Recherche quantitative originale – Les règlements interdisant aux élèves de quitter le périmètre scolaire influencent-ils les comportements alimentaires des adolescents?
Promotion de la santé et prévention des maladies chroniques au Canada
Karen A. Patte, Ph. D.Note de rattachement des auteurs 1; Adam G. Cole, Ph. D.Note de rattachement des auteurs 2; Wei Qian, Ph. D.Note de rattachement des auteurs 3; Megan Magier, M. Sc.Note de rattachement des auteurs 1; Michelle Vine, Ph. D.Note de rattachement des auteurs 3; Scott T. Leatherdale, Ph. D.Note de rattachement des auteurs 3
https://doi.org/10.24095/hpcdp.41.3.02f
Cet article a fait l’objet d’une évaluation par les pairs.
Correspondance : Karen A. Patte, Faculté des sciences de la santé appliquées, Université Brock, région de Niagara, 1812, chemin Sir Isaac Brock, St. Catharines (Ontario) L2S 3A1; courriel : kpatte@brocku.ca
Résumé
Introduction. L’efficacité de la réglementation sur l’alimentation en milieu scolaire est susceptible d’être compromise par l’environnement alimentaire à proximité des écoles. Comme il est difficile de réglementer la vente au détail à l’extérieur, certains recommandent l’adoption de règlements interdisant aux élèves de quitter le périmètre scolaire durant la journée. Notre objectif consiste à examiner si ces règlements ont une influence sur les comportements alimentaires des élèves.
Méthodologie. Nous avons utilisé les données d’enquête recueillies auprès de 60 610 élèves de la 9e à la 12e année et auprès d’administrateurs de 134 écoles secondaires canadiennes qui ont participé à l’année 7 (2018-2019) du projet COMPASS. Nous avons appliqué des modèles de régression ordinale multiple pour déterminer si les règlements interdisant aux élèves de quitter le périmètre scolaire constituent un facteur prédictif des comportements alimentaires en semaine (0 à 5 jours), en contrôlant pour des covariables liées aux élèves (niveau scolaire, sexe, argent à dépenser, origine ethnique) et aux écoles (indice d’urbanisation, province, revenu médian des ménages du quartier, machines distributrices).
Résultats. Au total, 16 écoles ont indiqué avoir adopté un règlement interdisant aux élèves de quitter le périmètre scolaire. Par rapport aux élèves fréquentant une école les autorisant à quitter le périmètre scolaire, les élèves fréquentant une école dotée d’un règlement leur interdisant de quitter ce périmètre ont déclaré manger moins souvent au cours de la semaine des repas achetés dans un restaurant rapide ou un autre type de restaurant et boire moins souvent des boissons sucrées (boissons gazeuses, boissons pour sportifs et thés ou cafés sucrés), mais acheter plus souvent des collations dans les machines distributrices de l’école. Aucune différence significative n’a été observée en ce qui concerne la consommation de repas préparés à la maison ou par la cafétéria de l’école et la consommation de collations achetées à l’extérieur de l’école.
Conclusion. Les règlements interdisant aux élèves de quitter le périmètre scolaire peuvent contribuer à améliorer l’alimentation des adolescents, car ces derniers réduisent alors la consommation de boissons sucrées et de repas rapides à l’heure du dîner en semaine, mais ces élèves étant susceptibles de remplacer les aliments achetés à l’extérieur de l’école par des aliments achetés à l’école, cela souligne l’importance de créer des environnements alimentaires sains dans les écoles et d’encourager les élèves à apporter des lunchs préparés à la maison. D’autres études fondées sur des modèles longitudinaux expérimentaux doivent être menées pour déterminer l’incidence des règlements interdisant aux élèves de quitter le périmètre scolaire sur divers comportements et résultats en matière de santé.
Mots-clés : école, politiques alimentaires, règlements permettant aux élèves de quitter le périmètre scolaire, adolescents, élèves, règlements interdisant aux élèves de quitter le périmètre scolaire, alimentation
Points saillants
- Cette étude est la première à s’intéresser, dans les écoles canadiennes, au lien entre les comportements alimentaires des adolescents et l’adoption ou non d’un règlement interdisant aux élèves de quitter le périmètre scolaire.
- Au total, 16 des 134 écoles secondaires canadiennes ayant participé à l’étude ont indiqué avoir adopté un règlement interdisant aux élèves de quitter le périmètre scolaire pendant les heures de classe.
- Les règlements interdisant aux élèves de quitter le périmètre scolaire sont susceptibles d’améliorer la qualité de l’alimentation des adolescents, car ils permettent de réduire, durant les jours de semaine, la consommation de boissons sucrées chaudes ou froides et de repas achetés dans un restaurant rapide ou un autre type de restaurant à l’extérieur de l’école.
- L’incidence des règlements interdisant aux élèves de quitter le périmètre scolaire va probablement dépendre de la valeur nutritive des aliments vendus dans les écoles, car les élèves qui n’ont pas le droit de sortir du périmètre scolaire sont susceptibles d’acheter des collations dans les machines distributrices de l’école durant la semaine.
Introduction
Les adolescents constituent une cible clé pour les initiatives en matière d’alimentation à l’échelle de la population. Les habitudes de santé appelées à durer toute la vie s’installent au cours de l’adolescence, période d’autonomie croissante. En parallèle, la qualité de l’alimentation diminue avec l’âge et avec le passage à l’école secondaireNote de bas de page 1. Peu d’adolescents canadiens respectent les recommandations nutritionnellesNote de bas de page 2Note de bas de page 3. D’après les enquêtes nationales sur les apports alimentaires, les adolescents de 14 à 17 ans présentent les profils nutritionnels les plus médiocres de toutes les tranches d’âgeNote de bas de page 2Note de bas de page 3. L’alimentation des adolescents se caractérise généralement par un nombre réduit de portions de fruits, de légumes et de grains entiers, les « autres » aliments (c.-à-d. les aliments à faible valeur nutritive et à haute valeur énergétique) représentant une proportion supérieure de leur apport calorique quotidien totalNote de bas de page 4Note de bas de page 5. Les principales préoccupations concernant l’alimentation des adolescents (notamment l’apport insuffisant de calcium et de fibres ainsi que l’excès de sodium et de sucreNote de bas de page 5Note de bas de page 6) sont qu’ils s’exposent à un risque accru de maladies chroniques, en particulier le diabète, les maladies cardiovasculaires, l’ostéoporose, la carie dentaire, la stéatose hépatique et divers types de cancerNote de bas de page 5.
En empruntant un modèle socioécologique, on observe que les facteurs interagissent à plusieurs niveaux pour façonner les comportements alimentaires des adolescents, allant des influences proximales (préférences alimentaires, repas en famille, modèles parentaux, etc.) aux influences distales (normes sociales, statut socioéconomique de la famille, etc.)Note de bas de page 7Note de bas de page 8. Déterminées à différents niveaux, la disponibilité et l’accessibilité des aliments sont parmi les corrélats les plus marqués des choix alimentaires des adolescentsNote de bas de page 9Note de bas de page 10Note de bas de page 11. En conséquence, les mesures environnementales (politiques et règlements) semblent être les mesures les plus efficaces pour favoriser un changement d’habitudes alimentaires au sein de la populationNote de bas de page 12. Les politiques alimentaires en milieu scolaire visent principalement à restreindre l’offre d’aliments à faible valeur nutritive et à augmenter l’offre d’aliments sains vendus dans l’environnement scolaire. Les écoles sont généralement considérées comme un milieu clé pour une répartition équitable des interventions, car c’est là que la plupart des enfants et des adolescents passent la majeure partie de leurs journées en semaine et consomment au moins un repas par jour. Au Canada, les politiques alimentaires en milieu scolaire relèvent de la responsabilité des gouvernements provinciaux et territoriauxNote de bas de page 4. Les dix provinces canadiennes ont toutes adopté des politiques alimentaires en milieu scolaire, mais ces dernières sont très variables (certaines sont d’application facultative, et d’autres, d’application obligatoire)Note de bas de page 13.
Les politiques alimentaires en milieu scolaire se limitent à la vente d’aliments dans les écoles. Or la plupart des écoles secondaires canadiennes permettent à une partie ou à l’ensemble des élèves de quitter le périmètre scolaire pendant l’heure du dîner, alors que les écoles se trouvent souvent à distance de marche de détaillants alimentairesNote de bas de page 14, qui vendent surtout les aliments que les politiques visent à limiter (aliments à faible valeur nutritive et à forte teneur en sucre, en gras, en sel et en calories). La densité des restaurants rapides et des dépanneurs à proximité des écoles tend à être plus élevée que celle des détaillants offrant des aliments plus sainsNote de bas de page 15Note de bas de page 16. On a établi une corrélation entre un accès facile aux restaurants rapides dans les zones scolaires et une mauvaise alimentation chez les adolescentsNote de bas de page 17, caractérisée notamment par une consommation accrue de boissons sucréesNote de bas de page 18 et de repas rapidesNote de bas de page 19Note de bas de page 20, avec cependant des données probantes non cohérentesNote de bas de page 21. Il demeure que l’efficacité de la réglementation sur l’alimentation en milieu scolaire risque d’être compromise par l’environnement alimentaire de proximitéNote de bas de page 20Note de bas de page 22.
