c2004-2008), l’acide trifluoroacétique et le silanol devraient être les produits intermédiaires de la dégradation de la structure simplifiée; toutefois, la probabilité de ladite dégradation est inférieure à 0,0001 (une valeur de 1,0 indiquant une probabilité de 100 %), ce qui indique que le rejet de trifluoropropyle issu de la biodégradation au sein de l’unité monomère est hautement improbable, même pour une molécule aussi petite.
Des études ont montré que le PMTFPS peut se décomposer en oligomères cycliques dans des conditions acides et basiques avec des réactions de « transfert moléculaire » (Barrère et al., Veith et Cohen, 1989). En laboratoire, le PMTFPS peut se dégrader et produire une variété de cyclo-trifluoropropyl-siloxanes avec des tailles de noyau allant de trois à vingt, lorsqu’il est traité des solvants (acétone et acétate d’éthyle, dans lesquels le PMTFPS est soluble) et un non-solvant (méthanol, dans lequel le PMTFPS est insoluble) (Kählig et al., 2009. Les conditions utilisées lors de ces essais devraient cependant être assez différentes de celles qu’on trouve généralement dans l’environnement. Toutefois, ces études ont confirmé indirectement que lorsque le PMTFPS se décompose pendant la dégradation, la réaction chimique privilégiée n’a pas lieu entre le groupe de trifluoropropyle et l’atome de silicium auquel il est attaché. Bien que les conditions expérimentales soient assez différentes des conditions ambiantes habituelles (pH, traitement chimique), ces résultats de laboratoire semblent indiquer que le PMTFPS et le MVTFS peuvent être plutôt dégradables. La biodégradation du PMTFPS et du MVTFS a lieu de manière semblable à la dégradation du PDMS dans l’environnement, où la molécule se rompt de façon aléatoire le long de la chaîne principale. (Fendinger et al., 1997). Par conséquent, l’information concernant le PDMS sera utilisée pour évaluer le potentiel de biodégradation du MVTFS dans l’environnement.
La dégradation et la biodégradation du PDMS dans l’environnement ont fait l’objet d’un examen intensif (Graiver et al., 2003; Fendinger et al., 1997; ECETOC, 1994).
Air
Le PDMS (sa masse moléculaire est de 450 g/mol) est non volatil et ne devrait pas se loger dans l’atmosphère ou y subir une dégradation ultérieure (Graiver et al., 2003; ECETOC, 1994). À partir d’une substructure du MVTFS comportant quatre unités récurrentes méthyl-trifluoropropylées et une unité méthylvinylique (Mm = 877 g/mol), AOPWIN (2008) (sous-modèle d’EPIsuite, 2008) prédit une demi-vie de 3,2 heures pour la réaction avec les radicaux hydroxyles et une demi-vie de 6,5 jours pour la réaction avec l’ozone.
Il est à noter que le MVTFS commercialisé au Canada possède une masse moléculaire considérablement plus élevée que celle du PDMS; par conséquent, la substance ne devrait pas se loger dans l’air.
Eau
Aucune donnée n’indique que les polymères de siloxane diffuseraient ou se dégraderaient rapidement dans le milieu aquatique (ECETOC, 1994). Il s’est avéré que le PDMS ne se dégradait pas ou ne se décomposait pas au cours du processus de traitement des eaux usées (Graiver et al., 2003). Sur la base de ces considérations (qui concernent le milieu aquatique), le MVTFS ne devrait pas se décomposer rapidement dans les eaux de surface non plus, et sa demi-vie devrait être supérieure à 182 jours.
Sol
Pour ce qui est de la dégradation dans le sol, plusieurs études rapportent que la dépolymérisation et l’hydrolyse rapide du PDMS dans le sol produisent la fragmentation du polymère en oligomères ayant une faible masse moléculaire.
Buch et Ingebrigtson (1979) ont rapporté une demi-vie d’environ 30 jours pour le PDMS (1 000 centistokes [cSt], équivalant à une masse moléculaire d’environ 15 000 g/mol), présent à une concentration de 6 000 mg/kg dans une terre végétale sèche de l’État de l’Iowa (cité dans Fendingeret al., 1997). La réaction était inhibée même avec un taux d’humidité de seulement 1 %. La même étude a indiqué également la perte importante du polymère (50 cSt) par dégradation au cours de l’essai de 53 jours.
On recense plusieurs études sur le comportement du PDMS dans le sol (résumées dans Graiver et al., 2003). Les résultats de ces études indiquent que ce polymère se dépolymérise rapidement par hydrolyse; ce phénomène brise les liaisons siloxanes et produit du PDMS oligomérique de masse moléculaire plus faible. Ladite dégradation hydrolytique catalysée par le sol s’est avérée aléatoire, c’est-à-dire qu’elle n’est pas propre à certaines liaisons en particulier et qu’elle ne commence pas par l’extrémité de la chaîne. De plus, l’hydrolyse catalysée par des minéraux argileux dans le sol ne se produit dans aucun autre milieu (l’air, l’eau ou les sédiments) de façon importante.
Lehmann et al. (1994a) et Carpenter et al. (1995) ont également étudié la dégradation polymérique dans des conditions pédologiques plus réalistes en analysant le produit de dégradation extrait avec du CaCl2 à 0,01 M ou du tétrahydrofurane. Les résultats ont indiqué que la dégradation du PDMS (204 cSt) a eu lieu dans le sol qui a séché progressivement et est passé de 12 à 3 % d’humidité, plus rapidement que la dégradation de la substance lorsqu’on a maintenu une humidité constante du sol (12 à 13 % d’humidité) dans des chambres d’incubation.
Dans une autre expérience, Lehmann et al. (1994b) ont étudié plus en profondeur 7 sols dont les propriétés étaient très différentes. Le PDMS (350 cSt) était ajouté à un sol humide qu’on laissait sécher pendant 2 semaines. Le PDMS s’est grandement dégradé au cours de cette période en produits ayant une masse moléculaire plus faible. Bien que la dégradation ait eu lieu lorsque le sol était encore humide, les taux de dégradation étaient supérieurs dans le sol le plus altéré. Toutefois, aucune corrélation n’a pu être établie entre le taux de dégradation du PDMS et les propriétés du sol mesurées (pH, % de matière organique et % d’argile) autres que le taux d’humidité.
Le taux de dépolymérisation par dégradation hydrolytique dans le sol est rapide, mais il dépend de plusieurs facteurs tels que le taux d’humidité et la température. Lehmann et al.(1995) ont rapporté que les taux globaux de dégradation du PDMS étaient plus lents dans un sol humide que dans un sol qui séchait graduellement pendant deux semaines, ce qui indique qu’une perpétuelle humidité pourrait constituer un facteur déterminant, mais que le taux d’humidité est inversement proportionnel au taux de dégradation (Lehmann et al., 1998b). De plus, les résultats de l’étude ont démontré que les températures élevées augmentaient le taux de dégradation au cours d’un cycle météorologique annuel.
Dans une autre étude (Xu, 1998), aucun PDMS n’a été décelé après 30 jours d’incubation dans la goethite et on a observé une dégradation plus rapide encore lorsque le polymère était incubé dans la montmorillonite. Quant aux répercussions de la teneur en eau, l’étude a indiqué un taux de dépolymérisation plus rapide à une humidité relative de 32 % qu’à une humidité relative de 100 %. Compte tenu des données de terrain pour différents types de sol obtenues dans l’étude, on s’attend à ce que la demi-vie de dépolymérisation du PDMS soit inférieure à trois semaines.
Les preuves recueillies dans le cadre d’études expérimentales sur le PDMS portent à croire que la substance devrait rapidement subir une hydrolyse catalysée par l’argile dans le sol avec une demi-vie de quelques semaines. Le MVTFS devrait se dégrader par le même mécanisme et toute rupture du polymère dans le sol devrait se produire sur la chaîne principale -Si-O-Si-, mais à un taux de dégradation différente. L’hydrolyse du MVTFS dans le sol peut produire des intermédiaires, c’est-à-dire des oligomères de longueur aléatoire, et elle rejetterait finalement du méthyl(3,3,3-trifluoropropyl)silanediol (no CAS 660-78-6) et du méthylvinylsilanediol (no CAS 3959-12-4) en tant que produits finaux de l’hydrolyse. Seules de très petites quantités de diméthylsilanediol (DMSD, no CAS 1066-42-8) pourraient être produites, car les précurseurs du DMSD dans le MVTFS représentent une minuscule proportion de la molécule. En raison de la masse moléculaire élevée du MVTFS et de son existence à l’état caoutchouteux à des températures ambiantes, on peut supposer que cette substance se dégradera plus lentement que le PDMS dans le sol vu sa plus faible biodisponibilité; par contre, la demi-vie ne devrait pas dépasser 182 jours.
Sédiments
On a également observé une dégradation du PDMS dans les sédiments; cependant, le taux de dégradation semble beaucoup plus lent que dans le sol, puisque la demi-vie est de plus d’un an (Environnement Canada, 2010a). Une expérience menée par Christensen (1994) étudiait le potentiel de dégradation du PDMS dans les sédiments d’eau douce. On a ajouté une concentration de 500 ppm de PDMS radiomarqué au carbone14 (350 cSt) à des colonnes de sédiments et d’eau, et pour prouver la dégradation, on a surveillé les matières hydrosolubles et les gaz dégagés. Après 56 jours, on n’a pas décelé de14CO2 ou de 14C hydrosoluble, ce qui indiquait qu’aucune dégradation n’avait eu lieu pendant la période d’essai.
Dans d’autres études d’incubation de plus longue durée, la dégradation du PDMS dans les sédiments était évidente également (Fendinger et al., 1997). À la suite d’une période d’incubation d’une année dans des conditions aérobies, 5 à 10 % du PDMS (350 cSt) a été hydrolysé en DMSD, et environ 0,25 % du 14C a été oxydé en dioxyde de carbone (Carpenter et al., 1995). Le taux et l’ampleur de la formation de DMSD ainsi que la production de dioxyde de carbone à partir des sédiments correspondent à peu de chose près aux taux observés par Lehmann et al. (1994a, 1994b) dans les sols humides (3 % pour le DMSD et 0,13 % pour le dioxyde de carbone en 6 mois). En raison de son adsorption élevée et de son immobilité dans les sédiments, de concert avec la teneur en eau du substrat, le PDSM devrait se dégrader très lentement dans les sédiments, et la demi-vie du polymère dans ce milieu devrait être supérieure à 365 jours. On peut extrapoler la prévision au polymère soumis à l’évaluation, de telle sorte que le MVTFS ne devrait pas se dégrader rapidement dans les sédiments non plus, et la demi-vie dans ce milieu naturel devrait aussi être supérieure à 365 jours.
De manière générale, on s’attend à ce que le MVTFS ait une solubilité dans l’eau et une pression de vapeur plus faibles que celles du PDMS. La différence de structure chimique est notée; cependant, les deux polymères devraient avoir un profil de décomposition semblable, c’est-à-dire que la dégradation se produit à un endroit aléatoire le long du squelette de -Si-O-Si-.
