Recherche quantitative originale – Abandon du cannabis chez les jeunes : taux, tendances et résultats scolaires dans une vaste cohorte prospective d’élèves canadiens du secondaire
Promotion de la santé et prévention des maladies chroniques au Canada
Alexandra M. Zuckermann, Ph. DNote de bas de page 1,Note de bas de page 2; Mahmood R. Gohari, Ph. D.Note de bas de page 1, Margaret de Groh, Ph.D.Note de bas de page 2; Ying Jiang, M.D.Note de bas de page 2; Scott T. Leatherdale, Ph. D.Note de bas de page 1
https://doi.org/10.24095/hpcdp.40.4.01f
Cet article a fait l'objet d'une évaluation par les pairs.
Rattachement des auteurs :
- Note de bas de page 1
-
Université de Waterloo, École de la santé publique et des systèmes de santé, Waterloo (Ontario), Canada
- Note de bas de page 2
-
Agence de la santé publique du Canada, Division de la recherche appliquée, Ottawa (Ontario), Canada
Correspondance : Alexandra Zuckermann, Université de Waterloo, École de la santé publique et des systèmes de santé, 200, avenue University, Waterloo (Ontario) N2L 3G1; courriel : alex.zuckermann@uwaterloo.ca
Résumé
Introduction. La légalisation du cannabis au Canada requiert une meilleure compréhension de la prévalence de la réduction volontaire de la consommation de cannabis et des effets subséquents sur les résultats scolaires des jeunes, afin d’éclairer les approches de réduction des méfaits et de promotion de la santé.
Méthodologie. Nous avons analysé les données longitudinales jumelées d’un échantillon (n = 91 774) tiré de l’étude de cohorte prospective COMPASS menée auprès d’élèves canadiens de la 9e à la 12e année de différentes écoles secondaires de l’Ontario et de l’Alberta, entre 2013-2014 et 2016-2017. Nous avons étudié la prévalence de la réduction et de l’abandon spontanés de la consommation de cannabis d’une année scolaire à l’autre (de la 9e à la 10e année, de la 10e à la 11e année, de la 11e à la 12e année), ainsi que l’effet de l’abandon sur la réussite scolaire (notes actuelles ou récentes obtenues en mathématiques et en anglais) et la rigueur (fréquence de réalisation des devoirs et absentéisme au cours des derniers mois).
Résultats. Seulement 14,8 % des consommateurs de cannabis ont réduit leur consommation d’une année scolaire à l’autre. De ce nombre, les deux tiers n’ont apporté que des changements progressifs à la baisse, une tendance qui s’est maintenue au fil des trois changements d’année scolaire. Les taux d’abandon à la suite d’une consommation quotidienne et hebdomadaire ont diminué d’une année à l’autre. Les élèves qui ont cessé de consommer du cannabis ont obtenu de meilleurs résultats que ceux qui ont continué à en consommer (rapport de cotes [RC] = 1,23, intervalle de confiance [IC] à 95 % : 1,03 à 1,48) et ils ont obtenu de moins bons résultats, dans certaines sous-catégories de rendement en mathématiques, que ceux qui n’en ont jamais consommé (RC = 0,55, IC à 95 % : 0,31 à 0,97). Comparativement aux élèves qui ont continué à consommer du cannabis, ceux qui ont cessé ont tous amélioré leur assiduité aux cours (RC = 2,48, IC à 95 % : 1,93 à 3,19) et la réalisation de leurs devoirs (RC = 2,32, IC à 95 % : 1,85 à 2,92).
Conclusion. Une plus grande rigueur scolaire pourrait être à l’origine des améliorations constatées dans le rendement scolaire après l’abandon du cannabis. Les élèves du secondaire qui consomment du cannabis auront probablement besoin d’un soutien ciblé afin de favoriser la réduction ou l’abandon de la consommation et le rétablissement scolaire subséquent. Il paraît donc justifié de mettre l’accent sur la réduction des effets nocifs du cannabis en milieu scolaire.
Mots-clés : cannabis, abandon, jeunes, école secondaire, rendement scolaire, absentéisme
Points saillants
- La modification de la consommation de cannabis a fait l’objet d’une étude auprès d’un large échantillon d’élèves du secondaire.
- Seulement 14,8 % des élèves consommant du cannabis ont réduit leur consommation d’une année scolaire à l’autre.
- Dans la plupart des cas, la réduction de la consommation a été progressive.
- L’assiduité aux cours et la réalisation des devoirs ont été améliorées chez tous les élèves qui ont cessé de consommer du cannabis.
- L’arrêt de la consommation n’a pas suffi à améliorer le rendement scolaire (notes obtenues dans les cours).
- Il est nécessaire d’offrir un soutien ciblé aux élèves du secondaire qui consomment du cannabis.
Introduction
Les jeunes Canadiens sont les plus grands consommateurs de cannabis au monde, et cette consommation pourrait augmenter encoreNote de bas de page 1Note de bas de page 2Note de bas de page 3. La fréquence élevée de consommation de cannabis et la consommation depuis un âge précoce ont été liées de façon fiable à des effets indésirables chez les jeunes, en particulier un mauvais rendement scolaire, qui ont ensuite une incidence négative sur leur vie d’adulteNote de bas de page 4Note de bas de page 5Note de bas de page 6Note de bas de page 7Note de bas de page 8Note de bas de page 9. De nombreux adolescents pensent que le cannabis est moins nocif que l’alcool et en sous-estiment les risques; cette impression de sécurité comparative est susceptible de s’amplifier avec la récente légalisation du cannabis et l’incidence simultanée sur les normes sociales conduisant à accroître la consommation dans ce groupe d’âgeNote de bas de page 10Note de bas de page 11Note de bas de page 12Note de bas de page 13. La consommation de cannabis chez les jeunes doit donc être un élément clé des études et des politiques sur la réduction des méfaits.
Bien que l’on s’intéresse de plus en plus aux facteurs qui amènent les jeunes à consommer du cannabis, on sait peu de choses sur les tendances qui les conduisent à réduire ou à cesser leur consommation. D’après certaines études, les jeunes sont moins susceptibles d’arrêter de consommer du cannabis que d’autres drogues illicites, et ceux qui commencent jeunes consomment plus, ont de moins bons résultats et sont moins susceptibles d’arrêter que ceux qui commencent à un âge plus avancéNote de bas de page 4Note de bas de page 14Note de bas de page 15. D’après une étude récente, pratiquement aucune intervention prometteuse en matière de de toxicomanie chez les jeunes n’a été documentée, en particulier chez les moins de 15 ansNote de bas de page 16. Les données probantes sur les réductions volontaires peuvent être utiles pour harmoniser les programmes d’intervention en matière de consommation de substances avec ces tendances, augmentant ainsi leurs chances de succès.
Des études indiquent que les jeunes consommateurs de cannabis qui réduisent ou cessent leur consommation améliorent leurs résultatsNote de bas de page 16Note de bas de page 17Note de bas de page 18. Cependant, la plupart des enquêtes caractérisent les effets de l’abandon soit à l’âge adulte (après une consommation de substances prolongée), soit à très court terme (de quelques jours à quelques semaines). En outre, les jeunes qui ont cessé de consommer du cannabis amélioreraient leur fonctionnement dans la plupart des domaines neurocognitifs (p. ex. fonction exécutive) au point d’inverser presque tous les effets négatifs, à l’exception de ceux sur l’apprentissage et la mémoireNote de bas de page 19Note de bas de page 20. Toutefois, on sait peu de choses sur les effets à moyen terme (de quelques mois à un an) de l’abandon du cannabis à l’adolescence sur les résultats scolaires, qui contribuent de manière significative aux trajectoires de vie subséquentes.
