Synthèse des données probantes – Prévalence mondiale du syndrome post-COVID-19 : revue systématique et méta-analyse des données prospectives

Accueil Revue PSPMC
Publié par : L'Agence de la santé publique du Canada
Date de publication : mars 2025
ISSN: 2368-7398
Soumettre un article
À propos du PSPMC
Naviguer
Page précedente | Table des matières | Page suivante
Un corrigendum a été publié le 18 juin 2025 pour signaler une série de corrections requises à cet article.
Afin d’assurer l’intégrité de l’historique de la version officielle, cette version originale de l’article n’a pas été modifiée. La version PDF de l’article a été mise à jour afin d’inclure le corrigendum.
Mohamed Kadry Taher, M.D., Ph. D.Note de rattachement des auteurs 1Note de rattachement des auteurs 2; Talia Salzman, M. Sc.Note de rattachement des auteurs 1; Allyson Banal, M.S.P.Note de rattachement des auteurs 1; Kate Morissette, M. Sc.Note de rattachement des auteurs 1; Francesca R. Domingo, M. Sc. S.Note de rattachement des auteurs 1; Angela M. Cheung, M.D., Ph. D., FRCPCNote de rattachement des auteurs 3Note de rattachement des auteurs 4; Curtis L. Cooper, M.D., FRCPCNote de rattachement des auteurs 5; Laura Boland, Ph. D.Note de rattachement des auteurs 1; Alexandra M. Zuckermann, Ph. D.Note de rattachement des auteurs 1; Muhammad A. Mullah, Ph. D.Note de rattachement des auteurs 6; Claudie Laprise, M. Sc., Ph. D.Note de rattachement des auteurs 1Note de rattachement des auteurs 7; Roberto Colonna, M. Sc., Ph.D.Note de rattachement des auteurs 1; Ayan Hashi, M.S.P.Note de rattachement des auteurs 1; Prinon Rahman, M. Sc.Note de rattachement des auteurs 1; Erin Collins, Ph. D.Note de rattachement des auteurs 8; Tricia Corrin, M.S.P., maîtrise en gestion des catastrophes et des urgencesNote de rattachement des auteurs 9; Lisa A. Waddell, M. Sc., Ph. D.Note de rattachement des auteurs 9; Jason E. Pagaduan, M.A.Note de rattachement des auteurs 1; Rukshanda Ahmad, M.B.B.S., M.G.S.S.Note de rattachement des auteurs 10; Alejandra P. Jaramillo Garcia, M. Sc.Note de rattachement des auteurs 1
https://doi.org/10.24095/hpcdp.45.3.02f
Cet article a fait l’objet d’une évaluation par les pairs.
Attribution suggérée
Synthèse des données probantes par Taher MK et al. dans la Revue PSPMC mise à disposition selon les termes de la licence internationale Creative Commons Attribution 4.0
Rattachement des auteurs
Correspondance
Mohamed Taher, Unité de la synthèse des données probantes et de l’application des connaissances, Centre de surveillance et de recherche appliquée, Direction générale de la promotion de la santé et de la prévention des maladies chroniques, Agence de la santé publique du Canada, 785, Avenue Carling, Ottawa (Ontario) K1A 0K9; tél. : 819-639-0225; courriel : Mohamed.Taher@uottawa.ca
Citation proposée
Taher MK, Salzman T, Banal A, Morissette K, Domingo FR, Cheung AM, Cooper CL, Boland L, Zuckermann AM, Mullah MA, Laprise C, Colonna R, Hashi A, Rahman P, Collins E, Corrin T, Waddell LA, Pagaduan JE, Ahmad R, Jaramillo Garcia AP. Prévalence mondiale du syndrome post-COVID-19 : revue systématique et méta-analyse des données prospectives. Promotion de la santé et prévention des maladies chroniques au Canada. 2025;45(3):125-153. https://doi.org/10.24095/hpcdp.45.3.02f
Résumé
Introduction. Nous avons exploré, chez les personnes ayant survécu à la COVID‑19, la prévalence de manifestations nouvelles ou persistantes trois mois ou plus après leur infection initiale, manifestations rassemblées sous le terme de syndrome post-COVID‑19 (SPC).
Méthodologie. Nous avons interrogé quatre bases de données électroniques et les principales sources de littérature grise afin de trouver des études prospectives, des revues systématiques, des rapports faisant autorité et des enquêtes populationnelles. Une méta-analyse à effets aléatoires a permis de mettre en commun les données de prévalence de 22 symptômes et conséquences. L’approche GRADE a été utilisée pour évaluer le degré de certitude des données probantes. Numéro d’enregistrement PROSPERO CRD42021231476.
Résultats. Sur 20 731 documents recensés, 194 répondaient à nos critères d’inclusion. Dans le cadre de ces études, 483 531 personnes ayant reçu un diagnostic confirmé de COVID-19 ont fait l’objet d’un suivi sur des périodes allant jusqu’à 2 ans. La plupart des études portaient sur des adultes, près des deux tiers ont été menées en Europe et 63 % étaient de qualité élevée ou moyenne. Une recherche complémentaire a permis d’obtenir 17 revues systématiques, 5 rapports faisant autorité et 4 enquêtes populationnelles portant sur la prévalence du SPC. Notre analyse a révélé que plus de la moitié des personnes ayant survécu à la COVID-19 ont présenté un ou plusieurs symptômes du SPC plus d’un an après leur infection initiale. Les symptômes répertoriés les plus courants ont été la fatigue, la dyspnée, des troubles de la mémoire, du sommeil ou de la concentration, la dépression et la douleur. Les limitations en matière de retour au travail ont constitué la conséquence la plus courante. La prévalence s’est révélée généralement plus élevée chez les femmes, les personnes hospitalisées au cours de leur infection initiale et les personnes ayant présenté une forme grave de la COVID-19.
Conclusion. Le SPC représente un lourd fardeau pour la santé, et certains groupes sont plus touchés que d’autres. Ces renseignements aideront à orienter les politiques et les services du système de soins de santé destinés aux personnes atteintes du SPC et à leurs proches.
Mots-clés : syndrome post-COVID-19, syndrome post-COVID, séquelles post-aiguës de la COVID-19, COVID-19 de longue durée, COVID longue, rétablissement de la COVID-19, effets à long terme de la COVID-19, prévalence, revue systématique, études prospectives
Points saillants
- Nous avons recherché des études prospectives sur la prévalence du syndrome post-COVID-19 publiées jusqu’au 15 juillet 2022 ainsi que des revues systématiques, des rapports faisant autorité et des enquêtes populationnelles publiées jusqu’au 8 décembre 2023.
- Grâce à des analyses en groupes et en sous-groupes, nous avons mis en commun les données de prévalence de 483 531 adultes et enfants présentant des symptômes nouveaux ou persistants au moins trois mois après leur infection confirmée par le SRAS-CoV-2.
- Plus de 50 % des personnes ayant survécu à la COVID-19 ont présenté au moins un symptôme de syndrome post-COVID-19 jusqu’à deux ans après l’infection initiale.
- Les symptômes les plus courants ont été la dyspnée, la fatigue, la douleur et la dépression, et la conséquence la plus fréquente a été le fait de ne pas retourner travailler.
Introduction
Presque 5 ans après le premier cas signalé de « pneumonie d’étiologie inconnue »Note de bas de page 1, on signale que plus de 772 millions de personnes ont été infectées par le SRAS-CoV-2, et la COVID-19 a entraîné plus de 7 millions de décèsNote de bas de page 2. Si de nombreuses personnes ayant survécu à la COVID-19 se sont complètement rétablies de leur infection aiguë, d’autres ont conservé ou développé des symptômes ou des problèmes de santé pendant des périodes plus ou moins longues.
L’Organisation mondiale de la santé définit le syndrome post-COVID-19 (SPC) comme un symptôme qui se manifeste chez une personne dont on sait ou on soupçonne qu’elle a été atteinte de la COVID-19, qui peut être soit nouveau (apparaissant pour la première fois trois mois ou plus après la maladie initiale) soit persistant depuis la maladie initiale, qui est présent pendant au moins deux mois et qui ne peut pas être attribué à une autre causeNote de bas de page 3Note de bas de page 4. Les symptômes les plus courants sont la fatigue, la dyspnée, le dysfonctionnement cognitif, des troubles de la mémoire ou du sommeil, la toux, la tachycardie, la douleur, une altération de l’odorat ou du goût, la dépression, l’anxiété et la fièvreNote de bas de page 3Note de bas de page 4Note de bas de page 5Note de bas de page 6.
Si les autorités sanitaires ont été globalement en mesure d’enregistrer le nombre de cas de COVID-19, il est difficile d’estimer le nombre de personnes qui présentent des symptômes du SPC, principalement en raison de l’absence de définition universellement acceptée de ce syndrome, qui compte plus de 200 symptômes de base ou problèmes de santé, et pour lesquels il existe de surcroît des définitions ou des méthodes d’évaluation différentesNote de bas de page 3Note de bas de page 4Note de bas de page 5Note de bas de page 6. Par conséquent, la prévalence du SPC varie considérablement d’une étude à l’autre, allant de moins de 1 % à plus de 50 %Note de bas de page 7Note de bas de page 8Note de bas de page 9Note de bas de page 10Note de bas de page 11Note de bas de page 12. Cette variation est également attribuable à l’utilisation d’estimations qui peuvent inclure à la fois les cas soupçonnés et les cas confirmés, qui sont fondées sur des modèles expérimentaux différents et qui appliquent des méthodes d’évaluation des conséquences différentes.
D’après les modélisations statistiques, environ 145 millions de personnes, soit 3,7 % des quelque 4 milliards de personnes ayant contracté la COVID-19 selon les estimations, ont pu présenter un SPC à la fin de l’année 2021Note de bas de page 13. Ces modélisations ont également prévu que 15,1 % de cette population pourraient continuer à présenter ces symptômes pendant plus d’un an après l’infection initialeNote de bas de page 13Note de bas de page 14.
D’après les résultats d’enquêtes populationnelles récentes, la prévalence globale des symptômes du SPC chez les adultes est variable d’un pays à l’autre, s’établissant par exemple à 14,3 % aux États-UnisNote de bas de page 15, à 6,8 % au CanadaNote de bas de page 16 et à 4,7 % en AustralieNote de bas de page 17. Une enquête nationale réalisée en 2023 a révélé que 1,6 million de personnes au Royaume-Uni, soit 2,6 % de la population totale, ont déclaré présenter des symptômes de SPCNote de bas de page 11. De nombreuses études ont montré que les femmes étaient plus susceptibles que les hommes de faire état de symptômes de SPCNote de bas de page 11Note de bas de page 15Note de bas de page 17Note de bas de page 18.
Selon une étude canadienne réalisée en 2023, le fardeau du SPC sur le système de santé se situe entre 7,8 et 50,6 milliards de dollars canadiens, le coût par cas s’établissant dans une fourchette allant de 1 675 à 7 340 dollars canadiens, et la réduction des années de vie ajustées en fonction de la qualité de vie entre 0,047 et 0,206 au cours de la première année après l’infection initialeNote de bas de page 19. Une étude américaine réalisée en 2022 a estimé que les coûts annuels des soins de santé liés au SPC se situaient dans une fourchette allant de 43 à 172 milliards de dollars US et que les pertes de revenus en raison du SPC se situaient dans une fourchette allant de 101 à 430 milliards de dollars US, soit une perte totale de 140 à 600 milliards de dollars US par anNote de bas de page 7. Ces estimations excluent les coûts liés aux prestations d’invalidité, aux services sociaux et à la perte de revenu des aidantsNote de bas de page 7.