D’après les prévisions du modèle pour une substructure du PMTFPS, le MVTFS ne devrait pas être persistant dans l’air (demi-vie dans l’air ≤ 2 jours). D’après des données issues d’études expérimentales sur le PDMS, le MVTFS devrait se décomposer rapidement dans le sol (demi-vie dans le sol ≤ 182 jours). Cependant, comme la substance répond aux critères de persistance dans l’eau et les sédiments (demi-vie dans l’air ≥ 2 jours, demi-vie dans l’eau ≥ 182 jours et demi-vie dans les sédiments ≥ 365 jours) qui sont énoncés dans leRèglement sur la persistance et la bioaccumulation(Canada, 2000), on conclut donc à sa persistance dans l’environnement.
Potentiel de bioaccumulation
Il n’existe pas de données expérimentales sur le potentiel de bioaccumulation du MVTFS.
Les modèles RQSA disponibles ne sont pas en mesure de prévoir de façon fiable un facteur de bioaccumulation (FBA) ou un facteur de bioconcentration (FBC) pour le MVTFS, étant donné que sa masse moléculaire est supérieure à 1 000 g/mol.
La taille moléculaire d’une substance est essentielle pour déterminer si elle peut physiquement passer par une membrane biologique et être biodisponible pour les organismes (Gobas et Morrison, 2000). Les études menées par Dimitrov et al.(2002) et Dimitrov et al. (2005) et le Baseline Bioaccumulation Model (BBM, 2008) semblent indiquer que la probabilité pour qu’une molécule traverse des membranes cellulaires à la suite d’une diffusion passive diminue de façon importante lorsque le diamètre transversal maximal (Dmax) augmente. Ainsi, la probabilité pour que cette diffusion passive se produise diminue de façon notable lorsque le diamètre transversal est supérieur à environ 1,5 nm et de façon encore plus importante dans le cas des molécules ayant un diamètre transversal supérieur à 1,7 nm. Sakurataniet al. (2008) ont également étudié l’effet du diamètre transversal sur la diffusion passive à l’aide d’un ensemble d’essais comptant environ 1 200 substances chimiques nouvelles et existantes. Ils ont aussi observé que les substances dont le potentiel de bioconcentration n’était pas très élevé avaient souvent un Dmax supérieur à 2,0 nm ainsi qu’un diamètre effectif (Deff) supérieur à 1,1 nm.
En raison de sa masse moléculaire élevée, le MVTFS dépasse la limite d’utilisation des modèles disponibles pour calculer son diamètre transversal. Cependant, l’utilisation d’un petit PDMS contenant cinq unités monomères de diméthyle-siloxy (masse moléculaire d’environ 500 g/mol et diamètre maximal de 1,46 à 2,18 nm) comme indicateur, le MVTFS (masse moléculaire minimale de 30 000 g/mol) devrait avoir un Dmax qui sera sensiblement inférieur à 2 nm. Par conséquent, on prévoit que le MVTFS, qui est insoluble, sera très faiblement absorbé à partir de l’eau, et qu’il ne sera donc pas biodisponible pour les organismes aquatiques.
Comme il est mentionné précédemment dans la section sur la caractérisation des propriétés physiques et chimiques, on a choisi le PDMS comme polymère analogue pour réaliser une évaluation prudente des caractéristiques du MVTFS.
Des données empiriques sur la bioaccumulation et la bioconcentration du PDMS dans les organismes aquatiques et d’autres espèces dans l’environnement sont compilées au tableau 4a ci-dessous.
Tableau 4a. Données empiriques sur la bioaccumulation et la bioconcentration du PDMS
| Nature du polymère (masse moléculaire, viscosité ou émulsion) |
Organisme d’essai | Concentration expérimentale (mg/L) et/ou source d’exposition | Paramètre (FBA/FBC, L/kg) (FBAm, sans dimension) |
Référence |
|---|---|---|---|---|
| Émulsion à 15 %, 300 cSt | Crapet arlequin (Lepomis macrochirus) |
1,5 | FBC = 0,16 à 0,5 (après 2 semaines) |
Hobbs et al., 1975 |
| MD15-17M | Guppy (Poecilia reticulate) |
Saturation | FBC < 10 | Opperhuizen et al., 1987 |
| Approximativement 32 mg/kg de nourriture sèche | FBA < 0,01 | |||
| PDMS commercial Mm (g/mol): 1 200 6 000 25 000 56 000 |
Carp sp. | Concentrations mesurées dans les solutions à saturation 1,330 0,486 0,135 0,060 |
FBC = 2,9 FBC = 7,1 FBC = 386 FBC = 1 250 |
Watanabe et al., 1984a |
| Émulsion à 35 %, 50 cSt | Niveau 1 : phytoplancton (Tetraselmis sp.) Niveau 2 : mollusque (Mytilus edulis) |
70 Exposition directe par l’eau Exposition par l’eau et la nourriture |
FBC = 2,08 FBAm = 0,12 |
Aubert et al., 1985 Guillemaut et al., 1987 |
| Niveau 1 : plancton (Tatreselmis sp. Artemia salina) Niveau 2 : poisson (Carassius auratus) |
70 Exposition directe par l’eau Exposition par l’eau et la nourriture |
FBC = 1,9 FBAm = 0,05 |
||
| Niveau 1 : annélide (Nereis diversicolor) Niveau 2 : poisson (Scorpaena porcus) |
70 Exposition directe par l’eau Exposition par l’eau et la nourriture |
FBC = 0,036 FBAm = 1,4 |
||
| Niveau 1 : annélide (Nereis diversicolor) Niveau 2 : crabe (Carcinus maenas) | 70 Exposition directe par l’eau Exposition par l’eau et la nourriture | FBC = 0,036 FBAm = 1,09 | ||
| 50 cSt | Poisson-chat (Ictalurus melas) |
Exposition par la nourriture | < seuil de détection | Annelin, 1979 |
Généralement, le PDMS de masses moléculaires variées (Mm = 1 200 g/mol et plus) s’est montré faiblement bioaccumulable et bioconcentrable chez les organismes aquatiques et les espèces terrestres.
Opperhuizen et al. (1987) ont quant à eux effectué une étude sur la bioaccumulation, chez Poecilla reticulate (guppy), du PDMS (5 cSt, MD15-17M). Au bout de 12 semaines d’exposition, on ne détectait pas de polymères de siloxane dans les poissons entiers.
Dans une autre étude, on a soumis des crapets arlequins (Lepomis macrochirus) à une exposition à un PDMS ayant une masse moléculaire supérieure à 5 000 g/mol pendant une période de 30 jours (Hobbs et al., 1975). On n’a trouvé aucun lien entre les taux du polymère dans les tissus et la durée ou le niveau d’exposition. On a découvert cependant que le polymère était adsorbé sur des surfaces du poisson, mais qu’il n’est pas absorbé par les cellules.
En outre, des études ont été réalisées concernant l’absorption de PDMS par d’autres espèces dans d’autres milieux environnementaux. Au cours d’une étude de 28 jours dirigée par Garvey et al. (1996), on a exposé des vers de terre (Eisenia foetida) à 100 et 1 000 mg/kg de PDMS dans une matrice de sol artificiel. Au terme de la phase d’exposition, les vers de terre de chaque réplicat ont été transférés aux milieux d’exposition qui ne contenaient pas de PDMS pendant la phase de dépuration de 14 jours de l’étude. On a prélevé des échantillons au cours de la phase d’exposition de 28 jours; toutefois, on n’a pas relevé de différence statistique dans les concentrations de résidus tissulaires parmi les échantillons prélevés aux points d’essai. En outre, le PDMS ingéré par les vers de terre et présent dans l’intestin a été rapidement dépuré pendant la période de 14 jours qui a suivi.
Kukkonen et Landrum (1995) ont examiné les vers aquatiques vivant dans les sédiments et ils ont conclu qu’on n’observait pas de bioaccumulation du PDMS chez ces vers.
Les résultats d’études relatives à d’autres organismes benthiques et terrestres (Putt, 1994; Putt et Mihaich, 1996) ont aussi indiqué un potentiel de bioaccumulation très limité pour le PDMS.
Une étude sur la carpe argentée a fait état de résultats contradictoires, selon lesquels les matériaux de PDMS ayant une masse moléculaire plus élevée subissaient une bioaccumulation supérieure à celle des composés ayant une masse moléculaire inférieure (Watanabe et al., 1984). Le fait que le rapport entre la bioaccumulation et la masse moléculaire soit l’inverse des résultats escomptés pourrait être le résultat de la contamination de la surface, et aucune indication n’était donnée pour préciser si on avait analysé les poissons entiers ou les filets. Par conséquent, ces résultats sont d’une qualité incertaine.
On a étudié la bioamplification ou les transferts par la chaîne alimentaire d’une émulsion PDMS (50 cSt) dans le milieu marin (Aubert et al., 1985; Guillemaut et al., 1987). Les organismes du premier niveau trophique étaient exposés au PDMS en émulsion (50 cSt) à une concentration de 70 mg/L dans l’eau. Soit le PDMS ne subissait pas de bioconcentration dans l’eau, soit le FBC était inférieur à 2 au premier niveau trophique. La bioaccumulation entre les deux niveaux trophiques était faible, elle était comprise entre 0,05 et 1,4, ce qui indique que la bioamplification du PDMS entre deux niveaux trophiques n’est pas significative dans la chaîne alimentaire aquatique soumise à l’essai.
Pendant la décomposition du MVTFS, la rupture du polymère devrait se produire principalement sur la chaîne principale -Si-O-Si- et générer des intermédiaires et des oligomères de différentes longueurs. La décomposition finira par libérer les monomères méthyl(3,3,3-trifluoropropyl)silanediol (no CAS 660-78-6) et méthylvinylsilanediol (no CAS 3959-12-4) en tant que produits finaux de l’hydrolyse. Pour caractériser le potentiel de bioaccumulation après la dégradation, on a évalué les monomères à l’aide d’un modèle RQSA (BCFBAF, 2008) afin d’estimer le potentiel de bioaccumulation des produits finaux de l’hydrolyse.
Les données modélisées sont résumées dans le tableau 4b ci-dessous. Elles indiquent que les produits finaux de l’hydrolyse ne devraient pas être bioaccumulables chez les organismes aquatiques.
Tableau 4b. Données modélisées pour la bioaccumulation des produits de l’hydrolyse du MVTFS (à l’aide du modèle BCFBAF, 2008)
| Nom chimique et no CAS | Facteur de bioaccumulation (FBA) (L/kg poids humide) | Facteur de bioconcentration (FBC) (L/kg poids humide) |
|---|---|---|
| Méthyl(3,3,3-trifluoropropyl)silanediol (660-78-6) |
1,80 | 3,16 |
| Méthylvinylsilanediol (3959-12-4) |
0,96 | 3,16 |
D’après l’information expérimentale relative au MVTFS présentée ci-avant, on prévoit qu’en raison de son importante taille moléculaire et de sa faible hydrosolubilité, le MVTFS n’est pas biodisponible pour les organismes dans l’environnement, et il ne subit donc pas de bioaccumulation chez ces organismes. Par conséquent, on a conclu que le MVTFS et ses produits de dégradation ne répondent pas aux critères de bioaccumulation (FBA ou FBC égal ou supérieur à 5 000) énoncés dans le Règlement sur la persistance et la bioaccumulation (Canada, 2000).
