5. Substances toxiques
La Loi canadienne sur la protection de l'environnement (1999) [LCPE (1999)] est une « Loi visant la prévention de la pollution et la protection de l'environnement et de la santé humaine en vue de contribuer au développement durable ». Elle fournit au gouvernement fédéral de nouveaux moyens pour protéger l'environnement et la santé humaine et fixe des échéanciers stricts pour contrôler les substances dites toxiques aux termes de la Loi.
La LCPE (1999) exige désormais de façon explicite que soit appliqué le principe de la prudence. Ce principe dit que, « en cas de risque de dommages graves ou irréversibles, l'absence de certitude scientifique absolue ne doit pas servir de prétexte pour remettre à plus tard l'adoption de mesures effectives visant à prévenir la dégradation de l'environnement ». Il s'ensuit que le poids de la preuve scientifique fonde les décisions prises en vertu de la LCPE (1999) sur le moment où il convient de contrôler les substances toxiques et sur la nature de ce contrôle. On s'assure ainsi que la protection de l'environnement et la santé et la sécurité des Canadiens demeurent des priorités de tout premier ordre.
Évaluation des substances existantes
La LCPE (1999) prévoit des processus plus efficaces pour reconnaître les substances toxiques et procéder à des évaluations préalables et à des examens. La Loi comprend deux nouvelles mesures : le classement par catégorie des substances inscrites sur la Liste intérieure des substances (LIS) et leur évaluation préalable et l'examen des décisions prises par d'autres instances.
La LIS est un inventaire de quelque 23 000 substances fabriquées, importées ou utilisées au Canada à une échelle commerciale. La partie 5 exige que les ministres classent ces substances par catégorie et en fassent, au besoin, une évaluation préalable des risques afin de déterminer si elles sont effectivement ou potentiellement toxiques. La LCPE (1999) impose également des échéanciers sévères - toutes les substances inscrites sur la LIS doivent être classées par catégorie dans les sept années suivant la date de la sanction royale du 14 septembre 1999. Le Canada est le seul pays au monde à avoir une procédure d'examen aussi poussée pour toutes les substances en usage dans le commerce.
La LSIP a été dressée en vertu de la LCPE (1988). Selon la LCPE (1999), les ministres doivent établir la LSIP et la modifier, au besoin, afin de permettre de nouvelles inscriptions à la suite des demandes d'adjonction du public, des évaluations préalables des risques pour des substances inscrites sur la LIS, des examens des décisions prises par d'autres instances, des consultations d'autres gouvernements au Canada ou de toute autre circonstance qui nécessite l'évaluation d'une substance d'intérêt prioritaire.
Gestion des substances toxiques
La partie 5 impose de nouveaux échéanciers stricts pour prendre des mesures de prévention ou de contrôle des substances toxiques. En ce qui concerne les substances déclarées toxiques en application de l'article 77 (c.-à-d. à la suite d'une évaluation parce qu'elles figurent sur LSIP, d'une évaluation préalable parce qu'elles sont inscrites sur la LIS ou de l'examen d'une décision prise par une autre instance), le gouvernement a deux ans pour proposer des mesures de prévention ou de contrôle, telles que des plans de prévention de la pollution, des règlements ou des directives.
Lorsque la mesure proposée a été publiée, les parties intéressées ont 60 jours pour la commenter ou déposer un avis d'opposition et demander la constitution d'une commission de révision. La mesure définitive doit être rédigée et publiée dans les 18 mois suivant la proposition de la mesure.
La LCPE (1999) comporte également de nouvelles exigences en matière de quasi-élimination des substances persistantes, bioaccumulables et intrinsèquement toxiques dont le rejet dans l'environnement est dû surtout à des activités humaines. L'article 65 exige en outre que les ministres de l'Environnement et de la Santé précisent la limite de dosage de chaque substance qui est rejetée dans l'environnement et qu'elle soit inscrite sur une liste de quasi-élimination. La limite de dosage est la concentration la plus faible d'une substance qui peut être mesurée avec exactitude au moyen de méthodes d'analyse et d'échantillonnage précises mais courantes.
Évaluation des substances nouvelles
Les substances qui ne figurent pas sur la LIS sont considérées nouvelles au Canada. Il est interdit de les fabriquer ou de les importer :
- sans en avoir informé le ministre;
- sans avoir fourni les renseignements nécessaires à une évaluation de toxicité;
- tant que le délai d'évaluation de l'information (prévu par règlement) n'est pas expiré.
Les exigences de la LCPE (1999) visent toutes les substances nouvelles, sauf lorsque d'autres lois applicables renferment les mêmes exigences au chapitre des avis et de l'évaluation et sont expressément inscrites dans l'annexe 2 de la Loi. Ces nouvelles dispositions signifient que la LCPE (1999) établit la norme et joue le rôle de filet de sécurité pour les substances nouvelles qui ne sont pas visées par d'autres lois du Parlement.
Exportation des substances
La partie 5 habilite le ministre à dresser une Liste des substances d'exportation contrôlée où figurent les substances dont l'exportation est contrôlée parce que leur fabrication, leur importation ou leur utilisation au Canada sont interdites ou sévèrement restreintes ou parce que le Canada a accepté de contrôler leur exportation dans le cadre d'un accord international.
En vertu de la LCPE (1988), les 44 substances qui figuraient sur la première Liste des substances d'intérêt prioritaire (LSIP1) publiée en 1989 ont été évaluées. Vingt-cinq d'entre elles ont été déclarées toxiques aux termes de la Loi et inscrites sur la Liste des substances toxiques, et cinq ont été déclarées non toxiques.