Cette étude vise à recenser, à observer et à analyser systématiquement les données épidémiologiques prospectives sur la prévalence des conséquences et des symptômes prédéfinis du SPC qui sont apparus ou ont persisté trois mois ou plus après un diagnostic confirmé de COVID-19.
Méthodologie
Enregistrement de la revue systématique
Le protocole de la revue systématique a été consigné dans PROSPERO, le registre international prospectif des revues systématiques (CRD42021231476), et respecte les directives CochraneNote de bas de page 20 et PRISMA (Preferred Reporting Items for Systematic Reviews and Meta-Analyses)Note de bas de page 21.
Critères d’inclusion
Cette revue systématique est axée sur les études prospectives (études de cohortes et essais cliniques) parce que ces dernières prouvent l’exposition à la COVID-19 avant l’apparition du SPC, ce qui permet d’accroître la certitude sur la relation causale entre la COVID-19 et le SPC; grâce à leur méthodologie robuste; et grâce à leur susceptibilité minimale au biais de rappelNote de bas de page 22Note de bas de page 23Note de bas de page 24. Nous avons inclus les études primaires, les études prospectives ainsi que les études évaluées par les pairs, publiées en anglais ou en français, qui comptent au moins 50 participants ayant signalé des conséquences ou des symptômes nouveaux ou persistants, et ce, 12 semaines ou plus après avoir reçu un diagnostic confirmé de COVID-19. Nous avons exclu les études qui ont recruté des participants en fonction de conséquences ou de symptômes déjà présents du SPC ou apparus après la résolution de la phase aiguë (quatre semaines).
Les symptômes ou les conséquences ont été sélectionnés par consensus lors de consultations avec des représentants des patients, des experts cliniques et des décideurs. Ces symptômes et ces conséquences ont été déterminés en fonction des préoccupations des patients, de la pertinence clinique et des répercussions sur la prestation des services de soins de santé. Les symptômes sont la fatigue, la dyspnée, la douleur, les troubles cognitifs, les événements cardiovasculaires majeurs, les psychopathologies et les troubles du sommeil, tandis que les conséquences englobent les problèmes de mobilité et les déficiences fonctionnelles. (Consulter l’annexe A du document complémentaire I [en anglais seulement] pour connaître le processus de sélection des études et le processus de collecte des données ainsi que pour obtenir la liste des études exclues.)
Stratégie de recherche
Nous avons mis en œuvre une stratégie de recherche exhaustive, adaptée des lignes directrices du National Institute for Health and Care Excellence (NICE) sur la COVID de longue duréeNote de bas de page 25 pour recenser les études prospectives originales portant sur la prévalence des symptômes et des conséquences du SPC chez les personnes, sans égard à leur sexe, leur âge, leur race ou origine ethnique, leur pays de résidence ou tout autre facteur. Une bibliothécaire a procédé à une évaluation par les pairs et a conclu que cette stratégie de recherche correspondait à nos critères de recherche.
La recherche initiale, entreprise le 15 juillet 2022, a permis d’extraire les études publiées entre le 22 octobre 2020 et le 15 juillet 2022 dans MEDLINE, Embase, Cochrane CENTRAL, PsycINFO et les principales sources de littérature grise. À l’aide de la même stratégie de recherche, nous avons effectué une recherche approfondie du 13 au 31 mars 2023 pour recenser les revues systématiques, les rapports faisant autorité et les enquêtes populationnelles renfermant des données probantes publiées après le 15 juillet 2022, afin d’obtenir une vision contextuelle complète et actualisée. Nous avons continué à surveiller les rapports faisant autorité et les enquêtes populationnelles jusqu’au 8 décembre 2023.
Sélection des études
Au moyen de l’application DistillerSR (DistillerSR Inc., Ottawa, Ontario, Canada)Note de bas de page 26, nous avons élaboré et mis à l’essai un formulaire d’analyse du titre et du résumé ainsi qu’un formulaire d’analyse du texte intégral. Ces formulaires ont été mis à l’essai par plusieurs évaluateurs (AH, AMZ, CL, EC, FRD, KM, LB, AB, MKT, RC, TC et TS) et ont ensuite été modifiés avant leur mise en œuvre à grande échelle. À chaque étape, deux évaluateurs ont utilisé de façon indépendante ces formulaires pour évaluer la conformité de chaque étude aux critères d’inclusion. Un seul évaluateur était suffisant pour analyser les titres et les résumés des études afin d’en vérifier la pertinence éventuelle et pour faire passer une référence à l’étape de l’analyse du texte intégral, tandis que deux évaluateurs étaient nécessaires pour exclure une étude. Deux évaluateurs étaient également nécessaires pour exclure une référence ou la faire passer au niveau suivant lors de l’analyse du texte intégral. Tout désaccord à l’étape de l’analyse du texte intégral a été résolu par discussion.
Extraction des données
Les formulaires d’extraction des données ont été créés préalablement à l’analyse à l’aide de DistillerSRNote de bas de page 26. Ils ont été utilisés pour saisir les principales caractéristiques des études, les données sociodémographiques sur les patients et les données sur les résultats (symptômes et conséquences) (décrits dans le tableau 1, dans l’annexe B du document complémentaire I et dans le document complémentaire II [documents en anglais seulement]). Un évaluateur (AH, AMZ, CL, EC, FRD, KM, LB, AB, MKT, RC, TC ou TS) a procédé à l’extraction initiale des données pour chaque étude, tandis qu’un second évaluateur a vérifié l’exactitude et l’exhaustivité des données extraites.
| Principales caractéristiques | Plan d’étude : étude de cohorte / essai contrôlé randomisé |
|---|---|
| Gestion des cas : en milieu hospitalier (unité de soins intensifs/salle commune) / en milieu communautaire (consultation externe/soins ambulatoires) / mixte | |
| Diagnostic : laboratoire / clinique / laboratoire + clinique | |
| Données sociodémographiques sur les patients | Pays de résidence |
| Groupe de population : adultes / enfants / tous âges; hommes / femmes | |
| SymptômesNote de bas de page a | Dyspnée |
| Fatigue | |
| Palpitations/tachycardie | |
| Douleur : arthralgie; douleur à la poitrine; maux de tête; myalgie | |
| Troubles cognitifs : brouillard cérébral; troubles cognitifs (non spécifiés); troubles de la concentration; troubles de la mémoire | |
| Psychopathologies cliniques : anxiété; dépression; TSPT | |
| Qualité de vie liée à la santé : troubles du sommeil (non spécifiés); insomnie | |
| ConséquencesNote de bas de page a | Problèmes de mobilité; limitations en matière de retour au travailNote de bas de page b; difficultés liées aux soins personnels; difficultés à effectuer les activités quotidiennes |
Évaluation du risque de biais
Nous avons procédé à une évaluation du risque de biais (RDB) en utilisant une version modifiée de l’outil d’évaluation du Joanna Briggs Institute (JBI) pour les études de prévalenceNote de bas de page 27Note de bas de page 28. Après consultation avec les auteurs de l’outil d’évaluation critique du JBI, nous avons omis certaines questions afin d’éviter tout chevauchement avec les critères d’évaluation de l’imprécision et du caractère indirect dans le cadre de l’évaluation du degré de certitude des données probantes. Le RDB de chaque étude a été évalué à l’aide de questions de la liste de contrôle d’évaluation critique du JBI : « La base d’échantillonnage correspond-elle à la population ciblée? », « Est-ce que les participants à l’étude ont été sélectionnés de manière appropriée? » et « Est-ce que le taux de réponse était adéquat? Sinon, est-ce que le faible taux de réponse a été pris en compte de manière appropriée? »Note de bas de page 28. Le RDB de chaque résultat (symptôme ou conséquence) a été évalué séparément à l’aide des questions suivantes de la liste de contrôle d’évaluation critique du JBI : « Est-ce que des méthodes valides ont été utilisées pour déterminer le problème de santé? » et « Est-ce que le problème de santé a été mesuré de manière normalisée et fiable pour tous les participants? »Note de bas de page 28. Les réponses possibles à toutes les questions étaient soit « oui », soit « non ».
Les questions ont ensuite été réparties en trois domaines : les participants (population, échantillonnage et taux de réponse), les mesures de résultat (identification et mesure) et les statistiques (données présentées). Les études répondant pleinement aux critères de ces domaines ont été classées comme ayant un RDB faible, celles répondant partiellement aux critères ont été classées comme ayant un RDB modéré et celles ne répondant pas aux critères ont été classées comme ayant un RDB élevé. Le RDB de chaque étude a été établi par un évaluateur et validé par un autre (AH, AMZ, EC, FRD, KM, LB, AB, PR, RC, TC ou TS), un troisième évaluateur étant appelé à trancher en cas de divergence (MKT). (Pour plus de détails, consulter l’annexe C du document complémentaire I [en anglais seulement].)
Analyse des données
Les données extraites ont été compilées, nettoyées et normalisées à l’aide d’Excel 2019 (Microsoft, Redmond, Washington, É.-U.)Note de bas de page 29. Nous avons introduit une nouvelle variable, « début pour le suivi », pour tenter d’harmoniser les différentes périodes de suivi des études incluses. Ces périodes de suivi correspondent au temps écoulé entre la confirmation du diagnostic de COVID-19, l’apparition des symptômes ou la guérison du patient et l’évaluation de suivi. Dans le cas des études indiquant que les évaluations de suivi commençaient au moment du rétablissement du patient, nous avons ajouté une semaine à la période déclarée. Dans le cas des études indiquant que les évaluations de suivi commençaient au moment de la sortie de l’hôpital, nous avons ajouté deux semaines à la période déclarée.
Pour mieux comprendre l’évolution de la prévalence du SPC au fil du temps, nous avons réparti les données recueillies sur la prévalence en quatre périodes de suivi : semaines 12 à 26, semaines 27 à 39, semaines 40 à 52 et plus d’un an. Lorsqu’une étude faisait état d’une conséquence ou d’un symptôme à plusieurs reprises au cours de la même période, nous avons utilisé les données de la période de suivi la plus longue.
Nous avons effectué une série de méta-analyses sur la prévalence au moyen d’un modèle à effets aléatoires pour tenir compte de l’hétérogénéité attendue des études inclusesNote de bas de page 20Note de bas de page 21. Dans notre analyse primaire, nous avons regroupé les données de l’ensemble des études par symptôme, conséquence et période de suivi. Pour explorer les raisons de l’hétérogénéité, nous avons effectué des analyses en sous-groupes en fonction du niveau de RDB (faible ou modéré comparativement à élevé), de la population étudiée (milieu hospitalier, communautaire ou les deux) et du continent.
Lorsque nous disposions d’assez de données, nous avons stratifié les données sur la prévalence en fonction du sexe, de la gravité de la maladie, de la prise en charge (hospitalisation ou soins ambulatoires) et du niveau de soins hospitaliers (unité de soins intensifs ou salle commune) lors de l’infection initiale. Bien que nous ayons observé la stratification en fonction de l’âge, de la race ou origine ethnique et des problèmes de santé préexistants, cette analyse n’a pas toujours été possible en raison de la disponibilité limitée des données. Si plusieurs études portaient sur ume même population, seule la publication la plus récente a été incluse dans la méta-analyse.