Évaluation des effets écologiques
A - Dans le milieu aquatique
On n’a relevé aucune donnée expérimentale de toxicité pour le MVTFS.
Il est à noter que le PDMS et le MVTFS ne contiennent aucun groupement fonctionnel préoccupant en matière d’écotoxicité du polymère (amines, époxydes, etc.). Le groupement vinyle est plus réactif, et on ne considère pas qu’il a des effets toxiques notables. Selon les prévisions du modèle CATABOL (c2004-2008), le groupement trifluoropropyle est fortement lié à l’atome de silicium sur la chaîne principale, et il est peu probable que l’unité récurrente perde ce groupement fonctionnel. Par conséquent, le MVTFS devrait avoir une toxicité comparable à celle du PDMS, et l’information concernant ce dernier a donc été employée pour évaluer la toxicité du MVTFS.
Il existe un certain nombre d’études de toxicité faisant état des effets du PDMS sur les organismes aquatiques; ces études sont résumées dans le tableau 5a ci-dessous. Comme on le mentionnait dans la section précédente, le PDMS (et le MCTFS) n’est pas absorbé par les organismes aquatiques (Annelin et Frye, 1989; Bruggeman et al., 1984); par conséquent, on ne s’attend pas à ce que des effets systémiques se produisent. Comme le PDMS est extrêmement hydrophobe et tend à s’adsorber fortement sur les particules solides, on a employé ce polymère en émulsion dans de nombreuses études pour maintenir des concentrations d’exposition nominales constantes, bien supérieures à ce que permet la solubilité du PDMS dans l’eau.
En général, le PDMS s’est avéré peu toxique pour les poissons. Hill et al. (1984) ont rapporté une concentration sans effet observé (CSEO) de 91 mg/L de PDMS (émulsion de 50 cSt) chez le méné tête-de-mouton. Lors d’une autre étude, Hill a fait état d’une CL50 de 350 mg/L de PDMS (émulsion de 50 cSt) chez la plie (Hill et al., 1980). Il a été démontré que les effets toxiques des émulsions de PDMS en forte concentration étaient attribuables à l’émulsifiant utilisé (Hobbs et al., 1975; Aubertet al., 1985).
Le PDMS a également montré une faible toxicité pour les invertébrés aquatiques (voir le tableau 5a ci-dessous). Une étude réalisée sur les moules Mytilus sp. (Hill et al., 1984) a permis d’établir une CL50 de 1 980 mg/L de PDMS (émulsion de 50 cSt) après 96 heures. Cependant, les effets secondaires sont quelque peu difficiles à interpréter. Les formes liquides du PDMS sont insolubles dans l’eau et ont une masse volumique inférieure à 1 000 kg/m3. Par conséquent, le polymère forme une pellicule de surface dans laquelle les crustacés aquatiques ont tendance à se retrouver pris au piège. Ce piégeage peut se produire et donc interférer avec l’évaluation de la toxicité chimique du polymère.
On a aussi étudié la toxicité pour les microorganismes aquatiques et il s’est avéré que le PDMS n’était pas très dangereux pour lesdits organismes non plus (voir le tableau 5a).
Comme les concentrations d’exposition au PDMS sont largement supérieures à la solubilité maximale attendue pour le polymère dans les études disponibles sur la toxicité en milieu aquatique, le polymère présente probablement un risque faible pour les organismes aquatiques dans les conditions ambiantes. Le PDMS utilisé dans les études de toxicité se présentait sous forme d’émulsions et était bien plus biodisponible que ne le serait le MVTFS. Par ailleurs, les masses moléculaires du PDMS indiquées dans les études de toxicité étaient généralement bien inférieures aux masses moléculaires moyennes du MVTFS. Les résultats obtenus pour le PDMS sont donc considérés comme des substituts utiles et prudents des données de toxicité du MVTFS.
Parmi les diverses espèces aquatiques utilisées dans les études toxicologiques, c’est Daphnia magna qui s’est montrée la plus sensible, et une CL50 sur 48 h de 73,4 mg/L a été indiquée par Hill et al. (1977) pour une émulsion de PDMS à 35 % (350 cSt). Pour les besoins de la caractérisation des risques posés par le MVTFS pour les organismes aquatiques, on a employé cette CL50 comme valeur critique de toxicité (VCT) afin d’obtenir la concentration estimée sans effet (CESE).
Tableau 5a. Données de toxicité du PDMS pour les organismes aquatiques
| Nature du polymère (viscosité et/ou émulsion) |
Organisme d’essai | Type d’essai | Paramètre | Valeur (mg/L) | Référence |
|---|---|---|---|---|---|
| Poisson | |||||
| Non précisé | Poisson | Toxicité aiguë | CL50[1] | > 1 000 | Annelin et Humble, 1978; Hobbs et al., 1975 |
| Non précisé | Méné (Phoxinus phoxinus) | Toxicité semi-chronique | TL40[2] | 3 000 (8 jours) | Cabridenc, 1978 |
| 100, 350, 12 500 cSt | Pomatoschistus minutus Gasterosteus aculeatus |
Toxicité aiguë (96 heures) |
CL0[3] | À saturation | Maggi et Alzieu, 1977 |
| Émulsion à 20 %, 50 cSt | Plie (Pleuronetes platessa) |
Toxicité aiguë (96 heures) |
CE[4] | 88 | Firmin, 1984 |
| Émulsion à 35 %, 50 cSt | Scorpène Scorpaena poreus Carassius auratus |
Toxicité aiguë | TL50[5] | 1 000 (12 heures) 2 000 (50 heures) 10 000 (4 heures) 700 (50 heures) 3 500 (24 heures) |
Aubert et al., 1985 |
| Émulsion non précisée, 50 cSt | Plie | Toxicité aiguë (96 heures) | CL50 | 350 > 10 000 à la surface de l’eau (5 mg/L dans l’eau) |
Hill et al., 1984 Hill (1980) |
| Émulsion à 35 %, 50 cSt | Méné tête-de-mouton (Cyprinodon variegatus) | Toxicité chronique (33 jours) | CSEO[6] CE | 91 235 (effets mineurs observés) |
Hill et al., 1984 |
| 350 cSt | Truite arc-en-ciel (Oncorhynchus mykiss) (Salmo gairdneri) |
Toxicité subchronique, nourriture modifiée (28 jours) | DSEO[7] | 10 000 mg/kg p.c. par jour | Mann et al., 1977 |
| Émulsion à 30 %, 350 cSt | Crapet arlequin (Lepomis macrochiras) Truite arc-en-ciel (Salmo gairdneri) |
Toxicité aiguë (96 heures) | CL50 Hypoactivité |
> 10 000 À 1 000 et 10 000 |
Hobbs et al., 1975 |
| Invertébrés aquatiques et mollusques | |||||
| Émulsion à 66 %, 10 à 60 000 cSt | Daphnie | Toxicité aiguë | CSEO | > 200 | Annelin et al., 1994 |
| Émulsion, 350 cSt | Daphnia magna | Toxicité aiguë (48 heures) |
CL50 | 1 000 | Spacie, 1972 |
| 100, 350 et 12 500 cSt | Huître plate (Ostrea edulis) Moule bleue (Mytilus edulis) Bigorneau (Littorina littorea) |
Toxicité aiguë (96 heures) |
CL0 | Saturation dans l’eau de mer | Maggi et Alzieu, 1977 |
| Émulsion à 35 %, 50 cSt | Moule (Mytilus edulis) Crabe (Artemia salma Carcinus maenas) |
Toxicité aiguë Toxicité semi-chronique (10 jours) Toxicité semi-chronique |
TL50 TL50 CL0 CL50 Mortalité |
3 500 (96 heures) 10 000 (80 heures) (émulsifiant seulement) 700 7 000 (9 jours) 3 500 (10 jours) |
Aubert et al., 1985 |
| Émulsion à 20 %, 50 cSt | Mytilus sp. | Toxicité aiguë (96 heures) | CL50 | 1 980 | Hill et al., 1984 |
| 50 cSt | Mytilus sp. | Toxicité aiguë (96 heures) | CL50 | 1 020 | Hill et al., 1984 |
| 100 cSt Émulsion à 30 %, 100 cSt Émulsion à 30 %, 350 cSt |
Daphnia magna Daphnia magna Coques (Prothaca spaminea) Choquemort (Fundulus heteroclitus) Crabe des rivages (Pachygrapsus crassipes) Crevette brune (Penaeus oxtecus) |
Toxicité aiguë (48 heures) Toxicité aiguë (48 heures) Toxicité aiguë (96 heures) |
TL50[8] TL50 TL50 |
44,5 (le polymère a formé une couche à la surface) 73,4[*] > 1 000 |
Hobbs et al., 1975 |
| Microorganismes aquatiques (bactéries, champignons et phytoplancton) | |||||
| PDMS avec groupe terminal hydroxyle, 55 cSt | Bactéries, algues et protozoaires aérobies et anaérobies | Toxicité chronique (24 semaines) |
CSEO | > 0,26 | Gettings et Lane, 1982 |
| 100, 350 et 12 500 cSt | Algues marines (diatomées et flagellés) | Toxicité semi-chronique (9 jours) | CSEO | Saturation dans l’eau de mer | Maggi et Alzieu, 1977 |
| Émulsion à 35 %, 50 cSt | Phytoplancton marin (Tetraselmis sp.) | Non précisé | CMEO[9] | 350 | Maggi et Alzieu, 1977 |
[2] TL40 – Temps requis en heures pour que 40 % des organismes d’essai meurent à concentration donnée.
[3] CL0 – Concentration d’une substance que l’on estime sans effet létal sur les organismes d’essai.
[4] CE – Concentration d’une substance que l’on estime avoir un effet toxique sur les organismes d’essai; cependant, le pourcentage d’organismes d’essai touchés ne peut être établi dans l’étude.
[5] TL50 – Temps requis en heures pour que 50 % des organismes d’essai meurent à concentration donnée.
[6] CSEO – Concentration sans effet observé, soit la concentration d’exposition la plus élevée ne causant pas d’effet statistiquement significatif par rapport aux témoins dans un essai de toxicité.
[7] DSEO – Dose sans effet observé, soit la dose d’exposition la plus élevée ne causant pas d’effet statistiquement significatif par rapport aux témoins dans un essai de toxicité.
[8] TL50 – Limite de tolérance correspondant à la survie de 50 % des organismes d’essai.
[9] CMEO – Concentration minimale avec effet observé, soit la concentration la plus faible d’une substance causant des effets statistiquement significatifs par rapport au groupe témoin dans un essai de toxicité.
[*] VCT – Valeur critique de toxicité. On l’utilise pour dériver la concentration estimée sans effet (CESE).
