Original quantitative research – Cannabis cessation among youth: rates, patterns and academic outcomes in a large prospective cohort of Canadian high school students
Health Promotion and Chronic Disease Prevention in Canada
Alexandra M. Zuckermann, PhDFootnote 1Footnote 2; Mahmood R. Gohari, PhDFootnote 1; Margaret de Groh, PhDFootnote 2; Ying Jiang, MDFootnote 2; Scott T. Leatherdale, PhDFootnote 1
https://doi.org/10.24095/hpcdp.40.4.01
This article has been peer reviewed.
Author references
- Footnote 1
-
University of Waterloo, School of Public Health and Health Systems, Waterloo, Ontario, Canada
- Footnote 2
-
Public Health Agency of Canada, Applied Research Division, Ottawa, Ontario, Canada
Correspondence: Alexandra Zuckermann, University of Waterloo, School of Public Health and Health Systems, 200 University Avenue, Waterloo, ON N2L 3G1; Email: alex.zuckermann@uwaterloo.ca
Abstract
Introduction: Following cannabis legalization in Canada, a better understanding of the prevalence of unprompted cannabis use reduction and subsequent effects on youth academic outcomes is needed to inform harm reduction and health promotion approaches.
Methods: We analyzed a longitudinally linked sample (n = 91 774) from the COMPASS prospective cohort study of Canadian high school students attending Grades 9–12 in Ontario and Alberta between 2013–2014 and 2016–2017. We investigated the prevalence of spontaneous cannabis use reduction and cessation between grade transitions (Grades 9–10, 10–11, 11–12) and the effect of cessation on academic achievement (current or recent math and English course marks) and rigour (usual homework completion and past-month truancy).
Results: Only 14.8% of cannabis users decreased their use between grades. Of these, two-thirds made only incremental downward changes, a pattern which held true for all three transitions. Cessation rates from daily and weekly use decreased every year. After cessation, students had better odds than continuing users (OR = 1.23, 95% CI: 1.03–1.48) and worse odds than never-users (OR = 0.55, 95% CI: 0.31–0.97) for some subcategories of math performance. Students who quit cannabis universally improved class attendance (OR = 2.48, 95% CI: 1.93–3.19) and homework completion (OR = 2.32, 95% CI: 1.85–2.92) compared to continuing users.
Conclusion: Increased academic rigour may underlie any improvements seen in academic performance after cannabis cessation. High school students who use cannabis likely need targeted support to facilitate reduction or cessation and subsequent academic recovery. This indicates that a school-based focus on cannabis harm reduction is justified.
Keywords: cannabis, cessation, youth, secondary schools, academic performance, truancy
Highlights
- Cannabis use change was investigated in a large sample of high school students.
- Only 14.8% who used cannabis reduced their use between grades.
- Most use reductions were incremental.
- Class attendance and homework completion universally improved after cessation.
- Cessation was not sufficient to improve academic performance (course marks).
- Targeted support for high school students who use cannabis is needed.
Introduction
Canadian youth use cannabis at the highest rates globally, and this usage may be becoming more prevalent still.Footnote 1Footnote 2Footnote 3 High frequency and early age of initiation of cannabis use have been reliably linked to adverse outcomes in youth, including poor academic performance, which negatively affect their subsequent adult lives.Footnote 4Footnote 5Footnote 6Footnote 7Footnote 8Footnote 9 Many teenagers consider cannabis less harmful than alcohol and underestimate its risks; the perceived comparative safety may dovetail with the recent legalization of cannabis and the concurrent impact on social norms to increase use in this age group.Footnote 10Footnote 11Footnote 12Footnote 13 Cannabis use among youth must therefore be a key focus of harm reduction research and policy.
While the factors related to initiation of cannabis use are being increasingly examined, little is known about patterns of spontaneous cannabis reduction or cessation among youth. Studies indicate that youth are less likely to quit using cannabis than other illicit drugs and that those who start young use more heavily, have worse outcomes and are less likely to stop than those who start later.Footnote 4Footnote 14Footnote 15 A recent review found that hardly any promising interventions for drug abuse in youth have been documented, especially for those under 15 years of age.Footnote 16 Evidence on unprompted reductions may be beneficial in aligning substance use intervention programs with these trends, increasing their likelihood of success.
Research suggests that young cannabis users who decrease or cease their use improve their outcomes.Footnote 16Footnote 17Footnote 18 However, most investigations characterize the effects of cessation either in adulthood (following long-term substance use) or in the very short term (days to weeks). Youth who have quit using cannabis have been found to improve their functioning in most neurocognitive domains (e.g. executive function) to the extent of reversing almost all negative effects, except those on learning and memory.Footnote 19Footnote 20 However, little is known about medium-term effects (months to a year) of cannabis cessation in adolescence on academic outcomes, which significantly contribute to subsequent life trajectories.
In a study using a population similar to one we use in the current study, Patte et al. describe the negative effect of cannabis use on academic outcomes.Footnote 4 That investigation found that students who began using cannabis were less likely to regularly attend class, complete homework and achieve high marks than students who abstained. However, whether cannabis use cessation reversed or modified these outcomes was not examined. Knowing that cannabis initiation affects academic outcomes, the aim of this work was to determine whether and how cannabis cessation affects such outcomes among youth in the medium term, that is, during their school career and prior to their transition into adulthood.
The objectives of this investigation were to describe the prevalence and rates of cannabis use reductions in youth; to establish their impacts on academic achievement (math and English marks); and to investigate their effect on academic rigour (class attendance and homework completion).