Quant aux 14 autres substances, on n'avait pas les renseignements suffisants pour déterminer si elles étaient « toxiques » et présentaient un danger pour l'environnement ou la santé humaine. Environnement Canada et Santé Canada ont actualisé toutes ces évaluations en 2000-2001. De plus, les renseignements sur les paraffines chlorées à chaîne courte sont présentement mis à jour. Ces dernières ont été déclarées toxiques lors de l'établissement de la LSIP1 parce qu'elles constituent un danger au Canada pour la santé humaine; toutefois, on n'avait pas les renseignements suffisants pour déterminer si elles ont un effet nocif sur l'environnement. En même temps qu'a lieu la mise à jour des renseignements sur les paraffines chlorées à chaîne courte, on réévalue les paraffines chlorées à moyenne ou longue chaîne. Ces mises à jour seront publiées en 2001-2002 pour permettre au public de faire des commentaires.
Vingt-cinq substances figuraient sur la deuxième Liste des substances d'intérêt prioritaire (LSIP2) publiée en 1995, et 23 d'entre elles ont subi une évaluation des risques avant décembre 2000, soit durant la période de 5 ans prescrite par la LCPE (1999). Le 31 mars 2001, une conclusion finale a été déposée pour 9 de ces 23 substances et une conclusion provisoire, pour les 14 autres. Des sommaires, les rapports complets et de brefs résumés des commentaires du public sont disponibles en ligne.
Des projets de rapports ont été produits sur deux autres substances de la LSIP2 (les sels d'aluminium et l'éthylèneglycol) et publiés sur Internet. À cause du peu de données disponibles sur les effets de ces substances, il a été impossible de parvenir à une conclusion finale sur le danger effectif ou potentiel qu'elles constituent pour la santé humaine. Par conséquent, leur évaluation a été suspendue afin que Santé Canada recueille des données à ce sujet. Les rapports scientifiques sur ces substances sont terminés et disponibles en ligne.
| Substances inscrites sur la LSIP2 | Projet de rapport - période réservée aux commentaires du public | Rapport final d'évaluation (date prévue) | Conclusion (conclusion provisoire) | Décret provisoire d'inscription à l'annexe 1 | Décret final d'inscription à l'annexe 1 |
|---|---|---|---|---|---|
| 1,3-butadiène | 2 octobre 1999 | 27 mai 2000 | toxique | 10 juin 2000 | 9 mai 2001 |
| 2-méthoxyéthanol, 2-éthoxyéthanol, 2-butoxyéthanol |
19 août 2000 | (printemps 2002) | (toxiques) | ||
| Acétaldéhyde | 14 août 1999 | 27 mai 2000 | toxique | 10 juin 2000 | 9 mai 2001 |
| Acroléine | 1er mai 1999 | 27 mai 2000 | toxique | 10 juin 2000 | 9 mai 2001 |
| Acrylonitrile | 26 juin 1999 | 27 mai 2000 | toxique | 10 juin 2000 | 9 mai 2001 |
| Chlorure d'aluminium, nitrate d'aluminium, sulfate d'aluminium |
Évaluation suspendue pour 5 ans afin de permettre la collecte des données nécessaires pour décider si les substances constituent un danger pour la vie ou la santé humaines. Projet de rapport publié en décembre 2000. | ||||
| Ammoniac | 13 mai 2000 | 23 juin 2001 | toxique | 23 juin 2001 | |
| Phtalate de butyle et de benzyle | 1er mai 1999 | 5 février 2000 | non toxique | sans objet (s/o) | s/o |
| Disulfure de carbone | 23 octobre 1999 | 27 mai 2000 | non toxique | s/o | s/o |
| Chloroforme | 3 juin 2000 | 24 mars 2001 | non toxique | s/o | s/o |
| Éthylèneglycol | Évaluation suspendue pour 5 ans afin de permettre la collecte des données nécessaires pour décider si la substance constitue un danger pour la vie ou la santé humaines. Projet de rapport publié en décembre 2000. | ||||
| Oxyde d'éthylène | 22 janvier 2000 | (hiver 2002) | (toxique) | ||
| Formaldéhyde | 22 juillet 2000 | (hiver 2002) | (toxique) | ||
| Hexachlorobutadiène | 1er juillet 2000 | (printemps 2002) | (toxique) | ||
| Chloramines inorganiques | 8 juillet 2000 | 23 juin 2001 | toxiques | 23 juin 2001 | |
| N,N-diméthylformamide | 3 juin 2000 | 24 mars 2001 | non toxique | s/o | s/o |
| N-nitrosodiméthylamine | 19 février 2000 | (hiver 2002) | (toxique) | ||
| Nonylphénol et ses polyéthoxyéthers d'alcools secondaires | 1er avril 2000 | 23 juin 2001 | toxiques | 23 juin 2001 | |
| Phénol | 1er mai 1999 | 5 février 2000 | non toxique | s/o | s/o |
| Rejets des fonderies de cuivre de première et de deuxième fusion et des affineries de cuivre et Rejets des fonderies de zinc de première et de deuxième fusion et des affineries de zinc (un seul rapport) | 1er juillet 2000 | (printemps 2002) | (toxiques) | ||
| Rejets de radionucléides par les installations nucléaires (effets sur les espèces autres que l'être humain) | 29 juillet 2000 | 1er décembre 2001 | (toxiques) | ||
| Particules inhalables de 10 microns ou moins | 15 mai 1999 | 27 mai 2000 | toxiques | 10 juin 2000 | 9 mai 2001 |
| Sels de voirie qui contiennent des sels inorganiques de chlorure avec ou sans sels de ferrocyanure | 12 août 2000 | 1er décembre 2001 | (toxiques) | 1er décembre 2001 | |
| Effluents des usines de textile | 1er juillet 2000 | 23 juin 2001 | toxiques | 23 juin 2001 | |
La LIS représente la compilation exhaustive de quelque 23 000 substances qui ont déjà été ou sont encore offertes dans le commerce au Canada. En 2000-2001, 224 nouvelles substances ont été inscrites sur la LIS et une a été radiée.
