Réglementation sur les émissions des moteurs marins à allumage commandé : guide technique : chapitre 7
7 Régime optionnel de calcul des moyennes des émissions des parcs
- 7.1 Introduction au calcul des moyennes des émissions des parcs
- 7.2 Pour quels types d'émissions, et pour quelles catégories de moteurs et de véhicules est-il possible d'avoir recours au calcul des moyennes des émissions des parcs?
- 7.3 Qui doit se conformer aux exigences relatives au calcul des moyennes des émissions des parcs du Règlement, y compris les exigences relatives au rapport de fin d'année de modèle?
- 7.4 Quelles principales étapes doit suivre une entreprise qui se sert du calcul des moyennes des émissions des parcs?
- 7.5 Quelles catégories de moteurs et de véhicules peuvent être regroupées en parcs à des fins de calcul des moyennes des émissions des parc?
- 7.6 Qu'est-ce qu'une limite d'émissions de la famille?
- 7.7 De quelle façon une entreprise peut-elle déterminer la LEF d'un moteur ou d'un véhicule?
- 7.8 Existe-t-il une procédure que doit suivre une entreprise pour établir les LEF?
- 7.9 Est-ce que tous les moteurs marins et tous les véhicules récréatifs hors route d'une entreprise sont inclus dans son parc?
- 7.10 Les moteurs et les véhicules de l'année de modèle 2012 qui ont été fabriqués ou assemblés avant la date d'entrée en vigueur du Règlement peuvent-ils être inclus dans les parcs?
- 7.11 Si les moteurs ou les véhicules d'une entreprise sont certifiés en vertu d'une LEF plus stricte que la norme applicable, l'entreprise peut-elle décider de ne pas calculer les valeurs, les points et le déficit relatifs à la moyenne des émissions du parc?
- 7.12 Qu'arrive-t-il aux points et au déficit existants lorsqu'une entreprise fait l'acquisition d'une autre entreprise, ou lorsque des entreprises fusionnent?
- 7.13 Qu'arrive-t-il au déficit existant d'une entreprise qui cesse de fabriquer, d'importer ou de vendre des véhicules ou des moteurs?
- 7.14 Calcul des points et du déficit relatifs à la moyenne des émissions du parc de moteurs marins
- 7.15 Calcul des valeurs, des points et du déficit relatifs à la moyenne des émissions du parc pour les véhicules récréatifs hors route
7.1 Introduction au calcul des moyennes des émissions des parcs
L'option de calcul des moyennes des émissions des parcs est offerte pour un bon nombre de types d'émissions de moteurs marins et de véhicules récréatifs hors route, et elle s'harmonise avec des programmes similaires établis conformément aux règles de l'EPA.
Cette option prévoit une certaine flexibilité qui permet aux entreprises de fabriquer et d'importer des moteurs et des véhicules dont les émissions sont supérieures aux normes permises, en autant que ces émissions accrues soient compensées, pour chaque parc, par des moteurs ou des véhicules dont les émissions sont inférieures aux normes permises. De façon générale, le parc émet moins de polluants que la limite permise par le Règlement si chacun de ses moteurs ou véhicules est en conformité directe avec les normes d'émissions. Si ce résultat ne peut être atteint directement par le parc, il peut l'être par l'utilisation de points déjà obtenus par l'entreprise, ou de points transférés d'une entreprise à une autre.
7.2 Pour quels types d'émissions, et pour quelles catégories de moteurs et de véhicules est-il possible d'avoir recours au calcul des moyennes des émissions des parcs?
Cette information relativement au calcul de la moyenne des émissions du parc est résumée au tableau 7.
| Catégorie | Types d'émissions |
|---|---|
| Hors-bord et moteurs de motomarines | HC+NOx, CO |
| Moteurs en-bord conventionnels | HC+NOx, CO |
| Motoneiges | HC, CO, perméation du réservoir de carburant |
| Motocyclettes hors route | HC+NOx, COa, perméation du réservoir de carburant |
| VTT et véhicules utilitaires | HC+NOx, perméation du réservoir de carburant |
a Le calcul de la moyenne des émissions du parc ne peut être utilisé pour les émissions de CO provenant de motocyclettes dont la cylindrée du moteur est de 70 cm³ ou moins et qui respectent les normes visées au paragraphe 21(2) du Règlement.
