COVID-19 and federal prisons

 Download this article as a PDF
 Download this article as a PDFPublished by: The Public Health Agency of Canada
Issue: Volume 47-01: Foodborne and Animal Contact Disease Outbreaks
Date published: January 2021
ISSN: 1481-8531
Submit a manuscript
About CCDR
Browse
Volume 47-01, January 2021: Foodborne and Animal Contact Disease Outbreaks
Surveillance
A time-series analysis of testing and COVID-19 outbreaks in Canadian federal prisons to inform prevention and surveillance efforts
Alexandra Blair1, Abtin Parnia1, Arjumand Siddiqi1,2
Affiliations
1 Dalla Lana School of Public Health, University of Toronto, Toronto ON
2 Gillings School of Global Public Health, University of North Carolina-Chapel Hill, Chapel Hill, NC, US
Correspondence
Suggested citation
Blair A, Parnia A, Siddiqi A. A time-series analysis of testing and COVID-19 outbreaks in Canadian federal prisons to inform prevention and surveillance efforts. Can Commun Dis Rep 2021;47(1):66–76. https://doi.org/10.14745/ccdr.v47i01a10
Keywords: disease outbreak, COVID-19, prisons, prisoners, Canada
Abstract
Background: Approximately 14,000 adults are currently incarcerated in federal prisons in Canada. These facilities are vulnerable to disease outbreaks and an assessment of coronavirus disease 2019 (COVID-19) testing and outcomes is needed. The objective of this study was to examine outcomes of COVID-19 testing, prevalence, case recovery and death within federal prisons and to contrast these data with those of the general population.
Methods: Public time-series outcome data for prisoners and the general population were obtained on-line from the Correctional Service of Canada and the Public Health Agency of Canada, respectively, from March 30 to May 27, 2020. Prison, province and sex-specific frequency statistics for each outcome were calculated. A total of 50 facilities were included in this study.
Results: Of these 50 facilities, 64% reported fewer individuals tested per 1,000 population than observed in the general population and 12% reported zero tests in the study period. Testing tended to be reactive, increasing only once prisons had recorded positive tests. Six prisons reported viral outbreaks, with three recording over 20% cumulative COVID-19 prevalence among prisoners. Cumulatively, in prisons, 29% of individuals tested received a positive result, compared to 6% in the general population. Two of the 360 cases died (0.6% fatality). Four outbreaks appeared to be under control (more than 80% of cases recovered); however, sizeable susceptible populations remain at risk of infection. Female prisoners (5% of the total prisoner population) were over-represented among cases (17% of cases overall).
Conclusion: Findings suggest that prison environments are vulnerable to widespread severe acute respiratory syndrome coronavirus 2 (SARS-CoV-2 ) transmission. Gaps in testing merit public health attention. Symptom-based testing alone may not be optimal in prisons, given observations of widespread transmission. Increased sentinel or universal testing may be appropriate. Increased testing, along with rigorous infection prevention practices and the potential release of prisoners, will be needed to curb future outbreaks.
Introduction
In the context of the coronavirus disease 2019 (COVID-19) pandemic, several factors place prisoner populations at particularly high risk of severe acute respiratory syndrome coronavirus 2 (SARS-CoV-2 ) infection and related complications. These include crowded living conditionsFootnote 1, ageing prisoner populations—particularly in federal prisonsFootnote 2, high prevalence of chronic disease comorbidities and immunocompromised health status associated with substance use and blood-borne infectionsFootnote 3 and the daily entrance of custodial and healthcare staff from outside communities experiencing possible community-based transmission of the virus. In turn, COVID-19 outbreaks within prisons have implications for broader community health, both as vectors of community transmission and through pressure on local healthcare services Footnote 4.
Early reports suggest that several prisons in the United States (US) are experiencing COVID-19 outbreaksFootnote 5Footnote 6Footnote 7. In this study, Canadian data was used on the number of tests performed and positive tests recorded in the prisoner population to summarize the prevalence of testing and test positivity for each federal prison in Canada and for prisoner populations by province, and to contrast these with prevalence estimates from prisons' respective provincial jurisdictions. As six Canadian facilities were experiencing COVID-19 outbreaks between March 30 and May 27, 2020, data was used on positive tests, case recovery and death among prisoners to describe COVID-19 prevalence, case fatality and the proportion of cases recovered for each of these facilities. These data were then compared with data for the general population in each jurisdiction. Data on prisoners' hospitalization status and admission to intensive care were not available, nor were data on outcomes for prison staff.