Dans une étude portant sur une population similaire à celle utilisée dans notre étude, Patte et collab. ont décrit les effets négatifs de la consommation de cannabis sur les résultats scolairesNote de bas de page 4. Elle a révélé que les élèves qui ont commencé à consommer du cannabis étaient moins susceptibles d’assister aux cours régulièrement, de faire leurs devoirs et d’obtenir des notes élevées que ceux qui se sont abstenus. Cependant, la question de savoir si l’abandon du cannabis a renversé ou modifié ces résultats n’a pas été examinée. Sachant que la consommation de cannabis a une incidence sur les résultats scolaires des jeunes, nos travaux visaient à déterminer si l’abandon du cannabis influe sur ces résultats à moyen terme, c’est-à-dire pendant leur parcours scolaire et avant leur transition à l’âge adulte, et de quelle manière.
Les objectifs de cette enquête étaient de décrire la prévalence et les taux de réduction de la consommation de cannabis chez les jeunes, d’établir leurs répercussions sur le rendement scolaire (notes en mathématiques et en anglais) et d’étudier leurs effets sur la rigueur scolaire (présence en classe et réalisation des devoirs).
Méthodologie
Étude
L’étude de cohorte prospective COMPASS recueille des données hiérarchiques une fois par année auprès d’un échantillon d’élèves de la 9e à la 12e année (données auprès des élèves) et des écoles secondaires qu’ils fréquententNote de bas de page 21. Notre article repose sur les données longitudinales jumeléesNote de bas de page 22 obtenues auprès des élèves pendant l’année 2 (2013-2014), l’année 3 (2014-2015), l’année 4 (2015-2016) et l’année 5 (2016-2017). Des codes d’identification anonymes ont été progressivement associés aux élèves. Le questionnaire de l’étude COMPASS destiné aux élèves a été utilisé pendant les heures de classe afin de recueillir des données sur les caractéristiques individuelles des élèves et des mesures en lien avec de multiples composantes comportementales, en particulier la consommation de substances, l’alimentation, l’activité physique et la santé mentale ainsi que leurs corrélats. Les questions ont été basées sur les lignes directrices nationales ou les outils de surveillance nationauxNote de bas de page 21. Les mesures utilisées ici sont la fréquence de consommation de cannabis, la réussite scolaire en mathématiques et en anglais, la réalisation des devoirs et l’absentéisme.
Une description complète de la méthodologie de l’étude COMPASS, dont une série de rapports techniques approfondis et l’approbation éthique, peut être consultée en version impriméeNote de bas de page 21 comme électronique.
Données
Des données ont été recueillies auprès d’un échantillon de commodité d’écoles secondaires de l’Ontario (n = 79) et de l’Alberta (n = 10) qui ont autorisé l’utilisation de protocoles d’information active et de consentement parental passifNote de bas de page 21. Les données de l’année 2 ont été recueillies auprès de 45 298 élèves dans 89 écoles (taux de participation de 79,2 %, âge moyen 16,0 ans [écart-type 5,8]), les données de l’année 3 auprès de 42 355 élèves dans 87 écoles (78,8 %, 16,0 ans [6,1]), les données de l’année 4 auprès de 40 436 élèves dans 81 écoles (79,9 %, 16,1 ans [6,5]) et les données de l’année 5 auprès de 43 245 élèves dans 88 écoles (76,6 %, 16,0 ans [6,1]).
Les trois quarts (75,6 %) des élèves ont déclaré d’être d’origine ethnique blanche, 10,9 % autre/métisse, 5,3 % asiatique, 3,6 % noire, 2,7 % autochtone et 1,9 % latino-américaine/hispanique.
On a jumelé les données entre deux années consécutivesNote de bas de page 23, ce qui a permis d’obtenir une base de données de 91 774 questionnaires issus de 37 231 élèves (51,9 % de filles). Afin de modéliser les effets à long terme de l’abandon du cannabis, on a aussi jumelé les données sur trois années consécutives, ce qui a permis d’obtenir 42 861 questionnaires issus de 13 476 élèves (52,2 % de filles). La taille moindre de l’échantillon provient du fait que certains élèves étaient en période libre lors de la collecte des données ou absents pour d’autres raisons et que d’autres ont changé d’école entre les périodes de collecte.
Comme cela a été établi précédemmentNote de bas de page 23, les élèves participant à l’étude COMPASS dont les données n’ont pu être jumelées étaient plus susceptibles de déclarer consommer du cannabis, de l’alcool et du tabac.
Consommation de cannabis
Comme le préconise la surveillance nationale de la consommation de diverses substances chez les jeunesNote de bas de page 24, la question suivante a été posée aux élèves : « Au cours des 12 derniers mois, à quelle fréquence as-tu consommé de la marijuana ou du cannabis? ». Neuf choix de réponse leur étaient offerts : « je n’ai jamais consommé de marijuana », « j’ai déjà consommé de la marijuana, mais pas au cours des 12 derniers mois », « moins d’une fois par mois », « une fois par mois », « 2 ou 3 fois par mois », « une fois par semaine », « 2 ou 3 fois par semaine », « 4 à 6 fois par semaine » et « chaque jour ». Comme dans une recherche antérieureNote de bas de page 4 et afin de faciliter l’analyse, les réponses ont été recodées en 5 catégories : « aucune consommation » (jamais consommé ou pas consommé au cours des 12 derniers mois), « consommation rare » (moins d’une fois par mois) « consommation mensuelle » (1 à 3 fois par mois), « consommation hebdomadaire » (1 à 6 fois par semaine) et « consommation quotidienne » (chaque jour).
Les taux de non-réponse à cette question étaient de 1,7 % (année 2), 1,5 % (année 3), 1,6 % (année 4) et 1,5 % (année 5).
Pour les données jumelées sur deux ans, les modifications de fréquence de consommation de cannabis par rapport au départ ont été classées en 4 catégories : « absence de consommation » (aucune consommation au départ et l’année suivante), « consommation » (consommation déclarée lors des deux collectes de données, la fréquence demeurant constante ou augmentant entre les deux collectes), « réduction » (consommation déclarée lors des deux collectes de données, la fréquence diminuant par rapport au départ) et « abandon » (consommation déclarée lors de la première collecte, aucune consommation déclarée lors de la seconde). Les élèves ayant déclaré ne toujours pas consommer au moment du second suivi un an plus tard (schéma de consommation de cannabis oui-non-non) ont été inclus dans le groupe « abstinence continue ». Les deux groupes de référence se composaient des « élèves consommant de manière suivie » pour ceux ayant déclaré consommer et des « élèves n’ayant jamais consommé » pour ceux ayant fait état d’une absence de consommation lors de toutes les collectes de données pertinentes.
Variables relatives à la consommation de substances
Les questions suivantes ont été posées aux élèves : « Au cours des 30 derniers jours, combien de jours as-tu fumé au moins une cigarette? », « Au cours des 12 derniers mois, à quelle fréquence as-tu bu 5 consommations ou plus d’alcool à une même occasion? ». Les élèves qui ont indiqué avoir fumé au moins une cigarette au cours des 30 derniers jours ont été classés comme fumeurs et ceux qui ont déclaré avoir bu 5 consommations ou plus d’alcool au moins une fois par mois ont été classés comme s’adonnant à une consommation excessive occasionnelle d’alcool.
Variables relatives aux études
Deux questions ont été posées aux élèves sur leur rendement scolaire, l’une concernant les mathématiques et l’autre l’anglais : « Dans ton plus récent cours de mathématiques/d’anglais, quelle note globale as-tu obtenue approximativement? ». Les sept choix de réponse suivants ont été donnés pour les deux matières : « 90 à 100 % », « 80 à 89 % », « 70 à 79 % », « 60 à 69 % », « 55 à 59 % », « 50 à 54 % » et « moins de 50 % ». Comme dans une recherche antérieureNote de bas de page 4, les trois dernières options ont été recodées dans la catégorie « moins de 60 % » qui a servi de référence pour notre analyse.