On n’a trouvé aucune donnée de toxicité pour les produits de l’hydrolyse du MVTFS. On a utilisé le modèle ECOSAR pour estimer les effets toxiques potentiels associés aux produits de l’hydrolyse, et les estimations sont résumées dans les tableaux 5b et 5c ci-dessous. Les prévisions modélisées indiquent que les deux produits de l’hydrolyse du MVTFS peuvent prouver des effets de toxicité faibles à modérés chez les organismes aquatiques.
Tableau 5b. Données modélisées sur la toxicité du méthyl(3,3,3-trifluoropropyl)silanediol (noCAS 660-78-06) pour les organismes aquatiques
| Organisme d’essai | Type d’essai | Paramètre | Valeur (mg/L) |
|---|---|---|---|
| Poisson | Toxicité aiguë (96 heures) | CL50[1] | 1 038 |
| Toxicité aiguë (14 jours) | 1 032 | ||
| Poisson (eau de mer) | Toxicité aiguë (96 heures) | CL50 | 1 558 |
| Daphnie | Toxicité aiguë (48 heures) | CL50 | 504 |
| Algues vertes | Toxicité aiguë (96 heures) | CE50[2] | 154 |
| Poisson | Toxicité chronique (30 jours) | Vtc[3] | 101 |
| Daphnie | Toxicité chronique | Vtc | 50 |
| Algues vertes | Toxicité chronique | Vtc | 50 |
| Mysis effilée | Toxicité aiguë (96 heures) | CL50 | 2 126 |
| Poisson (eau de mer) | Toxicité chronique | Vtc | 85 |
| Mysis effilée (eau de mer) | Toxicité chronique | Vtc | 248 |
[2] CE50- Concentration d’une substance qu’on estime susceptible de causer un effet chez 50 % des organismes d’essai.
[3] Vtc - Valeur de toxicité chronique.
Tableau 5c. Données modélisées sur la toxicité du méthylvinylsilanediol (no CAS 3959-12-4) pour les organismes aquatiques
| Organisme d’essai | Type d’essai | Paramètre | Valeur (mg/L) |
|---|---|---|---|
| Poisson | Toxicité aiguë (96 heures) | CL50[1] | 5 137 |
| Toxicité aiguë (14 jours) | 5 025 | ||
| Poisson (eau de mer) | Toxicité aiguë (96 heures) | CL50 | 8 347 |
| Daphnie | Toxicité aiguë (48 heures) | CL50 | 2 139 |
| Algues vertes | Toxicité aiguë (96 heures) | CE50[2] | 416 |
| Poisson | Toxicité chronique (30 jours) | Vtc[3] | 466 |
| Daphnie | Toxicité chronique | Vtc | 179 |
| Algues vertes | Toxicité chronique | Vtc | 113 |
| Mysis effilée | Toxicité aiguë (96 heures) | CL50 | 22 149 |
| Poisson (eau de mer) | Toxicité chronique | Vtc | 230 |
| Mysis effilée (eau de mer) | Toxicité chronique | Vtc | 3 517 |
[2] CE50- Concentration d’une substance qu’on estime susceptible de causer un effet chez 50 % des organismes d’essai.
[3] Vtc - Valeur de toxicité chronique.
D’après l’information expérimentale susmentionnée relative au PDMS et les prévisions modélisées sur les produits de l’hydrolyse du MVTFS, il est conclu que le MVTFS et ses produits de dégradation sont faiblement toxiques pour les organismes aquatiques.
B - Dans d’autres milieux naturels
Étant donné que la voie d’exposition principale du MVTFS dans un milieu aquatique serait par contact avec le polymère absorbé par les sédiments, les effets toxiques du polymère sur les organismes vivant dans les sédiments sont également pris en considération dans cette évaluation des risques. De plus, comme les biosolides issus des boues traitées provenant des réseaux d’assainissement peuvent être utilisées pour amender les terrains agricoles et régénérer des terres, et même si la proportion des pertes dans les eaux usées, et donc vers les boues, devraient être faibles (environ 1,3 %), on a étudié aussi les répercussions potentielles de l’interaction entre les organismes terrestres et les boues contenant les polymères.
Il n’existe pas de données expérimentales sur la toxicité du MVTFS dans les sédiments ou le sol. Par conséquent, l’information relative au PDMS est utilisée pour évaluer la toxicité du MVTFS dans ces deux milieux naturels.
Le tableau 5d ci-après résume les données expérimentales sur la toxicité du PDMS pour les organismes vivant dans les sédiments et le sol. En résumé, le polymère montre une faible toxicité pour les espèces biologiques vivant dans ces deux milieux naturels.
Tableau 5d. Données relatives à la toxicité du PDMS pour les organismes vivant dans les sédiments ou les sols
| Nature du polymère (viscosité et/ou émulsion) |
Organisme d’essai | Milieu et type d’essai | Paramètre | Concentration (mg/kg, sauf indication contraire) | Référence |
|---|---|---|---|---|---|
| Organismes vivant dans les sédiments | |||||
| 350 cSt | Amphipode marin (Ampelisca abdita) | Sédiments Toxicité semi-chronique (10 jours) |
CL0[1] | > 2 300 | Putt et Mihaich, 1996 |
| 350 cSt | Amphipode d’eau douce (Hyalella azteca) | Sédiments Toxicité chronique (28 jours) |
CE0[2] | > 2 200 | Putt et Mihaich, 1996 |
| PDMS (caractéris-tiques de viscosité/ émulsion non indiquées) | Ver polychète (Nereis diversicolor) | Sédiments Toxicité chronique (28 jours) |
CE0 | 1 000 | Craig et al., 1984 |
| 50 cSt | Annélides | Sédiments Toxicité aiguë (96 heures) Toxicité chronique (28 jours) |
CE0 | >1 0 000 | Craig et Caunter, 1990 |
| Émulsion à 35 %, 50 cSt (eau de mer) | Ver polychète (Nereis diversicolor) | Sédiments Toxicité semi-chronique (9 jours) |
CL0 CE0 | 350 700 | Aubert et al., 1985 |
| 350 cSt | Invertébrés benthiques (H. azteca et C. tentans) | Sédiments Toxicité semi-chronique (10 jours) Cycle de vie (28 jours pour le H. azteca et 50 à 65 jours pour le C. tentans) |
CL0 CE0 | > 1 000 | Henry et al., 2001 |
| Organismes vivant dans le sol | |||||
| Liquide, 350 cSt | Lombric (Eisenia fœtida) | Sol Toxicité chronique (21 jours) |
CE0 | 1 100 | Garvey et al., 1996 |
| Liquide, 350 cSt | Collembole (Folsomia candida) | Sol Toxicité chronique (21 jours) |
CSEO[3] | 250 | Garvey et al., 1996 |
| Végétaux | |||||
| Émulsion à 10 %, 10 cSt | Plantation de conifères | Sol Toxicité aiguë (tout de suite après le traitement) Toxicité chronique (1 an) |
DSEO[4] | 30 mL/m3 | Belt et al., 1977 |
| Organismes terrestres | |||||
| 100 cSt | Canard colvert (Anas platorhynchus) Colin de Virginie (Colinus virgianus) |
Toxicité semi-chronique (5 jours) | CL0 | > 5 000 | Hobbs et al., 1975 (cité dans ECETOC, 1994) |
| 100 cSt | Poule Leghorn blanche | Toxicité chronique (24 semaines) |
CE0 | > 5 000 | Hobbs et al., 1975 |
[2] CE0- Concentration d’une substance dont on estime qu’elle n’a aucun effet secondaire sur les organismes d’essai.
[3] CSEO – Concentration sans effet observé, soit la concentration la plus élevée ne causant pas d’effet statistiquement significatif par rapport au groupe témoin dans un essai de toxicité.
[4] DSEO – Dose sans effet observé, soit la dose d’exposition la plus élevée ne causant pas d’effet statistiquement significatif par rapport aux témoins dans un essai de toxicité.
En raison de la dégradation probable du MVTFS dans le sol, on a également estimé la toxicité des produits de l’hydrolyse du polymère en utilisant un modèle RQSA (ECOSAR, 2008). Les résultats sont présentés dans le tableau 5f ci-après. D’après les prévisions modélisées, les deux produits de l’hydrolyse démontrent une faible toxicité pour le lombric.
Tableau 5f. Données modélisées sur la toxicité des produits de l’hydrolyse du MVTFS pour le lombric (ECOSAR, 2008)
| Noms chimiques et no CAS | Type d’essai | Paramètre | Valeur (mg/L) |
|---|---|---|---|
| Méthyl(3,3,3-trifluoropropyl)silanediol 660-78-6 |
Toxicité aiguë (14 jours) | CL50[1] | 385 |
| Méthylvinylsilanediol 3959-12-4 |
Toxicité aiguë (14 jours) | CL50 | 296 |
D’après les résultats de l’étude sur le PDMS et les estimations modélisées des produits de l’hydrolyse du MVTFS, on prévoit que le potentiel de toxicité du MVTFS ne sera pas significatif pour les organismes vivant dans les sédiments ou le sol.
Évaluation de l’exposition de l’environnement
A – Rejets industriels
On n’a relevé aucune donnée sur les concentrations de MVTFS dans les milieux naturels au Canada. On estime donc les concentrations dans l’environnement en fonction de l’analyse de l’exposition pour le PDMS en tenant compte des quantités de MVTFS importées au Canada.
L’outil de débit massique a utilisé des hypothèses réalistes correspondant au scénario le plus défavorable pour les rejets de MVTFS dans l’eau (par les effluents d’eaux usées) associés aux utilisations industrielles (tableau 3). Pour examiner la question des rejets issus des activités industrielles, un scénario propre au site a servi à estimer une concentration prudente de la substance dans un cours d’eau recevant des effluents industriels (Environnement Canada, 2010c). Le scénario vise à fournir des estimations fondées sur la quantité de la substance traitée et rejetée, le nombre de jours de traitement, le taux d’élimination de l’usine de traitement des eaux usées (UTEE) et la taille du cours d’eau récepteur.
Le scénario propre au site des rejets industriels tient compte des données sur la charge obtenues de sources telles que des enquêtes industrielles, ainsi que des connaissances sur la distribution des rejets industriels au pays, et calcule la concentration environnementale estimée (CEE).
L’exposition aquatique au MVTFS est prévue si la substance est rejetée par les utilisations industrielles vers une usine de traitement des eaux usées qui évacue ensuite son effluent dans des eaux réceptrices. La concentration de la substance dans les eaux réceptrices près du point de rejet de l’usine de traitement des eaux usées est utilisée comme la CEE dans l’évaluation du risque que pose la substance en milieu aquatique. On peut la calculer à l’aide de l’équation
Ceau-ind = [1000 × Q × L × (1 - R)] / [N × F × D]
où
Ceau-ind : concentration en milieu aquatique due aux rejets industriels, en mg/L
Q : quantité de substance totale utilisée chaque année sur un site industriel, en kg/an
L : pertes dans les eaux usées, fraction
R : taux d’élimination de l’usine de traitement des eaux usées, fraction
N : nombre de jours de rejets annuels, en jour/an
F : débit de l’effluent de l’usine de traitement des eaux usées, en m3/jour
D : facteur de dilution dans l’eau réceptrice, sans dimension
D’après l’information donnée par l’enquête menée en application de l’article 71, on a déterminé qu’une installation industrielle en particulier utilisait la plus grande quantité du polymère (Environnement Canada, 2010a). La portion supérieure de la gamme de valeurs déclarées (1 000 à 10 000 kg/an), dans laquelle se range la quantité de polymère utilisée au site, a été employée pour estimer la concentration dans l’environnement.