Methods
Data and study population
Cumulative data reported between March 30 through May 27, 2020 were obtained from the Correctional Service of Canada (CSC) COVID-19 reporting webpageFootnote 8. These data included the number of prisoners tested, positive (i.e. confirmed cases), negative and inconclusive tests, and cases who recovered or died. For reference, data on the total number of individuals' tested, cases, recoveries and deaths for the Canadian population were extracted from the Public Health Agency of Canada's COVID-19 reporting webpageFootnote 9. During the study period, all laboratory testing to confirm cases across provinces was conducted using nucleic acid amplification testing assays (e.g. real-time polymerase chain reaction or nucleic acid sequencing)Footnote 10. CSC did not disclose publicly, nor in response to repeated requests (Personal communication, Blair A. to Commissioner Anne Kelly May 21, 2020 and May 26, 2020: Request for additional COVID-19 data and information for CSC institutions. 2020), their operational definitions of recovered cases. Based on extant guidelines, it was assumed that recovered cases are those for whom 10 to 14 days had elapsed since the start of their symptoms and who were symptom-free for at least two to three days by the end of this waiting periodFootnote 11Footnote 12.
Several measures were assessed (vide infra), including the following: total individuals tested and cases; individuals tested per 1,000 population; test-positive rate and prevalence among individuals tested. For test-positive rate and prevalence, we calculated prison, sex and province-specific frequency estimates. No other disaggregated data were available (e.g. by age or risk factors). Prison population denominators were approximated by their maximum capacityFootnote 13. Exact prisoner counts were not available publicly, nor following repeated requests to CSC (Personal communication, Blair A. to Commissioner Anne Kelly May 21, 2020 and May 26, 2020: Request for additional COVID-19 data and information for CSC institutions. 2020); however, the average daily population of federal prisoners was 13,996 in 2019Footnote 14. As this represents 85% of the total maximum federal prison capacity, all population-denominator estimates in this study were estimated assuming 85% capacity. These estimates were bounded, reflecting a possible range of occupancy levels from 70% to 100%, which represented a population size that was 15% lower and higher, respectively, of the population size in 2019. General population denominator counts were obtained from Statistics Canada population estimates for the first quarter of 2020Footnote 15.
To provide a timeline for the evolution of cases in federal prisons with one or more cases at the time of analysis the Wayback Machine (https://archive.org/) was used. All available previous copies of CSC's COVID-19 reporting webpage were obtained, reporting on data between March 30 and May 9, 2020Footnote 8. Between May 10 and 27, 2020, reported data was extracted daily from the CSC's website. Data updates were not available every day, and CSC did not publicly disclose their reporting schedule, despite several requests (Personal communication, Blair A. to Commissioner Anne Kelly May 21, 2020 and May 26, 2020: Request for additional COVID-19 data and information for CSC institutions. 2020). Dates for which cumulative data were available and from which a time-series could be created are described in the Supplemental material (PDF).
Given that several federal prisons have units that operate under different security levels or that offer distinct services (e.g. treatment facilities), and given that population capacity was not always available for each separate unit, five multi-complex facilities were grouped together in this analyses: the Federal Training Center (Multi-Level Unit and Minimum facilities); Pacific (Pacific Institution, Regional Treatment Center and Reception Center); Millhaven (Millhaven Institution, Regional Hospital and Regional Treatment Center); Collins Bay (Minimum and Regional Treatment Center); and Joyceville (Joyceville Institution and Minimum facilities). Thus, with these groupings data was recorded from 51 facilities. Population capacity data was unavailable for one facility. A complete case analysis of the remaining 50 facilities (98% of facilities) was performed and all data are summarized in the Supplemental material.
Measures
The measures assessed were operationalized as follows:
Total individual tests and cases: From the total number of individuals tested, "positive tests" were considered confirmed cases.