Methods
Study
The prospective cohort study COMPASS collects hierarchical data once a year from a sample of Grade 9–12 students (student-level data) and the secondary schools they attend.Footnote 21 This report used student-level linked-longitudinalFootnote 22 data from Year 2 (Y2; 2013–2014), Year 3 (Y3; 2014–2015), Year 4 (Y4; 2015–2016) and Year 5 (Y5; 2016–2017). Students were linked over time with anonymous identifier codes. The COMPASS student-level questionnaire was used during class time to collect data on student demographics and measures relevant to multiple behavioural domains, such as substance use, nutrition, physical activity and mental health, as well as their correlates. Items were based on national guidelines or national surveillance tools as previously described.Footnote 21 Measures used for this report are those for cannabis use frequency, academic achievement in math and English, homework completion and truancy.
A full description of the COMPASS study methods, including a series of in-depth technical reports, and ethical approval is available in printFootnote 21 and online.
Data
Data were collected from a convenience sample of secondary schools in Ontario (n = 79) and Alberta (n = 10) that permitted use of active-information passive-consent parental permission protocols.Footnote 21 Y2 data were collected from 45 298 students in the 89 schools (79.2% participation rate, mean [SD] age 16.0 [5.8] years); Y3 data from 42 355 students in 87 schools (78.8%, 16.0 [6.1] years); Y4 data from 40 436 students in 81 schools (79.9%, 16.1 [6.5] years); and Y5 data from 43 245 students in 88 schools (76.6%, 16.0 [6.1] years).
Three-quarters (75.6%) of students identified their race/ethnicity as White. A further 10.9% reported “Other/mixed,” 5.3% Asian, 3.6% Black, 2.7% Aboriginal and 1.9% Latin American/Hispanic race/ethnicity.
Data were linked between any two consecutive years,Footnote 23 resulting in a dataset containing 91 774 linked reports generated by 37 231 students (51.9% female). To model longer-term effects of cessation, students were linked for three consecutive years, resulting in 42 861 reports generated by 13 476 students (52.2% female). The reduction in sample size was as a result of students missing data collection due to scheduled spares, absences from class for other reasons or changing schools between data collections.
As previously reported,Footnote 23 COMPASS students who could not be linked were more likely to report use of cannabis, alcohol and tobacco.
Cannabis use
Consistent with national surveillance measures on youth substance use,Footnote 24 students were asked, “In the last 12 months, how often did you use marijuana or cannabis?” One of nine responses was possible: “I have never used marijuana,” “I have used marijuana but not in the last 12 months,” “Less than once a month,” “Once a month,” “2 or 3 times a month,” “Once a week,” “2 or 3 times a week,” “4 to 6 times a week” and “Every day.” Consistent with previous work,Footnote 4 responses were recoded for analysis into non-use (never used or no use in the past 12 months); rare (less than once a month); monthly (1–3 times a month); weekly (1–6 times a week); and daily (every day) use.
The rates of non-response to this question were 1.7% (Y2), 1.5% (Y3), 1.6% (Y4) and 1.5% (Y5).
In the two-year linked sample, changes in cannabis use frequency from baseline to follow-up were categorized as non-use (no use at baseline or follow-up); use (use reported at both time points with frequency remaining constant or increasing between time points); reduction (use reported at both time points with frequency decreasing from baseline to follow-up); and cessation (cannabis use reported at first time point with non-use reported at the second). Students reporting continued non-use at second follow-up a year later (cannabis use pattern Yes–No–No) were included in the “continuing cessation” group. The two reference groups consisted of “continuing users” who reported use and “never-users” who reported non-use at all relevant time points.
Substance use variables
Students were asked the following questions: “On how many of the last 30 days did you smoke one or more cigarettes?” and “In the last 12 months, how often did you have 5 drinks of alcohol or more on one occasion?” Students who indicated they had smoked at least one cigarette in the last 30 days were classified as current smokers, while students who reported drinking five or more alcoholic drinks at least once a month were classified as current binge drinkers.
Academic variables
Students were asked about their academic performance with two questions, one each for math and English performance: “In your current or most recent Math/English course, what is your approximate overall mark?” The same seven response options were given for both subjects: “90–100%,” “80–89%,” “70–79%,” “60–69%,” “55–59%,” “50–54%” and “less than 50%.” Consistent with previous work,Footnote 4 the last three options were recoded into “less than 60%” and used as the reference category during analysis.
Students were then asked about their academic rigour with two questions. The first asked about truancy, “In the last 4 weeks, how many classes did you skip when you were not supposed to?” There were six response options: “0 classes,” “1 or 2 classes,” “3 to 5 classes,” “6 to 10 classes,” “11 to 20 classes” and “more than 20 classes.” For the analysis, the first option (no classes skipped) was used as given, with the remaining options recoded into “1–5 classes skipped” (options 2 and 3) and “6 or more classes skipped” (options 4 to 6). The latter was used as the reference category. The second question to do with academic rigour asked about homework completion with the question “How often do you go to class without your homework complete?” Four response options were offered: “never,” “seldom,” “often” and “usually.” For the analysis, “usually” was used as the reference category. Baseline missing rates for these variables were 2.6% (math mark), 3.1% (English mark), 1.8% (truancy) and 2% (homework completion).
Statistical analysis
Analyses were conducted in SAS version 9.4 (SAS Institute Inc., Cary, NC, USA). A multinomial logit transition model was used to account for bivariate dependencies between observations at two consecutive time points. The transition model, as a type of Markov model, concentrates on overall gross changes between consecutive occasions, for example, before and after a school grade transition. The multinomial logit transition model is a regression model in which the odds of choosing higher categories of the response variable rather than other categories are assumed to depend on the values of response(s) in previous time points.Footnote 25
The transitional model used here is the first-order Markov model in which Yt is assumed to depend only on the state at t−1, and not on responses at earlier occasions. This modelling approach is well-established and has previously been used to analyse transitions in similar contexts.Footnote 26Footnote 27 Here, log odds of cannabis use status at time t rather than the reference category of non-user are described as:

where Yit−1 denotes the response of individual i at previous cannabis use status, X represent the vector of covariates with the corresponding coefficients of β, and j indicates cannabis use status. Available case analysis was used for multinomial regression models, which were adjusted for grade, current smoking, current binge drinking and academic performance at baseline.