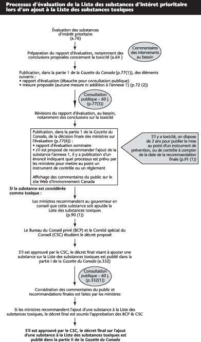
Processus d'évaluation de la Liste des substances d'intéret prioritaire lors d'un ajout à la Liste des substances toxiques

| Substances toxiques |
|
|
| Substances non toxiques |
|
|
| Substances pour lesquelles les renseignements étaient insuffisants (les évaluations ont été mises à jour) |
|
|
Résultats de l'évaluation des substances inscrites sur la LSIP1
Substances toxiques
- Benzène
- Benzidine
- Phtalate de bis(2-éthylhexyle)
- Éther di(chlorométhylique)
- Eaux usées chlorées
- Éther de chlorométhyle et d'éthyle
- Sites contaminés par la créosote
- 3,3'-dichlorobenzidine
- 1,2-dichloroéthane
- Dichlorométhane
- Effluents des usines de pâte blanchie
- Hexachlorobenzène
- Composés du chrome hexavalent
- Composés inorganiques de l'arsenic
- Composés inorganiques du cadmium
- Fluorures inorganiques
- Composés inorganiques oxygénés, sulfurés et solubles du nickel
- Dibenzodioxines polychlorées
- Dibenzofuranes polychlorés
- Hydrocarbures aromatiques polycycliques
- Fibres céramiques réfractaires
- Paraffines chlorées à chaîne courte
- Tétrachloroéthylène
- 1,1,1-trichloroéthane
- Trichloroéthylène
Substances non toxiques
- Phtalate de dibutyle
- Éther méthytertiobutylique
- Méthacrylate de méthyle
- Toluène
- Xylènes
Substances pour lesquelles les renseignements étaient insuffisants (les évaluations ont été mises à jour)
- Aniline
- Oxybis(2-chloroéthane)
- 1,2-dichlorobenzène
- 1,4-dichlorobenzène
- Paraffines chlorées*
- 3,5-diméthylaniline
- Di-n-octyl phtalate
- Composés organostanniques (non pesticides)
- Pentachlorobenzène
- Styrène
- 1,1,2,2-tétrachloroéthane
* Les paraffines chlorées à courte chaîne ont été déclarées toxiques lors de l'établissement de la LSIP1 parce qu'elles constituent un danger au Canada pour la santé humaine; toutefois, on n'avait pas les renseignements suffisants pour déterminer si elles ont un effet nocif sur l'environnement.
Liste intérieure des substances
En 1999-2000, Environnement Canada a lancé un projet pilote visant 123 substances organiques qui répondaient aux critères de classement par catégorie. Il a été déterminé que, sur ces 123 substances, 93 étaient persistantes ou bioaccumulables et intrinsèquement toxiques pour les organismes non humains, tandis que les 30 autres présentaient un fort potentiel d'exposition pour les Canadiens. La liste comprend une gamme de classes et d'usages chimiques de substances organiques inscrites sur la LIS et constitue par conséquent un échantillon du type de substances dont les ministères vont devoir se préoccuper dans les années à venir. Le projet pilote va aider le Ministère à apprécier le rendement et la validité de la méthode de classement par catégorie et à élaborer une méthode d'évaluation préalable des risques.
Environnement Canada et Santé Canada vont soumettre les 123 substances à des évaluations préalables des risques en utilisant une formule axée sur le risque. De plus, Environnement Canada s'emploie à mettre sur pied un processus de consultation des parties intéressées au sujet d'une méthode de collecte de données d'entrée et de données d'exposition qu'il compte élaborer pour ces substances et dont il se servira pour étayer les évaluations.
Catégorisation et évaluation préalables des substances inscrites sur la LIS

Pour effectuer le classement par catégorie environnementale, Environnement Canada a créé un groupe consultatif technique des parties prenantes chargé de fournir des avis éclairés sur la définition et la résolution des problèmes de nature scientifique, technique ou méthodologique qui surgissent durant l'exécution du projet pilote. Le groupe consultatif est constitué de représentants du gouvernement, des provinces, de l'industrie, des groupes environnementaux et du milieu universitaire. Les critères de définition d'une substance intrinsèquement toxique pour les organismes non humains ont été déterminés par Environnement Canada et ont donné lieu à une discussion avec le groupe consultatif technique. Les résultats du projet pilote serviront à fixer d'une manière définitive ces critères.
On trouvera dans les articles suivants une description des principales activités auxquelles ont donné lieu en 2000-2001 d'autres substances ne figurant pas sur la LSIP1 ni sur la LSIP2.
Substances perfluoroalkyliques
Les Canadiens et la communauté internationale s'intéressent aux substances perfluoroalkyliques depuis qu'un grand fabricant a annoncé en mai 2000 qu'il avait décidé de son plein gré de cesser graduellement d'utiliser les composés du perfluoroalkylsulfonate. Vu que bon nombre de ces substances sont persistantes, bioaccumulables et intrinsèquement toxiques et, à ce titre, répondent aux critères de classement par catégorie exposés dans la LCPE (1999), Environnement Canada et Santé Canada procèdent actuellement à des examens et à des évaluations préalables des risques en application des dispositions relatives au classement par catégorie et à l'évaluation préalable des substances figurant sur la LIS. Conformément à l'article 71, un avis de collecte d'information a été publié le 10 juin 2000 afin de demander aux personnes qui utilisent des substances perfluoroalkyliques au cours d'une activité d'en informer le ministre.
Ferrocyanure de sodium
Une demande ayant été faite par le public en mai 2000 d'inscrire le ferrocyanure de sodium sur la LSIP, Environnement Canada effectue présentement une évaluation préalable des risques que présente cette substance, employée comme additif anticorrosion dans certains produits chimiques largués pour lutter contre les incendies de forêt. Ces produits ignifuges sont utilisés souvent et en grande quantité au Canada (des millions de litres par année). On compte plusieurs cas documentés de mortalité massive de poissons due à l'application de produits contenant du ferrocyanure de sodium. Malgré toute la prudence dont on fait preuve durant la lutte contre les incendies, il est très difficile de ne pas larguer ces substances dans les habitats de poissons (lacs et rivières).