Toutes les analyses statistiques ont été effectuées à l’aide du logiciel d’analyse statistique R, version 1.4.1106 (R Foundation for Statistical Computing, Vienne, Autriche)Note de bas de page 30. Nous avons utilisé la fonction « metaprop » du package « meta » pour la méta-analyse et la fonction « forest.meta » du même package pour générer les graphiques en forêt.
Évaluation de la certitude des données probantes
Une fois la méta-analyse terminée, nous avons évalué le degré de certitude des données probantes pour chaque symptôme et chaque conséquence à l’aide d’une version modifiée de l’approche GRADE (Grading of Recommendations, Assessment, Development, and Evaluations)Note de bas de page 31Note de bas de page 32 pour les études de pronostic (précédemment adoptée par Righy et ses collaborateursNote de bas de page 33). Un évaluateur expérimenté (AMZ, FRD, KM, LB, MKT ou PR) a évalué les données probantes associées à chaque symptôme ou conséquence sur l’ensemble de l’échantillon et pour toutes les périodes de suivi. Ces évaluations ont ensuite été validées par un autre membre de l’équipe et, en cas de divergence, la discussion entre les évaluateurs s’est poursuivie jusqu’à ce qu’ils parviennent à un accord.
Plusieurs caractéristiques ont été évaluées pour chaque symptôme et chaque conséquence : RDB, incohérence, caractère indirect et imprécision. Le RDB, en particulier, a été évalué sur toutes les études portant sur une conséquence ou un symptôme précis à l’aide de l’approche GRADE. Contrairement à l’outil d’évaluation du risque de biais du JBI, qui évalue les biais au sein des études individuelles selon les symptômes et conséquences inclus dans l’étude, l’approche GRADE caractérise les biais sur l’ensemble des études pour chaque symptôme et conséquence, en les classant dans les catégories « non grave », « grave » ou « très grave ».
Outre le RDB, nous avons évalué s’il y avait des incohérences en comparant la variabilité des estimations de prévalence entre études. Nous avons évalué le caractère indirect en déterminant la pertinence de la population étudiée par rapport à la question de recherche, et l’imprécision en analysant la taille des échantillons. Chacune de ces caractéristiques a contribué à déterminer le degré global de certitude des données probantes, soit « élevé », « modéré », « faible » ou « très faible », pour chaque symptôme et chaque conséquence sur les quatre périodes de suivi. (Pour plus de détails sur l’évaluation GRADE, consulter l’annexe D du document complémentaire I [en anglais seulement].)
Résultats
Notre recherche primaire a permis d’identifier 20 731 références uniques provenant des quatre bases de données et de la littérature grise. Parmi celles-ci, 194 ont répondu aux critères d’inclusion (figure 1).
Figure 1 : Texte descriptif
Cette figure illustre le processus de sélection des études. Il y a deux sources d'études : celles dans les bases de données, les registres et la littérature grise et celles de la recension des données probantes à l’aide d’autres méthodes. Les deux sources seront combinées à la dernière étape (étape 3).
Recension des études dans les bases de données, les registres et la littérature grise
- Étape 1 : Recension
- Provenance des publications :
- Bases de données (n = 26 410)
- Registres et littérature grise (n = 720)
- Études exclues avant l’examen préalable :
- Doublons (n = 6399)
- Études classées comme inadmissibles par les outils d’automatisation (n = 0)
- Études exclues pour d’autres motifs (n = 0)
- Provenance des publications :
- Étape 2 : Sélection
- Publications examinées (n = 20 731)
- Études exclues (n = 15 292)
- Études dont la récuperation a été tentée (n = 5439)
- Études non récupérées (n = 0)
- Études dont l’admissibilité a été évaluée (n = 5439)
- Études exclues (n = 5245):
- Absence de résultats à long terme (n = 1837)
- Études non primaires (n = 1030)
- Plan d’étude non pertinent (n = 678)
- Absence de résultat d’intérêt (n = 671)
- Période de suivi courte (< 3 mois) (n = 378)
- Recrutement tardif des participants (n = 205)
- Publications non disponibles en anglais ou en français (n = 202)
- Associées à des données de moins de 3 mois (n = 134)
- Faible nombre de participants (n = 56)
- Autodiagnostic/données non déclarées (n = 49)
- Associées à des données d’autodiagnostic (n = 5)
- Publications examinées (n = 20 731)
Recension des données probantes à l’aide d’autres méthodes
- Étape 1 : Recensement
- Provenance des études :
- Revues systématiques (n = 83)
- Rapports faisant autorité (n = 12)
- Enquêtes populationnelles (n = 4)
- Provenance des études :
- Étape 2 : Sélection
- Études dont la récuperation a été tentée (n = 99)
- Études non récupérées (n = 0)
- Études dont l’admissibilité a été évaluée (n = 99)
- Études excludes :
- Revues non systématiques (n = 66)
- Études dépassées ou non pertinentes (n = 7)
- Études excludes :
- Études dont la récuperation a été tentée (n = 99)
Somme de tous les rapports évalués en matière d’admissibilité
Donc, au final, n = 220 études ont été retenues pour la revue.
- Étape 3 : Inclusion
- Études retenues pour la revue (n = 220)
- Études prospectives (n = 194)
- Revues systématiques (n = 17)
- Rapports faisant autorité (n = 5)
- Enquêtes en population (n = 4)
- Études retenues pour la revue (n = 220)
Abréviation : PRISMA, Preferred Reporting Items for Systematic Reviews and Meta-Analyses.
Notre recherche approfondie a permis de relever 17 revues systématiques, 5 rapports faisant autorité et 4 enquêtes populationnelles portant sur la prévalence du SPC et publiés entre 2021 et 2023.
Aperçu des études
À l’exception de deux essais cliniquesNote de bas de page 34Note de bas de page 35, les 194 études incluses sont toutes des études de cohortes prospectives observationnelles. Plus de 60 % (n = 120) des études retenues ont été menées dans sept pays, soit, par ordre d’importance du nombre d’études : l’ItalieNote de bas de page 36Note de bas de page 37Note de bas de page 38Note de bas de page 39Note de bas de page 40Note de bas de page 41Note de bas de page 42Note de bas de page 43Note de bas de page 44Note de bas de page 45Note de bas de page 46Note de bas de page 47Note de bas de page 48Note de bas de page 49Note de bas de page 50Note de bas de page 51Note de bas de page 52Note de bas de page 53Note de bas de page 54Note de bas de page 55Note de bas de page 56Note de bas de page 57Note de bas de page 58Note de bas de page 59Note de bas de page 60Note de bas de page 61Note de bas de page 62Note de bas de page 63Note de bas de page 64Note de bas de page 65, la Chine Note de bas de page 34Note de bas de page 66Note de bas de page 67Note de bas de page 68Note de bas de page 69Note de bas de page 70Note de bas de page 71Note de bas de page 72Note de bas de page 73Note de bas de page 74Note de bas de page 75Note de bas de page 76Note de bas de page 77Note de bas de page 78Note de bas de page 79Note de bas de page 80Note de bas de page 81Note de bas de page 82Note de bas de page 83Note de bas de page 84Note de bas de page 85Note de bas de page 86Note de bas de page 87Note de bas de page 88Note de bas de page 89Note de bas de page 90, l’EspagneNote de bas de page 91Note de bas de page 92Note de bas de page 93Note de bas de page 94Note de bas de page 95Note de bas de page 96Note de bas de page 97Note de bas de page 98Note de bas de page 99Note de bas de page 100Note de bas de page 101Note de bas de page 102Note de bas de page 103Note de bas de page 104Note de bas de page 105Note de bas de page 106Note de bas de page 107Note de bas de page 108Note de bas de page 109Note de bas de page 110Note de bas de page 111Note de bas de page 112, les États-UnisNote de bas de page 113Note de bas de page 114Note de bas de page 115Note de bas de page 116Note de bas de page 117Note de bas de page 118Note de bas de page 119Note de bas de page 120Note de bas de page 121Note de bas de page 122Note de bas de page 123Note de bas de page 124Note de bas de page 125Note de bas de page 126Note de bas de page 127 la FranceNote de bas de page 128Note de bas de page 129Note de bas de page 130Note de bas de page 131Note de bas de page 132Note de bas de page 133Note de bas de page 134Note de bas de page 135Note de bas de page 136, la SuisseNote de bas de page 137Note de bas de page 138Note de bas de page 139Note de bas de page 140Note de bas de page 141Note de bas de page 142Note de bas de page 143Note de bas de page 144Note de bas de page 145 et le Royaume-UniNote de bas de page 146Note de bas de page 147Note de bas de page 148Note de bas de page 149Note de bas de page 150Note de bas de page 151Note de bas de page 152Note de bas de page 153Note de bas de page 154. Quatre pour cent des études (n = 7) ont été menées aux Pays-BasNote de bas de page 35Note de bas de page 155Note de bas de page 156Note de bas de page 157Note de bas de page 158Note de bas de page 159Note de bas de page 160; 3 % (n = 6) au MexiqueNote de bas de page 161Note de bas de page 162Note de bas de page 163Note de bas de page 164Note de bas de page 165Note de bas de page 166; 2,6 % au BrésilNote de bas de page 167Note de bas de page 168Note de bas de page 169Note de bas de page 170Note de bas de page 171, au DanemarkNote de bas de page 172Note de bas de page 173Note de bas de page 174Note de bas de page 175Note de bas de page 176, en AllemagneNote de bas de page 176Note de bas de page 177Note de bas de page 178Note de bas de page 179Note de bas de page 180Note de bas de page 181, en SuèdeNote de bas de page 182Note de bas de page 183Note de bas de page 184Note de bas de page 185Note de bas de page 186 et en TurquieNote de bas de page 187Note de bas de page 188Note de bas de page 189Note de bas de page 190Note de bas de page 191 (n = 5 études chacun) et 2,1 % en BelgiqueNote de bas de page 192Note de bas de page 193Note de bas de page 194Note de bas de page 195 et en IndeNote de bas de page 196Note de bas de page 197Note de bas de page 198Note de bas de page 199 (n = 4 études chacun). De même, 1,5 % des études ont été menées en IranNote de bas de page 200Note de bas de page 201Note de bas de page 202 et en PologneNote de bas de page 203Note de bas de page 204Note de bas de page 205 (n = 3 études chacun) et 1,0 % en AustralieNote de bas de page 206Note de bas de page 207, en IsraëlNote de bas de page 208Note de bas de page 209, en NorvègeNote de bas de page 210Note de bas de page 211, au PakistanNote de bas de page 212Note de bas de page 213, en RussieNote de bas de page 214Note de bas de page 215 et en Corée du SudNote de bas de page 216Note de bas de page 217 (n = 2 études chacun). Une seule étude a été menée en AutricheNote de bas de page 218, au ChiliNote de bas de page 219, en IrakNote de bas de page 220, en IrlandeNote de bas de page 221, au JaponNote de bas de page 222, en Arabie SaouditeNote de bas de page 223, en SerbieNote de bas de page 224 et à SingapourNote de bas de page 225. Deux études ont été menées dans plusieurs paysNote de bas de page 226Note de bas de page 227. Aucune des études retenues n’a été réalisée au Canada.
Périodes de suivi
La plupart des études (n = 106) couvraient la période allant des semaines 12 à 26 après l’infection initiale. Un plus petit nombre d’études couvraient les autres périodes : semaines 27 à 39 (n = 39), semaines 40 à 52 (n = 22) ou plus d’un an (n = 25) après l’infection initiale.