Individuals tested per 1,000 population: Individuals tested per 1,000 population were estimated by dividing the total number of individuals tested by the total population in each facility, in the prisoner population of each province, and the general population of each province, respectively, and multiplying the fraction by 1,000.
Test-positive rate and prevalence: The number of cases was divided by the total number of individuals tested to yield the test-positive rate in each federal prison, provincial federal prisoner population and the provincial general population. The COVID-19 prevalence was obtained by dividing the total number of positive tests by the population of each prison, provincial prisoner population, and general provincial population, respectively.
Population categories in federal prisons with outbreaks—susceptible, infected, recovered and died: As has been done for long term care homes, prisons with one or more COVID-19 cases among prisoners were considered as those experiencing outbreaksFootnote 16. For each calendar day of the study period, the prisoner population of each prison facing an outbreak were classified into four categories. We estimated the number of prisoners who were "susceptible" to infection by subtracting the total number of confirmed active, recovered and deceased cases from the maximum population capacity. Prisoners considered "infected" were those with positive tests who had yet to recover or die. Totals for cases who recovered or died from COVID-19 were obtained directly from the data sourcesFootnote 8Footnote 17.
Results
Testing inside versus outside federal prisons
Six of the 50 facilities studied (12%) had recorded a complete absence of testing (Figure 1). Assuming 85% occupancy, 64% of all facilities (n=32/50 facilities) recorded fewer tests than the Canadian general population average of 40 individuals tested per 1,000 population (58% to 74% if 100% to 70% occupancy is assumed, respectively). Facilities with higher levels of testing tended to be those that had reported a higher COVID-19 prevalence (Figure 1).
Figure 1: Cumulative totals of individuals tested per 1,000 population, test-positive rate, case prevalence and proportion recovered for Canadian federal prisons as of May 27, 2020Figure 1 footnote aFigure 2 footnote b

Text description: Figure 1
Figure 1: Cumulative totals of individuals tested per 1,000 population, test-positive rate, case prevalence and proportion recovered for Canadian federal prisons as of May 27, 2020Figure 1 footnote aFigure 2 footnote b
In this four-panelled horizontal bar graph, the vertical axis lists each federal prison, as well as one entry for the Canadian general population overall, and the Canadian federal prison overall. For each vertical axis entry, four bar graph panels are presented: (panel a) cumulative total individuals tested per 1,000 population, with error bars based on 100% to 70% prison occupancy; (panel b) test positive rate, expressed as a proportion (%); (panel c) case prevalence, expressed as a proportion (%), with error bars based on 100% to 70% prison occupancy; and (panel d) the proportion of cases recovered. In the general Canadian population, 40 individuals tested per 1,000 population had been conducted, compared to 88 individuals tested per 1,000 population inside prisons overall. However, 32 of 50 facilities (64%) recorded fewer tests than the Canadian general population average. Most facilities with recorded cases reported high test-positive rates (>40%). In the latter, the prevalence ranged from 0.2% (one case) to 56% (120 cases), and in all but one facility, over 80% had recovered.
On average, regardless of what level of prisoner occupancy was assumed (70% to 100%), Alberta, New Brunswick and Nova Scotia tested fewer individuals per 1,000 population inside federal prisons than in the general population of each of their respective jurisdictions (Figure 2). As an example, on May 27, 2020, these three provinces recorded 52%, 25% and 62% (respectively) fewer individuals tested per 1,000 population inside federal prisons (assuming 85% occupancy) than in their general populations. Under-testing per 1,000 population has been consistent inside the federal prisons of the latter three provinces since late-March 2020 (Figure 3).