Les pertes dans une UTEE locale sont estimées à 1,3 % de la quantité totale provenant du nettoyage de contenants de produits chimiques et d’équipement de traitement. On a déterminé que le débit de l’effluent de l’UTEE était de 56 747 m3/jour pour le scénario propre au site.
Le scénario présume également que 1) le rejet a lieu 250 jours par année, 2) le taux d’élimination de l’UTEE (adsorption aux boues) est de 95 % pour le polymère (USEPA, 2008), et 3) le débit du plan d’eau récepteur en aval est de 144 460 m3/jour avec un facteur de dilution de 3,5.
D’après les hypothèses susmentionnées, la concentration environnementale estimée (CEE) est de 1,3 × 10-4 mg/L pour le polymère (Environnement Canada, 2010c).
Il est à noter que la voie prédominante de rejet de MVTFS dans l’environnement est l’amendement du sol avec des boues. D’après la masse moléculaire élevée de la substance et sa très faible solubilité dans l’eau, et d’après les données toxicologiques concernant l’analogue (PDMS), on peut présumer que les boues enfouies ou incinérées qui contiennent du MVTFS ne seront pas dispersées dans l’environnement. Dans le sol, la substance devrait être immobile et subir une dégradation rapide; elle n’occasionnera donc pas une exposition significative pour les organismes aquatiques ou terrestres.
B – Rejets par les consommateurs
On estime que les produits de consommation et les produits commerciaux contenant du MVTFS sont enfouis ou incinérés, tandis que les rejets dans l’atmosphère ou l’eau devraient être insignifiants et l’exposition dans ces milieux environnementaux devrait être faible.
Caractérisation du risque écologique
La démarche suivie dans la présente évaluation préalable consistait à examiner les divers renseignements à l’appui et à tirer des conclusions suivant la méthode du poids de la preuve et le principe de prudence requis par la LCPE (1999). Les éléments de preuve pris en compte comprennent les résultats d’un calcul du quotient de risque prudent ainsi que des renseignements sur la persistance, la bioaccumulation, la toxicité, les sources et le devenir de la substance dans l’environnement.
En raison de sa masse moléculaire élevée, le MVTFS ne devrait pas se loger dans l’air. Le polymère devrait être persistant dans l’eau et les sédiments et devrait présenter un faible potentiel de bioaccumulation. Les volumes modérés de MVTFS qui sont importés au Canada, combinés aux utilisations de cette substance, indiquent un potentiel de rejet dans l’environnement au Canada. En raison de la masse moléculaire élevée de la substance, celle-ci est insoluble dans l’eau et demeure à l’état caoutchouteux à des températures ambiantes. Lorsque le MVTFS est rejeté dans l’eau, il finira par se répartir dans les sédiments. Le potentiel de toxicité du polymère pour les organismes aquatiques devrait être faible.
Une analyse du quotient de risque, intégrant des estimations prudentes de l’exposition aux renseignements liés à la substance, a été réalisée pour le milieu aquatique, afin de déterminer si la substance pourrait avoir des effets nocifs sur l’environnement au Canada. Le scénario industriel propre aux sites présenté ci-dessus a produit une CEE de 1,3 × 104 mg/L (Environnement Canada, 2010c). On a obtenu une CESE pour le MVTFS à partir d’une CL50 sur 48 heures de 73,4 mg/L (en tant que valeur expérimentale valable la plus sensible pour le PDMS), en divisant cette valeur par un facteur d’évaluation de 100 (pour tenir compte de la variabilité interspécifique et intraspécifique de la sensibilité, et de l’extrapolation des résultats d’une étude de toxicité aiguë en laboratoire à la toxicité chronique sur le terrain), pour produire une valeur de 0,73 mg/L. Le quotient de risque obtenu (CEE/CESE) est d’environ 1,7 × 10-4. Par conséquent, les effets nocifs pour les organismes aquatiques sont improbables.
Toute cette information porte à croire que le MVTFS ne causera probablement pas d’effets nocifs pour les organismes aquatiques au Canada d’un point de vue écologique.
Lorsque le MVTFS est rejeté dans un plan d’eau, il devrait se répartir dans les matières particulaires en suspension et les sédiments benthiques, où les organismes vivant dans les sédiments seront exposés à la substance. Néanmoins, on ne dispose d’aucune donnée de surveillance environnementale ou de toxicité propre aux organismes vivant dans les sédiments pour cette substance. En raison de l’importante masse moléculaire du MVTFS, des données de toxicité pour l’analogue (PDMS) et des produits de l’hydrolyse de la substance, on prévoit que le MVTFS montrera une faible toxicité pour les espèces benthiques. Par conséquent, compte tenu de l’éventuelle exposition au polymère, on estime que les effets nocifs découlant d’une exposition au MVTFS au Canada pour les organismes vivant dans les sédiments sont improbables.
Incertitudes dans l’évaluation des risques pour l’environnement
Une incertitude majeure dans l’évaluation est due à la complexité liée au polymère. À la différence d’une substance chimique distincte, on peut décrire le polymère uniquement par une répartition de structures homologues ayant une masse moléculaire variable. La masse moléculaire moyenne, le contenu des fractions aux diverses masses moléculaires ainsi que les impuretés varient en fonction des différentes formulations du polymère. Il est à noter que l’évaluation a seulement tenu compte des préoccupations relatives au polymère commercialisé au Canada en tenant compte de l’information disponible.
Un autre domaine d’incertitude pour l’évaluation du MVTFS est lié au manque de données expérimentales sur les propriétés physiques et chimiques, la persistance, la bioaccumulation et la toxicité intrinsèque. En raison de l’importante masse moléculaire du polymère, on a estimé que tous les modèles RQSA n’étaient pas applicables pour l’évaluation du polymère. On a défini des analogues du polymère et on a utilisé des renseignements pertinents pour l’évaluation du MVTFS. La comparaison des compositions chimiques du MVTFS et de ses analogues semble indiquer que la différence dans les unités récurrentes et les unités terminales n’influencera pas significativement leurs propriétés physiques et chimiques ou leur écotoxicité, mais qu’elle pourrait avoir des conséquences sur le devenir de l’environnement dans les sols. Il existe aussi des différences majeures dans les masses moléculaires des analogues, qui sont bien inférieures au MVTFS. Les analogues devraient alors être plus biodisponibles aux organismes dans l’environnement. Donc, il est considéré comme valide et prudent d’utiliser de tels analogues pour évaluer le MVTFS.
Il est à noter que les concentrations d’exposition au polymère analogue (PDMS), dans les études de toxicité, sont largement supérieures à la solubilité prévue en milieu aquatique. Les résultats des études toxicologiques sur le polymère en émulsion indiquent que ce dernier présente vraisemblablement un risque faible pour les organismes aquatiques dans les conditions enregistrées dans l’environnement. Cependant, on considère les données sur la toxicité du PDMS comme des substituts valables et prudents pour l’évaluation des effets du MVTFS sur les organismes aquatiques.
Il existe également une autre incertitude liée au manque de données sur les concentrations de MVTFS dans l’environnement canadien. Toutefois, la majorité du polymère importé devrait se retrouver dans un site d’enfouissement aux sites d’élimination des déchets, et les rejets dans l’environnement canadien devraient être faibles.
On ne saisit pas complètement le métabolisme du polymère dans les organismes de l’environnement. Bien que l’analogue PDMS ait démontré une clairance rapide chez le poisson, on n’a pas déterminé clairement s’il existe un métabolisme définitif pour les polymères de siloxane tels que le PDMS et le MVTFS.
Étant donné que le MVTFS est utilisé dans d’autres pays, il est possible que cette substance entre sur le marché canadien comme composant d’articles manufacturés ou de produits de consommation autres que ceux déclarés. Cependant, les renseignements obtenus dans le cadre de l’enquête menée en application de l’article 71 n’indiquent pas qu’elle est présente dans ces types de produits au Canada. Les renseignements disponibles ne sont pas suffisants actuellement pour calculer une estimation quantitative permettant de définir l’importance de cette source. Toutefois, on estime que les stades du cycle de vie et les pertes proportionnelles découlant de l’utilisation de ces autres produits ne se distingueront pas significativement de ce qui a été pris en compte et estimé dans le cadre de l’évaluation. Par conséquent, on s’attend à ce que la quantité de MVTFS rejetée dans les divers milieux environnementaux ne soit pas significative.
Bien que d’autres articles manufacturés et produits de consommation contenant du MVTFS puissent être importés au Canada en plus de ceux que l’industrie déclare dans le cadre des enquêtes dont elle fait l’objet, en application de l’article 71 de la LCPE (1999), on ne dispose d’aucune information sur la quantité ainsi importée. On s’attend à ce que les stades du cycle de vie et les pertes proportionnelles découlant de l’utilisation de ces autres produits ne se distinguent pas significativement de ce qui a été pris en compte et estimé ci-dessus. Toutefois, on pourrait s’apercevoir que la masse réelle de substance rejetée à chacun des stades du cycle de vie est supérieure aux estimations fournies précédemment, si on disposait des renseignements pertinents à cet égard.
Évaluation de l’exposition
Milieux naturels
Aucune donnée empirique sur les concentrations de MVTFS dans les milieux naturels au Canada n’a été relevée. On n’a pas pu prédire les propriétés physicochimiques pour le MVTFS, car il s’agit d’un polymère dont la masse moléculaire moyenne est de 358 000 g/mol (équivalant à environ 2 200 unités récurrentes de méthyl-trifluoropropyl-siloxy et à environ 20 unités récurrentes de méthyl-vinyl-siloxy) ce qui ne relève pas du champ d’application des modèles RQSA disponibles. En raison de son importante masse moléculaire, le polymère devrait montrer une volatilité et une hydrosolubilité négligeables. Le MVTFS devrait exister à l’état caoutchouteux pur à des températures ambiantes et résister aux substances chimiques; l’exposition de l’ensemble de la population à la substance dans les milieux naturels devrait être négligeable.
Produits de consommation
Aucun produit de consommation contenant ou ayant été manufacturé à l’aide de MVTFS n’a été identifié. On a relevé du MVTFS dans quelques utilisations industrielles en 2006 au Canada; on considère que l’exposition potentielle au MVTFS découlant de ces utilisations est de nature professionnelle uniquement (Environnement Canada, 2010a).
Évaluation des effets sur la santé
Aucune donnée empirique relative aux effets sur la santé n’a été relevée pour le MVTFS. À l’heure actuelle, on estime que les modèles de relations quantitatives structure-activité (RQSA) disponibles ne sont pas adaptés à la prévision de la toxicité des polymères.