Results
Sample characteristics
Of the reports contained in the sample, 20.9% (n = 18 916) included cannabis use at any level (Table 1). Rates of binge drinking were similar (19.1%) while smoking rates were substantially lower (8.3%). Cannabis use prevalence steeply decreased with increasing frequency of use, such that approximately two-thirds (68.9%) of use reports described monthly or rare use and one-third (31.1%) recorded weekly or daily use. Male students were more likely to report substance use of any category.
Characteristic | Total (%) | Female (%) | Male (%) | p value |
---|---|---|---|---|
Cannabis use | ||||
Total | 18 916 (20.9) | 9 634 (20.7) | 9 282 (21.8) | < .001 |
Daily | 2 062 (2.3) | 684 (1.5) | 1 378 (3.2) | < .001 |
Weekly | 3 820 (4.2) | 1 691 (3.6) | 2 129 (5.0) | |
Monthly | 5 101 (5.6) | 2 661 (5.7) | 2 440 (5.7) | |
Rarely | 7 933 (8.8) | 4 598 (9.9) | 3 335 (7.8) | |
Tobacco smoking | 7 438 (8.3) | 3 476 (7.4) | 3 962 (9.2) | < .001 |
Binge drinking | 17 210 (19.1) | 8 461 (18.1) | 8 749 (20.3) | < .001 |
Grade | ||||
9 | 20 208 (22.5) | 10 255 (21.9) | 9 953 (23.1) | – |
10 | 29 264 (32.5) | 15 117 (32.3) | 14 147 (32.8) | |
11 | 24 970 (27.8) | 13 257 (28.4) | 11 713 (27.2) | |
12 | 15 438 (17.2) | 8 124 (17.4) | 7 314 (16.9) | |
Math course mark | ||||
100–90% | 17 774 (20.2) | 9 767 (21.3) | 8 007 (19.1) | < .001 |
89–80% | 26 406 (30.0) | 14 480 (31.5) | 11 926 (28.4) | |
79–70% | 21 657 (24.6) | 10 965 (23.9) | 10 692 (25.5) | |
69–60% | 12 155 (13.8) | 6 072 (13.2) | 6 083 (14.5) | |
≤ 59% | 9 914 (11.4) | 4 662 (10.1) | 5 255 (12.5) | |
English course mark | ||||
100–90% | 12 114 (13.8) | 8 252 (17.9) | 3 862 (9.3) | < .001 |
89–80% | 34 481 (39.3) | 20 197 (44.0) | 14 284 (34.2) | |
79–70% | 26 667 (30.4) | 12 147 (26.4) | 14 520 (34.7) | |
69–60% | 9 659 (11.0) | 3 755 (8.2) | 5 904 (14.1) | |
≤ 59% | 4 828 (5.5) | 1 597 (3.5) | 3 231 (7.7) | |
Attend class without homework complete | ||||
Never | 18 175 (20.2) | 10 557 (22.4) | 7 618 (17.7) | < .001 |
Seldom | 48 857 (54.2) | 26 289 (55.9) | 22 568 (52.4) | |
Often | 15 979 (17.7) | 7 220 (15.3) | 8 759 (20.3) | |
Usually | 7 140 (7.9) | 3 012 (6.4) | 4 128 (9.6) | |
Classes skipped in past 4 weeks | ||||
0 | 67 695 (75.0) | 34 784 (73.8) | 32 911 (76.4) | < .001 |
1–5 | 19 905 (22.1) | 11 094 (23.5) | 8 811 (20.4) | |
6+ | 2 637 (2.9) | 1 245 (2.7) | 1 392 (3.2) | |
Notes: Sample contains individuals linked for any two consecutive years. Values indicate reports. Pertinent p values for gender differences are given. |
Reports of academic performance favoured female students for both math and English marks. Female students were also more likely to never attend class without homework complete and were less likely to have not skipped any classes in the preceding four weeks. Male students were more likely to report skipping more than six classes. Overall, less than one-third of reports indicated skipped classes or leaving homework incomplete often or usually.
Reduction and cessation rates
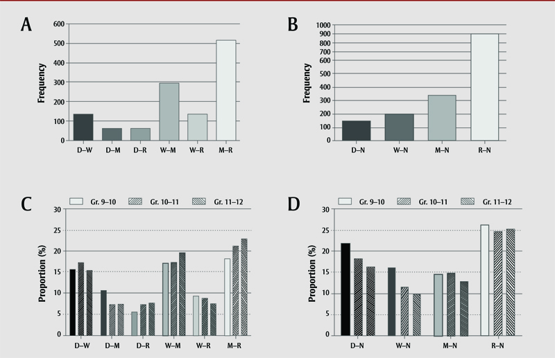
Only 14.8% (n = 2805) of cannabis use reports showed any magnitude of decrease in frequency, with total cessations (n = 1596) being the most common (56.9%). Decreases from low levels of use accounted for a sizable proportion of total reports, with 42.7% of reductions from monthly to rare (Figure 1A) and 56.6% of cessations from rare use (Figure 1B). The majority (78.4%) of reductions reported (n = 948) were incremental, that is, from one frequency category to the next lowest. Taken together with the high number of cessation reports from rare use, two-thirds (66.0%) of reported decreases were between adjacent use categories.