7.3 Qui doit se conformer aux exigences relatives au calcul des moyennes des émissions des parcs du Règlement, y compris les exigences relatives au rapport de fin d'année de modèle?
Le régime de calcul des moyennes des émissions des parcs est optionnel. Ainsi, les exigences ne s'appliquent qu'aux entreprises qui choisissent de se conformer aux normes en se servant de l'option décrite à l'alinéa 11(1)d) du Règlement (c'est-à-dire les moteurs ou les véhicules qui respectent les limites d'émissions de la famille au lieu des normes, et qui respectent le calcul des moyennes des émissions des parcs). Chaque entreprise doit soumettre un rapport de fin d'année de modèle, qu'elle choisisse ou non d'utiliser le calcul des moyennes des émissions des parcs. Environnement Canada vérifie que les moteurs marins et les véhicules récréatifs hors route visés sont conformes au calcul des moyennes des émissions des parcs, et surveille le rendement environnemental de tous les moteurs, bâtiments et véhicules à l'aide du rapport de fin d'année de modèle, l'une des méthodes de surveillance de la conformité.
7.4 Quelles principales étapes doit suivre une entreprise qui se sert du calcul des moyennes des émissions des parcs?
Si une entreprise souhaite se servir des dispositions liées au calcul des moyennes des émissions des parcs du Règlement, elle doit :
- choisir l'option de calcul des moyennes des émissions des parcs pour établir la conformité (alinéa 11(1)d) du Règlement);
- établir des parcs et des familles d'émissions, et choisir les limites d'émissions des familles appropriées (alinéa 11(1)d) et article 24 du Règlement, et sections 7.5 à 7.10 de ce document);
- pour les moteurs marins, calculer les points et le déficit relatifs aux émissions d'une famille, puis leur somme, pour déterminer les points et le déficit relatifs à la moyenne des émissions du parc (article 26 du Règlement, et section 7.14 de ce document);
- pour les véhicules récréatifs, calculer la valeur moyenne des émissions du parc, et les points et le déficit relatifs à la moyenne des émissions du parc (articles 29 et 30 du Règlement, et section 7.15 de ce document);
- utiliser les points relatifs à la moyenne des émissions du parc pour compenser les déficits, et accumuler ou transférer tout point relatif à la moyenne des émissions du parc en trop (article 27 du Règlement et section 7.14 de ce document pour les moteurs marins, et article 31 du Règlement et section 7.15 de ce document pour les véhicules récréatifs hors route);
- soumettre un rapport de fin d'année de modèle (article 33 du Règlement, et section 8 de ce document);
- conserver divers dossiers connexes (article 36 du Règlement, et section 9 de ce document).
7.5 Quelles catégories de moteurs et de véhicules peuvent être regroupées en parcs à des fins de calcul des moyennes des émissions des parcs?
Les catégories de moteurs et de véhicules ci-dessous doivent être regroupées en parcs distincts à des fins de calcul de la moyenne des émissions du parc :
- hors-bord et moteurs de motomarines;
- moteurs en-bord conventionnels;
- motoneiges;
- motocyclettes hors route;
- véhicules utilitaires;
- VTT.
Veuillez noter qu'une entreprise peut choisir de regrouper les véhicules utilitaires et les VTT dans un même parc.
7.6 Qu'est-ce qu'une limite d'émissions de la famille?
Comme l'indique le paragraphe 1(1) du Règlement, une limite d'émissions de la famille (LEF) est définie comme un « niveau d'émissions maximal établi par une entreprise pour une famille d'émissions aux fins du calcul de la moyenne des émissions du parc ».