Données sociodémographiques sur les patients
Dans le cadre des études sélectionnées, 483 531 personnes ayant reçu un diagnostic confirmé de COVID-19 ont fait l’objet d’un suivi, sur des périodes allant jusqu’à 2 ans. Chez 82 % des participants aux études retenues, l’infection a été confirmée par un test positif de réaction en chaîne de la polymérase (PCR); pour les 18 % restants, la confirmation de l’infection reposait sur un diagnostic clinique ou sur une combinaison de diagnostic clinique et de diagnostic en laboratoire.
Pas moins de 95 % des études (n = 184) n’incluaient que des participants adultes (plus de 18 ans). Sept études présentaient des données sur les adultes et les enfants combinésNote de bas de page 78Note de bas de page 84Note de bas de page 128Note de bas de page 151Note de bas de page 175Note de bas de page 183Note de bas de page 196, deux études se concentraient exclusivement sur les enfants et les adolescents (18 ans et moins)Note de bas de page 185Note de bas de page 214 et une étude fournissait des données à part pour les enfantsNote de bas de page 215. Plus des deux tiers (70 %; n = 136) des études portaient sur des participants ayant été hospitalisés lors de leur infection initiale, 8 % sur des patients non hospitalisés (ou ambulatoires) et 22 % sur à la fois des patients ayant été hospitalisés et des patients n’ayant pas été hospitalisés. Nous avons estimé qu’une représentation équitable des femmes correspondait à uen fourchette allant de 45 % à 55 % de la population totale de l’étude. Dans 51 % des études incluses, les femmes représentaient moins de 45 % de l’échantillon. (Pour plus de détails sur les études exclues et les études retenues, consulter les annexes respectivement A et B du document complémentaire I [en anglais seulement].)
Risque de biais
L’évaluation des études incluses a permis de déterminer que 57 % d’entre elles avaient un RDB modéré, 39 % un RDB élevé et 5 % un RDB faible. En ce qui concerne la plupart des symptômes et des conséquences, nous avons établi que plus de la moitié des études présentaient un RDB faible ou modérée pour chaque symptôme et conséquence spécifiquement. Cependant, dans le cas de l’anxiété, de la dépression, du trouble de stress post-traumatique (TSPT), des troubles de la mémoire et des problèmes de mobilité, plus de la moitié des études présentaient un RDB élevé. (Le détail des évaluations du RDB est présenté dans les annexes B et C du document complémentaire I [en anglais seulement].)
Certitude des données probantes
Sur l’ensemble de l’échantillon et des périodes de suivi, le degré de certitude des données probantes des évaluations des symptômes ou des conséquences s’est révélé très faible dans 57 % des cas, faible dans 39 % des cas et modéré dans 3 % des cas. En ce qui concerne le RDB, la plupart des analyses présentaient un RDB grave, 49 % aboutissant à une réduction de la certitude d’un point complet et 14 % d’un demi-point. En outre, 32 % des analyses ont été classées comme présentant un RDB très grave. Dans la majorité des évaluations, les incohérences ont été classées comme étant graves, 53 % d’entre elles donnant lieu à une réduction d’un point et 31 % à une réduction d’un demi-point. Le caractère indirect s’est également révélé un facteur important, puisque 91 % des estimations ont été évaluées comme présentant un risque grave lié au caractère indirect en raison de la prédominance des populations hospitalières dans les études à l’appui. Seulement 8 % des analyses étaient étayées par des études portant sur des populations plus équilibrées, notamment en milieu communautaire ou en contexte mixte. L’imprécision, évaluée à l’aide du critère de la taille optimale des données, a été évaluée comme ne présentant pas de risque grave dans 93 % des analyses. Cependant, 6 % des analyses ont été évaluées comme présentant un risque grave en raison de seuils de critères de taille des données non atteints. (Pour de plus amples renseignements au sujet de l’évaluation GRADE, consulter les figures 3 à 6 et l’annexe D du document complémentaire I [en anglais seulement].)
Symptômes et conséquences
Pendant presque toutes les périodes de suivi, plus de la moitié des personnes ayant survécu à la COVID-19 ont déclaré avoir ressenti un ou plusieurs symptômes du SPC : 56,5 % (n = 14 615) lors des semaines 12 à 26; 50,9 % (n = 2 764) lors des semaines 27 à 39; et 77,6 % (n = 2 337) plus d’un an après. Lors des semaines 40 à 52, le pourcentage de personnes déclarant avoir ressenti un ou plusieurs symptômes de SPC était plus faible, soit 32,6 % (n = 1 198).
La fatigue (n = 101) et la dyspnée (n = 98) ont souvent été signalées dans les études couvrant l’ensemble des périodes de suivi. D’autres symptômes et conséquences étaient des maux de tête (n = 65), des myalgies (n = 53), des douleurs à la poitrine (n = 48) et des palpitations ou de la tachycardie (n = 41), bien que leur classement relatif ait varié au fil du temps. Des limitations en matière de retour au travail (n = 12) sont les conséquences liées à la déficience fonctionnelle le plus souvent signalées dans les études. (Pour obtenir une vue d’ensemble des estimations de la prévalence les plus importantes, ou pour connaître le nombre d’études contribuant à chaque symptôme ou conséquence ainsi que le degré d’hétérogénéité des études, voir le tableau 2; pour plus de détails, consulter le document complémentaire II [en anglais seulement].)
| Symptôme / conséquence | Valeur | Période de suivi | |||
|---|---|---|---|---|---|
| Semaines 12 à 26 | Semaines 27 à 39 | Semaines 40 à 52 | Plus d’1 an | ||
| Symptôme | |||||
| Général | |||||
| 1 symptôme au moins | Estimation groupée de la prévalence, en % (IC à 95 %) | 56,52 (47,18 à 65,42) |
50,89 (33,53 à 68,03) |
32,64 (19,64 à 49,00) |
77,64 (52,23 à 91,69) |
| I2, en % | 99 | 98 | 96 | 99 | |
| Nombre d’études | 32 | 9 | 4 | 6 | |
| Degré de CDP | Très faible | Très faible | Faible | Très faible | |
| Dyspnée | Estimation groupée de la prévalence, en % (IC à 95 %) | 20,55 (13,64 à 29,76) |
14,81 (11,41 à 19,01) |
16,06 (11,60 à 21,82) |
15,62 (8,76 à 26,31) |
| I2, en % | 100 | 94 | 96 | 99 | |
| Nombre d’études | 61 | 22 | 15 | 18 | |
| Degré de CDP | Faible | Faible | Faible | Très faible | |
| Fatigue | Estimation groupée de la prévalence, en % (IC à 95 %) | 29,90 (19,20 à 43,50) |
28,38 (21,12 à 36,96) |
30,70 (19,40 à 44,90) |
26,90 (18,20 à 37,70) |
| I2, en % | 100 | 98 | 98 | 99 | |
| Nombre d’études | 62 | 26 | 12 | 19 | |
| Degré de CDP | Très faible | Très faible | Faible | Très faible | |
| Palpitations/tachycardie | Estimation groupée de la prévalence, en % (IC à 95 %) | 7,63 (4,76 à 12,03) |
7,01 (4,36 à 11,08) |
3,35 (1,72 à 6,44) |
6,73 (3,96 à 11,21) |
| I2, en % | 97 | 92 | 88 | 96 | |
| Nombre d’études | 20 | 11 | 7 | 13 | |
| Degré de CDP | Très faible | Très faible | Très faible | Très faible | |
| Douleur | |||||
| Douleur à la poitrine | Estimation groupée de la prévalence, en % (IC à 95 %) | 7,52 (5,22 à 10,74) |
6,02 (3,65 à 9,77) |
4,96 (3,55 à 6,88) |
9,61 (5,94 à 15,20) |
| I2, en % | 97 | 93 | 74 | 95 | |
| Nombre d’études | 31 | 14 | 6 | 8 | |
| Degré de CDP | Très faible | Faible | Faible | Très faible | |
| Maux de tête | Estimation groupée de la prévalence, en % (IC à 95 %) | 8,12 (6,31 à 10,39) |
8,32 (5,12 à 13,26) |
4,59 (2,42 à 8,55) |
7,30 (4,04 à 12,85) |
| I2, en % | 95 | 95 | 91 | 97 | |
| Nombre d’études | 45 | 13 | 6 | 14 | |
| Degré de CDP | Faible | Faible | Faible | Très faible | |
| Arthralgie | Estimation groupée de la prévalence, en % (IC à 95 %) | 12,66 (8,79 à 17,9) |
12,66 (6,39 à 23,52) |
11,70 (7,95 à 16,91) |
10,21 (4,81 à 20,37) |
| I2, en % | 98 | 98 | 92 | 97 | |
| Nombre d’études | 25 | 9 | 6 | 7 | |
| Degré de CDP | Très faible | Faible | Faible | Très faible | |
| Myalgie | Estimation groupée de la prévalence, en % (IC à 95 %) | 13,32 (10,18 à 17,23) |
5,64 (3,13 à 9,95) |
4,31 (2,35 à 7,79) |
12,03 (5,48 à 24,37) |
| I2, en % | 97 | 93 | 85 | 99 | |
| Nombre d’études | 34 | 11 | 5 | 11 | |
| Degré de CDP | Très faible | Très faible | Faible | Très faible | |
| Troubles cognitifs | |||||
| Troubles cognitifs (non spécifiés) | Estimation groupée de la prévalence, en % (IC à 95 %) | 6,74 (1,16 à 30,85) |
22,29 (17,98 à 27,30) |
12,66 (5,38 à 26,99) |
10,96 (2,60 à 36,23) |
| I2, en % | 100 | 13 | 95 | 95 | |
| Nombre d’études | 8 | 4 | 5 | 2 | |
| Degré de CDP | Très faible | Modéré | Faible | Faible | |
| Troubles de la mémoire | Estimation groupée de la prévalence, en % (IC à 95 %) | 10,42 (6,46 à 16,41) |
12,97 (5,03 à 29,54) |
5,20 (3,51 à 7,64) |
13,07 (3,89 à 35,82) |
| I2, en % | 98 | 99 | 0 | 99 | |
| Nombre d’études | 22 | 10 | 2 | 7 | |
| Degré de CDP | Très faible | Très faible | Faible | Très faible | |
| Troubles de la concentration | Estimation groupée de la prévalence, en % (IC à 95 %) | 15,52 (8,80 à 25,89) |
11,85 (4,37 à 28,34) |
6,39 (3,36 à 11,81) |
29,88 (12,07 à 56,96) |
| I2, en % | 98 | 99 | 71 | 99 | |
| Nombre d’études | 15 | 10 | 2 | 6 | |
| Degré de CDP | Très faible | Très faible | Faible | Faible | |
| Brouillard cérébral | Estimation groupée de la prévalence, en % (IC à 95 %) | 8,47 (2,33 à 26,42) |
9,85 (1,67 à 41,19) |