L’environnement à l’extérieur de l’école revêt une importance particulière pour les adolescents, car ces derniers sont moins enclins à dîner à l’écoleNote de bas de page 20Note de bas de page 22. Une étude récente a révélé que plus du tiers des élèves du secondaire en Ontario consomment un repas provenant d’un restaurant rapide au moins une fois par semaineNote de bas de page 22. De même, dans une enquête en ligne menée auprès de jeunes de sept provinces canadiennes, 27,4 % des répondants ont déclaré acheter un repas à l’extérieur de l’école trois jours ou plus par semaine et 56,7 %, un ou deux jours par semaine, tandis que 36,5 % ont déclaré acheter leur repas à l’école au moins une fois par semaineNote de bas de page 23. Seuls 15,9 % des élèves n’avaient acheté aucun repas dans un restaurant rapide, un dépanneur ou un autre établissement à l’extérieur de l’école durant la semaine précédant l’enquêteNote de bas de page 23.
Les lunchs préparés à la maison constituent généralement l’option la plus nutritive, comparativement aux repas achetés dans les restaurants rapides et les dépanneursNote de bas de page 22Note de bas de page 23. Parmi les élèves canadiens du secondaire, ceux qui apportent un lunch préparé à la maison ont une alimentation globalement de meilleure qualité et consomment moins de boissons sucréesNote de bas de page 24 et plus de portions de fruits et de légumesNote de bas de page 25 et de grains entiers que ceux qui achètent leur repas à l’école ou à l’extérieur de l’écoleNote de bas de page 23Note de bas de page 26. En ce qui concerne les repas achetés, la plupart des études tendent à confirmer que les aliments de la cafétéria de l’école constituent une option plus saine que les aliments provenant d’un restaurant rapide, d’un autre type de restaurant ou d’un commerce de détailNote de bas de page 22Note de bas de page 23Note de bas de page 27. Les élèves qui achètent des repas ou des collations dans des restaurants rapides ou d’autres restaurants rapportent une consommation plus importante de boissons sucréesNote de bas de page 24Note de bas de page 25Note de bas de page 27 et d’aliments frits ainsi qu’un plus grand apport en sodium, en sucre et en calories totales que ceux qui mangent des repas préparés à la maison ou achetés à la cafétéria de l’écoleNote de bas de page 22Note de bas de page 23Note de bas de page 27. Cependant, selon certaines données probantes, les repas achetés à l’école seraient en général équivalents à ceux que les élèves achètent à l’extérieur de l’écoleNote de bas de page 23Note de bas de page 26.
En raison des préoccupations relatives à l’environnement alimentaire externe, certains réclament une réglementation sur l’alimentation qui tienne compte des commerces de détail à proximité des écolesNote de bas de page 20Note de bas de page 22. Étant donné la difficulté à mettre en place un environnement favorisant la saine alimentation autour des écoles, l’adoption de règlements interdisant aux élèves de quitter le périmètre scolaire durant la journée a été proposée. S’il est vrai que de tels règlements n’empêchent pas les élèves d’acheter de la nourriture chez les détaillants alimentaires à proximité avant ou après l’école, il n’en demeure pas moins que les adolescents consomment environ le tiers de leur apport énergétique total pendant leur temps à l’écoleNote de bas de page 26Note de bas de page 27Note de bas de page 28, ce qui laisse une marge de manœuvre considérable pour améliorer la qualité de leur alimentation.
À notre connaissance, une seule étude s’est intéressée au lien entre les règlements interdisant aux élèves de quitter le périmètre scolaire et les habitudes d’achat et de consommation d’aliments : parmi un échantillon aléatoire de 1 088 élèves provenant de 20 écoles secondaires de banlieue du Minnesota, on a constaté que les élèves fréquentant une école dotée d’un règlement leur interdisant de quitter le périmètre scolaire durant l’heure du midi sont moins susceptibles que les élèves des écoles sans un règlement de ce type de dîner dans un restaurant rapide et de consommer des aliments achetés dans un dépanneurNote de bas de page 29. Par ailleurs, les quelques études comparant l’adoption d’un règlement interdisant aux élèves de quitter le périmètre scolaire avec l’absence d’un règlement de ce type portent principalement sur des facteurs non liés à l’alimentation, comme l’utilisation de mesures d’incitation conditionnelles pour les résultats scolairesNote de bas de page 30 et la prévention des accidents de la routeNote de bas de page 31.
Compte tenu des différences notables qui existent d’un pays à l’autre entre les milieux scolaires et les environnements alimentaires de proximité, une évaluation approfondie en contexte canadien est nécessaire. Notre étude a porté sur les habitudes d’achat et de consommation de repas, de collations et de boissons, durant la semaine, d’une large cohorte d’adolescents canadiens, en fonction de leur fréquentation d’une école secondaire avec règlement interdisant aux élèves de quitter le périmètre scolaire ou d’une école sans règlement de ce type. Nous avons émis l’hypothèse que les élèves fréquentant une école dotée d’un règlement interdisant aux élèves de quitter le périmètre scolaire consommeraient moins de boissons sucrées et d’aliments achetés dans des détaillants situés à l’extérieur de l’école, qu’ils achèteraient davantage d’aliments à la cafétéria et dans les machines distributrices de l’école et, idéalement, qu’ils apporteraient plus souvent des lunchs préparés à la maison.
Méthodologie
Conception
Notre étude repose sur des données transversales provenant d’élèves et d’écoles ayant participé à l’année 7 (année scolaire 2018-2019) de l’étude COMPASS (cannabis, obésité, santé mentale, activité physique, alcool, tabagisme, sédentarité). Le projet COMPASS permet de recueillir une fois par an des données prospectives hiérarchiques sur la santé auprès des élèves de la 9e à la 12e année et des écoles secondaires canadiennes qu’ils fréquententNote de bas de page 32. Le choix a été fait délibérément en faveur des commissions scolaires qui autorisent l’application de protocoles d’information active et de consentement parental passifNote de bas de page 32, ce qui permet d’alléger la charge de travail des écoles et de recueillir des données plus fiables sur les adolescentsNote de bas de page 33. Tous les élèves de la 9e à la 12e année fréquentant les écoles participantes pouvaient prendre part à l’étude, tout comme ils étaient libres de s’en retirer à tout moment. Les données sur les élèves ont été recueillies au moyen d’un questionnaire sur papier rempli par tous les élèves pendant une période de classe. Les données sur les écoles ont été recueillies au moyen d’un questionnaire en ligne (analyse COMPASS des programmes et des politiques de l’école) en même temps que les données sur les élèves. L’analyse des programmes et des politiques de l’école visait à vérifier la présence ou l’absence de politiques, de pratiques et de ressources relatives aux comportements des élèves en matière de santé dans le milieu scolaireNote de bas de page 32. Les administrateurs scolaires le plus au fait des programmes et des politiques de l’école ont reçu un lien menant au questionnaire par courriel. Ils ont été invités à consulter d’autres membres du personnel et à se regrouper pour remplir le questionnaire afin que l’information transmise soit la plus exacte possible. Le personnel de l’étude COMPASS a effectué un suivi par téléphone ou par courriel en cas de données manquantes ou insuffisamment claires.
L’étude COMPASS a été approuvée sur le plan de l’éthique par l’Université de Waterloo, l’Université Brock et les commissions scolaires participantes. Des renseignements supplémentaires concernant les méthodes de recrutement de l’étude COMPASSNote de bas de page 34 et la méthodologie de l’étude sont accessibles en ligne ou en version impriméeNote de bas de page 32.
Comportements alimentaires en semaine
On a posé la question suivante aux élèves : « Au cours d’une semaine d’école normale (du lundi au vendredi), combien de jours fais-tu ce qui suit? (i) Manger un repas acheté dans un restaurant rapide ou un autre restaurant; (ii) Manger à l’école un lunch préparé à la maison; (iii) Manger à l’école un repas acheté à la cafétéria; (iv) Manger des collations achetées dans une machine distributrice, un dépanneur, un casse-croûte ou une cantine à l’extérieur de l’école; (v) Manger des collations achetées dans une machine distributrice de l’école; (vi) Boire des boissons sucrées (soda, Kool-Aid, Gatorade, etc.) (n’incluent pas les boissons diètes ou sans sucre); (vii) Boire des cafés ou des thés sucrés (Frappuccino, cappuccino, thé glacé, café glacé, etc.) ». Les choix de réponse, qui allaient de « Aucun » à « 5 jours », ont été associés à un code numérique de 0 à 5 de façon à obtenir un résultat ordinal.