Conformément à l'alinéa 11(1)d) du Règlement, un moteur ou un véhicule qui fait partie d'un parc doit être conforme à une LEF, qui peut se situer au-dessous ou au-dessus de la norme applicable (assujettie à une limite maximale), au lieu d'être en conformité directe avec la norme. Le parc doit être conforme au calcul de la moyenne des émissions du parc.
7.7 De quelle façon une entreprise peut-elle déterminer la LEF d'un moteur ou d'un véhicule?
La LEF d'une famille d'émissions est inscrite sur le certificat de conformité de l'EPA et sur l'étiquette d'information sur la réduction des émissions. Le fabricant du moteur ou du véhicule établit généralement la LEF pour la famille d'émissions. Si aucun certificat de conformité de l'EPA n'existe pour le moteur ou le véhicule, l'entreprise doit établir une LEF appropriée, tout en tenant compte du fait que cette LEF deviendra la limite maximale des émissions de moteurs ou de véhicules de la famille permises par le Règlement.
Si une entreprise a choisi d'utiliser le régime de calcul des moyennes des émissions des parcs, et qu'un moteur ou un véhicule du parc de l'entreprise est déjà certifié par l'EPA conformément à une norme relative aux émissions de gaz d'échappement ou d'évaporation (mais qu'il n'est pas certifié en vertu d'une LEF), il incombe à l'entreprise d'établir une LEF pour ce moteur ou ce véhicule. L'entreprise peut choisir d'utiliser la valeur de la norme applicable comme LEF, ou d'établir une LEF différente au moyen de la procédure mentionnée à la section 7.8 de ce document. Si une entreprise choisit d'établir une LEF qui est différente de la norme d'émissions ou de la LEF indiquée sur le certificat de conformité de l'EPA, ce certificat relatif à un moteur ou à un véhicule n'est alors plus valide, et l'entreprise doit effectuer tous les essais, en plus d'obtenir et de soumettre toute justification de la conformité nécessaire, conformément à la section 9.7.1 de ce document.
7.8 Existe-t-il une procédure que doit suivre une entreprise pour établir les LEF?
Le moteur ou le véhicule dont les émissions sont les plus élevées à l'intérieur d'une famille d'émissions est choisi. Un facteur est ensuite ajouté au taux d'émissions ou multiplié par ce taux pour déterminer la LEF de cette famille d'émissions. Le taux d'émissions du produit doit être déterminé à partir d'essais menés conformément aux articles pertinents du CFR. Le facteur utilisé est généralement obtenu pendant les essais de durabilité, et doit permettre une certaine marge d'erreur, tel un coefficient de sécurité, de sorte que les émissions réelles se situent sous la LEF.
7.9 Est-ce que tous les moteurs marins et tous les véhicules récréatifs hors route d'une entreprise sont inclus dans son parc?
Comme l'indique l'article 24 du Règlement, le terme « parc » vise tous les moteurs marins et les véhicules récréatifs hors route d'une année de modèle donnée qu'une entreprise fabrique ou importe au Canada, à des fins de vente au Canada au premier usager.
De plus, le paragraphe 24(4) du Règlement précise qu'une entreprise peut exclure de ses parcs les moteurs et véhicules visés par un certificat de l'EPA et vendus à la fois au Canada et aux États-Unis, dans les cas où le nombre de ces moteurs et de ces véhicules vendus aux États-Unis dépasse le nombre de moteurs et de véhicules vendus au Canada. Les conséquences d'une telle exclusion volontaire sont prévues aux paragraphes 25(3) et 30(2) du Règlement, où il est précisé que l'entreprise perd tous les points relatifs aux moyennes des émissions obtenus précédemment pour ce parc. De plus, l'entreprise n'est pas admissible à l'obtention de points relatifs aux moyennes des émissions pour le parc pendant cette année de modèle.
7.10 Les moteurs et les véhicules de l'année de modèle 2012 qui ont été fabriqués ou assemblés avant la date d'entrée en vigueur du Règlement peuvent-ils être inclus dans les parcs?
Oui. Comme l'indiquent les paragraphes 26(3) et 29(3) du Règlement, une entreprise peut inclure à son calcul de points et de déficit relatifs aux émissions pour chaque famille tous les moteurs de l'année de modèle 2012 déjà fabriqués, et tous les véhicules dont l'assemblage principal a été complété avant la date d'entrée en vigueur du Règlement.