Figure 2: Cumulative totals of individuals tested per 1,000 population, test-positive rate, case prevalence and proportion recovered for federal prison and general populations, by province, as of May 27, 2020Figure 2 footnote a

Text description: Figure 2
Figure 2: Cumulative totals of individuals tested per 1,000 population, test-positive rate, case prevalence and proportion recovered for federal prison and general populations, by province, as of May 27, 2020Figure 2 footnote a
In this four-panelled horizontal bar graph, the vertical axis lists all provinces as well as one entry for Canada overall. For each vertical axis entry, four bar graph panels are presented: (panel a) cumulative total individuals tested per 1,000 population; (panel b) test positive rate, expressed as a proportion (%); (panel c) case prevalence, expressed as a proportion (%); and (panel d) the proportion of cases recovered. In each panel, outcomes are presented for the Canadian general population and the federal prison population overall. On average, New Brunswick, Nova Scotia, and Alberta saw fewer individual tested per population in prisons than in their general population. The test-positive rate is higher in prisons (29%) than in the general population (6%)—with the highest rates observed in prisons in British Columbia (31%) and Québec (44%). Prevalence is higher in prisoner populations (3%) than in the general population (0.2%)—with the highest prevalence observed in prisoner populations in British Columbia (5%) and Québec (7%). Overall, the proportion of cases recovered was higher inside prisons than in the general provincial populations. The largest difference was observed in Québec, where 31% of cases in the general population had recovered compared to 85% in federal prisons.
Figure 3: Timeline of cumulative total of individuals tested per 1,000 population in federal prisons and the general population, by province, from March 30 to May 27, 2020Figure 3 footnote a

Text description: Figure 3
Figure 3: Timeline of cumulative total of individuals tested per 1,000 population in federal prisons and the general population, by province, from March 30 to May 27, 2020Figure 3 footnote a
This graph shows the cumulative total number of individuals tested per 1,000 population in the general Canadian population and the federal prison population across time (the horizontal axis depicts continuous dates from March 30 to May 27, 2020), with separate panels for each province. Error bars around the federal penitentiary time-series line are based on potential 100% to 70% occupancy levels. New Brunswick, Nova Scotia and Alberta have been testing fewer individuals per 1,000 population inside prisons than in the general population consistently since late-March 2020. Rates were similar in both populations in Manitoba and Saskatchewan. Québec has performed more tests per population in prisons than in the general population, consistently since April 15, 2020. In Ontario, testing per population was higher in prisons was higher than in the general population until mid-May 2020, after which rates were similar in both populations.
In the six institutions with outbreaks, the increase in the number of individuals tested largely occurred after COVID-19 outbreaks had already been established, with high test-positive rates among individuals tested, indicating potential systematic under-testing (Figure 4). The exceptions were Québec's Federal Training Center and British Columbia's Matsqui Institution, which recorded negative tests among prisoners before the observations of positive tests. Two cases among staff members at Québec's Federal Training Centre were confirmed on April 12, 2020, which may explain early testing efforts in this prisonFootnote 18. Small changes in cumulative totals of tests were reported for Joliette, Grand Valley, and Port Cartier prisons throughout the study period (Figure 4), which were attributed by the CSC to data reconciliation efforts.
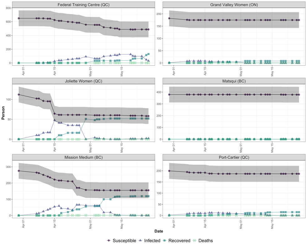
Figure 4: Testing patterns and outcomes between March 30 and May 27, 2020, in six prisons with one or more recorded COVID-19 casesFigure 4 footnote a

Text description: Figure 4
Figure 4: Testing patterns and outcomes between March 30 and May 27, 2020, in six prisons with one or more recorded COVID-19 casesFigure 4 footnote a
This stacked bar chart shows the total number of inconclusive, pending, negative and positive test results per day, across time (the horizontal axis depicts continuous dates from March 30 to May 27, 2020) for each of the six prisons with one or more COVID-19 cases. In these facilities, the onset of concentrated testing efforts largely occurred after COVID-19 outbreaks had already been established. In all facilities except Grand Valley and Matsqui, positive test results were recorded as soon as testing began. The high proportion of positive results recorded consistently between March 30 and May 27, 2020, indicate potential under-testing in many facilities.