Mesures liées aux écoles
Pour permettre de distinguer les écoles autorisant les élèves à quitter le périmètre scolaire et les autres, le questionnaire d’analyse des programmes et des politiques de l’école incluait la question suivante : « Votre école a-t-elle adopté un règlement en vertu duquel les élèves ne sont généralement pas autorisés à quitter le périmètre scolaire durant les pauses (sauf pour les activités et les événements scolaires et pour les rendez-vous personnels)? » Les écoles qui ont répondu « Oui » ont été classées comme ayant un règlement interdisant aux élèves de quitter le périmètre scolaire. Les écoles qui ont répondu « Non » ont été considérées comme permettant aux élèves de sortir du périmètre scolaire.
Covariables
Les covariables liées aux élèves sont le sexe (garçon, fille, sans réponse), le niveau scolaire (9, 10, 11, 12, sans réponse), l’origine ethnique (blanc, noir, asiatique, latino-américain, autre/mixte/information manquante) et le montant d’argent disponible chaque semaine pour dépenser ou économiser provenant de l’argent de poche ou d’un emploi à temps partiel (aucun, 1 $ à 20 $, 21 $ à 100 $, plus de 100 $, je ne sais pas).
Les covariables liées aux écoles sont la province (Alberta, Colombie-Britannique, Ontario, Québec), l’indice d’urbanisation et le revenu médian des ménages dans le quartier de l’école. Nous avons établi des références croisées entre les codes postaux des écoles et les données de Statistique Canada pour déterminer le revenu médian moyen des ménages (en $ CA) (inférieur ou égal à 50 000 $, 50 001 $ à 75 000 $, 75 001 $ à 100 000 $, plus de 100 000 $) ainsi que l’indice d’urbanisation associé à l’école. Les écoles ont ainsi été réparties dans l’une des catégories suivantes : zone rurale (population inférieure à 1 000 habitants ou densité de population inférieure à 400 personnes par kilomètre carré), petit centre urbain (population de 1 000 à 29 999 habitants), centre urbain moyen (population de 30 000 à 99 999 habitants) ou grand centre urbain (population de 100 000 habitants et plus). Comme le nombre de restaurants rapides varie en fonction de la taille et de la densité de la population (le nombre de restaurants augmentant avec la taille de l’agglomérationNote de bas de page 19Note de bas de page 35Note de bas de page 36), l’indice d’urbanisation a été utilisé pour qualifier le type d’environnement alimentaire de vente au détail à proximité de l’école. Les modèles utilisés pour les résultats liés à la consommation de boissons sucrées (boissons gazeuses, boissons pour sportifs ainsi que cafés et thés sucrés) et à l’achat de collations tiennent également compte du nombre de machines distributrices de collations et de boissons qui sont à la disposition des élèves et qui se trouvent dans les écoles, à partir d’une évaluation réalisée par du personnel de recherche formé lors de la collecte de données dans les écoles.
Analyse statistique
Toutes les analyses ont été effectuées à l’aide du logiciel SAS, version 9.4 (SAS Institute Inc., Cary, Caroline du Nord, États-Unis). Les statistiques descriptives ont été calculées séparément pour les élèves fréquentant une école avec règlement interdisant aux élèves de quitter le périmètre scolaire et pour les autres, au moyen des procédures PROC FREQ et PROC TTEST. Nous avons utilisé des modèles de régression pour déterminer si le fait de fréquenter une école dotée d’un règlement interdisant aux élèves de quitter le périmètre scolaire permet de prédire les comportements alimentaires des élèves en semaine, en contrôlant pour des covariables liées aux élèves (sexe, niveau scolaire, origine ethnique, montant d’argent à dépenser chaque semaine) et aux écoles (indice d’urbanisation, revenu médian des ménages, province).
Les résultats ont été traités comme des données ordinales, dans la mesure où les choix de réponse offerts étaient naturellement ordonnés et que les valeurs du critère d’information d’Akaike (AIC) étant plus faibles, les modèles de régression ordinale multiple convenaient mieux que les modèles de régression linéaire multiple. Par ailleurs, comme nous avons utilisé la procédure PROC GLM pour l’analyse des données sous forme de variables continues, les graphiques des résidus n’ont pas permis de valider l’hypothèse de normalité. Pour tester l’hypothèse des cotes proportionnelles, nous avons généré différentes pentes à l’aide de l’option UNEQUALSLOPES et nous avons vérifié si ces pentes étaient les mêmes dans la procédure PROC LOGISTIC. Pour cinq des huit modèles, les résultats ont confirmé l’hypothèse, mais celle-ci n’a pas été validée pour les résultats relatifs aux lunchs apportés de la maison, aux repas achetés à la cafétéria de l’école et aux collations provenant des machines distributrices de l’école. En revanche, les estimations faites à l’aide des options EQUALSLOPES et UNEQUALSLOPES étaient comparables pour ces trois derniers résultats. Nous avons choisi les modèles ordinaux pour leur facilité d’interprétation : nous avons pu recourir au même modèle pour les huit résultats.
Nous avons estimé les coefficients de corrélation intraclasse (CCI) en traitant les résultats comme des données continues afin de déterminer la variance expliquée par le regroupement des écoles. Pour les écoles, les CCI étaient les suivants : 0,105 pour les lunchs apportés de la maison, 0,136 pour les repas achetés à la cafétéria de l’école, 0,102 pour les repas achetés dans un restaurant rapide ou un autre restaurant, 0,061 pour les collations provenant des machines distributrices de l’école, 0,028 pour les collations achetées à l’extérieur de l’école, 0,018 pour les boissons gazeuses et les boissons pour sportifs sucrées et 0,049 pour les cafés et les thés sucrés. Nous avons eu recours à la procédure PROC GENMOD pour les analyses de régression, en utilisant l’identification de l’école comme variable de regroupement et en fixant une structure de corrélation indépendante provisoire pour tenir compte des corrélations au sein de l’école.
Pour tous les modèles, les résultats présentés sont les résultats ajustés. Aucune interaction entre le niveau scolaire et l’indice d’urbanisation n’a été observée lors des tests (résultats non présentés).
Résultats
Échantillon
Le tableau 1 offre une description des échantillons. Au total, 74 501 élèves de 134 écoles secondaires (15 en Colombie-Britannique, 8 en Alberta, 61 en Ontario et 52 au Québec) ont participé à l’année 7 (2018-2019) de l’étude COMPASS (taux de réponse de 84,2 %). Les élèves québécois de secondaire 1 et 2 (l’équivalent de la 7e et la 8e année) n’ont pas été inclus (n = 13 891), ce qui conduit à un échantillon de 60 610 élèves. Les élèves québécois de secondaire 3, 4 et 5 ont été classés comme des élèves de respectivement 9e, 10e et 11e année. Les élèves pour lesquels il manquait des données ont été retirés du modèle concerné, de sorte que le nombre d’élèves retirés des modèles en raison de données manquantes varie selon le résultat (les données manquent pour 3 049 élèves en ce qui concerne les lunchs apportés de la maison; pour 2 646 élèves en ce qui concerne les repas achetés à la cafétéria; pour 2 479 élèves en ce qui concerne les repas achetés dans un restaurant rapide ou un autre type de restaurant; pour 2 319 élèves en ce qui concerne les collations provenant des machines distributrices de l’école; pour 2 483 élèves en ce qui concerne les collations achetées à l’extérieur de l’école; pour 2 504 élèves en ce qui concerne les boissons gazeuses et les boissons pour sportifs sucrées et enfin pour 2 462 élèves en ce qui concerne les cafés et les thés sucrés). Les élèves pour lesquels il manquait des covariables (n = 1 175) ont été inclus dans l’analyse, et les réponses manquantes ont été classées dans la catégorie « information manquante/pas de réponse ».