7.11 Si les moteurs ou les véhicules d'une entreprise sont certifiés en vertu d'une LEF plus stricte que la norme applicable, l'entreprise peut-elle décider de ne pas calculer les valeurs, les points et le déficit relatifs à la moyenne des émissions du parc?
Tel qu'il est indiqué aux paragraphes 25(4) et 28(3) du Règlement, une entreprise peut choisir de ne pas calculer les points ou le déficit relatifs à la moyenne des émissions du parc pour les moteurs, ou la valeur moyenne des émissions du parc pour les véhicules, pour un type d'émission ou un parc donné dans une année de modèle, si chaque moteur ou véhicule de ce parc est conforme à une LEF plus stricte que la norme applicable. Dans le cas des moteurs, les points relatifs à la moyenne des émissions du parc seront considérés comme nuls. Dans le cas des véhicules, la valeur moyenne des émissions du parc sera considérée comme égale à la norme applicable.
7.12 Qu'arrive-t-il aux points et au déficit existants lorsqu'une entreprise fait l'acquisition d'une autre entreprise, ou lorsque des entreprises fusionnent?
Selon le paragraphe 32(1) du Règlement, il incombe à l'entreprise issue d'une fusion d'entreprises, ou à celle qui en acquiert une autre, de compenser tout déficit des entreprisesexistant avant la fusion ou l'acquisition.
7.13 Qu'arrive-t-il au déficit existant d'une entreprise qui cesse de fabriquer, d'importer ou de vendre des véhicules ou des moteurs?
Comme le prévoit le paragraphe 32(2) du Règlement, l'entreprise doit, avant de soumettre son dernier rapport de fin d'année de modèle, compenser tout déficit relatif aux émissions existant.
7.14.1 De façon générale, comment une entreprise se sert-elle du calcul des moyennes des émissions des parcs pour les moteurs marins?
Dans le cadre du régime de calcul des moyennes des émissions des parcs pour les moteurs marins, une entreprise calcule ses « points ou déficit relatifs aux émissions d'une famille» de gaz d'échappement de HC+NOx et de CO pour chaque famille d'émissions dans une année de modèle donnée. Des calculs distincts sont faits relativement aux parcs ci-dessous pour les types d'émissions de gaz d'échappement de HC+NOx et de CO :
- hors-bord et moteurs de motomarines;
- moteurs en-bord conventionnels.
La somme de ces points ou déficit relatifs aux émissions d'une famille pour chaque parc et type d'émissions, appelée « points relatifs à la moyenne des émissions du parc », doit être égale ou supérieure à zéro, sans quoi l'entreprise s'expose à un déficit relatif à la moyenne des émissions du parc, qu'elle doit compenser. La formule et les méthodes de calcul des points ou du déficit relatifs à la moyenne des émissions du parc sont indiquées dans les articles 26 et 27 du Règlement, et sont harmonisées aux méthodes comprises dans la règle de l'EPA correspondante.
7.14.2 De quelle façon calcule-t-on les points et le déficit relatifs aux émissions d'une famille pour les moteurs marins?
Les points et le déficit relatifs aux émissions de la famille de gaz d'échappement de HC+NOx et de CO, en kg, sont calculés au moyen de la formule suivante :
(N - L) × M × P × D × 0,207 × 10-3
où
N représente la norme relative aux émissions de gaz d'échappement applicable, exprimée en g/kWh;
L représente la LEF pour la famille d'émissions, exprimée en g/kWh;
M représente le nombre de moteurs de cette famille d'émissions;
P représente la puissance maximale du moteur pour la famille d'émissions, déterminée conformément à l'article 140 du CFR 1045, et exprimée en kW;
D représente la durée de vie utile des moteurs pour cette famille d'émissions, exprimée en heures.
Un exemple de calcul simple est présenté à l'annexe C.