Deux questions sur la rigueur scolaire ont ensuite été posées aux élèves. La première portait sur l’absentéisme : « Au cours des 4 dernières semaines, à combien de cours auxquels tu devais assister étais-tu absent(e)? ». Six choix de réponse leur étaient offerts : « 0 cours », « 1 ou 2 cours », « 3 à 5 cours », « 6 à 10 cours », « 11 à 20 cours » et « plus de 20 cours ». Pour faciliter l’analyse, le premier choix (absence à aucun cours) a été utilisé tel quel et les autres ont été recodés les catégories suivantes : « 1 à 5 cours » (choix 2 et 3) et « 6 cours ou plus » (choix 4 à 6), la dernière ayant servi de référence. La seconde question concernant la rigueur scolaire portait sur la réalisation des devoirs : « À quelle fréquence vas-tu en classe sans avoir fait tes devoirs? ». Quatre choix de réponse étaient offerts : « jamais », « rarement », « souvent » et « presque toujours ». Pour faciliter l’analyse, « presque toujours » a été utilisé comme catégorie de référence. Les taux de valeurs manquantes au départ pour ces variables étaient de 2,6 % (note en mathématiques), 3,1 % (note en anglais), 1,8 % (absentéisme) et 2 % (réalisation des devoirs).
Analyse statistique
Les analyses ont été réalisées au moyen du progiciel statistique SAS, version 9.4 (SAS Institute Inc., Cary, Caroline du Nord, États-Unis). Un modèle de transition logit multinomial a été utilisé pour rendre compte des dépendances à deux variables entre les observations faites à deux moments consécutifs. Le modèle de transition, de type Markov, se concentre sur les variations brutes globales entre des événements consécutifs, par exemple avant et après un changement d’année scolaire. Le modèle de transition logit multinomial est un modèle de régression dans lequel on suppose que les probabilités de choisir des catégories plus élevées de la variable de réponse plutôt que d’autres catégories dépendent de la valeur des réponses lors des précédentes collectes de donnéesNote de bas de page 25.
Le modèle de transition utilisé ici est le modèle Markov de premier ordre, dans lequel on suppose que Yt dépend uniquement de l’état à t−1, et non des réponses à des occasions antérieures. Cette approche de modélisation est bien établie et a déjà été utilisée pour analyser des transitions dans des contextes similairesNote de bas de page 26Note de bas de page 27. Ici, les logarithmes de probabilités relatifs au statut de consommation de cannabis à l’instant t plutôt qu’à la catégorie de référence des non-consommateurs sont décrits comme suit :

où Yit−1 est la réponse de l’élève relativement au précédent statut de consommation de cannabis, X est le vecteur des covariables avec les coefficients correspondants de β et j représente le statut de consommation de cannabis. L’analyse de cas disponible a été utilisée pour les modèles de régression multinomiale, qui ont été ajustés pour l’année scolaire, le tabagisme, la consommation excessive occasionnelle d’alcool et le rendement scolaire au départ.
Résultats
Caractéristiques de l’échantillon
Sur l’ensemble des questionnaires de l’échantillon, 20,9 % (n = 18 916) mentionnaient une consommation de cannabis, toutes fréquences confondues (tableau 1). Les taux de consommation excessive occasionnelle d’alcool étaient similaires (19,1 %) et les taux de tabagisme beaucoup plus faibles (8,3 %). La prévalence de la consommation de cannabis diminuait fortement avec l’augmentation de la fréquence de consommation, de sorte qu’environ les deux tiers (68,9 %) des questionnaires mentionnant une consommation de cannabis faisaient état d’une consommation mensuelle ou rare, et un tiers (31,1 %) une consommation hebdomadaire ou quotidienne. Les garçons étaient plus susceptibles de mentionner une consommation de substances de n’importe quelle catégorie.
Caractéristique | Total (%) | Filles (%) | Garçons (%) | valeur p |
---|---|---|---|---|
Consommation de cannabis | ||||
Totale | 18 916 (20,9) | 9 634 (20,7) | 9 282 (21,8) | < 0,001 |
Quotidienne | 2 062 (2,3) | 684 (1,5) | 1 378 (3,2) | < 0,001 |
Hebdomadaire | 3 820 (4,2) | 1 691 (3,6) | 2 129 (5,0) | |
Mensuelle | 5 101 (5,6) | 2 661 (5,7) | 2 440 (5,7) | |
Rare | 7 933 (8,8) | 4 598 (9,9) | 3 335 (7,8) | |
Tabagisme | 7 438 (8,3) | 3 476 (7,4) | 3 962 (9,2) | < 0,001 |
Consommation excessive occasionnelle d’alcool | 17 210 (19,1) | 8 461 (18,1) | 8 749 (20,3) | < 0,001 |
Niveau scolaire | ||||
9 | 20 208 (22,5) | 10 255 (21,9) | 9 953 (23,1) | – |
10 | 29 264 (32,5) | 15 117 (32,3) | 14 147 (32,8) | |
11 | 24 970 (27,8) | 13 257 (28,4) | 11 713 (27,2) | |
12 | 15 438 (17,2) | 8 124 (17,4) | 7 314 (16,9) | |
Note en mathématiques | ||||
90 à 100 % | 17 774 (20,2) | 9 767 (21,3) | 8 007 (19,1) | < 0,001 |
80 à 89 % | 26 406 (30,0) | 14 480 (31,5) | 11 926 (28,4) | |
70 à 79 % | 21 657 (24,6) | 10 965 (23,9) | 10 692 (25,5) | |
60 à 69 % | 12 155 (13,8) | 6 072 (13,2) | 6 083 (14,5) | |
≤ 59 % | 9 914 (11,4) | 4 662 (10,1) | 5 255 (12,5) | |
Note en anglais | ||||
90 à 100 % | 12 114 (13,8) | 8 252 (17,9) | 3 862 (9,3) | < 0,001 |
80 à 89 % | 34 481 (39,3) | 20 197 (44,0) | 14 284 (34,2) | |
70 à 79 % | 26 667 (30,4) | 12 147 (26,4) | 14 520 (34,7) | |
60 à 69 % | 9 659 (11,0) | 3 755 (8,2) | 5 904 (14,1) | |
≤ 59 % | 4 828 (5,5) | 1 597 (3,5) | 3 231 (7,7) | |
Fréquence à laquelle l’élève va en classe sans avoir fait ses devoirs | ||||
Jamais | 18 175 (20,2) | 10 557 (22,4) | 7 618 (17,7) | < 0,001 |
Rarement | 48 857 (54,2) | 26 289 (55,9) | 22 568 (52,4) | |
Souvent | 15 979 (17,7) | 7 220 (15,3) | 8 759 (20,3) | |
Presque toujours | 7 140 (7,9) | 3 012 (6,4) | 4 128 (9,6) | |
Nombre d’absences en classe au cours des 4 dernières semaines | ||||
0 | 67 695 (75,0) | 34 784 (73,8) | 32 911 (76,4) | < 0,001 |
1 à 5 | 19 905 (22,1) | 11 094 (23,5) | 8 811 (20,4) | |
6 et plus | 2 637 (2,9) | 1 245 (2,7) | 1 392 (3,2) | |
Remarques : L’échantillon inclut les élèves dont les données ont été jumelées sur deux années consécutives. Les valeurs indiquent le nombre de questionnaires. Les valeurs p pertinentes pour les différences entre les sexes sont indiquées. |
Les données sur le rendement scolaire étaient plus favorables pour les filles relativement aux notes en mathématiques et en anglais. Les filles étaient également plus susceptibles de ne jamais assister aux cours sans avoir fait leurs devoirs et moins susceptibles de n’avoir manqué aucun cours au cours des quatre semaines précédentes. Les garçons étaient plus susceptibles de déclarer avoir manqué plus de six cours. Dans l’ensemble, moins du tiers des questionnaires faisaient référence à des cours manqués ou à des devoirs non faits souvent ou presque toujours.