Variables sociodémographiques | Règlement interdisant de quitter le périmètre scolaire | Valeur p | ||
---|---|---|---|---|
Non | Oui | |||
% (N) | % (N) | |||
Sexe | Fille | 49,1 (26 495) | 49,1 (3 241) | 0,6952 |
Garçon | 49,6 (26 804) | 49,8 (3 287) | ||
Pas de réponse | 1,3 (705) | 1,2 (78) | ||
Niveau scolaire | 9 | 28,4 (15 323) | 29,8 (1 971) | 0,002 |
10 | 28,5 (15 369) | 27,7 (1 832) | ||
11 | 26,2 (14 149) | 27,1 (1 791) | ||
12 | 15,6 (8 427) | 14,1 (930) | ||
Pas de réponse | 1,4 (736) | 1,2 (82) | ||
Origine ethnique | Blanc | 65,1 (35 154) | 64,2 (4 242) | < 0,0001 |
Noir | 3,9 (2 120) | 5,8 (384) | ||
Asiatique | 12,2 (6 615) | 10,0 (662) | ||
Latino-américain | 2,8 (1 535) | 2,7 (177) | ||
Autre/mixte/information manquante | 15,9 (8 580) | 17,3 (1 141) | ||
Montant d’argent disponible chaque semaine pour dépenser ou économiser | Aucun | 15,2 (8 104) | 16,6 (1 082) | < 0,0001 |
1 $ à 20 $ | 22,4 (11 954) | 22,4 (1 459) | ||
21 $ à 100 $ | 24,5 (13 062) | 23,9 (1 555) | ||
Plus de 100 $ | 22,8 (12 121) | 19,2 (1 250) | ||
Je ne sais pas | 15,1 (8 029) | 17,9 (1 168) | ||
Province | Alberta | 3,7 (244) | 5,7 (3 057) | < 0,0001 |
Colombie-Britannique | 3,8 (250) | 18,8 (10 152) | ||
Ontario | 63,6 (4 204) | 49,0 (26 471) | ||
Québec | 28,9 (1 908) | 26,5 (14 324) | ||
Indice d’urbanisation | Grand centre urbain | 57,3 (30 920) | 42,5 (2 806) | < 0,0001 |
Moyen centre urbain | 12,0 (6 502) | 16,2 (1 071) | ||
Zone rurale | 1,1 (603) | 17,6 (1 164) | ||
Petit centre urbain | 29,6 (15 979) | 23,7 (1 565) | ||
Revenu médian des ménages du quartier de l’école ($ CA) | 25 000 $ à 50 000 $ | 14,0 (7 537) | 0,0 (2) | < 0,0001 |
50 001 $ à 75 000 $ | 57,6 (31 126) | 59,4 (3 922) | ||
75 001 $ à 100 000 $ | 23,9 (12 890) | 14,7 (973) | ||
Plus de 100 000 $ | 4,5 (2 451) | 25,9 (1 709) | ||
Nombre de machines distributrices de collations dans l’école | 0 | 25,4 (13 719) | 19,2 (1 268) | < 0,0001 |
1 | 35,5 (19 165) | 48,5 (3 201) | ||
2 | 32,6 (17 588) | 20,5 (1 357) | ||
3 | 6,5 (3 532) | 0 (0) | ||
4 | 0 (0) | 11,8 (780) | ||
Nombre de machines distributrices de boissons dans l’école | 0 | 9,9 (5 336) | 6,2 (409) | < 0,0001 |
1 | 23,5 (12 713) | 38,1 (2 520) | ||
2 | 30,5 (16 464) | 17,9 (1 181) | ||
3 | 18,4 (9 940) | 9,8 (645) | ||
4 | 10,9 (5 905) | 0 (0) | ||
5 | 4,5 (2 429) | 28,0 (1 851) | ||
6 | 2,3 (1 217) | 0 (0) | ||
Remarque : Les données sont tirées de l’année 7 (2018-2019) de l’étude COMPASSNote de bas de page 32. |
Au total, 16 écoles secondaires, soit 8 en Ontario (2 privées, 6 publiques), 1 école privée en Colombie-Britannique, 1 école publique en Alberta et 6 écoles au Québec (3 privées, 3 publiques) ont indiqué avoir adopté un règlement interdisant aux élèves de quitter le périmètre scolaire durant la journée. Les 16 écoles secondaires se répartissent en 3 écoles en zone rurale, 4 écoles dans un centre urbain de petite taille, 3 écoles dans un centre urbain de taille moyenne et 6 écoles dans un centre urbain de grande taille.
Modèles de régression ordinale
La figure 1 illustre les mesures alimentaires rapportées par les élèves en fonction de la présence ou non de règlement interdisant aux élèves de quitter le périmètre scolaire. Les tableaux 2 à 4 contiennent les résultats des modèles de régression corrigés en fonction des covariables liées aux élèves et aux écoles.
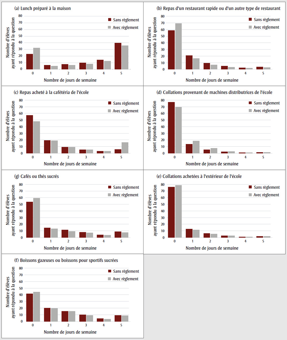
Figure 1. Pourcentage d’élèves ayant indiqué la fréquence (0 à 5 jours de semaine) de divers comportements alimentaires dans les écoles avec ou sans règlement interdisant aux élèves de quitter le périmètre scolaire, 2018-2019

Remarque : Les données sont tirées de l’année 7 (2018-2019) de l’étude COMPASSNote de bas de page 32.
Description textuelle : Figure 1
Type de repas | Nombre de jours de semaine | Nombre d’élèves ayant répondu à la question | |
---|---|---|---|
Sans règlement | Avec règlement | ||
Repas préparé à la maison | 0 | 23 | 32,4 |
1 | 6,2 | 5,1 | |
2 | 7,8 | 6,3 | |
3 | 9,6 | 7,9 | |
4 | 14 | 12,5 | |
5 | 39,5 | 35,8 | |
Repas d'un restaurant rapide ou d'un autre type de restaurant | 0 | 58,7 | 69 |
1 | 20,7 | 16,4 | |
2 | 9,2 | 6,8 | |
3 | 5 | 3,2 | |
4 | 2,5 | 1,8 | |
5 | 3,8 | 2,7 | |
Repas acheté à la cafétéria de l'école | 0 | 57,7 | 48,1 |
1 | 19,5 | 18,8 | |
2 | 9,1 | 9,2 | |
3 | 5,3 | 5,3 | |
4 | 2,9 | 2,8 | |
5 | 5,6 | 15,7 | |
Collations provenant de machines distributrices de l'école | 0 | 77 | 69,4 |
1 | 13,6 | 18,3 | |
2 | 5,3 | 7,4 | |
3 | 2,1 | 2,8 | |
4 | 0,7 | 0,9 | |
5 | 1,3 | 1,4 | |
Cafés ou thés sucrés | 0 | 53,6 | 59,4 |
1 | 14,5 | 13 | |
2 | 11,2 | 9,3 | |
3 | 7,9 | 7,1 | |
4 | 4,1 | 3,6 | |
5 | 8,7 | 7,5 | |
Collations achetées à l'extérieur de l'école | 0 | 76,1 | 78,7 |
1 | 12,8 | 11,2 | |
2 | 5,9 | 5,2 | |
3 | 2,5 | 2,4 | |
4 | 0,9 | 0,8 | |
5 | 1,8 | 1,7 | |
Boissons gazeuses ou boissons pour sportifs sucrées | 0 | 41,5 | 44,3 |
1 | 20,2 | 19,7 | |
2 | 15,3 | 15,3 | |
3 | 9,9 | 8,9 | |
4 | 4,1 | 3,4 | |
5 | 9 | 8,4 |
Variables sociodémographiques | A mangé à l’école un lunch préparé à la maison | A acheté un repas à la cafétéria de l’école | A acheté un repas dans un restaurant rapide ou un autre type de restaurant | |||
---|---|---|---|---|---|---|
Est. | IC à 95 % | Est. | IC à 95 % | Est. | IC à 95 % | |
Sexe (réf. : Fille) | ||||||
Garçon | −0,12Note de bas de page *** | −0,17 à −0,07 | −0,01 | −0,08 à 0,07 | 0,40Note de bas de page *** | 0,35 à 0,46 |
Pas de réponse | −0,33Note de bas de page ** | −0,55 à −0,11 | −0,02 | −0,23 à 0,19 | 0,29 | 0,04 à 0,55 |
Niveau scolaire (réf. : 9) | ||||||
10 | −0,02 | −0,07 à 0,03 | −0,09Note de bas de page ** | −0,16 à −0,02 | 0,05 | −0,03 à 0,12 |
11 | −0,07Note de bas de page * | −0,12 à −0,02 | −0,14Note de bas de page *** | −0,22 à −0,07 | 0,11Note de bas de page * | 0,02 à 0,20 |
12 | −0,25Note de bas de page *** | −0,33 à −0,17 | −0,42Note de bas de page *** | −0,54 à −0,31 | 0,35Note de bas de page *** | 0,23 à 0,46 |