Précurseurs des matières particulaires
Un avis d'intention recommandant l'inscription des précurseurs des matières particulaires de moins de 10 microns (dioxyde de soufre, oxydes d'azote, ammoniac et composés organiques volatils) sur la Liste des substances toxiques de l'annexe 1 a été publié le 15 juillet 2000 pour une période de commentaires de 60 jours. Cette inscription constitue un élément clé du programme d'assainissement de l'air du gouvernement fédéral. Les ministres ont fondé leur intention sur le rapport d'évaluation des particules inhalables de 10 microns ou moins inscrites sur la LSIP, rapport dans lequel sont indiqués les quatre principaux précurseurs des particules fines. Même si l'on n'avait pas évalué les précurseurs pour déterminer leurs effets directs sur la santé humaine et sur l'environnement, il reste que ces substances peuvent se transformer dans l'environnement en matières particulaires de moins de 10 microns, lesquelles sont toxiques. Au Canada, les gaz précurseurs contribuent à la formation de la moitié aux deux tiers des particules fines, composantes majeures du smog.
Ozone troposphérique
Le Rapport d'évaluation scientifique sur l'ozone troposphérique a été publié le 14 octobre 2000. Les conclusions indiquent qu'il existe une relation significative entre l'ozone dans l'air ambiant et les effets néfastes sur la santé et que la teneur actuelle de l'ozone dans l'air ambiant au Canada provoque des effets néfastes considérables sur la santé humaine et sur la végétation. Il est en outre précisé que l'ozone troposphérique se forme dans l'atmosphère en présence des précurseurs du smog, soit les oxydes d'azote et les composés organiques volatils. (Le 9 juin 2001, les ministres ont publié un avis signalant leur intention de déclarer toxiques l'ozone et ses précurseurs.)
Qu'est-ce que le smog?
Le smog se compose surtout d'ozone et de matières particulaires présents dans l'air ambiant. L'ozone est un gaz qui se forme à la lumière du soleil, dans l'air chaud et stagnant, en présence des gaz précurseurs des oxydes d'azote et des composés organiques volatils.
Les matières particulaires sont des gouttelettes solides ou liquides qui sont soit rejetées directement dans l'atmosphère par diverses sources, telles que les automobiles, les camions, les usines, les sites de construction, les activités agricoles, les routes sans revêtement, le concassage des pierres et la combustion du bois, soit formées dans l'atmosphère par la transformation chimique des gaz. Les matières particulaires se forment indirectement lorsque les gaz de combustion réagissent avec la lumière du soleil et la vapeur d'eau. Ces gaz sont produits par les véhicules à moteur, les centrales électriques et divers processus industriels.
En 2000-2001, les nouveaux échéanciers stricts imposés par la LCPE (1999) ont entraîné un examen des méthodes de gestion des risques employées par Environnement Canada. En se fondant sur les leçons tirées du Processus d'options stratégiques, Environnement Canada a élaboré une méthode de gestion des substances toxiques qui, lorsqu'elle sera parachevée, satisfera aux nouvelles exigences de la LCPE (1999). Pour le moment, cette méthode sert à gérer les substances toxiques inscrites sur la LSIP2, et le Ministère l'améliore afin de pouvoir l'appliquer à d'autres substances toxiques.
Dans le cadre de cette méthode, le Ministère élaborera des stratégies de gestion des risques qui comporteront un éventail de mécanismes de gestion des risques, y compris des mesures de contrôle et de prévention, et qui serviront de base à des consultations. De plus, des consultations seront organisées durant l'élaboration de mécanismes spécifiques de gestion des risques.
Un rapport intitulé Le benzène dans l'essence au Canada a été publié en septembre 2000. En s'appuyant sur des renseignements obtenus en vertu du Règlement sur le benzène dans l'essence, adopté en 1997, les auteurs font ressortir le fait que les niveaux de benzène dans l'essence ont diminué considérablement depuis l'entrée en vigueur du règlement.
Exemples d'outils de gestion des risques
On trouvera ci-dessous l'ensemble des outils de gestion des risques qui sont considérés lorsque l'on détermine les options disponibles pour la gestion d'une substance :
- Instruments découlant de la LCPE (1999) - Règlements, plans de prévention de la pollution, plans d'urgence environnementale, ententes administratives, codes de pratiques, objectifs ou directives en matière de qualité de l'environnement, directives sur les rejets
- Démarches volontaires - Ententes sur la performance environnementale, protocoles d'entente
- Instruments économiques - Systèmes de consigne, mesures incitatives financières et subventions, systèmes d'échanges, redevances et taxes perçues au profit de l'environnement
- Initiatives de coopération fédérales/provinciales/territoriales - Normes pancanadiennes, directives, codes de pratiques
- Lois provinciales/territoriales - Règlements, permis ou autres processus
- Autres lois fédérales - Loi sur les pêches, Loi sur les produits antiparasitaires, Loi sur les produits dangereux
Les Recommandations pour la conception et l'exploitation d'installations de préservation du bois publiées à l'été 2000 sont mises en œuvre par l'industrie sur une base volontaire. Des comités directeurs et des groupes de travail composés de représentants du gouvernement et de l'industrie évaluent actuellement le degré de mise en œuvre atteint par l'industrie.
Afin d'apprécier s'il y a lieu de prendre des mesures de contrôle et, dans l'affirmative, de déterminer la nature de celles-ci, on a publié conformément à l'article 71 un avis concernant le dichlorométhane et demandant aux personnes qui utilisent cette substance au cours d'une activité de se faire connaître.
Processus de gestion des substances toxiques

En 2000-2001, des consultations ont eu lieu concernant l'élaboration de ces documents :
- un projet de règlement sur le tétrachloroéthylène utilisé dans le secteur du nettoyage à sec (projet de règlement publié le 18 août 2001);
- un projet de règlement sur la benzidine et l'hexachlorobenzène;
- un projet de codes de pratiques à l'intention des aciéries intégrées et des aciéries non intégrées;
- une entente sur la performance environnementale pour le 1,2-dichlorométhane;
- une entente sur la performance environnementale pour les fibres céramiques réfractaires.