7.14.3 Existe-t-il des dispositions concernant les procédures pour arrondir les points et le déficit relatifs à la moyenne des émissions du parc calculés?
Oui. Comme le stipule le paragraphe 26(1) du Règlement, la somme des points ou du déficit relatifs à la moyenne des émissions du parc doit être arrondie au kilogramme près, et, en cas d'équidistance, au nombre entier supérieur.
7.14.4 Comment les points relatifs à la moyenne des émissions du parc sont-ils obtenus?
Comme le stipule le paragraphe 25(1) du Règlement, les points relatifs à la moyenne des émissions du parc pour une année de modèle donnée sont obtenus lorsque le résultat du calcul des moyennes des émissions des parcs est positif, et lorsque l'entreprise déclare des points dans son rapport de fin d'année de modèle.
7.14.5 De quelle façon une entreprise peut-elle se servir des points relatifs à la moyenne des émissions du parc?
Les points relatifs à la moyenne des émissions du parc obtenus par une entreprise peuvent généralement4 être accumulés pour utilisation dans une année de modèle ultérieure, ou être transférés à une autre entreprise dans une année de modèle ultérieure. Ces points peuvent servir à compenser un déficit encouru pendant une année de modèle ultérieure, en autant que le déficit compensé provienne d'un même type de parc, d'un même type d'émissions et soit lié à la même norme exprimée dans les mêmes unités que les points utilisés. Des exceptions spéciales existent pour certains moteurs de bateaux à propulsion hydraulique, décrites dans le paragraphe qui suit et à la section 7.14.6 de ce document.
Si une entreprise fabrique ou importe un modèle de moteur de bateau à propulsion hydraulique qu'elle utilise aussi dans ses hors-bord ou ses motomarines, et qui respecte les critères des articles 660(a) et (c) du CFR 1045, cette entreprise peut accumuler les points relatifs aux émissions de famille excédents générés par les hors-bord ou les moteurs de motomarines, et ce, de l'une des deux façons suivantes : les points excédents peuvent être accumulés séparément des autres familles d'émissions de hors-bord ou de moteurs de motomarines, s'ils serviront à compenser le déficit futur du modèle correspondant de moteurs en-bord conventionnels pour les bateaux à propulsion hydraulique; les points excédents peuvent être accumulés avec les points excédents d'autres familles de hors-bord et de moteurs de motomarines, s'ils serviront à compenser le déficit futur d'un parc de hors-bord et de moteurs de motomarines. Les points accumulés de la deuxième façon ne pourront plus être utilisés pour compenser un déficit relatif au modèle de moteur de bateau à propulsion hydraulique correspondant.
7.14.6 De quelle façon une entreprise peut-elle compenser un déficit relatif à la moyenne des émissions du parc?
Comme le décrivent les paragraphes 27(1) et 27(2) du Règlement, le déficit relatif à la moyenne des émissions du parc est compensé par l'application d'un nombre égal de points relatifs à la moyenne des émissions du parc que l'entreprise a obtenus pendant des années de modèle antérieures, ou qui lui sont transférés par une autre entreprise. Sauf exception indiquée au paragraphe 27(4) du Règlement, les points doivent provenir du même type de parc, du même type d'émissions et doivent être liés à la même norme exprimée dans les mêmes unités que le déficit compensé.
L'exception exprimée au paragraphe 27(4) du Règlement stipule que, pour une année de modèle donnée, une entreprise qui fabrique ou importe un modèle de moteur de bateau à propulsion hydraulique qu'elle utilise aussi dans des hors-bord ou des motomarines, et qui respecte les critères des articles 660(a) et (c) du CFR 1045, peut compenser tout déficit relatif à la moyenne des émissions du parc associé au moteur de bateau à propulsion hydraulique en utilisant les points générés par ces hors-bord ou ces moteurs de motomarines. Les points relatifs à la moyenne des émissions du parc générés par ces hors-bord ou ces moteurs de motomarines qui sont utilisés pour compenser le déficit relatif à la moyenne des émissions du parc de bateaux à propulsion hydraulique d'une entreprise ne peuvent avoir été transférés d'une autre entreprise.