Pas de réponse | −0,22 | −0,44 à 0,00 | −0,06 | −0,26 à 0,15 | 0,43Note de bas de page *** | 0,19 à 0,67 |
Origine ethnique (réf. : Blanc) | ||||||
Noir | −0,63Note de bas de page *** | −0,75 à −0,50 | 0,65Note de bas de page *** | 0,51 à 0,79 | 0,82Note de bas de page *** | 0,68 à 0,96 |
Asiatique | −0,08 | −0,22 à 0,05 | 0,55Note de bas de page *** | 0,39 à 0,71 | −0,01 | −0,18 à 0,16 |
Latino-américain | −0,22Note de bas de page *** | −0,33 à −0,12 | 0,31Note de bas de page *** | 0,19 à 0,43 | 0,33Note de bas de page *** | 0,20 à 0,47 |
Autre/mixte/information manquante | −0,34Note de bas de page *** | −0,40 à −0,27 | 0,25Note de bas de page *** | 0,14 à 0,35 | 0,32Note de bas de page *** | 0,24 à 0,41 |
Montant d’argent hebdomadaire ($ CA) (réf. : 0 $) | ||||||
1 $ à 20 $ | −0,31Note de bas de page *** | −0,37 à −0,25 | 0,63Note de bas de page *** | 0,55 à 0,71 | 0,79Note de bas de page *** | 0,71 à 0,87 |
21 $ à 100 $ | −0,62Note de bas de page *** | −0,70 à −0,53 | 0,87Note de bas de page *** | 0,78 à 0,96 | 1,19Note de bas de page *** | 1,11 à 1,28 |
Plus de 100 $ | −0,71Note de bas de page *** | −0,80 à −0,63 | 0,80Note de bas de page *** | 0,69 à 0,90 | 1,39Note de bas de page *** | 1,32 à 1,47 |
Je ne sais pas | −0,16Note de bas de page *** | −0,22 à −0,10 | 0,45Note de bas de page *** | 0,36 à 0,53 | 0,64Note de bas de page *** | 0,56 à 0,72 |
Revenu médian des ménages du quartier de l’école ($ CA) (réf. : 25 000 $ à 50 000 $) | ||||||
50 001 $ à 75 000 $ | −0,35Note de bas de page ** | −0,59 à −0,10 | 0,47Note de bas de page *** | 0,23 à 0,72 | −0,07 | −0,48 à 0,33 |
75 001 $ à 100 000 $ | −0,15 | −0,42 à 0,13 | 0,33Note de bas de page * | 0,02 à 0,64 | −0,14 | −0,63 à 0,36 |
Plus de 100 000 $ | −0,28 | −0,58 à 0,02 | 0,25 | −0,19 à 0,69 | −0,22 | −0,76 à 0,32 |
Province (réf. : Ontario) | ||||||
Alberta | −0,05 | −0,29 à 0,18 | −0,02 | −0,40 à 0,37 | 0,24 | −0,10 à 0,58 |
Colombie-Britannique | 0,34Note de bas de page *** | 0,14 à 0,54 | −0,25 | −0,52 à 0,01 | −0,37Note de bas de page ** | −0,64 à −0,10 |
Québec | 0,62Note de bas de page *** | 0,39 à 0,85 | −0,16 | −0,43 à 0,11 | −0,95Note de bas de page *** | −1,27 à −0,64 |
Indice d’urbanisation (réf. : Grand centre urbain) | ||||||
Centre urbain moyen | −0,03 | −0,28 à 0,21 | −0,08 | −0,46 à 0,31 | 0,20 | −0,13 à 0,52 |
Zone rurale | −0,01 | −0,42 à 0,39 | 0,04 | −0,66 à 0,75 | −0,16 | −0,94 à 0,63 |
Petit centre urbain | −0,35Note de bas de page ** | −0,56 à −0,13 | 0,36Note de bas de page ** | 0,11 à 0,61 | 0,27 | 0,00 à 0,55 |
Règlement interdisant aux élèves de quitter le périmètre scolaire réf. : Non) | ||||||
Oui | −0,23 | −0,62 à 0,16 | 0,46 | −0,04 à 0,97 | −0,45Note de bas de page ** | −0,75 à −0,14 |
Abréviations : $ CA, dollars canadiens; est., estimation; IC, intervalle de confiance.
|
Variables sociodémographiques | A acheté des collations dans les machines distributrices de l’école | A acheté des collations chez un détaillant à l’extérieur de l’école | ||
---|---|---|---|---|
Est. | IC à 95 % | Est. | IC à 95 % | |
Sexe (réf. : Fille) | ||||
Garçon | 0,11Note de bas de page ** | 0,04 à 0,18 | 0,38Note de bas de page *** | 0,31 à 0,44 |
Pas de réponse | 0,29Note de bas de page * | 0,04 à 0,55 | 0,51Note de bas de page *** | 0,24 à 0,79 |
Niveau scolaire (réf. : 9) | ||||
10 | −0,20Note de bas de page *** | −0,27 à −0,12 | −0,06 | −0,13 à 0,00 |
11 | −0,39Note de bas de page *** | −0,48 à −0,30 | −0,22Note de bas de page *** | −0,29 à −0,15 |
12 | −0,70Note de bas de page *** | −0,84 à −0,56 | −0,38Note de bas de page *** | −0,48 à −0,29 |
Pas de réponse | 0,28Note de bas de page * | 0,03 à 0,53 | 0,27Note de bas de page ** | 0,07 à 0,48 |
Origine ethnique (réf. : Blanc) | ||||
Noir | 0,63Note de bas de page *** | 0,51 à 0,75 | 0,64Note de bas de page *** | 0,53 à 0,75 |
Asiatique | 0,06 | −0,12 à 0,25 | 0,03 | −0,10 à 0,16 |
Latino-américain | 0,27Note de bas de page *** | 0,13 à 0,40 | 0,12Note de bas de page * | 0,00 à 0,25 |
Autre/mixte/information manquante | 0,22Note de bas de page *** | 0,11 à 0,33 | 0,24Note de bas de page *** | 0,16 à 0,32 |
Montant d’argent hebdomadaire ($ CA) (réf. : 0 $) | ||||
1 $ à 20 $ | 0,61Note de bas de page *** | 0,52 à 0,69 | 0,65Note de bas de page *** | 0,58 à 0,73 |
21 $ à 100 $ | 0,75Note de bas de page *** | 0,66 à 0,84 | 0,80Note de bas de page *** | 0,72 à 0,88 |
Plus de 100 $ | 0,70Note de bas de page *** | 0,61 à 0,78 | 0,87Note de bas de page *** | 0,87 à 0,79 |
Je ne sais pas | 0,43Note de bas de page *** | 0,34 à 0,52 | 0,47Note de bas de page *** | 0,39 à 0,55 |
Revenu médian des ménages du quartier de l’école ($ CA) (réf. : 25 000 $ à 50 000 $) | ||||
50 001 $ à 75 000 $ | 0,32Note de bas de page * | 0,02 à 0,61 | −0,06 | −0,30 à 0,17 |
75 001 $ à 100 000 $ | 0,34 | −0,07 à 0,75 | −0,29 | −0,61 à 0,03 |
Plus de 100 000 $ | 0,17 | −0,30 à 0,63 | −0,39 | −0,77 à 0,00 |
Province (réf. : Ontario) | ||||
Alberta | 0,97Note de bas de page *** | 0,53 à 1,41 | 0,62Note de bas de page *** | 0,35 à 0,89 |
Colombie-Britannique | 0,64Note de bas de page ** | 0,21 à 1,06 | 0,42Note de bas de page ** | 0,16 à 0,67 |
Québec | 0,50Note de bas de page *** | 0,25 à 0,74 | 0,08 | −0,13 à 0,29 |
Indice d’urbanisation (réf. : Grand centre urbain) | ||||
Centre urbain moyen | −0,08 | −0,43 à 0,26 | −0,05 | −0,29 à 0,20 |
Zone rurale | 0,10 | −0,39 à 0,59 | 0,00 | −0,76 à 0,75 |
Petit centre urbain | 0,19 | −0,04 à 0,43 | 0,00 | −0,20 à 0,21 |
Nombre de machines distributrices dans l’école | ||||
Machines distributrices de collations (0 à 4) | 0,34Note de bas de page *** | 0,20 à 0,48 | 0,01 | −0,10 à 0,12 |
Machines distributrices de boissons (0 à 6) | 0,03 | −0,08 à 0,13 | −0,02 | −0,08 à 0,04 |
Règlement interdisant aux élèves de quitter le périmètre scolaire (réf. : Non) | ||||
Oui | 0,42Note de bas de page ** | 0,11 à 0,74 | 0,00 | −0,37 à 0,37 |
Abréviations : $ CA, dollars canadiens; est., estimation; IC, intervalle de confiance.