Les fluorosilicones (PMTFPS), qui ont des structures semblables au MVTFS (présentées dans le tableau 2 de la section Caractérisation des propriétés physiques et chimiques) ont été utilisés dans des applications médicales, notamment des tamponnades intraoculaires (Heimann et al., 2008). Plusieurs études ont étudié les effets secondaires éventuels des utilisations médicales des fluorosilicones. Dans certaines études, l’injection intravitréenne de fluorosilicones (1 000, 5 000 ou 10 000 cSt) dans les yeux de lapins pendant deux à six mois a provoqué une inflammation intravitréenne, un œdème rétinien, un œdème cornéen, une néovascularisation, ainsi qu’une réponse immune (augmentation des immunoglobulines et des fractions complémentaires) (Miyamoto et al., 1986; Gabelet al., 1987; Pastor et al., 1992; Versura et al., 2001). La kératopathie, définie comme un épaississement ou un œdème cornéen, a été observée également chez certains des patients en clinique à la suite d’une injection intravitréenne de fluorosilicone (Gremillionet al., 1990). Il a été proposé que la toxicité oculaire était provoquée par les composés de faible masse moléculaire ou les impuretés des matières injectées. On a démontré que les composés de faible masse moléculaire favorisent la croissance de fibroblastes in vitro chez le lapin d’élevage et des cellules de l’épithélium pigmentaire rétinien chez l’homme (Sparrow et al., 1990; Friberget al., 1991) et qu’ils provoquent une inflammation et des œdèmes oculaires chez le lapin après une injection intravitréenne (Nakamura et al., 1991).
Rien ne prouve que les monomères ou les polymères de siloxane peuvent présenter un potentiel de génotoxicité (JACC, 1994; Environnement Canada, Santé Canada, 2008a, 2008b, 2008c).
Le degré de confiance à l’égard de la base de données relative aux effets sur la santé est faible, étant donné qu’on n’a relevé aucune donnée expérimentale précise sur la substance et que l’information relative aux effets sur la santé concernant les monomères ou les polymères de siloxane fluoré et la substitution du vinyle est très limitée.
Caractérisation du risque pour la santé humaine
Aucune donnée empirique relative aux effets sur la santé n’a été relevée pour le MVTFS. D’après les données limitées relatives à ses effets sur la santé de fluorosilicones ayant des structures similaires, on considère que le MVTFS ne présente pas un potentiel de risque élevé.
On s’attend à une exposition négligeable pour l’ensemble de la population au MVTFS présent dans les milieux naturels (air, eau potable et sol) ou dans les aliments et les boissons. On ne prévoit aucune exposition de l’ensemble de la population à partir de l’utilisation de produits de consommation contenant du MVTFS. Par conséquent, on considère que le risque pour la santé humaine découlant de l’exposition au MVTFS au Canada est faible.
Incertitudes de l’évaluation des risques pour la santé humaine
Aucune donnée empirique n’a été relevée concernant les concentrations du MVTFS dans les milieux naturels. Néanmoins, l’étude de ses propriétés physiques et chimiques ainsi que de ses utilisations déclarées en application de l’article 71 de la LCPE (1999) indique que l’exposition s’avère négligeable pour l’ensemble de la population.
En raison de l’absence de données sur les effets du MVTFS pour la santé, l’évaluation de la santé humaine pour le MVTFS est fondée sur des données limitées relatives aux effets des monomères ou polymères de siloxane fluoré sur la santé. Toutefois, le degré de confiance en la détermination des effets critiques sur la santé pour cette substance est faible, et ce, d’après les propriétés physiques et chimiques du polymère de siloxane (c.-à-d. masse et taille moléculaires élevées, faible solubilité dans l’eau et faible pression de vapeur). On s’attend donc à ce que cette substance ait une faible biodisponibilité, ce qui limite toute concentration efficace pouvant être associée à un effet nocif quelconque dans le corps.
Selon l’information présentée dans la présente évaluation préalable, il est déterminé que la forme du MVTFS commercialisée au Canada satisfait aux critères des polymères à exigences réglementaires réduites précisés dans leRèglement sur les renseignements concernant les substances nouvelles (substances chimiques et polymères). D’après les renseignements disponibles, il est conclu que le MVTFS ne pénètre pas dans l’environnement en une quantité, à une concentration ou dans des conditions de nature à avoir, immédiatement ou à long terme, un effet nocif sur l’environnement ou sur la diversité biologique, ou à mettre en danger l’environnement essentiel pour la vie. De plus, cette substance répond aux critères de persistance, mais ne répond pas aux critères de bioaccumulation énoncés dans le Règlement sur la persistance et la bioaccumulation (Canada, 2000).
À la lumière des renseignements disponibles, il est conclu que le MVTFS ne pénètre pas dans l’environnement en une quantité, à une concentration ou dans des conditions de nature à constituer un danger au Canada pour la vie ou la santé humaines.
Par conséquent, il est conclu que le MVTFS ne satisfait à aucun des critères énoncés à l’article 64 de la LCPE (1999).
En raison de la complexité associée à la formulation du polymère et des propriétés potentiellement dangereuses associées aux polymères de faible masse moléculaire, on craint que les utilisations nouvelles du MVTFS qui ne sont ni décelées ni évaluées en vertu de la LCPE (1999) fassent en sorte que la substance réponde aux critères de l’article 64 de laLoi. Dès lors, on recommande la modification de la LIS pour indiquer que le MVTFS répond aux critères des polymères à exigences réglementaires réduites. Si d’autres formes du MVTFS ne répondant pas aux exigences réglementaires réduites sont introduites sur le marché canadien, ces formes seront soumises aux exigences du Règlement sur les renseignements concernant les substances nouvelles.
Annelin, R.B. 1979. Rapport interne no I-0005-0669 de la Dow Corning. Cité dans Fendinger et al., 1997.
Annelin, R.B., Frye, C.L. 1989. The piscine bioconcentration characteristics of cyclic and linear oligomeric permethylsiloxane.The Science of the Total Environment 83:1.
Annelin, R.B., Humble, D.A. 1978. Rapport noI-0005-0596 de la Dow Corning. Cité dans Fendinger et al., 1997.
Annelin, R.B., Klein, R., Varaprath, S. 1994. Rapport interne no 1994-I-0000 de la Dow Corning Corp. Cité dans Fendinger et al., 1997.
[AOPWIN] Atmospheric Oxidation Program for Windows [modèle d’estimation]. 2008. Version 1.92a. Washington (DC) : US Environmental Protection Agency, Office of Pollution Prevention and Toxics; Syracuse (NY) : Syracuse Research Corporation. Outils d'évaluation de l'exposition et des modèles.
[ARLA] Agence de réglementation de la lutte antiparasitaire. 2007. Note réglementaire REG 2007-04 : Liste des produits de formulation de l’ARLA. Ottawa (Ont.) : Santé Canada, Agence de réglementation de la lutte antiparasitaire. [consulté le 14 mai 2010].
Aubert, M., Aubert, J., Augier, H., Guillemaut, C. 1985. Study of the toxicity of some silicone compounds in relation to marine biological chains. Chemosphere 14:127-138.
Barrère, M., Maitre, C., Dourges, M.A., Hémery, P. 2001. Anionic polymerization of 1,3,5-tris(trifluoropropylmethyl)cyclotrisiloxane (F3) in miniemulsion. Macromolecules 34:7276-80.
Battelle. 1992. Fate and effects of PDMS: Soil amendment sludge disposal. Rapport pour la Dow Corning Corporation, no d’étude SC 900090 du Battelle. 8 mai 1992. Battelle, Columbus Lab., Ohio, États-Unis. Cité dans ECETOC, 1994.
[BBM] Baseline Bioaccumulation Model. 2008. Gatineau (Qc) : Environnement Canada, Division des substances existantes. [Modèle basé sur celui de Dimitrov et al., 2005]. Disponible sur demande.
[BCFBAF] Bioaccumulation Program for Windows [modèle d’estimation]. 2008. Version 3.00. Washington (DC) : US Environmental Protection Agency, Office of Pollution Prevention and Toxics; Syracuse (NY) : Syracuse Research Corporation. Outils d'évaluation de l'exposition et des modèles.
[BDIPSN]. Base de données sur les ingrédients des produits de santé naturels [en ligne]. 2010. Ottawa (Ont.) : Santé Canada. Accès : Base de données des produits de santé naturels homologués [consultée en avril 2010].
[BDPP] Base de données sur les produits pharmaceutiques [en ligne]. 2010. Ottawa (Ont.) : Santé Canada. Recherche de produits pharmaceutiques en ligne [consultée en avril 2010].
[BDPSNH] Base de données d’ingrédients de produits de santé naturels homologués [en ligne]. 2010. Ottawa (Ont.) : Santé Canada. [consultée en avril 2010].
Becerra, M.R., Fernandez-Sanchez, E., Fernandez-Torres, A., Garcia-Domiguez, J.A., Santiuste, J.M. 1992. Thermodynamic characterization by inverse gas chromatography of a 50% methyl, 50% trifluoropropyl polysiloxane. Macromolecules25:4665-70.
Belt, G.H., King, J.G., Haupt, H.F. 1977. Augmenting summer stream flow by use of silicone antitranspirant. Cité dans West KF, 1992. Water Resource Research 13: 267-272. Cité dans ECETOC, 1994.
Buch, R.R., Ingebrigtson, D.N. 1979. Rearrangement of Polydimethylsiloxane Fluids on Soil. Environmental Science and Technology 13:676.
Cabridenc, R. 1978. Polydimethylsiloxanes, IRNS. Cité dans le rapport no U/83/208(605) de la TNO à la CEE.Evaluation of the impact of Organo Silicone Compounds on the Aquatic Environment. TNO, La Haye, Pays-Bas. Cité dans ECETOC, 1994
Cai, G., Weber, W.P. 2004. Synthesis of terminal Si-H irregular tetra-branched star polysiloxanes. Pt-catalyzed hydrosilylation with unsaturated epoxides. Polysiloxane films by photo-acid catalyzed crosslinking. Polymer 45:2941-8.
Canada. 1978. Règlement sur les aliments et drogues. C.R.C., ch. 870 Règlement sur les aliments et drogues.
Canada. 1999. Loi canadienne sur la protection de l’environnement (1999). L.C. 1999, ch. 33, Gazette du Canada, Partie III, vol. 22, n° 3.
Canada. 2000. Loi canadienne sur la protection de l’environnement (1999) : Règlement sur la persistance et la bioaccumulation, C.P. 2000-348, 23 mars 2000, DORS/2000-107.Gazette du Canada, Partie II, vol. 134, n° 7.
Canada. Ministère de l’Environnement, ministère de la Santé. 2006. Loi canadienne sur la protection de l’environnement (1999) : Avis d’intention d’élaborer et de mettre en œuvre des mesures d’évaluation et de gestion des risques que certaines substances présentent pour la santé des Canadiens et leur environnement. Gazette du Canada, Partie I, vol. 140, n° 49.
Canada. Ministère de l’Environnement. 2009. Loi canadienne sur la protection de l’environnement (1999) : Avis concernant les substances du groupe 11 du Défi. Gazette du Canada, Gazette du Canada, Partie I, vol. 143, n° 39.
Carpenter, J.C., Cella, J.A., Dorn, S.B. 1995. Study of the degradation of polydimethylsiloxanes on soil. Environmental Science and Technology 29:864-868.