Prevalence of COVID-19 inside versus outside federal prisons
Six federal prisons had recorded at least one COVID-19 case (Figure 1). These prisons were mostly located near major city centers (Montréal, Vancouver, Kitchener/Toronto). Three prisons were located in Québec; the Federal Training Center (162 cases, 21% to 30% COVID-19 prevalence, assuming 100% to 70% occupancy, respectively) and Joliette facilities (54 cases, 41% to 58% prevalence based on 100% to 70% occupancy) are located near Montréal, and the Port-Cartier Institution is located in a relatively remote region of the province, Côte Nord (15 cases, 6% to 9% prevalence, assuming 100% to 70% occupancy). In British Columbia, facilities with outbreaks included the Mission Medium Security (120 cases, 37% to 53% prevalence, assuming 100% to 70% occupancy) and Matsqui Facilities (one case, 0.2% to 0.3% prevalence, assuming 100% to 70% occupancy), both near Vancouver. Ontario's Grand Valley Institution, in Kitchener, recorded eight cases (4% to 5% prevalence, assuming 100% to 70% occupancy).
Overall, approximately 3% of the total prisoner population contracted COVID-19 (2% to 3% assuming 100% to 70% occupancy), in contrast to a prevalence of 0.2% in the general Canadian population (Figure 2).
As of May 27, 2020, there were 62 cases of COVID-19 in women's prisons in Canada. These represented 17% of the total of 360 cases in federal prisons, despite women representing only 5% of the total federal prisoner capacity.
Proportion of cases recovered and case fatality inside versus outside federal prisons
The proportion of cases who had recovered inside federal prisons that had experienced outbreaks was 0% in British Columbia's Matsqui Institution and 80% to 100% in the other five prisons with outbreaks (Figure 1). In most of these prisons, a majority of prisoners remained susceptible (Figure 5).
Figure 5: Number of susceptible prisoners, infected prisoners, recovered cases and deaths between March 30 and May 27, 2020, in Canadian federal prisons with one or more recorded COVID-19 casesFigure 5 footnote a

Text description: Figure 5
Figure 5: Number of susceptible prisoners, infected prisoners, recovered cases and deaths between March 30 and May 27, 2020, in Canadian federal prisons with one or more recorded COVID-19 casesFigure 5 footnote a
This figure plots the number of susceptible, infected, recovered, and deceased prisoners (each group has a separate time-series line) per day, across time (the horizontal axis depicts continuous dates from March 30 to May 27, 2020), for each of the six prisons with one or more COVID-19 cases. A drop in susceptible population was observed for Joliette and Mission Medium facilities, where susceptible populations were reduced by almost half. By the end of the study period, most cases in the latter prison had recovered. In the other facilities, most prisoners remained susceptible to infection.
As of May 27, 2020, two of the 360 cases across all federal prisons had died (0.6% fatality), which is less than 10% of the crude estimate of case fatality in the general population (7.7% fatality: 6,765 deaths/87,519 cases). Given that up to 80% of COVID-19 deaths in Canada were estimated to have occurred in long term care homesFootnote 19, the case fatality in federal prisons is more similar to the crude rate in the general population outside of long term care homes (approximately 1.6%; [6,785 deaths x 20%=1,357 deaths]/87,519 cases). Case fatality estimates should be compared with caution, however, given the likely underestimation of the true number of cases both inside and outside federal prisons.
Discussion
Between the start of the pandemic and May 27, 2020, the number of individuals tested per capita had been consistently lower in the majority (64%, if 85% occupancy is assumed) of federal prisons than in the Canadian general population. Six of the 50 prisons in this study (12%) had conducted zero tests. Six prisons had experienced outbreaks and two of these were women's prisons. These six prisons reported higher levels of testing compared with general provincial and national rates. Increases in the number of individuals tested inside these prisons tended to be in reaction to the emergence of cases. Though most outbreaks appeared to be under control by the end of the study period, with a large proportion of cases having recovered (more than 80%), sizeable susceptible populations remain at risk of future outbreaks.