Figure 1. Cannabis use reduction and cessation frequencies and proportions among high school students taking part in COMPASS between 2013/2014 and 2016/2017

Figure 1 - Text Equivalent
D-W | D-M | D-R | W-M | W-R | M-R |
---|---|---|---|---|---|
135 | 63 | 63 | 297 | 135 | 516 |
Abbreviations: D, daily; M, Monthly; N, no use; R, rarely; W, weekly. |
D-N | W-N | M-N | R-N |
---|---|---|---|
148 | 203 | 342 | 903 |
Abbreviations: D, daily; M, Monthly; N, no use; R, rarely; W, weekly. |
Change | Grade 9–10 | Grade 10–11 | Grade 11–12 |
---|---|---|---|
D-W | 15.63 | 17.25 | 15.43 |
D-M | 10.63 | 7.39 | 7.43 |
D-R | 5.63 | 7.39 | 7.71 |
W-M | 17.16 | 17.44 | 19.75 |
W-R | 9.47 | 8.80 | 7.64 |
M-R | 18.2 | 21.31 | 22.88 |
Abbreviations: D, daily; M, Monthly; N, no use; R, rarely; W, weekly. |
Change | Grade 9–10 | Grade 10–11 | Grade 11–12 |
---|---|---|---|
D-N | 21.88 | 18.31 | 16.29 |
W-N | 16.27 | 11.57 | 9.71 |
M-N | 14.56 | 14.85 | 12.87 |
R-N | 26.18 | 24.63 | 25.28 |
Abbreviations: D, daily; M, Monthly; N, no use; R, rarely; W, weekly. |
Abbreviations: D, daily; M, Monthly; N, no use; R, rarely; W, weekly.
Notes:
Figures A and B: Total frequencies of reductions (A) and cessations (B) reported in the study sample. Frequency of use is described by letter abbreviations. The letter before the dash indicates frequency of use at a given baseline; the letter after the dash indicates frequency of use at follow-up a year later.
Figures C and D: Proportion of reductions (C) in and cessations (D) of cannabis use by grade step. Data are reports by individuals linked for any two consecutive grades (baseline and follow-up). Each column represents the proportion for a given magnitude of change. Grade labels indicate grade at baseline before the dash and grade at follow-up after the dash.
Reduction rates (Figure 1C) were highest between adjacent use categories, with cessation rates (Figure 1D) peaking at either end of the frequency spectrum (rare and daily use). This pattern held true for both male and female students and the three grade transitions examined. Reductions were most likely to occur from monthly to rare use (5.2-fold), with those from daily use lower by 1.3-fold (to weekly), 2.5-fold (to monthly) and 3.0-fold (to rarely). Reductions from weekly use also occurred 1.2-fold (to monthly) and 2.4-fold (to rare) less often. Cessations from daily use occurred at rates 1.4-fold lower than those from rare use, with those from monthly and weekly use (1.8- and 2.0-fold) still less prevalent.
Several different trajectories were observed for individual rates. Cessation rates from daily and weekly use decreased with grade (−5.6% and −6.6% in total, respectively) as did the rate of reductions from weekly to rare use (−1.8%). Continuing increases between grades were observed for reduction rates from daily to rare (+2.1%), weekly to monthly (+2.6%) and monthly to rare use (+4.7%). Rates of reduction from daily to monthly and cessation from rare use first decreased (−3.2% and −1.6%, respectively) and then plateaued (±0.0% and +0.7%, respectively) with advancing grade, while the reverse was true of cessations from monthly use (+0.3%, then −2.0%) and reduction from daily to weekly use (1.6%, then −1.8%).
Total average cessations rates decreased (−3.7%) and total average reduction rates slightly increased (+0.7%) with increasing grade. The highest average rates were reported for cessations from rare use and for reductions from monthly to rare use, while the lowest were observed for reductions from daily use to rare and monthly use. On average, the combined reduction and cessation rate decreased with increasing grade (−1.5%).
Effect of cessation on academic performance
Students who ceased cannabis use improved in some aspects of academic achievement compared to those who continued to use (Table 2). At first follow-up (Year 2), those students who quit using cannabis had significantly higher odds (OR = 1.23, 95% CI: 1.03–1.48) of achieving a math mark of 80–89% (compared to one of less than 60%); at second follow-up (Year 3), they had significantly higher odds (OR = 2.01; 95% CI: 1.08–3.71) of achieving a math mark of 90–100%. There was no difference in their odds of achieving higher English marks compared to continuing users at either follow-up. In addition, the nonsignificant improvements in odds seen at first follow-up were mostly reversed at second follow-up.
Category | Nominal odds (95% CI) per course mark range | |||
---|---|---|---|---|
60–69% | 70–79% | 80–89% | 90–100% | |
Cessation and continuing abstinence vs. continuing use (Ref.) | ||||
Mathematics vs. ≤ 59% (Ref.) | ||||
Cessation (Follow-up 1) | 1.05 (0.87–1.27) | 1.19 (1.00–1.42) | 1.23 (1.03–1.48)Footnote * | 1.20 (0.97–1.49) |
Continued cessation (Follow-up 2) | 0.80 (0.42–1.50) | 1.17 (0.68–1.99) | 0.95 (0.53–1.72) | 2.01 (1.08–3.71)Footnote * |
English vs. ≤ 59% (Ref.) | ||||
Cessation (Follow-up 1) | 1.11 (0.87–1.41) | 1.20 (0.96–1.50) | 1.18 (0.94–1.49) | 1.26 (0.95–1.67) |
Continued cessation (Follow-up 2) | 0.67 (0.30–1.50) | 0.84 (0.42–1.69) | 0.69 (0.34–1.41) | 1.07 (0.47–2.43) |
Cessation and continuing abstinence vs. never use (Ref.) | ||||
Mathematics vs. ≤ 59% (Ref.) | ||||
Cessation (Follow-up 1) | 0.96 (0.80–1.16) | 0.98 (0.82–1.17) | 0.92 (0.76–1.11) | 0.83 (0.66–1.05) |
Continued cessation (Follow -up 2) | 0.64 (0.36–1.15) | 0.78 (0.48–1.30) | 0.55 (0.31–0.97)Footnote * | 0.94 (0.50–1.78) |
English vs. ≤ 59% (Ref.) | ||||
Cessation (Follow-up 1) | 0.92 (0.72–1.18) | 0.92 (0.73–1.15) | 0.86 (0.67–1.10) | 0.83 (0.61–1.13) |
Continued cessation (Follow-up 2) | 0.63 (0.30–1.32) | 0.60 (0.31–1.15) | 0.48 (0.24–0.95)Footnote * | 0.57 (0.26–1.26) |
Abbreviations: CI, confidence interval; Ref., reference. Notes: Reports from students linked for consecutive years who use cannabis in the first year and abstain in the following year (Follow-up 1, pattern Yes–No) or two years (Follow-up 2, pattern Yes–No–No) with those who continue to use (Yes–Yes or Yes–Yes–Yes, respectively). Comparison of year 1 with year 2 or 3, respectively. Models corrected for marks at baseline, current binge drinking and current smoking.