[CATABOL] Probabilistic assessment of biodegradability and metabolic pathways [modèle informatique]. c2004-2008. Version 5.10.2. Bourgas (Bulgarie) : Prof. Assen Zlatarov University, Laboratory of Mathematical Chemistry. CATALOGIC.
Christensen, K. 1994. Silicone Environmental Health and Safety Council Study Report, Document ID no. 47. Cité dans Fendingeret al., 1997.
Craig, N.C.D., Caunter, J.E., Eales, G.J. 1984. ICI Let, Brixham (Royaume-Uni). Document rédigé pour le Centre européen des silicones. Rapport no I-9039-0004 de la Dow Corning.
Craig, N.C.D., Caunter, J.E. 1990. The effects of polydimethylsiloxane (PDMS) in sediment on the polychaete worm Nereis diversicolor. Chemosphere 21(6):751-759. Cité dans Fendinger et al., 1997.
Dimitrov, S.D., Dimitrova, N.C., Walker, J.D., Veith, G.D., Mekenyan, O.G. 2002. Predicting bioconcentration factors of highly hydrophobic chemicals. Effects of molecular size. Pure and Applied Chemistry 74(10):1823-1830.
Dimitrov, S., Dimitrova, N., Parkerton, T., Comber, M., Bonnell, M., Mekenyan, O. 2005. Base-line model for identifying the bioaccumulation potential of chemicals. SAR QSAR Environ. Res. 16(6):531-554.
Dow Corning Corporation. 1961. The results of range finding studies on several Dow Corning siloxane monomers, polymers and cyclic intermediates with letter dated 042094. Présentation au Document Processing Center, Office of Toxic Substances. U.S. Environmental Protection Agency. Washington, DC. OTS0556497; Old Doc ID: 86940001043.
Dow Corning Corporation. 1972. Continuing chemical structure-biological activity-relationship of selected cyclotetrasiloxane on the make reproductive system. Présentation au Document Processing Center, Office of Toxic Substances. U.S. Environmental Protection Agency. Washington, DC. OTS0572454; Old Doc ID: 86940000351.
Drobny, J.G. 2001. Technology of fluoropolymers. CRC Press LLC, 2000 NW Corporate Blvd., Boca Raton (FL), 33431.
Eales, G.J. Taylor, D. 1983. A study of the movement of a polydimethylsiloxane fluid in sediment columns – Phase 2. Rapport I-9039-002 de la Dow Corning. Cité dans ECETOC, 1994.
[ECETOC] Centre d’écologie et de toxicologie de l’industrie chimique européenne. 1994. Joint Assessment of Commodity Chemicals No. 26: Linear Polymethylsiloxanes (viscosity 10 – 100 000 centistokes) CAS No. 63148-62-9. Centre d’écologie et de toxicologie de l’industrie chimique européenne, Bruxelles, Belgique. Rapports JACC.
[ECOSAR] Ecological Structural Activity Relationships [en ligne]. 2008. Version 1.00. Washington (DC) : US Environmental Protection Agency, Office of Pollution Prevention and Toxics; Syracuse (NY) : Syracuse Research Corporation. Outils d'évaluation de l'exposition et des modèles.
Environnement Canada. 2008. Guidance for Conducting Ecological Assessments under CEPA, 1999, Science Resource Technical Series, Technical Guidance Module: Mass Flow Tool. Document de travail. Gatineau (Qc) : Environnement Canada, Division des évaluations écologiques. Disponible sur demande.
Environnement Canada. 2010a. Données sur les substances du lot 11 recueillies en vertu de l’article 71 de la Loi canadienne sur la protection de l’environnement (1999) : Avis concernant certaines substances identifiées dans le onzième lot du Défi. Données recueillies par Environnement Canada, Division de la mobilisation et de l’élaboration des programmes.
Environnement Canada. 2010b. Assumptions, limitations and uncertainties of the Mass Flow Tool for MVTFS. No CAS 68952-02-3. Document provisoire interne. Gatineau (Qc) : Environnement Canada, Division des évaluations écologiques. Disponible sur demande.
Environnement Canada. 2010c. Rapport inédit sur les rejets industriels : no CAS 68952-02-3. Le 19 mai 2010. Gatineau (Qc) : Environnement Canada, Division de l’évaluation écologique. Disponible sur demande.
Environnement Canada, Santé Canada. 2008a. Évaluation préalable pour le Défi concernant l’octaméthylcyclotétrasiloxane(D4), n° CAS 556-67-2 [en ligne]. Ottawa (Ont.) : Environnement Canada, Santé Canada. [consulté en mai 2010].
Environnement Canada, Santé Canada. 2008b. Évaluation préalable pour le Défi concernant le décaméthylcyclopentasiloxane (D5), n° CAS 541-02-6 [en ligne]. Ottawa (Ont.) : Environnement Canada, Santé Canada. [consulté en mai 2010].
Environnement Canada, Santé Canada. 2008c. Évaluation préalable pour le Défi concernant le décaméthylcyclopentasiloxane (D6), n° CAS 540-97-6 [en ligne]. Ottawa (Ont.) : Environnement Canada, Santé Canada. [consulté en mai 2010].
[EPIsuite] Estimation Programs Interface Suite for Microsoft Windows [modèle d’estimation]. 2008. Version 4.00. Washington (DC) : US Environmental Protection Agency, Office of Pollution Prevention and Toxics; Syracuse (NY) : Syracuse Research Corporation. Outils d'évaluation de l'exposition et des modèles.
Fendinger, N.J., Lehmann, R.G., Mihaich, E.M. 1997. Polydimethylsiloxane. Organosilicon Materials. The Handbook of Environmental Chemistry. Berlin, Heidelberg (Allemagne) : Springer-Verlag.
Firmin, R. 1984. Les composés organosiliciés et l’environnement aquatique. Mémoire, Sciences Environnement, Université Libre de Bruxelles. Cité dans le rapport no U/83/208(605) de la TNO à la CEE. Evaluation of the Impact of Organo Silicon Compouns on the Aquatic Environment. TNO, La Haye, Pays-Bas. Cité dans ECETOC, 1994.
Friberg, T.R., Verstraeten T.C., Wilcox D.K. 1991. Effects of emulsification, purity and fluorination silicone oil on human retinal pigment epithelial cells. Invest. Ophthalmol. Vis. Sci. 32:2030-2034.
Gabel, V.P., Kampik, A., Gabel, C.H., Spiegel, D. 1987. Silicone oil with high specific gravity for intraocular use. Br. J. Ophthalmol. 71:262-267.
Garvey, N., Collins, M.K., Mihaich, E.M. 1996. Abs no. 256, SETAC 17th Annual Meeting, Washington (DC). Cité dans Graiver et al., 2003.
Gettings, R.L., Lane, T.H. 1982. Dow Corning Corp, rapport interne no I0005-10957. Cité dans Fendinger et al., 1997 et ECETOC, 1994.
Gobas, F.A.P.C., Morrison, H.A. 2000. Bioconcentration and biomagnification in the aquatic environment. In : Boethling, R.S., Mackay, D. (éditeurs). Handbook of property estimation methods for chemicals. Boca Raton (FL) : Lewis Publishers.
Graiver, D., Farminer, K.W., Narayan, R. 2003. A review of the fate and effects of silicones in the environment. Journal of Polymers and the Environment 11(4):129-136.
Gremillion, C.M. Jr., Peyman, G.A., Liu, K.R., Naguib, K.S. 1990. Fluorosilicone oil in the treatment of retinal detachment.Br. J. Ophthalmol. 74:643-646.
Guillemaut, G., Aubert, J., Augier, H. 1987. Study on organosilicon contamination and toxicity in relation to the marine biomass. Revue internationale d’océanographie médicale85/86:88 [cité dans Fendinger et al., 1997]
Hayden, J.F., Barlow, S.A. 1972. Structure-activity relationships of organosiloxanes on the female reproductive system.Toxicol. Appl. Pharmacol. 21:68-79.
Heimann, H., Stappler, T., Wong, D. 2008. Heavy tamponade 1: a review of indications, use, and complications. Eye22:1342-1359.
Henry, K.S., Wieland, W.H., Powell, D.E., Giesy, J.P. 2001. Laboratory analyses of the potential toxicity of sediment-associated polydimethylsiloxne to benthic macroinvertebrates. Environmental Toxicology and Chemistry20(11):2611-2616.
Hill RW. 1980. Determination of acute toxicity of DC 561 and DC X2-3168 to mussel (Mytilus edulis), rapport 19039 (6 et 8) de la DC. Cité dans le rapport no U/83/208(605)de la TNO à la CEE. Evaluation of the Impact of Organo Silicone Compounds on the Aquatic Environment. TNO, La Haye, Pays-Bas. Cité dans ECETOC, 1994.
Hill, R.W., Young, B.E., Eales, G.J. 1980. Imperial Chemical Industries Ltd., Brixham, TQ58BA, Angleterre. Determination of acute toxicity of Dow Corning DC 561 to the plaice (Pleuronectes platessa). Rapport no BL/B/2052 rédigé pour la Dow Corning (rapport no I-9030-5 de la DC). Cité dans Fendinger et al., 1997.
Hill, R.W., Caunter, J.E., Eales, G.J. 1984. Imperial Chemical Industries Ltd., Brixham, TQ58BA, Angleterre. Effect of an organosilicon formulation on embryos and larvae of the sheepshead minnow (Cyprinodon variegates). Rapport no BL/B/2392A rédigé pour le Centre européen des silicones. 34 p. (rapport no I-9039-0003 de la DC). Cité dans Fendinger et al., 1997 et ECETOC, 1994.
Hobbs, E.J., Keplinger, M.L., Calandra, J.C. 1975. Toxicity of polydimethylsiloxanes in certain environmental systems.Environmental Research 10:397-406.
[JACC] Joint Assessment of Commodity Chemicals No. 26. 1994. Linear Polymethylsiloxanes (viscosity 10 - 100 000 centistokes) CAS No. 63148-62-9. Bruxelles (Belgique) : European Centre for Ecotoxicology and Toxicology of Chemicals. Rapports JACC.
Kählig, H., Zöllner, P., Mayer-Helm, B.X. 2009. Characterization of degradation product of poly[(3,3,3-trifluoropropyl)methylsiloxane] by nuclear magnetic resonance spectroscopy, mass spectrometry and gas chromatography.Polymer Degradation and Stability 94:1254-1260.
Kobayashi, H., Nishiumi, W. 1993. Preparation and characterization of poly (methyl-3,3,3-trifluoropropylsiloxanes-co-dimethylsiloxane).Makromol. Chem. 194:1403-10.
Kukkonen, J., Landrum, P.F. 1995. Effects of sediment-bound polydimethylsiloxane on the bioavailability and distribution of benzo[a]pyrene in lake sediment to Lumbriculus variegatus.Environmental Toxicology and Chemistry 14:523-531.
Le Fevre, R., Coulston, F., Golberg, L. 1972. Action of a copolymer of mixed phenylmethylcyclosiloxanes on reproduction in rats and rabbits. Toxicol. Appl. Pharmacol. 21:29-44.