Findings of the extensive spread of SARS-CoV-2 inside several Canadian prisons, indicated by elevated cumulative prevalence estimates, are consistent with epidemiologic findings from past prison outbreaks of respiratory diseases such as influenza, adenoviruses and tuberculosisFootnote 20 Footnote 21 Footnote 22. On April 21, 2020, the proportion of Canadian federal prisons reporting at least one COVID-19 case (10%) was comparable to the 8% observed in a recent census of 420 correctional facilities (covering 69% of jurisdictions) in the US on that dateFootnote 6. Overall case fatality estimates in correctional facilities in the US (1.4% to 1.8%) Footnote 6 Footnote 7 are higher than those observed in federal prisons in Canada (0.6%). However, these comparisons should be interpreted with caution, given the differences in the characteristics of prisoners, prison facilities and COVID-19 epidemiology between the US and Canada. Though case fatality in prisons is slightly lower than what has been observed for the general population, the observed elevated cumulative COVID-19 prevalence inside federal prisons and the potential for extensive disease spread among susceptible populations are of significant importance for public health and health equity. This is due to the elevated prevalence of morbidity-related risk factors among prisoners, such as older age, chronic conditions and immunocompromised health statusFootnote 2Footnote 3, and to the over-representation of Indigenous and racialized communities within the Canadian correctional facilities systemFootnote 23.
The finding of six outbreaks among 50 federal prisons highlights the importance of both prisoners and staff upholding rigorous infection prevention and control practicesFootnote 24. On March 30, 2020, CSC reported that they were collaborating with infection prevention specialists, providing masks, soap and hand sanitizers to staff and prisoners, increasing facility cleaning and disinfection, and delivering education on recommended hygiene practicesFootnote 25. Though audits of facilities have reportedly been conducted, these have not been made available to the publicFootnote 26, and inconsistencies in application across facilities have been reported Footnote 27. CSC paused all family visits, temporary absences, prisoner transfers and all non-critical programs and services. CSC also implemented lockdowns, isolated cases and symptomatic prisoners, and limited out-of-cell and outdoor timeFootnote 25. Though these interventions limit potential community and inter-prisoner contact, concerns regarding the violation of statutory obligations, legal rights and potential harm to psychological well-being have been raised by the Office of the Correctional Investigator of CanadaFootnote 26 and through several lawsuitsFootnote 28Footnote 29. Epidemiology scholars and legal experts have emphasized the need to consider releasing prisoners in order to reduce the proportion of susceptible individuals within correctional facilitiesFootnote 4. Though a decline in federal prisoner population was reported in April and May of 2020, this has been attributable to reductions in sentencing and admissions rather than to prisoner releaseFootnote 26. CSC reported the screening of all staff and prisoners based on symptom presentation, and of prisoners and staff upon arrival to facilitiesFootnote 25. A more proactive testing approach may be needed to help curb the size of potential future COVID-19 outbreaks in Canadian correctional facilities, while avoiding the use of interventions with harmful social or mental health consequences. Since up to 60% of COVID-19 cases may be asymptomaticFootnote 30Footnote 31Footnote 32, universal testingFootnote 24Footnote 33 may be prudent in correctional facilities with one or more cases. On April 22, 2020, British Columbia's Mission Institution, which had previously reported a large outbreak, reported the planning of universal testing of all prisoners and staffFootnote 34.
An alternative to universal testing within prisons could involve a sentinel surveillance-based approach of identifying a subset of prisons in which regular testing among prisoners and staff, regardless of symptomatology, could be conducted. This approach may be most relevant in jurisdictions with higher SARS-CoV-2 prevalence (to ensure higher positive predictive values of testing, and minimize the unwarranted isolation of prisoners)Footnote 33 or where facilities are close to urban centers. Proactive testing may represent a valuable alternative to strategies such as mass long term cell-based confinement, which has been associated with severe mental health riskFootnote 35, particularly for Indigenous and racialized populationsFootnote 1.