|
Variables sociodémographiques | Boissons gazeuses ou boissons pour sportifs sucrées | Cafés ou thés sucrés | ||
---|---|---|---|---|
Est. | IC à 95 % | Est. | IC à 95 % | |
Sexe (réf. : Fille) | ||||
Garçon | 0,60Note de bas de page *** | 0,56 à 0,64 | −0,63Note de bas de page *** | −0,67 à −0,58 |
Pas de réponse | 0,60Note de bas de page *** | 0,39 à 0,81 | −0,36Note de bas de page ** | −0,60 à −0,13 |
Niveau scolaire (réf. : 9) | ||||
10 | −0,12Note de bas de page *** | −0,16 à −0,08 | 0,09Note de bas de page *** | 0,04 à 0,14 |
11 | −0,22Note de bas de page *** | −0,27 à −0,17 | 0,19Note de bas de page *** | 0,14 à 0,25 |
12 | −0,33Note de bas de page *** | −0,38 à −0,27 | 0,32Note de bas de page *** | 0,25 à 0,39 |
Pas de réponse | 0,00 | −0,19 à 0,19 | 0,46Note de bas de page *** | 0,25 à 0,67 |
Origine ethnique (réf. : Blanc) | ||||
Noir | 0,58Note de bas de page *** | 0,47 à 0,68 | 0,06 | −0,05 à 0,18 |
Asiatique | −0,07 | −0,16 à 0,01 | −0,05 | −0,14 à 0,03 |
Latino-américain | 0,06 | −0,04 à 0,17 | 0,12 | −0,01 à 0,25 |
Autre/mixte/information manquante | 0,16Note de bas de page *** | 0,10 à 0,23 | 0,25Note de bas de page *** | 0,19 à 0,31 |
Montant d’argent hebdomadaire ($ CA) (réf. : 0 $) | ||||
1 $ à 20 $ | 0,36Note de bas de page *** | 0,31 à 0,41 | 0,35Note de bas de page *** | 0,29 à 0,41 |
21 $ à 100 $ | 0,48Note de bas de page *** | 0,42 à 0,54 | 0,59Note de bas de page *** | 0,53 à 0,66 |
Plus de 100 $ | 0,52Note de bas de page *** | 0,46 à 0,59 | 0,74Note de bas de page *** | 0,67 à 0,80 |
Je ne sais pas | 0,31Note de bas de page *** | 0,25 à 0,37 | 0,31Note de bas de page *** | 0,24 à 0,37 |
Revenu médian des ménages du quartier de l’école ($ CA) (réf. : 25 000 $ à 50 000 $) | ||||
50 001 $ à 75 000 $ | 0,08Note de bas de page * | 0,00 à 0,16 | 0,05 | −0,08 à 0,17 |
75 001 $ à 100 000 $ | 0,03 | −0,06 à 0,12 | 0,00 | −0,14 à 0,13 |
Plus de 100 000 $ | 0,05 | −0,11 à 0,20 | −0,01 | −0,19 à 0,16 |
Province (réf. : Ontario) | ||||
Alberta | 0,23Note de bas de page * | 0,03 à 0,43 | 0,24Note de bas de page ** | 0,09 à 0,39 |
Colombie-Britannique | −0,27Note de bas de page *** | −0,37 à −0,16 | −0,05 | −0,18 à 0,08 |
Québec | −0,24Note de bas de page *** | −0,32 à −0,16 | −0,90Note de bas de page *** | −1,00 à −0,80 |
Indice d’urbanisation (réf. : Grand centre urbain) | ||||
Moyen centre urbain | 0,11Note de bas de page * | 0,01 à 0,21 | 0,06 | −0,06 à 0,18 |
Zone rurale | 0,18 | −0,02 à 0,37 | −0,14 | −0,35 à 0,08 |
Petit centre urbain | 0,17Note de bas de page *** | 0,09 à 0,26 | 0,08 | 0,00 à 0,17 |
Nombre de machines distributrices dans l’école | ||||
Machines distributrices de boissons (0 à 6) | −0,02 | −0,04 à 0,00 | −0,01 | −0,04 à 0,02 |
Règlement interdisant aux élèves de quitter le périmètre scolaire (réf. : Non) | ||||
Oui | −0,18Note de bas de page *** | −0,29 à −0,07 | −0,17Note de bas de page *** | −0,28 à −0,07 |
Abréviations : $ CA, dollars canadiens; est., estimation; IC, intervalle de confiance.
|
Différences relatives aux covariables liées aux élèves et aux écoles
Les élèves de 11e et 12e année sont plus susceptibles que les élèves de 9e année d’acheter des repas d’une source externe, et moins susceptibles de manger des repas préparés à la maison ou à la cafétéria et d’acheter des collations chez des détaillants en dehors de l’école, et ce, pour un plus grand nombre de jours de semaine. Les élèves de 10e année sont moins susceptibles de manger à la cafétéria que les élèves de 9e année. Pour les boissons sucrées, les élèves de la 10e à la 12e année sont plus susceptibles de consommer des cafés ou des thés sucrés, mais moins susceptibles de consommer des boissons gazeuses ou des boissons pour sportifs que les élèves de 9e année, pour un plus grand nombre de jours de semaine.
Les élèves s’identifiant comme noirs, latino-américains ou d’origine ethnique autre/mixte sont moins susceptibles que les élèves blancs de manger un lunch apporté de la maison et plus susceptibles de manger un repas provenant d’un restaurant rapide et des collations achetées dans les machines distributrices de l’école. Les élèves noirs ou d’origine ethnique autre/mixte sont également plus susceptibles que les élèves blancs de consommer des boissons sucrées et des collations achetées dans des commerces à l’extérieur de l’école pour un plus grand nombre de jours de semaine.
Les garçons sont moins susceptibles que les filles d’apporter un lunch préparé à la maison et plus susceptibles de consommer des repas provenant de restaurants rapides, des collations achetées dans les machines distributrices de l’école et des boissons gazeuses ou des boissons pour sportifs, tandis que les filles consomment des cafés ou des thés sucrés plus souvent dans la semaine que les garçons.
Les élèves ayant de l’argent à dépenser, quel que soit le montant, sont moins susceptibles d’apporter un lunch préparé à la maison, et plus susceptibles d’acheter un repas et des collations à l’école ou en dehors de l’école et de consommer des boissons sucrées pour un plus grand nombre de jours de semaine que les élèves qui n’ont pas d’argent à dépenser.
Pour les écoles, le nombre de machines distributrices de collations est associé positivement à l’achat par les élèves de collations dans les machines distributrices de l’école plus souvent durant la semaine, mais n’est pas associé à l’achat de collations à l’extérieur de l’école. Inversement, les machines distributrices de boissons ne sont pas associées à la consommation de boissons sucrées durant la semaine.
Sur le plan géographique, les élèves de la Colombie-Britannique et du Québec mangent plus souvent un lunch préparé à la maison que les élèves de l’Ontario, et achètent moins souvent un repas dans un restaurant rapide ou un autre restaurant. Les élèves du Québec, de la Colombie-Britannique et de l’Alberta achètent plus souvent la semaine des collations dans les machines distributrices de l’école que les élèves de l’Ontario, et les élèves de l’Alberta et de la Colombie-Britannique achètent également des collations à l’extérieur de l’école plus souvent que les autres. Les élèves de l’Alberta sont plus susceptibles que ceux de l’Ontario d’indiquer consommer des boissons gazeuses ou des boissons pour sportifs, tandis que les élèves de la Colombie-Britannique et du Québec sont moins enclins à le faire. De même, la consommation de cafés ou de thés sucrés est plus fréquemment rapportée par les élèves de l’Alberta et moins fréquemment rapportée par les élèves du Québec comparativement aux élèves de l’Ontario. Aucune différence entre les provinces n’a été associée à la probabilité que les élèves mangent un repas préparé à la cafétéria.
Les élèves des petits centres urbains sont moins susceptibles d’apporter un lunch préparé à la maison et plus susceptibles de consommer un repas acheté à la cafétéria et des boissons gazeuses ou des boissons pour sportifs pour un plus grand nombre de jours de semaine que les élèves des grands centres urbains. L’indice d’urbanisation n’est pas corrélé à l’achat de collations, l’achat de repas provenant de restaurants rapides ou d’un autre restaurant, ou la consommation de cafés ou de thés sucrés.
Enfin, les élèves qui fréquentent une école située dans un quartier où le revenu médian des ménages est de 50 001 $ à 75 000 $ sont moins susceptibles d’apporter un lunch préparé à la maison et plus susceptibles d’acheter un repas à la cafétéria pour un plus grand nombre de jours de semaine que ceux qui fréquentent une école située dans un quartier à faible revenu.