Note de bas de page c | 2,70 (1,90 à 3,50) |
| I2, en % | 99 | 99 | Note de bas de page c | s.o. | |
| Nombre d’études | 5 | 4 | Note de bas de page c | 1 | |
| Degré de CDP | Très faible | Très faible | Note de bas de page c | Faible | |
| Psychopathologies cliniques | |||||
| Anxiété | Estimation groupée de la prévalence, en % (IC à 95 %) | 16,68 (12,48 à 21,95) |
23,93 (3,97 à 70,52) |
14,12 (2,99 à 46,74) |
18,33 (13,03 à 25,16) |
| I2, en % | 96 | 98 | 98 | 93 | |
| Nombre d’études | 24 | 4 | 3 | 8 | |
| Degré de CDP | Très faible | Faible | Très faible | Faible | |
| Dépression | Estimation groupée de la prévalence, en % (IC à 95 %) | 17,34 (13,35 à 22,23) |
40,42 (16,35 à 70,19) |
15,71 (7,10 à 31,27) |
18,45 (2,81 à 63,86) |
| I2, en % | 94 | 93 | 95 | 98 | |
| Nombre d’études | 20 | 2 | 3 | 3 | |
| Degré de CDP | Très faible | Très faible | Très faible | Très faible | |
| TSPT | Estimation groupée de la prévalence, en % (IC à 95 %) | 15,11 (11,18 à 20,11) |
8,59 (5,99 à 12,17) |
14,36 (2,53 à 51,96) |
6,22 (3,2 à 11,75) |
| I2, en % | 93 | 0 | 98 | 84 | |
| Nombre d’études | 19 | 4 | 2 | 4 | |
| Degré de CDP | Faible | Faible | Très faible | Faible | |
| Qualité de vie liée à la santé | |||||
| Troubles du sommeil (non spécifiés) | Estimation groupée de la prévalence, en % (IC à 95 %) | 16,74 (11,63 à 23,51) |
17,09 (9,74 à 28,26) |
13,78 (7,50 à 23,97) |
29,42 (21,29 à 39,11) |
| I2, en % | 98 | 96 | 96 | 97 | |
| Nombre d’études | 23 | 8 | 6 | 10 | |
| Degré de CDP | Très faible | Faible | Très faible | Faible | |
| Insomnie | Estimation groupée de la prévalence, en % (IC à 95 %) | 11,79 (7,76 à 17,52) |
10,29 (4,78 à 20,78) |
6,06 (2,13 à 16,05) |
9,93 (4,2 à 21,71) |
| I2, en % | 95 | 95 | 92 | 92 | |
| Nombre d’études | 12 | 5 | 3 | 3 | |
| Degré de CDP | Très faible | Très faible | Très faible | Faible | |
| Conséquence | |||||
| Problèmes de mobilité | Estimation groupée de la prévalence, en % (IC à 95 %) | 20,58 (3,12 à 67,62) |
31,81 (20,11 à 46,36) |
8,93 (7,31 à 10,55) |
5,98 (2,03 à 16,34) |
| I2, en % | 100 | 84 | s.o. | 93 | |
| Nombre d’études | 8 | 4 | 1 | 2 | |
| Degré de CDP | Très faible | Très faible | Modéré | Très faible | |
| N’est pas retourné(e) travaillerNote de bas de page d | Estimation groupée de la prévalence, en % (IC à 95 %) | 34,86 (23,44 à 48,33) |
36,89 (24,29 à 51,56) |
11,22 (8,96 à 14,02) |
17,27 (8,33 à 32,41) |
| I2, en % | 89 | 51 | 0 | 83 | |
| Nombre d’études | 5 | 2 | 2 | 3 | |
| Degré de CDP | Faible | Très faible | Modéré | Faible | |
| Difficultés à effectuer les activités quotidiennes | Estimation groupée de la prévalence, en % (IC à 95 %) | 20,19 (9,72 à 37,28) |
30,38 (21,26 à 41,37) |
0,37 (0,03 à 4,77) |
8,66 (4,21 à 17,01) |
| I2, en % | 96 | 92 | 85 | 95 | |
| Nombre d’études | 10 | 9 | 2 | 6 | |
| Degré de CDP | Faible | Faible | Faible | Très faible | |
| Difficultés liées aux soins personnels | Estimation groupée de la prévalence, en % (IC à 95 %) | 12,72 (3,36 à 37,94) |
23,09 (6,41 à 56,83) |
2,71 (0,74 à 9,45) |
1,27 (0,79 à 2,03) |
| I2, en % | 98 | 96 | 90 | 0 | |
| Nombre d’études | 7 | 4 | 2 | 2 | |
| Degré de CDP | Très faible | Très faible | Très faible | Faible | |
| Incapacité à retourner au travailNote de bas de page d | Estimation groupée de la prévalence, en % (IC à 95 %) | 38,24 (17,80 à 63,90) |
44,29 (32,65 à 55,92) |
33,33 (20,76 à 45,91) |
37,50 (24,82 à 50,18) |
| I2, en % | 93 | s.o. | s.o. | s.o. | |
| Nombre d’études | 3 | 1 | 1 | 1 | |
| Degré de CDP | Très faible | Très faible | Très faible | Très faible | |
Lors de la période de suivi des semaines 12 à 26, un peu plus de la moitié des personnes ayant survécu à la COVID-19 ont déclaré avoir ressenti un ou plusieurs symptômes (56,50 %, 32 études, certitude des données probantes très faible) (tableau 2 et figure 2a). La fatigue (29,90 %, 62 études, certitude des données probantes très faible) était le symptôme le plus fréquent, suivi de la dyspnée (20,55 %, 61 études, certitude des données probantes faible), de la dépression (17,34 %, 20 études, certitude des données probantes très faible), des troubles du sommeil non spécifiés (16,74 %, 23 études, certitude des données probantes très faible) et de l’anxiété (16,68 %, 24 études, certitude des données probantes très faible). Les limitations en matière de retour au travail sont la conséquence fonctionnelle la plus fréquente au cours de cette période (tableau 2 et figure 2b).
Figure 2a : Texte descriptif
| Symptôme | Prévalence (%) et intervalle de confiance à 95 % | GRADE |
|---|---|---|
| 1 symptôme ou plus | 56,50 % (47,18 à 65,42) | très faible |
| Fatigue | 29,90 % (19,2 à 43,50) | très faible |
| Dyspnée | 20,55 % (13,64 à 29,76) | faible |
| Dépression | 17,34 % (13,35 à 22,23) | très faible |
| Troubles du sommeil | 16,74 % (11,63 à 23,51) | très faible |
| Anxiété | 16,68 % (12,48 à 21,95) | très faible |
| Troubles de la concentration | 15,52 % (8,80 à 25,89) | très faible |
| TSPT | 15,11 % (11,18 à 20,11) | faible |
| Myalgie | 13,32 % (10,18 à 17,23) | très faible |
| Arthralgie | 12,66 % (8,79 à 17,90) | très faible |
| Insomnie | 11,79 % (7,76 à 17,52) | très faible |
| Troubles de la mémoire | 10,42 % (6,46 à 16,41) | très faible |
| Brouillard cérébral | 8,47 % (2,33 à 26,42) | très faible |
| Maux de tête | 8,12 % (6,31 à 10,39) | faible |
| Palpitations | 7,63 % (4,76 à 12,03) | très faible |
| Douleur à la poitrine | 7,52 % (5,22 à 10,74) | très faible |
| Troubles cognitifs | 6,74 % (1,16 à 30,85) | très faible |
Figure 2b : Texte descriptif
| Conséquence | Prévalence (%) et intervalle de confiance à 95 % | GRADE |
|---|---|---|
| Incapacité à retourner au travail | 38,20 % (17,8 à 63,90) | très faible |
| N'est pas retourné(e) travailler | 34,86 % (23,44 à 48,33) | faible |
| Mobilité | 20,58 % (3,12 à 67,62) | très faible |
| Difficultés à effectuer les activités quotidiennes | 20,19 % (9,72 à 37,28) | faible |
| Difficultés liées aux soins personnels | 12,72 % (3,36 à 37,94) | très faible |
Abréviations : IC, intervalle de confiance; GRADE, estimation GRADE (Grading of Recommendations, Assessment, Development, and Evaluations) du degré de certitude des données probantes; SPC, syndrome post-COVID; TSPT, trouble de stress post-traumatique.
Remarques : Les lignes d’erreur représentent les IC à 95 %. Les degrés de certitude de l’approche GRADE sont les suivants : élevé, modéré, faible et très faible.
Lors de la période de suivi des semaines 27 à 39, la moitié des personnes ayant survécu à la COVID-19 ont présenté un ou plusieurs symptômes (50,89 %, 9 études, certitude des données probantes très faible) (tableau 2 et figure 3a). La dépression était le symptôme le plus fréquent (40,42 %, 2 études, certitude des données probantes très faible), suivie de la fatigue (28,38 %, 25 études, certitude des données probantes très faible), de l’anxiété (23,93 %, 4 études, certitude des données probantes faible), des troubles cognitifs non spécifiés (22,29 %, 4 études, certitude des données probantes modérée), des troubles du sommeil non spécifiés (17,09 %, 8 études, certitude des données probantes faible) et de la dyspnée (14,81 %, 22 études, certitude des données probantes faible). Les limitations en matière de retour au travail sont la conséquence fonctionnelle la plus fréquente au cours de cette période (tableau 2 et figure 3b).
Figure 3a : Texte descriptif
| Symptôme | Prévalence (%) et intervalle de confiance à 95 % | GRADE |
|---|---|---|
| 1 symptôme ou plus | 50,89 % (33,53 à 68,03) | très faible |
| Dépression | 40,42 % (16,35 à 70,19) | très faible |
| Fatigue | 28,38 % (21,12 à 36,96) | très faible |
| Anxiété | 23,93 % (3,97 à 70,52) | faible |
| Troubles cognitifs | 22,29 % (17,98 à 27,30) | modéré |
| Troubles du sommeil | 17,09 % (9,74 à 28,26) | faible |
| Dyspnée | 14,81 % (11,41 à 19,01) | faible |
| Troubles de la mémoire | 12,97 % (5,03 à 29,54) | très faible |
| Arthralgie | 12,66 % (6,39 à 23,52) | faible |
| Troubles de la concentration | 11,85 % (4,37 à 28,34) | très faible |
| Insomnie | 10,29 % (4,78 à 20,78) | très faible |
| Brouillard cérébral | 9,85 % (1,67 à 41,19) | très faible |
| TSPT | 8,59 % (5,99 à 12,17) | faible |
| Maux de tête | 8,32 % (5,12 à 13,26) | faible |
| Palpitations | 7,01 % (4,36 à 11,08) | très faible |
| Douleur à la poitrine | 6,02 % (3,65 à 9,77) | faible |
| Myalgie | 5,64 % (3,13 à 9,95) | très faible |
Figure 3b : Texte descriptif
| Conséquence | Prévalence (%) et intervalle de confiance à 95 % | GRADE |
|---|---|---|
| Incapacité à retourner au travail | 44,29 % (32,65 à 55,92) | très faible |
| N'est pas retourné(e) travailler | 36,89 % (24,29 à 51,56) | très faible |
| Mobilité | 31,81 % (20,11 à 46,36) | très faible |
| Difficultés à effectuer les activités quotidiennes | 30,38 % (21,26 à 41,37) | faible |
| Difficultés liées aux soins personnels | 23,09 % (6,41 à 56,83) | très faible |
Abréviations : IC, intervalle de confiance; GRADE, Grading of Recommendations, Assessment, Development, and Evaluations; SPC, syndrome post-COVID; TSPT, trouble de stress post-traumatique.
Remarques : Les lignes d’erreur représentent les IC à 95 %. Les degrés de certitude de l’approche GRADE sont les suivants : élevé, modéré, faible et très faible.