De plus, le paragraphe 27(5) du Règlement stipule que les points non utilisés relatifs à la moyenne des émissions de gaz d'échappement de CO d'un parc de hors-bord et de moteurs de motomarines sont annulés dès la réception du rapport de fin d'année de modèle.
7.14.7 Les entreprises ont-elles une échéance à respecter pour compenser le déficit relatif à la moyenne des émissions du parc?
Comme l'indique le paragraphe 27(3) du Règlement, le déficit relatif à la moyenne des émissions du parc doit être compensé par une entreprise dans un délai donné, comme suit :
- dans le cas d'un parc de l'année de modèle 2012 - au plus tard le jour où elle soumet son rapport de fin d'année de modèle à l'égard de ce parc pour l'année de modèle 2014;
- dans le cas d'un parc de l'année de modèle 2013 et des années de modèle ultérieures - au plus tard le jour où elle soumet son rapport de fin d'année de modèle à l'égard de ce parc pour l'année de modèle en question.
7.15 Calcul des valeurs, des points et du déficit relatifs à la moyenne des émissions du parc pour les véhicules récréatifs hors route
7.15.1 De façon générale, comment une entreprise se sert-elle du calcul des moyennes des émissions des parcs pour les véhicules récréatifs hors route?
En vertu du régime de calcul des moyennes des émissions des parcs pour les véhicules récréatifs hors route, une entreprise calcule sa « valeur moyenne des émissions du parc » pour chaque type d'émissions (c'est-à-dire les émissions de gaz d'échappement de HC, de HC+NOx et de CO, et les émissions par perméation du réservoir de carburant, s'il y a lieu) pour chaque année de modèle. Des calculs distincts sont faits pour les parcs de motoneiges, de motocyclettes hors route, de VTT et de véhicules utilitaires d'une entreprise. Les VTT et les véhicules utilitaires peuvent être regroupés dans un même parc par une entreprise. Si la valeur moyenne des émissions du parc est inférieure à la norme applicable, l'entreprise génère des points; dans le cas contraire, elle encourt un déficit qu'elle doit compenser. Les formules et les méthodes de calcul des points relatifs à la moyenne des émissions du parc et de la valeur moyenne des émissions du parc sont indiquées aux articles 29 et 30 du Règlement, et elles sont harmonisées avec celles comprises dans la règle de l'EPA correspondante.
7.15.2 De quelle façon calcule-t-on la valeur moyenne des émissions du parc pour les véhicules récréatifs hors route?
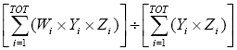
Comme l'indique l'article 29 du Règlement, la valeur moyenne des émissions du parc est calculée selon la formule décrite ci-dessous. Le paragraphe 29(1) du Règlement stipule que la valeur moyenne des émissions du parc doit être exprimée, à une décimale près, dans les mêmes unités que la norme applicable prévue aux articles 20 à 22. Un exemple de calcul simple à l'aide de la formule est présenté à l'annexe C.
Dans le cas des émissions de gaz d'échappement, la valeur moyenne des émissions du parc est calculée comme suit :
où :
TOT représente le nombre de familles d'émissions dans le parc;
i représente la iième famille d'émissions dans le parc, étant compris entre 1 et TOT;
Wi représente la LEF correspondant à la famille d'émissions « i »;
Yi représente le nombre de véhicules faisant partie de la famille d'émissions « i »;
Zi est calculé de la façon suivante pour chaque parc de véhicules :
- pour les motoneiges, Zi représente la durée de vie utile (km) pour la famille d'émissions « i », multipliée par la puissance de sortie maximale (kW) observée pendant le test d'émissions, et divisée par 30 km/h;
- pour les motocyclettes hors route, Zi représente la durée de vie utile (km) pour la famille d'émissions « i »;
- pour les VTT ou les véhicules utilitaires :
- dans le cas de véhicules qui doivent être conformes à une LEF exprimée en g/km, Zi représente la durée de vie utile (km) de la famille d'émissions « i »;
- dans le cas de véhicules qui doivent être conformes à une LEF exprimée en g/kWh, Zi représente la durée de vie utile (km) de la famille d'émissions « i », multipliée par la puissance de sortie maximale observée pendant le test d'émissions (kW), et divisée par 30 km/h.