Différence entre les écoles dotées d’un règlement interdisant aux élèves de quitter le périmètre scolaire et les autres écoles
Il n’y a pas de différence quant au nombre de jours de semaine où les élèves sont susceptibles de manger un lunch préparé à la maison (estimation [est.] −0,23; intervalle de confiance [IC] à 95 % : −0,62 à 0,16) ou des collations achetées en dehors de l’école (est. 0,00; IC à 95 % : −0,37 à 0,37), selon s’ils fréquentent une école avec règlement interdisant aux élèves de quitter le périmètre scolaire ou une école sans ce type de règlement. La fréquentation d’une école dotée d’un règlement interdisant aux élèves de quitter le périmètre scolaire est associée à une probabilité accrue de manger des collations achetées dans les machines distributrices de l’école plus souvent la semaine (est. 0,42; IC à 95 % : 0,11 à 0,74) et à une probabilité moindre de manger un repas acheté dans un restaurant rapide ou un autre restaurant situé à l’extérieur de l’école (est. −0,45; IC à 95 % : −0,75 à −0,14). Enfin, les élèves qui fréquentent une école ayant adopté un règlement interdisant aux élèves de quitter le périmètre scolaire sont moins susceptibles que les autres de consommer des boissons sucrées, que ce soit des boissons gazeuses et des boissons pour sportifs (est. −0,18; IC à 95 % : −0,29 à −0,07) ou des cafés et des thés sucrés (est. −0,17; IC à 95 % : −0,28 à −0,07), pour un plus grand nombre de jours de semaine.
Analyse
Seules 16 des 134 écoles secondaires participantes de l’Ontario, de l’Alberta, du Québec et de la Colombie-Britannique ont indiqué avoir adopté un règlement interdisant aux élèves de quitter le périmètre scolaire durant les pauses au cours de la journée. Conformément à nos hypothèses, les élèves des écoles dotées d’un règlement de ce type sont plus susceptibles que les autres de manger des collations provenant des machines distributrices de l’école, et moins susceptibles de boire des boissons sucrées (boissons gazeuses, boissons pour sportifs et cafés ou thés sucrés) et d’acheter un repas dans un restaurant rapide ou un autre restaurant en semaine. Toutefois, les probabilités que les élèves apportent à l’école un lunch préparé à la maison, achètent un repas à la cafétéria de l’école ou mangent des collations provenant d’un dépanneur ou d’un détaillant similaire à l’extérieur de l’école ne diffèrent pas de manière significative entre les élèves fréquentent une école avec règlement leur interdisant de sortir du territoire scolaire et les autres élèves. Par conséquent, et bien qu’il faille mener des études prospectives pour analyser les changements chez les élèves après la mise en œuvre d’un règlement de ce type, les résultats transversaux cadrent avec les données probantes recueillies aux États-UnisNote de bas de page 29 selon lesquelles les règlements interdisant aux élèves de quitter le périmètre scolaire sont susceptibles de contribuer à améliorer l’alimentation des adolescents, car ils empêchent l’environnement alimentaire de la vente au détail à l’extérieur de l’école de compromettre les politiques alimentaires en milieu scolaire.
Compte tenu de la probabilité accrue d’acheter des collations dans les machines distributrices des écoles, mais de l’absence de lien avec la fréquence de consommation de lunchs préparés à la maison, les règlements interdisant aux élèves de quitter le périmètre scolaire pourraient inciter uniquement les élèves qui achètent déjà de la nourriture à acheter leurs repas à l’école plutôt que de les acheter chez un détaillant en dehors de l’école. Par conséquent, l’influence de l’environnement alimentaire en milieu scolaire sur l’alimentation des élèves est probablement plus marquée dans les écoles dotées d’un règlement interdisant aux élèves de quitter le périmètre scolaire. Cependant, selon les recherches dont on dispose, de nombreuses écoles ne respectent pas les politiques alimentaires en ce qui concerne les aliments et les boissons vendus à la cafétéria ou dans les machines distributricesNote de bas de page 3Note de bas de page 37Note de bas de page 38Note de bas de page 39Note de bas de page 40. Au Canada, où la réglementation sur l’alimentation en milieu scolaire est uniquement basée sur la rentabilité des cafétérias scolaires et se limite aux aliments vendus dans les écoles, on sait que l’accès des élèves aux détaillants alimentaires externes constitue un obstacle majeur à la création d’un environnement alimentaire sain dans les écolesNote de bas de page 41: dans ce cadre, les règlements interdisant aux élèves de quitter le périmètre scolaire sont susceptibles de favoriser le respect des politiques, car ils réduisent les sources de concurrence qui sapent la viabilité financière des cafétérias scolaires. De plus, l’adoption d’un règlement interdisant aux élèves de quitter le périmètre scolaire constitue une intervention rentable pour les écoles, puisqu’elle permet des gains de revenus potentiels pour les cafétérias scolaires (mais aussi des pertes potentielles pour les entreprises environnantes).
Les résultats tendent également à montrer que, parmi les variables analysées, le montant d’argent à dépenser est le principal déterminant des comportements alimentaires des adolescents les jours d’école. Les élèves qui ont de l’argent à dépenser, quel que soit le montant, sont moins susceptibles d’apporter un lunch préparé à la maison et plus susceptibles de consommer des boissons sucrées et d’acheter un repas ou des collations à l’école ou à l’extérieur de l’école pour un plus grand nombre de jours de semaine que les élèves qui n’ont pas d’argent à dépenser. Les résultats confirment l’importance de prendre en compte le pouvoir d’achat des élèves, et pas simplement le statut socioéconomique du ménage ou du quartier, car un faible statut socioéconomique familial est généralement associé à une alimentation de moindre qualité chez les adolescents (en particulier, consommation accrue de repas rapidesNote de bas de page 19 et de boissons sucréesNote de bas de page 42). Le Canada demeure l’un des rares pays industrialisés à ne pas avoir mis en place de programme national universel d’alimentation en milieu scolaire, qui permettrait à tous les élèves d’avoir accès gratuitement à des aliments sains lorsqu’ils sont à l’école.
Conformément aux recherches précédentesNote de bas de page 29, on a observé une association positive entre la présence de machines distributrices dans les écoles et l’achat par les élèves de collations dans ces machines. Les machines distributrices de boissons dans les écoles ne sont pas associées, à l’inverse, à une consommation de boissons sucrées en semaine, un constat auquel on pouvait s’attendre compte tenu de la réglementation relative à la vente de boissons sucrées dans les écoles. Toutefois, les problèmes de conformité semblent courantsNote de bas de page 39. Des études antérieures ont montré une consommation accrue de boissons sucrées associée à leur vente dans les écolesNote de bas de page 18Note de bas de page 43.
Comme on s’y attendait, compte tenu de leur plus grande autonomie, les élèves de la 10e à la 12e année sont plus susceptibles d’acheter leur repas à l’extérieur de l’école pour un plus grand nombre de jours de semaine, et moins susceptibles de manger un repas préparé à la maison ou à la cafétéria. Cependant, contrairement à ce qui était attendu, ils achètent moins souvent des collations dans des dépanneurs et des détaillants à l’extérieur de l’école que les élèves de 9e année. Contrairement au dîner, il est plausible que les collations en semaine aient été achetées avant ou après l’école. Les comportements d’achat en dehors des heures de classe peuvent également expliquer l’absence de lien entre les règlements interdisant aux élèves de quitter le périmètre scolaire et l’achat de collations dans les commerces de détail en dehors de l’école. En revanche, Neumark-Sztainer et ses collaborateursNote de bas de page 29 ont constaté que les élèves des écoles américaines de banlieue dotées d’un règlement interdisant aux élèves de sortir du périmètre scolaire pendant l’heure du dîner sont moins susceptibles de manger des aliments achetés dans un dépanneur que les élèves qui fréquentent des écoles sans règlement de ce type. D’autres chercheurs ont fait remarquer que les règlements interdisant aux élèves de quitter le périmètre scolaire n’empêcheraient pas les élèves d’acheter de la nourriture chez les détaillants alimentaires à proximité avant ou après l’écoleNote de bas de page 20. Bien que ce puisse être le cas, en particulier pour les collations, ces résultats transversaux préliminaires tendent à indiquer une réduction globale de la consommation de boissons sucrées et de repas provenant de restaurants rapides ou d’autres restaurants durant la semaine. De plus, étant donné que les élèves consomment au moins le tiers de leur apport calorique total pendant les heures de classeNote de bas de page 27Note de bas de page 44Note de bas de page 45, l’amélioration de leur repas du midi pourrait grandement contribuer à améliorer l’alimentation de la population.