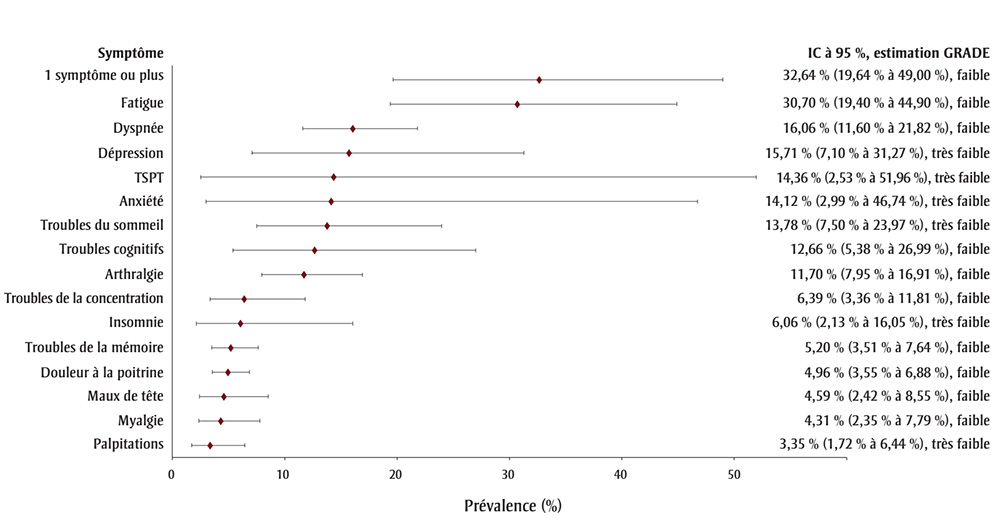
Lors de la période de suivi des semaines 40 à 52, près d’un tiers des personnes ayant survécu à la COVID-19 ont déclaré avoir ressenti un ou plusieurs symptômes (32,64 %, 4 études, certitude des données probantes faible) (tableau 2 et figure 4a). Le symptôme le plus fréquent était la fatigue (30,70 %, 12 études, certitude des données probantes faible), suivie de la dyspnée (16,06 %, 15 études, certitude des données probantes faible), de la dépression (15,71 %, 3 études, certitude des données probantes très faible), du TSPT (14,36 %, 2 études, certitude des données probantes très faible), de l’anxiété (14,12 %, 3 études, certitude des données probantes très faible) et des troubles du sommeil non spécifiés (13,78 %, 6 études, certitude des données probantes très faible). Les conséquences fonctionnelles les plus fréquentes étaient les limitations en matière de retour au travail et les problèmes de mobilité (tableau 2 et figure 4b).
Figure 4a : Texte descriptif
| Symptôme | Prévalence (%) et intervalle de confiance à 95 % | GRADE |
|---|---|---|
| 1 symptôme ou plus | 32,64 % (19,64 à 49,00) | faible |
| Fatigue | 30,70 % (19,40 à 44,90) | faible |
| Dyspnée | 16,06 % (11,60 à 21,82) | faible |
| Dépression | 15,71 % (7,10 à 31,27) | très faible |
| TSPT | 14,36 % (2,53 à 51,96) | très faible |
| Anxiété | 14,12 % (2,99 à 46,74) | très faible |
| Troubles du sommeil | 13,78 % (7,50 à 23,97) | très faible |
| Troubles cognitifs | 12,66 % (5,38 à 26,99) | faible |
| Arthralgie | 11,70 % (7,95 à 16,91) | faible |
| Troubles de la concentration | 6,39 % (3,36 à 11,81) | faible |
| Insomnie | 6,06 % (2,13 à 16,05) | très faible |
| Troubles de la mémoire | 5,20 % (3,51 à 7,64) | faible |
| Douleur à la poitrine | 4,96 % (3,55 à 6,88) | faible |
| Maux de tête | 4,59 % (2,42 à 8,55) | faible |
| Myalgie | 4,31 % (2,35 à 7,79) | faible |
| Palpitations | 3,35 % (1,72 à 6,44) | très faible |
Figure 4b : Texte descriptif
| Conséquence | Prévalence (%) et intervalle de confiance à 95 % | GRADE |
|---|---|---|
| Incapacité à retourner au travail | 33,33 % (20,76 à 45,91) | très faible |
| N'est pas retourné(e) travailler | 11,22 % (8,96 à 14,02) | modéré |
| Mobilité | 8,93 % (7,31 à 10,55) | modéré |
| Difficultés liées aux soins personnels | 2,71 % (0,74 à 9,45) | très faible |
| Difficultés à effectuer les activités quotidiennes | 0,37 % (0,03 à 4,77) | modéré |
Abréviations : IC, intervalle de confiance; GRADE, Grading of Recommendations, Assessment, Development, and Evaluations; SPC, syndrome post-COVID; TSPT, trouble de stress post-traumatique.
Remarques : Les lignes d’erreur représentent les IC à 95 %. Les degrés de certitude de l’approche GRADE sont les suivants : élevé, modéré, faible et très faible.
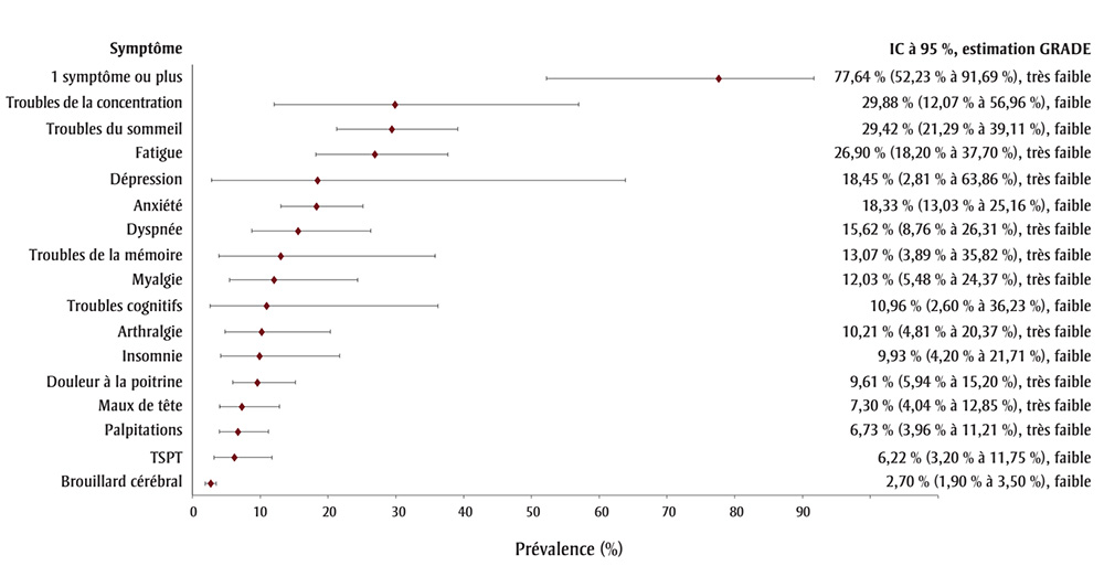
Au cours de la période de suivi de plus d’un an, la plupart des personnes ayant survécu à la COVID-19 ont présenté un ou plusieurs symptômes (77,64 %, 6 études, certitude des données probantes très faible) (tableau 2 et figure 5a). Le symptôme le plus fréquent était les troubles de la concentration (29,88 %, 6 études, certitude des données probantes faible), suivi des troubles du sommeil (29,42 %, 10 études, certitude des données probantes faible), de la fatigue (26,90 %, 19 études, certitude des données probantes très faible), de la dépression (18,45 %, 3 études, certitude des données probantes très faible), de l’anxiété (18,33 %, 8 études, certitude des données probantes faible) et de la dyspnée (15,62 %, 18 études, certitude des données probantes très faible). Les conséquences fonctionnelles les plus fréquentes étaient l’incapacité à retourner au travail (37,50 %, 1 étude, certitude des données probantes très faible), le fait de ne pas retourner travailler (17,27 %, 3 études, certitude des données probantes faible) et les difficultés à effectuer les activités quotidiennes (8,7 %, 6 études, certitude des données probantes très faible) (tableau 2 et figure 5b).
Figure 5a : Texte descriptif
| Symptôme | Prévalence (%) et intervalle de confiance à 95 % | GRADE |
|---|---|---|
| 1 symptôme ou plus | 77,64 % (52,23 à 91,69) | très faible |
| Troubles de la concentration | 29,88 % (12,07 à 56,96) | faible |
| Troubles du sommeil | 29,42 % (21,29 à 39,11) | faible |
| Fatigue | 26,90 % (18,20 à 37,70) | très faible |
| Dépression | 18,45 % (2,81 à 63,86) | très faible |
| Anxiété | 18,33 % (13,03 à 25,16) | faible |
| Dyspnée | 15,62 % (8,76 à 26,31) | très faible |
| Troubles de la mémoire | 13,07 % (3,89 à 35,82) | très faible |
| Myalgie | 12,03 % (5,48 à 24,37) | très faible |
| Troubles cognitifs | 10,96 % (2,60 à 36,23) | faible |
| Arthralgie | 10,21 % (4,81 à 20,37) | très faible |
| Insomnie | 9,93 % (4,20 à 21,71) | faible |
| Douleur à la poitrine | 9,61 % (5,94 à 15,20) | très faible |
| Maux de tête | 7,30 % (4,04 à 12,85) | très faible |
| Palpitations | 6,73 % (3,96 à 11,21) | très faible |
| TSPT | 6,22 % (3,20 à 11,75) | faible |
| Brouillard cérébral | 2,70 % (1,90 à 3,50) | faible |
Figure 5b : Texte descriptif
| Conséquence | Prévalence (%) et intervalle de confiance à 95 % | GRADE |
|---|---|---|
| Incapacité à retourner au travail | 37,50 % (24,82 à 50,18) | très faible |
| N'est pas retourné(e) travailler | 17,27 % (8,33 à 32,41) | faible |
| Difficultés à effectuer les activités quotidiennes | 8,66 % (4,21 à 17,01) | très faible |
| Mobilité | 5,98 % (2,03 à 16,34) | très faible |
| Difficultés liées aux soins personnels | 1,27 % (0,79 à 2,03) | faible |
Abréviations : IC, intervalle de confiance; GRADE, Grading of Recommendations, Assessment, Development, and Evaluations; SPC, syndrome post-COVID; TSPT, trouble de stress post-traumatique.
Remarques : Les lignes d’erreur représentent les IC à 95 %. Les degrés de certitude de l’approche GRADE sont les suivants : élevé, modéré, faible et très faible.
Études auprès des enfants et des adolescents
Deux études incluses exploraient la prévalence du SPC chez les enfants et les adolescents (18 ans ou moins) uniquementNote de bas de page 185Note de bas de page 214. La fatigue était le symptôme le plus fréquent, avec une prévalence de 10,7 % à 14,6 % lors du suivi effectué de plus de 4 mois à 5 moisNote de bas de page 185Note de bas de page 214. Osmanov et ses collaborateursNote de bas de page 214 ont également fait état, lors du suivi effectué à plus de 5 mois, d’une prévalence accrue des troubles du sommeil (6,9 %) et des problèmes sensoriels (5,6 %) chez les enfants précédemment hospitalisés. Pazukhina et ses collaborateursNote de bas de page 215 ont analysé les données de tous les groupes d’âge et ont signalé une prévalence du SPC de 20 % chez les enfants (âge médian : 9,5 ans) lors du suivi à 6 mois, la fatigue étant le symptôme le plus fréquent (9 %).