|
Compared to never-users, continuing abstainers mostly did not have significantly different odds of achieving math or English marks above 60%. A difference was observed for a single category, at second follow-up, where abstainers had significantly lower odds of achieving math (OR = 0.55, 95% CI: 0.31–0.97) and English (OR = 0.48, 95% CI: 0.24–0.95) marks between 80% and 89%. All nonsignificant odds ratios, compared to never use, were less than 1.
Overall, few significant differences were observed, and confidence intervals increased at second follow-up. Cessation and continued abstinence led to some improvements in math marks compared to continuing users, but negative differences to never-users remained; this was also observed for English marks. Simultaneously, confidence intervals increased between the first and second follow-up by up to 5-fold—at least by 2-fold for most categories and by 2.37-fold on average.
Effect of cessation on academic rigour
Cannabis cessation had a beneficial effect on academic rigour (Table 3). Students who quit using cannabis had significantly higher odds of never (OR = 2.32, 95% CI: 1.85–2.92) or seldom (OR = 1.52, 95% CI: 1.25–1.85) attending class without their homework complete compared to students who continued using. Those who continued to abstain also had significantly higher odds at second follow-up of never (OR = 2.52; 95% CI: 1.19–5.34) leaving their homework incomplete.
Category | Nominal odds (95% CI) per homework noncompletion and truancy | ||
---|---|---|---|
Cessation and continuing cessation vs. continuing use (Ref.) | |||
No homework vs. usually (Ref.) | Never | Seldom | Often |
Cessation (Follow-up 1) | 2.32 (1.85–2.92)Footnote * | 1.52 (1.25–1.85)Footnote * | 1.22 (0.99–1.50) |
Continued cessation (Follow-up 2) | 2.52 (1.19–5.34)Footnote * | 1.33 (0.70–2.53) | 1.29 (0.66–2.52) |
Classes skipped vs. 6 or more (Ref.) | None | 1–5 | – |
Cessation (Follow-up 1) | 2.48 (1.93–3.19)Footnote * | 1.45 (1.13–1.86)Footnote * | – |
Continued cessation (Follow-up 2) | 4.12 (1.78–6.49)Footnote * | 1.68 (0.73–3.89) | – |
Cessation and continuing abstinence vs. never use (Ref.) | |||
No homework vs. usually (Ref.) | Never | Seldom | Often |
Cessation (Follow-up 1) | 1.18 (0.94–1.49) | 1.02 (0.84–1.24) | 0.99 (0.81–1.23) |
Continued cessation (Follow-up 2) | 1.36 (0.67–2.76) | 0.99 (0.54–1.82) | 1.18 (0.64–2.19) |
Classes skipped vs. 6 or more (Ref.) | None | 1–5 | – |
Cessation (Follow-up 1) | 0.78 (0.58–1.03) | 0.93 (0.70–1.23) | – |
Continued cessation (Follow-up 2) | 0.63 (0.26–1.55) | 0.75 (0.35–1.99) | – |
Abbreviations: CI, confidence interval; Ref., reference. Notes: Reports from students linked for consecutive years who use cannabis in the first year and abstain in the following year (Follow-up 1, pattern Yes–No) or two years (Follow-up 2, pattern Yes–No–No) with those who continue to use (Yes–Yes or Yes–Yes–Yes respectively). Comparison of year 1 with year 2 or 3 respectively. Models corrected for homework completion and truancy at baseline, current binge drinking and current smoking.
|
Cessation significantly improved students’ odds of skipping no (OR = 2.48, 95% CI: 1.93–3.19) or less than six (OR = 1.45, 95% CI: 1.13–1.86) classes, with continuing abstinence also significantly improving odds of never skipping class (OR = 4.12, 95% CI: 1.78–6.49).
Students who stopped using cannabis and/or continued to abstain from use did not differ significantly from never-users in terms of their odds of completing homework and attending class. They had similar odds of completing homework and lower (though nonsignificant) odds of skipping less than six classes. However, confidence interval ranges for all measures increased 3.5-fold on average between the first and second follow-up.
Discussion
To our knowledge, this study is the first to describe incidence and rates of cannabis cessation among Canadian high school students. In this large sample, very few students reduced their use. Though half of those reductions were complete cessations, this result may be explained by proportionally higher rates of cessation from commonly occurring rare use. This suggests that a large contingent of students who experiment with cannabis as part of normal risk-taking behaviour never transition to regular use. Rates for cessation from daily use were second most common, potentially because students using at such a high frequency are liable to be severely affected in their daily livesFootnote 4Footnote 28 and more likely to perceive this as a problem themselves and to be targeted by parents and teachers as in need of intervention. Overall reduction rates decreased as students aged, a finding in accordance with previously published studies.Footnote 14Footnote 29
Few regular users spontaneously reduce their use. As any decrease in cannabis use will improve health status, universal intervention programs are necessary to broadly promote cannabis use reduction and cessation.