Les lunchs préparés à la maison sont généralement associés à une alimentation plus saine que les repas achetés à la cafétéria de l’école, dans des restaurants rapides ou d’autres restaurantsNote de bas de page 25, mais le fait d’interdire aux élèves de quitter le périmètre scolaire ne semble pas les inciter davantage à apporter un lunch de la maison. Dans une étude de type photovoix, les élèves du secondaire qui apportaient un lunch préparé à la maison le percevaient comme une option plus saine, plus abordable et plus pratique qui permettait l’autonomie, tandis que les élèves qui achetaient de la nourriture à l’extérieur de l’école ont mentionné comme raisons la proximité, le faible coût, la possibilité d’interaction sociale et la perception d’une meilleure qualité des alimentsNote de bas de page 46. Les jeunes ont indiqué qu’ils souhaitaient disposer d’options plus saines à l’école et participer à la prise de décision concernant les aliments vendus à l’écoleNote de bas de page 46, ce qui pourrait être un facteur essentiel de la mise en œuvre des politiques. Les écoles qui envisagent d’adopter un règlement interdisant aux élèves de quitter le périmètre scolaire devraient chercher des moyens de faire participer les élèves au processus.
Au-delà de la nourriture, les élèves insistent sur l’importance d’avoir des lieux pour manger et socialiser en sécurité et dans le confort à l’heure du dînerNote de bas de page 46. Les cafétérias scolaires sont considérées comme bruyantes et chaotiquesNote de bas de page 46 et les longues files d’attente pour acheter de la nourriture ou utiliser les micro-ondes dissuadent les élèves de rester à l’école pour le dînerNote de bas de page 47. Pour y remédier, certains chercheurs ont suggéré de décaler les heures de dîner et de créer des espaces extérieurs plus conviviaux pour les jeunesNote de bas de page 47. En fait, les écoles autorisent les élèves à quitter le périmètre scolaire, entre autres, pour réduire l’encombrement des cafétérias pendant l’heure du dînerNote de bas de page 31. Les écoles situées dans un quartier accessible à pied et où il y a des détaillants alimentaires à proximité sont plus susceptibles d’autoriser les élèves à sortir du territoire scolaireNote de bas de page 48. Les écoles autorisent les sorties également pour favoriser l’autonomie et l’indépendance des adolescents. Dans les écoles américaines qui ont cessé d’interdire aux élèves de quitter le périmètre scolaire, les élèves de 11e et 12e année se sentaient davantage maîtres de leur environnement que leurs camarades fréquentant une école interdisant les sorties. Cependant, certains élèves présentaient aussi des problèmes de discipline, de mauvaises notes, un faible sentiment d’appartenance à l’école et une diminution de leur vie sociale, tant à l’école qu’en dehors de l’écoleNote de bas de page 49. D’autres recherches doivent être menées pour comparer les effets positifs et négatifs de l’adoption ou non d’un règlement interdisant aux élèves de quitter le périmètre scolaire sur divers résultats comportementaux, sociaux et mentaux.
Forces et limites
Notre étude est la première à s’intéresser, dans les écoles canadiennes, au lien entre les comportements alimentaires des adolescents et la présence ou l’absence d’un règlement interdisant aux élèves de quitter le périmètre scolaire. L’un des principaux points forts de l’étude réside dans les données recueillies sur les élèves et les écoles dans des contextes variés et dans quatre provinces canadiennes. Toutefois, plusieurs limites doivent être prises en considération.
Premièrement, même si la grande taille de l’échantillon et le taux de réponse favorable incitent à la généralisation, l’étude COMPASS n’a pas été conçue de manière à être représentative.
Deuxièmement, les données manquantes pour les résultats pourraient avoir faussé ces derniers. Toutefois, étant donné la taille importante de l’échantillon, la quantité minimale de données manquantes et la nature non délicate des questions sur les comportements alimentaires, nous pensons que l’incidence de ces données manquantes est minime. Nous avons également pu conserver de nombreux élèves dans l’analyse en incluant les données sur les covariables manquantes (sexe, niveau scolaire, origine ethnique) comme des choix de réponse valides.
Troisièmement, des facteurs de confusion supplémentaires qui n’ont pas été pris en compte ont pu contribuer aux différences constatées dans l’étude. Par exemple, l’étude tient compte de l’urbanisation, de la province, du revenu médian des ménages et du nombre de machines distributrices dans l’école, mais pas des différences dans l’environnement alimentaire réel à proximité de l’école. L’indice d’urbanisation n’est pas parfaitement représentatif des différences dans les environnements alimentaires de vente au détail autour des écoles.
Quatrièmement, les principales limites de l’étude sont l’utilisation de données transversales et de mesures alimentaires autodéclarées. Les études futures devraient être fondées sur des modèles prospectifs et quasi-expérimentaux pour permettre de déterminer si les élèves achètent de la nourriture à l’intérieur de l’école plutôt qu’à l’extérieur de l’école après l’adoption d’un règlement leur interdisant de quitter le périmètre scolaire. Les comportements déclarés par les élèves et les règlements déclarés par les administrateurs scolaires peuvent être sujets à des biais de rappel et de désirabilité sociale. En outre, les mesures alimentaires ont été limitées à l’évaluation du nombre de jours où les élèves ont adopté le comportement indiqué, sans tenir compte de la fréquence au sein d’une même journée.
Cinquièmement, les mesures liées aux boissons sucrées et aux collations évaluent la consommation et les achats en semaine, mais elles n’indiquent pas à quel moment dans la journée l’achat a été fait (c.-à-d. pendant les heures de classe ou avant ou après l’école). Cependant, connaître la consommation totale en semaine demeure le plus important pour évaluer les conséquences sur l’alimentation.
Conclusion
Au Canada, les environnements alimentaires autour des écoles sont un obstacle majeur à l’application efficace des politiques alimentaires en milieu scolaire, puisqu’ils ne sont pas visés par la réglementation provinciale et territorialeNote de bas de page 14Note de bas de page 41. Les règlements interdisant aux élèves de quitter le périmètre scolaire sont susceptibles de protéger les adolescents des environnements alimentaires à proximité des écoles et d’améliorer la qualité de leur alimentation. Ils peuvent notamment réduire la consommation de boissons sucrées et de repas provenant de restaurants rapides ou d’autres restaurants en semaine, mais, par ailleurs, leur incidence sur la qualité de l’alimentation risque de dépendre des aliments vendus dans les écoles. Comme les élèves qui achètent déjà de la nourriture pourraient cesser de l’acheter dans les commerces de détail à l’extérieur de l’école et l’acheter plutôt à l’école, il est donc important de créer des environnements alimentaires sains dans les écoles et d’encourager les élèves à apporter des lunchs préparés à la maison. Des études futures reposant sur des modèles longitudinaux expérimentaux devront être réalisées pour déterminer l’incidence des règlements interdisant aux élèves de quitter le périmètre scolaire sur l’alimentation des élèves, sur divers autres comportements en matière de santé et sur les résultats sociaux, mentaux et scolaires.
Remerciements
Les auteurs tiennent à remercier les écoles, les commissions scolaires et les élèves qui ont participé à l’étude COMPASS, ainsi que tous les membres du personnel et de l’équipe COMPASS.
Financement
L’étude COMPASS a reçu le soutien d’une subvention transitoire de l’Institut de la nutrition, du métabolisme et du diabète des Instituts de recherche en santé du Canada (IRSC), grâce à l’attribution du financement prioritaire « Obesity-Interventions to Prevent or Treat » (Interventions pour prévenir ou traiter l’obésité) (OOP-110788; subvention accordée à S.L.), d’une subvention de fonctionnement de l’Institut de la santé publique et des populations des IRSC (MOP-114875; subvention accordée à S.L.), d’une subvention de projet des IRSC (PJT-148562; subvention accordée à S.L.), d’une subvention de projet des IRSC (PJT-159693; subvention accordée à K.P.) et d’un accord de financement de la recherche conclu avec Santé Canada (no 1617-HQ-000012; accord conclu avec S.L.). La collecte de données au Québec dans le cadre de l’étude COMPASS est financée par le ministère de la Santé et des Services sociaux du Québec et par la Direction régionale de santé publique du CIUSSS de la Capitale-Nationale.
Conflits d’intérêts
Les auteurs déclarent n’avoir aucun conflit d’intérêts.
Contributions des auteurs et avis
KAP et AGC ont conçu le manuscrit. KAP en a dirigé la rédaction et rédigé la première ébauche. MM a participé à l’analyse documentaire. WQ a procédé à l’analyse statistique. STL est le principal responsable de l’étude COMPASS. Tous les auteurs (KAP, AGC, WQ, MM, MV, STL) ont participé à la conception de l’étude, ont contribué à l’interprétation des résultats, ont donné leur avis sur les diverses versions et ont approuvé la version finale de l’article.
Le contenu de l’article et les points de vue qui y sont exprimés n’engagent que les auteurs; ils ne correspondent pas nécessairement à ceux du gouvernement du Canada.