Analyses en sous-groupes
Les résultats des analyses en sous-groupes montrent que certaines populations pourraient avoir été plus touchées que d’autres par le SPC (voir les tableaux et les graphiques en forêt dans le document complémentaire II [en anglais seulement]). La prévalence ponctuelle s’est révélée plus élevée chez les femmes que chez les hommes pour la plupart des symptômes et des conséquences fonctionnelles, à l’exception de l’anxiété, de la dépression, de l’arthralgie, de l’insomnie et des problèmes de mobilité pour certaines périodes de suivi, même si, dans plusieurs cas, ces résultats n’étaient pas statistiquement significatifs (c’est-à-dire que les intervalles de confiance se chevauchaient pour les estimations ponctuelles). Une prévalence groupée plus élevée a également été observée en cas de gravité accrue de la maladie, ou encore d’hospitalisation ou d’admission en unité de soins intensifs lors de l’infection initiale. Toutefois, dans certains cas, les personnes qui n’avaient pas été hospitalisées présentaient une prévalence ponctuelle plus élevée de problèmes de mobilité, de difficultés liées aux soins personnels, de douleurs et de troubles du sommeil. En outre, bon nombre de ces comparaisons n’étaient pas statistiquement significatives.
Analyse
Cette revue systématique compte 194 études prospectives ayant analysé la prévalence de symptômes et de conséquences du SPC. Dans le cadre des études sélectionnées, 483 531 personnes ayant reçu un diagnostic confirmé de COVID-19 ont fait l’objet d’un suivi sur des périodes allant jusqu’à 2 ans. Cette étude est la première à stratifier les données sur la prévalence déclarée sur quatre périodes de suivi distinctes après l’infection initiale afin d’analyser la trajectoire de la prévalence du SPC au fil du temps.
Au moins la moitié des personnes ayant survécu à la COVID-19 ont signalé un ou plusieurs symptômes du SPC au cours de presque toutes les périodes de suivi. L’estimation groupée de la prévalence d’un ou plusieurs symptômes est la plus élevée pour la période de suivi de plus d’un an. Cependant, il n’a pas été possible, en raison du nombre limité d’études contribuant à cette conséquence, de déterminer si certaines caractéristiques de l’échantillon (par exemple, une proportion plus élevée de patients hospitalisés) ont influencé cette augmentation.
Notre analyse a montré que les symptômes les plus fréquents étaient la fatigue (26,90 % à 30,70 %), la dyspnée (14,81 % à 20,55 %), les symptômes psychopathologiques cliniques (6,22 % à 40,42 %), les troubles du sommeil (13,78 % à 29,42 %), les troubles de la mémoire (5,20 % à 13,07 %), les troubles de la concentration (6,39 % à 29,88 %) et la douleur (4,31 % à 13,32 %). Bien qu’il n’ait pas été possible d’effectuer des analyses en sous-groupes pour toutes les périodes de suivi en raison du nombre insuffisant d’études, nous avons souvent observé une prévalence ponctuelle plus élevée (pas toujours statistiquement significative) dans les sous-groupes suivants : femmes, personnes ayant été hospitalisées ou admises dans une unité de soins intensifs au cours de la phase aiguë de la maladie et personnes atteintes d’une forme grave de la COVID-19.
Le fait que la prévalence du SPC soit plus faible chez les enfants et les adolescents que chez les adultes était manifeste dans les rares études recensées qui ont porté sur ce groupe d’âgeNote de bas de page 185Note de bas de page 214Note de bas de page 215Note de bas de page 228, et va dans le même sens que les résultats d’autres revues systématiques et rapportsNote de bas de page 5Note de bas de page 6Note de bas de page 229. Selon ces publications, les symptômes les plus courants chez les enfants sont la fatigue, l’anosmie, les maux de tête, l’anxiété, l’anorexie, l’otalgie/les acouphènes et les douleurs oculairesNote de bas de page 5Note de bas de page 6Note de bas de page 229. Une enquête menée auprès de la population du Royaume-Uni en 2021 a révélé une prévalence autodéclarée du SPC allant de 0,16 % chez les 2 à 11 ans, à 0,65 % chez les 12 à 16 ans et à 1,22 % chez les 17 à 24 ansNote de bas de page 6Note de bas de page 230.
La plupart des études incluses dans cette revue systématique ne portaient que sur des populations hospitalisées, d’où l’impossibilité d’effectuer des comparaisons pertinentes avec des groupes témoins en bonne santé. Par conséquent, il se peut que nos estimations de la prévalence soient surestimées, car nous n’avons pas pu procéder à un ajustement pour tenir compte des taux de prévalence de base des symptômes non liés au SPC. En outre, plus des deux tiers des populations étudiées se trouvant dans des pays européens, nous disposons de moins de données sur la prévalence du SPC dans d’autres parties du monde.
Comme de nombreuses études n’ont pas fait état des principaux facteurs de risque tels que l’âge, le sexe, la race ou origine ethnique, le statut socio-économique ou les problèmes de santé préexistants, elles ont été exclues des analyses en sous-groupes. Ces lacunes en matière de données ont entravé notre capacité à effectuer des comparaisons de la prévalence du SPC entre hommes et femmes ou entre enfants et adultes, par exemple. Nous avons également observé des variations considérables d’une étude à l’autre dans la manière dont les symptômes et les conséquences ont été définis ou évalués.
L’hétérogénéité de chaque conséquence dans les études incluses était très variable, 40 % des analyses présentant des taux d’hétérogénéité de 75 % ou plus. Lors de l’analyse des sources potentielles de biais, nous avons noté des préoccupations concernant l’échantillonnage des participants à l’étude, l’adéquation des taux de réponse des participants et les approches de gestion des faibles taux de réponse. Nous avons également constaté des biais relatifs à la validité des méthodes utilisées pour diagnostiquer la COVID-19 et pour évaluer les symptômes et les conséquences dans les études.
L’évaluation approfondie réalisée au moyen de l’approche GRADE a montré que 99 % des conséquences analysées étaient associées à un RDB grave ou très grave. Le fait de limiter les évaluations aux études présentant un RDB faible à modéré aurait permis d’améliorer considérablement les degrés de certitude globaux évalués au moyen de l’approche GRADE. Dans près d’un tiers des analyses, l’hétérogénéité a pu être expliquée en partie par une ou plusieurs analyses en sous-groupes. Le caractère indirect a été évalué comme présentant un risque grave dans 90 % des analyses en raison de l’accent mis sur les populations hospitalisées, ce qui peut avoir contribué à des estimations de prévalence plus élevées.
Les résultats de l’Enquête canadienne sur la santé et les anticorps contre la COVID-19 (ECSAC) de 2023 ont révélé que près de 20 % des personnes ayant survécu à la COVID-19 (6,8 % des adultes du Canada) présentaient des symptômes du SPCNote de bas de page 16. Dans ce groupe, près de 80 % des personnes ont continué à ressentir ces symptômes pendant 6 mois ou plus, et plus de 40 % pendant un an ou plusNote de bas de page 16. Des résultats antérieurs indiquaient que la prévalence était plus élevée chez les femmes, les personnes hospitalisées au départ pour une forme grave de la COVID-19 et les personnes atteintes de maladies chroniques préexistantesNote de bas de page 18. Les symptômes les plus courants signalés lors du cycle 1 de l’enquête étaient la fatigue (72,1 %), la dyspnée (38,5 %) et le brouillard cérébral (32,9 %)Note de bas de page 231.
Selon une enquête américaine récente similaire, environ 14,3 % des adultes ont déclaré présenter des symptômes du SPC, la prévalence étant plus élevée chez les femmes et les jeunesNote de bas de page 15. Une enquête menée auprès de ménages privés au Royaume-Uni a révélé que 2,6 % de la population totale avait déclaré présenter des symptômes du SPC pendant au moins 12 semaines et que 69 % de ces personnes avaient présenté des symptômes pendant un an ou plusNote de bas de page 11. Une enquête menée auprès de la population australienne a révélé que 9,7 % des cas confirmés ou soupçonnés de COVID-19 (4,7 % de l’ensemble des adultes) présentaient des symptômes du SPCNote de bas de page 17.
Selon cette analyse de revues systématiques et de rapports récents, la prévalence du SPC se situe entre 2,5 % et 63,9 %Note de bas de page 10Note de bas de page 12Note de bas de page 16Note de bas de page 232Note de bas de page 233Note de bas de page 234Note de bas de page 235Note de bas de page 236Note de bas de page 237Note de bas de page 238Note de bas de page 239Note de bas de page 240Note de bas de page 241Note de bas de page 242Note de bas de page 243Note de bas de page 244. Ce large intervalle peut être dû à plusieurs facteurs, en particulier le regroupement des cas confirmés et des cas soupçonnés, la combinaison de divers types d’études (études prospectives et rétrospectives, incluant les études transversales, les déclarations de cas et les séries de cas) et l’approche d’échantillonnage (patients en milieu hospitalier, communautaire, ou les deux).
Parmi les autres facteurs, citons les incohérences dans la définition du SPC, le regroupement d’études dont les durées de suivi diffèrent et les diverses méthodes d’évaluation des symptômes et des conséquences comportant des degrés de validité variables. Il est également possible que la variabilité des caractéristiques sociodémographiques des participants inclus dans les enquêtes populationnelles ait contribué à la grande variation des estimations de prévalence.
Les symptômes les plus fréquemment répertoriés dans notre recherche approfondie ont été la dyspnée (5,4 % à 80,6 %)Note de bas de page 12Note de bas de page 233Note de bas de page 234Note de bas de page 235Note de bas de page 237Note de bas de page 242Note de bas de page 244Note de bas de page 245Note de bas de page 246Note de bas de page 247Note de bas de page 248 et la fatigue (9,3 % à 54,2 %)Note de bas de page 12Note de bas de page 233Note de bas de page 234Note de bas de page 235Note de bas de page 236Note de bas de page 237Note de bas de page 242Note de bas de page 244Note de bas de page 245Note de bas de page 246Note de bas de page 247Note de bas de page 248Note de bas de page 249Note de bas de page 250. Les autres symptômes, par ordre de fréquence, ont été les suivants : perturbation de la qualité de vie liée à la santé (1,0 % à 52,0 %)Note de bas de page 12Note de bas de page 235Note de bas de page 244Note de bas de page 247Note de bas de page 248, troubles du sommeil (3,5 % à 47,4 %)Note de bas de page 12Note de bas de page 233Note de bas de page 234Note de bas de page 235Note de bas de page 237Note de bas de page 239Note de bas de page 242Note de bas de page 244Note de bas de page 245Note de bas de page 249Note de bas de page 251Note de bas de page 252 et douleur (1,0 % à 34,5 %)Note de bas de page 12Note de bas de page 233Note de bas de page 234Note de bas de page 235Note de bas de page 236Note de bas de page 245Note de bas de page 247Note de bas de page 248Note de bas de page 250. La prévalence globale de l’anxiété, de la dépression et du TSPT variait entre 2,0 % et 32,0 %Note de bas de page 12Note de bas de page 233Note de bas de page 234Note de bas de page 235Note de bas de page 236Note de bas de page 237Note de bas de page 239Note de bas de page 242Note de bas de page 244Note de bas de page 245Note de bas de page 248Note de bas de page 250Note de bas de page 252, celle de la déficience fonctionnelle entre 4,0 % et 36,0 %Note de bas de page 12Note de bas de page 235Note de bas de page 244Note de bas de page 247, celle des troubles cognitifs entre 13,5 % et 30 %Note de bas de page 12Note de bas de page 248Note de bas de page 249, celle du brouillard cérébral entre 25,5 % et 36,0 %Note de bas de page 242Note de bas de page 248Note de bas de page 250, celle des troubles de la concentration entre 8,0 % et 29 %Note de bas de page 12Note de bas de page 233Note de bas de page 234Note de bas de page 235Note de bas de page 239Note de bas de page 244Note de bas de page 245Note de bas de page 248; et celle des palpitations entre 1,0 % et 23,0 %Note de bas de page 12Note de bas de page 233Note de bas de page 234Note de bas de page 235Note de bas de page 236Note de bas de page 239Note de bas de page 242Note de bas de page 244Note de bas de page 245Note de bas de page 248. Ces résultats, provenant des rapports et des revues systématiques inclus dans notre recherche approfondie, concordent avec nos résultats primaires, en particulier en ce qui concerne la prévalence plus élevée des symptômes du SPC chez les femmes et chez les personnes ayant des antécédents d’hospitalisation ou d’admission en unité de soins intensifs lors de l’infection initiale. Les données tirées d’un rapport des National Academies de 2024Note de bas de page 228 sont également conformes à nos constatations, tout comme les conclusions de plusieurs revues systématiquesNote de bas de page 12Note de bas de page 232Note de bas de page 233Note de bas de page 234Note de bas de page 235Note de bas de page 236Note de bas de page 237Note de bas de page 238Note de bas de page 239Note de bas de page 242Note de bas de page 245Note de bas de page 246Note de bas de page 247Note de bas de page 248Note de bas de page 249Note de bas de page 250Note de bas de page 251Note de bas de page 252 et de rapports faisant autoritéNote de bas de page 10Note de bas de page 231Note de bas de page 240Note de bas de page 241Note de bas de page 242Note de bas de page 243Note de bas de page 244 recensés dans le cadre de notre recherche élargie.