Most reductions observed in this sample were by one frequency category only, which may be an indication of both the lack of impetus for and the difficulty of more extensive change. This conclusion is in part derived from knowledge of their institutional environment: none of the schools participating in the COMPASS study reported implementing programs to promote cannabis use reduction or cessation. Reviews of the evidence on drug use interventions have found that effective programs include aspects of self-control training and social norm adjustments, with the most commonly relied-on knowledge-based efforts insufficient to prompt change.Footnote 16Footnote 30
Canadian youth perceive cannabis as less harmful and easier to quit than other substances while describing long-term negative effects on behaviour after cessation.Footnote 13 In line with this, the lowest average cessation rate was observed among weekly users, who, though significantly affected in terms of their academic achievement,Footnote 4 are more likely than monthly users to experience withdrawalFootnote 31Footnote 32 and less likely than daily users to perceive a problem with their use.Footnote 13Footnote 33 The low rates observed for high magnitude reductions and cessations from weekly use suggest that many regular users persist in behaviours that will significantly increase their morbidity burden. These students, of key concern from a public health perspective, may benefit most from targeted interventions promoting small changes as a steppingstone to ultimate cessation.
Previous work on a similar sample of COMPASS students found that all levels of cannabis use significantly and negatively affects academic achievement, leading to lower course marks in both math and English.Footnote 4 In this work, students who ceased use did not significantly differ from never-users in terms of their course marks; neither were many significant differences to continuing users found. Our modelling indicates that, compared to continued use, cessation may improve math performance, a differential effect that may be partially explained by the effects of cannabis use being more harmful on English than on math scores.Footnote 4 Self-reports of math-related academic achievement tend to be more accurate than those relating to language studies, which are more consistently (if only slightly) overreported.Footnote 34 Applied to our study, these data further underline the likelihood of differential impacts of cannabis cessation. Neurocognitive studies also suggest a greater effect of cannabis use on language skills and verbal IQ, as well as a faster post-cessation recovery of executive function skills, which underlie mathematical reasoning.Footnote 19Footnote 20Footnote 28Footnote 35 However, these studies also show that negative effects on memory and learning, likely to markedly hinder academic performance, remain in the long term. In addition, the withdrawal process itself may impede functioning and obstruct academic recovery.Footnote 36 The increasing confidence interval ranges in our data suggest that individual trajectories vary widely and the comparatively lower odds ratios of improved performance in ex-users suggest that cessation may be insufficient to recover academic performance.
While academic outcomes were only slightly affected by cannabis use cessation, regular class attendance and homework completion were significantly and overwhelmingly improved compared to continued use. Ex-users did not significantly differ from never-users in these measures. This suggests that improved academic rigour may underlie much of any improvement seen in academic performance. However, in view of the relatively small scale of those improvements, this also suggests that always attending class and completing homework is insufficient to reverse the negative effects of cannabis use on academic outcomes. Taken together, our data indicate that students may require additional academic support following cannabis cessation to achieve or regain their potential. This may seem intuitive, given that course content routinely builds on what has been studied previously and that regular users may have underperformed for several years before quitting cannabis use, but in practice interventions often focus exclusively on reducing drug use and do not consider the need for additional academic support.Footnote 16
In the light of the recent cannabis legalization, a focus on educational support post-cessation may be integral to attenuating the harmful effects of increased cannabis use among youth. Future work should aim to understand which students are targeted or referred for cannabis use cessation; to establish whether a step-wise approach to cannabis use reduction results in higher reduction or cessation rates; and to determine how academic support measures can feasibly be integrated into harm reduction programs to improve student outcomes. Overall, more evidence is needed on the medium-term outcomes following cannabis cessation in adolescence.
Strengths and limitations
The strengths of the COMPASS study include its prospective design, the verified validity of survey measures based on national guidelines or surveillance tools,Footnote 21 the large sample size and the linkage of individuals between collection points. The latter inherently accounts for interindividual variability of time-stable covariates, removing some sources of potential confounding. Models accounted for academic performance at baseline, further accounting for factors that may influence both cannabis use change and academic outcomes.
This study also has several limitations. Self-report questionnaires are subject to recall and social desirability biases, leading to potential underreporting of cannabis consumption. However, report linkage may account for individual differences and therefore mitigate overall response bias. Individuals maintaining a high frequency of cannabis use are more likely to drop out,Footnote 37 leading to potential overreporting of reduction or cessation rates in our longitudinal study.
Previous work has found that students who quit using cannabis are less likely to co-use multiple substances.Footnote 38 As this mode of engagement carries fewer risks than poly-substance use and is therefore likely to lead to better outcomes, this may have resulted in an overestimation of the benefits of cessation in our work.
As students were followed over two to three years, results should be interpreted with caution in terms of potential effects in the longer term. Students may have changed over time in terms of factors pertinent to academic performance and cannabis use change. As a result, residual confounding may have affected analyses, though it is unlikely that this variation would be so consistently pronounced as to notably affect results.
The schools included in our study were from a convenience sample and the results are therefore not generalizable. However, utilizing a passive-consent protocol decreased opportunities for introducing selection biases within schools while the large sample size suggests that results will apply to a substantial proportion of high school students in the provinces studied (Alberta and Ontario).
Conclusion
This study showed that few high school students who use cannabis reduce their use; that most of those who do take only incremental steps towards cessation; and that weekly users are the most likely to maintain their use. Post-cessation, some improvements in academic achievement were described, likely due to the observed comprehensive increase in class attendance and homework completion. However, most students may require additional academic support to counteract lingering negative effects. In the context of legalization, targeted school-based focussed support to attenuate the harmful effects of increased cannabis use is justified.