Taux de réduction et d’abandon
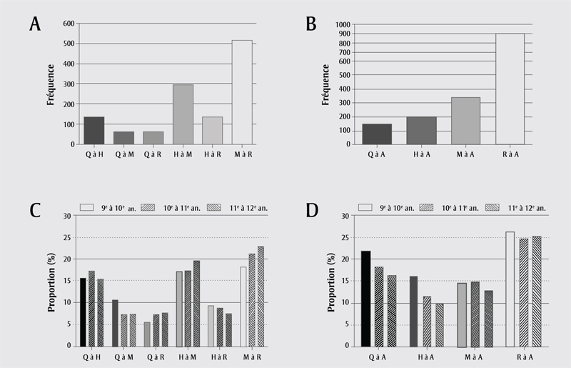
Seulement 14,8 % (n = 2 805) des questionnaires mentionnant une consommation de cannabis ont fait état d’une réduction de fréquence, la forme la plus courante de cette réduction étant l’abandon total (n = 1 596) (56,9 %). Une proportion importante des questionnaires mentionnait une réduction à partir d’une consommation peu fréquente, soit 42,7 % correspondant au passage d’une consommation mensuelle à une consommation rare (figure 1A) et 56,6 % correspondant au passage d’une consommation rare à l’arrêt complet du cannabis (figure 1B). La majorité (78,4 %) des réductions déclarées (n = 948) étaient progressives, c’est-à-dire d’une catégorie de fréquence à la catégorie inférieure la plus proche. Si l’on tient compte du nombre élevé de questionnaires faisant état de l’abandon du cannabis à la suite d’une consommation rare, les deux tiers (66,0 %) des réductions se situaient entre catégories de consommation adjacentes.
Figure 1. Fréquences et proportions de réduction et d’abandon de la consommation de cannabis chez les élèves du secondaire ayant participé à l’étude COMPASS entre 2013-2014 et 2016-2017

Figure 1 - Équivalent textuel
Q à H | Q à M | Q à R | H à M | H à R | M à R |
---|---|---|---|---|---|
135 | 63 | 63 | 297 | 135 | 516 |
Abréviations : A, aucune consommation; an., année (année scolaire suivie); H, hebdomadaire; M, mensuelle; Q, quotidienne; R, rare. |
Q à A | H à A | M à A | R à A |
---|---|---|---|
148 | 203 | 342 | 903 |
Abréviations : A, aucune consommation; an., année (année scolaire suivie); H, hebdomadaire; M, mensuelle; Q, quotidienne; R, rare. |
Changement | 9e à 10e année | 10e à 11e année | 11e à 12e année |
---|---|---|---|
Q à A | 15,63 | 17,25 | 15,43 |
Q à M | 10,63 | 7,39 | 7,43 |
Q à R | 5,63 | 7,39 | 7,71 |
H à M | 17,16 | 17,44 | 19,75 |
H à R | 9,47 | 8,80 | 7,64 |
M à R | 18,2 | 21,31 | 22,88 |
Abréviations : A, aucune consommation; an., année (année scolaire suivie); H, hebdomadaire; M, mensuelle; Q, quotidienne; R, rare. |
Changement | 9e à 10e année | 10e à 11e année | 11e à 12e année |
---|---|---|---|
Q à A | 21,88 | 18,31 | 16,29 |
H à A | 16,27 | 11,57 | 9,71 |
M à A | 14,56 | 14,85 | 12,87 |
R à A | 26,18 | 24,63 | 25,28 |
Abréviations : A, aucune consommation; an., année (année scolaire suivie); H, hebdomadaire; M, mensuelle; Q, quotidienne; R, rare. |
Abréviations : A, aucune consommation; an., année (année scolaire suivie); H, hebdomadaire; M, mensuelle; Q, quotidienne; R, rare.
Remarques :
Figures A et B : Fréquences totales des réductions (A) et des abandons (B) d’après l’échantillon de l’étude. La fréquence de consommation est décrite par l’abréviation d’une lettre. La lettre précédant le trait d’union indique la fréquence de consommation à un point de départ donné et la lettre suivant le trait d’union indique la fréquence de consommation au suivi un an plus tard.
Figures C et D : Proportions des réductions (C) et des abandons (D) de la consommation de cannabis par transition d’une année scolaire à l’autre. Les données correspondent aux questionnaires remplis par les élèves et sont jumelées sur deux années scolaires consécutives (départ et suivi l’année suivante). Chaque colonne représente la proportion pour un changement de fréquence donné.
Les indications de niveau scolaire décrivent l’année scolaire de départ et l’année scolaire au suivi et sont représentées par les motifs de la légende.
Alors que les taux de réduction (figure 1C) étaient les plus élevés entre catégories de consommation adjacentes, les taux d’abandon (figure 1D) culminaient à chacune des extrémités du spectre des fréquences (consommation rare et consommation quotidienne). Cette tendance a été observée tant chez les filles que chez les garçons, et dans les trois transitions scolaires examinées. Les élèves passaient le plus couramment d’une consommation mensuelle à une consommation rare (5,2 fois), et moins souvent d’une consommation quotidienne à une consommation hebdomadaire (1,3 fois), mensuelle (2,5 fois) ou rare (3,0 fois). Il était également moins courant qu’ils passent d’une consommation hebdomadaire à une consommation mensuelle (1,2 fois) ou rare (2,4 fois). L’arrêt du cannabis après une consommation quotidienne a été observé à des taux 1,4 fois plus faibles qu’après une consommation rare, l’arrêt du cannabis après une consommation mensuelle ou hebdomadaire restant moins prévalent (respectivement 1,8 et 2,0 fois).
Les taux individuels suivaient diverses trajectoires. Les taux d’abandon à la suite d’une consommation quotidienne ou hebdomadaire ont diminué avec les années scolaires (respectivement −5,6 % et −6,6 % au total), tout comme les taux de réduction observés chez les élèves passant d’une consommation hebdomadaire à une consommation rare (−1,8 %). Des augmentations continues ont été relevées entre les années scolaires en ce qui concerne les taux de réduction chez les élèves passant d’une consommation quotidienne à une consommation rare (+2,1 %), d’une consommation hebdomadaire à une consommation mensuelle (+2,6 %) et d’une consommation mensuelle à une consommation rare (+4,7 %). Les taux de réduction observés chez les élèves passant d’une consommation quotidienne à une consommation mensuelle ainsi que d’une consommation rare à l’arrêt du cannabis ont tout d’abord affichés une baisse (respectivement −3,2 % et −1,6 %,), puis ont atteint un plateau (respectivement ±0,0 % et +0,7 %) au fil des années scolaires. La tendance inverse a été constatée chez les élèves passant d’une consommation mensuelle à l’arrêt du cannabis (+0,3 %, puis −2,0 %), ainsi que chez ceux passant d’une consommation quotidienne à une consommation mensuelle (1,6 %, puis −1,8 %).
Les taux moyens totaux d’abandon du cannabis ont diminué (−3,7 %) et les taux moyens totaux de réduction ont légèrement augmenté (+0,7 %) d’une année scolaire à l’autre. Les taux moyens les plus élevés se rapportaient à l’abandon du cannabis après une consommation rare et au passage d’une consommation mensuelle à une consommation rare, tandis que les taux moyens les plus faibles concernaient le passage d’une consommation quotidienne à une consommation rare ou mensuelle. En moyenne, le taux combiné de réduction et d’abandon a diminué au fil des années scolaires (−1,5 %).
Effet de l’abandon du cannabis sur le rendement scolaire
Les élèves qui ont cessé de consommer du cannabis se sont améliorés dans certaines dimensions de leur parcours scolaire par rapport à ceux qui ont continué de consommer (tableau 2). Au premier suivi (année 2), les élèves ayant cessé de consommer du cannabis étaient beaucoup plus susceptibles (RC = 1,23, IC à 95 % : 1,03 à 1,48) d’obtenir une note de 80 à 89 % en mathématiques (comparativement à une note de moins de 60 %) et, au second suivi (année 3), ils étaient beaucoup plus susceptibles (RC = 2,01; IC à 95 % : 1,08 à 3,71) d’obtenir une note de 90 à 100 % en mathématiques. Aucune différence n’a été observée lors des suivis relativement à la probabilité qu’ils obtiennent de meilleures notes en anglais par rapport à ceux qui ont continué de consommer. En outre, les améliorations non statistiquement significatives observées au premier suivi ont été en grande partie inversées au second suivi.