Dans le cas de véhicules qui sont conformes à une LEF exprimée en g/kWh (c'est-à-dire les véhicules qui sont conformes à l'article 145(b) ou aux articles 615(a) et (b) du CFR 1051), et de véhicules d'une catégorie ayant plus d'une norme applicable par type d'émissions, l'entreprise doit calculer séparément la valeur moyenne des émissions du parc pour ces véhicules selon chaque norme applicable et chaque type d'émissions.
Dans le cas des émissions de gaz d'évaporation, la valeur moyenne des émissions du parc est calculée comme suit :
où :
TOT représente le nombre de familles d'émissions dans le parc;
i représente la iième famille d'émissions dans le parc, étant compris entre 1 et TOT;
Wi représente la LEF correspondant à la famille d'émissions « i »;
Yi représente le nombre de véhicules faisant partie de la famille d'émissions « i », multiplié par la surface interne moyenne du réservoir de carburant des véhicules (m²);
Zi représente la durée de vie utile de la famille d'émissions « i » exprimée en années, multipliée par 365,24 jours/année.
7.15.3 En quoi consistent les points et le déficit relatifs à la moyenne des émissions du parc?
La valeur moyenne des émissions du parc d'une entreprise peut être égale, supérieure ou inférieure à la norme d'émissions applicable d'une année de modèle donnée pour un parc de véhicules précis. Les points relatifs à la moyenne des émissions du parc sont obtenus lorsque la valeur moyenne des émissions du parc d'une entreprise, pour un type d'émissions, une année de modèle et un parc donnés, est inférieure à la norme d'émissions applicable. De la même façon, un déficit relatif à la moyenne des émissions du parc est encouru lorsque la valeur moyenne des émissions du parc est supérieure à la norme d'émissions.
7.15.4 De quelle façon calcule-t-on les points et le déficit relatifs à la moyenne des émissions du parc pour les véhicules récréatifs hors route?
Comme le stipule le paragraphe 30(3) du Règlement, la formule indiquée ci-dessous, exprimée en grammes et arrondie à une décimale près, est utilisée pour calculer les points et le déficit relatifs à la moyenne des émissions du parc. Si, pour une année de modèle donnée, le nombre obtenu à partir de la formule est positif, l'entreprise sera admissible à l'obtention de points, alors qu'un nombre négatif indique un déficit. Une valeur nulle indique que l'entreprise n'obtiendra pas de point ni n'encourra de déficit.
Dans le cas des émissions de gaz d'échappement, les points et le déficit relatifs à la moyenne des émissions du parc sont calculés comme suit :
où :
A représente la norme applicable relativement à ce type d'émissions et à cette année de modèle;
B représente la valeur moyenne des émissions du parc relativement à ce type d'émissions et à cette année de modèle à l'issue du calcul de l'article 29 du Règlement;
TOT représente le nombre total de familles d'émissions dans le parc;
i représente la iième famille d'émissions dans le parc, étant compris entre 1 et TOT;
Yi représente le nombre de véhicules faisant partie de la famille d'émissions « i »;
Zi représente la durée de vie utile applicable à la famille d'émissions « i », telle que déterminée par la variable Zi de la formule prévue au paragraphe 29(1) du Règlement.
Comme pour le calcul de la valeur moyenne des émissions du parc, dans le cas des véhicules qui doivent être conformes à une LEF exprimée en g/kWh, les calculs doivent être réalisés séparément de ceux relatifs aux véhicules qui doivent être conformes à une LEF exprimée en g/km. De la même façon, les calculs doivent être réalisés séparément pour les véhicules d'une catégorie ayant plus d'une norme applicable pour un type d'émissions précis.