Acknowledgements
The COMPASS study has been supported by a bridge grant from the Canadian Institutes of Health (CIHR) Institute of Nutrition, Metabolism and Diabetes (INMD) through the “Obesity—Interventions to Prevent or Treat” priority funding awards (OOP-110788; grant awarded to SL); an operating grant from the CIHR Institute of Population and Public Health (IPPH) (MOP-114875; grant awarded to SL); a CIHR Project Grant (PJT-148562; grant awarded to SL); a CIHR Project Grant (PJT-149092; grant awarded to Karen Patte); and by a research funding arrangement with Health Canada (#1617-HQ-000012; contract awarded to SL). AZ is funded by the Public Health Agency of Canada through a Natural Sciences and Engineering Research Council of Canada (NSERC) Visiting Fellowship in Government Laboratories.
Conflict of interest
None.
Authors’ contributions and statement
All authors contributed to the design of the work. MG analyzed the data; AZ and MG interpreted the data; MdG, YJ and SL contributed to the interpretation of the data; AZ drafted the manuscript; and all authors revised the manuscript.
The content and views expressed in this article are those of the authors and do not necessarily reflect those of the Government of Canada.
References
- Footnote 1
-
Office of Research and Surveillance. Canadian Tobacco Alcohol and Drugs (CTADS): 2015 summary. Ottawa (ON): CTADS; [modified 2017 Jun 27; accessed 2018 Feb 18]. https://www.canada.ca/en/health-canada/services/canadian-tobacco-alcohol-drugs-survey/2015-summary.html
- Footnote 2
-
Adamson P. Child well-being in rich countries: a comparative overview. Innocenti Report Card 11. Florence (IT): UNICEF Office of Research – Innocenti; 2013.
- Footnote 3
-
Zuckermann AM, Battista K, de Groh M, Jiang Y, Leatherdale ST. Prelegalisation patterns and trends of cannabis use among Canadian youth: results from the COMPASS prospective cohort study. BMJ Open. 2019;9(3):e026515. doi:10.1136/bmjopen-2018-026515.
- Footnote 4
-
Patte KA, Qian W, Leatherdale ST. Marijuana and alcohol use as predictors of academic achievement: a longitudinal analysis among youth in the COMPASS Study. J Sch Health. 2017;87(5):310-8. doi:10.1111/josh.12498.
- Footnote 5
-
Coffey C, Patton GC. Cannabis use in adolescence and young adulthood. Can J Psychiatry. 2016;61(6):318-27. doi:10.1177/0706743716645289.
- Footnote 6
-
Melchior M, Bolze C, Fombonne E, Surkan PJ, Pryor L, Jauffret-Roustide M. Early cannabis initiation and educational attainment: is the association causal? Data from the French TEMPO study. Int J Epidemiol. 2017;46(5):1641-50. doi:10.1093/ije/dyx065.
- Footnote 7
-
Maggs JL, Staff J, Kloska DD, Patrick ME, O’Malley PM, Schulenberg J. Predicting young adult degree attainment by late adolescent marijuana use. J Adolesc Health. 2015;57(2):205-11. doi:10.1016/j.jadohealth.2015.04.028.
- Footnote 8
-
Macleod J, Oakes R, Copello A, et al. Psychological and social sequelae of cannabis and other illicit drug use by young people: a systematic review of longitudinal, general population studies. Lancet. 2004;363(9421):1579-88. doi:10.1016/S0140-6736(04)16200-4.
- Footnote 9
-
Volkow ND, Baler RD, Compton WM, Weiss SR. Adverse health effects of marijuana use. N Engl J Med. 2014;370(23):2219-27. doi:10.1056/NEJMra1402309.
- Footnote 10
-
Budney AJ, Borodovsky JT. The potential impact of cannabis legalization on the development of cannabis use disorders. Prev Med. 2017;104:31-6. doi:10.1016/j.ypmed.2017.06.034.
- Footnote 11
-
Roditis ML, Delucchi K, Chang A, Halpern-Felsher B. Perceptions of social norms and exposure to pro-marijuana messages are associated with adolescent marijuana use. Prev Med. 2016;93:171-6. doi:10.1016/j.ypmed.2016.10.013.
- Footnote 12
-
Stolzenberg L, D’Alessio SJ, Dariano D. The effect of medical cannabis laws on juvenile cannabis use. Int J Drug Policy. 2016;27:82-8. doi:10.1016/j.drugpo.2015.05.018.
- Footnote 13
-
McKiernan A, Fleming K. Canadian youth perceptions on cannabis. Ottawa (ON): Canadian Centre on Substance Abuse (CCSA); 2017 Jan.
- Footnote 14
-
DeWit DJ, Offord DR, Wong M. Patterns of onset and cessation of drug use over the early part of the life course. Health Educ Behav. 1997;24(6):746-58. doi:10.1177/109019819702400609.
- Footnote 15
-
Griffin KW, Bang H, Botvin GJ. Age of alcohol and marijuana use onset predicts weekly substance use and related psychosocial problems during young adulthood. J Subst Use. 2010;15(3):174-83. doi:10.3109/14659890903013109.
- Footnote 16
-
Onrust SA, Otten R, Lammers J, Smit F. School-based programmes to reduce and prevent substance use in different age groups: what works for whom? Systematic review and meta-regression analysis. Clin Psychol Rev. 2016;44:45-59. doi:10.1016/j.cpr.2015.11.002.
- Footnote 17
-
Juon HS, Fothergill KE, Green KM, Doherty EE, Ensminger ME. Antecedents and consequences of marijuana use trajectories over the life course in an African American population. Drug Alcohol Depend. 2011;118(2–3):216-23. doi:10.1016/j.drugalcdep.2011.03.027.
- Footnote 18
-
Brook JS, Zhang C, Brook DW. Antisocial behavior at age 37: developmental trajectories of marijuana use extending from adolescence to adulthood. Am J Addict. 2011;20(6):509-15. doi:10.1111/j.1521–0391.2011.00179.x.