Catégorie | Cotes nominales (IC à 95 %) par plage de notes | |||
---|---|---|---|---|
60 à 69 % | 70 à 79 % | 80 à 89 % | 90 à 100 % | |
Abandon et abstinence continue (réf. : consommation continue) | ||||
Mathématiques (réf. ≤ 59 %) | ||||
Abandon (suivi 1) | 1,05 (0,87-1,27) | 1,19 (1,00-1,42) | 1,23 (1,03-1,48)Note de bas de page * | 1,20 (0,97-1,49) |
Abstinence continue (suivi 2) | 0,80 (0,42-1,50) | 1,17 (0,68-1,99) | 0,95 (0,53-1,72) | 2,01 (1,08-3,71)Note de bas de page * |
Anglais (réf. ≤ 59 %) | ||||
Abandon (suivi 1) | 1,11 (0,87-1,41) | 1,20 (0,96-1,50) | 1,18 (0,94-1,49) | 1,26 (0,95-1,67) |
Abstinence continue (suivi 2) | 0,67 (0,30-1,50) | 0,84 (0,42-1,69) | 0,69 (0,34-1,41) | 1,07 (0,47-2,43) |
Abandon et abstinence continue (réf. consommation nulle) | ||||
Mathématiques (réf. ≤ 59 %) | ||||
Abandon (suivi 1) | 0,96 (0,80-1,16) | 0,98 (0,82-1,17) | 0,92 (0,76-1,11) | 0,83 (0,66-1,05) |
Abstinence continue (suivi 2) | 0,64 (0,36-1,15) | 0,78 (0,48-1,30) | 0,55 (0,31-0,97)Note de bas de page * | 0,94 (0,50-1,78) |
Anglais (réf. ≤ 59 %) | ||||
Abandon (suivi 1) | 0,92 (0,72-1,18) | 0,92 (0,73-1,15) | 0,86 (0,67-1,10) | 0,83 (0,61-1,13) |
Abstinence continue (suivi 2) | 0,63 (0,30-1,32) | 0,60 (0,31-1,15) | 0,48 (0,24-0,95)Note de bas de page * | 0,57 (0,26-1,26) |
Abréviations : IC, intervalle de confiance; réf., référence. Remarques : Questionnaires d’élèves dont les données ont été jumelées sur plusieurs années consécutives qui ont consommé du cannabis la première année et s’en sont abstenus l’année suivante (suivi 1, schéma oui-non) ou les deux années suivantes (suivi 2, schéma oui-non-non), comparativement à ceux qui ont continué de consommer (respectivement oui-oui et oui-oui-oui). Comparaison entre l’année 1 et l’année 2 ou l’année 3. Modèles corrigés en fonction des notes au départ, d’une consommation excessive occasionnelle d’alcool et du tabagisme.
|
Les probabilités que les élèves qui continuent de s’abstenir de consommer obtiennent des notes supérieures à 60 % en mathématiques ou en anglais n’étaient généralement pas très différentes de celles des élèves n’ayant jamais consommé. Lors du second suivi, une différence a été observée dans une seule catégorie, soit celle des abstinents, qui étaient beaucoup moins susceptibles d’obtenir des notes situées entre 80 % et 89 % en mathématiques (RC = 0,55, IC à 95 % : 0,31 à 0,97) et en anglais (RC = 0,48, IC à 95 % : 0,24 à 0,95). Tous les rapports de cotes non significatifs sur le plan statistique, par rapport aux élèves n’ayant jamais consommé, étaient inférieurs à 1.
Dans l’ensemble, peu de différences statistiquement significatives ont été observées, et les intervalles de confiance ont augmenté au second suivi. L’abandon du cannabis et le maintien de l’abstinence ont donné lieu à une certaine amélioration des notes en mathématiques par rapport aux consommateurs continus, mais des différences négatives se sont maintenues par rapport aux élèves n’ayant jamais consommé. Cette constatation est également applicable aux notes en anglais. Parallèlement, les intervalles de confiance ont presque quintuplé entre le premier et le second suivi : ils ont au moins doublé dans la plupart des catégories et ont augmenté de 2,37 fois en moyenne.
Effet de l’abandon du cannabis sur la rigueur scolaire
L’abandon du cannabis a eu un effet bénéfique sur la rigueur scolaire (tableau 3). Les élèves qui ont arrêté de consommer du cannabis étaient beaucoup plus susceptibles que les élèves qui ont continué de consommer de ne jamais (RC = 2,32, IC à 95 % : 1,85 à 2,92) ou de rarement (RC = 1,52, IC à 95 % : 1,25 à 1,85) aller en classe sans avoir fait leurs devoirs. Ceux qui ont continué de s’abstenir au second suivi étaient également beaucoup plus susceptibles de faire leurs devoirs (RC = 2,52; IC à 95 % : 1,19 à 5,34).
Catégorie | Cotes nominales (IC à 95 %) par fréquence des devoirs non faits et de l’absentéisme | ||
---|---|---|---|
Abandon et abstinence continue (réf. consommation continue) | |||
Devoirs non faits (réf. presque toujours faits) | Jamais | Rarement | Souvent |
Abandon (suivi 1) | 2,32 (1,85-2,92)Note de bas de page * | 1,52 (1,25-1,85)Note de bas de page * | 1,22 (0,99-1,50) |
Abstinence continue (suivi 2) | 2,52 (1,19-5,34)Note de bas de page * | 1,33 (0,70-2,53) | 1,29 (0,66-2,52) |
Cours manqués (réf. 6 ou plus) | Aucun | 1 à 5 | – |
Abandon (suivi 1) | 2,48 (1,93-3,19)Note de bas de page * | 1,45 (1,13-1,86)Note de bas de page * | – |
Abstinence continue (suivi 2) | 4,12 (1,78-6,49)Note de bas de page * | 1,68 (0,73-3,89) | – |
Abandon et abstinence continue (réf. consommation nulle) | |||
Devoirs non faits (réf. presque toujours faits) | Jamais | Rarement | Souvent |
Abandon (suivi 1) | 1,18 (0,94-1,49) | 1,02 (0,84-1,24) | 0,99 (0,81-1,23) |
Abstinence continue (suivi 2) | 1,36 (0,67-2,76) | 0,99 (0,54-1,82) | 1,18 (0,64-2,19) |
Cours manqués (réf. : 6 ou plus) | Aucun | 1 à 5 | – |
Abandon (suivi 1) | 0,78 (0,58-1,03) | 0,93 (0,70-1,23) | – |
Abstinence continue (suivi 2) | 0,63 (0,26-1,55) | 0,75 (0,35-1,99) | – |
Abréviations : IC, intervalle de confiance; réf., référence. Remarques : Questionnaires d’élèves dont les données ont été jumelées sur plusieurs années consécutives qui ont consommé du cannabis la première année et s’en sont abstenus l’année suivante (suivi 1, schéma oui-non) ou les deux années suivantes (suivi 2, schéma oui-non-non), comparativement à ceux qui ont continué de consommer (respectivement oui-oui et oui-oui-oui). Comparaison entre l’année 1 t l’année 2 ou l’année 3. Modèles corrigés en fonction de la réalisation des devoirs et de l’assiduité au départ, d’une consommation excessive occasionnelle d’alcool et du tabagisme.
|
L’abandon du cannabis a considérablement amélioré les probabilités que les élèves ne manquent aucun cours (RC = 2,48, IC à 95 % : 1,93 à 3,19) ou manquent moins de six cours (RC = 1,45, IC à 95 % : 1,13 à 1,86), les élèves ayant continué de s’abstenir étant également beaucoup plus susceptibles de ne manquer aucun cours (RC = 4,12, IC à 95 % : 1,78 à 6,49).