Limitations
This study has several limitations. First, an important limitation is the necessity to use the maximum potential capacity of each prison rather than the exact prisoner population for rate calculations. Bias was minimized by estimating bounds based on a range of assumed occupancy levels, from 70% to 100%. The average daily population of federal prisoners was assumed to be approximately 85% of the total capacity, as it was in 2019Footnote 14. If prisoner populations have decreased since 2019, such that occupancy was less than 70%, then our study likely underestimated the upper bounds of prevalence values. Second, missing from this study were detailed outcomes for staff per prison. As of May 29, 2020, 124 cases were recorded among staff at CSC (1% of its approximate 17,310 staff members and 26% of federal prison-related cases overall)Footnote 36Footnote 37. Detailed reporting on cases among staff will be essential to understand the true burden of disease in correctional contexts. Third, broad comparisons between federal prisoner populations and the general population within provinces can conceal outcome heterogeneity at smaller areas of aggregation. Unfortunately, local or regional-level testing and outcome data remained largely unavailable in CanadaFootnote 38, and this therefore remains an important area of future inquiry. Nonetheless, population-scale comparisons like those presented in this study are useful indicators of potential successes or limitations of testing policies and practices across jurisdictions, and heterogeneity in outcomes across provinces merits public health attention.Fourth, testing eligibility criteria or target groups (e.g. travelers, symptomatic individuals, all residents) can vary both in time, and across jurisdictions, which can also bias comparisons. However, in the study period (March 30 to May 27, 2020), across the provinces studied herein, testing was largely recommended for all symptomatic individuals (i.e. not only restricted to travelers or healthcare professionals, and not recommended for asymptomatic individuals), which strengthens the validity of the comparisons across jurisdictionsFootnote 9Footnote 39Footnote 40Footnote 41Footnote 42Footnote 43Footnote 44Footnote 45Footnote 46. Fifth, in this study, the total number of individuals tested was assessed rather than the total number of tests or specimens tested. Once available, total tests performed within detention facilities and the general population in Canada, and estimation of corresponding percent positive rates and tests per population also merit evaluation. Sixth, CSC made several small changes to cumulative totals over the study period, reporting that these were due to data reconciliation efforts. No detailed explanation was provided, suggesting that reporting errors may have occurred. Seventh, while other deaths in federal prisons were recorded during the study periodFootnote 47, it is unclear whether all prisoners have been or will be tested for COVID-19 post mortem. Deaths may, therefore, be underestimated. Seventh, the case fatality findings presented herein are crude estimates as they not account for potential lags between the incidence of cases and deaths. Lastly, findings reported herein may not be generalizable to provincial, remand, juvenile or immigration detention facilities, which represented 72% of Canada's approximate 58,300 total prisoner populationFootnote 48Footnote 49Footnote 50 and which may see more population movement given the shorter sentences.
Conclusion
The majority of federal prisons have recorded lower numbers of individuals tested than the Canadian general population average. Gaps in COVID-19 testing and recorded outbreaks in several prisons, with an elevated proportion of prisoners becoming infected, suggest that correctional facilities will likely represent a key battleground against the COVID-19 pandemic as community transmission increases in Canada. There is a need to reduce testing gaps and consider proactive approaches such as universal testing or sentinel-based testing. Along with rigorous infection prevention practices and the potential release of prisoners, increased testing is needed to curb future outbreaks while avoiding undue reliance on long term isolation and confinement of prisoners.
Authors' statement
- AB — Collated daily Correctional Service of Canada testing data for this project, designed the study, analyzed the data, drafted and revised the manuscript
- AP — Designed the study, analyzed the data, drafted and revised the manuscript
- AS — Provided critical input on the design on the study, revised and edited the manuscript
Competing interests
None.
Funding
AB received postdoctoral funding from the Fonds de Recherche du Québec-Santé. AS was supported by the Canada Research Chair in Population Health Equity.
Supplemental material
These tables can be access at Supplemental (PDF).
Table 1: Federal prison population data-as of May 27, 2020
Table 2: General population data-as of May 27, 2020
Table 3: Port Cartier Institution, Québec (maximum population estimate: 237 prisoners)
Table 4: Federal Training Center, Québec (maximum population estimate: 764 prisoners)
Table 5: Joliette Women's Institution, Québec (maximum population estimate: 132 prisoners)
Table 6: Mission Medium Security Institution (maximum population estimate: 324 prisoners)
Table 7: Grand Valley Institution for Women (maximum population estimate: 112 prisoners)
Table 8: Matsqui Institution (maximum population estimate: 446 prisoners)
The content and view expressed in this article are those of the authors and do not necessarily reflect those of the Government of Canada.