- Footnote 19
-
Schreiner AM, Dunn ME. Residual effects of cannabis use on neurocognitive performance after prolonged abstinence: a meta-analysis. Exp Clin Psychopharmacol. 2012;20(5):420-9. doi:10.1037/a0029117.
- Footnote 20
-
Grant I, Gonzalez R, Carey CL, Natarajan L, Wolfson T. Non-acute (residual) neurocognitive effects of cannabis use: a meta-analytic study. J Int Neuropsychol Soc. 2003;9(05):679-89. doi:10.1017/S1355617703950016.
- Footnote 21
-
Leatherdale ST, Brown KS, Carson V, et al. The COMPASS study: a longitudinal hierarchical research platform for evaluating natural experiments related to changes in school-level programs, policies and built environment resources. BMC Public Health. 2014;14(1):331. doi:10.1186/1471-2458-14-331.
- Footnote 22
-
Battista K, Qian W, Bredin C, Leatherdale ST. Student data linkage over multiple years. COMPASS Tech Rep Ser. 2019;6(3).
- Footnote 23
-
Qian W, Battista K, Bredin C, Brown KS, Leatherdale ST. Assessing longitudinal data linkage results in the COMPASS study. Compass Tech Rep Ser. 2015;3(4). Available from: https://uwaterloo.ca/compass-system/publications/assessing-longitudinal-data-linkage-results-compass-study
- Footnote 24
-
Elton-Marshall T, Leatherdale ST, Manske SR, Wong K, Ahmed R, Burkhalter R. Research methods of the Youth Smoking Survey (YSS). Chronic Dis Inj Can. 2011;32(1):47-54.
- Footnote 25
-
Molenberghs G, Verbeke G. Models for discrete longitudinal data. New York: Springer Verlag; 2005.
- Footnote 26
-
Facal D, Guàrdia-Olmos J, Juncos-Rabadán O. Diagnostic transitions in mild cognitive impairment by use of simple Markov models. Int J Geriatr Psychiatry. 2015;30(7):669-76. doi:10.1002/gps.4197.
- Footnote 27
-
Mayet A, Legleye S, Falissard B, Chau N. Cannabis use stages as predictors of subsequent initiation with other illicit drugs among French adolescents: use of a multi-state model. Addict Behav. 2012;37(2):160-6. doi:10.1016/j.addbeh.2011.09.012.
- Footnote 28
-
Castellanos-Ryan N, Pingault JB, Parent S, Vitaro F, Tremblay RE, Séguin JR. Adolescent cannabis use, change in neurocognitive function, and high-school graduation: a longitudinal study from early adolescence to young adulthood. Dev Psychopathol. 2016:1-14. doi:10.1017/S0954579416001280.
- Footnote 29
-
Pilatti A, Read JP, Pautassi RM. ELSA 2016 cohort: alcohol, tobacco, and marijuana use and their association with age of drug use onset, risk perception, and social norms in Argentinean college freshmen. Front Psychol. 2017;8:1452. doi:10.3389/fpsyg.2017.01452.
- Footnote 30
-
Pöttgen S, Samkange-Zeeb F, Brand T, Steenbock B, Pischke C. [Effectiveness of school-based interventions to prevent and/or reduce substance use among primary and secondary school pupils: a review of reviews]. Gesundheitswes. 2016;78(4):230-6. doi:10.1055/s-0035-1547275.
- Footnote 31
-
Sussman S, Dent CW. Five-year prospective prediction of marijuana use cessation of youth at continuation high schools. Addict Behav. 2004;29(6):1237-43. doi:10.1016/j.addbeh.2004.03.024.
- Footnote 32
-
Jacobus J, Squeglia LM, Escobar S, et al. Changes in marijuana use symptoms and emotional functioning over 28-days of monitored abstinence in adolescent marijuana users. Psychopharmacology (Berl). 2017;234(23-24):3431-42. doi:10.1007/s00213-017-4725-3.
- Footnote 33
-
Sznitman SR, Kolobov T, ter Bogt T, Kuntsche E, Walsh SD, Harel-Fisch Y. Investigating cannabis use normalization by distinguishing between experimental and regular use: a multilevel study in 31 countries. J Stud Alcohol Drugs. 2015;76(2):181-9. doi:10.15288/jsad.2015.76.181.
- Footnote 34
-
Sticca F, Goetz T, Bieg M, Hall NC, Eberle F, Haag L. Examining the accuracy of students’ self-reported academic grades from a correlational and a discrepancy perspective: evidence from a longitudinal study. PLoS One. 2017;12(11):e0187367. doi:10.1371/journal.pone.0187367.
- Footnote 35
-
Cragg L, Gilmore C. Skills underlying mathematics: the role of executive function in the development of mathematics proficiency. Trends Neurosci Educ. 2014;3(2):63-8. doi:10.1016/j.tine.2013.12.001.
- Footnote 36
-
Tapert SF, Granholm E, Leedy NG, Brown SA. Substance use and withdrawal: neuropsychological functioning over 8 years in youth. J Int Neuropsychol Soc. 2002;8(7):873-83. doi:10.1017/S1355617702870011.
- Footnote 37
-
Stiby AI, Hickman M, Munafò MR, Heron J, Yip VL, Macleod J. Adolescent cannabis and tobacco use and educational outcomes at age 16: birth cohort study. Addiction. 2015;110(4): 658-68. doi:10.1111/add.12827.
- Footnote 38
-
Zuckermann AM, Gohari MR, de Groh M, Jiang Y, Leatherdale ST. Factors associated with cannabis use change in youth: evidence from the COMPASS study. Addict Behav. 2019; 90:158-63. doi:10.1016/j.addbeh.2018 .10.048.