Les élèves qui ont cessé de consommer du cannabis ou qui ont continué de s’abstenir de consommer n’étaient pas plus ou moins susceptibles de faire leurs devoirs ou d’assister aux cours que ceux qui n’ayant jamais consommé. Ils étaient tout aussi susceptibles de faire leurs devoirs et moins susceptibles (bien que cette différence ne soit pas statistiquement significative) de manquer moins de six cours. Cependant, les plages d’intervalle de confiance pour toutes les mesures ont augmenté de 3,5 fois en moyenne entre le premier et le second suivi.
Analyse
À notre connaissance, notre étude est la première à décrire l’incidence et les taux d’abandon du cannabis chez les élèves canadiens du secondaire. Dans ce vaste échantillon, très peu d’élèves ont réduit leur consommation. Bien que la moitié des réductions aient été des arrêts définitifs, elles résultent surtout des taux proportionnellement plus élevés d’abandon à la suite d’une consommation rare. Cela donne à penser qu’un grand nombre d’élèves qui essaient le cannabis dans le cadre d’un comportement normal de prise de risque ne font jamais la transition vers une consommation régulière. Les taux d’abandon après une consommation quotidienne étaient les deuxièmes en importance, peut-être parce que les élèves qui consomment à une fréquence aussi élevée sont susceptibles d’en ressentir lourdement les effets dans leur vie quotidienneNote de bas de page 4Note de bas de page 28 et sont plus susceptibles de prendre eux-mêmes conscience de leur problème et d’être ciblés par les parents et les enseignants comme ayant besoin d’une intervention. Dans l’ensemble, les taux de réduction ont diminué à mesure que les élèves avançaient en âge, ce qui est conforme aux études publiées précédemmentNote de bas de page 14Note de bas de page 29.
Seuls quelques consommateurs réguliers ont spontanément réduit leur consommation. Comme toute diminution de la consommation de cannabis améliore l’état de santé, des programmes d’intervention universels sont nécessaires pour promouvoir de façon générale la réduction et l’abandon de la consommation de cannabis.
La plupart des réductions observées dans cet échantillon se limitaient à une seule catégorie de fréquence, ce qui semble le reflet à la fois d’un manque de motivation et d’une difficulté à apporter un changement plus important. Cette conclusion découle en partie de la connaissance que les élèves ont de leur établissement : aucune des écoles participant à l’étude COMPASS n’a déclaré avoir mis en œuvre des programmes de promotion de la réduction ou de l’abandon de la consommation de cannabis. Les examens des données probantes sur les interventions liées à la consommation de drogues ont révélé que les programmes efficaces intègrent les dimensions de l’entraînement à la maîtrise de soi et de l’adaptation aux normes sociales, les efforts les plus courants, fondés uniquement sur les connaissances, étant insuffisants pour susciter le changementNote de bas de page 16Note de bas de page 30.
Les jeunes Canadiens perçoivent le cannabis comme moins nocif et plus facile à abandonner que les autres substances, tout en faisant état d’effets négatifs à long terme sur le comportement après l’arrêtNote de bas de page 13. Dans le même ordre d’idées, le taux moyen d’abandon le plus faible a été observé chez les consommateurs hebdomadaires, qui, bien que leur consommation ait eu une incidence importante sur leur réussite scolaireNote de bas de page 4, sont plus susceptibles que les consommateurs mensuels de présenter des symptômes de sevrageNote de bas de page 31Note de bas de page 32 et moins susceptibles que les consommateurs quotidiens de se rendre compte d’un problème de consommationNote de bas de page 13Note de bas de page 33. Les faibles taux de réduction de grande ampleur et d’abandon à la suite d’une consommation hebdomadaire indiquent que de nombreux consommateurs réguliers persistent dans des comportements qui vont conduire à une augmentation considérable de leur fardeau en matière de morbidité. Ces élèves, qui sont une source de préoccupation majeure du point de vue de la santé publique, sont ceux qui pourraient le plus bénéficier d’interventions ciblées faisant la promotion de petits changements comme points de départ vers l’abandon définitif.
Des travaux antérieurs sur un échantillon semblable d’élèves participant à l’étude COMPASS ont révélé que toutes les fréquences de consommation de cannabis ont une incidence importante et négative sur la réussite scolaire, ce qui entraîne une baisse des notes en mathématiques et en anglaisNote de bas de page 4. Dans le cadre de notre étude, les notes des élèves ayant cessé de consommer ne différaient pas beaucoup de celles des élèves n’ayant jamais consommé et peu de différences notables ont été observées chez ceux qui continuaient de consommer. Notre modélisation indique que, comparativement à une consommation continue, l’abandon peut améliorer le rendement en mathématiques, un effet différentiel qui peut s’expliquer en partie par le fait que les effets de la consommation de cannabis sont plus dommageables pour les résultats scolaires en anglais que pour ceux en mathématiquesNote de bas de page 4. Les déclarations des élèves sur les résultats scolaires en mathématiques ont tendance à être plus exactes que celles qui se rapportent aux études linguistiques, qui sont plus systématiquement (ne serait-ce que légèrement) surreprésentéesNote de bas de page 34. Appliquées à notre étude, ces données soulignent davantage la probabilité de répercussions différentes de l’abandon du cannabis. Des études neurocognitives font également état d’effets plus importants de la consommation de cannabis sur les aptitudes langagières et le quotient intellectuel verbal, ainsi que d’une récupération plus rapide des fonctions exécutives après l’arrêt du cannabis, fonctions qui sous-tendent le raisonnement mathématiqueNote de bas de page 19Note de bas de page 20Note de bas de page 28Note de bas de page 35. Cependant, ces études montrent également que les effets négatifs sur la mémoire et l’apprentissage, susceptibles d’entraver sensiblement les résultats scolaires, persistent à long terme. En outre, le processus de sevrage lui-même peut nuire au fonctionnement et faire obstacle au rétablissement scolaireNote de bas de page 36. L’augmentation des plages d’intervalle de confiance dans nos données indique que les trajectoires individuelles varient considérablement, et les rapports de cotes relativement plus faibles sur l’amélioration du rendement chez les ex-consommateurs laissent penser que l’arrêt du cannabis pourrait ne pas être suffisant pour améliorer les résultats scolaires.
Bien que les résultats scolaires n’aient été que légèrement touchés chez les élèves qui ont arrêté de consommer du cannabis, l’assiduité en classe et la réalisation des devoirs se sont considérablement et remarquablement améliorées par rapport à ceux qui ont continué de consommer. Chez les ex-consommateurs, ces mesures n’étaient pas très différentes de celles obtenues chez les élèves n’ayant jamais consommé. Cela donne à penser que l’amélioration de la rigueur scolaire pourrait être à l’origine d’une grande partie des améliorations en matière de rendement scolaire. Toutefois, compte tenu de l’ampleur relativement faible de ces améliorations, cela montre également que le fait de toujours aller en classe et faire ses devoirs ne suffit pas à inverser les effets négatifs de la consommation de cannabis sur les résultats scolaires. Dans l’ensemble, nos données indiquent que les élèves sont susceptibles d’avoir besoin d’un soutien scolaire supplémentaire à la suite de l’abandon du cannabis pour réaliser ou retrouver leur potentiel. Cela peut sembler intuitif, étant donné que le contenu des cours s’appuie généralement sur ce qui a été étudié précédemment et que les consommateurs réguliers de cannabis peuvent avoir des résultats inférieurs pendant plusieurs années avant de cesser de consommer; toutefois, en pratique, les interventions visent souvent exclusivement à réduire leur consommation et ne prennent pas en considération le besoin de soutien scolaire supplémentaireNote de bas de page 16.
Compte tenu de la récente légalisation du cannabis, l’accent mis sur le soutien pédagogique après l’abandon du cannabis pourrait se révéler essentiel pour atténuer les effets nocifs d’une consommation accrue de cannabis chez les jeunes. Les travaux futurs devraient viser à comprendre quels élèves sont ciblés par les programmes d’abandon du cannabis ou orientés vers ces programmes, à établir si une approche progressive de réduction de la consommation de cannabis donne lieu à des taux plus élevés de réduction ou d’abandon et enfin à déterminer comment des mesures de soutien scolaire peuvent raisonnablement être intégrées à des programmes de réduction des méfaits afin d’améliorer les résultats des élèves. Dans l’ensemble, il est essentiel d’obtenir davantage de données sur les résultats à moyen terme de l’abandon du cannabis à l’adolescence.