En 2000-2001, les ministères ont recueilli des renseignements sur les substances toxiques de la LSIP2 et ont entrepris d'élaborer des stratégies de gestion des risques. Ils définiront les mesures à prendre selon une formule axée sur plusieurs polluants, quand ce sera possible, en ciblant des groupes de substances ou en adoptant une approche sectorielle. Dans les stratégies spécifiques de gestion des risques qu'ils publieront en vue de consultations, ils décriront la formule retenue ainsi que les objectifs et les moyens de gestion des risques proposés.
Afin de respecter les engagements internationaux prévus dans les amendements au Protocole de Montréal de 1987 relatif à des substances qui appauvrissent la couche d'ozone, Environnement Canada a publié les modifications finales du Règlement sur les substances appauvrissant la couche d'ozone le 1er janvier 2001. Le Canada est un des premiers pays à mettre en œuvre l'amendement au Protocole, ratifié par toutes les Parties en décembre 1999. L'amendement, connu dans le monde sous le nom d'amendement de Beijing, prévoit les engagements suivants :
- cesser la production des hydrochlorofluorocarbures utilisés dans les équipements de réfrigération et de climatisation;
- faire rapport sur l'utilisation du bromure de méthyle, qui sert principalement de pesticide;
- interdire la production, la consommation et le commerce international du bromochlorométhane, substance utilisée surtout dans les extincteurs.
Les Parties au Protocole de Montréal, y compris le Canada, ont décidé d'interdire la production du bromochlorométhane à compter du 1er janvier 2002. Les Parties ont également décidé de poursuivre les recherches pour déterminer si le bromure de n-propyl présente un danger pour la couche d'ozone. Afin de respecter ces engagements, Environnement Canada a publié le 12 août 2000 un avis conformément à l'article 71 demandant à toute personne qui utilise ces substances au cours d'une activité d'en informer le ministre. Cette information lui servira à déterminer si ces substances sont effectivement ou potentiellement toxiques ou à apprécier s'il y a lieu de prendre des mesures de contrôle.
Instruments de prévention ou de contrôle possibles aux termes de la LCPE (1999)
Si les instruments suivants, mentionnés dans la LCPE (1999), renferment des mesures de prévention ou de contrôle visant à réduire ou à éliminer le risque présenté pour l'environnement ou la santé humaine, ils satisferont aux exigences des articles 91 et 92 de la LCPE (1999) :
- Règlement - Un règlement impose des restrictions à une activité reliée à une substance ou établit des limites concernant les concentrations d'une substance que l'on peut utiliser, rejeter dans l'environnement ou présenter dans un produit. Pour qu'un règlement satisfasse aux exigences de l'article 91 et de l'article 92, il faut qu'il réunisse les caractéristiques suivantes
- il a trait aux substances inscrites sur la Liste des substances toxiques (a.93)
- il établit des limites visant à éliminer virtuellement les rejets (a.92.1)
- il établit des prescriptions pour les combustibles (a.140)
- il porte sur les émissions de véhicules, de moteurs et de combustibles (a.160)
- il porte sur la pollution atmosphérique internationale (a.167)
- il porte sur la pollution internationale des eaux (a.177)
- il détermine une quantité minimale pour les substances qui sont actuellement sur la Liste des substances toxiques ou pour les substances qui ont été jugées toxiques à la suite d'une évaluation et qui seront ajoutées à la Liste (a.200)
- il porte sur les substances qui sont importées, fabriquées, utilisées, traitées, rejetées, éliminées ou recyclées en rapport avec les opérations gouvernementales ou avec les terres fédérales et autochtones (a.209(2))
- il porte sur la protection de l'environnement en rapport avec les opérations gouvernementales ou les terres fédérales et autochtones, ce qui comprend un règlement qui concerne la mise en place de systèmes de gestion de l'environnement, la prévention de la pollution et les plans y afférents et les urgences environnementales (a.209)
- il porte sur les systèmes de consigne (a.325), lorsqu'ils sont combinés à un règlement établi en application de l'a.93 (substances toxiques), de l'a.118 (substances nutritives) ou de l'a.209 (règlements concernant les entités fédérales ou les terres fédérales et autochtones)
- il porte sur les systèmes reliés aux unités échangeables (a.326), lorsqu'ils sont combinés à un règlement établi en application de l'a.93 (substances toxiques), de l'a.118 (substances nutritives), de l'a.140 (combustibles), de l'a.167 (sources canadiennes de pollution atmosphérique internationale), de l'a.177 (sources canadiennes de pollution internationale de l'eau) ou de l'a.209 (règlement concernant les entités fédérales ou les terres fédérales et autochtones).
- Objectifs environnementaux (a.54 et a.208) - En établissant des objectifs environmentaux, on présente des buts ou des fins à atteindre, sur le plan qualitatif ou quantitatif, en matière de prévention de la pollution ou de contrôle environnemental. On recommande souvent, à cet égard, des objectifs en matière de qualité de l'environnement ou de limites maximales acceptables.
- Directives sur l'environnement (a.54, a.196, et a.208) - Les directives environnementales comprennent des recommandations sur le plan de la qualité ou de la quantité, recommandations visant à soutenir ou à maintenir certaines utilisations de l'environnement. On peut, dans ces directives, recommander une concentration numérique pour les substances toxiques présentes dans l'eau, les eaux agricoles, le sol, les sédiments et les tissus humains et animaux. Il se peut que l'on élabore des directives en matière d'urgence environnementale, en ce qui touche leur prévention et les dispositifs d'alerte et de préparation ainsi que les mesures à prendre pour y remédier et réparer les dommages en découlant.
- Directives sur les rejets dans l'environnement (a.54 et a.208) - Les directives sur les rejets dans l'environnement comprennent des limites recommandées, exprimées en concentrations ou en quantités, pour le rejet des substances dans l'environnement à la suite de travaux, d'entreprises ou d'activités.