Lehmann, R.G., Varaprath, S., Frye, C.L. 1994a. Degradation of silicone polymers in soil. Environmental Toxicology and Chemistry 13:1061-1064.
Lehmann, R.G., Varaprath, S., Frye, C.L. 1994b. Fate of silicone degradation products (silanols) in soil. Environmental Toxicology and Chemistry 13:1753-1759.
Lehmann, R.G., Varaprath, S., Annelin, R.B., Arndt, J. 1995. Degradation of silicone polymer in a variety of soils.Environmental Toxicology and Chemistry 14:1299-1305.
Lehmann, R.G., Miller, J.R., Xu, S., Singh, U.B., Reece, C.F. 1998. Degradation of silicone polymer at different soil moistures.Environmental Science and Technology 32:1260-1264.
Levier RR. 1988. Permethylated siloxane insect toxicants. Silicon chemistry. COREY-GASPAR – Ellis Howood Publishers – Chap. 15 : 153-160. Cité dans ECETOC, 1994.
Maggi, P., Alzieu, C. 1977. Étude de la nocivité d’huiles polydiméthyl-siloxane à l’égard d’organismes marins.Science et Pêches, Bulletin de l’Institut des pêches maritimes 269:1-3. Cité dans Stevens et al., 2001.
Mann, H., Ollenschlager, B., Reichenback-Klinke, H.H. 1977. Reichenbach-Klinke, Untersuchunger zur Wirkung von Siliconölen auf Regenbogenforellen. Fisch. Umwelt. 3:19. Cité dans Fendinger et al., 1997 et ECETOC, 1994.
Miyamoto, L., Refojo, M.F., Tolentino, F.I., Flournier, S.A. 1986. Fluorinate oils as experimental vitreous substitutes.Arch. Ophthalmol. 104:1053-1056.
Nakamura, K., Refojo, M.F., Crabtree, D.V., Pastor, J., Leong, F.L. 1991. Ocular toxicity of low-molecular-weight components of silicone and fluorosilicone oils. Invest. Ophthalmol. Vis. Sci. 32:3007-3020.
[NCI] National Chemical Inventories [base de données sur CD-ROM]. 2009. Issue 2. Columbus (OH) : American Chemical Society.Inventaires chimiques nationaux [consulté en mai 2010].
Nielson WR, Heinlein JP et Haigh WG. 1975. Acaridical and insectisidal activity of various silicone fluids. TSCA 8(c) Submission 87-8215084. Cité dans ECETOC, 1994.
Noll, W. 1968. Chemistry and Technology of Silicones. New York (NY) : Academic Press. Cité dans USEPA, 2008.
Opperhuizen, A., Van Der Velde, E.W., Gobas, F.A.P.C., Liem, D.A.K., Van Der Steen, J.M.D., Hutzinger, O. 1985. Relationship between bioconcentration in fish and steric factors of hydrophobic chemicals. Chemosphere 14:1871.
[OCDE] Organisation de coopération et de développement économiques. 1994. Groupe des produits chimiques et Comité de gestion. Rapport du président lors de la IIIe Réunion des experts de l’OCDE sur les polymères à Tokyo, du 14 au 16 avril 1993.
Pagliani, M., Bravais, E., Tonge, L. 2008. 100% fluoro liquid silicone rubber: fuel and oil resistance achieved in an LSR.Rubber World 237(5):22-5.
Pastor, J.C., Lopez, M.I., Saornil, M.A., Refojo, M.F. 1992. Intravitreal silicone and fluorosilicone oils: pathologic findings in rabbit eyes. Acta Ophthalml. 70:651-656.
Putt, A.E. 1994. Polydimethylsiloxane (PDMS) - the subchronic toxicity to midge larvae (Chironomus tentans) under flow-through conditions. Wareham (MA) : Springborn Laboratories, Inc. Rapport du SLI no 94-4-5235. Cité dans Fendingerat al., 1997.
Putt, A.E., Mihaich, E.M. 1996. Effect of sediment-bound polydimethyl-siloxane (PDMS) to aquatic invertebrates. Abs no. 257, 17e réunion annuelle de la SETAC, Washington (DC). Cité dans Stevens et al., 2001.
Sakuratani, Y., Noguchi, Y., Kobayashi, K., Yamada, J., Nishihara, T. 2008. Molecular size as a limiting characteristic for bioconcentration in fish. Journal of Environmental Biology29(1):89-92.
Santé Canada. 2009. Liste critique des ingrédients dont l’utilisation est restreinte ou interdite dans les cosmétiques - septembre 2009 [en ligne]. Ottawa (Ont.) : Santé Canada, Sécurité des produits de consommation [consultée le 14 mai 2010].
[SDC] Système de déclaration des cosmétiques [base de données exclusive]. 2010. Disponible auprès de Santé Canada, Division des cosmétiques.
Spacie A. 1972. Acute toxicity of SAG 10 and SAG 350 silicone antifoam to aquatic organisms. Rapport interne, Union Carbide Chemicals Corp,. Danbury, États-Unis. Cité dans ECETOC, 1994.
Sparrow, J.R., Ortiz, R., Macleish, P.R., Chang, D. 1990. Fibroblast behaviour at aqueous interfaces with perfluorocarbon, silicone and fluorosilicone liquids. Invest. Ophthalmol. Vis. Sci. 31:638-646.
[SPIN] Substances in Preparations in Nordic Countries [base de données sur Internet]. 2006. Copenhague (Danemark) : Conseil des ministres des pays nordiques. Substances dans les préparations dans les pays nordiques [consulté en mai 2010].
Stevens, C., Powell, D.E., Mäkelä, P., Karman, C. 2001. Fate and effects of polydimethylsiloxane (PDMS) in marine environments.Marine Pollution Bulletin 42(7):536-543.
USEPA. 2008. Interpretive assistance document for assessment of polymers. United States Environmental Protect Agency.
Veith, C.A., Cohen, R.E. 1989. Kinetic modelling and optimization of the trifluoropropylmethylsiloxane polymerization.Journal of Polymer Science, Part 1: Polym Chem.27:1241-58.
Versura, P., Cellini, M., Torreggiani, A., Bernabini, B., Rossi, A., Moretti, M., Caramazza, R. 2001. The biocompatibility of silicone, fluorosilicone and perfluorocarbon liquids as vitreous tamponades: an ultrastructural and immunohistochemical study.Ophthalmologica 215:276-83.
Wacker. 1992. Wacker-Broschüre: Silicone Fluids AK, Wacker Chemie AG, Munich, Allemagne. Cité dans ECETOC, 1994.
Watanabe, N., Nakamura, T., Watanabe, E., Sato, E., Ose, Y. 1984a. Bioconcentration potential of polydimethylsiloxane (PDMS) fluids by fish. Science of the Total Environment38:167.
Watanabe, N., Yasuda, Y., Kato, K., Nakanura, T., Funasaka, R., Shimokawa, K., Sato, E., Ose, Y. 1984b. Determination of trace amounts of siloxanes in water, sediments and fish tissues by inductively coupled plasma emission spectrometry. Science of the Total Environment 34(1-2):169-176.
Xu, S. 1998. Hydrolysis of poly(dimethylsiloxanes) on clay minerals as influenced by exchangeable cations and moisture.Environmental Science and Technology 32(20):3162-3168.
Annexe Ia. Données relatives au PDMS (Wacker, 1992, et Fendinger et al., 1997)
| Viscosité (cSt) | Nombre moyen d’unités D[*] | Masse moléculaire moyenne en nombre (g/mol) |
|---|---|---|
| 10 | 15 | 1 300 |
| 50 | 40 | 3 000 |
| 100 | 70 | 5 000 |
| 1 000 | 200 | 15 000 |
| 10 000 | 500 | 37 000 |
| 100 000 | 1 000 | 74 000 |
Annexe Ib. Données relatives au PDMS, tirées de Noll (1968) (citées dans USEPA, 2008)
| Viscosité (cSt) | Nombre moyen d’unités D | Masse moléculaire moyenne en nombre (g/mol) |
|---|---|---|
| 60 | 50 | 3 600 |
| 140 | 110 | 8 000 |
| 440 | 230 | 17 000 |
| 680 | 280 | 21 000 |
| 1 440 | 400 | 30 000 |
| 10 000 | 800 | 60 000 |
| 50 000 | 1 200 | 88 000 |
| 100 000 | 1 400 | 103 000 |
| 300 000 | 1 900 | 143 000 |
Annexe II : Table de résumé des intrants des modèles de la persistance, de la bioaccumulation et de la toxicité (PBT)
Le polymère de siloxane MVTFS a une masse moléculaire élevée et on considère qu’il se trouve en dehors du champ d’application des modèles RQSA disponibles. Par conséquent, aucun modèle n’est utilisé dans l’évaluation du MVTFS.
| Substance | DL50 par voie orale (rats) |
Irritation oculaire (lapins) | Irritation cutanée (lapins) | Exposition unique de rats à des atmosphères saturées | ||
|---|---|---|---|---|---|---|
| Temp. (°C) | Durée de l’exposition (heures) | Réponse | ||||
| Polymère de siloxane (trifluoropropylméthyl) (250 cSt)[1] |
AR | AR | AR | 300 | 1,25 | Mort de tous les rats |
| 250 | 1,25 | Aucun rat mort | ||||
| Polymère de siloxane (trifluoropropylméthyl) (1 000 cSt) |
AR | AR | AR | 375 | 1,25 | Mort de tous les rats |
| 350 | 1,25 | Aucun rat mort | ||||
| Siloxane (trifluoropropylméthyl), trimère cyclique[2] | AR | AR | AR | 150 | 1,25 | Mort des 3/4 des rats |
| 100 | 7,0 | Mort de tous les rats | ||||
| 100 | 4,0 | Mort de tous les rats | ||||
| Siloxane (trifluoropropylméthyl), trimère cyclique | DL50 environ 180 mg/kg p.c.[3], avec pathologie rénale | Faible | Faible | La brume qui s’est formée à 100 °C est relativement toxique, une exposition de sept heures2 à la vapeur seule n’a pas eu d’effets, pour l’essentiel. | ||
| Siloxane (trifluoropropylméthyl), tétramère cyclique | AR | Faible | Faible | 100 | 7,0 | Pas de réponse pour l’essentiel, aucune formation de brouillard |
| Siloxane (trifluoropropylméthyl), pentamère cyclique | DL50 = 2 000 mg/kg p.c., aucun autre effet | Faible | Faible | 100 | 7,0 | Pas de réponse pour l’essentiel, aucune formation de brouillard |
[2] Le numéro de code accordé à cette substance par Dow Corning diffère de celui de la substance se trouvant dans la rangée ci-dessous.
[3] Les résultats cités sont fondés sur la meilleure interprétation lorsque la réimpression du document original était difficile à lire.
Notes de bas de page
[2] cSt : centistokes; unité de mesure de la viscosité cinématique d’un polymère. La viscosité d’un polymère peut habituellement être trouvée dans des publications scientifiques; elle est employée pour caractériser la taille des polymères et leur masse moléculaire.