Points forts et limites
Les points forts de l’étude COMPASS sont sa conception prospective, la vérification de la validité des mesures d’enquête fondées sur des lignes directrices ou des outils de surveillance nationauxNote de bas de page 21, la grande taille de l’échantillon et le jumelage des données des élèves entre les années de collecte. Ce dernier facteur explique en soi la variabilité observée entre les élèves en ce qui concerne les covariables stables dans le temps, ce qui élimine certaines sources de confusion potentielle. Nos modèles tenaient compte du rendement scolaire au départ ainsi que des facteurs susceptibles d’influer à la fois sur les modifications de la consommation de cannabis et sur les résultats scolaires.
Cette étude comporte également plusieurs limites. Les questionnaires d’auto-évaluation sont sujets à des biais de rappel et de désirabilité sociale, ce qui peut entraîner une sous-déclaration de la consommation de cannabis. Toutefois, le couplage des questionnaires peut tenir compte des différences individuelles et, par conséquent, atténuer le biais de réponse global. Les élèves qui maintiennent une fréquence élevée de consommation de cannabis sont plus susceptibles de décrocherNote de bas de page 37, ce qui pourrait entraîner une surreprésentation des taux de réduction ou d’abandon dans notre étude longitudinale.
Des travaux antérieurs ont révélé que les élèves qui cessent de consommer du cannabis sont moins susceptibles de consommer plusieurs substances en même tempsNote de bas de page 38. Comme cette façon de faire comporte moins de risques que la polytoxicomanie et qu’elle est donc susceptible d’entraîner de meilleurs résultats, il se peut que nous ayons surestimé les avantages de l’arrêt du cannabis dans notre travail.
Les élèves n’ayant été suivis que sur deux ou trois ans, les résultats doivent être interprétés avec prudence quant aux effets potentiels à long terme. Les élèves peuvent avoir changé au fil du temps en ce qui concerne les facteurs relatifs au rendement scolaire et aux changements dans la consommation de cannabis. Par conséquent, la confusion résiduelle peut avoir influencé les analyses, bien qu’il soit peu probable que cette variation soit assez prononcée au point d’influer de façon notable sur les résultats.
Les écoles faisant l’objet de notre étude proviennent d’un échantillon de commodité, si bien que les résultats ne sont pas généralisables. Toutefois, l’utilisation d’un protocole de consentement passif a réduit les possibilités d’introduire des biais de sélection dans les écoles, tandis que la grande taille de l’échantillon fait en sorte que les résultats pourront être appliqués à une proportion importante d’élèves du secondaire dans les provinces étudiées (Alberta et Ontario).
Conclusion
Notre étude a montré que peu d’élèves du secondaire qui consomment du cannabis réduisent leur consommation, que la plupart de ceux qui le font ne prennent que des mesures progressives pour cesser de consommer et que les consommateurs hebdomadaires sont les plus susceptibles de maintenir leur consommation. Une certaine amélioration des résultats scolaires a été constatée chez les élèves qui ont cessé de consommer, probablement en raison de l’augmentation globale de la fréquence à laquelle ils vont en classe et font leurs devoirs. Cependant, la plupart des élèves sont susceptibles d’avoir besoin d’un soutien scolaire supplémentaire pour contrer les effets négatifs persistants de la consommation de cannabis. Dans le contexte de la légalisation, il est justifié d’apporter un soutien ciblé en milieu scolaire pour atténuer les effets néfastes d’une consommation accrue de cannabis.
Remerciements
L’étude COMPASS a été appuyée par une subvention transitoire de l’Institut de la nutrition, du métabolisme et du diabète (INMD) des Instituts de recherche en santé du Canada (IRSC) dans le cadre de l’attribution du financement prioritaire « Interventions pour prévenir ou traiter l’obésité » (OOP-110 788; subvention accordée à SL), par une subvention de fonctionnement de l’Institut de la santé publique et des populations (ISPP) des IRSC (MOP-114875; subvention accordée à SL), par une subvention de projet des IRSC (PJT-148562; subvention accordée à SL); par une subvention de projet des IRSC (PJT-149092; subvention accordée à Karen Patte.); et par une entente de financement de la recherche avec Santé Canada (#1617-HQ-000012; contrat octroyé à SL). AZ est financée par l’Agence de la santé publique du Canada dans le cadre d’une bourse de recherche scientifique dans les laboratoires du gouvernement canadien octroyée par le Conseil de recherches en sciences naturelles et en génie du Canada (CRSNG).
Conflits d’intérêts
Aucun.
Contributions des auteurs et avis
Tous les auteurs ont contribué à la conception de l’article et à la révision du manuscrit. MG a analysé les données, AZ et MG ont interprété les données, MdG, YJ et SL ont contribué à l’interprétation des données et AZ a rédigé le manuscrit.
Le contenu de l’article et les points de vue qui y sont exprimés n’engagent que les auteurs et ne correspondent pas nécessairement à ceux du gouvernement du Canada.
Références
- Note de bas de page 1
-
Bureau de la recherche et de la surveillance. Enquête canadienne sur le tabac, l’alcool et les drogues (ECTAD) : sommaire de 2015. Ottawa (Ont.) : ECTAD; [modifié le 27 juin 2017; consultation le 18 févr. 2018]. En ligne à : https://www.canada.ca/fr/sante-canada/services/enquete-canadienne-tabac-alcool-et-drogues/sommaire-2015.html
- Note de bas de page 2
-
Adamson P. Le bien-être des enfants dans les pays riches : Vue d’ensemble comparative. Bilan Innocenti 11. Florence (Italie) : UNICEF Centre de recherche – Innocenti; 2013.
- Note de bas de page 3
-
Zuckermann AM, Battista K, de Groh M, Jiang Y, Leatherdale ST. Prelegalisation patterns and trends of cannabis use among Canadian youth: results from the COMPASS prospective cohort study. BMJ Open. 2019;9(3):e026515. doi:10.1136/bmjopen-2018-026515.
- Note de bas de page 4
-
Patte KA, Qian W, Leatherdale ST. Marijuana and alcohol use as predictors of academic achievement: a longitudinal analysis among youth in the COMPASS Study. J Sch Health. 2017;87(5):310-8. doi:10.1111/josh.12498.
- Note de bas de page 5
-
Coffey C, Patton GC. Cannabis use in adolescence and young adulthood. Can J Psychiatry. 2016;61(6):318-327. doi:10.1177/0706743716645289.
- Note de bas de page 6
-
Melchior M, Bolze C, Fombonne E, Surkan PJ, Pryor L, Jauffret-Roustide M. Early cannabis initiation and educational attainment: is the association causal? Data from the French TEMPO study. Int J Epidemiol. 2017;46(5):1641-1650. doi:10.1093/ije/dyx065.
- Note de bas de page 7
-
Maggs JL, Staff J, Kloska DD, Patrick ME, O’Malley PM, Schulenberg J. Predicting young adult degree attainment by late adolescent marijuana use. J Adolesc Health. 2015;57(2):205-211. doi:10.1016/j.jadohealth.2015.04.028.
- Note de bas de page 8
-
Macleod J, Oakes R, Copello A, et al. Psychological and social sequelae of cannabis and other illicit drug use by young people: a systematic review of longitudinal, general population studies. Lancet. 2004;363(9421):1579-88. doi:10.1016/S0140-6736(04)16200-4.
- Note de bas de page 9
-
Volkow ND, Baler RD, Compton WM, Weiss SR. Adverse health effects of marijuana use. N Engl J Med. 2014;370(23):2219-2227. doi:10.1056/NEJMra1402309.
- Note de bas de page 10
-
Budney AJ, Borodovsky JT. The potential impact of cannabis legalization on the development of cannabis use disorders. Prev Med. 2017;104:31-36. doi:10.1016/j.ypmed.2017.06.034.