- Codes de pratiques (a.54, a.196 et a.208) - Les codes de pratiques comportent des recommandations sur les procédures, les pratiques ou les limites de rejet en ce qui concerne le contrôle environnemental relié aux travaux, aux entreprises et aux activités dans toutes et chacune des phases de leur élaboration et de leur exécution et dans les activités de surveillance subséquentes. Il se peut également que l'on rédige des codes de pratiques visant à présenter aux industries et aux responsables de la réglementation des recommandations claires sur la façon de réduire les émissions, les effluents et les déchets - en ce qui touche leur prévention et les dispositifs d'alerte et de préparation ainsi que les mesures à prendre pour y remédier et réparer les dommages en découlant.
- Plans de prévention de la pollution (a.56) - Le Ministre peut demander à toute personne de préparer et de mettre en œuvre un plan de prévention de la pollution décrivant les mesures à prendre pour prévenir ou atténuer la production ou le rejet de polluants et de déchets.
- Plans d'urgence environnementale (a.199) - Le Ministre peut demander à toute personne de préparer et de mettre en œuvre un plan d'urgence environnementale décrivant les mesures à prendre - en ce qui touche la prévention, les dispositifs d'alerte et de préparation ou les mesures correctives ou de réparation des dommages causés - à l'égard d'une substance toxique.
- Ententes concernant les données et la recherche environnementales (a.44) - Ces ententes constituent habituellement des dispositions de collaboration avec d'autres gouvernements ou avec toute personne concernant la création, le fonctionnement et l'entretien d'un système de surveillance de la qualité de l'environnement.
- Ententes administratives (a.9) - Les ententes administratives sont habituellement des accords de partage des travaux entre le gouvernement fédéral et les gouvernements provinciaux, territoriaux ou les gouvernements et les peuples autochtones concernant l'administration de la LCPE (1999). Des ententes relatives aux normes pancanadiennes avec le Conseil canadien des ministres de l'environnement (CCME) sont également signées en vertu de cette loi.
Les hydrofluorocarbures constituent une catégorie de composés qui sont susceptibles de réchauffer la planète et font partie des six principaux gaz à effet de serre inscrits sur la liste du Protocole de Kyoto. Ils figurent également sur la Liste des substances toxiques en vertu de la LCPE (1999). Le 17 mars 2001, un avis a été publié conformément à l'article 71 afin de collecter des renseignements sur certains hydrofluorocarbures. Ces renseignements vont aider Environnement Canada à comprendre l'utilisation de ces substances et à apprécier s'il y a lieu de prendre des mesures de contrôle.
Élaborés en vertu de l'Accord pancanadien sur l'harmonisation environnementale du CCME, les standards pancanadiens représentent une promesse politique engageant la responsabilité des ministres de s'attaquer aux questions de protection de l'environnement et de risques pour la santé. Le pouvoir de signer ces accords est conféré au ministre en vertu de l'article 9 de la LCPE (1999); cependant, les accords incarnent une coopération vers un but commun plutôt qu'une délégation de pouvoir aux termes de la LCPE (1999). Afin de respecter ces engagements, le gouvernement fédéral prendra de nombreuses mesures en vertu de la LCPE (1999).
En juin 2000, le CCME, à l'exception du Québec, a ratifié les tout premiers standards pancanadiens à voir le jour, soit ceux relatifs au benzène (1er volet), aux émissions de mercure, aux fines particules et à l'ozone troposphérique. Ces standards, définis en consultation avec les intervenants sur une période de trois ans, jettent les bases d'une prise de mesures concertées visant à assainir l'air que respirent les Canadiens. Les ministres ont donné leur approbation de principe à de nouveaux standards relatifs aux dioxines et aux furannes produits par l'incinération des déchets et par le secteur des pâtes et papiers, aux lampes contenant du mercure, au mercure dans les amalgames dentaires et aux hydrocarbures pétroliers dans le sol. (Tous ces standards ont été ratifiés en avril 2001, à part celui relatif au mercure dans les amalgames dentaires, qui l'a été en septembre 2001.)
Des standards sont en voie d'élaboration pour les dioxines et les furannes produits par d'autres secteurs, les émissions de mercure causées par la production d'électricité et le benzène (2e volet). (Le 2e volet des standards relatifs au benzène a reçu l'approbation de principe des ministres en avril 2001 et a été entériné en septembre 2001.)
Le prochain défi consiste à faire part des résultats aux Canadiens. En acceptant de dresser des plans de mise en œuvre dans lesquels ils décrivent les principales mesures qu'ils vont prendre pour appliquer les standards, les ministres se sont engagés envers la population et les uns envers les autres à faire preuve de transparence. Environnement Canada a produit et exécuté le premier volet de son plan de mise en œuvre pour le benzène et continue de travailler sur ses autres plans. (Le Plan intérimaire 2001 concernant les matières particulaires et l'ozone du gouvernement fédéral a été publié en avril 2001.)
En vertu des standards pancanadiens relatifs aux particules et à l'ozone, le Ministère collabore avec les provinces, les territoires et les intervenants à l'élaboration de stratégies de réduction des émissions de polluants multiples dans les secteurs industriels suivants : électricité, fer et acier, fusion des métaux de base, pâtes et papiers, béton et asphalte et, enfin, bois d'œuvre et produits ligneux apparentés. Ces stratégies compléteront et appuieront l'élaboration de programmes de réduction des émissions et permettront une participation nationale de tous les secteurs à la réduction des émissions prévue par les standards pancanadiens relatifs aux particules et à l'ozone.
À la suite des recommandations formulées dans la vérification des programmes fédéraux de gestion des substances toxiques de 1999, Environnement Canada a élaboré un projet de politique relatif aux ententes sur la performance environnementale qui a fait l'objet de consultations publiques en 2000-2001. La politique prévoit que les initiatives non réglementaires respectent quatre principes de base, crédibilité, responsabilisation, efficacité et rentabilité, et satisfassent aux huit critères suivants : objectifs clairs et résultats mesurables, rôles et responsabilités clairement définis; participation du public; vérification des résultats; incitations et conséquences, amélioration continue; filet réglementaire et rapport public de la performance. La politique, qui a le mérite d'être claire et de renseigner l'industrie, les groupes environnementaux et la population sur ce qui les attend, est utilisée par tous les fonctionnaires du Ministère qui négocient des initiatives volontaires. (La politique définitive a été annoncée en juin 2001.)