Dans le cas des émissions de gaz d'évaporation, les points et le déficit relatifs à la moyenne des émissions du parc sont calculés comme suit :
où
A représente la norme applicable relativement à ce type d'émission et à cette année de modèle;
B représente la valeur moyenne des émissions du parc relativement à ce type d'émissions et à cette année de modèle à l'issue du calcul de l'article 29 du Règlement;
TOT représente le nombre total de familles d'émissions dans le parc;
i représente la iième famille d'émissions dans le parc, étant compris entre 1 et TOT;
Yi représente le nombre de véhicules faisant partie de la famille d'émissions « i », multiplié par la surface interne moyenne (m²) du réservoir de carburant des véhicules;
Zi représente la durée de vie utile applicable à la famille d'émissions « i », telle que déterminée par la variable Zi de la formule prévue au paragraphe 29(1) du Règlement.
7.15.5 Existe-t-il des dispositions concernant les procédures pour arrondir les points ou le déficit relatifs à la moyenne des émissions du parc calculés?
Oui. Comme le stipule le paragraphe 30(4) du Règlement, si le résultat du calcul des points ou du déficit relatifs à la moyenne des émissions du parc correspond à une fraction, elle doit être exprimée sous forme décimale, et le résultat est arrondi à une décimale près. Si la deuxième décimale est égale ou supérieure au chiffre cinq, la première décimale est arrondie à la décimale supérieure.
7.15.6 Comment les points relatifs à la moyenne des émissions du parc sont-ils obtenus?
Comme le stipule le paragraphe 30(1) du Règlement, les points relatifs à la moyenne des émissions du parc pour une année de modèle donnée sont obtenus lorsque la valeur moyenne des émissions du parc est inférieure à la norme applicable, et lorsque l'entreprise déclare des points dans son rapport de fin d'année de modèle.
7.15.7 De quelle façon une entreprise peut-elle se servir des points relatifs à la moyenne des émissions du parc?
Les points relatifs à la moyenne des émissions du parc obtenus par une entreprise peuvent être accumulés pour utilisation dans une année de modèle ultérieure, ou être transférés à une autre entreprise. Ces points peuvent servir à compenser un déficit encouru pendant une année de modèle ultérieure, en autant que le déficit compensé provienne d'un même type de parc, d'un même type d'émissions et soit lié à la même norme exprimée dans les mêmes unités que les points utilisés.
7.15.8 De quelle façon une entreprise peut-elle compenser un déficit relatif à la moyenne des émissions du parc?
Le paragraphe 31(2) du Règlement stipule que le déficit peut être compensé par l'application d'un nombre égal de points relatifs à la moyenne des émissions du parc que l'entreprise a obtenus pendant des années de modèle antérieures, ou qui lui sont transférés par une autre entreprise. Ces points doivent provenir d'un même type de parc, d'un même type d'émissions et doivent être liés à la même norme exprimée dans les mêmes unités.
7.15.9 Les entreprises ont-elles une échéance à respecter pour compenser le déficit relatif à la moyenne des émissions du parc?
Oui. Comme l'indique le paragraphe 31(4) du Règlement pour les véhicules hors route, les déficits relatifs à la moyenne des émissions du parc doivent être compensés par une entreprise dans un délai donné, comme suit :
- dans le cas d'un parc de l'année de modèle 2012, en ce qui a trait aux émissions de gaz d'échappement et des émissions par perméation du réservoir de carburant - au plus tard le jour où elle soumet son rapport de fin d'année de modèle pour l'année de modèle 2014.
- dans le cas d'un parc de l'année de modèle 2013 et des années de modèle ultérieures, en ce qui a trait aux émissions de gaz d'échappement et des émissions par perméation du réservoir de carburant - au plus tard le jour où elle soumet son rapport de fin d'année de modèle pour l'année de modèle en question.
4 Comme le stipule le paragraphe 27(5) du Règlement, les points relatifs à la moyenne des émissions des parcs calculés pour les émissions de CO de parcs de hors-bord ou de moteurs de motomarines ne peuvent être accumulés pour être utilisés dans une année de modèle ultérieure. Ces points s'annulent dès la réception du rapport de fin d'année de modèle.