Points forts et limites
Il s’agit de la première revue systématique des données probantes portant exclusivement sur des études prospectives. Nous avons choisi de cibler les études de meilleure qualité afin de renforcer la fiabilité de nos constatations, même si cela suppose de renoncer à de précieux renseignements provenant de données rétrospectives.
Cette revue systématique synthétise les données publiées sur la prévalence du SPC dans divers groupes de population et systèmes de soins de santé, sur des périodes de suivi allant jusqu’à deux ans. Il s’agit d’une étude élargie, qui se distingue de ce fait des études précédentes, qui portaient sur les premiers stades de la maladie.
Le fait de limiter la recherche à des publications en anglais ou en français (en raison de contraintes de temps et de ressources) constitue une limite potentielle. Nous estimons toutefois que cette façon de faire aura des répercussions minimes sur les résultats de la recherche en général, d’après des données probantes antérieures selon lesquelles l’utilisation de restrictions linguistiques dans les revues systématiques a souvent des répercussions minimes sur la quantité globale de données probantes de grande qualité, en particulier dans les domaines où la majorité des études pertinentes et de grande qualité sont publiées en anglais ou en français et indexées dans les bases de données que nous avons utiliséesNote de bas de page 253.
Nous avons utilisé une version de l’approche GRADE modifiée en collaboration avec des experts en la matière, de façon à mieux l’adapter à cette étude pour l’évaluation du degré de certitude des données probantes et du niveau de confiance à l’égard des résultats déclarés. Bien que cette version modifiée n’ait pas encore été validée, elle a déjà été adoptée dans d’autres études (notamment par Righy et ses collaborateursNote de bas de page 33). L’approche GRADE a été initialement conçue pour les études d’interventions thérapeutiques, et son utilisation dans le cadre d’études sur les expositions non thérapeutiques ou les facteurs pronostiquesNote de bas de page 254 et d’études sur la prévalence continue à poser des défis. Par rapport aux essais contrôlés randomisés, les études d’observation sont souvent plus hétérogènes, du fait des différences sur le plan de la conception de l’étude, de la population et de l’échantillonnage, ainsi que des évaluations non normalisées des conséquences. Cette variabilité inhérente entraîne souvent une diminution du degré de certitude des données probantes, comme dans notre revue systématique, où une forte hétérogénéité a été observée dans près de 61 % des analyses.
Dans cette revue systématique, nous n’avons pas mesuré la prévalence du SPC chez les cas non diagnostiqués de COVID-19 ou chez les cas soupçonnés mais non confirmés de COVID-19. Il est essentiel de tenir compte du type de population incluse dans les études lors de l’interprétation des estimations de la prévalence du SPC. Les études populationnelles qui se concentrent uniquement sur les infections confirmées par PCR font généralement état de taux de prévalence plus élevés (20 % à 25 %), mettant en évidence des cas symptomatiques et plus gravesNote de bas de page 232Note de bas de page 255. En revanche, les études qui intègrent tous les cas, même les cas asymptomatiques décelés grâce à des épreuves sérologiques, présentent généralement des taux de prévalence plus faibles (5 à 10 %)Note de bas de page 232Note de bas de page 255. Cet écart met en évidence la nature sélective des tests PCR utilisés pendant les périodes de forte demande, ces derniers détectant principalement les infections symptomatiques. Cette revue systématique ayant surtout intégré des études prospectives sur les infections confirmées, nous sommes conscients que cette approche pourrait ne pas rendre pleinement compte de la prévalence du SPC, en particulier la prévalence des cas asymptomatiques ou non diagnostiqués.
Les différences entre nos résultats et ceux des enquêtes populationnelles répertoriées dans le cadre de notre recherche approfondie, notamment l’Enquête canadienne sur la santé et les anticorps contre la COVID-19 (ECSAC), s’expliquent probablement par la variabilité des caractéristiques des répondants, par la prise en compte des cas confirmés et des cas soupçonnés ainsi que par la nature subjective de l’évaluation des conséquences. Ces enquêtes populationnelles, bien qu’elles soient largement répandues, comportent des risques de biais d’échantillonnage, d’autodéclaration et de non-réponse ainsi que d’autres limites pouvant influencer les estimations de la prévalence. En outre, la relation temporelle entre la COVID-19 et les symptômes du SPC signalés peut ne pas toujours être claire, ce qui ajoute à la variabilité des données de prévalence. En comparant nos résultats avec ceux de ces enquêtes, nous espérons mettre en évidence que les différences et les biais méthodologiques dans les enquêtes populationnelles peuvent expliquer les variations observées dans les estimations de la prévalence.
Notre revue portait surtout sur l’évaluation de la prévalence globale du SPC, afin d’informer les cliniciens et les décideurs. Par conséquent, nous n’avons pas étudié l’influence des vaccins contre la COVID-19 ou des différents variants du SRAS-CoV-2 sur la prévalence du SPC. L’extension de l’analyse à de telles variables aurait considérablement augmenté la portée et la complexité de l’analyse, entraînant le dépassement des ressources dont nous disposions. En outre, le manque de données déclarées uniformes sur la vaccination et l’« optique du client » dans les études aurait pu entraîner des inexactitudes et des incohérences si les inférences avaient été faites par des sources externes.
Nos estimations groupées de la prévalence ont été calculées à partir de plusieurs cohortes de patients sur plusieurs périodes de suivi, plutôt qu’à partir d’une seule cohorte faisant l’objet d’une surveillance continue. Il est donc essentiel d’évaluer soigneusement notre synthèse des données probantes en tenant compte de ses points forts et de ses limites.
Suggestions de recherches futures
Cette étude souligne l’importance d’analyser la prévalence du SPC en fonction des principaux facteurs de risque ainsi que de la normalisation des méthodes d’évaluation des conséquences et des protocoles de prise en charge des cas. En outre, nous recommandons d’accorder la priorité aux enquêtes portant sur les populations en quête d’équité, car certains groupes de population ont subi et continuent de subir des effets plus marqués du SPC.
Conclusion
Cette étude contribue à notre compréhension collective du fardeau mondial du SPC. De nombreuses personnes ayant survécu à la COVID-19 continuent à présenter des symptômes et des déficiences fonctionnelles plus d’un an après l’infection initiale. Les symptômes les plus courants sont la fatigue et la dyspnée, ce qui va dans le même sens que d’autres revues systématiques et rapports publiés. Comme l’indique une version antérieure de cette revue systématiqueNote de bas de page 256, ces résultats ont pour but de faire entendre la voix des patients, d’aider les chercheurs et les cliniciens et de guider les responsables des politiques et les décideurs dans l’élaboration de stratégies d’atténuation des risques et de services de soutien destinés aux personnes atteintes du syndrome post-COVID-19 et à leurs soignants.
Remerciements
Nous tenons à remercier nos collègues et les membres de notre équipe pour leur contribution inestimable : Lynda Gamble (recherche en bibliothèque), Yi Xuan Wang (résumé analytique des données) ainsi que Maria Benkhalti, Meghan Grainger et Veronica Belcourt (évaluation du risque de biais). Nous les remercions également pour leur aide dans la révision de ce manuscrit. Nous souhaitons également remercier nos experts externes, la Dre Adrienne Stevens (Université McMaster, Hamilton, Ontario, Canada), le Dr Maicon Falavigna (Hospital de Clínicas de Porto Alegre, Porto Alegre, Rio Grande do Sul, Brésil) et le Dr Zachary Munn (Health Evidence Synthesis, Recommendations and Impact [HESRI], School of Public Health, University of Adelaide, Australie méridionale, Australie) pour leur aide dans l’adaptation de la liste de contrôle du JBI et de l’approche GRADE en vue de leur utilisation dans le cadre de cette revue systématique.
Financement
Agence de la santé publique du Canada.
Conflits d’intérêts
Aucun à déclarer.
Contributions des auteurs et avis
- MKT : organisation des données, analyse formelle, enquête, administration du projet, supervision, création des illustrations, rédaction de la première version du manuscrit, relectures et révisions.
- TS : organisation des données, enquête, validation, création des illustrations, rédaction de la première version du manuscrit.
- AB : organisation des données, enquête, rédaction de la première version du manuscrit.
- KM : conception, organisation des données, enquête, validation, relectures et révisions.
- FRD : conception, organisation des données, enquête, validation, relectures et révisions.
- AMC : conception, relectures et révisions.
- CLC : conception, relectures et révisions.
- LB : conception, organisation des données, enquête, validation, relectures et révisions.
- AMZ : conception, organisation des données, enquête, validation, relectures et révisions.
- MAM : conception, analyse formelle, logiciel, création des illustrations, relectures et révisions.
- CL : conception, organisation des données, enquête, validation, relectures et révisions.
- RC : organisation des données, enquête, validation, relectures et révisions.
- AH : organisation des données, enquête, validation, relectures et révisions.
- PR : enquête, validation, relectures et révisions.
- EC : organisation des données, enquête, relectures et révisions.
- TC : conception, enquête, validation, relectures et révisions.
- LAW : conception, relectures et révisions.
- JEP : organisation des données, enquête, relectures et révisions.
- RA : conception, relectures et révisions.
- AJG : conception, relectures et révisions.
Tous les auteurs ont procédé à un examen approfondi du manuscrit, ont fourni des commentaires sur celui-ci et l’ont approuvé. Tous les auteurs ont eu accès aux données de l’étude.
Le contenu de l’article et les points de vue qui y sont exprimés n’engagent que les auteurs; ils ne correspondent pas nécessairement à ceux du gouvernement du Canada.
Télécharger en format PDF (1465 ko, 31 pages)