Depuis que LCPE (1999) est entrée en vigueur, aucune évaluation finale de substances n'a obligé le Ministère à appliquer les dispositions relatives à la quasi-élimination; toutefois, il se prépare à cette éventualité :
- Il a publié en mars 2000, conformément à l'article 67, les règlements qui exposent les critères pour déterminer qu'une substance est persistante ou bioaccumulable
(Règlements). - Il a publié en février 2000 un projet de rapport sur les limites de dosage de l'hexachlorobenzène et des dioxines et des furannes dans le sol.
- Il a publié en janvier 2001 les limites de dosage des BPC dans les émissions de cheminée et les échantillons de cendres.
- Il réalise actuellement une étude sur les limites de dosage des chlorobenzènes.
Tant à l'échelle nationale qu'internationale, le Canada continue de promouvoir la quasi-élimination des substances figurant dans la Politique fédérale de gestion des substances toxiques, une initiative avant-gardiste au sein des pays industrialisés. Celle-ci préconise d'une part la quasi-élimination des substances toxiques qui sont persistantes et bioaccumulables et dont la présence dans l'environnement est surtout due à l'activité humaine (substances de la voie 1) et, d'autre part, la gestion des autres substances toxiques et des substances préoccupantes durant tout leur cycle de vie (substances de la voie 2).
Neuf des 12 substances de la voie 1 étaient des ingrédients actifs de pesticides qui sont désormais interdits au Canada. Environnement Canada continue de prendre des mesures pour limiter sérieusement les autres substances en vertu de la LCPE (1999) et d'autres mécanismes. Par exemple, il définit en coopération avec le CCME des standards pancanadiens relatifs aux rejets de dioxines et de furannes par les chaudières qui brûlent du bois chargé de sel et par les incinérateurs de déchets. Ces sources représentent à elles deux 25 % des rejets canadiens, et les standards vont entraîner une réduction de leurs émissions d'au moins 80 % d'ici 2006. L'élaboration de normes pour d'autres sources de rejets de dioxines et de furannes, y compris les brûleurs de déchets coniques, le secteur du fer et de l'acier et les poêles à bois domestiques, se poursuit.
À l'échelle planétaire, le Canada joue depuis longtemps un rôle de premier plan dans l'avancement de la science sur les POP et la promotion d'une action internationale pour réduire ou éliminer ces substances. En 1998, le Canada a été le premier pays à ratifier un protocole régional sur les POP proposé par la Commission économique des Nations Unies pour l'Europe et, en mai 2001, il a été le premier à signer la Convention mondiale sur les polluants organiques persistants, qui a été adoptée à Stockholm dans le cadre du Programme des Nations Unies pour l'environnement (voir le paragraphe 7.6 ci-dessous pour plus de renseignements).
Des modifications au Règlement sur certaines substances toxiques interdites étaient en voie d'élaboration en 2000-2001. Le Règlement actuel comprend une annexe où figure la liste des substances toxiques assujetties à l'interdiction de fabrication, d'utilisation, de transformation, de vente, de mise en vente ou d'importation. Dans le projet de règlement, l'annexe compte deux substances de plus (la benzidine et son sel) que l'annexe actuelle. De plus, le projet comporte des conditions qui sont particulières à une substance (l'hexachlorobenzène). (Le projet de Règlement sur certaines substances toxiques interdites a été publié pour consultation le 29 septembre 2001.)
Substances de la voie 1 Douze substances répondaient aux critères de gestion de la voie 1 de la Politique de gestion des substances toxiques lorsqu'elles ont été publiées pour la première fois dans la Partie I de la Gazette du Canada, le 4 juillet 1998. Les voici :
aldrine; 1,1,1-trichoro-2,2-bis(4-chlorophényl)éthane (DDT); endrine; mirex; BPC; dibenzodioxines polychlorées (PCDD); chlordane; dieldrine; hexachlorobenzène; heptachlore; dibenzofurannes polychlorés (PCDF); toxaphène
En 2000-2001, Environnement Canada et Santé Canada ont examiné conjointement 852 déclarations de substances nouvelles et 154 déclarations de substances de transition. Ces substances avaient été fabriquées ou importées au Canada entre janvier 1987 et juillet 1994 (date d'entrée en vigueur du Règlement sur les renseignements concernant les substances nouvelles). Ces examens ont entraîné l'imposition de diverses mesures de contrôle à l'égard de 11 des substances nouvelles.
À la promulgation du Règlement sur les renseignements concernant les substances nouvelles, Environnement Canada et Santé Canada se sont engagés à procéder à un examen du Règlement trois ans après son entrée en vigueur. Voyant cela, les ministères ont organisé des consultations où étaient conviés des représentants du gouvernement, de l'industrie, des groupes de défense d'intérêts publics et des syndicats afin de formuler d'éventuelles modifications au Règlement et aux programmes connexes. Cinq réunions ont eu lieu en 2000-2001. Un rapport devrait paraître au début de 2002.
Des propositions de modifications à deux annexes du Règlement ont été publiées le 5 août 2000. Les modifications à l'annexe IX (type de polymères) facilitent la lecture et la compréhension du texte. Celles à l'annexe X (liste des réactifs et de leur numéro de registre du Chemical Abstracts Service) permettent de mettre à jour la liste des réactifs. (Les modifications finales ont été publiées le 30 juin 2001.)
Il incombe à l'unité de suivi et de conformité des BPL de la LCPE (1999) de renseigner les scientifiques qui évaluent les déclarations de substances nouvelles sur la qualité des données d'essai et d'effectuer des inspections et des vérifications dans les installations d'essais canadiennes. Voici quelques-unes des principales activités de l'unité en 2000-2001 :
- Participation au groupe de travail sur les BPL de l'Organisation de coopération et de développement économiques (OCDE) et au groupe directeur du projet conjoint de visites mutuelles sur les BPL; présidence d'un groupe directeur de l'échange automatisé d'informations relatives aux activités d'inspection de BPL.