- Note de bas de page 11
-
Roditis ML, Delucchi K, Chang A, Halpern-Felsher B. Perceptions of social norms and exposure to pro-marijuana messages are associated with adolescent marijuana use. Prev Med. 2016;93:171-176. doi:10.1016/j.ypmed.2016.10.013.
- Note de bas de page 12
-
Stolzenberg L, D’Alessio SJ, Dariano D. The effect of medical cannabis laws on juvenile cannabis use. Int J Drug Policy. 2016;27:82-88. doi:10.1016/j.drugpo.2015.05.018.
- Note de bas de page 13
-
McKiernan A, Fleming K. Les perceptions des jeunes canadiens sur le cannabis. Ottawa (Ont.) : Centre canadien de lutte contre les toxicomanies (CCLT); 2017.
- Note de bas de page 14
-
DeWit DJ, Offord DR, Wong M. Patterns of onset and cessation of drug use over the early part of the life course. Health Educ Behav. 1997;24(6):746-758. doi:10.1177/109019819702400609.
- Note de bas de page 15
-
Griffin KW, Bang H, Botvin GJ. Age of alcohol and marijuana use onset predicts weekly substance use and related psychosocial problems during young adulthood. J Subst Use. 2010;15(3):174-183. doi:10.3109/14659890903013109.
- Note de bas de page 16
-
Onrust SA, Otten R, Lammers J, Smit F. School-based programmes to reduce and prevent substance use in different age groups: what works for whom? Systematic review and meta-regression analysis. Clin Psychol Rev. 2016;44:45-59. doi:10.1016/j.cpr.2015.11.002.
- Note de bas de page 17
-
Juon HS, Fothergill KE, Green KM, Doherty EE, Ensminger ME. Antecedents and consequences of marijuana use trajectories over the life course in an African American population. Drug Alcohol Depend. 2011;118(2–3):216-223. doi:10.1016/j.drugalcdep.2011.03.027.
- Note de bas de page 18
-
Brook JS, Zhang C, Brook DW. Antisocial behavior at age 37: developmental trajectories of marijuana use extending from adolescence to adulthood. Am J Addict. 2011;20(6):509-515. doi:10.1111/j.1521–0391.2011.00179.x.
- Note de bas de page 19
-
Schreiner AM, Dunn ME. Residual effects of cannabis use on neurocognitive performance after prolonged abstinence: a meta-analysis. Exp Clin Psychopharmacol. 2012;20(5):420-9. doi:10.1037/a0029117.
- Note de bas de page 20
-
Grant I, Gonzalez R, Carey CL, Natarajan L, Wolfson T. Non-acute (residual) neurocognitive effects of cannabis use: a meta-analytic study. J Int Neuropsychol Soc. 2003;9(05):679-89. doi:10.1017/S1355617703950016.
- Note de bas de page 21
-
Leatherdale ST, Brown KS, Carson V, et al. The COMPASS study: a longitudinal hierarchical research platform for evaluating natural experiments related to changes in school-level programs, policies and built environment resources. BMC Public Health. 2014;14(1):331. doi:10.1186/1471-2458-14-331.
- Note de bas de page 22
-
Battista K, Qian W, Bredin C, Leatherdale ST. Student data linkage over multiple years. COMPASS Tech Rep Ser. 2019;6(3).
- Note de bas de page 23
-
Qian W, Battista K, Bredin C, Brown KS, Leatherdale ST. Assessing longitudinal data linkage results in the COMPASS study. Compass Tech Rep Ser. 2015;3(4). En ligne à : https://uwaterloo.ca/compass-system/publications/assessing-longitudinal-data-linkage-results-compass-study
- Note de bas de page 24
-
Elton-Marshall T, Leatherdale ST, Manske SR, Wong K, Ahmed R, Burkhalter R. Méthodologie de l’Enquête sur le tabagisme chez les jeunes (ETJ). Maladies chroniques et blessures au Canada. 2011;32(1):53-61.
- Note de bas de page 25
-
Molenberghs G, Verbeke G. Models for discrete longitudinal data. New York: Springer; 2005.
- Note de bas de page 26
-
Facal D, Guàrdia-Olmos J, Juncos-Rabadán O. Diagnostic transitions in mild cognitive impairment by use of simple Markov models. Int J Geriatr Psychiatry. 2015;30(7):669-676. doi:10.1002/gps.4197.
- Note de bas de page 27
-
Mayet A, Legleye S, Falissard B, Chau N. Cannabis use stages as predictors of subsequent initiation with other illicit drugs among French adolescents: use of a multi-state model. Addict Behav. 2012;37(2):160-166. doi:10.1016/j.addbeh.2011.09.012.
- Note de bas de page 28
-
Castellanos-Ryan N, Pingault JB, Parent S, Vitaro F, Tremblay RE, Séguin JR. Adolescent cannabis use, change in neurocognitive function, and high-school graduation: a longitudinal study from early adolescence to young adulthood. Dev Psychopathol. 2016:1-14. doi:10.1017/S0954579416001280.
- Note de bas de page 29
-
Pilatti A, Read JP, Pautassi RM. ELSA 2016 cohort: alcohol, tobacco, and marijuana use and their association with age of drug use onset, risk perception, and social norms in Argentinean college freshmen. Front Psychol. 2017;8:1452. doi:10.3389/fpsyg.2017.01452.
- Note de bas de page 30
-
Pöttgen S, Samkange-Zeeb F, Brand T, Steenbock B, Pischke C. [Effectiveness of school-based interventions to prevent and/or reduce substance use among primary and secondary school pupils: a review of reviews]. Gesundheitswes. 2016;78(4):230-236. doi:10.1055/s-0035-1547275.
- Note de bas de page 31
-
Sussman S, Dent CW. Five-year prospective prediction of marijuana use cessation of youth at continuation high schools. Addict Behav. 2004;29(6):1237-1243. doi:10.1016/j.addbeh.2004.03.024.
- Note de bas de page 32
-
Jacobus J, Squeglia LM, Escobar S, et al. Changes in marijuana use symptoms and emotional functioning over 28-days of monitored abstinence in adolescent marijuana users. Psychopharmacology (Berl). 2017;234(23-24):3431-34342. doi:10.1007/s00213-017-4725-3.
- Note de bas de page 33
-
Sznitman SR, Kolobov T, ter Bogt T, Kuntsche E, Walsh SD, Harel-Fisch Y. Investigating cannabis use normalization by distinguishing between experimental and regular use: a multilevel study in 31 countries. J Stud Alcohol Drugs. 2015;76(2):181-189. doi:10.15288/jsad.2015.76.181.
- Note de bas de page 34
-
Sticca F, Goetz T, Bieg M, Hall NC, Eberle F, Haag L. Examining the accuracy of students’ self-reported academic grades from a correlational and a discrepancy perspective: evidence from a longitudinal study. PLoS One. 2017;12(11):e0187367. doi:10.1371/journal.pone.0187367.
- Note de bas de page 35
-
Cragg L, Gilmore C. Skills underlying mathematics: the role of executive function in the development of mathematics proficiency. Trends Neurosci Educ. 2014;3(2):63-68. doi:10.1016/j.tine.2013.12.001.
- Note de bas de page 36
-
Tapert SF, Granholm E, Leedy NG, Brown SA. Substance use and withdrawal: neuropsychological functioning over 8 years in youth. J Int Neuropsychol Soc. 2002;8(7):873-883. doi:10.1017/S1355617702870011.
- Note de bas de page 37
-
Stiby AI, Hickman M, Munafò MR, Heron J, Yip VL, Macleod J. Adolescent cannabis and tobacco use and educational outcomes at age 16: birth cohort study. Addiction. 2015;110(4): 658-668. doi:10.1111/add.12827.
- Note de bas de page 38
-
Zuckermann AM, Gohari MR, de Groh M, Jiang Y, Leatherdale ST. Factors associated with cannabis use change in youth: evidence from the COMPASS study. Addict Behav. 2019; 90:158-163. doi:10.1016/j.addbeh.2018 .10.048.