- Création d'un système informatique capable d'indiquer le laboratoire ayant produit les données qui ont servi à évaluer une substance nouvelle et de trouver les déclarations de conformité aux exigences de BPL qui sont fausses ou qui n'ont pas été vérifiées; la base de données constituée de toutes les inspections de BPL de l'OCDE a été mise à jour afin de comprendre les quelque 450 inspections effectuées en 1999, puis distribuée aux pays membres pour qu'ils en fassent usage.
- Participation, avec des inspecteurs de la Suisse et de la Corée du Sud, à une visite d'une semaine en Australie et en Nouvelle-Zélande, en novembre 2000, afin d'examiner des programmes, d'observer le déroulement d'inspections et de produire un rapport des constatations.
- Inspection de deux laboratoires canadiens (l'unité a fait une inspection conjointement avec des experts de l'Australie, de la Finlande et du Royaume-Uni afin d'instaurer la confiance parmi les gestionnaires des programmes de BPL; inspection préalable d'un troisième laboratoire canadien afin de déterminer s'il était prêt à participer au programme de surveillance).
La LCPE (1999) prévoit une dérogation à ses exigences de déclaration et d'évaluation de substances nouvelles lorsqu'une autre loi fédérale permet de satisfaire à ces exigences. Cela signifie que la LCPE (1999) joue le rôle de filet de sécurité : à moins qu'une substance nouvelle ne relève d'autres lois explicitement mentionnées dans l'annexe 2 (produits chimiques ou polymères) ou l'annexe 4 (substances biotechnologiques), les exigences de la LCPE (1999) s'appliquent.
Des projets de décret concernant l'inscription d'autres lois et règlements applicables dans les annexes 2 et 4 de la LCPE (1999) ont été publiés le 10 février 2001. En faisant figurer ces lois et règlements dans les annexes de la LCPE (1999), on indique hors de tout doute qu'ils satisfont aux critères d'exemption exposés aux paragraphes 81(6) et 106(6) de la Loi. Ces critères stipulent qu'une substance nouvelle, avant sa fabrication, son importation ou sa vente, doit faire l'objet d'une déclaration et d'une évaluation afin qu'on détermine si elle est effectivement ou potentiellement toxique en vertu de l'article 64 de la Loi. Par conséquent, une évaluation effectuée pour une utilisation prévue par les lois et règlements qui figurent dans les annexes ne sera pas refaite en vertu de la LCPE (1999). (Les décrets finaux ont été publiés le 29 août 2001. Les dispositions qui sanctionnent les annexes sont entrées en vigueur le 13 septembre 2001.)
Les exigences de la LCPE (1999) s'appliqueront aux substances nouvelles assujetties à la Loi sur les aliments et drogues et à la Loi sur les pêches et à certains produits régis par la Loi sur la santé des animaux, y compris les aliments génétiquement modifiés, les médicaments et les vaccins, les cosmétiques, le matériel médical et les poissons et animaux génétiquement modifiés (transgéniques). Des plans d'action interministériels ont été mis en œuvre afin que soient élaborés en vertu de ces lois des règlements qui satisfont aux exigences de la LCPE (1999).
Dans le but de simplifier les opérations de déclaration et d'évaluation de substances nouvelles au Canada et aux États-Unis, Environnement Canada s'est associé à l'Environmental Protection Agency des États-Unis et aux industries des deux pays pour créer le projet pilote « Four Corners ». Celui-ci, qui comporte l'échange de données techniques et de renseignements sur l'évaluation, a été exécuté de juillet 1996 à juillet 1998 puis reconduit pour deux ans. En 2000-2001, 17 substances ont été déclarées et examinées dans le cadre de ce projet. Sept d'entre elles ont été inscrites sur la Liste extérieure des substances et, pour les autres, des dérogations ont été recommandées à la suite d'exigences de données spécifiques.
Le Canada préside le groupe de travail de l'OCDE sur les nouvelles substances chimiques industrielles, qui a été créé en 1999-2000. Environnement Canada et Santé Canada, en association avec les responsables du National Industrial Chemicals Notification and Assessment Scheme de l'Australie, participent à un programme plus vaste de l'OCDE conçu pour que les pays apprennent les uns des autres, améliorent le partage de l'information et des tâches et harmonisent les nouveaux projets de produits chimiques. En 2000-2001, le Canada et l'Australie ont commencé à élaborer un accord entre les deux pays.
Environnement Canada est un membre actif du groupe d'étude de l'OCDE sur l'évaluation de l'exposition de l'environnement. En août 2000, l'OCDE a publié le Guidance Document on Emission Scenario Documents qui aidera les pays à mieux comprendre les méthodes d'évaluation de l'exposition aux substances chimiques industrielles présentes dans l'environnement et favorisera l'harmonisation internationale.
La Liste des substances d'exportation contrôlée (annexe 3), dressée en vertu de l'article 100 de la LCPE (1999), comprend les substances dont l'exportation est contrôlée parce que leur fabrication, leur importation ou leur utilisation au Canada sont interdites ou sévèrement restreintes ou parce que le Canada a accepté, dans le cadre d'un accord international, de contrôler leur exportation. Figurent sur la liste les substances :
- dont l'exportation est interdite;
- qui sont assujetties à un préavis ou à un consentement;
- qui sont assujetties à certaines restrictions.
La version finale du Règlement sur le préavis d'exportation (substances d'exportation contrôlée) a été publiée le 29 mars 2000. Le Règlement oblige les exportateurs à fournir un préavis d'exportation pour les substances inscrites sur la Liste des substances d'exportation contrôlée et à présenter des rapports annuels. Le Règlement contribue à l'application du paragraphe 101(1) et de l'article 103 de la Loi. En 2000, 10 préavis d'exportation ont été reçus et publiés dans le Registre environnemental de la LCPE.